|
|
(21), (22) Заявка: 2008128572/28, 15.07.2008
(24) Дата начала отсчета срока действия патента:
15.07.2008
(46) Опубликовано: 27.12.2009
(56) Список документов, цитированных в отчете о поиске:
US 6573489 B1, 03.06.2003. US 6118914 B1, 12.09.2000. US 2005062976 A1, 24.03.2005. US 6421120 B1, 16.07.2002. RU 2005133274 A, 10.05.2007.
Адрес для переписки:
119361, Москва, ул. Озерная, 46, ФГУП “ВНИИОФИ”, А.Б. Пневу
|
(72) Автор(ы):
Барышников Николай Васильевич (RU), Карасик Валерий Ефимович (RU), Лазарев Владимир Алексеевич (RU), Митюрев Алексей Константинович (RU), Пнев Алексей Борисович (RU), Тихомиров Сергей Владимирович (RU)
(73) Патентообладатель(и):
Федеральное государственное унитарное предприятие “ВСЕРОССИЙСКИЙ НАУЧНО-ИССЛЕДОВАТЕЛЬСКИЙ ИНСТИТУТ ОПТИКО-ФИЗИЧЕСКИХ ИЗМЕРЕНИЙ” (ФГУП “ВНИИОФИ”) (RU)
|
(54) УСТРОЙСТВО ДЛЯ ИЗМЕРЕНИЯ ДЕФОРМАЦИЙ НА ОСНОВЕ КВАЗИРАСПРЕДЕЛЕННЫХ ВОЛОКОННО-ОПТИЧЕСКИХ ДАТЧИКОВ НА БРЭГГОВСКИХ РЕШЕТКАХ
(57) Реферат:
Устройство содержит широкополосный суперлюминесцентный диод (СЛД), излучение которого через перестраиваемый спектральный фильтр поступает на первый полюс четырехполюсного разветвителя и через его четвертый полюс – на первый полюс трехполюсного разветвителя, второй полюс которого соединен с калибровочной кюветой, а третий полюс – с третьим фотоприемным устройством (ФПУ). Выход калибровочной кюветы, содержащей ацетилен, соединен со входом второго ФПУ. Излучение с третьего полюса четырехполюсного разветвителя поступает на датчики Брегга, а отраженное от них излучение через третий и второй полюсы – на вход первого ФПУ. Выходы ФПУ через аналого-цифровой преобразователь соединены с вычислительным устройством, которое по сигналам со второго и третьего ФПУ определяет спектр поглощения ацетилена и по его двум самым контрастным пикам калибрует модуляцию спектра СЛД, с помощью которой калибрует сигналы от датчиков Брэгга, которые считывает первое ФПУ. Технический результат – увеличение частоты опроса датчиков Брэгга, а также увеличение количества датчиков, которые можно разместить в устройстве. 6 з.п. ф-лы, 10 ил.
Изобретение относится к измерительной технике в части создания информационно-измерительной системы для регистрации сигнала с набора волоконно-оптических датчиков на основе брэгговских решеток. Изобретение может быть использовано для повышения скорости и точности измерений деформации устройством на основе квазираспределенных волоконно-оптических датчиков на брэгговских решетках.
Создание информационно-измерительных систем для контроля деформации до недавнего времени было чрезмерно дорогостоящим решением, в том числе, и в смысле затрат на обслуживание и эксплуатацию таких систем. Дело в том, что традиционные измерительные преобразователи (датчики), применяемые в таких ИИС, как правило, требуют подачи электропитания и собственной линии передачи сигнала измерительной информации, а также линии для подачи управляющих сигналов. Кроме того, условия эксплуатации датчиков достаточно жестко ограничены по параметрам окружающей среды, по воздействию агрессивных сред, высоковольтного напряжения и электромагнитных помех.
Появление распределенных и квазираспределенных волоконно-оптических датчиков на основе брэгговских решеток коренным образом изменило эту ситуацию и сделало возможным создание ИИС для мониторинга объектов инфраструктуры с приемлемыми для практики характеристиками. Этот вид датчиков не требует электропитания, чувствительная зона датчика по существу совмещена с волоконно-оптическими линиями передачи измерительной информации. Степень воздействия условий внешней среды, электромагнитных помех, высоковольтного напряжения, агрессивных сред на волоконно-оптические датчики значительно ниже, чем на датчики, использующие электрическое преобразование измерительной информации. Кроме того, по своим метрологическим характеристикам волоконно-оптические датчики превосходят традиционные аналоги, использующие другие принципы построения.
Однако при всех вышеназванных преимуществах квазираспределенные информационно-измерительные системы на основе брэгговских датчиков уступают по быстродействию (частоте опроса) системам на основе тензодатчиков. В то же время, высокие частоты опроса датчиков особенно необходимы для изучения динамики развития деформации при быстропротекающих процессах (разрушениях при взрыве, столкновениях с быстродвижущимися объектами) с целью оптимизации конструкции объекта. Кроме того, системы с высокими частотами опроса необходимы для изучения деформаций конструкций летательных аппаратов с целью определения ресурса работы и предельно допустимых нагрузок. Поэтому задача разработки ИИС на основе брэгговских датчиков является актуальной и технически востребованной.
Известно множество устройств на основе квазираспределенных волоконно-оптических датчиков на брэгговских решетках для измерения деформаций, и поэтому целесообразно рассмотреть лишь ближайший аналог.
Известно (см. фиг.1) измерительное устройство на основе квазираспределенных волоконно-оптических датчиков на брэгговских решетках (US 6573489 В1, опубл. 03.06.2003), выбранное в качестве ближайшего аналога и содержащее непрерывный широкополосный источник излучения в виде суперлюминесцентного диода, оптически соединенный с перестраиваемым спектральным фильтром, представляющим собой интерферометр Фабри-Перо, выход которого оптически соединен с первым полюсом четырехполюсного разветвителя 2×2 и через его четвертый полюс – со входом калибровочной кюветы с цианидом водорода, выход которой оптически соединен со входом второго фотоприемного устройства, а через третий полюс источник излучения оптически соединен с квазираспределенными волоконно-оптическими датчиками на брэгговских решетках таким образом, что отраженное от них излучение через третий и второй полюса четырехполюсного разветвителя поступает на вход первого фотоприемного устройства, выходы первого и второго фотоприемных устройств соединены соответственно с первым и вторым входами аналого-цифрового преобразователя (АЦП), выход которого соединен с входом вычислительного устройства.
Принцип работы такого устройства основан на измерении сдвига резонансных длин волн излучения, отраженного от набора датчиков Брэгга. То есть каждый датчик Брэгга отражает излучение в узком спектральном диапазоне в окрестности резонансной длины волны, значение которой линейно связано с оптической длиной решетки Брэгга. Измерение спектра производится путем сканирования спектра при помощи перестраиваемого фильтра. Один из фотоприемников регистрирует спектр отраженных сигналов от датчиков (ФПУ1), а второй канал служит для калибровки сигнала по шкале длин волн (ФПУ2).
Недостатком данного устройства является то, что в известном устройстве для обеспечения малой погрешности измерения резонансных длин волн датчиков во всем рабочем спектральном диапазоне предлагается использовать все пики поглощения цианида водорода, в том числе, обладающие малым контрастом, что приводит к снижению потенциального динамического диапазона системы, а следовательно, и к уменьшению быстродействия, и к уменьшению количества датчиков, которые могут быть использованы в устройстве.
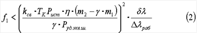
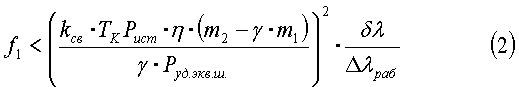
Предельную частоту опроса фотоприемного устройства в одной точке перестройки длины волны можно оценить исходя из соотношения, предпосылкой для которого является положение о том, что контраст (или глубина) максимума поглощения должен быть больше контраста модуляции огибающей спектра суперлюминесцентного диода с учетом шумов:

где kcв=0,5 – коэффициент отведения мощности в канал, содержащий калибровочную кювету с ацетиленом и второе фотоприемное устройство ФПУ2 (далее – калибровочный канал) по шкале длин волн,
Тк – коэффициент пропускания калибровочного канала,
Рист – мощность источника излучения,
Руд.экв.ш.=20 пВт Гц1/2 – удельная мощность, эквивалентная шуму фотоприемного устройства,
– коэффициент пропускания интерферометра Фабри-Перо,
m2=0,1 – величина максимума поглощения цианида водорода,
m1=0,02 – относительная амплитуда модуляции огибающей спектра излучения СЛД,
– коэффициент, учитывающий, во сколько раз максимум поглощения должен быть больше максимума сигнала, вызванного шумами.
Из выражения (1) с учетом количества точек в одном цикле измерений получим:

где  =1 нм – дискретность перестройки длины волны сканирующего интерферометра Фабри-Перо,
 раб=40 нм – рабочий спектральный диапазон,
 раб/ – соотношение, определяющее количество точек в одном цикле.
Под циклом измерений здесь понимается регистрация сигнала фотоприемного устройства ФПУ2 на всех точках перестройки сканирующего интерферометра Фабри-Перо.
В соответствии с выражением (2) для типовых параметров (Тк=0,8, Рист=1 мВт, =2·10-3, m1=0,02, m2=0,1, =2) предельная частота опроса, ограниченная шумами ФПУ в калибровочном канале, составит 36 Гц.
Технический результат, на достижение которого направлено предлагаемое изобретение, заключается в увеличении частоты опроса квазираспределенных датчиков Брэгга, а также в увеличении количества датчиков, которые можно разместить в устройстве.
Указанный технический результат достигается за счет того, что в устройстве для измерения деформаций на основе квазираспределенных волоконно-оптических датчиков на брэгговских решетках, содержащем непрерывный широкополосный источник излучения, оптически соединенный с перестраиваемым спектральным фильтром, выход которого оптически соединен с первым полюсом четырехполюсного разветвителя 2×2 и через его четвертый полюс – со входом калибровочной кюветы, выход которой оптически соединен со входом второго фотоприемного устройства, а через третий полюс источник излучения оптически соединен с квазираспределенными волоконно-оптическими датчиками на брэгговских решетках таким образом, что отраженное от них излучение через третий и второй полюса четырехполюсного разветвителя поступает на вход первого фотоприемного устройства, выходы первого и второго фотоприемных устройств соединены соответственно с первым и вторым входами аналого-цифрового преобразователя (АЦП), выход которого соединен с входом вычислительного устройства, дополнительно введены третье фотоприемное устройство и трехполюсный разветвитель 1×2, источник излучения выполнен с возможностью формирования на выходе излучения со спектром, огибающая которого модулирована по амплитуде, а калибровочная кювета содержит ацетилен, причем четвертый полюс четырехполюсного разветвителя оптически соединен со входом калибровочной кюветы через первый и второй полюсы трехполюсного разветвителя и через его третий полюс – со входом третьего фотоприемного устройства, выход которого соединен с третьим входом АЦП, а вычислительное устройство выполнено с возможностью калибровки сигнала с выхода третьего фотоприемного устройства по двум наиболее контрастным пикам поглощения ацетилена и последующей калибровки сигнала с выхода первого фотоприемника от квазираспределенных волоконно-оптических датчиков на брэгговских решетках с помощью полученного откалиброванного сигнала с выхода третьего фотоприемника.
При этом возможно, чтобы второе фотоприемное устройство было расположено в выходном окне калибровочной кюветы.
Для получения оптимального соотношения сигнал/помеха наиболее целесообразно, чтобы четырехполюсный разветвитель был выполнен с возможностью разделения мощности входящего через его первый полюс излучения на четвертый и третий полюса с соотношением 25%/75% и с возможностью направления 75% мощности излучения, входящего через третий полюс, на второй полюс.
Кроме того, целесообразно, чтобы трехполюсный разветвитель был выполнен с возможностью разделения мощности входящего через его первый полюс излучения на второй и третий полюса с соотношением 50%/50%.
В качестве источника излучения со спектром излучения, огибающая которого модулирована по амплитуде, может быть использован суперлюминесцентный диод (СЛД), грани кристалла которого имеют коэффициент отражения, обеспечивающий заданную глубину модуляции по амплитуде огибающей спектра излучения суперлюминесцентного диода.
В качестве двух наиболее контрастных пиков поглощения ацетилена наиболее целесообразно использовать два пика поглощения, соответствующие длинам волн 1519,137 нм и 1530,371 нм, являющиеся фундаментальными константами.
При этом в качестве вычислительного устройства может быть использована ЭВМ, в том числе, компьютер.
Далее изобретение описано более подробно с помощью чертежей.
На фиг.1 изображена структурная схема устройства – ближайшего аналога.
На фиг.2 изображена структурная схема предлагаемого устройства.
На фиг.3 показан спектр излучения на выходе СЛД.
На фиг.4 показан спектр излучения, отраженного от датчиков Брэгга.
На фиг.5 показана в увеличенном масштабе часть спектра излучения на выходе СЛД.
На фиг.6 показан спектр излучения на выходе кюветы с ацетиленом.
На фиг.7 показано определение коэффициента запаса .
На фиг.8 показан спектр пропускания ацетилена.
На фиг.9 показана калибровка огибающей спектра излучения на выходе СЛД.
На фиг.10 проиллюстрировано определение положения соседних максимумов огибающей спектра излучения.
На фиг.2 условно показана структурная схема предлагаемого устройства.
В качестве источника излучения для осуществления предлагаемого изобретения необходимо использовать непрерывный широкополосный источник излучения, на выходе которого формируется излучение, огибающая спектра которого промодулирована по амплитуде. Это необходимо для того, чтобы обеспечить возможность калибровки излучения источника излучения. При этом из уровня техники известны такие источники излучения, например источник излучения, раскрытый в патенте US 5663822, опубл. 02.09.1997, использующий источник оптического белого шума и резонатора Фабри-Перо, который фильтрует излучение по длинам волн с образованием спектра резонансных длин волн, которые разделяют на М каналов, в каждом из которых осуществляется модуляция, после чего сигналы суммируются в один оптический сигнал. Однако такой источник излучения имеет сложную конструкцию и большие габариты.
Наиболее целесообразным представляется в качестве такого источника излучения использовать суперлюминесцентный диод СЛД, обозначенный на фиг.2 поз.1. Грани кристалла этого диода, по сути, являются резонатором Фабри-Перо и имеют определенный коэффициент отражения, от величины которого зависит глубина модуляции огибающей спектра излучения по амплитуде. При этом глубина модуляции описывается следующим выражением [см. SuperlumDiodes Ltd., 2004, Shidlovsky, V.E. Superluminescent Diodes. Short overview of device operation principles and performance parameters, http:/www.superlumdiodes.com/pdf/sld_overview.pdf; p.4]:

где G=exp((g- )·L) – суммарный коэффициент усиления, R1, R2 – коэффициенты отражения граней СЛД. При значении мощности СЛД в 10 мВт коэффициент усиления G составляет около 1000. Тогда для коэффициента отражения первой грани R1=0,001 и коэффициента отражения второй грани R2=0,001 получим глубину модуляции m=0,2.
Такую модуляцию спектра СЛД можно использовать в качестве реперных точек для калибровки по шкале длин волн. Это позволяет увеличить рабочий спектральный диапазон, т.к. ширина спектра СЛД по полувысоте составляет порядка 50 нм (см. фиг.3).
Установленный последовательно с СЛД перестраиваемый фильтр ПФ, обозначенный поз.2 на фиг.2 и выполненный в виде сканирующего интерферометра Фабри-Перо, осуществляет дискретную перестройку по длине волны излучения, выходящего из ПФ. В результате имеется некоторый набор точек на шкале длин волн, соответствующих этим значениям длин волн.
Выход перестраиваемого спектрального фильтра ПФ оптически соединен с первым, входным, полюсом четырехполюсного разветвителя 2×2, обозначенного поз.3 на фиг.2, и через его четвертый, выходной, полюс – с первым, входным, полюсом трехполюсного разветвителя 1×2, обозначенного поз.5. Второй, выходной, полюс трехполюсного разветвителя 5 оптически соединен со входом калибровочной кюветы КК, которая на фиг.2 обозначена поз. 6 и в предлагаемом устройстве, в отличие от прототипа, содержит ацетилен. Выход калибровочной кюветы КК оптически соединен со входом второго фотоприемного устройства ФПУ, обозначенного поз.8. Третий, выходной, полюс трехполюсного разветвителя, обозначенного поз.5, оптически соединен со входом третьего фотоприемного устройства (ФПУ), обозначенного поз.9. Через третий, входной-выходной полюс четырехполюсного разветвителя 2×2 (элемент 3 на фиг.2) СЛД (элемент 1 на фиг.2) оптически соединен с N квазираспределенными волоконно-оптическими датчиками Д1 ДК на брэгговских решетках, совместно обозначенными на фиг.2 поз.4, таким образом, что отраженное от них излучение через третий и второй, выходной, полюса четырехполюсного разветвителя 3 поступает на вход первого фотоприемного устройства ФПУ, обозначенного поз.7. Выходы первого, второго и третьего фотоприемных устройств ФПУ, обозначенных поз.7, 8 и 9, соединены соответственно с первым, вторым и третьим входами аналого-цифрового преобразователя АЦП, обозначенного поз.10, выход которого соединен с входом ЭВМ, обозначенной поз.11.
Четырехполюсный разветвитель, обозначенной поз.3, разделяет мощность входящего через его первый полюс излучения на четвертый и третий полюса с соотношением 25%/75% и направляет 75% мощности излучения, входящего через третий полюс от брэгговских датчиков, совместно обозначенных поз.4, на выход через второй полюс.
При этом трехполюсный разветвитель, обозначенный поз.5, разделяет мощность входящего через его первый полюс излучения на второй и третий полюса с соотношением 50%/50%.
Устройство работает следующим образом.
Излучение от СЛД (элемент 1 на фиг.2) проходит через перестраиваемый фильтр (элемент 2 на фиг.2) и попадает на первый полюс оптического четырехполюсного разветвителя 2×2 (25%/75%), обозначенного поз.3. Через третий полюс разветвитель 3 соединен с набором из N датчиков, совместно обозначенных на фиг.2 поз.4, на основе волоконно-оптических решеток Брэгга Д1 ДN, на которые поступает 75% излучения, вошедшего через первый полюс четырехполюсного разветвителя, обозначенного поз.3. Отраженное от датчиков, обозначенных совместно поз.4, излучение через тот же третий полюс поступает в четырехполюсный разветвитель, обозначенный поз.3, и через его второй, выходной, полюс попадает на первое фотоприемное устройство ФПУ, обозначено поз.7, которое регистрирует сигнал, отраженный от датчиков Брэгга, обозначенных поз.4. Этот сигнал иллюстрируется графиком на фиг.4.
При этом 25% излучения, вошедшего через первый полюс четырехполюсного разветвителя, обозначенного поз.3, выходит через его четвертый полюс и поступает на первый, входной, полюс трехполюсного разветвителя 1×2 (50%/50%), представленного на фиг.2 элементом 5. Через второй, выходной, полюс этого трехполюсного разветвителя 50% излучения поступает в калибровочный канал, содержащий калибровочную кювету КК с ацетиленом, имеющим более контрастные максимумы поглощения (минимумы пропускания), чем цианид водорода, используемый в прототипе, и второе фотоприемное устройство ФПУ, обозначенное на фиг.2 поз.8, которое регистрирует сигнал на выходе кюветы с ацетиленом (фиг.6).
При этом через третий, выходной, полюс трехполюсного разветвителя (элемент 5 на фиг.2) 50% излучения поступает на третье фотоприемное устройство ФПУ, обозначенное на фиг.2 поз.9, которое регистрирует сигнал, прошедший от суперлюминесцентного диода 1 (на фиг.5 укрупненно показан фрагмент фиг.3).
Спектр поглощения ацетилена (см. фиг.8) можно получить путем деления сигнала с ФПУ 8 (фиг.6) на сигнал с ФПУ 9 (фиг.5). Здесь вводится коэффициент запаса

который показывает, насколько контрастнее должен быть пик поглощения ацетилена, чтобы его можно было выделить на фоне модуляции огибающей спектра излучения СЛД (элемент 1 на фиг.2) и шумов (см. фиг.7, на которой укрупненно показан участок графика, представленного на фиг.6, для пояснения значения коэффициента запаса ). Примем значение =2. Путем деления сигналов устраняется влияние модуляции огибающей спектра излучения, т.е. увеличивается контраст, следовательно, увеличивается пороговое значение допустимого уровня шума, которое пропорционально частоте опроса датчиков Брэгга в системе. Тем самым увеличивается быстродействие системы.
Используя два наиболее контрастных пика поглощения (минимума пропускания) ацетилена (фиг.8), которые соответствуют длинам волн 1519,137 и 1530,371 нм и являются фундаментальными константами, можно откалибровать промодулированную огибающую спектра излучения СЛД по шкале длин волн. Калибровка заключается в определении периода амплитудной модуляции огибающей спектра излучения СЛД (элемент 1 на фиг.2) и определении с его помощью значений длин волн всех максимумов огибающей спектра излучения (фиг.9, 10). С помощью полученных значений далее калибруется сигнал, полученный от датчиков Брэгга 4 (фиг.4). Таким образом, калибровка сигнала от датчиков Брэгга 4 осуществляется не по пикам поглощения ацетилена, а по откалиброванной огибающей спектра излучения СЛД.
Т.к. в результате предлагаемой калибровки можно учесть влияние модуляции спектра излучения источника, то можно считать m1=0. Тогда выражение (1) для предельной частоты опроса преобразуется к виду:

С учетом того что kсв1=kсв2=0.75, можно приближенно считать, что kсв1·kсв2 kсв=0.5 и, соответственно, частота будет равна: f2=780 Гц при исходных начальных условиях m2=0,5, =2,  =1 пм,  раб=40 нм. Таким образом, в предлагаемой системе частота опроса увеличивается примерно в 20 раз.
Сигналы с фотоприемных устройств ФПУ (элементы 7, 8 и 9 на фиг.2) подаются соответственно на первый, второй и третий входы аналого-цифрового преобразователя АЦП (элемент 10 на фиг.2), после чего поступают на ЭВМ (элемент 11 на фиг.2), где записывается три массива чисел I1j, I2j и I3j, при этом каждому j элементу в данных массивах соответствует значение интенсивности сигнала, измеренное вышеупомянутыми устройствами ФПУ при соответствующем значении центральной длины волны интерферометра Фабри-Перо 2. То есть в итоге имеется набор интенсивностей I1j, I2j и I3j и набор соответствующих им длин волн j. Причем значения длин волн j определены с ошибкой, вызванной нелинейностью пъезопривода перестраиваемого фильтра в виде интерферометра Фабри-Перо (элемент 2 на фиг.2).
Для минимизации погрешности, вызванной нелинейностью перестраиваемого фильтра (элемент 2 на фиг.2), используется следующий алгоритм обработки сигнала:
1) производится деление сигнала I2j на I3j, в результате чего формируется массив I4j, элементы которого соответствуют спектру поглощения ацетилена, т.е. каждому элементу массива соответствует точка на спектре поглощения ацетилена;
2) в полученном массиве I4j выбираются два минимума (т.е. два элемента, имеющие минимальные значения), соответствующие двум наиболее контрастным пикам поглощения, расстояние между которыми по шкале длин волн известно с высокой точностью;
3) определяются соответствующие (по номеру) найденным пикам поглощения два элемента I3а и I3b массива I3j (см. фиг.9);
4) определяется количество максимумов между этими элементами массива и количество элементов в массиве от элемента I3а до первого максимума и от последнего максимума до элемента I3b (см. фиг.10);
5) находится период огибающей спектра излучения СЛД (элемент 1 на фиг.2) путем деления расстояния по шкале длин волн, найденного в п.2 (между I4а и I4b), на количество периодов, найденное в п.4 (между I3а и I3b);
6) калибруются все максимумы массива I3j с помощью периода, рассчитанного в п.5, в результате получаем массив I3j‘;
7) находим элементы массива I1j, соответствующие найденным откалиброванным максимумам массива I3j‘;
8) определяем количество элементов массива I1j, расположенных между элементами, определенными в п.7;
9) присваиваем каждому элементу массива I1j новое откалиброванное значение длины волны, в результате получаем массив I1j‘;
10) находим максимумы в массиве I1j‘.
Полученные значения максимумов массива I1j‘ соответствуют значениям сигнала, отраженного от датчиков Брегга, совместно обозначенных поз.4, с учетом погрешности, вызванной нелинейностью перестраиваемого фильтра, обозначенного поз.2 на фиг.2.
Таким образом, предлагаемое устройство для измерения деформаций на основе квазираспределенных волоконно-оптических датчиков на брэгговских решетках обеспечивает увеличение частоты опроса квазираспределенных датчиков Брэгга, а также увеличение количества датчиков, которые можно разместить в устройстве.
Формула изобретения
1. Устройство для измерения деформаций на основе квазираспределенных волоконно-оптических датчиков на брэгговских решетках, содержащее непрерывный широкополосный источник излучения, оптически соединенный с перестраиваемым спектральным фильтром, выход которого оптически соединен с первым полюсом четырехполюсного разветвителя 2х2 и через его четвертый полюс – со входом калибровочной кюветы, выход которой оптически соединен со входом второго фотоприемного устройства, а через третий полюс источник излучения оптически соединен с квазираспределенными волоконно-оптическими датчиками на брэгговских решетках таким образом, что отраженное от них излучение через третий и второй полюса четырехполюсного разветвителя поступает на вход первого фотоприемного устройства, выходы первого и второго фотоприемных устройств соединены, соответственно, с первым и вторым входами аналого-цифрового преобразователя (АЦП), выход которого соединен с входом вычислительного устройства, отличающееся тем, что в устройство дополнительно введены третье фотоприемное устройство и трехполюсный разветвитель 1×2, источник излучения выполнен с возможностью формирования на выходе излучения со спектром, огибающая которого модулирована по амплитуде, а калибровочная кювета содержит ацетилен, причем четвертый полюс четырехполюсного разветвителя оптически соединен со входом калибровочной кюветы через первый и второй полюсы трехполюсного разветвителя и через его третий полюс – со входом третьего фотоприемного устройства, выход которого соединен с третьим входом АЦП, а вычислительное устройство выполнено с возможностью калибровки сигнала с выхода третьего фотоприемного устройства по двум наиболее контрастным пикам поглощения ацетилена, и последующей калибровки сигнала с выхода первого фотоприемника от квази-распределенных волоконно-оптических датчиков на брэгговских решетках с помощью полученного откалиброванного сигнала с выхода третьего фотоприемника.
2. Устройство по п.1, отличающееся тем, что второе фотоприемное устройство расположено в выходном окне калибровочной кюветы.
3. Устройство по п.1, отличающееся тем, что четырехполюсный разветвитель выполнен с возможностью разделения мощности входящего через его первый полюс излучения на четвертый и третий полюса с соотношением 25%/75% и с возможностью направления 75% мощности излучения, входящего через третий полюс, на второй полюс.
4. Устройство по п.3, отличающееся тем, что трехрехполюсный разветвитель выполнен с возможностью разделения мощности входящего через его первый полюс излучения на второй и третий полюса с соотношением 50%/50%.
5. Устройство по любому из пп.1-4, отличающееся тем, что в качестве источника излучения со спектром излучения, огибающая которого модулирована по амплитуде, использован суперлюминесцентный диод, грани кристалла которого имеют коэффициент отражения, обеспечивающий заданную глубину модуляции по амплитуде огибающей спектра излучения суперлюминесцентного диода.
6. Устройство по любому из пп.1-4, отличающееся тем, что в качестве двух наиболее контрастных пиков поглощения ацетилена использованы пики поглощения, соответствующие длинам волн 1519,137 и 1530,371 нм, являющимся фундаментальными константами.
7. Устройство по любому из пп.1-4, отличающееся тем, что в качестве вычислительного устройства использована ЭВМ.
РИСУНКИ
|
|