|
|
(21), (22) Заявка: 2008131973/28, 25.07.2008
(24) Дата начала отсчета срока действия патента:
25.07.2008
(46) Опубликовано: 27.12.2009
(56) Список документов, цитированных в отчете о поиске:
RU 2244942 C2, 20.01.2005. RU 2179716 C2, 20.02.2002. RU 2161300 C2, 27.12.2000. GB 2293885 A, 10.04.1996. US 6392408 B1, 21.05.2002.
Адрес для переписки:
197348, Санкт-Петербург, Богатырский пр., 2, ЛенСпецСМУ, В.А. Заренкову
|
(72) Автор(ы):
Заренков Вячеслав Адамович (RU), Заренков Дмитрий Вячеславович (RU), Дикарев Виктор Иванович (RU)
(73) Патентообладатель(и):
Заренков Вячеслав Адамович (RU), Заренков Дмитрий Вячеславович (RU), Дикарев Виктор Иванович (RU)
|
(54) СИСТЕМА ДИСТАНЦИОННОГО ОБНАРУЖЕНИЯ ВЕЩЕСТВА
(57) Реферат:
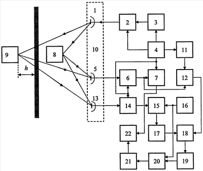
Изобретение относится к радиотехническим средствам, использующим магнитный резонанс для поиска и обнаружения преимущественно наркотиков и взрывчатых веществ в составе предъявленных для исследования предметов, а также поляризационную селекцию и фазовый анализ для поиска и обнаружения наркотиков, упакованных в неметаллическую оболочку и находящихся в укрывающих средах, например в брюшной полости человека, используемого для транспортировки наркотических средств, багаже, чемоданах, дипломатах, сумках и т.п., и может найти применение в аэропортах, таможенных терминалах, блокпостах, автопарковках и т.п. Система дистанционного обнаружения вещества содержит передающую антенну 1, передатчик 2, генератор 3 импульсов, синхронизатор 4, первую приемную антенну 5, первый приемник 6, накопитель 7, исследуемое вещество 8, наркотическое средство 9, антенный блок 10, блок 11 временной задержки, ключ 12, вторую приемную антенну 13, второй приемник 14, смеситель 15, гетеродин 16, усилитель 17 промежуточной частоты, перемножитель 18, узкополосный фильтр 19, фазовый детектор 20, блок 21 сравнения и блок 22 регистрации. Технической результат – расширение функциональных возможностей системы. 1 ил.
Предлагаемая система относится к радиотехническим средствам, использующим магнитный резонанс для поиска и обнаружения преимущественно наркотиков и взрывчатых веществ в составе предъявленных для исследования предметов, а также поляризационную селекцию и фазовый анализ для поиска и обнаружения наркотиков, упакованных в неметаллическую оболочку и находящихся в укрывающих средах, например в брюшной полости человека, используемого для транспортировки наркотических средств, багаже, чемоданах, дипломатах, сумках и т.п., и может найти применение в аэропортах, таможенных терминалах, блокпостах, автопарковках и т.п.
Известны способы и системы дистанционного обнаружения вещества (патенты РФ 2.128.832, 2.148.817, 2.150.105, 2.161.300, 2.165.104, 2.179.716, 2.185.614, 2.226.686, 2.244.942, 2.249.202; патенты США 4.756.866, 5.986.455, 6.194.898, 6.392.408; патенты Великобритании 2.159.626, 2.254.923, 2.289.344, 2.293.885; Гречишкин В.Д. и др. Локальный ЯКР в твердых телах. Успехи физических наук, 1993, т.163, 10 и др.).
Из известных систем наиболее близкой к предлагаемой является система, реализующая «Способ дистанционного обнаружения вещества» (патент РФ 2.244.942, G01R 33/20, 2003), которая и выбрана в качестве прототипа.
Указанная система основана на дистанционном обнаружении вещества с использованием дистанционного возбуждения электромагнитной волной магнитного резонанса в веществе с последующим измерением частоты отклика, по наличию которого делается заключение о наличии данного вещества, при этом возбуждающий электромагнитный сигнал излучается на частоте, много большей частоты магнитного резонанса подлежащего обнаружению вещества, и модулируют излучаемый возбуждающий электромагнитный сигнал по поляризации на частоте магнитного резонанса, а отклик регистрируется на частоте модуляции.
Однако известная система не полностью реализует свои потенциальные возможности, она может использовать поляризационную селекцию и фазовый анализ для поиска и обнаружения наркотиков, упакованных в неметаллическую оболочку и находящихся в укрывающих средах, например в брюшной полости человека, используемого для транспортировки наркотических средств, багаже, сумках, чемоданах, дипломатах и т.п.
Технической задачей изобретения является расширение функциональных возможностей системы путем поиска и обнаружения наркотиков, упакованных в неметаллическую оболочку и находящихся в укрывающих средах, например в брюшной полости человека, используемого для транспортировки наркотических средств, багаже, сумках, чемоданах, дипломатах и т.п.
Поставленная задача решается тем, что система дистанционного обнаружения вещества, содержащая, в соответствии с ближайшим аналогом исследуемое вещество, последовательно включенные синхронизатор, генератор импульсов, передатчик, второй вход которого соединен с вторым выходом синхронизатора, и передающую антенну, последовательно включенные первую приемную антенну, первый приемник, второй вход которого соединен с третьим выходом синхронизатора, и накопитель, второй вход которого соединен с третьим выходом синхронизатора, отличается от ближайшего аналога тем, что она снабжена наркотическим средством, помещенным в укрывающую среду, блоком временной задержки, ключом, второй приемной антенной, вторым приемником, смесителем, гетеродином, усилителем промежуточной частоты, перемножителем, узкополосным фильтром, фазовым детектором, блоком сравнения и блоком регистрации, причем к выходу второй приемной антенны последовательно подключены второй приемник, второй вход которого соединен с третьим выходом синхронизатора, смеситель, второй вход которого соединен с выходом гетеродина, усилитель промежуточной частоты, перемножитель, узкополосный фильтр, фазовый детектор, второй вход которого соединен с выходом гетеродина, блок сравнения и блок регистрации, второй вход которого соединен с выходом накопителя, к четвертому выходу синхронизатора последовательно подключены блок временной задержки и ключ, второй вход которого соединен с выходом первого приемника, а выход подключен к второму входу перемножителя, передающая антенна, первая и вторая приемные антенны снабжены поляризаторами и объединены в антенный блок.
Структурная схема предлагаемой системы представлена на чертеже.
Система содержит исследуемое вещество 8, наркотическое средство 9, помещенное в укрывающую среду, последовательно включенные синхронизатор 4, генератор 3 импульсов, передатчик 2, второй вход которого соединен с вторым выходом синхронизатора 4, и передающую антенну 1, последовательно включенные первую приемную антенну 5, первый приемник 6, второй вход которого соединен с третьим выходом синхронизатора 4, накопитель 7, второй вход которого соединен с третьим выходом синхронизатора 4, последовательно включенные вторую приемную антенну 13, второй приемник 14, второй вход которого соединен с третьим выходом синхронизатора 4, смеситель 15, второй вход которого соединен с выходом гетеродина 16, усилитель 17 промежуточной частоты, перемножитель 18, узкополосный фильтр 19, фазовый детектор 20, второй вход которого соединен с выходом гетеродина 16, блок 21 сравнения и блок 22 регистрации, второй вход которого соединен с выходом накопителя 7, последовательно подключенные к четвертому выходу синхронизатора 4 блок 11 временной задержки и ключ 12, второй вход которого соединен с выходом первого приемника 6, а выход подключен к второму входу перемножителя 18. Передающая антенна 1, первая 5 и вторая 13 приемные антенны снабжены поляризаторами и объединены в антенный блок 10.
Предлагаемая система может работать в двух режимах.
Первый режим основан на дистанционном возбуждении электромагнитной волной магнитного резонанса в исследуемом веществе с последующим измерением частоты отклика.
Второй режим основан на радиомагнитном радиолокационном зондировании плоскополяризованной волной предполагаемого места закладки наркотического средства, упакованного в неметаллическую оболочку и размещенного в укрывающей среде, с последующим измерением сдвига фаз между двумя отраженными составляющими, которые в общем случае имеют эллиптическую поляризацию с противоположными направлениями вращения вектора электромагнитного поля.
В первом режиме импульсы с частотой заполнения 1 и ( 1– ), формируемые в генераторе 3 импульсов, поступают в передатчик 2 и излучаются передающей антенной 1 в направлении исследуемого вещества 8. Последнее может располагаться, например, на теле человека под его одеждой. Передающая 1 и приемные 5, 13 антенны выполнены, например, в виде рупорных антенн, которые снабжены поляризаторами. Сигнал в передающую антенну 1 поступает с круглого волновода, на который, в свою очередь, с передатчика 2 подаются две ортогональные (по поляризации) составляющие, одна на частоте 1, а другая – на частоте ( 1– ), в результате чего излучаемая антенной 1 волна будет модулирована по поляризации с частотой магнитного резонанса .
Исследуемое вещество 8, облученное электромагнитной волной, содержащей составляющую по частоте магнитного резонанса , возбуждается и по окончании импульса облучения излучает сигнал отклика на этой же частоте. Сигнал отклика принимается приемной антенной 5, содержащей четыре ферритовых стержня диаметром 8 мм и длиной 138 мм, при этом на стержни намотаны катушки индуктивности, содержащие по 20 витков и соединенные параллельно. Работой системы управляет синхронизатор 4.
Сигнал с приемной антенной 5 поступает на первый вход приемника 6, на второй вход которого поступает опорное напряжение с третьего выхода синхронизатора 4, запирающее приемник 6 на время излучения импульсов. С выхода приемника 6 сигналы поступают на вход накопителя 7, где они постепенно накапливаются, что позволяет увеличить дальность от приемной антенны 5 до исследуемого вещества 8 в 2-3 раза. На второй вход накопителя 7 поступает также опорное напряжение с третьего выхода синхронизатора 4, обеспечивающее синхронизацию накапливаемых импульсов.
В случае модуляции по поляризации излучаемого сигнала с частотой , равной частоте магнитного резонанса исследуемого вещества 8, при частоте излучаемого сигнала 1>> , вектор напряженности магнитного поля излучаемого электромагнитного сигнала содержит составляющую:

Исследуемое вещество 8 будет активно взаимодействовать с магнитном полем на частоте (Дудкин В.И., Пахомов Л.Н. Основы квантовой электроники. СПб-ГТУ, 2001). Поскольку частота 1 может быть выбрана достаточно высокой 1>> , то в этом случае реализация передающей антенны 1 может быть осуществлена, например, с помощью техники антенн сверхвысоких частот (СВЧ), на которую модулированный по поляризации сигнал поступает из круглого волновода, на который, в свою очередь, поступают две линейно-поляризованные ортогональные волны и частоты которых равны соответственно 1 и ( 1– ).
Переход на частоту возбуждающего излучения в диапазоне СВЧ позволяет обеспечить «дальнюю зону» для излучаемого электромагнитного сигнала уже при дальности в несколько десятков сантиметров. В результате на расстояниях порядка нескольких метров от излучателя обеспечивается уровень электромагнитного излучения, достаточный для возбуждения резонанса в веществе.
Во втором режиме генератор 3 импульсов формирует зондирующий импульс:
U1(t)=V1·cos( 1·t+ 1), 0 t T1,
где V1, 1, 1, T1 – амплитуда, несущая частота, начальная фаза и длительность импульса; который поступает на вход передатчика 2, а затем на вход передающей антенны 1, где он приобретает плоскую поляризацию и излучается в направлении поверхности укрывающей среды, под которой может находиться наркотическое средство 9.
Обнаружение наркотических средств в укрывающих средах осуществляется оператором путем перемещения антенного блока 10 над предполагаемым местом закладки наркотического средства 9. При этом в укрывающей среде создается электромагнитное поле путем его электромагнитного зондирования. При достижении зондирующим сигналом наркотического средства 9 происходит его частичное отражение в сторону поверхности укрывающей среды.
Когда плоскополяризованная электромагнитная волна отражается от наркотического средства 9, на которое воздействует внешнее магнитное поле Земли, то она разделяется на две независимые составляющие, которые в общем случае имеют эллиптическую поляризацию с противоположными направлениями вращения вектора электромагнитного поля. На частотах дециметрового диапазона обе составляющие имеют круговую поляризацию. Наркотическое средство 9 имеет отличные от укрывающей среды электрические параметры (проводимость и диэлектрическую проницаемость).
Обе волны отражаются и распространяются с различными скоростями, вследствие чего фазовые соотношения между этими волнами изменяются. Это явление обычно называют эффектом Фарадея, из-за которого отраженный сигнал испытывает вращение плоскости поляризации. Угол поворота плоскости поляризации, который определяется разной скоростью распространения и отражения сигналов с правой и левой круговой поляризацией от наркотического средства 9, находится из соотношения:
Z=1/2( п– л),
где п, л – фазовые запаздывания отраженных сигналов с правой (вращение плоскости поляризации по часовой стрелке) и левой (вращение плоскости поляризации против часовой стрелки) круговой поляризации соответственно.
Отраженный сигнал улавливается приемными антеннами 5 и 13. При этом приемная антенна 5 восприимчива только к отраженному сигналу с правой круговой поляризацией, а приемная антенна 13 – только к отраженному сигналу с левой круговой поляризацией.
На выходе приемников 6 и 14 образуются следующие сигналы:
Uп(t)=Vп·cos[( 1± )·t+ п],
Uл(t)=Vл·cos[( 1± )·t+ л], 0 t T1,
где индексы «п» и «л» относятся соответственно к сигналам с правой и левой круговой поляризацией;
± – нестабильность несущей частоты, обусловленная некогерентным отражением и другими дестабилизирующими факторами.
Сигнал Uп(t) с выхода приемника 6 через ключ 12 поступает на первый вход перемножителя 18. Чтобы измеряемая разность фаз соответствовала глубине h залегания наркотического средства 9, перемножитель 18 стробируется по времени с помощью ключа 12, на управляющий вход которого поступают стробирующие импульсы, формируемые блоком 11 временной задержки. Последний управляется синхронизатором 4. Временная задержка импульсов определяется глубиной h залегания наркотического средства 9 в укрывающей среде. При изменении глубины меняется и время задержки.
Отраженный сигнал Uл(t) с выхода приемника 14 поступает на первый вход смесителя 15, на второй вход которого подается напряжение гетеродина 16:
Uг(t)=Vг·cos( г+ г).
На выходе смесителя 15 образуются напряжения комбинационных частот. Усилителем 17 выделяется напряжение промежуточной (разностной) частоты:
Uпp(t)=Vпр·cos[( пр± )·t+ пр], 0 t T1,
где Vпр=1/2Vл·Vг;
пр= 1– г – промежуточная частота;
пр= л– г,
которое поступает на второй вход перемножителя 18. На выходе последнего образуется гармоническое напряжение:
U2(t)=V2·cos( г·t+ г+ ), 0 t T1,
где V2=1/2 Vп·Vпр;
 = п– л – разность фаз между отраженными сигналами с правой и левой круговой поляризацией, которая выделяется узкополосным фильтром 19 и поступает на первый вход фазового детектора 20, на второй вход которого подается напряжение гетеродина Uг(t). На выходе последнего образуется низкочастотное напряжение:
Uн( )=Vн·cos ,
где Vн=1/2 V2·Vг;
пропорциональное измеряемому сдвигу фаз  . Это напряжение сравнивается в блоке 21 сравнения с эталонным напряжением:
Uэ( э)=Vэ·cos э,
где  э – неизменяемый фазовый сдвиг, получаемый при зондировании укрывающей среды при отсутствии наркотического средства 9.
Сдвиг фаз  э определяется частотой зондирующего сигнала и электрическими параметрами укрывающей среды. Этот сдвиг фаз остается неизменным при зондировании укрывающей среды в отсутствии наркотических средств.
Если Uн( ф) Vэ( э), то в блоке 21 сравнения постоянное напряжение не формируется.
При Uн( )>Vэ( э), в блоке 21 сравнения формируется постоянное напряжение, которое поступает на второй вход блока 22 регистрации.
Причем факт регистрации этого напряжения свидетельствует о наличии наркотического средства в данной укрывающей среде.
Таким образом, предлагаемая система по сравнению с прототипом и другими техническими решениями аналогичного назначения обеспечивает поиск и обнаружение наркотических средств, упакованных в неметаллическую оболочку и находящихся в укрывающих средах, например в брюшной полости человека, используемого для транспортировки наркотических средств, багаже, чемоданах, дипломатах, сумках и т.п.
При этом предлагаемая система позволит повысить достоверность поиска и обнаружение, и разрешающую способность по глубине при определении местоположения наркотических средств, находящихся в укрывающих средах. Это достигается за счет использования поляризационной селекции и устранения неоднозначности фазовых измерений, что обеспечивается тем, что фазовые измерения осуществляются между отраженными сигналами с правой и левой круговой поляризацией, а не между зондирующими и отраженными сигналами. При этом фазовый сдвиг между отраженными сигналами с правой и левой круговой поляризацией измеряется на стабильной частоте г гетеродина. Поэтому процесс измерения фазового сдвига  инвариантен к нестабильности несущей частоты отраженного сигнала, возникающей при некогерентном отражении сигнала от наркотического средства и других дестабилизирующих факторах, что позволяет повысить точность измерения фазового сдвига  , а следовательно, и точность определения местоположения наркотического средства.
Тем самым функциональные возможности системы расширены.
Формула изобретения
Система дистанционного обнаружения вещества, содержащая исследуемое вещество, последовательно включенные синхронизатор, генератор импульсов, передатчик, второй вход которого соединен с вторым выходом синхронизатора, и передающую антенну, последовательно включенные первую приемную антенну, первый приемник, второй вход которого соединен с третьим входом синхронизатора, и накопитель, второй вход которого соединен с третьим выходом синхронизатора, отличающаяся тем, что она снабжена наркотическим средством, помещенным в укрывающую среду, блоком временной задержки, ключом, второй приемной антенной, вторым приемником, смесителем, гетеродином, усилителем промежуточной частоты, перемножителем, узкополосным фильтром, фазовым детектором, блоком сравнения и блоком регистрации, причем к выходу второй приемной антенны последовательно подключены второй приемник, второй вход которого соединен с третьим выходом синхронизатора, смеситель, второй вход которого соединен с выходом гетеродина, усилитель промежуточной частоты, перемножитель, узкополосный фильтр, фазовый детектор, второй вход которого соединен с выходом гетеродина, блок сравнения и блок регистрации, второй вход которого соединен с выходом накопителя, к четвертому выходу синхронизатора последовательно подключены блок временной задержки и ключ, второй вход которого соединен с выходом первого приемника, а выход подключен к второму входу перемножителя, передающая антенна, первая и вторая приемные антенны снабжены поляризаторами и объединены в антенный блок.
РИСУНКИ
|
|