|
|
(21), (22) Заявка: 2008123149/28, 10.06.2008
(24) Дата начала отсчета срока действия патента:
10.06.2008
(46) Опубликовано: 27.12.2009
(56) Список документов, цитированных в отчете о поиске:
ДАНИЛОВ А.А. и др. Экспериментальное определение коэффициентов рассеяния и поглощения излучения в однородном слое сильнорассеивающей биологической среды. Медицинская техника, 4, 2006, с.17-20. SU 894493 A, 30.12.1981. US 5529065 A, 25.06.1996. US 5867807 A, 02.02.1999. RU 2320980 C1, 27.03.2008. EP 1665980 A1, 07.06.2006.
Адрес для переписки:
124498, Москва, Зеленоград, пр-д 4806, 5, МИЭТ, патентно-лицензионный отдел
|
(72) Автор(ы):
Данилов Арсений Анатольевич (RU), Маслобоев Юрий Петрович (RU), Селищев Сергей Васильевич (RU), Терещенко Сергей Андреевич (RU)
(73) Патентообладатель(и):
Государственное образовательное учреждение высшего профессионального образования Московский государственный институт электронной техники (технический университет) (RU)
|
(54) СПОСОБ ФОТОМЕТРИИ РАССЕИВАЮЩИХ СРЕД И РЕАЛИЗУЮЩИЙ ЕГО ФОТОМЕТРИЧЕСКИЙ МОДУЛЬ
(57) Реферат:
Изобретение относится к области измерения оптических характеристик рассеивающих, например биологических, сред. Способ заключается в том, что измерения производят для двух разных значений толщины образца вдоль оси луча света, падающего на образец. Зарегистрированные значения для двух значений толщины образца используются для получения значений коэффициента поглощения и коэффициента рассеяния образца путем решения системы уравнений, следующей из осевой модели переноса излучения. Фотометрический модуль для определения оптических характеристик потоков жидких или газообразных рассеивающих веществ выполнен в виде составной части основного канала, к которому присоединяются ответвления, имеющие различное сечение. В каждое ответвление встраиваются источник излучения и детектор. Изобретение позволяет упростить определение коэффициента поглощения и коэффициента рассеяния в образце. 2 с. и 4 з.п. ф-лы, 4 ил.
Изобретение относится к области измерения оптических характеристик рассеивающих, например биологических, сред. Изобретение может найти применение как в медицине, так и в промышленности, в процедурах определения свойств рассеивающих свет образцов, в первую очередь, жидких, по значениям измеренных оптических характеристик, а именно коэффициентов поглощения и рассеяния. Область использования изобретения включает в себя нефтяную и газовую промышленность, производство материалов, включая биоматериалы, пищевую промышленность, включая пивоварение, изготовление лекарств и медикаментов, медицинскую диагностику и др.
Основным недостатком существующих способов измерения оптических характеристик с их помощью является то, что в них находят только коэффициент экстинкции, являющийся суммой коэффициента поглощения и коэффициента рассеяния. При этом необоснованно применяется закон Бугера-Ламберта-Бэра. Поэтому необходим способ и реализующее его устройство, позволяющие измерить коэффициенты поглощения и рассеяния раздельно, что может быть в дальнейшем использовано во всех областях, в которых применяются фотометры при анализе рассеивающих образцов.
Известен способ определения оптических характеристик рассеивающей среды, основанный на измерении сдвига фазы прошедшего через образец модулированного лазерного излучения с различными (как минимум двумя) частотами модуляции и определении коэффициента поглощения и редуцированного коэффициента рассеяния по результатам измерений на базе диффузионного приближения уравнения переноса излучения [2]. Однако устройство, реализующее данный способ, требует использования сложного оборудования, в частности источника модулированного лазерного излучения с изменяемой частотой модуляции и детектора модулированного излучения.
Известен способ определения оптических характеристик образца по измерению ослабления лазерного излучения на различных (как минимум, двух) длинах волн и на различных (как минимум, двух) расстояниях от источника до детектора излучения [3]. Однако данный способ построен на предположении о том, что величина редуцированного коэффициента рассеяния и длина свободного пробега фотона не зависят от длины волны. Это предположение снижает точность получаемых результатов и ограничивает область применения способа. Кроме того, устройство, реализующее данный способ, требует использования сложного оборудования, в частности источника излучения с перестраиваемой длиной волны.
Общим недостатком описанных выше способов является использование диффузионной модели переноса излучения. Поскольку данная модель дает достаточно точные результаты только для сред, в которых коэффициент рассеяния существенно выше коэффициента поглощения, использование этих способов и реализующих их устройств для сред, в которых коэффициент рассеяния и коэффициент поглощения близки по своим значениям, или для исследования чисто поглощающих сред невозможно.
Известен способ определения коэффициента поглощения и коэффициента рассеяния в образце, основанный на измерений временных распределений прошедших через образец импульсов оптического излучения и сравнении этих временных распределений с эталонными временными распределениями [4] (прототип для способа). Эталонные временные распределения для разных сочетаний коэффициента поглощения и коэффициента рассеяния получают заранее путем численного решения диффузионного уравнения методом Монте-Карло. Однако такой способ является очень сложным, зависит от полноты библиотеки эталонных временных распределений и ориентирован на использование диффузионного приближения уравнения переноса излучения.
Принцип действия существующих фотометров заключается в следующем [1]. Источник испускает направленное оптическое излучение. Проходя через образец, свет взаимодействует с веществом образца. При этом существуют два основных вида взаимодействия: поглощение и рассеяние света. После прохождения образца свет разделяется на две части: баллистическую часть, сохраняющую исходное направление, и рассеянную часть с направлениями, отличными от исходного. В детектор попадают как баллистические, так и рассеянные фотоны. При дальнейшей обработке результатов измерений обычно предполагают, что рассеянных фотонов нет. Иногда применяют дополнительные устройства, уменьшающие вклад рассеянного излучения в результаты измерений, например диафрагмы и линзы, оставляющие только фотоны с направлениями движения, близкими к исходному.
За основу для устройства, реализующего предлагаемый способ, берется патент [3] (прототип для устройства). Прототип включает в себя дорогой источник излучения с перестраиваемой длиной волны и очень сложную аппаратуру системы регистрации прошедшего через образец оптического излучения.
Задача изобретения – упрощение способа определения коэффициента поглощения и коэффициента рассеяния в образце и упрощение устройства для реализации этого способа.
Измерения производят для двух разных значений толщины образца вдоль оси луча света, падающего на образец. При этом для каждого значения толщины образца (фиг.1) источник (1) испускает направленный импульс оптического излучения (2). Общая энергия прошедшего через образец света, состоящего из баллистических и рассеянных фотонов (4), регистрируется детектором (5). Зарегистрированные значения двух энергий U1 и U2 для двух значений толщины образца l1 и l2 соответственно будут связаны системой уравнений:

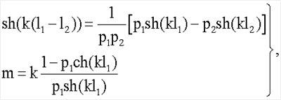
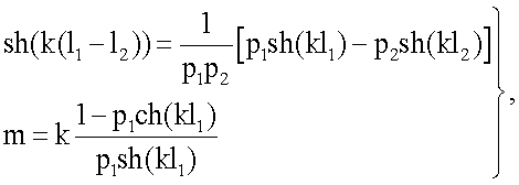
где U0 – энергия света, падающего на образец, U1 – энергия света, прошедшего через образец толщины l1, U2 – энергия света, прошедшего через образец толщины l2, µa – коэффициент поглощения образца, µs – коэффициент рассеяния образца, sh(·) – синус гиперболический, ch(·) – косинус гиперболический. Значения коэффициента поглощения и коэффициента рассеяния образца получают путем решения системы уравнений (1).

где , ,
m=µa+µs,
.
Предлагаемый способ реализуется с помощью фотометра, состоящего из источника оптического излучения, двух экземпляров измеряемого вещества с разной толщиной вдоль линии луча исходного излучения и детектора излучения. На фиг.1 показано предлагаемое устройство: источник (1) испускает направленное оптическое излучение (2); прошедший через образец (3) с некоторой толщиной (фиг.1а) свет (4) регистрируется детектором (5). Эти же измерения повторяются для идентичного образца с другой толщиной (фиг.1б).
На фиг.2а показан фотометрический модуль для определения оптических характеристик потоков жидких или газообразных рассеивающих веществ, так же реализующий предлагаемый способ фотометрии. К основному каналу транспортировки вещества (1) присоединяются ответвления (2) и (2′), имеющие различное сечение. В каждое ответвление встраиваются источник излучения и детектор. Данные от детекторов поступают в систему обработки данных (4).
Графические изображения
На фиг.1 показано предлагаемое устройство: источник (1) испускает направленное оптическое излучение (2); прошедший через образец (3) с некоторой толщиной (фиг.1а) свет (4) регистрируется детектором (5). Эти же измерения повторяются для идентичного образца с другой толщиной (фиг.1б).
На фиг.2а показан фотометрический модуль для определения оптических характеристик потоков жидких или газообразных рассеивающих веществ, так же реализующий предлагаемый способ фотометрии. К основному каналу транспортировки вещества (1) присоединяются ответвления (2) и (2′), имеющие различное сечение. Данные от детекторов поступают в систему обработки данных (4).
На фиг.2б показан вариант фотометрического модуля для определения оптических характеристик потоков жидких или газообразных рассеивающих веществ.
На фиг.3а показан тонкий луч непрерывного источника света с интенсивностью I0(t), падающий на однородный слой чисто поглощающего вещества.
На фиг.3б показан тонкий луч импульсного источника света с интенсивностью I0(t), где t – время, падающий на однородный слой чисто поглощающего вещества.
На фиг.3в показан тонкий луч импульсного источника света с интенсивностью I0(t), где t – время, падающий на однородный слой рассеивающего вещества. В рассеивающей среде часть фотонов вследствие процессов многократного рассеяния меняет направление своего движения .
На фиг.4а показано исходное (до прохождения образца) временное распределение короткого импульса света.
На фиг.4б показано временное распределение короткого импульса света после прохождения однородного слоя чисто поглощающей среды. Форма импульса во времени не меняется.
На фиг.4в показано временное распределение короткого импульса света после прохождения однородного слоя рассеивающей среды. Форма импульса во времени меняется.
Обычно для определения оптических характеристик образцов по результатам прохождения через них света используется закон Бугера-Ламберта-Бэра для непрерывного излучения [1]

где I0 – интенсивность света, падающего на образец, a I(d) – интенсивность света, прошедшего через образец толщины d (фиг.3а). При этом предполагается, что образец представляет собой чисто поглощающую среду, в которой возможно только поглощение оптического излучения, характеризующееся коэффициентом поглощения µa. Результатом работы фотометров, в основу которых положено это представление о взаимодействии излучения с веществом, является коэффициент поглощения .
Далее, в зависимости от цели, в конкретных методиках используется полученное значение коэффициента поглощения.
Однако реально в качестве образцов используют среды, в которых, кроме поглощения, присутствует значительно более сложный процесс рассеяния излучения. Например, в медицине такой средой является кровь и другие жидкости организма человека, в промышленности – это задымленный воздух и аэрозоли, нефть и нефтепродукты и т.д.
Для пояснения отличия рассеивающей среды от чисто поглощающей среды рассмотрим поведение импульсного излучения при прохождении через такую среду. Например, если тонкий луч импульсного источника света (лазера) с интенсивностью I0(t), где t – время, падает на однородный слой чисто поглощающего вещества, ничего принципиально не меняется (фиг.3б), и закон Бугера-Ламберта-Бэра можно записать в виде

где – скорость света в среде. При этом луч не меняет своей формы во времени и остается лучом в пространстве.
В рассеивающей среде часть фотонов вследствие процессов многократного рассеяния меняет направление своего движения , что приводит к расплыванию луча и к невыполнению закона Бугера-Ламберта-Бэра (фиг.3в).
Если рассмотреть временное распределение короткого импульса света (фиг.4а) после прохождения однородного слоя чисто поглощающей среды (фиг.4б), то можно видеть, что его форма во времени не меняется, а амплитуда уменьшается в соответствии с законом Бугера-Ламберта-Бэра. В рассеивающей среде временное распределение существенно более сложное (фиг.4в), и можно видеть, что существует начальная часть временного распределения, повторяющая форму исходного импульса, так называемые баллистические фотоны, и часть временного распределения, образованная рассеянными фотонами, которые из-за большего оптического пути приобрели задержку во времени.
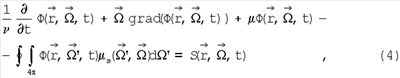
Основным методом описания прохождения излучения через рассеивающую среду является нестационарное уравнение переноса излучения (УПИ):

где – плотность потока фотонов в точке , в момент времени t, движущихся в направлении ; – дифференциальный по углам коэффициент рассеяния излучения (индикатриса рассеяния); µ=µa+µs – коэффициент экстинкции; µa – коэффициент поглощения излучения; – коэффициент рассеяния излучения; – плотность источников фотонов в точке , в момент времени t, движущихся в направлении ; – модуль скорости распространения излучения в среде [5, 6, 7, 8]. Таким образом, основной характеристикой рассеивающей среды является, наряду с коэффициентом поглощения, индикатриса рассеяния, зависящая от угла рассеяния .
Уравнение (4) в общем случае не имеет аналитического решения. Однако для баллистических фотонов справедливо выражение, аналогичное закону Бугера-Ламберта-Бэра с заменой коэффициента поглощения µa на коэффициент экстинкции µ=µa+µs [8], которое можно назвать модифицированным законом Бугера-Ламберта-Бэра.
Так как уравнение (4) не имеет аналитического решения, используют те или иные приближения, упрощающие его. Наиболее часто используют диффузионное приближение. Однако диффузионное приближение обладает рядом недостатков. Одним из основных недостатков диффузионной модели является то, что оно в принципе не может описывать баллистические фотоны. Более эффективной является осевая модель [8], из которой можно получить расчетные формулы (2).
Для оценки степени влияния процесса рассеяния можно использовать выражение для относительной доли баллистических фотонов в общем излучении, прошедшем через рассеивающую среду [8]:

где Ib – интенсивность баллистических фотонов, Is – интенсивность рассеянных фотонов, µ – коэффициент экстинкции, µa – коэффициент поглощения, d – длина образца. Для неразбавленной крови [9] µ~50 мм-1, µa~10 мм-1. То есть, уже при длине образца d=0,04 мм количество рассеянных фотонов в общем излучении, прошедшем через рассеивающую среду, будет более половины.
Рассмотрим уравнения (1) для указанных параметров рассеивающей среды. Для значений и 
получим p1=0,397 и р2=0,193.
Численное решение уравнений (2) дает k=0,332, µa=9,99, µs=50,01.
Источники информации
1. Медицинские приборы. Разработка и применение. – М., Медицина, 2004.
2. Y.Tsuchiya. Apparatus for measuring optical information in scattering medium and method therefore. US Patent 5477051, Dec. 19, 1995.
3. Y.Tsuchiya. Method for measuring scattering medium and apparatus for the same. US Patent 5529065, Jun. 25, 1996.
4. Y.Yamada, R.Araki, Y.Yamashita. Method and apparatus for determination of optical properties of light scattering material. US Patent 5867807, Feb. 2, 1999.
5. Кольчужкин A.M., Учайкин В.В. Введение в теорию прохождения частиц через вещество. – М., Атомиздат, 1978.
6. Исимару А. Распространение и рассеяние волн в случайно-неоднородных средах. – М., Мир, 1981. – T.1.
7. Кейз К., Цвайфель П. Линейная теория переноса. – М., Мир, 1972.
8. Терещенко С.А. Методы вычислительной томографии. – М., Физматлит, 2004.
Формула изобретения
1. Способ фотометрии рассеивающих сред, включающий облучение измеряемого вещества источником направленного излучения, измерение интенсивности прошедшего через измеряемое вещество излучения с помощью приемника излучения, и получение значений коэффициента поглощения и коэффициента рассеяния измеряемого вещества, отличающийся тем, что измерения проводят для двух значений толщины измеряемого вещества и получают значения коэффициента поглощения и коэффициента рассеяния путем решения системы двух уравнений:
 где U0 – интенсивность света, падающего на образец, U1 – интенсивность света, прошедшего через образец толщины l1, U2 – интенсивность света, прошедшего через образец толщины l2, ,  µa – коэффициент поглощения образца, µs – коэффициент рассеяния образца, m=µa+µs, , sh(·) – синус гиперболический, ch(·) – косинус гиперболический.
2. Фотометрический модуль для определения оптических характеристик потока жидкого или газообразного рассеивающего вещества в канале транспортировки, включающий два источника направленного излучения, два приемника излучения, прошедшего через измеряемое вещество, систему регистрации и обработки измеренных данных, отличающийся тем, что фотометрический модуль выполнен в виде составной части основного канала транспортировки и снабжен двумя дополнительными ответвлениями разного сечения, в каждом из которых обеспечивается измерение излучения, прошедшего через поток измеряемого вещества в этих ответвлениях, для разных значений толщины вдоль луча исходного излучения, либо снабжен одним дополнительным ответвлением переменного сечения, в котором обеспечивается измерение излучения, прошедшего через поток измеряемого вещества в этом ответвлении, для разных значений толщины вдоль луча исходного излучения.
3. Фотометрический модуль по п.2, отличающийся тем, что используют источник непрерывного излучения и приемник непрерывного излучения.
4. Фотометрический модуль по п.2, отличающийся тем, что используют источник импульсного излучения и приемник импульсного излучения.
5. Фотометрический модуль по п.2, отличающийся тем, что в качестве источника излучения используют лампу.
6. Фотометрический модуль по п.2, отличающийся тем, что в качестве источника излучения используют лазер.
РИСУНКИ
|
|