Патент на изобретение №2377244
|
||||||||||||||||||||||||||||||||||||||||||||||||||||||||||||||||||||||||||||||||||||||||||||||||||||||||||||||||||||||||||||||||||||||||||||||||||||||||||||||||||||||||||||||||||||||||||
(54) 2-АЛКИЛАМИНО-3-АРИЛСУЛЬФОНИЛЦИКЛОАЛКАНО[e ИЛИ d]ПИРАЗОЛО[1,5-а]ПИРИМИДИНЫ – АНТАГОНИСТЫ СЕРОТОНИНОВЫХ 5-НТ6 РЕЦЕПТОРОВ, СПОСОБЫ ИХ ПОЛУЧЕНИЯ И ПРИМЕНЕНИЯ
(57) Реферат:
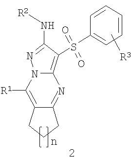
Изобретение относится к новым 2-алкиламино-3-арилсульфонилциклоалкано[е]пиразоло[1,5-а]пиримидинам общей формулы 1 и 2-алкиламино-3-арилсульфонилциклоалкано[d]пиразоло[1,5-а]пиримидинам общей формулы 2, обладающим свойствами антагонистов серотониновых 5-НТ6 рецепторов, фармацевтическим композициям, содержащим указанные соединения в качестве лекарственного начала, к лекарственным средствам и способу лечения и предупреждения развития заболеваний ЦНС. В общих формулах 1 и 2
R1 представляет собой атом водорода или C1-С3алкил; R2 представляет собой C1-С3 алкил; R3 представляет собой атом водорода, один или два необязательно одинаковых атома галогена, C1-С3алкил или необязательно замещенный C1-С3алкилом гидроксил; n представляет собой целое число 1, 2 или 3. Изобретение также относится к способу получения соединений общей формулы 1 или 2 взаимодействием 3-амино-4-арилсульфонил-2Н-пиразолов общей формулы 3 с соответствующими
где R1, R2, R3 и n имеют вышеуказанное значение. 8 н. и 4 з.п. ф-лы, 4 табл.
Данное изобретение относится к новым 3-арилсульфонил-пиразоло[1,5-а]пиримидинам, к новым антагонистам серотониновых 5-НТ6 рецепторов, к новым лекарственным началам, фармацевтическим композициям, готовым лекарственным формам и способам их получения. Более конкретно, настоящее изобретение относится к антагонистам серотониновых 5-НТ6 рецепторов – замещенным 2-алкиламино-3-арилсульфонил-циклоалкано[е или d]пиразоло[1,5-а]пиримидинам, лекарственным началам и фармацевтическим композициям, содержащим лекарственные начала в виде указанных соединений, а также к новым лекарственным средствам и способу лечения и предупреждения развития различных когнитивных и нейродегенеративных заболеваний. В основе фармакологического эффекта новых лекарственных начал лежит их способность антагонистически взаимодействовать с серотониновыми 5-НТ6 рецепторами, играющими важную роль в лечении заболеваний центральной нервной системы (ЦНС), в частности болезни Альцгеймера (БА), болезни Гангтинтона, шизофрении, других нейродегенеративных заболеваний, когнитивных расстройств и ожирения. Использование эффективных и селективных антагонистов серотониновых 5-НТ6 рецепторов для лечения заболеваний ЦНС, в частности шизофрении, БА и других нейродегенеративных заболеваний и когнитивных расстройств, является перспективным направлением для получения новых лекарств [Holenz J., Pauwels P.J., Diaz J.L., Merce R., Codony X., Buschmann H. Medicinal chemistry strategies to 5-НТ6 receptor ligands as potential cognitive enhancers and antiobesity agents. Drug Disc. Today. 2006; 11:283-299]. Эти рецепторы у млекопитающих находятся исключительно в центральной нервной системе (ЦНС), причем главным образом в участках головного мозга, ответственных за обучение и память [Ge’rard С., Martres M.-P., Lefe’vre K., Miquel M.-C., Verge’ D., Lanfumey L., Doucet E., Hamon M., El Mestikawy S. Immuno-localisation of serotonin 5-НТ6 receptor-like material in the rat central nervous system. Brain Research. 1997; 746:207-219]. Кроме того, показано [Dawson L.A., Nguyen H.Q., Li P. The 5-HT(6) receptor antagonist SB-271046 selectively enhances excitatory neurotransmission in the rat frontal cortex and hippocampus. Neuropsychopharmacology. 2001; 25:662-668], что 5-НТ6 рецепторы являются модуляторами нескольких нейромедиаторных систем, включая холинэргическую, норадренэргическую, глутаматэргическую и допаминэргическую. Учитывая фундаментальную роль этих систем в нормальных когнитивных процессах, а также их дисфункцию при нейродегенерации, становится очевидной исключительная роль 5-НТ6 рецепторов в формировании нормальной или «патологической» памяти. В большом числе современных работ показано, что блокирование 5-НТ6 рецепторов приводит к значительному усилению консолидации памяти у различных животных моделей обучения-запоминания-воспроизведения [Foley A.G., Murphy K.J., Hirst W.D., Gallagher H.C., Hagan J.J., Upton N., Walsh F.S., Regan C.M. The 5-HT(6) receptor antagonist SB-271046 reverses scopolamine-disrupted consolidation of a passive avoidance task and ameliorates spatial task deficits in aged rats. Neuropsychopharmacology. 2004; 29:93-100. Riemer С., Borroni E., Levet-Trafit В., Martin J.R., Poli S., Porter R.H., Bos M. Influence of the 5-НТ6 receptor on acetylcholine release in the cortex: pharmacological characterization of 4-(2-bromo-6-pyrrolidin-l-ylpyridine-4-sulfonyl)phenylamine, a potent and selective 5-НТ6 receptor antagonist. J. Med. Chem. 2003; 46:1273-1276. King M.V., Woolley M.L., Topham I.A., Sleight A.J., Marsden C.A., Fone K.C. 5-НТ6 receptor antagonists reverse delay-dependent deficits in novel object discrimination by enhancing consolidation e an effect sensitive to NMDA receptor antagonism. Neuropharmacology 2004; 47:195-204]. Также показано значительное улучшение когнитивных функций у старых крыс в модели водного лабиринта Моррисона при воздействии антагонистом 5-НТ6 рецепторов [Foley A.G., Murphy K.J., Hirst W.D., Gallagher H.C., Hagan J.J., Upton N., Walsh F.S., Regan C.M. The 5-HT(6) receptor antagonist SB-271046 reverses scopolamine-disrupted consolidation of a passive avoidance task and ameliorates spatial task deficits in aged rats. Neuropsychopharmacology. 2004; 29:93-100]. В последнее время достигнуто не только более глубокое понимание роли 5-НТ6 рецепторов в когнитивных процессах, но и более четкое формирование представлений о возможных фармакофорных свойствах их антагонистов [Holenz J., Pauwels P.J., Diaz J.L., Merce R., Codony X., Buschmann H. Medicinal chemistry strategies to 5-НТ6 receptor ligands as potential cognitive enhancers and antiobesity agents. Drug Disc. Today. 2006; 11:283-299]. Это привело к созданию высокоаффинных селективных лигандов («молекулярных инструментов»), а затем и клинических кандидатов. В настоящее время ряд антагонистов 5-НТ6
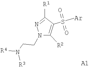
Еще одним привлекательным свойством антагонистов 5-НТ6 рецепторов является их способность подавлять аппетит, что может привести к созданию на их основе принципиально новых средств для понижения избыточного веса и ожирения [Vicker S.P., Dourish C.T. Serotonin receptor ligands and the treatment of obesity. Curr. Opin. Investig. Drugs. 2004; 5:377-388]. Этот эффект подтвержден во многих исследованиях [Holenz J., Pauwels P.J., Diaz J.L., Merce R., Codony X., Buschmann H. Medicinal chemistry strategies to 5-НТ6 receptor ligands as potential cognitive enhancers and antiobesity agents. Drug Disc. Today. 2006; 11:283-299. Davies S.L. Drug discovery targets: 5-НТ6 receptor. Drug Future. 2005; 30:479-495], его механизм основан на подавлении антагонистами 5-НТ6 рецепторов сигналинга гамма-аминомасляной кислоты и увеличении выброса альфа-меланоцит-стимулирующего гормона, что в конечном итоге приводит к уменьшению потребности в пище [Woolley M.L. 5-ht6 receptors. Curr. Drug Targets CNSNeurol. Disord. 2004; 3:59-79]. В настоящее время два антагониста 5-НТ66 рецепторов представляется оригинальным и перспективным подходом к созданию новых лекарственных средств для лечения широкого круга неврологических и нейродегенеративных заболеваний и когнитивных расстройств. В литературе имеются значительное число публикаций, посвященных биологически активным сульфонилпроизводным азагетероциклов, в том числе лигандам серотониновых рецепторов. Так, например, известны замещенные 1-(2-аминоэтил)-4-арилсульфонил-пиразолы, общей формулы А1, как лиганды серотониновых 5-НТ2с рецепторов [WO 2003057674 А1], и 7-амино-3-сульфонил-пиразоло[1,5-а]пиримидины А2, как антагонисты серотониновых 5-НТ6 рецепторов [ЕР 941994 А1, 1999]
А1: Ar = алкил, арил; R1 и R2=Н, ОН, алкил, алкокси; R3 и R4=Н, алкил, арил. А2: Ar = арил, гетероциклил; R1=Н, алкил, алкилтио; R2=Н, алкил, галоген; R3=Н, алкил, гидроксиалкил; R4 и R5=Н; NR4R5 = пиперазинил. С целью разработки новых высокоэффективных нейропротекторных лекарственных средств авторами данного изобретения выполнены широкие исследования в ряду замещенных 3-сульфонил-пиразоло[1,5-а]пиримидинов, в результате чего найдены новые лекарственные начала, представляющие собой антагонисты 5-НТ6 рецепторов. Ниже приведены определения терминов, которые использованы в описании этого изобретения. «Агонисты» означают лиганды, которые, связываясь с рецепторами данного типа, активно способствуют передаче этими рецепторами свойственного им специфического сигнала и тем самым вызывают биологический ответ клетки. «Азагетероцикл» означает ароматическую или неароматическую моноциклическую или полициклическую систему, содержащую в цикле, по крайней мере, один атом азота. Азагетероцикл может иметь один или более «заместителей циклической» системы. «Алкил» означает алифатическую углеводородную линейную или разветвленную группу с 1-12 атомами углерода в цепи. Разветвленная означает, что алкильная цепь имеет один или несколько «низших алкильных» заместителей. Алкил может иметь один или несколько одинаковых или различных заместителей («алкильных заместителей»), включая галоген, алкенилокси, циклоалкил, арил, гетероарил, гетероциклил, ароил, циано, гидрокси, алкокси, карбокси, алкинилокси, аралкокси, арилокси, арилоксикарбонил, алкилтио, гетероарилтио, аралкилтио, арилсульфонил, алкилсульфонилгетероаралкилокси, аннелированный гетероарилциклоалкенил, аннелированный гетероарилциклоалкил, аннелированный гетероарилгетероцикленил, аннелированный гетероарилгетероциклил, аннелированный арилциклоалкенил, аннелированный арилциклоалкил, аннелированный арилгетероцикленил, аннелированный арилгетероциклил, алкоксикарбонил, аралкоксикарбонил, гетероаралкилоксикарбонил или Rk «Алкилокси» означает алкил-O-группу, в которой алкильные группы определены в данном разделе. Предпочтительными алкилокси группами являются метокси, этокси, н-пропокси, изо-пропокси и н-бутокси. «Анксиолитик» или «Транквилизатор» означает лекарственное средство, предназначенное для лечения тревожных расстройств. «Аннелированный цикл» (конденсированный цикл) означает би- или полициклическую систему, в которой аннелированный цикл и цикл или полицикл, с которым он «аннелирован», имеют как минимум два общих атома. «Антагонисты» означают лиганды, которые связываются с рецепторами определенного типа и не вызывают активного клеточного ответа. Антагонисты препятствуют связыванию агонистов с рецепторами и тем самым блокируют передачу специфического рецепторного сигнала. «Антидепрессант» означает лекарственное средство, предназначенное для лечения депрессии. «Антипсихотик» означает лекарственное средство, предназначенное для лечения психотических заболеваний. «Арил» означает ароматическую моноциклическую или полициклическую систему, включающую от 6 до 14 атомов углерода, преимуществено от 6 до 10 атомов углерода. Арил может содержать один или более «заместителей циклической системы», которые могут быть одинаковыми или разными. Представителями арильных групп являются фенил или нафтил, замещенный фенил или замещенный нафтил. Арил может быть анелирован с неароматической циклической системой или гетероциклом. «Арилсульфонил» означает арил-SO2– группу, в которой значение арил определено в данном разделе. «Гидрат» означает сольват, в котором вода является молекулой или молекулами растворителя. «Депрессия» означает большую депрессию; эпизодическую, хроническую и рецидивирующую формы большой депрессии; дистимическое расстройство (дистимию); циклотимию; аффективные расстройства; синдром сезонного аффективного расстройства; биполярные расстройства, включая биполярные расстройства I и II типа; а также другие депрессивные расстройства и состояния. Термин депрессия означает также депрессивные состояния, сопровождающие болезнь Альцгеймера, васкулярную деменцию; расстройства настроения, индуцированные алкоголем и веществами; шизоаффективные расстройства депрессивного типа; расстройства адаптации. Кроме того, депрессия включает депрессивные состояния онкологических больных; при болезни Паркинсона; депрессию после инфаркта миокарда; депрессию бесплодных женщин; педиатрическую депрессию; послеродовую депрессию; а также другие депрессивные состояния, сопровождающие соматические, неврологические и прочие заболевания. «Заместитель» означает химический радикал, который присоединяется к скэффолду (фрагменту), например «заместитель алкильный», «заместитель аминогруппы», «заместитель карбамоильный», «заместитель циклической системы», значения которых определены в данном разделе. «Заместитель алкильный» означает заместитель, присоединенный к алкилу, алкенилу, значение которых определено в данном разделе. Заместитель алкильный представляет собой водород, алкил, галоген, алкенилокси, циклоалкил, арил, гетероарил, гетероциклил, ароил, циано, гидрокси, алкокси, карбокси, алкинилокси, аралкокси, арилокси, арилоксикарбонил, алкилтио, гетероарилтио, аралкилтио, арилсульфонил, алкилсульфонилгетероаралкилокси, аннелированный гетероарилциклоалкенил, аннелированный гетероарилциклоалкил, аннелированный гетероарилгетероцикленил, аннелированный гетероарилгетероциклил, аннелированный арилциклоалкенил, аннелированный арилциклоалкил, аннелированный арилгетероцикленил, аннелированный арилгетероциклил, алкоксикарбонил, аралкоксикарбонил, гетероаралкилоксикарбонил или Rk «Когнитивные расстройства или нарушения когнитивных функций (cognitive disorder)» означают нарушение (ослабление) умственных возможностей, включающих внимание, память, мышление, познание, обучение, речевые, мыслительные, исполнительные и творческие способности, ориентацию во времени и пространстве, в частности когнитивные расстройства, связанные с болезнями Альцгеймера, Паркинсона и Хантингтона; старческое слабоумие; возрастные расстройства памяти (age-associated memory impairment, AAMI); дисметаболические энцефалопатии; психогенные нарушения памяти; амнезия; амнестические расстройства; транзиторная глобальная амнезия; диссоциативная амнезия; васкулярная деменция; легкие (или умеренные) когнитивные нарушения (mild cognitive impairment, MCI); синдром нарушения внимания с гиперактивностью (attention deficit hyperactivity disorder, AD/HD); когнитивные нарушения, сопровождающие психотические заболевания, эпилепсию, делирий, аутизм, психозы, синдром Дауна, биполярные расстройства и депрессию; СПИД-ассоциированная деменция; деменция при гипотиреоидизме; деменция, индуцированная алкоголем, веществами, вызывающими зависимость, и нейротоксинами; деменция, сопровождающая нейродегенеративные заболевания, например мозжечковую дегенерацию и амиотрофический латеральный склероз; когнитивные расстройства, развивающиеся при инсульте, инфекционных и онкологических заболеваниях головного мозга, а также при черепно-мозговых травмах; нарушения когнитивных функций, ассоциированные с аутоиммунными и эндокринными заболеваниями; и прочие когнитивные расстройства. «Лекарственное начало» (лекарственный ингредиент, лекарственная субстанция, drug-substance) означает физиологически активное вещество синтетического или иного (биотехнологического, растительного, животного, микробного и прочего) происхождения, обладающее фармакологической активностью и являющееся активным началом фармацевтической композиции, используемой для производства и изготовления лекарственного препарата (средства). «Лекарственное средство (препарат)» – вещество (или смесь веществ в виде фармацевтической композиции) в виде таблеток, капсул, инъекций, мазей и др. готовых форм, предназначенное для восстановления, исправления или изменения физиологических функций человека и животных, а также для лечения и профилактики болезней, диагностики, анестезии, контрацепции, косметологии и прочего. «Лиганды» (от латинского ligo – связывать) представляют собой химические вещества (малая молекула, неорганический ион, пептид, белок и прочее), способные взаимодействовать с рецепторами, которые трансформируют это взаимодействие в специфический сигнал. «Нейродегенеративное заболевание (НЗ)» означает специфическое состояние и заболевание, характеризующиеся повреждением и первичной гибелью популяций нервных клеток в определенных областях центральной нервной системы. Нейродегенеративные заболевания включают, но не ограничивают, болезни Альцгеймера и Паркинсона; болезнь (хорею) Хантингтона; рассеянный склероз; мозжечковую дегенерацию; амиотрофический латеральный склероз; деменцию с тельцами Леви; спинальную мускульную атрофию; периферическую нейропатию; губчатый энцефалит («коровье бешенство», Creutzfeld-Jakob Disease); СПИД-ассоциированную деменцию; мультиинфарктную деменцию; лобно-височную деменцию; лейкоэнцефалопатию (болезнь исчезающего белого вещества); хронические нейродегенеративные заболевания; инсульт; ишемическое, реперфузионное и гипоксическое повреждение мозга; эпилепсия; церебральная ишемия; глаукома; черепно-мозговая травма; синдром Дауна; энцефаломиелит; менингит; энцефалит; нейробластома; шизофрения; депрессия. Кроме того, нейродегенеративные заболевания включают патологические состояния и расстройства, развивающиеся при гипоксии, злоупотреблении веществами, вызывающими зависимость, при воздействии нейротоксинов, инфекционных и онкологических заболеваниях головного мозга, а также нейрональные повреждения, ассоциированные с аутоиммунными и эндокринными заболеваниями; и прочие нейродегенеративные процессы. «Ноотропы» или «ноотропики», они же нейрометаболические стимуляторы – вещества, принимаемые для улучшения умственных способностей. «Психические расстройства» (психические заболевания) – это болезни или болезненные состояния, связанные с нарушением и/или расстройством психики. Психические расстройства включают аффективные расстройства (биполярные аффективные расстройства, большая депрессия, гипомания, малая депрессия, маниакальный синдром, синдром Котара, циклотимия, шизоаффективное расстройство и др.); интеллектуально-мнестические расстройства, мании (гипомания, графомания, клептомания, магазиномания, мания преследования, мономания, порнографомания, эротомания и др.); расстройство множественной личности, аменцию, белую горячку, бред, бредовый синдром, галлюцинаторный синдром, галлюцинации, галлюциноз, гомицидоманию, делирий, иллюзию, кверулянтство, клиническую ликантропию, макропсию, манихейский бред, микропсию, наркоманию, нервную анорексию, онейроидный синдром, пароноид, паранойю, парафрению, псевдогаллюцинации, психоз, синдром Котара, шизоаффективное расстройство, шизотипическое расстройство, шизофрению, шизофреноподобное расстройство, шизофреноморфное расстройство, синдром Шребера, Даниэль Пауля); фобии (агарофобию, арахнофобию, аутофобию, верминофобию, гидрозофобию, гидрофобию, демофобию, зоофобию, канцерофобию, клаустрофобию, климакофобию, ксенофобию, мизофобию, радиофобию, светобоязнь, сколицефобию, скотофобию, социофобию, тетрафобию, трискаидефобию, эротофобию); алкогольные психозы, алкогольный палимпсест, аллотриофагию, афазию, графоманию, диссоциативные фуги, диссоциативные расстройства, дисфории, интернет-зависимости, ипохондрию, истерию, копрофемию, манию преследования, меланхолию, мизантропию, обсессию, панические атаки, синдром Аспергера, синдром Капгра, синдром Мюнхгаузена, синдром Ретта, синдром Фреголи, синдром дефицита внимания и гиперактивности, синдром навязчивых состояний, синдром последствий хронической наркотизации, синдром психического автоматизма, синдром раннего детского аутизма, сумашествие, тафофилию, тревожные состояния, синдром Хикикомори, эротографоманию и др. «Психотические заболевания» это все виды шизофрении; шизофреноподобные заболевания; шизотипические расстройства; шизоаффективные расстройства, включая биполярный и депрессивный типы; бредовые расстройства, включая бред отношения, преследования, величия, ревности, эротомании, а также ипохондрический, соматический, смешанный и недифференцируемый бред; кратковременные психотические расстройства; индуцированные психотические расстройства; индуцированные веществами психотические расстройства; а также другие психотические расстройства. «Рецепторы» (от латинского recipere – получать, узнавать) представляют собой биологические макромолекулы, расположенные на цитоплазматической мембране клетки или внутриклеточно, способные специфически взаимодействовать с ограниченным набором физиологически активных веществ (лигандов) и трансформировать сигнал об этом взаимодействии в определенный клеточный ответ. «Терапевтический коктейль» представляет одновременно администрируемую комбинацию двух и более лекарственных препаратов, обладающих различным механизмом фармакологического действия и направленных на различные биомишени, участвующие в патогенезе заболевания. «Тревожные расстройства» (anxiety) означает генерализованную (неконкретную) тревогу; острое неконтролируемое беспокойство; паническое заболевание; фобии, например, агорафобию (сильная боязнь людных мест) или социальную фобию (сильную боязнь унижения перед другими людьми) или любую конкретную фобию (сильную боязнь конкретных предметов, животных или ситуаций, в виде боязни высоты, медицинских процедур, лифтов, открытого пространства и т.п.); навязчивые состояния (обсессивно-компульсивное расстройство); посттравматическиое стрессовое расстройство и острое стрессовое расстройство. Кроме того, к тревожным расстройствам относятся тревожные состояния, индуцированные алкоголем или веществами; тревога при расстройствах адаптации; а также смешанные формы тревожных расстройств и депрессии. «Фармацевтическая композиция» обозначает композицию, включающую в себя соединение формулы I и, по крайней мере, один из компонентов, выбранных из группы, состоящей из фармацевтически приемлемых и фармакологически совместимых наполнителей, растворителей, разбавителей, носителей, вспомогательных, распределяющих и воспринимающих средств, средств доставки, таких как консерванты, стабилизаторы, наполнители, измельчители, увлажнители, эмульгаторы, суспендирующие агенты, загустители, подсластители, отдушки, ароматизаторы, антибактериальные агенты, фунгициды, лубриканты, регуляторы пролонгированной доставки, выбор и соотношение которых зависит от природы и способа назначения и дозировки. Примерами суспендирующих агентов являются этоксилированный изостеариловый спирт, полиоксиэтилен, сорбитол и сорбитовый эфир, микрокристаллическая целлюлоза, метагидроксид алюминия, бентонит, агар-агар и трагакант, а также смеси этих веществ. Защита от действия микроорганизмов может быть обеспечена с помощью разнообразных антибактериальных и противогрибковых агентов, например, таких как парабены, хлорбутанол, сорбиновая кислота и им подобные соединения. Композиция может включать также изотонические агенты, например сахара, хлористый натрий и им подобные. Пролонгированное действие композиции может быть обеспечено с помощью агентов, замедляющих абсорбцию активного начала, например моностеарат алюминия и желатин. Примерами подходящих носителей, растворителей, разбавителей и средств доставки являются вода, этанол, полиспирты, а также их смеси, растительные масла (такие как оливковое масло) и инъекционные органические сложные эфиры (такие как этилолеат). Примерами наполнителей являются лактоза, молочный сахар, цитрат натрия, карбонат кальция, фосфат кальция и им подобные. Примерами измельчителей и распределяющих средств являются крахмал, алгиновая кислота и ее соли, силикаты. Примерами лубрикантов являются стеарат магния, лаурилсульфат натрия, тальк, а также полиэтиленгликоль с высоким молекулярным весом. Фармацевтическая композиция для перорального, сублингвального, трансдермального, внутримышечного, внутривенного, подкожного, местного или ректального введения активного начала, одного или в комбинации с другим активным началом, может быть введена животным или людям в стандартной форме введения, в виде смеси с традиционными фармацевтическими носителями. Пригодные стандартные формы введения включают пероральные формы, такие как таблетки, желатиновые капсулы, пилюли, порошки, гранулы, жевательные резинки и пероральные растворы или суспензии, сублингвальные и трансбуккальные формы введения, аэрозоли, имплантаты, местные, трансдермальные, подкожные, внутримышечные, внутривенные, интраназальные или внутриглазные формы введения и ректальные формы введения. «Фармацевтически приемлемая соль» означает относительно нетоксичные органические или неорганические соли кислот и оснований, заявленных в настоящем изобретении. Эти соли могут быть получены in situ в процессе синтеза, выделения или очистки соединений или приготовлены специально. В частности, соли оснований могут быть получены специально, исходя из очищенного свободного основания заявленного соединения и подходящей органической или неорганической кислоты. Примерами полученных таким образом солей являются гидрохлориды, гидробромиды, сульфаты, бисульфаты, фосфаты, нитраты, ацетаты, оксалаты, валериаты, олеаты, пальмитаты, стеараты, лаураты, бораты, бензоаты, лактаты, тозилаты, цитраты, малеаты, фумараты, сукцинаты, тартраты, мезилаты, малонаты, салицилаты, пропионаты, этансульфонаты, бензолсульфонаты, сульфаматы и им подобные (подробное описание свойств таких солей дано в Berge S.M., et al. “Pharmaceutical Salts” J. Pharm. Sci. 1977, 66: 1-19). Соли заявленных кислот также могут быть специально получены реакцией очищенной кислоты с подходящим основанием, при этом могут быть синтезированы соли металлов и аминов. К металлическим относятся соли натрия, калия, кальция, бария, цинка, магния, лития и алюминия, наиболее желательными из которых являются соли натрия и калия. Подходящими неорганическими основаниями, из которых могут быть получены соли металлов, являются гидроксид, карбонат, бикарбонат и гидрид натрия, гидроксид и бикарбонат калия, поташ, гидроксид лития, гидроксид кальция, гидроксид магния, гидроксид цинка. В качестве органических оснований, из которых могут быть получены соли заявленных кислот, выбраны амины и аминокислоты, обладающие достаточной основностью, чтобы образовать устойчивую соль, и пригодные для использования в медицинских целях (в частности, они должны обладать низкой токсичностью). К таким аминам относятся аммиак, метиламин, диметиламин, триметиламин, этиламин, диэтиламин, триэтиламин, бензиламин, дибензиламин, дициклогексиламин, пиперазин, этилпиперидин, трис(гидроксиметил)аминометан и им подобные. Кроме того, для солеобразования могут быть использованы гидроокиси тетраалкиламмония, например, такие как холин, тетраметиламмоний, тетраэтиламмоний и им подобные. В качестве аминокислот могут быть использованы основные аминокислоты – лизин, орнитин и аргинин. «Циклоалкил» означает неароматическую моно- или полициклическую систему, включающую от 3 до 10 атомов углерода. Циклоалкил может иметь один или несколько «заместителей циклической системы», которые могут быть одинаковыми или разными. Представителями циклоалкильных групп являются циклопропил, циклобутил, циклопентил, циклогексил, декалин, норборнил, адамант-1-ил и т.п. Циклоалкил может быть аннелирован с ароматическими циклом или гетероциклом. Предпочтительными «заместителями циклической системы» являются алкил, аралкокси, гидрокси или Rk «Шизофрения» означает все известные типы, формы и варианты заболевания, в том числе простую, гебефреническую, параноидную, гипертоксическую (фебрильную), кататоническую, шизоаффективную, остаточную или недифференцируемую шизофрению и/или формы шизофрении, определенные в классификации Американской Психиатрической Ассоциации (American Psychiatric Association; in: Diagnostic and Statistical Manual of Mental Disorders, IV Edition, Washington D.C. 2000) или в Международной классификации (International Statistical Classification of Diseases and Related Health Problems) или любые другие известные формы. Цель настоящего изобретения заключается в создании новых 3-арилсульфонил-пиразоло[1,5-а]пиримидинов, новых антагонистов серотониновых 5-НТ6 рецепторов, новых лекарственных начал и фармацевтических композиций, содержащих лекарственные начала в виде указанных соединений, а также новых лекарственных средств и способов лечения и предупреждения развития различных заболеваний центральной нервной системы, в том числе когнитивных и нейродегенеративных заболеваний. Поставленная цель достигается замещенными 2-алкиламино-3-арилсульфонил-циклоалкано[е]пиразоло[1,5-а]пиримидинами общей формулы 1 и замещенными 2-алкиламино-3-арилсульфонил-циклоалкано[d]пиразоло[1,5-а]пиримидинами общей формулы 2,
где R1 представляет собой атом водорода или C1-С3алкил; R2 представляет собой C1-С3алкил; R3 представляет собой атом водорода, один или два необязательно одинаковых атома галогена, C1-С3алкил или необязательно замещенный С1-С3алкилом гидроксил; n представляет собой целое число 1, 2 или 3. Более предпочтительными соединениями общей формулы 1 являются 2-алкиламино-3-арилсульфонил-7,8-дигидро-6Н-циклопента[е]пиразоло[1,5-а]пиримидины общей формулы 1.1, 2-алкиламино-3-арилсульфонил-6,7,8,9-тетрагидро-циклогексано[е]пиразоло[1,5-а]пиримидины общей формулы 1.2 и 2-алкиламино-3-арилсульфонил-7,8,9,10-тетрагидро-6Н-циклогепта[е]пиразоло[1,5-а]пиримидины общей формулы 1.3,
где R1, R2 и R3 имеют вышеуказанное значение. Более предпочтительными соединениями общей формулы 1.1, 1.2 и 1.3 являются 2-метиламино-3-фенилсульфонил-7,8-дигидро-6Н-циклопента[е]пиразоло[1,5-а]пиримидин 1.1(1), 2-метиламино-3-(3-хлорфенилсульфонил)-7,8-дигидро-6Н-циклопента[е]пиразоло[1,5-а]пиримидин 1.1(2), 5-метил-2-метиламино-3-фенилсульфонил-7,8-дигидро-6Н-циклопента[е]пиразоло[1,5-а]пиримидин 1.1 (3), 5-метил-2-метиламино-3-(3-хлорфенилсульфонил)-7,8-дигидро-6Н-циклопента[е]пиразоло[1,5-а]пиримидин 1.1 (4), 2-метиламино-3-фенилсульфонил-6,7,8,9-тетрагидроциклогексано[е]пиразоло[1,5-а]пиримидин 1.2(1), 2-метиламино-3-(3-хлорфенилсульфонил)-6,7,8,9-тетрагидроциклогексано[е]пиразоло[1,5-а]пиримидин 1.2(2), 5-метил-2-метиламино-3-фенилсульфонил-6,7,8,9-тетрагидроциклогексано[е]пиразоло[1,5-а] пиримидин 1.2(3), 5-метил-2-метиламино-3-(3-фторфенилсульфонил)-6,7,8,9-тетрагидроциклогексано[е]пиразоло[1,5-а]пиримидин 1.2(4), 5-метил-2-метиламино-3-(3-хлорфенилсульфонил)-6,7,8,9-тетрагидроциклогексано[е]пиразоло[1,5-а]пиримидин 1.2(5), 5-метил-2-метиламино-3-(3-хлор-4-фторфенилсульфонил)-6,7,8,9-тетрагидроциклогексано[е]пиразоло[1,5-а]пиримидин 1.2(6), 2-метиламино-3-фенилсульфонил-7,8,9,10-тетрагидро-6Н-циклогепта[е]пиразоло[1,5-а]пиримидин 1-3(1) и 2-метиламино-3-(3-хлорфенилсульфонил)-7,8,9,10-тетрагидро-6Н-циклогепта[е]пиразоло[1,5-а]пиримидин 1.3(2).
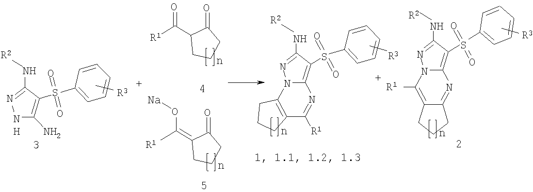
Предметом настоящего изобретения является способ получения замещенных 2-алкиламино-3-арилсульфонил-циклоалкано[е]пиразоло[1,5-а]пиримидинов общей формулы 1, 1.1, 1.2, 1.3 и замещенных 2-алкиламино-3-арилсульфонил-циклоалкано[d]пиразоло[1,5-а]пиримидинов общей формулы 2 взаимодействием 3-амино-4-арилсульфонил-2Н-пиразолов общей формулы 3 с соответствующими где R1, R2, R3 и n имеют вышеуказанное значение. Цель настоящего изобретения заключается в создании новых «молекулярных инструментов» для изучения особенностей физиологически активных соединений, обладающих свойством ингибировать серотониновые 5-НТ6 рецепторы. Поставленная цель достигается антагонистами серотониновых 5-НТ6 рецепторов, представляющими собой замещенные 2-алкиламино-3-арилсульфонил-циклоалкано[е]пиразоло[1,5-а]пиримидины общей формулы 1, 1.1, 1.2, 1.3 и замещенные 2-алкиламино-3-арилсульфонил-циклоалкано[d]пиразоло[1,5-а]пиримидины общей формулы 2. Предметом данного изобретения является также лекарственное начало для фармацевтических композиций и лекарственных средств, представляющее собой по крайней мере один 2-алкиламино-3-арилсульфонил-циклоалкано[е]пиразоло[1,5-а]пиримидин общей формулы 1, 1.1, 1.2, 1.3 или 2-алкиламино-3-арилсульфонил-циклоалкано[d]пиразоло[1,5-а]пиримидин общей формулы 2. Предметом данного изобретения является также фармацевтическая композиция, обладающая свойствами антагонистов серотониновых 5-НТ6 рецепторов, для лечения и предупреждения развития различных состояний и заболеваний ЦНС людей и теплокровных животных, содержащая фармацевтически эффективное количество нового лекарственного начала, представляющего собой по крайней мере один 2-алкиламино-3-арилсульфонил-циклоалкано[е]пиразоло[1,5-а]пиримидин общей формулы 1, 1.1, 1.2, 1.3 или 2-алкиламино-3-арилсульфонил-циклоалкано[d]пиразоло[1,5-а]пиримидин общей формулы 2. Фармацевтическая композиция может включать фармацевтически приемлемые эксципиенты. Под фармацевтически приемлемыми эксципиентами подразумеваются применяемые в сфере фармацевтики разбавители, вспомогательные агенты и/или носители. Фармацевтическая композиция наряду с лекарственным началом по настоящему изобретению может включать и другие активные начала, при условии, что они не вызывают нежелательных эффектов, например аллергических реакций. При необходимости использования фармацевтических композиций по настоящему изобретению в клинической практике они могут смешиваться для изготовления различных форм, при этом они могут включать в свой состав традиционные фармацевтические носители; например, пероральные формы (такие как таблетки, желатиновые капсулы, пилюли, растворы или суспензии); формы для инъекций (такие как растворы или суспензии для инъекций, или сухой порошок для инъекций, который требует лишь добавления воды для инъекций перед использованием); местные формы (такие как мази или растворы). Носители, используемые в фармацевтических композициях по настоящему изобретению, представляют собой носители, которые применяются в сфере фармацевтики для получения распространенных форм, в том числе в пероральных формах используются связующие вещества, смазывающие агенты, дезинтеграторы, растворители, разбавители, стабилизаторы, суспендирующие агенты, бесцветные агенты, корригенты вкуса; в формах для инъекций используются антисептические агенты, солюбилизаторы, стабилизаторы; в местных формах используются основы, разбавители, смазывающие агенты, антисептические агенты. Предметом данного изобретения является также способ получения новой фармацевтической композиции смешением с инертным наполнителем и/или растворителем лекарственного начала, представляющего собой, по крайней мере, один 2-алкиламино-3-арилсульфонил-циклоалкано[е]пиразоло[1,5-а]пиримидин общей формулы 1, 1.1, 1.2, 1.3 или 2-алкиламино-3-арилсульфонил-циклоалкано[d]пиразоло[1,5-а]пиримидин общей формулы 2. Предметом данного изобретения является лекарственное средство в форме таблеток, капсул или инъекций, помещенных в фармацевтически приемлемую упаковку, для профилактики и лечения заболеваний центральной нервной системы, патогенез которых связан с 5-НТ6 рецепторами, включающее фармацевтически эффективное количество лекарственного начала, представляющего собой по крайней мере один 2-алкиламино-3-арилсульфонил-циклоалкано[е]пиразоло[1,5-а]пиримидин общей формулы 1, 1.1, 1.2, 1.3 или 2-алкиламино-3-арилсульфонил-циклоалкано[d]пиразоло[1,5-а] пиримидин общей формулы 2, или фармацевтическую композицию, содержащую это лекарственное начало. Более предпочтительным является лекарственное средство в форме таблеток, капсул или инъекций, помещенных в фармацевтически приемлемую упаковку, для профилактики и лечения болезни Альцгеймера, болезни Паркинсона, болезни Гангтингтона, включающее фармацевтически эффективное количество лекарственного начала, представляющего собой по крайней мере один 2-алкиламино-3-арилсульфонил-циклоалкано[е]пиразоло[1,5-а]пиримидин общей формулы 1, 1.1, 1.2, 1.3 или 2-алкиламино-3-арилсульфонил-циклоалкано[(1]пиразоло[1,5-а] пиримидин общей формулы 2, или фармацевтическую композицию, содержащую это начало. Предметом данного изобретения является также лекарственное средство в форме таблеток, капсул или инъекций, помещенных в фармацевтически приемлемую упаковку, для профилактики и лечения психических расстройств и шизофрении, включающее фармацевтически эффективное количество лекарственного начала, представляющего собой, по крайней мере, один 2-алкиламино-3-арилсульфонил-циклоалкано[е]пиразоло[1,5-а]пиримидин общей формулы 1, 1.1, 1.2, 1.3 или 2-алкиламино-3-арилсульфонил-циклоалкано[d]пиразоло[1,5-а]пиримидин общей формулы 2, или фармацевтическую композицию, содержащую это начало. Более предпочтительным является лекарственное средство (анксиолитик или транквилизатор) для профилактики и лечения тревожных расстройств, включающее фармацевтически эффективное количество лекарственного начала, представляющего собой по крайней мере один 2-алкиламино-3-арилсульфонил-циклоалкано[е]пиразоло[1,5-а]пиримидин общей формулы 1, 1.1, 1.2, 1.3 или 2-алкиламино-3-арилсульфонил-циклоалкано[d]пиразоло[1,5-а]пиримидин общей формулы 2, или фармацевтическую композицию, содержащую это начало. Более предпочтительным является лекарственное средство (ноотропик) для профилактики и лечения гиперкинетических расстройств, в частности для улучшения умственных способностей, включающее фармацевтически эффективное количество лекарственного начала, представляющего собой по крайней мере один 2-алкиламино-3-арилсульфонил-циклоалкано[е]пиразоло[1,5-а]пиримидин общей формулы 1, 1.1, 1.2, 1.3 или 2-алкиламино-3-арилсульфонил-циклоалкано[d]пиразоло[1,5-а]пиримидин общей формулы 2, или фармацевтическую композицию, содержащую это начало. Предметом данного изобретения является также лекарственное средство в форме таблеток, капсул или инъекций, помещенных в фармацевтически приемлемую упаковку, для профилактики и лечения ожирения, включающее фармацевтически эффективное количество лекарственного начала, представляющего собой по крайней мере один 2-алкиламино-3-арилсульфонил-циклоалкано[е]пиразоло[1,5-а]пиримидин общей формулы 1, 1.1, 1.2, 1.3 или 2-алкиламино-3-арилсульфонил-циклоалкано[d]пиразоло[1,5-а]пиримидин общей формулы 2, или фармацевтическую композицию, содержащую это лекарственное начало. В соответствии с данным изобретением способ профилактики и лечения заболеваний центральной нервной системы, патогенез которых связан с 5-НТ6 рецепторами у животных и людей, заключается во введении лекарственного средства в форме таблеток, капсул или инъекций, содержащего в качестве лекарственного начала по крайней мере один 2-алкиламино-3-арилсульфонил-циклоалкано[е]пиразоло[1,5-а]пиримидин общей формулы 1, 1.1, 1.2, 1.3 или 2-алкиламино-3-арилсульфонил-циклоалкано[d]пиразоло[1,5-а]пиримидин общей формулы 2 в фармацевтически эффективном количестве, или фармацевтической композиции, содержащей это лекарственное начало. Лекарственные средства могут вводиться перорально или парентерально (например, внутривенно, подкожно, внутрибрюшинно или местно). Клиническая дозировка фармацевтической композиции или лекарственного препарата может корректироваться в зависимости от терапевтической эффективности и биодоступности активных ингредиентов в организме, скорости их обмена и выведения из организма, а также в зависимости от возраста, пола и стадии заболевания пациента, при этом суточная доза у взрослых обычно составляет 10~500 мг, предпочтительно 50~300 мг. Поэтому во время приготовления фармацевтических композиций по настоящему изобретению в виде единиц дозировки необходимо учитывать вышеназванную эффективную дозировку, при этом каждая единица дозировки препарата должна содержать 10~500 мг лекарственного начала, представляющего собой по крайней мере один 2-алкиламино-3-арилсульфонил-циклоалкано[е]пиразоло[1,5-а]пиримидин общей формулы 1, 1.1, 1.2, 1.3 или 2-алкиламино-3-арилсульфонил-циклоалкано[d]пиразоло[1,5-а]пиримидин общей формулы 2, или фармацевтическую композицию, содержащую это лекарственное начало, предпочтительно 50~300 мг. В соответствии с указаниями врача или фармацевта данные препараты могут приниматься несколько раз в течение определенных промежутков времени (предпочтительно – от одного до шести раз). Представленные ниже примеры демонстрируют, но не ограничивают данное изобретение. Пример 1. Общий способ получения замещенных 2-алкиламино-3-арилсульфонил-циклоалкано[е]пиразоло[1,5-а]пиримидинов общей формулы 1, 1.1, 1.2, 1.3 и 2-алкиламино-3-арилсульфонил-циклоалкано[d]пиразоло[1,5-а]пиримидинов общей формулы 2. Перемешивают 0.005 моль аминопиразола общей формулы 3 и 0.0055 моль соответствующего В таблице 2 представлены некоторые примеры новых 2-алкиламино-3-арилсульфонил-циклоалкано[е]пиразоло[1,5-а]пиримидинов общей формулы 1, 1.1, 1.2, 1.3 и 2-алкиламино-3-арилсульфонил-циклоалкано[d]пиразоло[1,5-а]пиримидинов общей формулы 2 и данные их LCMS анализов и ЯМР спектров.
Пример 2. Определение антагонистической активности соединений общей формулы 1 и 2 по отношению к 5-НТ6 рецепторам. Соединения общей формулы 1 и 2 были испытаны на их способность препятствовать активации 5-НТ6 рецепторов серотонином. Использовали клетки НЕК 293 (клетки почки человеческого эмбриона) с искусственно экспрессированным рецептором 5-НТ6 Эффективность соединений оценивали по их способности снижать содержание внутриклеточного цАМФ, индуцированного серотонином. В таблице 3 представлены значения IC50 антагонистов общей формулы 1 и 2 в условиях функционального эссея ингибирования серотониновых 5-НТ6 рецепторов, свидетельствующие об их высокой антагонистической активности.
Пример 3. Определение активности антагонистов серотониновых 5-НТ6 рецепторов общей формулы 1 и 2 в условиях конкурентного связывания с серотониновыми 5-НТ6 рецепторами. Для проведения скрининга веществ на их потенциальную способность взаимодействовать с серотониновым рецептором 5-НТ6 использовали метод радиолигандного связывания. Для этого готовили мембранные препараты из клеток HeLa, экспрессирующих рекомбинантный человеческий 5-НТ6 рецептор путем гомогенизирования рекомбинантных клеток в стеклянном гомогенизаторе с последующим отделением плазматических мембран от ядер, митохондрий и клеточных обломков путем дифференциального центрифугирования. Определение связывания изучаемых соединений с 5-НТ6 рецептором проводили в соответствии с методикой, описанной в работе [Monsma FJ Jr, Shen Y, Ward RP, Hamblin MW and Sibley DR, Cloning and expression of a novel serotonin receptor with high affinity for tricyclic psychotropic drugs. Mol Pharmacol. 43:320-327, 1993]. В предпочтительном исполнении мембранные препараты инкубировали с меченым лигандом (1.5 нM [3Н] Lysergic acid diethylamide) без и в присутствии исследуемых соединений в течение 120 минут при 37°С в среде, состоящей из 50 мM Tris-HCl, рН 7.4, 150 мM NaCl, 2 мM Ascorbic Acid, 0.001% BSA, Образцы после инкубации фильтровали под вакуумом на стекло-микроволоконных фильтрах G/F (Millipor, USA), фильтры трижды промывали холодным раствором среды и радиоактивность измеряли с помощью сцинтилляционного счетчика MicroBeta 340 (PerkinElmer, USA). Неспецифическое связывание, которое составляло 30% от общего связывания, определяли инкубацией мембранных препаратов с радиолигандом в присутствии 5 мкМ Serotonin (5-HT). В качестве положительного контроля использовали Methiothepin. Связывание тестируемых соединений с рецептором определялось по их способности вытеснять радиоактивный лиганд и выражалось в процентах вытеснения. Процент вытеснения определялся по следующей формуле:
где ТА – это общая радиоактивность в присутствии только радиоактивного лиганда, СА – это радиоактивность в присутствии радиолиганда и тестируемого соединения и NA – это радиоактивность в присутствии радиолиганда и серотонина (5 мкM). В таблице 4 представлены результаты испытаний некоторых антагонистов серотониновых 5-НТ6 рецепторов общей формулы 1 и 2 в условиях конкурентного связывания с серотониновыми 5-НТ6 рецепторами, свидетельствующие об их высокой активности по отношению к серотониновым 5-НТ6 рецепторам.
Представленные в таблицах 3 и 4 данные свидетельствуют о возможности использования соединений общей формулы 1 и 2 в качестве «Молекулярных инструментов» для изучения особенностей физиологически активных соединений, обладающих свойством ингибировать серотониновые 5-НТ6 рецепторы, и в качестве лекарственных начал для фармацевтических композиций и лекарственных средств. Пример 4. Получение лекарственного средства в форме таблеток. Смешивают 1600 мг крахмала, 1600 мг измельченной лактозы, 400 мг талька и 1000 мг соединения 1.1(1) и спрессовывают в брусок. Полученный брусок измельчают в гранулы и просеивают через сита, собирая гранулы размером 14-16 меш. Полученные гранулы таблетируют в подходящую форму таблетки весом 560 мг каждая. Пример 5. Получение лекарственного средства в форме капсул. Тщательно смешивают соединение 1.1(1) с порошком лактозы в соотношении 2:1. Полученную порошкоообразную смесь упаковывают по 300 мг в желатиновые капсулы подходящего размера. Пример 6. Получение лекарственного средства в форме композиций для внутримышечных, внутрибрюшинных или подкожных инъекций. Смешивают 500 мг соединения 1.1(1) с 300 мг хлорбутанола, 2 мл пропиленгликоля и 100 мл инъекционной воды. Полученный раствор фильтруют и помещают по 1 мл в ампулы, которые запаивают. Пример 7. Ноотропное действие (улучшение памяти, нарушенной скополамином) соединений общей формулы 1 и 2 в тесте «Пассивное избегание мышей в челночной камере». Использовалась челночная камера (Ugo Basile, Италия), которая состояла из двух отсеков. Все стенки одного из отсеков были непрозрачными, а второй отсек имел прозрачную крышку. Отсеки соединялись отверстием, которое могло закрываться вертикальной дверцей. Пол состоял из поперечных металлических прутьев, на которые могли подаваться импульсы постоянного тока. Эксперименты проводились на взрослых самцах мышей линии BALB/c весом 20-24 г. В первый день опыта за 30 минут до обучения мышам внутрибрюшинно вводили физиологический раствор, скополамин (0,3 мг/кг) или скополамин в сочетании с лекарственным началом 1.1(1). В каждой группе использовалось не менее 8 животных. Животных помещали в светлый отсек и регистрировали латентный период первого захода в темную камеру. При этом дверцу между отсеками закрывали, и животное в течение 3 секунд получало наказание током 0,6 мА. После этого животное возвращали в жилую клетку. Через 22-24 часа животное вновь помещали в светлый отсек челночной камеры и регистрировали латентный период первого захода в темный отсек, общее время пребывания в светлом отсеке и число заходов в темный отсек. Продолжительность наблюдения составляла 5 минут. Эксперимент проводили в светлое время суток в изолированном лабораторном помещении с использованием “белого шума” интенсивностью около 70 дБ над порогом слышимости человека. Скополамин вызывает нарушение обучения (памяти), которое выражается в виде увеличения латентного периода 1-го захода в темный отсек, увеличения времени пребывания в светлом отсеке и уменьшении числа заходов в темный отсек. Способность лекарственного начала 1.1(1) улучшать обучение, нарушенное скополамином, рассматривается как свидетельство наличия у него ноотропного действия. Полученные результаты свидетельствуют о способности лекарственного начала 1.1(1) оказывать ноотропное действие. Пример 8. Ноотропное действие (улучшение памяти, нарушенной МК-801) соединений общей формулы 1 и 2 в тесте «Пассивное избегание мышей в челночной камере». Эксперимент проводили, как в примере 7. В первый день опыта за 30 минут до обучения мышам внутрибрюшинно вводили физиологический раствор МК-801 (0.1 мг/кг). Параллельно независимым группам мышей до обучения внутрибрюшинно вводили физиологический раствор МК-801 в сочетании с лекарственным началом 1.1(1). Полученные результаты свидетельствуют о способности соединения 1.1(1) оказывать ноотропное действие. Пример 9. Анксиолитическое (транквилизирующее) действие соединений общей формулы 1 и 2 в тесте «Поведение мышей в приподнятом крестообразном лабиринте». Длина рукавов лабиринта составляет 30 см, ширина 5 см, высота стенок 15 см. Два противоположных рукава закрыты с боков и торцов прозрачными стенками; два других – освещены и открыты. Мышь помещали в центр лабиринта, в течение 5 минут регистрировали число заходов в открытые и закрытые рукава и время, проведенное животными в открытых и закрытых рукавах. По этим данным вычисляли индексы предпочтения открытых рукавов как отношение числа заходов в открытые рукава, а также времени пребывания в открытых рукавах, к общему числу заходов во все рукава и времени пребывания в них. В норме животные избегают открытых рукавов (индекс их предпочтения составляет 0,2-0,3). Вещества с анксиолитической активностью (транквилизирующей активностью) увеличивают этот показатель до 0,5-0,6 и более, а также уменьшают число дефекаций, не изменяя общую двигательную активность (общее число заходов в рукава). Полученные результаты свидетельствуют о том, что соединение 1.1(1) проявляет анксиолитическую (транквилизирующую) активность, сравнимую с Буспироном и Лоразепамом.
Формула изобретения
1. 2-Алкиламино-3-арилсульфонилциклоалкано[е]пиразоло[1,5-а]пиримидины общей формулы 1 и 2-алкиламино-3-арилсульфонилциклоалкано[d]пиразоло[1,5-а]пиримидины общей формулы 2 2. Соединения по п.1, представляющие собой 2-алкиламино-3-арилсульфонил-7,8-дигидро-6Н-циклопента[е]пиразоло[1,5-а]пиримидины общей формулы 1.1, 2-алкиламино-3-арилсульфонил-6,7,8,9-тетрагидроциклогексано[е]пиразоло[1,5-а]пиримидины общей формулы 1.2 и 2-алкиламино-3-арилсульфонил-7,8,9,10-тетрагидро-6Н-циклогепта[е]пиразоло[1,5-а]пиримидины общей формулы 1.3 3. Соединения по п.2, представляющие собой 2-метиламино-3-фенилсульфонил-7,8-дигидро-6Н-циклопента[е]пиразоло[1,5-а]пиримидин 1.1(1), 2-метиламино-3-(3-хлорфенилсульфонил)-7,8-дигидро-6Н-циклопента[е]пиразоло[1,5-а]пиримидин 1.1(2), 5-метил-2-метиламино-3-фенилсульфонил-7,8-дигидро-6Н-циклопента[е]пиразоло[1,5-а]пиримидин 1.1(3), 5-метил-2-метиламино-3-(3-хлорфенилсульфонил)-7,8-дигидро-6Н-циклопента[е]пиразоло[1,5-а]пиримидин 1.1(4), 2-метиламино-3-фенилсульфонил-6,7,8,9-тетрагидроциклогексано[е]пиразоло[1,5-а]пиримидин 1.2(1), 2-метиламино-3-(3-хлорфенилсульфонил)-6,7,8,9-тетрагидро-циклогексано[е]пиразоло[1,5-а]пиримидин 1.2(2), 5-метил-2-метиламино-3-фенилсульфонил-6,7,8,9-тетрагидроциклогексано[е]пиразоло[1,5-а]пиримидин 1.2(3), 5-метил-2-метиламино-3-(3-фторфенилсульфонил)-6,7,8,9-тетрагидроциклогексано[е]пиразоло[1,5-а]пиримидин 1.2(4), 5-метил-2-метил-амино-3-(3-хлорфенилсульфонил)-6,7,8,9-тетрагидро-циклогексано[е]пиразоло[1,5-а]пиримидин 1.2(5), 5-метил-2-метиламино-3-(3-хлор-4-фторфенилсульфонил)-6,7,8,9-тетрагидроциклогексано[е]пиразоло[1,5-а]пиримидин 1.2(6), 2-метиламино-3-фенилсульфонил-7,8,9,10-тетрагидро-6Н-циклогепта[е]пиразоло[1,5-а]пиримидин 1.3(1) и 2-метиламино-3-(3-хлорфенилсульфонил)-7,8,9,10-тетрагидро-6Н-циклогепта [е]пиразоло[1,5-а]пиримидин 1.3(2). 4. Способ получения соединений общей формулы 1 или 2 по любому из пп.1-3 взаимодействием 3-амино-4-арилсульфонил-2Н-пиразолов общей формулы 3 с соответствующими 5. «Молекулярные инструменты» для изучения особенностей физиологически активных соединений, обладающих свойством ингибировать серотониновые 5-НТ6 рецепторы, представляющие собой соединения общей формулы 1 или 2 по любому из пп.1-3. 6. Замещенный 2-алкиламино-3-арилсульфонил-пиразоло[1,5-а]пиримидин общей формулы 1 или 2 по любому из пп.1-3 в качестве лекарственного начала для фармацевтических композиций и лекарственных средств, обладающих свойствами антагонистов серотониновых 5-НТ6 рецепторов. 7. Фармацевтическая композиция, обладающая свойствами антагонистов серотониновых 5-НТ6 рецепторов, для лечения и предупреждения развития состояний и заболеваний центральной нервной системы, содержащая фармацевтически эффективное количество лекарственного начала по п.6. 8. Способ получения фармацевтической композиции по п.7 смешением с инертным наполнителем и/или растворителем лекарственного начала по п.6. 9. Лекарственное средство, обладающее свойствами антагонистов серотониновых 5-НТ6 рецепторов, предназначенное для профилактики и лечения заболеваний центральной нервной системы, в форме таблеток, капсул или инъекций, помещенных в фармацевтически приемлемую упаковку, включающее лекарственное начало по п.6 или фармацевтическую композицию по п.7 в эффективном количестве. 10. Лекарственное средство по п.9, обладающее анксиолитической активностью. 11. Лекарственное средство по п.9, обладающее ноотропной активностью и пригодное для улучшения памяти. 12. Способ профилактики и лечения заболеваний центральной нервной системы, патогенез которых связан с 5-НТ6 рецепторами, который заключается во введении лекарственного начала по п.6, или фармацевтической композиции по п.7, или лекарственного средства по п.9 в эффективном количестве.
|
||||||||||||||||||||||||||||||||||||||||||||||||||||||||||||||||||||||||||||||||||||||||||||||||||||||||||||||||||||||||||||||||||||||||||||||||||||||||||||||||||||||||||||||||||||||||||



-дикарбонильными соединениями общей формулы 4 или их производными общей формулы 5.





a+Rk+1

















8,44 (с, 1Н), 8,00 (м, 2Н), 7,56 (м, 3H), 6,43 (к, J=4,8 Гц, 1H), 3,17 (т, J=7,6 Гц, 2Н), 2,96 (т, J=7,6 Гц, 2Н), 2,92 (д, J=4,8 Гц, 3Н), 2,15 (п, J=7,6 Гц, 2Н).

















