|
(21), (22) Заявка: 2008128632/28, 14.07.2008
(24) Дата начала отсчета срока действия патента:
14.07.2008
(46) Опубликовано: 27.12.2009
(56) Список документов, цитированных в отчете о поиске:
SU 267127 А, 21.07.1970. SU 284360 А, 26.01.1971. RU 2219504 С2, 20.12.2003. GB 912546 А, 12.12.1962.
Адрес для переписки:
140402, Московская обл., г. Коломна, ул. Октябрьской революции, 406, С.С.Сергееву
|
(72) Автор(ы):
Сергеев Сергей Сергеевич (RU)
(73) Патентообладатель(и):
Сергеев Сергей Сергеевич (RU)
|
(54) ПОЛИХРОМАТИЧЕСКИЙ ПИРОМЕТР
(57) Реферат:
Изобретение относится к измерительной технике. Полихроматический пирометр снабжен вращающимся зеркалом, осуществляющим развертку изображения объекта. Фотоприемники расположены по окружности, радиус которой равен расстоянию от оси вращения зеркала до фокуса оптической системы пирометра. Каждый фотоприемник имеет соответствующий спектральный фильтр, пропускающий излучение определенной длины волны. При вращении зеркала в фотоприемники поочередно поступает изображение регистрируемого объекта в соответствующих участках спектра. Фотоприемники соединены с микропроцессором, управляющим индикатором температуры. Технический результат – повышение точности измерений. 2 ил.
Изобретение относится к радиационной пирометрии и может использоваться в пирометрах спектрального отношения.
Известны полихроматические пирометры, см., например, изобретение по авт. свид. SU 1790743 «Автоматический многоканальный пирометр спектрального отношения». Для измерения температуры указанный пирометр использует несколько участков спектра излучения объекта. Многоканальность достигается за счет применения фотодиодной матрицы, что дает возможность измерять температуру в каждой точке исследуемого образца.
Известный пирометр имеет сложное устройство, что оказывает существенное влияние на точность измерения.
Известен пирометр двойного спектрального отношения, авт. свид. SU 270296, в котором треххроматический модулятор выделяет из потока излучения три участка спектра. Однако каждая спектральная составляющая потока излучения поступает на один и тот же фотоприемник. Поэтому указанный пирометр содержит синхрокоммутатор, соединенный со следящей системой, которая с помощью реверсивного двигателя управляет диафрагмой объектива. Известный пирометр также имеет сложное устройство.
Известен также «Пирометр истинной температуры», патент RU 2219504, в котором также выделение спектральных составляющих из потока излучения осуществляется с помощью обтюратора, который имеет N спектральных фильтров. В указанном пирометре каждая спектральная составляющая также попадает на один и тот же фотоприемник. Поэтому устройство обработки сигнала достаточно сложное.
Цель изобретения – упрощение конструкции и повышение точности измерения.
Эта цель достигается тем, что полихроматический пирометр снабжен вращающимся зеркалом, осуществляющим развертку изображения объекта, температура которого измеряется. Фотоприемники расположены на одинаковых расстояниях от оси вращения зеркала. Они расположены на окружности, радиус которой равен расстоянию от оси вращения зеркала до фокуса оптической системы. Каждый фотоприемник имеет соответствующий спектральный фильтр, пропускающий излучение определенной длины волны. При вращении зеркала в фотоприемники поочередно поступает изображение регистрируемого объекта в соответствующих участках спектра.
На фиг.1 изображен пирометр для четырех участков спектра (тетрахроматический пирометр).
На фиг.2 приведена блок-схема тетрахроматического пирометра.
Объектив 1 имеет фокус 2, перед которым установлено вращающееся зеркало 3 на расстоянии R от фокуса 2. Зеркало вращается с помощью двигателя 3а. Фотоприемники 4, 5, 6, 7 расположены на окружности, через центр которой проходит ось вращения зеркала. Перед каждым фотоприемником имеется соответствующий спектральный фильтр 8, 9, 10, 11. К каждому фотоприемнику подключен усилитель 12, 13, 14, 15. Каждый усилитель соединен с микропроцессором 16, обрабатывающим сигналы по соответствующему алгоритму.
К микропроцессору подключен индикатор 17 температуры.
В настоящее время разработаны и имеются в продаже датчики серии ПМ, в одном корпусе которых имеется фотоприемник и усилитель фототока.
Перед входным окном такого датчика укрепляется спектральный фильтр. Фильтр выполняется в виде пленки из материала, пропускающего определенную длину волны излучения. На каждый датчик устанавливаются индивидуальные фильтры, пропускающие излучение с длиной волны 1, 2, 3, 4.
На фиг.1 такие датчики изображены в натуральную величину (см. поз.18, 19, 20, 21).
Расчет истинной температуры осуществляется так. Для расчета используется формула Вина, которую удобно представить в логарифмическом виде

где L – энергетическая яркость,
– длина волны излучения,
С1, С2 – коэффициенты,
x – излучательная способность,
Т – искомая температура.
Излучательная способность x определяется из уравнения
ln x= 0+ 1 + 2/ 2
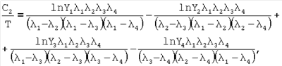
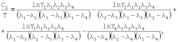
Тогда для четырех участков спектра имеем следующую систему уравнений:




Решение этой системы дает

где 
Таким образом, температура Т однозначно определяется из этого выражения.
Пирометр работает так. Перед началом измерения включается электродвигатель, который вращает зеркало. При этом изображение регистрируемого объекта поочередно поступает на фотоприемники 4, 5, 6, 7. За один оборот зеркала с каждого фотоприемника снимается один сигнал. Частота следования этих сигналов определяется скоростью вращения зеркала. Так, при скорости вращения 6000 об/мин, частота модуляции в каждом фотоприемнике будет составлять 100 Гц. Такая частота обычно применяется при проектировании пирометров.
Обычно составной частью пирометров является модулятор, прерывающий световой поток через определенные промежутки времени. В результате модуляции светового потока в фотоприемнике возникают электрические сигналы, частота следования которых определяется частотой модуляции.
В данном изобретении функцию модулятора выполняет вращающееся зеркало. Поэтому отпадает надобность в специальном модуляторе.
Таким образом, вращающееся зеркало выполняет две функции – развертки изображения и модуляции светового потока.
Обычно для наводки пирометра на объект служит специальный оптический канал – визир или лазерный указатель.
В предлагаемом пирометре в качестве визира используется телескопическая система, состоящая из объектива 1, зеркала 3 и окуляра 22. Таким образом, наводка пирометра осуществляется через вращающееся зеркало. Частота вращения зеркала порядка 100 об/сек обеспечит удовлетворительное впечатление от объекта наблюдения (аналогично частоте 24 кадра в секунду при демонстрации кинофильма).
Предлагаемый полихроматический пирометр позволяет использовать до четырех и более участков спектра, так как он обеспечивает установку соответствующего количества фотоприемников.
Формула изобретения
Полихроматический пирометр, содержащий объектив, фотоприемники, перед которыми установлены спектральные фильтры, выделяющие из потока излучения соответствующие участки спектра, усилители сигналов каждого фотоприемника, подключенные к микропроцессору, управляющему индикатором температуры, отличающийся тем, что он снабжен вращающимся зеркалом, осуществляющим развертку изображения регистрируемого объекта, фотоприемники расположены по окружности, радиус которой соответствует расстоянию от оси вращения зеркала до фокуса объектива.
РИСУНКИ
|