|
|
(21), (22) Заявка: 2007128982/28, 27.07.2007
(24) Дата начала отсчета срока действия патента:
27.07.2007
(43) Дата публикации заявки: 10.02.2009
(46) Опубликовано: 27.12.2009
(56) Список документов, цитированных в отчете о поиске:
RU 2253134 C1, 27.05.2005. C.J.Christensen, A.Nielsen, A.Bahnsen, W.K.Brown, B.M.Rustad. Phys. Rev. 1972, D5, #7,, p.162. Б.Г.Ерозолимский. Бета-распад свободного нейтрона. Сборник «Современные методы ядерной спектроскопии». – Л.: Наука, 1986, с.10-13. RU 2159968 C1, 27.11.2000. RU 2284045 C2, 20.09.2006.
Адрес для переписки:
117218, Москва, Б. Черемушкинская, 25, ФГУП ГНЦ РФ ИТЭФ, патентный отдел, Ю.П. Быкову
|
(72) Автор(ы):
Васильев Валерий Васильевич (RU)
(73) Патентообладатель(и):
Российская Федерация, от имени которой выступает государственный заказчик – Государственная корпорация по атомной энергии “РОСАТОМ” (RU), Федеральное государственное унитарное предприятие “Государственный научный центр Российской Федерации Институт теоретической и экспериментальной физики им. А.И. Алиханова” (RU)
|
(54) СПОСОБ ИЗМЕРЕНИЯ КОНСТАНТЫ РАДИОАКТИВНОГО РАСПАДА
(57) Реферат:
Изобретение относится к области приборостроения и может найти применение в системах исследования радиоактивного распада нейтронов. Технический результат – повышение точности измерений. Для достижения данного результата в предложенном способе использована ступенчатая вариация потока радиоактивных частиц через область контроля, просматриваемую детектором частиц-продуктов распада. Многократно измеряются скорости счета частиц-продуктов на всех ступенях потока. Скорости счета пропорциональны числу исходных частиц в зоне видимости детектора с коэффициентом, равным константе распада. При k уровнях потока обеспечено столько же уровней чисел частиц, кратных наибольшему общему делителю. Предложена последовательность поиска шкалы для чисел частиц, которая позволяет определить этот параметр. 6 ил.
Изобретение относится к области экспериментальной ядерной физики и может быть использовано для повышения точности в исследованиях радиоактивного распада нейтронов, а также некоторых ядер и других частиц, и создания соответствующих устройств.
Известен способ [1] измерения периода полураспада нейтронов (или времени жизни нейтронов) путем регистрации скорости счета протонов от распада нейтронов. В этом способе протоны из некоторой области нейтронного пучка (источником которого является ядерный реактор) собираются на детектор с помощью электростатических полей. При этом необходимо точно измерить плотность потока нейтронов по сечению пучка для возможно более точного определения количества N нейтронов в заданной области пучка в данном интервале времени. Кроме того, в тех же целях необходимо точно определить объем пучка, протоны из которого достигают детектора, и учесть абсолютную эффективность детектора по отношению к регистрации протонов. Затем, измеряя скорость G счета протонов, из соотношения G= × ×N определяют постоянную распада нейтронов , а значит, и время жизни нейтрона =1/ , с соответствующими погрешностями. Погрешность определения времени жизни нейтрона в этих способах определяется, таким образом, погрешностью измерения скорости счета и погрешностями числа нейтронов и эффективности детектора. Погрешность числа нейтронов является наибольшей, поскольку необходимо параллельно с измерением скорости счета протонов определять число нейтронов по измеренному с точно известной эффективностью потоку нейтронов, а это требует точного знания распределения нейтронов по скорости. И поток нейтронов, и распределение нейтронов в нем могут изменяться со временем, что определяется эксплуатацией и устройством источника нейтронов, например, ядерного реактора. Все это ограничивает точность метода и затрудняет его реализацию.
Близким к предлагаемому способу по совокупности признаков является способ измерения радиоактивного распада нейтронов с помощью регистрации скорости счета электронов, выделяемых из пучка нейтронов с помощью перпендикулярного пучку однородного магнитного поля и направляемых им к плоским детекторам, установленным параллельно пучку нейтронов [2]. Здесь источником нейтронов также является горизонтальный канал ядерного реактора, используется то же соотношение между скоростью счета электронов и количеством нейтронов в выделенной области пучка нейтронов. Этому способу свойственны те же источники систематической ошибки, но есть и дополнительный источник. Это источник систематической ошибки связан с тем, что на торцы детекторов попадают электроны, движущиеся в магнитном поле по винтовой линии, средняя линия которой, вообще говоря, идет мимо зоны детекторов. Эти краевые эффекты учитывают с помощью различных расчетов, которые весьма трудно проверить экспериментально. Все перечисленные факторы ограничивают абсолютную точность определения времени жизни или периода полураспада способом, связанным с измерением скорости счета продуктов распада, величиной порядка 3-15 секунд на уровне значения времени жизни около 900 с.
В качестве прототипа принято наиболее близкое к предлагаемому способу по совокупности признаков техническое решение [3]. Здесь в дополнение к аналогу использована ступенчатая вариация потока исходных распадающихся частиц через зону, контролируемую детектором частиц, продуктов распада. Однако недостатком решения является измерение потока субстанции через зону контроля, что приводит к дополнительной погрешности за счет статистической и систематической ошибки.
Целью предлагаемого способа является повышение точности измерения константы распада (времени жизни) радиоактивных ядер, расширение области применения способа, снижение стоимости реализации способа.
Данная цель достигается тем, что поток исходных ядер (частиц) варьируют, добиваясь повторяемости k произвольно заданных значений потока. Затем, после большого числа повторений цикла измерений, обрабатывают массив значений скоростей счета электронов, определяя с помощью частотного анализа kmax уровней скоростей счета Gk и их погрешности k. При этом постоянную распада =1/ , где – время жизни исходной частицы, исходных частиц определяют вариационным методом из условия минимума функционала ошибок , .
Здесь kmax – максимальный номер реализованных значений потока,
Nk – число видимых детектором исходных частиц на k-том уровне потока, Gk – скорость счета электронов, а соотношения чисел Nk заданы с помощью устройства-вариатора потока.
Затем строится оценка чисел частиц в зоне видимости детектора для разных степеней р приближения этих чисел с шагом 1/µ, где k=1, kmax, round-оператор округления до ближайшего десятичного числа с р знаками после запятой, µ – фактор шкалы чисел частиц, находящихся в зоне видимости детектора на каждой ступени потока. Оценка строится для всех доступных степеней р приближений данного набора чисел частиц. Фактор шкалы µ варьируется до наилучшего совпадения минимумов функционалов ошибок всех степеней р вблизи единственной точки 0(p)=1/ , где 0 – время жизни радиоактивной субстанции, причем число минимумов, соответствующих числу степеней свободы, наибольшее вблизи этой точки.
Признаки изобретения связаны с достигаемой целью следующим образом.
Изменение видимого количества радиоактивных частиц в контролируемой зоне распада повторяемыми k уровнями и измерение уровней скорости счета Gk позволяют оценить эти уровни с помощью соотношения Gk= ×Nk. При этом использован тот факт, что каковы бы ни были эффективность устройства, транспортирующего электроны к детектору, и эффективность детектора, скорость счета электронов детектором пропорциональна некоторому числу распадающихся частиц в зоне видимости детектора, причем это число определяется интегральной эффективностью устройства, а коэффициент пропорциональности точно равен постоянной распада нейтрона. Это означает, что скорость регистрации частиц распада определяется числом частиц, видимых детектором, и постоянной распада. Причем поскольку в любом наборе чисел частиц реализуется правило кратности

где Nk – число частиц на данной ступени, k – номер ступени, mk – кратность k-той ступени потока, т.е. целое число, N – значение наибольшего общего делителя (неизвестное) для данной комбинации Nk, то полагая µ=1/ N, где µ – фактор кратности, и =1/ , где – наблюдаемое время жизни нейтрона, запишем (1) в виде:

где k=1, ,kmax.
Изменение числа частиц, проходящих через контролируемую зону, заданными ступенями позволяет отличить сигнал распада от фона.
Измерения распада малого количества исходных частиц в контролируемой области (например, от 3 до 30, но не более 100) при большом количестве измерений каждого уровня (например, порядка 10000) обеспечивают высокую точность определения уровней скорости счета.
Использование частотного анализа позволяет увидеть эти уровни и определить их положение Gk и погрешность положения (стандартную ошибку или ошибку среднего k). Для пробных значений =1/ при заданном значении µ выполняем оценку Nk в виде

получая . Далее, в дополнение к условиям (2, 3) потребуем еще минимума в точке = 0 функционала ошибок Fp( , µ), который определим следующим образом:

Условие минимума Fp( ,µ): 
Соответствие фактора кратности µ=µ0 данному набору экспериментальных данных будет очевидным, если

где – число степеней свободы, равное (k-1). Условие (6) выполняется при всех р pmin, где pmin – некоторое минимальное значение p, характерное для данного набора данных, а условие (5) выполняется при всех р вблизи = 0.
Отсюда вытекает последнее условие:

Условие (7) является решающим для выбора параметра µ и означает, что при адекватном выборе µ (фактора кратности) все отличные друг от друга приближения определяемых этим значением нейтронных чисел должны соответствовать друг другу в пределах погрешности. При этом нейтронные числа, используемые в функционале приближения и определяемые (1) через точное значение фактора кратности, являются округлениями нейтронных чисел до точности р знаков после десятичной запятой. Таким образом, вместо обычного измерения и сложного вычисления поправок определение числа частиц в зоне видимости детектора способ сводится к определению некоторого набора членов арифметической прогрессии через ее разность N=1/µ. Использование соотношений (5), (6), (7) дает возможность точно определить фактор кратности и время жизни (константу распада). Фактически соотношения (5), (6), (7) дают два дополнительных уравнения для определения двух параметров µ и , что в сочетании с правилом кратности позволяет решить систему линейных уравнений, описывающую радиоактивный распад при ступенчатой вариации потока. При этом сходимость значений времени жизни для всех приближений нейтронных чисел, соответствующих адекватному фактору кратности, обеспечивает исключение погрешности нейтронных чисел из погрешности времени жизни (константы распада). Многоступенчатая вариация потока и определение скоростей счета распада на всех ступенях потока дает повышение точности, пропорциональное числу ступеней.
Таким образом, указанные признаки способствуют достижению более высокой точности.
Поскольку способ требует ограниченного числа частиц в области видимости детектора, что и дает возможность строить приближения до целых чисел, затем до первого знака и второго знака после десятичной запятой, то его область применения распространяется на источники малой мощности. Такими источниками при изучении распада нейтронов могут быть стандартные нейтронные генераторы типа НГИ, основанные на D(d, n) или T(d, n) реакциях, излучающие быстрые нейтроны с энергией около 14 МэВ. Более того, в зависимости от устройства доставки нейтронов в контролируемую область, можно использовать тепловые или холодные, а также ультрахолодные нейтроны от реакторов малой мощности в учебных центрах. Отсутствие требования высоких потоков делает этот способ широко применимым. В случае радиоактивных ядер можно использовать дозированный поток жидкости или газа с примесью радиоактивного вещества через контролируемую область распада, используя средства регулирования потока для обеспечения дозированного изменения. Это делает способ применимым в любых системах, транспортирующих радиоактивные частицы в газовых или жидкостных потоках, например, в радиохимии или, наконец, виде пучков ускоренных радиоактивных частиц.
Так достигается цель расширения области применимости способа.
Возможная замена высокопоточного реактора (которого нет в России) импульсным нейтронным генератором стоимостью 55 тысяч у.е. (которые в России производятся) наглядно показывает достижение цели в части снижения стоимости. Эксплуатационные расходы определяются малым энергопотреблением и небольшим эксплуатационным персоналом, обслуживающим автоматизированную установку.
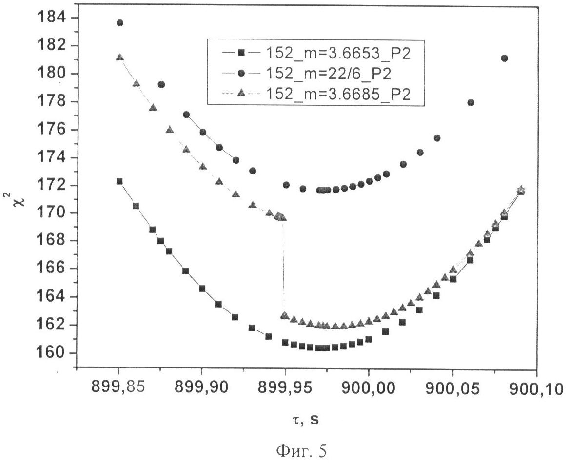
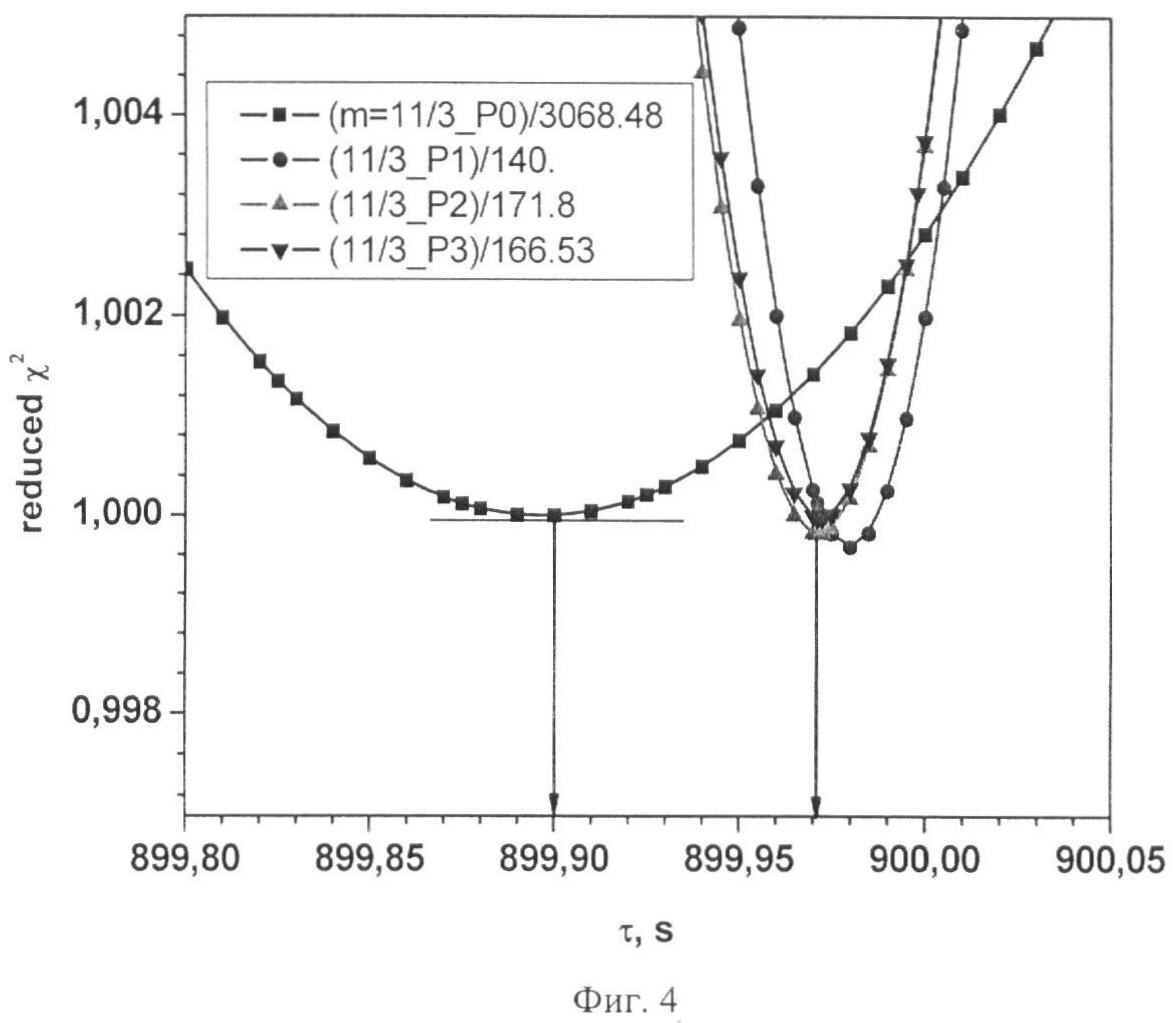
Сущность изобретения характеризуется чертежами. На фиг.1 показана схема устройства для точного определения скорости счета при малых их значениях, здесь 1 – сечение пучка распадающихся частиц, например нейтронов, 2 – детекторы электронов, 3 – обмотки электромагнита, 4 – ярмо электромагнита. На фиг.2 показан пример частотной гистограммы скорости счета электронов в случае измерения распада нейтронов. На фиг.3 приведен вид квадратичных функционалов ошибки для разных степеней точности нейтронных чисел, задаваемых оптимальным фактором кратности, равным 11/3. На фиг.4 приведено соответствие функционалов ошибки на оси времени в разных приближениях оптимальных значений нейтронных чисел при µ0=11/3. Видно, что все значения точек минимума разместились на отрезке, не превышающем 0.1 секунды. На фиг.5 показана устойчивость значения минимума функционала ошибки при р=2 вблизи оптимального фактора кратности µ0=11/3. На фиг.6 приведено определение времени жизни нейтрона квадратичной аппроксимацией зависимости функционала ошибки от пробного значения времени для оптимального фактора кратности µ0=11/3.
Новизна технического решения определяется тем, что данный метод поиска шкалы распада предложен впервые. Функционал ошибки также впервые рассматривается на разных порядках точности округления оптимальных нейтронных чисел. Существование и единственность оптимального фактора кратности (определяющего оптимальный набор числа частиц) следуют из того факта, что для любого реализованного набора ступеней числа частиц в зоне видимости детектора существует наибольший общий делитель. Определяя путем вариаций его значение, получают наиболее точное значение времени жизни для функционала округления оптимальных чисел частиц до целых значений, до десятых, до сотых и так далее. Наилучшее значение фактора кратности обеспечивает наилучшее соответствие (максимальное сближение) решений для времени жизни на всех порядках точности. Фактически трех функционалов для упомянутых степеней приближений оказывается достаточно.
Вместо практически невозможного измерения абсолютных значений нейтронных чисел (чисел распадающихся частиц) предложен метод параметризации реализованного набора этих чисел в виде арифметической прогрессии. Искомым параметром является разность этой прогрессии, оптимальное значение которой определяют вариацией значений, добиваясь наилучшего соответствия.
Способ реализуется следующим образом. Поток нейтронов от любого источника формируется в виде пучка 1. Детекторы электронов 2, установленные справа и слева от пучка, проходящего между полюсами электромагнита, образованного обмотками 3 и ярмом 4, регистрируют электроны от распада нейтронов. Детекторы электронов могут быть разного типа (газовые, сцинтилляционные, полупроводниковые на основе кремния или другие). Варьируя поток нейтронов с помощью входного устройства (на чертеже не показано), например, диафрагмы переменного сечения, обеспечивают ступенчатую вариацию потока, т.е. меняют количество нейтронов в контролируемой детекторами области.
При каждом уровне числа нейтронов (потока) многократно измеряют скорость счета электронов, изменяя интервал считывания и выбирая оптимальный с точки зрения статистической обеспеченности. Затем, после большого числа повторений измерения, обрабатывают массив значений скоростей счета электронов, определяя для k реализованных уровней скорости Gk счета и их погрешности k, причем константу распада нейтрона определяют из условия минимума в точке = 0 ( 0=1/ ) функционала ошибок .
Условие минимума Fp( ,µ): .
Соответствие фактора кратности µ=µ0 данному набору экспериментальных данных проверяется соотношением , где – число степеней свободы, равное (k-1). Фактор кратности варьируют до достижения наилучшего совпадения времени жизни для всех доступных приближений нейтронных чисел: 0 (µ, р=0) 0(µ,p=1) 0(µ,p=2) 0(µ,p=3) . Определение времени жизни нейтрона (постоянной распада) проводится квадратичной аппроксимацией зависимости функционала ошибки от пробного значения времени для оптимального фактора кратности. В примере реальной экспозиции получено значение 900.0±0.1 с на уровне достоверности 95%. Это значение превосходит наиболее точные измерения последних лет [5]. При этом оно совместимо с результатами, полученными регистрацией электронов и протонов распада, но значимо отличается от результатов, получаемых методом хранения ультрахолодных нейтронов.
Экономическая эффективность предлагаемого технического решения связана с его простотой и ограничением скорости счета детектора, т.е. числа распадающихся частиц в зоне видимости детектора. Для того, чтобы целочисленное приближение и другие приближения более высокой точности давали значимый результат, достаточно ограничить числа распадающихся частиц в зоне видимости детектора значением от 5 до 25. Предлагаемый способ не требует высокопоточных реакторов и может быть использован на любом исследовательском реакторе, например, реакторе ИРТ в МИФИ. При этом абсолютная погрешность измерения времени жизни нейтрона может быть снижена до 0.1 с и менее.
Способ применим и при любых других распадах.
Литература
1. Б.Г.Ерозолимский. Бета-распад свободного нейтрона. Сборник «Современные методы ядерной спектроскопии». 1986, Л.: Наука, 1986, с.10-13.
2. C.J.Christensen, A.Nielsen, A.Bahnsen, W.K.Brown, B.M.Rustad. Phys. Rev. 1972, D5, #7, p.162.
3. Васильев В.В., Васильев Вс.В., Боровлев С.П. Способ измерения радиоактивного распада. Патент на изобретение 2253134. Приоритет от 17 ноября 2003 г. Зарегистрировано 27 мая 2005 г.
Формула изобретения
Способ измерения константы радиоактивного распада, включающий проток исходной радиоактивной субстанции (ядер, частиц) через контролируемую зону, ступенчатую вариацию потока исходной субстанции с повторяемостью k-значений потока, транспортировку из контролируемой зоны и регистрацию детектором продуктов распада исходной субстанции, измерение kmax-уровней скоростей счета Gk и их погрешностей k, определение по скоростям счета константы распада исходной субстанции, отличающийся тем, что при каждом уровне числа нейтронов (потока) многократно измеряют скорость счета электронов, изменяя интервал считывания и выбирая оптимальный с точки зрения статистической обеспеченности, при этом функционал ошибок строится для оценки чисел частиц в зоне видимости детектора для разных степеней р приближения этих чисел с шагом 1/µ, где k=1, kmax round-оператор округления до ближайшего десятичного числа с р знаками после запятой, µ – фактор шкалы; и фактор шкалы µ варьируется до наилучшего совмещения минимумов функционалов ошибок всех степеней вблизи единственной точки 0(р)=1/ , где 0 – время жизни радиоактивной субстанции, причем число значений минимумов, соответствующих числу степеней свободы, наибольшее вблизи этой точки, в результате определяя постоянную распада с помощью частотного анализа k уровней скоростей счета Gk и их погрешности k, оценивают уровни потока частиц в зоне видимости детектора, при этом изменение числа частиц, проходящих через контролируемую зону, позволяет отличить сигнал распада от фона.
РИСУНКИ
|
|