|
|
(21), (22) Заявка: 2008127493/03, 09.07.2008
(24) Дата начала отсчета срока действия патента:
09.07.2008
(46) Опубликовано: 27.12.2009
(56) Список документов, цитированных в отчете о поиске:
ВОЛКОВ С.А. и др. Буровое дело. – М.: Недра, 1965, с.287-296, рис.219. SU 185794 А, 12.09.1968. SU 1323694 A1, 15.07.1987. SU 1802075 A1, 15.03.1993. SU 1806258 A3, 30.03.1993. ВОЛКОВ С.А. и др. Бурение скважин с обратной циркуляцией промывочной жидкости. – М.: Недра, 1970, с.104-106, рис.41.
Адрес для переписки:
115088, Москва, ул. 1-я Машиностроения, 6, корп.А, кв.143, С.С. Хворостовскому
|
(72) Автор(ы):
Куликов Владимир Владиславович (RU), Соловьев Николай Владимирович (RU), Тунгусов Александр Афанасьевич (RU), Тунгусов Сергей Александрович (RU), Хворостовский Станислав Сигизмундович (RU), Хворостовский Алексей Станиславович (RU), Хромин Евгений Дмитриевич (RU)
(73) Патентообладатель(и):
Хворостовский Станислав Сигизмундович (RU)
|
(54) КОЛОНКОВЫЙ СНАРЯД ДЛЯ ВРАЩАТЕЛЬНОГО БУРЕНИЯ С ВНУТРЕННЕЙ ПРИЗАБОЙНОЙ ЦИРКУЛЯЦИЕЙ ЖИДКОСТИ
(57) Реферат:
Изобретение относится к области вращательного бурения скважин, а именно к устройствам, создающим в колонковой трубе снаряда и скважине обратную внутреннюю призабойную циркуляцию промывочной жидкости. Снаряд содержит колонковую трубу с буровой коронкой, переходник под колонну бурильных труб и шаровой клапан, включающий металлический корпус, седло с центральным сквозным каналом для прохода жидкости, шар из нержавеющей стали для перекрытия канала, шламопроводящую трубку с отверстиями в ее боковых стенках для выхода через них жидкости и шлама выбуриваемых пород в скважину. Шар выполнен пустотелым, отверстия для выхода жидкости и шлама в скважину выполнены в боковых стенках корпуса клапана. Внутренний диаметр корпуса клапана принят равным внутреннему диаметру колонковой трубы, диаметр канала седла клапана и наружный диаметр шара выбраны максимально возможными из условия минимизации сопротивлений выходу жидкости из колонковой трубы и диаметр канала седла клапана определяют из условия равенства площади сечения канала седла и площади сечения кольцевого зазора между шаром и внутренними стенками корпуса клапана. Обеспечивает повышение качества керна. 1 з.п. ф-лы, 3 ил., 1 табл.
Изобретение относится к области вращательного бурения скважин, а именно к устройствам, которые за счет принудительного механического расхаживания бурового снаряда создают в его колонковой трубе и скважине обратную внутреннюю призабойную циркуляцию промывочной жидкости, заключающуюся в движении жидкости по замкнутой системе в буровом снаряде без выхода ее на поверхность и повышающую качество керна.
Известен буровой снаряд, содержащий породоразрушающую коронку, колонковую трубу, шаровой клапан, расположенный внутри верхней части трубы поршень со вторым шаровым клапаном и утяжелитель колонковой трубы. Поршень соединен с колонной бурильных труб, и верхняя часть колонковой трубы исполняет роль цилиндра насоса [2]. Известен также снаряд, содержащий колонковую трубу и установленный над ней специальный насос с двумя шаровыми клапанами. Поршень насоса жестко соединен с колонковой трубой, а цилиндр – с колонной бурильных труб [3].
Обратная внутренняя призабойная циркуляция промывочной жидкости для выноса частиц разбуренной породы из-под резцов коронки обеспечивается расхаживанием поршня насоса в колонковом снаряде [2] и цилиндра насоса в колонковом снаряде [3]. Расхаживание осуществляют периодически с помощью лебедки или рычага бурового станка. При этом буровая коронка колонкового снаряда не отрывается от забоя и необходимая осевая нагрузка на нее постоянно поддерживается силой тяжести специального утяжелителя в составе колонкового снаряда.
Буровые колонковые снаряды [2] и [3] работоспособны и повышают процент выхода керна. Однако они громоздкие, массивные, не удобные в обслуживании, требуют больших материальных затрат для их изготовления и обеспечения надежности эксплуатации, так как при работе в зашламованной среде их цилиндры и поршни быстро изнашиваются. Поэтому колонковые снаряды [2] и [3] при бурении производственных скважин не используют.
Известен буровой снаряд, содержащий породоразрушающую коронку, колонковую трубу, переходник под колонну бурильных труб и шаровой клапан, включающий: ниппель с каналом для прохода жидкости и седлом под шар, стальной шар, шламопроводящую трубку с боковыми отверстиями для выхода шлама из снаряда в скважину и ограничитель хода шара вверх [1]. При бурении колонковый снаряд непрерывно вращают с поддержанием на забое нужной осевой нагрузки и периодически расхаживают (поднимают снаряд над забоем и сбрасывают на забой). Вращение, расхаживание колонкового снаряда и передачу на него осевой нагрузки осуществляют при помощи колонны бурильных труб. В процессе расхаживания колонкового снаряда внутри него и в скважине осуществляется циркуляция жидкости.
Предполагается, что во время подъема от забоя колонкового снаряда [1] шаровой клапан всегда закрыт, давление в колонковой трубе уменьшается и в нее перемещается вместе со шламом жидкость из наружного кольцевого зазора между стенками скважины и снаряда. Во время сбрасывания снаряда к забою шар под давлением находящейся в колонковой трубе жидкости поднимается вверх и клапан открывается. При этом основная часть жидкости со шламом движется вверх и через боковые отверстия в шламопроводящей трубке изливается в скважину, а меньшая часть возвращается к забою через кольцевой зазор между керном и внутренними стенками колонковой трубы.
В практике бурения скважин колонковый снаряд [1] известен под названием «снаряд для безнасосного бурения». Наиболее эффективно его применение при бурении скважин, поглощающих промывочную жидкость, и при затруднениях с доставкой к скважинам жидкости. Обязательное условие для бурения колонковым снарядом [1]: в скважине должен находиться столб жидкости высотой, несколько большей высоты снаряда. Такой жидкостью в большинстве случаев является вода. Если в скважине нет грунтовых вод, то в процессе бурения в нее подливают необходимое количество воды. В каждом рейсе при расхаживании снаряда циркулирующая в нем вода обогащается шламом выбуриваемых пород. Поэтому практически бурение осуществляют с использованием естественного раствора плотностью около =1150 кг/м3.
Простота конструкции, доступность изготовления и экономичность использования колонкового снаряда [1] – главные причины бурения им на производстве скважин любых необходимых диаметров. Большинство скважин колонковым снарядом [1] бурят в неустойчивых породах, используя для этого колонковые трубы диаметрами от 0,108/0,099 до 0,146/0,137 м.
Однако в процессе бурения при расхаживании известного колонкового снаряда [1] поступающий в его колонковую трубу керн испытывает давление находящейся над керном жидкости. Величины этого давления могут быть большими и зависят от конструкции элементов шарового клапана снаряда и соотношения их параметров. Давление жидкости в колонковой трубе над керном препятствует поступлению его в трубу, а отобранный керн не всегда удовлетворяет предъявляемым к нему требованиям, так как оказывается уплотненным и с нарушенными физико-механическими характеристиками.
При падении снаряда на забой скважины рост давления жидкости в колонковой трубе обусловлен в начале необходимостью подъема шара, затем скоростными сопротивлениями перетоку жидкости из колонковой трубы в шламопроводящую трубку через канал седла клапана. Для уменьшения сопротивлений выходу жидкости из колонковой трубы в снарядах прототипа рекомендуют применять шламопроводящие трубки диаметром 0,033-0,040 м [1, с.290]. При этом диаметр шара составляет 0,026-0,036 м, а диаметр канала седла (ниппеля) шарового клапана 0,022-0,030 м соответственно. Такие диаметры канала седла клапана в 4-5 раз меньше внутреннего диаметра колонковых труб диаметрами от 0,108/0,099 до 0,146/0,137 м.
Скорость движения жидкости через канал клапана пропорциональна отношению в квадрате внутреннего диаметра колонковой трубы к диаметру канала. При малых диаметрах канала эти скорости большие. Например, при падении со скоростью всего 1 м/с снаряда с колонковой трубой диаметрами 0,146/0,137 м скорость течения жидкости через канал диаметром 0,026 м достигает 28 м/с. Одновременно квадрату скорости движения жидкости через канал клапана пропорциональны скоростные местные сопротивления.
Скоростные местные сопротивления определяют по формуле Вейсбаха [например, 4, с.168]

где – коэффициент местного сопротивления;
V – скорость движения жидкости через канал седла клапана, м/с;
– плотность жидкости, перетекающей через канал седла, кг/м3;
VK – скорость движения снаряда к забою при сбросе, м/с;
DK – внутренний диаметр колонковой трубы, м;
dc – диаметр канала седла шарового клапана, м.
Величину коэффициента берут из таблиц [например, 6, табл.4-2] в зависимости от отношений площадей: сечения канала седла к сечению колонковой трубы и сечения канала седла к сечению шламопроводящей трубки. При использовании снаряда с каналом седла диаметром dc=0,026 м, внутренним диаметром шламопроводящей трубки 0,04 м и колонковой трубой диаметрами 0,146/0,137 м величина коэффициента примерно равна 1,5. Скорости движения бурового снаряда при его сбрасывании к забою часто достигают 1,5 м/с. Приняв =1,5; =1150 кг/м3 и скорость падения снаряда всего VK=1 м/с, по выражению (1) вычисляют
pM=(0,5×1,5×1150×12×0,137)/0,0264=664887 Па.
Полученное значение давления жидкости в колонковой трубе на керн достаточно высокое. Поступающие в процессе бурения в колонковую трубу породы уплотняются и физико-механические свойства их нарушаются.
При подъеме снаряда от забоя для создания разрежения в колонковой трубе над керном и подсоса жидкости со стороны забоя необходимо ускорить закрытие клапана. Для этого необходимо, чтобы шар мгновенно преодолел рекомендуемое в [1] расстояние 0,15 м и перекрыл канал седла. Однако при подъеме снаряда жидкость поступает в колонковую трубу, в первую очередь, через находящиеся ниже шара боковые окна в шламопроводящей трубке, так как этому ничто не препятствует. Этот поток жидкости и малый кольцевой зазор между шаром и стенками шламопроводящей трубки тормозят падение шара малой массы. Поэтому не при каждом подъеме снаряда жидкость поступает в колонковую трубу с забоя через кольцевой зазор между ее стенками и керном и керн в колонковой трубе преждевременно затирается. Из-за этого рейс зачастую прекращают и снаряд поднимают из скважины.
Уменьшить давление жидкости на керн от скоростных сопротивлений выходу жидкости из колонковой трубы через канал седла клапана возможно путем увеличения диаметра канала, соответственно шара и шламоотводящей трубки. Однако при увеличении диаметра шара пропорционально диаметру в кубе увеличивается масса шара. Это неприемлемо, так как увеличивает давление жидкости на керн в колонковой трубе при открытии клапана.
Сущность предлагаемого технического решения заключается в создании конструкции керноприемного снаряда, позволяющей увеличить диаметры канала и стального шара клапана при одновременном уменьшении массы шара. Это существенно уменьшает давление жидкости на керн в колонковой трубе при расхаживании снаряда в процессе бурения.
Основной технический результат предлагаемого изобретения состоит в повышении качества керна за счет уменьшения сопротивлений циркуляции жидкости в колонковом снаряде при его расхаживании в процессе вращательного бурения по породам малоустойчивым и малой твердости.
Технический результат изобретения достигается следующим образом. Предлагаемый колонковый снаряд для бурения с внутренней циркуляцией жидкости содержит колонковую трубу с буровой коронкой, переходник под колонну бурильных труб и шаровой клапан, включающий металлический корпус, седло с центральным сквозным каналом для прохода жидкости, шар из нержавеющей стали для перекрытия канала, шламопроводящую трубку с отверстиями в ее боковых стенках для выхода через них жидкости и шлама выбуриваемых пород в скважину.
Отличительные особенности предлагаемого колонкового снаряда состоят в том, что шар выполнен пустотелым, отверстия для выхода жидкости и шлама в скважину выполнены в боковых стенках корпуса клапана, внутренний диаметр корпуса клапана принят равным внутреннему диаметру колонковой трубы, диаметр канала седла клапана и наружный диаметр шара выбраны максимально возможными из условия минимизации сопротивлений выходу жидкости из колонковой трубы и диаметр канала седла клапана определяют из условия равенства площади сечения канала седла и площади сечения кольцевого зазора между шаром и внутренними стенками корпуса клапана по выражению

где dc – диаметр канала седла шарового клапана, м;
DK – внутренний диаметр корпуса клапана и колонковой трубы, м.
Отличительной особенностью предлагаемого колонкового снаряда является также то, что внутренний диаметр шара определяют по выражению, полученному из условия необходимой скорости падения шара в жидкости

где d и D – внутренний и наружный диаметры шара соответственно, м.
На фиг.1 изображен общий вид предлагаемого колонкового снаряда во время подъема вверх при расхаживании; на фиг.2 – то же, во время движения снаряда к забою и в процессе бурения; на фиг.3 – схема сил, действующих на шар клапана снаряда в начальный момент сброса его к забою. Стрелками с кривыми прерывистыми линиями на фиг.1 и 2 условно показана схема циркуляции жидкости при расхаживании снаряда.
Предлагаемый колонковый снаряд для бурения с внутренней циркуляцией жидкости состоит из буровой породоразрушающей коронки 1, колонковой трубы 2, корпуса 3 клапана, седла 4 клапана с центральным сквозным каналом для прохода по нему жидкости, стального пустотелого шара 5, боковых отверстий 6 в стенках корпуса клапана для выхода через них шлама из снаряда в скважину, переходника 7 под бурильную колонну труб 8.
Бурение предлагаемым снарядом осуществляют по схеме безнасосного бурения. Колонковый снаряд с шаровым клапаном опускают в скважину на колонне бурильных труб, вращают его и периодически расхаживают. В связи с конструктивными особенностями предлагаемого колонкового снаряда условия циркуляции жидкости в нем при его расхаживании отличаются от условий циркуляции жидкости в снаряде [1] и позволяют повысить качество получаемого при бурении керна, т.е. повысить эффективность бурения.
При подъеме на колонне бурильных труб 8 колонкового снаряда от забоя скважины (фиг.1) шар 5 закрывает канал седла 4, внутри колонковой трубы 2 над керном уменьшается давление жидкости и из наружного кольцевого зазора между стенками скважины и снарядом в колонковую трубу 2 засасывается жидкость. Эта жидкость вовлекает с забоя выбуренные частицы породы, омывает и охлаждает буровую коронку 1. При сбрасывании снаряда к забою скважины (фиг.2) шар 5 под давлением находящейся в колонковой трубе 2 жидкости поднимается вверх и клапан открывается.
Отличия условий циркуляции жидкости при бурении предлагаемым колонковым снарядом следующие. При сбрасывании снаряда на забой в первый момент после открытия канала седла 4 клапана шар 5 поднимается не выше боковых отверстий 6 в стенках корпуса 3 и не доходит до переходника 7, который может выполнять заодно функции ограничителя хода шара вверх. Отличие условий также в том, что после сброса снаряда на забой уже в начале работы буровой коронки 1 на забое шар 5 приспускается вниз и удерживается потоком выходящей из колонковой трубы 2 жидкости на небольшом удалении от седла 4 клапана. При очередном подъеме снаряда от забоя шар 5 из такого положения мгновенно опускается в седло 4 и перекрывает канал клапана. Мгновенному опусканию шара 5 в седло 4 при подъеме колонкового снаряда от забоя способствуют: малое расстояние между шаром и седлом, давление на шар потока жидкости из скважины через находящиеся выше него боковые окна 6 корпуса клапана в колонковую трубу и большая, чем у прототипа, скорость падения шара в жидкости.
Названные отличия обусловлены тем, что в предлагаемом снаряде существенно увеличены: а) диаметр канала седла 4; б) площадь кольцевого сечения между шаром 5 и внутренними стенками корпуса 3 клапана; в) наружный диаметр и скорость падения шара в жидкости при одновременном поддержании необходимой массы шара за счет выполнения его пустотелым.
Увеличение диаметра канала седла 4 и кольцевого зазора между шаром 5 и корпусом 3 клапана уменьшает скоростные сопротивления движению основной части жидкости со шламом из колонковой трубы 2 через канал седла 4, кольцевой зазор между шаром 5 и внутренними стенками корпуса 3 клапана и далее через боковые отверстия 6 в корпусе 3 клапана в скважину. Это существенно уменьшает давление жидкости на керн 9 в колонковой трубе 2 и повышает качество получаемого керна.
Выполнение шара 5 пустотелым позволяет увеличить его наружный диаметр до размеров, необходимых для перекрытия увеличенного диаметра канала седла 4. Массу пустотелого шара 5 при увеличении его наружного диаметра увеличивают до предела, обеспечивающего необходимую и несколько большую, чем у прототипа, скорость падения шара в жидкости. При этом внутренний диаметр шара выбран таким, что удельная масса шара (приходящаяся на единицу площади канала седла 4) меньше, чем у снаряда [1]. Соответственно, меньше давление жидкости на керн в колонковой трубе при открытии клапана и выбуриваемый керн получают лучшего качества.
Возможность выполнения предлагаемого колонкового снаряда с использованием перечисленных отличительных особенностей и достижения заявленного технического результата подтверждаются теоретически.
При сбрасывании колонкового снаряда на забой скважины в колонковой трубе 2 над керном возникает избыточное давление р жидкости, необходимое для открытия шарового клапана и выхода жидкости из колонковой трубы (фиг.3). Давление р создает силу давления F жидкости в колонковой трубе 2 на шар 5 через канал диаметром dc седла 4 клапана

Для подъема шара необходимо соблюдение условия

где М – масса шара, кг;
F1 – сила давления столба жидкости в скважине над шаром, прижимающая его к седлу клапана, Н;
F2 – сила давления столба жидкости в скважине под шаром выше седла клапана, выталкивающая шар из седла, Н.
Масса сплошного (цельного) шара диаметром D равна

где М – плотность материала шара, кг/м3.
Силы давления на шар столба жидкости высотой Н в скважине


где – плотность столба жидкости, кг/м3.
Подставив (4), (6), (7) и (8) в (5) и решив его относительно p, получают

Уменьшение величины р по выражению (9) практически возможно только за счет изменения величин М, D и dc. Принципиально шар может быть изготовлен из металлов различной плотности и полимеров. В зашламованной среде надежнее всего работает шар из нержавеющей стали. Поверхность шаров из более легких металлов и пластмасс при работе в зашламованной среде царапается и они быстро выходят из строя.
Из выражения (9) следует, что давление р уменьшается пропорционально увеличению диаметра dc канала седла клапана в квадрате. Это хорошо, так как соответствует одной из отличительных особенностей предложенной полезной модели. Однако с увеличением диаметра канала седла соответственно увеличивается диаметр шара (причем D больше dc). A так как в выражении (9) диаметр шара в кубе, а диаметр канала седла в квадрате, то получается, что с увеличением dc значение р увеличивается. Но это справедливо при использовании цельного шара. Одна из отличительных особенностей предложенного технического решения в том, что шар выполнен пустотелым. Масса пустотелого шара равна

Подставив (4), (7), (8) и (10) в (5) и решив его относительно p, получают

В предлагаемом колонковом снаряде при закрытии клапана шар погружается в седло на половину своего диаметра. Это обеспечивает устойчивое положение шара в седле в процессе извлечения колонкового снаряда из скважины. Чтобы находящиеся в жидкости частицы шлама не осаждались на поверхности седла и не препятствовали надежному закрытию клапана шаром, седло выполняют с большим наклоном его сферической поверхности. Для этого наружный диаметр D шара превышает диаметр канала dc седла клапана примерно на 0,006 м

Размеры всех элементов колонкового снаряда в (12) и везде в тексте в метрах.
Диаметр канала dc выполняют максимально допустимым и разным в зависимости от внутреннего диаметра DK корпуса клапана и колонковой трубы соответственно. При этом скорость и сопротивления движению жидкости через канал седла минимальные. Рациональный диаметр канала dc седла клапана определяют из условия, что площади поперечного сечения канала седла и кольцевого зазора между шаром и внутренними стенками корпуса клапана равны или отличаются весьма незначительно. При этом скорость движения жидкости в кольцевом зазоре не будет выше, чем скорость ее выхода из канала седла, шар в процессе бурения опустится близко к седлу и займет положение ниже боковых окон в корпусе клапана (фиг.2). При подъеме снаряда от забоя шар мгновенно опустится в седло из-за малого расстояния между ними, а также под напором жидкости, устремляющейся из скважины в колонковую трубу через находящиеся выше шара боковые окна в корпусе клапана.
Из условия равенства площадей сечения канала седла и кольцевого зазора между шаром и стенками корпуса клапана, а также с учетом соотношения (12) диаметр канала седла клапана определяют из выражения

Вычислив по (13) значение dc и прибавив к нему 0,006 м согласно (12), получают значение наружного диаметра D шара. Аналогичное значение D вычисляют по выражению, получаемому после подстановки (13) в (12)

При уже известном наружном диаметре D шара величина внутреннего диаметра d его влияет на прочность, массу и соответственно скорость падения шара в жидкости, а также величину ее давления в колонковой трубе в процессе падения снаряда на забой и подъема шара при открывании клапана.
Прочность стального шара любого диаметра при безнасосном бурении обеспечивается при толщине стенки более 0,003 м. Скорость падения шара в жидкости зависит от плотности жидкости, массы и размеров шара. Масса пустотелого шара зависит от его наружного и внутреннего диаметров. Чем больше масса шара, тем больше скорость его падения и закрытия клапана.
Скорости падения шарообразных тел в жидкостях и растворах определяют по известной формуле Риттингера [4, с.298; 5, с.248]

где с – коэффициент сопротивления движению шара в жидкости;
K=5,11 – коэффициент [5, с.248], м0,5/с;
Ш – усредненная плотность пустотелого шара, кг/м3;
– плотность жидкости, кг/м3.
Усредненная плотность пустотелого шара равна

где М – плотность материала шара, кг/м3 (плотность стали М=7850 кг/м3).
В колонковом снаряде [1] скорость падения цельнометаллических шаров диаметрами от 0,026 до 0,036 м считается достаточной. Но чем больше скорость падения шара, тем лучше, так как быстрее закрывается клапан. Поэтому в предлагаемом колонковом снаряде скорость падения пустотелого шара в жидкости ограничивают скоростью падения цельнометаллического шара диаметром 0,04 м, для которого

Подставив (16) в (15) и приравняв полученное с (17) (из необходимости равенства скоростей падения шара цельнометаллического диаметром 0,04 м и пустотелого), находят, что при плотности жидкости =1150 кг/м3, соответствующей или очень близкой ее фактическому значению в скважине,

По обоснованным и приведенным выше математическим выражениям вычисляют параметры элементов шарового клапана предлагаемого снаряда с использованием колонковой трубы любого диаметра, необходимого для бурения с внутренней призабойной циркуляцией жидкости.
ПРИМЕР. Определить основные параметры элементов шарового клапана предлагаемого снаряда и сравнить его с прототипом по величине давления жидкости на керн, которое может возникать в колонковых трубах диаметрами 0,108/0,099 м снарядов в процессе их расхаживания. Основные параметры элементов прототипа: диаметр канала седла клапана 0,028 м; диаметр стального цельнометаллического шара 0,036 м.
РЕШЕНИЕ дано со ссылками на полученные математические выражения.
1. Для снаряда с равными внутренними диаметрами DK=0,099 м колонковой трубы и корпуса клапана по формуле (13) вычисляют диаметр канала седла

2. По выражению (12) или (14) определяют необходимый наружный диаметр шара
D=0,067+0,006=0,073 м
3. Проверяют равенство площадей канала седла и зазора между стенками корпуса клапана и шаром (0,785×0,0672)=0,785×(0,0992-0,0732)=0,0035 м2.
4. По выражению (18) вычисляют необходимый внутренний диаметр шара

5. Для сравнения снарядов предлагаемого и прототипа по качеству керна давление жидкости на керн в колонковых трубах этих снарядов определяют по первым членам справа выражений (11) и (9) соответственно, так как параметры шарового клапана влияют на значения только этого члена. Обозначив давления жидкости по первым членам выражений (9) и (11) через р1, вычисляют величины давлений на керн в колонковых трубах:
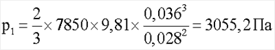
а) прототипа по первому члену справа выражения (9)

б) предлагаемого снаряда по первому члену справа выражения (11)

Вычисленные значения давлений р1 показывают, что при использовании предлагаемого колонкового снаряда давление жидкости в колонковых трубах на керн, возникающее при открытии шарового клапана, меньше, чем при использовании снаряда прототипа. Это положительно. Однако главное достоинство предлагаемого колонкового снаряда в том, что при увеличении диаметра канала седла клапана существенно уменьшаются скоростные местные сопротивления движению жидкости через канал седла.
Значение скоростного сопротивления истечению жидкости через канал седла клапана прототипа, вычисленное ранее по выражению (1), больше чем в двести раз превосходит вычисленное по выражению (9) сопротивление, возникающее при подъеме шара прототипа. Предлагаемый колонковый снаряд по сравнению с прототипом позволяет в десятки (при DK=0,137 м почти в сто) раз уменьшить скоростные местные сопротивления истечению жидкости через канал седла клапана. Это подтверждают данные таблицы.
| Сравниваемые показатели |
Внутренний диаметр шламоотводящей трубки* и корпуса клапана – DK, 10-3м |
| 40* [1] |
99 |
118 |
137 |
| Диаметр, 10-3 м: |
 |
 |
 |
 |
| dc – канала седла |
30 |
67 |
80 |
94 |
| D – шара (наружный) |
36 |
73 |
86 |
100 |
| d – шара (внутренний) |
0 |
53 |
66 |
80 |
| Толщина стенки шара, 10-3 м |
сплошной |
10 |
10 |
10 |
Усредненная плотность шара ш, кг/м3 |
7850 |
4846 |
4302 |
3831 |
| Масса шара, кг |
0,19 |
0,98 |
1,43 |
2,00 |
| Площадь, 10-5 м2: |
 |
 |
 |
 |
| канала седла |
70,7 |
352,4 |
502,4 |
693,6 |
| зазора между корпусом клапана и шаром |
23,9 |
351,1 |
512,5 |
688,4 |
| Скорость падения шара, м/с |
2,34 |
2,48 |
2,48 |
2,47 |
| Сопротивления p1 открытию клапана, кПа |
3,06 |
2,75 |
2,80 |
2,83 |
| Кратность уменьшения скоростных сопротивлений (в сравнении с прототипом *[1]) |
1 |
24,88 |
50,57 |
96,39 |
В таблице даны конструктивные параметры основных элементов шарового клапана прототипа (отмечен знаком *) и предлагаемого колонкового снаряда и возникающие в процессе бурения ими важные технологические параметры.
Все параметры элементов шарового клапана предлагаемого снаряда и возникающие при бурении им технологические параметры вычислены по приведенным математическим выражениям, которые получены с учетом конструктивных отличительных особенностей предлагаемого снаряда.
Незначительные расхождения в приведенных в таблице значениях площади канала седла и площади кольцевого зазора между внутренними стенками корпуса клапана и шаром обусловлены округлением значений параметров элементов клапана при их вычислениях с точностью до сотых, десятых и даже целых единиц. Однако эти расхождения не существенны и не влияют на эффективность работы предлагаемого колонкового снаряда с вычисленными параметрами. Например, предлагаемый колонковый снаряд уменьшает скоростные сопротивления истечению жидкости из колонковой трубы диаметрами 0,146/0,137 м через канал седла клапана в 96,36 раз по сравнению с прототипом, оснащенным колонковой трубой тех же диаметров. И это при том, что приведенная в таблице площадь канала седла клапана предлагаемого колонкового снаряда с колонковой трубой диаметрами 0,146/0,137 м на 0,000052 м2 больше площади кольцевого зазора между внутренними стенками корпуса клапана и шаром.
Как видно из таблицы, увеличение диаметров канала седла клапана и шара, увеличение площади кольцевого зазора между внутренними стенками корпуса клапана и шаром до значения, равного или близкого площади канала седла, выполнение шара пустотелым с внутренним диаметром, вычисляемым по предложенному математическому выражению, позволяют: уменьшить сопротивления открытию клапана и в десятки раз уменьшить скоростные местные сопротивления движению жидкости через канал седла шарового клапана; увеличить скорость падения шара и скорость закрытия клапана.
Использование предлагаемого колонкового снаряда с внутренней циркуляцией жидкости по сравнению с известным колонковым снарядом, принятым в качестве прототипа, при бурении повышает:
а) качество получаемого керна, так как уменьшает давление на него жидкости, находящейся в колонковой трубе снаряда;
б) скорость открытия и закрытия шарового клапана из-за уменьшения гидравлических сопротивлений подъему шара и нахождения его на близком расстоянии от седла клапана при работе буровой коронки на забое скважины;
в) надежность циркуляции жидкости в колонковом снаряде, в том числе между внутренними стенками колонковой трубы и керном, по причине повышения скорости открытия и закрытия шарового клапана;
г) длину рейса в связи с улучшением циркуляции жидкости и уменьшением причин для самопроизвольной затирки керна в колонковой трубе.
Источники информации
1. Волков С.А., Сулакшин С.С., Андреев А.А. Буровое дело. – М.: Недра, 1965, с.287-296, рис.219 (прототип).
2. Волков А.С., Волокитенков А.А. Бурение скважин с обратной циркуляцией промывочной жидкости. – М.: Недра, 1970, с.104-106, рис.41 (аналог).
3. Шолохов Л.Г., Бажутин А.Н. Глубинный насос. А.с. 185794, опубл. БИ 18, 1966 (аналог).
4. Маковей Н. Гидравлика бурения. Пер. с рум. – М.: Недра, 1986.
5. Воздвиженский Б.И. Буровая механика. – М.: Госгеолиздат, 1949.
6. Чугаев P.P. Гидравлика. – Л.: Энергия, 1970.
Формула изобретения
1. Колонковый снаряд для вращательного бурения с внутренней призабойной циркуляцией жидкости, содержащий колонковую трубу с буровой коронкой, переходник под колонну бурильных труб и шаровой клапан, включающий металлический корпус, седло с центральным сквозным каналом для прохода жидкости, шар из нержавеющей стали для перекрытия канала, шламопроводящую трубку с отверстиями в ее боковых стенках для выхода через них жидкости и шлама выбуриваемых пород в скважину, отличающийся тем, что шар выполнен пустотелым, отверстия для выхода жидкости и шлама в скважину выполнены в боковых стенках корпуса клапана, внутренний диаметр корпуса клапана принят равным внутреннему диаметру колонковой трубы, диаметр канала седла клапана и наружный диаметр шара выбраны максимально возможными из условия минимизации сопротивлений выходу жидкости из колонковой трубы и диаметр канала седла клапана определяют из условия равенства площади сечения канала седла и площади сечения кольцевого зазора между шаром и внутренними стенками корпуса клапана по выражению
 где dc – диаметр канала седла шарового клапана, м; Dк – внутренний диаметр корпуса клапана и колонковой трубы, м.
2. Колонковый снаряд для вращательного бурения с внутренней призабойной циркуляцией жидкости по п.1, отличающийся тем, что внутренний диаметр шара определяют по выражению, полученному из условия необходимой скорости падения шара в жидкости
 где d и D – внутренний и наружный диаметры шара соответственно, м.
РИСУНКИ
|
|