|
|
(21), (22) Заявка: 2008113867/28, 11.04.2008
(24) Дата начала отсчета срока действия патента:
11.04.2008
(46) Опубликовано: 27.12.2009
(56) Список документов, цитированных в отчете о поиске:
RU 2168166 C2, 27.05.2001. RU 2239179 C1, 27.10.2004. SU 810205 A1, 07.03.1981. US 6475168 B1, 05.11.2002. US 4523806 A, 18.06.1985.
Адрес для переписки:
109431, Москва, Жулебино, ул. Авиаконструктора Миля, 15, корп.1, кв.124, В.Я.Маклашевскому
|
(72) Автор(ы):
Маклашевский Виктор Яковлевич (RU), Кеткович Андрей Анатольевич (RU), Базанова Наталия Васильевна (RU)
(73) Патентообладатель(и):
Маклашевский Виктор Яковлевич (RU)
|
(54) РЕНТГЕНООПТИЧЕСКИЙ ЭНДОСКОП
(57) Реферат:
Использование: для дефектоскопии объектов, находящихся в труднодоступных полостях. Сущность: заключается в том, что устройство для комплексного рентгеновского и визуального контроля объектов, находящихся в труднодоступных полостях, содержит корпус с расположенными в нем оптически сопряженными рентгенооптическим и визуально-оптическим каналами для проецирования изображения объекта на ПЗС-матрицу телевизионной системы, формирующую изображение на мониторе, при этом в него дополнительно введен четвертый объектив, оптическая ось которого параллельна оптической оси фокона и находится от нее на расстоянии R, фокон и четвертый объектив установлены с возможностью взаимного перемещения без нарушения параллельности их оптических осей в пределах величины R и последовательной фиксации в положениях, при которых центр выходного торца фокона и центр изображения четвертого объектива совмещены с центром регулярного волоконно-оптического жгута рентгено-оптического канала, а перед широкополостным источником света визуально-оптического канала, излучающим в видимой и ультрафиолетовой области спектра, установлен с возможностью ввода-вывода из потока излучения светофильтр, выделяющий из спектра излучения этого источника диапазон длин волн УФ-спектра, возбуждающих фотолюминесценцию пенетранта, используемого при люминесцентной дефектоскопии. Технический результат: обеспечение возможности контроля изделий в условиях пониженной освещенности. 4 ил.
Изобретение относится к области неразрушающего контроля материалов и изделий, а более конкретно к устройствам рентгеновской и/или изотопной дефектоскопии объектов, находящихся в труднодоступных полостях.
Известен рентгенооптический эндоскоп, который состоит из расположенных в едином корпусе и конструктивно объединенных двух оптически сопряженных систем – визуального и рентгеновского информационных каналов. Устройство позволяет формировать, передавать и воспроизводить одновременно и последовательно рентгеновское и визуальное изображение объектов с помощью единой черно-белой телевизионной системы. Получаемые изображения полностью вписываются в растр ПЗС-матрицы телевизионной системы с помощью поликоллиматорной оптической системы с телецентрическим ходом лучей между элементами. Телевизионная система может быть выполнена на базе цветной ПЗС-матрицы и цветного монитора, что позволяет контролировать объекты по визуальному каналу в естественных цветах или спектрозональным методом, например, для спектрального контрастирования дефектов типа налетов и наплывов. Технический результат заключается в расширении технических возможностей устройства, а также обеспечения максимальной емкости рентгеновского и оптического изображений объектов [1].
Недостаток данного устройства – невозможность использования усилителей изображения при наблюдении объектов в условиях пониженной освещенности, например, деталей, покрытых слоями сажи, нагара, что часто встречается при рентгенографии, при визуальном контроле изделий спецтехники.
Кроме того, усиление яркости необходимо при комплексном контроле изделий с применением технологий люминесцентной дефектоскопии.
Цель изобретения – устранение этого недостатка.
Для этого в устройство для комплексного рентгеновского и визуального контроля объектов, находящихся в труднодоступных полостях, содержащее корпус с расположенными в нем оптически сопряженными рентгенооптическим и визуально-оптическим каналами для проецирования изображения объекта на ПЗС-матрицу телевизионной системы, формирующую изображение на мониторе, причем рентгенооптический канал содержит фокон с расположенным на его торце рентгенолюминофором, волоконно-оптический регулярный жгут, выходной фокон, состыкованный торцами с волоконно-оптическим регулярным жгутом и входной волоконно-оптической шайбой электронно-оптического усилителя яркости, коллиматорный объектив с фокусным расстоянием f1, фокальная плоскость которого совпадает с выходным торцом волоконно-оптической шайбы, и зеркало, визуально-оптический канал содержит объектив, регулярный жгут, окуляр с фокусным расстоянием f2, фокальная плоскость которого совпадает с выходным торцом регулярного жгута, осветительный жгут и блок осветителя с широкополосным источником света, перед которым установлен оптический аттенюатор, оптическое совмещение каналов на входе устройства осуществляется с помощью системы, состоящей из зеркала и полупрозрачного зеркала, оптическое совмещение каналов на выходе устройства осуществляется с помощью входящего в состав рентгенооптического канала зеркала и светоделителя, а также коллиматорного объектива с фокусным расстоянием f3, фокальная плоскость которого совпадает с плоскостью фоточувствительного слоя ПЗС-матрицы телевизионной системы и осуществляющего проецирование изображении на ПЗС-матрицу, причем зеркало рентгекооптического канала и светоделитель установлены параллельно друг другу, образуя перископическую систему, и обеспечивают совпадение оптических осей коллиматорного объектива рентгено-оптического канала, окуляра визуально-оптического канала и коллиматорного объектива с фокусным расстоянием f3, при этом фокусные расстояния f1, f2, f3 удовлетворяют следующим соотношениям: f1/f3=D/A и f2/f3=d/A, где D и d – размеры выходных торцов волоконно-оптической шайбы и волоконно-оптического регулярного жгута визуально-оптического канала соответственно, А – размер ПЗС-матрицы, телезизионная система может быть выполнена на базе цветной ПЗС-матрицы и цветного монитора для обеспечения возможности контроля объекта по визуально-оптическому каналу в естественных цветах и/или спектрозональным методом, отличающийся тем, что в него дополнительно введен четвертый объектив, оптическая ось которого параллельна оптической оси фокона и находится от нее на расстоянии ,
где Dвх – входной диаметр этого фокона, d0 – диаметр четвертого объектива, d0 d, d – диаметр выходного торца фокона, фокон и четвертый объектив установлены с возможностью взаимного перемещения без нарушения параллельности их оптических осей в пределах величины R и последовательной фиксации в положениях, при которых центр выходного торца фокона и центр изображения четвертого объектива совмещены с центром регулярного волоконно-оптического жгута рентгено-оптического канала, с плоскостью входного торца которого совмещена плоскость изображения четвертого объектива, фокусное расстояние которого определяется с учетом выражения , где L – расстояние от выходного торца фокона до объекта, а перед широкополосным источником света визуально-оптического канала, излучающим в видимой и ультрафиолетовой области спектра, установлен с возможностью ввода-вывода из потока излучения светофильтр, выделяющий из спектра излучения этого источника диапазон длин волн УФ-спектра, возбуждающих фотолюминесценцию пенетранта, используемого при люминесцентной дефектоскопии.
Схема рентгенооптического эндоскопа (РОЭ) поясняется фиг.1а, фиг.1б, фиг.1в. На схеме изображены источник рентгеновского излучения 1, исследуемый объект 2, а также элементы рентгенооптического и визуально-оптического каналов. РОЭ состоит из расположенных в едином корпусе и конструктивно объединенных двух оптически сопряженных систем – визуального и рентгеновского информационных каналов.
Рентгенооптический канал состоит из входного фокона 6 с расположенным на его торце рентгено-люминофором 5, защищенным бериллиевой фольгой 4, волоконно-оптического регулярного жгута 7, выходного фокона 8, состыкованного торцами со жгутом 7 и входной волоконно-оптической шайбой электронно-оптического усилителя яркости изображения (УЯИ) 9 и коллиматорного объектива 10 с фокусным расстоянием f4, фокальная плоскость которого совпадает с выходным торцом волоконно-оптической шайбы УЯИ.
Визуально-оптический канал состоит из регулярного жгута 16, объектива 15, окуляра 19 с фокусным расстоянием f2, установленного так, что его фокальная плоскость совпадает с выходным торцом жгута 16, и блока осветителя 21 с широкополосным источником света 18, перед которой установлен оптический аттенюатор 22.
Оптическое совмещение рентгенооптического и визуального каналов на выходе РОЭ осуществляется с помощью зеркала 11, светоделителя 20 и коллиматорного объектива 12 с фокусным расстоянием 13, фокальная плоскость которого совпадает с плоскостью фоточувствительного слоя ПЗС-матрицы 13 телевизионной системы, формирующей изображение на мониторе 23. Зеркало 11 и светоделитель 20 параллельны друг другу, образуя перископическую систему и обеспечивая совпадение оптических осей объективов 10, 19 и 12 следующим образом. При включенном источнике рентгеновского излучения 1 на люминофоре 5 возникает изображение внутренней структуры объекта 2, которое с помощью фоконов 6, 8 регулярного волоконно-оптического жгута 7 поступает на вход УЯИ 9, усиливается по яркости в 103-104 раз и затем с помощью объектива 10, зеркала 11, светоделителя 20 и объектива 12 проецируется на черно-белую или цветную ПЗС-матрицу 13.
Фокусные расстояния объективов 10 и 12 выбраны такими, чтобы для системы обеспечения максимальной информационной емкости изображения выходного экрана УЯИ диаметром D полностью вмещалось в ПЗС-матрицу размером А, т.е. имеет место соотношение f1/f3=D/a, справедливое для телецентрического хода лучей между объективами 10 и 12.
При визуальном контроле объектива, что может осуществляться как при выключенном источнике рентгеновского излучения, так и при его включенном состоянии, объект 2 освещается с помощью осветительного жгута 17, зеркала 14 и полупрозрачного зеркала 3 от блока осветителя 21 с широкополосным источником света 18, регулируемым по яркости аттенюатором 22. Изображение объекта в отраженном свете с помощью зеркала 3, зеркала 14, регулярного жгута 16 с объективом 15, выходного объектива 19 и объектива 12 формируется на ПЗС-матрице 13 и наблюдается также на мониторе 23. Как и в случае рентгеновского канала, для обеспечения максимальной информационной емкости изображения фокусное расстояние объектива 19 выбирается из условия f2/f3=d/A, что обеспечивает полное вписание изображение выходного торца жгута 16 в растр матрицы 13.
При работе РОЭ возможно как раздельное, так и параллельное использование рентгенооптического и визуально-оптического каналов. Методически целесообразно вначале осуществить осмотр изделия с помощью визуального канала, выбрать нужный участок контроля, а затем перейти к рентгенотелевизионному контролю. Оптимизация взаимного расположения, находящегося снаружи объекта рентгеновского излучателя и входного торца РОЭ, производится при этом за счет взаимных котировочных перемещений.
Оба изображения могут записываться на видеомагнитофон, фотографироваться, вводиться в ПЭВМ с помощью стандартных средств.
Для обеспечения возможности люминесцентного контроля с ультразвуковым возбуждением люминофорных пенетрантов перед источником света 18 блока источника излучения 21 визуально-оптического канала установлен светофильтр 25 с возможностью ввода-вывода из потока оптического излучения.
Светофильтр 25 выполняется, например, из стекла марки УФС-1, широко применяемого в люминесцентной дефектоскопии для выделения области спектра УФ-А (длины волн 0,34÷0,38 мкм), вызывающего фотолюминесценцию распространенных люминесцирующих пенетрантов (жидких люминофоров с большой проникающей способностью) для визуализации микронных трещин на поверхности объекта.
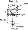
Входной фокон 6 с входным диаметром Dвх и выходным диаметром d установлен с возможностью поступательного перемещения относительно торца волоконно-оптического регулярного жгута 7, причем плоскость его выходного торца остается параллельной плоскости входного торца волоконно-оптического регулярного жгута и находится от него на минимально возможном технологическом расстоянии передника 0,01 мм, при котором не происходит расфокусировка изображения.
Непосредственно над входным фоконом располагается дополнительный объектив 24. Его оптическая ось параллельна оси фокона 6 и расположена на расстоянии от нее.
Это расстояние выбирается с учетом диаметра объектива 24 d0 d.
Плоскость изображения объектива 24 совпадает с плоскостью выходного торца фокона 6. Объектив 24 жестко закреплен в кассете 26 с фоконом 6 и преломляется вместе с ним.
При этом оси объектива и фокона перемещаются в плоскости, проходящей через оси фокона 6 и объектива 24 (на фиг.1 эта плоскость совпадает с плоскостью чертежа). Кассета 26 перемещается на расстояние R дистанционно с помощью стандартного реечного или иного механизма, снабженного, например, тросиком типа «Боуден». Механизм перемещения касты 26 не показан на чертеже в силу общеизвестности подобных конструкций – механических, электромеханических, пневматических, гидравлических и т.д. [2].
В крайних положениях кассета 26 фиксируется с помощью стандартных устройств. При этом с центром входного торца жгута 7 поочередно совмещаются центр, выходного торца фокона 6 или центр изображения формируемого объективом 24.
Фокусное расстояние четвертого объектива 24 выбирается таким, чтобы изображение участка объекта 2 диаметром Dвх, просвечиваемого пучка рентгеновского излучения от источника 1, полностью вписалось в торец волоконно-оптического жгута 7.
На фиг.2, а и б показана расчетная схема для определения фокусного расстояния четвертого объектива.
Расстояние L от объекта до изображения, формируемого четвертым объективом в плоскости, совпадающей с плоскостью расположения выходного торца фокона диаметром d, равно [3]
L=-x-f4+HH’+f’4+x’,
где
-x – расстояние от объекта до переднего фокуса линзы фокона;
-f’4 – переднее фокусное расстояние линзы фокона;
НН’ – расстояние между главными плоскостями линзы фокона;
F’4 – заднее фокусное расстояние линзы фокона, соответствующее фокусному расстоянию четвертого объектива;
x’ – расстояние от заднего фокуса линзы фокона до выходного торца фокона.
Практически x'<4=-f’4, поэтому, с учетом принятых в геометрической оптике обозначений, получаем после упрощений
L f’4-x
т.к. увеличение фокона равно 
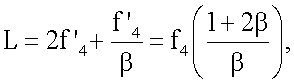
Получим, согласно известному соотношению следующее выражение

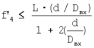
откуда

Учитывая, что L=Lф+ , получим окончательно

Это выражение связывает основные конструктивные параметры рентгенооптического канала с фокусом четвертого объектива.
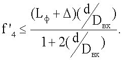
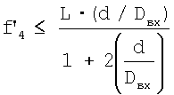
Приведем пример численной оценки фокусного расстояния четвертого объектива для конкретных значений параметров фокона рентгенооптического канала.
Обычно входные диаметры фоконов не превышают Dвх 100 мм, увеличение m 6÷8, а при этом длина фокона обычно составляет Lф Dвх.
В нашем случае был выбран входной фокон со следующими параметрами Dвх=80 мм, m=8, d=10 мм, Lф=100 мм.
Расстояние от входного торца фокона до объекта принято =60 мм для конкретного типа изделий.
С учетом этих данных имеем
L=Lф+ =140 мм,
=m=8х,
Отсюда 
При рентгенооптическом контроле выходной торец фокона 6 совмещен с входным торцом волоконно-оптического регулярного жгута 7.
При люминесцентном контроле перед источником света 18 блока осветителя 21 (галогенная лампа накаливания, излучающая в УФ- и видимой области спектра) располагают светофильтр 25, выделяющий нужную для возбуждения фотолюминесценции пенетранта область УФ-спектра (обычно это диапазон длин волн 0,34÷0,38 мкм).
Предварительно на контролируемую поверхность объекта 2 наносят пенетрант в соответствии с известной технологией.
Кассету 26 с помощью соответствующего механизма перемещают в положение, при котором ось объектива 24 пересекает входной торец волоконно-оптического регулярного жгута 7 в его центре.
Как уже отмечалось ранее, контроль обычно начинают с проведения визуального осмотра зоны контроля. При этом усилитель яркости изображения отключают, чтобы предотвратить его пересветку и возможный при этом выход из строя. Включают усилитель яркости 9, затем вводят УФ-светофильтр 25, и наблюдают на поверхности объекта 2, предварительно обработанной пенетрантом, люминесцирующие изображения поверхностных трещин, заполненных пенистрантом. Понятно, что при этом перед волоконно-оптическим регулярным жгутом 7 устанавливают объектив 24. Яркость этих изображений обычно весьма незначительна (0,5÷1,5 кд/м2), а их ширина составляет 0,05÷0,1 мм и менее, что и обусловливает целесообразность применения для их визуализации усилителя яркости изображения 9 [4].
После окончания проведения люминесцентной дефектоскопии кассету 26 перемещают в положение, при котором выходной торец фокона 6 совмещен с входным торцом волоконно-оптического регулярного жгута 7. Включают рентгеновский излучатель 1 и приступают к проведению радиоскопического контроля.
Таким образом, предлагаемое устройство позволяет проводить комплексный неразрушающий контроль объектов тремя различными и физическими методами – телевизионным визуально-оптическим, люминесцентным (пенетрантной люминесцентной дефектоскопией) и телевизионным радиоскопическим.
Это позволяет существенно повысить достоверность результатов контроля и надежность выводов о техническом состоянии объекта.
Важно, что для применения всех указанных методов контроля применяется единое устройство, что обеспечивает единство условий проведения контроля в пространстве и времени.
Не менее важно, что контроль всеми видами контроля проводится при одних и тех же полях зрения, размере, форме, ориентации и масштабе изображения зоны контроля, что облегчает расшифровка результатов контроля.
На чертеже представлена упрощенная схема РОЭ, которая может быть дополнена механизмами изгиба его передней (дистальной) части с помощью традиционных устройств (тросики типа «Боуден», шарнирные механизмы и т.д.), что в случае выполнения корпуса устройства из гибкого или полужесткого металлорукава, придает ему дополнительные функциональные возможности при осмотре полостей особо сложной конфигурации.
Отмеченные преимущества определяют промышленную полезность устройства и позволяют рекомендовать его при стендовых испытаниях и эксплуатации установок с турбинными и компрессорными агрегатами.
Литература
1. Патент РФ 2168166.
2. Плотников В.С. И др. Расчет и конструирование оптико-механических приборов. – М.: Машиностроение, 1983, – 256 с.
3. Турыгин И.А. Прикладная оптика, -М.: Машиностроение, 1966, 430 с.
4. Неразрушающий контроль и диагностика, Справочник /Под ред. Академика РАН Клюева В.Ц. – М.: Машиностроение, 2003, 656 с.
Формула изобретения
Устройство для комплексного рентгеновского и визуального контроля объектов, находящихся в труднодоступных полостях, содержащее корпус с расположенными в нем оптически сопряженными рентгенооптическим и визуально-оптическим каналами для проецирования изображения объекта на ПЗС-матрицу телевизионной системы, формирующую изображение на мониторе, причем рентгенооптический канал содержит фокон с расположенным на его торце рентгенолюминофором, волоконно-оптический регулярный жгут, выходной фокон, состыкованный торцами с волоконно-оптическим жгутом и входной волоконно-оптической шайбой электронно-оптического усилителя яркости, коллиматорный объектив с фокусным расстоянием f1, фокальная плоскость которого совпадает с выходным торцом волоконно-оптической шайбы, и зеркало, визуально-оптический канал содержит объектив, регулярный жгут, окуляр с фокусным расстоянием f2, фокальная плоскость которого совпадает с выходным торцом регулярного жгута, осветительный жгут и блок осветителя с широкополосным источником света, перед которым установлен оптический аттенюатор, оптическое совмещение каналов на входе устройства осуществляется с помощью системы, состоящей из зеркала и полупрозрачного зеркала, оптическое совмещение каналов на выходе устройства осуществляется с помощью входящего в состав рентгенооптического канала зеркала и светоделителя, а также коллиматорного объектива с фокусным расстоянием f3, фокальная плоскость которого совпадает с плоскостью фоточувствительного слоя ПЗС-матрицы телевизионной системы и осуществляющего проецирование изображения на ПЗС-матрицу, причем зеркало рентгекооптического канала и светоделитель установлены параллельно друг другу, образуя перископическую систему, и обеспечивают совпадение оптических осей коллиматорного объектива рентгенооптического канала, окуляра визуально-оптического канала и коллиматорного объектива с фокусным расстоянием f3, при этом фокусные расстояния f1, f2, f3 удовлетворяют следующим соотношениям: f1/f2=D/A и f2/f3=d/A, где D и d – размеры выходных торцов волоконно-оптической шайбы и волоконно-оптического регулярного жгута визуально-оптического канала соответственно, А – размер ПЗС-матрицы, телевизионная система может быть выполнена на базе цветной ПЗС-матрицы и цветного монитора для обеспечения возможности контроля объекта по визуально-оптическому каналу в естественных цветах и/или спектрозональным методом, отличающийся тем, что в него дополнительно введен четвертый объектив, оптическая ось которого параллельна оптической оси фокона и находится от нее на расстоянии , где Dвх – входной диаметр этого фокона, d0 – диаметр четвертого объектива, d0 d, d – диаметр выходного торца фокона, фокон и четвертый объектив установлены с возможностью взаимного перемещения без нарушения параллельности их оптических осей в пределах величины R и последовательной фиксации в положениях, при которых центр выходного торца фокона и центр изображения четвертого объектива совмещены с центром регулярного волоконно-оптического жгута рентгенооптического канала, с плоскостью входного торца которого совмещена плоскость изображения четвертого объектива, фокусное расстояние которого определяется с учетом выражения , где L – расстояние от выходного торца фокона до объекта, а перед широкополостным источником света визуально-оптического канала, излучающим в видимой и ультрафиолетовой области спектра, установлен с возможностью ввода-вывода из потока излучения светофильтр, выделяющий из спектра излучения этого источника диапазон длин волн УФ-спектра, возбуждающих фотолюминесценцию пенетранта, используемого при люминесцентной дефектоскопии.
РИСУНКИ
|
|