|
|
(21), (22) Заявка: 2008141660/28, 23.10.2008
(24) Дата начала отсчета срока действия патента:
23.10.2008
(46) Опубликовано: 27.12.2009
(56) Список документов, цитированных в отчете о поиске:
SU 1778552 A1, 30.11.1992. RU 2334215 C1, 20.09.2008. SU 1718064 A1, 07.03.1992. RU 2235310 C1, 27.08.2004. SU 1784092 A3, 23.12.1992. RU 2018116 C1, 15.08.1994. US 4981362 A, 01.01.1991.
Адрес для переписки:
124498, Москва, Зеленоград, пр-д 4806, 5, МИЭТ, патентно-лицензионный отдел
|
(72) Автор(ы):
Данилов Арсений Анатольевич (RU), Маслобоев Юрий Петрович (RU), Селищев Сергей Васильевич (RU), Кик Дмитрий Андреевич (RU), Терещенко Сергей Андреевич (RU)
(73) Патентообладатель(и):
Государственное образовательное учреждение высшего профессионального образования Московский государственный институт электронной техники (технический университет) (RU)
|
(54) СПОСОБ ИЗМЕРЕНИЯ ОПТИЧЕСКИХ ХАРАКТЕРИСТИК ЖИДКОСТИ ИЛИ ГАЗА
(57) Реферат:
Изобретение относится к области измерения оптических характеристик рассеивающих сред и может найти применение в промышленности и медицине, в процедурах контроля качества транспортируемых жидкостей и газов путем измерения их оптических характеристик, а именно – путем измерения коэффициентов рассеяния и поглощения транспортируемого вещества. Интенсивность направленного оптического излучения, испускаемого источником и проходящего через исследуемое вещество, регистрируется двумя детекторами, расположенными вне оси источника несимметричным образом, и для описания взаимодействия оптического излучения с исследуемым веществом и определения его оптических характеристик используется диффузионная модель переноса излучения, учитывающая и рассеяние, и поглощение излучения, что повышает информативность и точность фотометрии жидкости или газа в процессе их транспортировки. 1 з.п. ф-лы, 4 ил.
Изобретение относится к области измерения оптических характеристик рассеивающих сред. Изобретение может найти применение в промышленности и медицине, в процедурах контроля качества транспортируемых жидкостей и газов путем измерения их оптических характеристик, а именно – путем измерения коэффициентов рассеяния и поглощения транспортируемого вещества. К области применения изобретения относятся полиграфическая, нефтяная, нефтеперерабатывающая, газовая и пищевая промышленность, включая пивоварение и молочную промышленность; промышленное и бытовое водоснабжение, а так же любые области, где используются установки, содержащие каналы транспортировки жидкости или газа.
Известен способ и реализующее его устройство для определения содержания примесей в нефти, движущейся по скважине [1]. Способ состоит в облучении исследуемого вещества (транспортируемой нефти) оптическим излучением на нескольких длинах волн, регистрации интенсивности прошедшего излучения, минимизации влияния рассеяния излучения путем нормализации прошедшего излучения и определения содержания примесей по сравнению ослабления излучения на специфической для данной примеси длине волны с известными данными путем подбора наиболее близкого к измеренному значения. Реализующее данный способ устройство состоит из широкополосного источника излучения, детектора излучения с перестраиваемой длиной волны регистрируемого излучения и системы обработки данных.
Недостатком указанного способа является недостаточно точный учет влияния рассеяния и зависимость точности получаемых результатов от полноты базы данных.
Способ и реализующее его устройство для определения содержания примесей в нефти, движущейся по скважине [2] отличаются от [1] усовершенствованным алгоритмом минимизации влияния рассеяния, что несколько повышает точность измерений, однако не устраняет принципиальные недостатки данного способа.
Известен способ и устройство для определения содержания примесей в нефти по ослаблению оптического излучения [3]. Принцип действия устройства, реализующего этот способ, состоит в том, что в основной канал движения нефти в скважине встраиваются оптические кюветы. Через нефть в кюветах пропускается оптическое излучение на нескольких специфических длинах волн, и по его ослаблению определяется наличие примесей в нефти.
Недостатком данного способа является неучет влияния рассеяния излучения. Недостатком устройства является использование сложного оборудования, в частности источника излучения с перестраиваемой длиной волны.
Наиболее близким к предлагаемому способу фотометрии жидкости или газа при их транспортировке является способ [4]. Этот способ состоит в том, что транспортируемое вещество облучают оптическим излучением и по измерению ослабления излучения для двух различных длин оптического пути определяют коэффициент ослабления излучения исследуемого вещества. При этом для описания взаимодействия излучения с исследуемым веществом используют модифицированный закон Бугера-Ламберта-Бэра:

где I(d) – интенсивность зарегистрированного сигнала, d – длина оптического пути; I0 – интенсивность излучения источника; К – коэффициент, учитывающий степень загрязнения окошка источника излучения, чувствительность детектора излучения и другие факторы; µ – коэффициент ослабления излучения (коэффициент экстинкции).
Для измерения оптических свойств вещества проводят измерение ослабления для двух оптических длин (d и d+x), после чего вычисляют отношение интенсивностей R:

По полученному значению R вычисляют коэффициент ослабления излучения.
Основным недостатком такого способа является то, что для описания взаимодействия излучения с веществом и определения его оптических характеристик используется закон Бугера-Ламберта-Бэра, не учитывающий процесс рассеяния излучения в среде. Между тем, многие вещества, для исследования которых может применяться данный метод (чернила, нефть и нефтепродукты, кровь, пиво, молоко, загрязненная (мутная) вода и т.п.) являются сильнорассеивающими средами (СРС). При прохождении тонкого пучка фотонов излучения через такую среду наблюдается следующая физическая картина [5-8]. Часть фотонов (так называемые баллистические фотоны) проходит через среду без взаимодействия с ней. Часть фотонов после рассеяния сохраняет направление движения, близкое к первоначальному (приосевые фотоны). Часть фотонов в результате рассеяния существенно меняет направление своего движения (внеосевые фотоны). Часть фотонов поглощается и выбывает из рассмотрения. Таким образом, детектор, расположенный на оси источника излучения, регистрирует баллистические и приосевые фотоны. При этом чем ярче выражены рассеивающие свойства среды, тем меньше доля баллистических фотонов в зарегистрированном сигнале. Частично закон Бугера-Ламберта-Бэра можно использовать в рассеивающей среде, если регистрировать только баллистические фотоны, а коэффициент поглощения заменить коэффициентом экстинкции. Точность результатов, получаемых с помощью модифицированного закона Бугера-Ламберта-Бэра, падает по мере уменьшения вклада баллистических фотонов в зарегистрированный сигнал.
Взаимодействие излучения с СРС можно характеризовать двумя величинами – коэффициентом поглощения излучения и коэффициентом рассеяния излучения. При этом рассеивающие свойства вещества не менее, а иногда и более важны, чем поглощающие свойства. Способ [4] предполагает определение только коэффициента ослабления излучения, что дает недостаточно полную информацию о свойствах транспортируемого вещества.
В качестве прототипа для устройства, реализующего предлагаемый способ, так же берется патент [4]. Фотометрический модуль, встраиваемый в канал транспортировки жидкости, включает в себя источник излучения, высокоточную систему перемещения источника излучения, позволяющую менять длину оптического пути вдоль оси излучения источника; детектор излучения и систему обработки данных. Недостатком прототипа является использование сложной системы механического перемещения источника.
Задача изобретения – повышение информативности и точности фотометрии жидкости или газа при их транспортировке и упрощение фотометрического модуля.
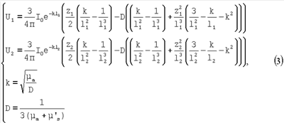
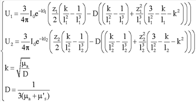
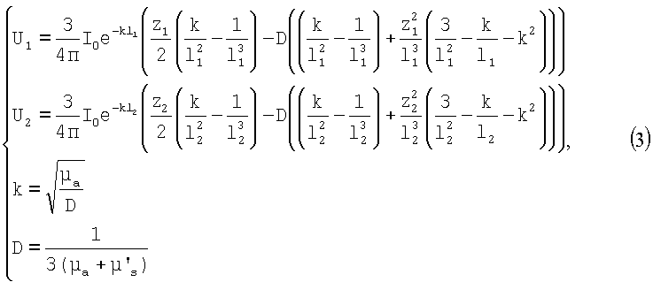
Это достигается тем, что интенсивность направленного оптического излучения, испускаемого источником и проходящего через исследуемое вещество, регистрируется не одним, а двумя детекторами, расположенными вне оси источника несимметричным образом. При этом для описания взаимодействия оптического излучения с исследуемым веществом и определения его оптических характеристик используется не закон Бугера-Ламберта-Бэра, а диффузионная модель переноса излучения, учитывающая и рассеяние, и поглощение излучения в варианте уточненной диффузионной модели (УДМ) [9]. Оптические характеристики среды – коэффициент поглощения излучения µa и редуцированный коэффициент рассеяния излучения µ‘ s – определяют путем решения системы уравнений:

где I0 – интенсивность излучения источника; – коэффициент диффузии; U1, U2 – значения потока излучения (интенсивности излучения на единицу площади детектора), зарегистрированные двумя детекторами, расположенными на разных расстояниях l1 и l2 от источника направленного оптического излучения, соответственно, с координатами z1 и z2 по оси z. Система координат при этом выбирается так, что ось z совпадает с направлением распространения излучения источника, а начало координат совпадает с позицией источника направленного оптического излучения. Таким образом, результатом измерений в предлагаемом способе являются две физические величины, характеризующие оптические свойства исследуемого вещества – коэффициент поглощения и редуцированный коэффициент рассеяния – что повышает информативность и точность предлагаемого способа фотометрии жидкости или газа в процессе их транспортировки.
Предлагаемый фотометрический модуль состоит из источника направленного оптического излучения, облучающего исследуемое вещество (поток жидкости или газа) направленным оптическим излучением, двух детекторов излучения, расположенных перпендикулярно к направлению распространения излучения источника на различных расстояниях от оси источника, и системы обработки данных. Упрощение устройства по сравнению с прототипом достигается тем, что регистрация ослабления излучения двумя детекторами позволяет отказаться от применения высокоточной системы механического перемещения источника излучения для изменения длины оптического пути.
Взаимодействие оптического излучения с сильнорассеивающей средой может быть описано с помощью уравнения переноса излучения (УПИ) [5-8], представляющего собой уравнение баланса энергий или частиц в замкнутом объеме. В стационарном случае УПИ можно записать следующим образом:

где – плотность потока фотонов в точке , движущихся в направлении ; – дифференциальный по углам коэффициент рассеяния излучения (индикатриса рассеяния); µ=µa+µs – коэффициент экстинкции; – коэффициент рассеяния излучения; – плотность источников фотонов в точке , движущихся в направлении ; – модуль скорости распространения излучения в среде [8].
В общем виде уравнение (4) не имеет аналитического решения. Поэтому необходимы дополнительные допущения, позволяющие упростить вид УПИ и получить приближенное решение.
Одним из возможных способов решения УПИ является диффузионное приближение [6, 7], базирующееся на представлении функции плотности потока излучения как суммы изотропной и анизотропной составляющих

На базе диффузионного приближения построена наиболее широко используемая в настоящее время классическая диффузионная модель переноса излучения (КДМ). Это относительно простая модель, позволяющая в ряде случаев получать достаточно точные результаты. Однако КДМ обладает серьезными недостатками [6, 7, 9]. Эти недостатки обусловлены в первую очередь тем, что в КДМ источник описывается как точечный изотропный

Использование выражения (6) для описания источника излучения существенно снижает точность КДМ при описании прохождения через СРС направленного оптического излучения, в том числе – лазерного. Этот недостаток может быть эффективно устранен за счет использования функции точечного мононаправленного источника

где – направление первоначального распространения излучения (ось источника).
Особенностью уточненной диффузионной модели, предложенной в качестве альтернативы КДМ, является использование функции мононаправленного источника (7). Результаты, полученные в УДМ, обладают большей точностью по сравнению с КДМ. Кроме того, если КДМ можно применять для описания прохождения оптического излучения только через толстые слои СРС (толщиной много больше длины свободного пробега фотонов), то УДМ может использоваться для описания прохождения оптического излучения через слои СРС любой толщины [9].
Для интенсивности излучения, зарегистрированной детектором, чувствительная поверхность которого расположена перпендикулярно направлению распространения излучения источника, в УДМ можно получить следующее решение:

где l – расстояние от источника до центра чувствительной поверхности детектора, z – координата центра чувствительной поверхности детектора по оси z, S – площадь чувствительной поверхности детектора. Система координат при этом выбирается так, что ось z совпадает с направлением оптического излучения.
Из (8) для двух измеренных значений интенсивности прошедшего через слой СРС направленного оптического излучения можно получить систему уравнений (3).
Система (3) может быть решена численно. Сначала из первых двух уравнений определяют значения k и D для измеренных значений U1 и U2.
Коэффициент поглощения µa определяют из выражения µa=k2D, после чего редуцированный коэффициент поглощения µ‘ s определяют из выражения .
Например, для слоя толщиной z1=10 мм детектор, расположенный на оси источника (l1=10 мм), зарегистрировал нормированное значение U1=1,9×10-5. Детектор, расположенный вне оси источника (l1=12 мм), зарегистрировал нормированное значение U2=3,8×l0-6. Тогда, первым двум уравнениям удовлетворяют значения D и k, равные 0,271 мм и 0,6075 мм-1, соответственно. При этом коэффициент поглощения µa=0,1 мм-1, а редуцированный коэффициент рассеяния µ‘ s=1,13 мм-1.
Предлагаемый фотометрический модуль включает в себя источник направленного оптического излучения, два детектора оптического излучения, расположенных относительно оси источника несимметричным образом, и систему обработки данных. В отличие от прототипа предлагаемый фотометрический модуль не включает в себя высокоточную систему перемещения источника излучения, что упрощает конструкцию.
Графические изображения
На фиг.1 показана общая схема работы устройств для фотометрии потоков жидкости или газа. В канал транспортировки (1) встраивается фотометрический модуль, включающий в себя источник направленного оптического излучения (2), облучающий поток жидкости или газа направленным оптическим излучением (3), детектор (4), измеряющий интенсивность прошедшего излучения, и систему обработки данных (5).
На фиг.2 показана схема прохождения тонкого пучка фотонов через рассеивающую среду: исходный пучок разделяется на баллистические фотоны (1), приосевые фотоны (2) и внеосевые фотоны (3).
На фиг.3, а показано предлагаемое устройство, где источник (1) испускает направленное оптическое излучение (2); прошедший через канал транспортировки (3) свет регистрируется детекторами (4) и (4′), расположенными вне оси (5) источника излучения.
На фиг.3, б показано предлагаемое устройство, где один из детекторов (4) расположен на оси источника излучения, а второй детектор (4′) расположен вне оси источника излучения.
На фиг.4 проиллюстрирован выбор системы координат в предлагаемом способе фотометрии жидкости или газа при их транспортировке: начало отсчета 0 совмещается с позицией источника излучения 1, ось z совпадает по направлению с направлением распространения излучения источника, детекторы 4 и 4′ располагаются на различных расстояниях l1 и l2 от источника так, что чувствительная поверхность обоих детекторов перпендикулярна оси z.
Предлагаемый способ фотометрии жидкости или газа в процессе их транспортировки использует существующие методы математической обработки данных. Предлагаемый фотометрический модуль может быть построен на основе имеющихся устройств (источники направленного оптического излучения, детекторы оптического излучения, системы обработки данных). Таким образом, реализация предложенного способа фотометрии жидкости или газа в процессе их транспортировки, а так же производство предложенного фотометрического модуля не требуют разработки новых методов обработки данных или новых технических устройств и могут быть осуществлены в настоящее время. Повышение информативности и точности способа фотометрии жидкости или газа в процессе их транспортировки позволит существенно повысить эффективность методов контроля качества транспортируемых жидких и газообразных веществ, а упрощение фотометрического модуля позволит понизить его стоимость и обеспечить более широкое практическое применение.
Источники информации
1. Патент США 6,507,011.
2. Патент США 6,707,556.
3. Патент США 6,437,326.
4. Патент США 4,981,362.
5. Кольчужкин A.M., Учайкин В.В. Введение в теорию прохождения частиц через вещество. – М., Атомиздат, 1978.
6. Исимару А. Распространение и рассеяние волн в случайно-неоднородных средах. – М., Мир, 1981. – T.1.
7. Кейз К., Цвайфель П. Линейная теория переноса. – М., Мир, 1972.
8. Терещенко С.А. Методы вычислительной томографии. – М., Физматлит, 2004.
5, с.849-854.
Формула изобретения
1. Способ измерения оптических характеристик жидкости или газа, включающий облучение измеряемого вещества источником направленного оптического излучения, измерение интенсивности прошедшего через вещество излучения с помощью приемника излучения и определение оптических характеристик вещества, отличающийся тем, что проводят два измерения интенсивности прошедшего через вещество излучения в двух различных точках и определяют коэффициент поглощения излучения µа и редуцированный коэффициент рассеяния излучения µ‘ s путем решения системы уравнений:
 где I0 – интенсивность излучения источника; µa – коэффициент поглощения излучения; – коэффициент диффузии; µ‘ s – редуцированный коэффициент рассеяния излучения; U1, U2 – значения потока излучения в двух точках, расположенных на разных расстояниях 11 и 12 от источника направленного оптического излучения, соответственно, с координатами z1 и z2 по оси z; система координат при этом выбирается так, что ось z совпадает с направлением распространения излучения источника, а начало координат совпадает с позицией источника направленного оптического излучения.
2. Способ фотометрии жидкости или газа при их транспортировке по п.1, отличающийся тем, что координаты z1 и z2 по оси z выбирают равными.
РИСУНКИ
TK4A – Поправки к публикациям сведений об изобретениях в бюллетенях “Изобретения (заявки и патенты)” и “Изобретения. Полезные модели”
Напечатано: (72) Данилов Арсений Анатольевич (RU), Маслобоев Юрий Петрович (RU), Селищев Сергей Васильевич (RU), Кик Дмитрий Андреевич (RU), Терещенко Сергей Андреевич (RU)
Следует читать: (72) Данилов Арсений Анатольевич (RU), Маслобоев Юрий Петрович (RU), Селищев Сергей Васильевич (RU), Терещенко Сергей Андреевич (RU)
Номер и год публикации бюллетеня: 36-2009
Код раздела: FG4A
Извещение опубликовано: 10.06.2010 БИ: 16/2010
|
|