|
|
(21), (22) Заявка: 2008137189/28, 16.09.2008
(24) Дата начала отсчета срока действия патента:
16.09.2008
(46) Опубликовано: 27.12.2009
(56) Список документов, цитированных в отчете о поиске:
RU 2331049 С2, 10.02.2006. RU 2190197 C1, 27.09.2002. RU 2287784 C1, 20.11.2006. US 5461477 A, 24.10.1995.
Адрес для переписки:
111123, Москва, ш. Энтузиастов, 46/2, ФГУП “НПО “Орион”, патентно-лицензионный отдел
|
(72) Автор(ы):
Свиридов Анатолий Николаевич (RU), Филачев Анатолий Михайлович (RU), Пономаренко Владимир Павлович (RU), Дирочка Александр Иванович (RU), Болтарь Константин Олегович (RU)
(73) Патентообладатель(и):
Федеральное государственное унитарное предприятие “НПО “Орион” (RU)
|
(54) ОТОБРАЖАЮЩИЙ СПЕКТРОМЕТР
(57) Реферат:
Устройство относится к области оптического приборостроения. Отображающий спектрометр содержит интерферометр 1, образованный двумя параллельными пластинами, на которые нанесено отражающее покрытие, объектив 2, входное окно 3, полосовой фильтр 4, матричный приемник излучения 5 и монитор тепловизора 6. Предложен оптимальный расчет расстояния между пластинами интерферометра d, фокусного расстояния объектива F и угла наклона интерферометра к оптической оси объектива при работе интерферометра в первом, втором и третьем порядке интерференции. Технический результат – получение оптимального сочетания величин относительного рабочего спектрального диапазона и относительного спектрального разрешения спектрометра. 1 з.п. ф-лы, 4 ил.
Изобретение относится к области оптического приборостроения и может быть использовано для регистрации ИК изображений объектов в любых произвольно выбранных узких спектральных полосах, находящихся внутри рабочего спектрального диапазона устройства. Устройства, позволяющие получать изображения объектов в любых требуемых узких спектральных полосах, принадлежащих относительно широкому спектральному диапазону, принято называть отображающими спектрометрами (ОС), а получаемые с их помощью изображения в узких спектральных полосах – спектральными изображениями (СИ). Соответственно ОС, работающие в спектральных диапазонах 3-5 мкм и 8-14 мкм, следует называть мультиспектральными тепловизорами (МСТ).
При реализации отображающих спектрометров (ОС) используются как методы непосредственной оптической фильтрации принимаемого излучения с помощью перестраиваемых оптических фильтров различных видов (акустооптические, интерференционные, интерференционно-поляризационные и др.), так и методы выделения спектральных изображений, основанные на компьютерной обработке оптических полей, регистрируемых матричным приемником (например, сигналов после Фурье-интерферометра, голограмм и др.).
3533-13), содержащий интерферометр Фабри-Перо, с прецизионной перестройкой расстояния между зеркалами с отражающими интерференционными покрытиями, причем отражающие поверхности зеркал перпендикулярны оптической оси ОС, вдоль которой распространяется фильтруемое излучение; матричный приемник на основе соединения кадмий-ртуть-теллур с электронным блоком обработки информации, соединенный с монитором, воспроизводящим спектральные изображения; полосовой охлаждаемый фильтр, пропускающий излучение только в спектральной рабочей полосе ОС; оптические элементы (линзы или зеркала), согласующие сечение и угол расхождения фильтруемого потока излучения с входным отверстием и апертурным углом матричного приемника; вращающийся механический модулятор принимаемого излучения; электромеханическое устройство, обеспечивающее двухосное сканирование мгновенного угла поля зрения ОС. Рассматриваемый ОС обеспечивает принципиальную возможность получения моноспектральных изображений в рабочем спектральном диапазоне от 9.5 до 11.5 мкм в узких спектральных полосах шириной   7 см-1 (при относительном спектральном разрешении / >100). Настройка на фильтрацию выбранной длины волны происходит путем прецизионной перестройки расстояния между зеркалами интерферометра. Зеркала интерферометра имеют диэлектрические отражающие покрытия, обеспечивающие отражение 94% в рабочем спектральном диапазоне. Время настройки интерферометра на отдельную выбранную длину волны не менее 1.3 мс.
Для накопления полного куба пространственной и спектральной информации электромеханическое устройство, обеспечивающее двухосное сканирование мгновенного угла поля зрения ОС, за 9 с производит 288 дискретных позиционирований, причем во время каждого позиционирования производится сканирование интерферометра. При этом обеспечивается пространственное разрешение 48×48 элементов в пределах полного поля зрения ОС 40×40 градусов.
Основным недостатком этого ОС (как и практически подавляющего большинства всех известных ОС) является невозможность регистрации быстропротекающих процессов (обусловленная необходимостью выполнения пространственного и (или) спектрального сканирования для накопления куба данных), т.к. время, требуемое для проведения сканирования, во много раз больше типичных длительностей быстропротекающих процессов (0.001-0.1 с).
Наиболее близким аналогом – прототипом является отображающий спектрометр (RU, патент на изобретение 2331049, опубл. 10.08.2008 г.), содержащий интерферометр, изготовленный из германиевых пластин, установленных под углом Брюстера к оптической оси ОС, матричный приемник излучения с электронным блоком обработки информации, соединенный с монитором, воспроизводящим спектральные изображения, фильтр, пропускающий излучение только в спектральной рабочей полосе ОС и отрезающий излучение за пределами рабочего диапазона, оптические элементы (линзы и (или) зеркала), согласующие сечение и угол расхождения фильтруемого потока излучения с входным отверстием и апертурным углом матричного приемного устройства. Этот ОС обеспечивает принципиальную возможность одновременной фильтрации различных длин волн в спектральном диапазоне от 8 до 10.9 мкм только для лучей с поляризацией, перпендикулярной плоскости падения, падающих на интерферометры под различными углами. В результате появляется возможность одновременно регистрировать излучения с различными длинами волн без перестройки расстояний между зеркалами интерферометров за промежуток времени, равный одному кадру (длительность которого, например, в случае использования матричного приемника на основе соединения КРТ (кадмий-ртуть-теллур) оценивается величиной 10-4-10-2 с), и получать одновременно пространственную и спектральную информацию при регистрации быстропротекающих процессов.
Недостатком этого ОС является практическая невозможность оптимизировать К – параметр качества устройства, равный произведению ( n- 1)/ m – относительного рабочего спектрального диапазона ОС на m/ m – относительное спектральное разрешение ОС, поскольку для оптимизации К необходимо не только устанавливать необходимое расстояние между пластинами интерферометра d, но и угол наклона интерферометра . Однако в прототипе этот угол задан и должен быть равен углу Брюстера. Любое изменение этого угла в прототипе приведет к ухудшению относительного спектрального разрешения ОС, т.к. германиевые пластины интерферометров ОС не имеют отражающих покрытий (где К=( n- 1)/ m; n и 1 – соответственно длинноволновая и коротковолновая границы спектрального диапазона ОС; m= 1+( n- 1)/2;  m – полуширина полосы пропускания интерферометра для излучения с длиной волны m).
Другими недостатками являются высокая стоимость реализации, обусловленная высокой стоимостью германия, из которого изготовлены пластины интерферометров, и невозможность накопления полного куба пространственной и спектральной информации при регистрации излучений от неподвижного объекта.
Общими признаками заявляемого изобретения и прототипа являются: наличие спектрального фильтрующего элемента – интерферометра; матричного приемника излучения с электронным блоком обработки информации, соединенного с монитором, воспроизводящим изображения; полосового фильтра, пропускающего излучение только в спектральной рабочей полосе ОС и отрезающего излучение за пределами рабочего диапазона.
Задачами изобретения являются обеспечение возможности оптимизировать параметр качества и получение оптимального сочетания величин относительного рабочего спектрального диапазона и относительного спектрального разрешения ОС, уменьшение стоимости устройства и обеспечение возможности накопления полного куба пространственной и спектральной информации при регистрации излучения от неподвижного объекта при сохранении возможности одновременной регистрации пространственной и спектральной информации при наблюдении быстропротекающих процессов.
Предлагаемое изобретение иллюстрируется следующими чертежами.
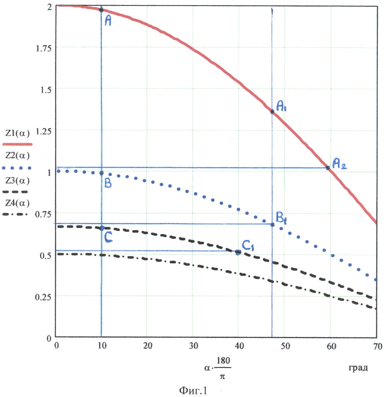
На фиг.1 представлены зависимости отношений длины волны к расстоянию между пластинами интерферометра (Z= /d) от – угла падения излучения на пластины интерферометра: Z1( ), Z2( ), Z3( ), Z4( ), рассчитанные соответственно для первого, второго, третьего и четвертого порядков интерференции.
На фиг.2 представлены контуры пропускания для рассматриваемого примера реализации интерферометра ОС, рассчитанные при µ=0.005; =0.045; r=0.9; t=0.6 cм и при расстоянии между пластинами интерферометра d=11.429 мкм для лучей, распространяющихся в плоскости падения под различными углами =| – | к оптической оси ОС.
На фиг.3 показана схема, поясняющая сущность ОС по варианту 1.
На фиг.4 показана схема, поясняющая сущность ОС по варианту 2.
Поставленные задачи решаются двумя вариантами устройства.
По первому варианту.
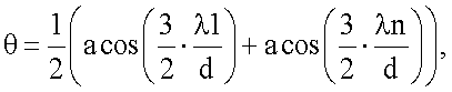
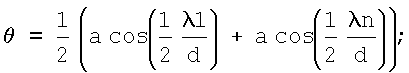
В отображающем спектрометре, содержащем интерферометр, образованный двумя параллельными между собой плоскими пластинами, находящимися на расстоянии d друг от друга и изготовленными из материала, прозрачного для длин волн, принадлежащих рабочему спектральному диапазону спектрометра, объектив с фокусным расстоянием F и апертурным отверстием , матричный приемник излучения с электронным блоком обработки информации, соединенный с монитором, воспроизводящим изображения, причем интерферометр расположен перед объективом и наклонен под углом к оптической оси объектива, а матричный приемник установлен в фокальной плоскости объектива так, чтобы его строки были перпендикулярны плоскости, в которой находятся оптическая ось объектива и перпендикуляр к плоскости пластины интерферометра, восстановленный из точки пересечения оптической оси объектива с поверхностью пластины интерферометра, при этом между объективом и матричным приемником излучения помещен оптический фильтр, пропускающий излучение только в рабочем спектральном диапазоне спектрометра и отрезающий излучение за пределами рабочего диапазона, на обращенных друг к другу поверхностях пластин интерферометра нанесено отражающее покрытие, обладающее в спектральном диапазоне работы спектрометра коэффициентом отражения r и коэффициентом пропускания , при оптимизации параметра качества спектрометра К=( n- 1)/ m и получении оптимального сочетания величин относительного рабочего спектрального диапазона ( n- 1)/ m и относительного спектрального разрешения m/ m, конструкция спектрометра позволяет устанавливать размеры величин d, и F в соответствии со следующими соотношениями:
– при работе интерферометра в первом порядке интерференции
d=0.96· 1, n=1.9· 1,


или при работе интерферометра во втором порядке интерференции
d=1.43· 1, n=1.414· 1,


или при работе интерферометра в третьем порядке интерференции
d=1.95· 1, n=1.3· 1,


где n и 1 – соответственно длинноволновая и коротковолновая границы рабочего спектрального диапазона спектрометра; m= 1+( n- 1)/2;
 m – полуширина полосы пропускания интерферометра для излучения с длиной волны m; а – высота матричного приемника излучения.
Отражающие покрытия нанесены на пластины интерферометра для повышения его разрешающей способности.
Наклонный интерферометр в зависимости от величины n=(2·d/ )·cos может работать в различных порядках интерференции. При первом порядке интерференции n=1, при втором порядке n=2, при третьем порядке n=3 и т.д. Настройка интерферометра на фильтрацию той или иной волны определяется зависимостями Z= /d от – угла падения излучения на пластины интерферометра, рассчитанными для разных порядков интерференции. Подобные зависимости представлены на фиг.1, где зависимости Z1( ), Z2( ), Z3( ), Z4( ) рассчитаны соответственно для первого, второго, третьего и четвертого порядков интерференции.
Эти зависимости поясняют выбор оптимальных основных конструктивных величин отображающих спектрометров d, , F, рассчитанных по выражениям, приведенным в формуле изобретения, из которых следует, что по мере увеличения порядка интерференции уменьшается относительный рабочий спектральный диапазон и увеличивается (вследствие увеличения d) относительное спектральное разрешение ОС. Наибольший диапазон спектральный перестройки ( n- 1)/ m=0.622 достигается при работе в первом порядке интерференции при изменении угла падения излучения от 59° до 9° градусов, однако, как это следует из выражений, приведенных в формуле изобретения, уменьшение порядка интерференции связано с уменьшением расстояния между пластинами интерферометра, что, в свою очередь, приводит к уменьшению его добротности и к уменьшению разрешающей способности. Например, по заданным значениям 1 и а (где а – высота матричного приемника излучения) можно рассчитать основные конструктивные параметры отображающего спектрометра и установить оптимальные величины d и , обеспечивающие предельно достижимые значения относительного рабочего спектрального диапазона и относительного спектрального разрешения ОС.
Для рассматриваемого примера реализации ОС в качестве материала для пластин интерферометра выбран фтористый барий. На обращенных друг к другу и параллельных между собой гранях пластин нанесено отражающее покрытие. Пластины имеют следующие размеры: длина L=3.5 см, ширина b=2.5 см, толщина t=0.6 см. Интерферометр установлен под углом к оптической оси ОС.
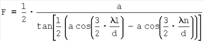
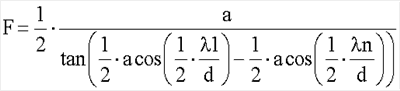
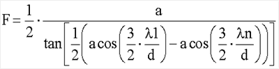
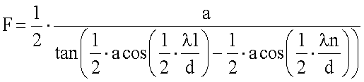
Фокусное расстояние объектива тепловизора выбирается таким образом, чтобы лучи регистрируемого фильтруемого излучения, распространяющиеся под максимальными углами к оптической оси устройства, фокусировались на крайние строки матричного приемника тепловизора. Например, при работе во втором порядке интерференции при размере матрицы 2×2 см для этого требуется объектив с фокусным расстоянием F=3 см, который при апертурном отверстии объектива =2.1 см (т.е. при относительном отверстии 0.7) обеспечивает в плоскости матричного приемника диаметр сфокусированной моды Do=32 мкм (при  10 мкм).
Ниже приведены результаты расчетов оптимальных конструктивных и выходных параметров ОС, работающих в первом, втором или третьем порядках интерференции.
Спектрометр, работающий в первом порядке интерференции,
при 1=8 мкм; а=2 см имеет:
n=15.23 мкм; d=7.7 мкм; =33.39°; F=2.1 см; m=11.615 мкм;
( n- 1)/ m=0.622; m/ m=130.3; K=( n- 1)/ m=81.
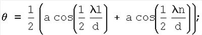
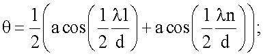
При этом Ф – плоский угол поля зрения ОС будет равен:

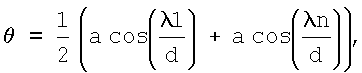
Спектрометр, работающий во втором порядке интерференции,
при 1=8 мкм; а=2 см имеет:
n=11.315 мкм; d=11.429 мкм; =26.837°; F=3 cм; m=9.657 мкм;
( n- 1)/ m=0.343; m/ m=193.6; K=( n- 1)/ m=55.
При этом Ф – плоский угол поля зрения ОС будет равен:

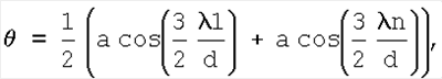
Спектрометр, работающий в третьем порядке интерференции,
при 1=8 мкм; а=2 см имеет:
n=10.381 мкм; d=15.564 мкм; =21.59°; F=3.1 см; m=9.19 мкм;
( n- 1)/ m=0.298; m/ m=209.1; K=( n- 1)/ m=54.
При этом Ф – плоский угол поля зрения ОС будет равен:

Таким образом, при увеличении порядка интерференции (путем увеличения расстояния между зеркалами интерферометра) увеличивается относительная спектральная разрешающая способность ОС, однако при этом уменьшаются относительный спектральный диапазон работы ОС и плоский угол поля зрения ОС. Используя выражения, приведенные в формуле изобретения, можно обеспечить возможности выбора оптимального сочетания относительного рабочего спектрального диапазона и относительного спектрального разрешения ОС, т.е. оптимизировать параметр качества К, который равен числу разрешаемых спектральных полос в рабочем диапазоне ОС.
Приведем основные соотношения, описывающие аппаратную функцию ОС. Можно показать, что Т( , , d, r( ), ( ), n( ), ( )) – пропускание подобного интерферометра следующим образом зависит от – угла падения фильтруемого луча на зеркала интерферометра, длины волны , расстояния между внутренними гранями пластин интерферометра d, коэффициента отражения одного зеркала интерферометра r( ), коэффициента пропускания одного зеркала интерферометра ( ), коэффициента преломления среды между зеркалами интерферометра n( ), коэффициента поглощения материала пластин интерферометра ( ).
где r( )=1-(µ( )+ ( )), µ( ) – поглощение в отражающем покрытии зеркала интерферометра, t – толщина пластины интерферометра.
На фиг.2 представлены контуры пропускания для рассматриваемого примера реализации интерферометра ОС, рассчитанные при µ=0.005; =0.045; r=0.9; t=0.6 см и при расстоянии между пластинами интерферометра d=11.429 мкм для лучей, распространяющихся в плоскости падения под различными углами =| – | к оптической оси ОС.
Видно, что по мере изменения угла , под которым распространяются в плоскости падения фильтруемые лучи, плавно изменяется длина фильтруемой волны от мин=8 мкм (при =18.74°) до мах=11.25 мкм (при =-18.74°), и уменьшается (вследствие увеличения поглощения излучения в пластинах интерферометра) пропускание интерферометра.
По этим зависимостям можно определить  m – полуширину контура пропускания интерферометра.
Так, для излучения с длиной волны около 10 мкм  m=0.06 мкм.
По второму варианту (п.2 формулы) в отображающий спектрометр по п.1 дополнительно введены два одинаковых прямоугольных плоских зеркала длиной L>1.42· и шириной b> , первое из которых установлено перед интерферометром так, чтобы оптическая ось объектива пересекала геометрический центр этого зеркала под углом 45° к его поверхности, а плоскость, в которой расположен этот угол, была перпендикулярна строкам матричного приемника излучения, при этом отражающая поверхность зеркала обращена к интерферометру, второе зеркало установлено параллельно первому так, чтобы расстояние между зеркалами h>1.42· и его отражающая поверхность была обращена к отражающей поверхности первого зеркала, причем второе зеркало установлено с возможностью прецизионного вращения вокруг оси, параллельной строкам матричного приемника и проходящей через геометрический центр второго зеркала.
Величины L, b и h выбираются по соотношениям, приведенным выше, таким образом, чтобы дополнительно введенные зеркала не ограничивали угол поля зрения ОС по п.1.
Сущность устройства по первому варианту поясняется фиг.3.
Устройство содержит:
1 – интерферометр, образованный двумя параллельными между собой плоскими пластинами, находящимися на расстоянии d друг от друга и изготовленными из материала, прозрачного для длин волн, принадлежащих рабочему диапазону спектрометра, интерферометр наклонен под углом к оптической оси объектива и изготовлен с возможностью управляемого прецизионного изменения расстояния между пластинами, на обращенных друг к другу поверхностях которых нанесено отражающее покрытие;
2 – объектив с фокусным расстоянием F и апертурным отверстием ;
3 – входное окно матричного фотоприемного устройства;
4 – полосовой фильтр, отрезающий излучение с длинами волн, находящимися за пределами рабочего спектрального диапазона фильтрующего устройства;
5 – матричный приемник излучения высотой а;
6 – монитор тепловизора.
Интерферометр изготовлен с возможностью юстировки по углу путем прецизионных поворотов вокруг оси, проходящей через его геометрический центр и параллельной оси X.
Сущность устройства по второму варианту поясняется фиг.4.
Устройство содержит:
1 – интерферометр, образованный двумя параллельными между собой плоскими пластинами, находящимися на расстоянии d друг от друга и изготовленными из материала, прозрачного для длин волн, принадлежащих рабочему диапазону спектрометра, интерферометр наклонен под углом к оптической оси объектива и изготовлен с возможностью управляемого прецизионного изменения расстояния между пластинами, на обращенных друг к другу поверхностях которых нанесено отражающее покрытие;
2 – объектив с фокусным расстоянием F и апертурным отверстием ;
3 – входное окно матричного фотоприемного устройства;
4 – полосовой фильтр, отрезающий излучение с длинами волн, находящимися за пределами рабочего спектрального диапазона фильтрующего устройства;
5 – матричный приемник излучения высотой а;
6 – монитор тепловизора;
7 и 8 – дополнительно введенные зеркала, каждое длиной L>1.42· и шириной b> , находящиеся на расстоянии друг от друга h>1.42· .
Устройство по первому варианту работает следующим образом.
Полихроматическое излучение от исследуемого объекта (сцены), поступающее на вход оптической устройства, распространяется вдоль ее оптической оси в пределах угла поля зрения 2· и проходит через интерферометр 1. При этом излучение испытывают многократные отражения внутри интерферометра (явление многолучевой интерференции), в результате чего из спектральных составляющих излучения после прохождения интерферометра будут выделены узкие спектральные линии с длинами волн, определяемыми расстоянием между зеркалами интерферометра d и – углами падения лучей на зеркала интерферометра. Далее излучение проходит через объектив 2, входное окно матричного приемника излучения 3, полосовой оптический фильтр 4, пропускающий излучение только с длинами волн, соответствующими выбранному рабочему спектральному диапазону, и попадает на матричный приемник излучения 5, расположенный в фокальной плоскости объектива 2. Фокусное расстояние объектива F рассчитано так, чтобы лучи регистрируемого фильтруемого излучения, распространяющиеся под максимальными углами к оптической оси устройства, фокусировались на крайние строки матричного приемника излучения 5, соединенного с монитором 6, воспроизводящим спектральные изображения. Например при размере матрицы 2×2 см и работе во втором порядке интерференции для этого требуется объектив с фокусным расстоянием F=3 см, который при диаметре объектива 2.1 см (т.е. при относительном отверстии 0.7) обеспечивает в плоскости матричного приемника диаметр сфокусированной моды Do=32 мкм (при =10 мкм).
Таким образом, из полихроматического луча, излучаемого участком сцены, оптически сопряженным с одним из пикселов матричного приемника, принадлежащем строке с номером i, будет выделено (отфильтровано) и сфокусировано на этот пиксел матрицы излучение с длиной волны i, соответствующей угловой координате этой строки i. В рассматриваемом примере реализации при работе во втором порядке интерференции мин=-18.74° i мах=18.74°. i – угол наклона плоскости (в которой распространяется луч) к оптической оси ОС. При этом угол поля зрения тепловизора в плоскости ZY будет равен | мин|+ маx=37.48°.
Очевидно, что в результате такой оптической фильтрации на матрице формируется “разноцветное” изображение наблюдаемого объекта, где на каждую строку поступает излучение от оптически сопряженных с ней точек объекта на длине волны, соответствующей порядковому номеру (угловой координате i) этой строки.
Максимальное число мод М с длиной волны =10 мкм (предельное число точек изображения на длине волны ), которое пропускает рассматриваемое фильтрующее устройство, рассчитанное по выражению (2), равно 1150×1150.

Полный “куб данных” о наблюдаемом объекте может быть получен при движении объекта вдоль оси Z в пределах полного угла поля зрения МСТ.
Устройство по второму варианту работает так же, как и устройство по первому варианту, однако благодаря наличию двух дополнительных зеркал 7 и 8 позволяет получать полный “куб данных” о наблюдаемом неподвижном объекте.
Для получения полного “куба данных” о неподвижных объектах необходимо провести (с помощью прецизионного вращения зеркала 8) сканирование изображения объекта по матрице так, чтобы изображение объекта перемещалось в направлении, перпендикулярном строкам матрицы. При этом из излучения, исходящего от каждого фрагмента наблюдаемого объекта, отфильтровывается излучение с длиной волны, соответствующей номеру той строки, на один из чувствительных элементов которой в данный момент фокусируется это излучение. Сканирование можно производить дискретными шагами или непрерывно. При шаговом сканировании за каждый шаг изображение каждой точки объекта перемещается на соседнюю строку. За время между двумя последовательными шагами производится регистрация и запись в памяти компьютера сигналов от всех элементов матрицы – запись кадра. В случае непрерывного сканировании запись кадра проводится за время перемещения изображения каждой точки изображения на чувствительный элемент соседней строки.
Таким образом, для записи “многоспектрального” изображения объекта требуется записать число кадров, равное удвоенному числу строк матрицы. Далее из полученного трехмерного (две пространственные и спектральная координаты) массива информации на монитор можно выводить моноспектральное изображение – изображение объекта в выбранном узком спектральном диапазоне.
Формула изобретения
1. Отображающий спектрометр, содержащий интерферометр, образованный двумя параллельными между собой плоскими пластинами, находящимися на расстоянии d друг от друга и изготовленными из материала, прозрачного для длин волн, принадлежащих рабочему спектральному диапазону спектрометра, объектив с фокусным расстоянием F и апертурным отверстием , матричный приемник излучения с электронным блоком обработки информации, соединенный с монитором, воспроизводящим изображения, причем интерферометр расположен перед объективом и наклонен под углом к оптической оси объектива, а матричный приемник установлен в фокальной плоскости объектива так, чтобы его строки были перпендикулярны плоскости, в которой находятся оптическая ось объектива и перпендикуляр к плоскости пластины интерферометра, восстановленный из точки пересечения оптической оси объектива с поверхностью пластины интерферометра, при этом между объективом и матричным приемником излучения помещен оптический фильтр, пропускающий излучение только в рабочем спектральном диапазоне спектрометра и отрезающий излучение за пределами рабочего диапазона, отличающийся тем, что на обращенных друг к другу поверхностях пластин интерферометра нанесено отражающее покрытие, обладающее в спектральном диапазоне работы спектрометра коэффициентом отражения r и коэффициентом пропускания , при оптимизации параметра качества спектрометра K=( n- 1)/ m и получении оптимального сочетания величин относительного рабочего спектрального диапазона ( n- 1) m и относительного спектрального разрешения m/ m конструкция спектрометра позволяет устанавливать размеры величин d, и F в соответствии со следующими соотношениями: при работе интерферометра в первом порядке интерференции d=0,96· 1, n-1,9· 1,

 или при работе интерферометра во втором порядке интерференции d=1,43· 1, n=1,414· 1,

 или при работе интерферометра в третьем порядке интерференции d=1,95· 1, n=1,3· 1,

 где n и 1 – соответственно, длинноволновая и коротковолновая границы рабочего спектрального диапазона спектрометра;
m= 1+( n- 1)/2;  m – полуширина полосы пропускания интерферометра для излучения с длиной волны m; а – высота матричного приемника излучения.
2. Отображающий спектрометр по п.1, отличающийся тем, что в него дополнительно введены два одинаковых прямоугольных плоских зеркала длиной L>1,42· и шириной b> , первое из которых установлено перед интерферометром так, чтобы оптическая ось объектива пересекала геометрический центр этого зеркала под углом 45° к его поверхности, а плоскость, в которой расположен этот угол, была перпендикулярна строкам матричного приемника излучения, при этом отражающая поверхность зеркала обращена к интерферометру, второе зеркало установлено параллельно первому так, чтобы расстояние между зеркалами h>1,42· и его отражающая поверхность была обращена к отражающей поверхности первого зеркала, причем второе зеркало установлено с возможностью прецизионного вращения вокруг оси, параллельной строкам матричного приемника и проходящей через геометрический центр второго зеркала.
РИСУНКИ
|
|