|
|
(21), (22) Заявка: 2006144852/04, 17.05.2005
(24) Дата начала отсчета срока действия патента:
17.05.2005
(30) Конвенционный приоритет:
17.05.2004 EP 04102170.0
(43) Дата публикации заявки: 27.06.2008
(46) Опубликовано: 27.12.2009
(56) Список документов, цитированных в отчете о поиске:
RYABOVA S. et al: “1H-PYRID03,2-BINDOLES. SYNTHESIS AND INVESTIGATION OF SOME THEIR SPECTROSCOPIC AND CHEMICAL PROPERTIES”, CHEMISTRY OF HETEROCYCLIC COMPOUNDS, PLENUM PRESS CO., vol.36, no. 3, 2000, p.301-306. WO 02/055520 A, 18.07.2002. WO 02/059123 A, 01.08.2002. WO 03/033496 A, 24.04.2003. RU 95117585 А, 20.09.1997.
(85) Дата перевода заявки PCT на национальную фазу:
18.12.2006
(86) Заявка PCT:
EP 2005/052263 20050517
(87) Публикация PCT:
WO 2005/111035 20051124
Адрес для переписки:
129090, Москва, ул. Б.Спасская, 25, стр.3, ООО “Юридическая фирма Городисский и Партнеры”, пат.пов. Е.Е.Назиной
|
(72) Автор(ы):
КЕСТЕЛЕЙН Барт Рудольф Романи (BE), ВЕНДЕВИЛЛЬ Сандрин Мари Элен (BE), КИНДЕРМАНС Натали Мария Франциска (BE), СЮРЛЕРО Доминик Луи Нестор Гилэйн (BE), РАБУАССОН Пьер Жан-Мари Бернар (BE), ВИГЕРИНК Пит Том Берт Поль (BE), ПЕТЕРС Анник Анн (BE)
(73) Патентообладатель(и):
ТИБОТЕК ФАРМАСЬЮТИКАЛЗ ЛТД. (IE)
|
(54) 6,7,8,9-ЗАМЕЩЕННЫЕ 1-ФЕНИЛ-1,5-ДИГИДРОПИРИДО (3,2-b) ИНДОЛ-2-ОНЫ, ПОЛЕЗНЫЕ В КАЧЕСТВЕ АНТИИНФЕКЦИОННЫХ ФАРМАЦЕВТИЧЕСКИХ СРЕДСТВ
(57) Реферат:
Настоящее изобретение относится к соединениям формулы (I),

его N-оксидам, солям, стереоизомерным формам, где n равно 1, 2 или 3; R1 означает цианогруппу; Х означает двухвалентный радикал NR2 или О; R2 означает водород или
С1-10алкил, каждый Q1 независимо означает прямую связь, -СН2– или -СН2-СН2-; каждый R4 независимо означает водород или C1-4алкил; каждый R5a, R5b, R5c независимо означает водород, С1-4алкил или арилС1-4алкил; каждый R5e, R5f независимо означает водород, С1-4алкил или арилС1-4алкил, или R5e и R5f, взятые вместе, могут образовывать двухвалентный алкандиильный радикал формулы -СН2-СН2– или -СН2-СН2-СН2-; R11 означает арил, арилС1-4алкил, С1-4алкилкарбонил, арилкарбонил, арилС1-4алкилкарбонил, С1-4алкилоксикарбонил, арилС1-4алкилоксикарбонил, R5aR5bN-карбонил, гидроксиС1-4алкил, С1-4алкилоксиС1-4алкил, арилС1-4алкилоксиС1-4алкил, арилоксиС1-4алкил, пиридил;
-a1=a2-a3=a4– означает двухвалентный радикал формулы -СН=СН-СН=СН- (с-1), где один или два атома водорода в (с-1) заменены радикалом С1-6алкил, С1-4алкокси, галогеном, гидроксигруппой, (R5g)(R5h)N-(C1-4aлкaндиил)-O-, трифторметилом, цианогруппой, радикалом -COOR4, (R5a)(R5b)N-cyльфoнилoм, пирролидинил-сульфонилом, пиперидинилсульфонилом, радикалом
-N(R5a)(R5b), радикалом  , морфолинилом, (R5g)(R5h)N-(С1-4алкандиил)-N(R5c)-, С1-6алкилкарбониламино, С1-6алкилоксикарбониламино, С1-6алкилсульфониламино, (R5a)(R5b)N-C1-4aлкилoм; R20 означает водород, спиро(С2-4алкилендиокси), спиро(диС1-4алкилокси) или -NR5gR5h; каждый R5g или R5g независимо означает водород или С1-4алкил, или R5g и R5h вместе с атомом азота, к которому они присоединены, образуют пирролидинил, пиперидинил или морфолинил; R3 означает нитрогруппу, цианогруппу, аминогруппу, галоген, гидроксигруппу или С1-4алкокси; арил означает фенил, необязательно замещенный одним или несколькими заместителями, выбранными из группы, состоящей из C1-6алкила, С1-4алкокси, галогена, гидрокси, амино и трифторметила. А также к фармацевтической композиции, обладающей противовирусной активностью, и способу получения вышеописанных соединений. Технический результат: получены и описаны новые соединения, которые обладают противовирусной активностью. 3 н. и 6 з.п. ф-лы, 3 табл.
Настоящее изобретение относится к 6,7,8,9-замещенным 1-фенил-1,5-дигидропиридо[3,2-b]индол-2-онам, к применению данных соединений в качестве ингибиторов ВИЧ, к фармацевтическим композициям, содержащим указанные соединения, и к способам получения указанных соединений и композиций.
Вирус, вызывающий синдром приобретенного иммунодефицита (СПИД), известен под разными названиями, включая Т-лимфоцитарный вирус III (HLTV-III), вирус, ассоциированный с лимфаденопатией (LAV), СПИД-родственный вирус (APV) или вирус иммунодефицита человека (ВИЧ). До настоящего времени были идентифицированы два разных класса, то есть ВИЧ-1 и ВИЧ-2. Далее в описании термин ВИЧ будет использоваться для общего обозначения обоих указанных классов.
Лечение ВИЧ-инфицированных пациентов проводится в настоящее время ингибиторами протеазы (PI) ВИЧ, нуклеозидными ингибиторами обратной транскриптазы (NRTI), ненуклеозидными ингибиторами обратной транскриптазы (NNRTI) и нуклеотидными ингибиторами обратной транскриптазы (NtRTI). Несмотря на то, что указанные антиретровирусные агенты могут применяться с большой пользой, они имеют общее для всех них ограничение, а именно: целевые ферменты ВИЧ вируса способны мутировать таким образом, что известные лекарственные средства становятся менее эффективным и даже полностью неэффективными против таких мутированных вирусов ВИЧ. Иными словами, ВИЧ вирус создает все возрастающую резистентность против любых доступных лекарственных средств, что представляет собой главную проблему, приводящую к неудачам в проводимой терапии. Кроме того, показано, что резистентный вирус переносится к вновь инфицируемым индивидуумам, что приводит к серьезному ограничению возможностей терапии для таких пациентов, в отношении которых еще не предпринималось лекарственное лечение.
Применяемая в настоящее время терапия ВИЧ представляет собой в большинстве случаев введение лекарственных коктейлей, включающих два или более активных ингредиента, выбранных из указанных выше классов ингибиторов ВИЧ. Но даже в том случае, когда используется комбинированная терапия, возникает лекарственная резистентность, снижающая эффективность такого сочетания. Данная ситуация зачастую заставляет лечащего врача выбирать вариант создания очень высоких уровней активных лекарственных средств в плазме для того, чтобы указанные антиретровирусные препараты оставались эффективными против мутированных ВИЧ вирусов, и следствием такого курса лечения является нежелательное повышение количества вводимых препаратов. Последнее, в свою очередь, повышает риск неприемлемости выбранной терапии.
В этой связи все еще имеется общая потребность в новых комбинациях ВИЧ ингибиторов, которые включают новые типы ингибирующих агентов для ВИЧ. Соответственно, имеется потребность в новых ингибиторах ВИЧ, которые отличаются от существующих ингибиторов в плане химической структуры, а также по способу действия или по обоим этим параметрам. Исходя из этого, имеется конкретная потребность в соединениях, которые активны не только против дикого типа вирусов, но также против все возрастающего числа наиболее распространенных резистентных ВИЧ вирусов.
Используемые в настоящее время ингибиторы обратной транскриптазы ВИЧ принадлежат к трем разным классам. Они включают NRTI, которые в клетке превращаются в нуклеозидтрифосфаты, конкурирующие с природными нуклеозидтрифосфатами за включение в вирусную ДНК, удлиняющуюся под действием обратной транскриптазы. Химические модификации, которые отличают данное соединение от природных нуклеотидов, приводят к обрыву процесса роста цепи ДНК. Доступные в настоящее время NRTI включают цидовудин (AZT), диданозин (ddI), зальцитабин (ddC), ставудин (d4T), ламивудин (3TC) и абакавир (ABC). Второй класс включает NtRTI, такие как тенофовир, который имеет механизм действия, аналогичный NRTI. Появление мутаций делает NRTI и NtRTI неэффективными. Третий класс включает NNRTI, которые взаимодействуют с сайтом связывания NNRTI, блокируя тем самым механизм действия обратной транскриптазы (RT). Доступные в настоящее время NNRTI включают невирапин, делавирдин и эфавиренц, которые, как известно, чувствительны к относительно быстро возникающей резистентности из-за мутаций в аминокислотах, окружающих сайт связывания NNRTI.
Таким образом, в медицине имеется потребность в других антиинфекционных соединениях, действие которых направлено на обратную транскриптазу ВИЧ, в частности, в антиретровирусных соединениях, которые способны задерживать появление резистентности и которые могут применяться против широкого спектра мутантов ВИЧ вируса.
В WO 02/055520 и WO 02/059123 описаны бензоилалкилиндолпиридиниевые соединения в качестве антивирусных соединений. Рябова с соавт. (Ryabova et al) описывают синтез некоторых соединений бензоилалкилиндолпиридиния (Russian Chem. Bull. 2001, 50(8), 1449-1456; and Chem. Heterocycl. Compd. (Engl. Translat.) 36; 3; 2000; 301-306; Khim. Geterotsikl. Soedin; RU; 3; 2000; 362-367).
Соединения по настоящему изобретению отличаются от этих соединений предшествующего уровня техники по химической структуре, а также тем, что они взаимодействуют по механизму, отличному от механизма известных ингибиторов RT. Они не только активны против ВИЧ вируса дикого типа, но также против мутантных ВИЧ вирусов, в частности, мутантных ВИЧ вирусов, демонстрирующих резистентность против применяемых в настоящее время ингибиторов обратной транскриптазы (RT).
Таким образом, в одном аспекте настоящее изобретение относится к 6,7,8,9-замещенным 1-фенил-1,5-дигидропиридо[3,2-b]индол-2-онам, которые могут быть представлены формулой (I):

к их N-оксидам, солям, четвертичным аммониевым солям, стереоизомерным формам, пролекарствам, сложным эфирам и метаболитам, где
n равно 1, 2 или 3;
R1 означает водород, цианогруппу, галоген, аминокарбонил,
гидроксикарбонил, С1-4алкилоксикарбонил, С1-4алкилкарбонил,
моно- или ди(С1-4алкил)аминокарбонил, ариламинокарбонил,
N-(арил)-N-(С1-4алкил)аминокарбонил, метанимидамидил,
N-гидроксиметанимидамидил, моно- или
ди(С1-4алкил)метанимидамидил, Het1 или Het2;
Х означает двухвалентный радикал NR2, O, S, SO, SO2;
R2 означает:
i) водород, С1-10алкил, С2-10алкенил, С3-7циклоалкил, где указанные С1-10алкил,
С2-10алкенил, С3-7циклоалкил, каждый, индивидуально и независимо, может быть необязательно замещен заместителем, выбранным из группы, состоящей из циано,
N(R16aR16b), пирролидинила, пиперидинила, гомопиперидинила, пиперазинила, 4-(С1-4алкил)пиперазинила, морфолинила, тиоморфолинила, 1-оксотиоморфолинила, 1,1-диоксотиоморфолинила, арила, фуранила, тиенила, пирролила, оксазолила, тиазолила, имидазолила, изоксазолила, изотиазолила, пиразолила, оксадиазолила, тиадиазолила, триазолила, тетразолила, пиридила, пиримидинила, пиразинила, пиридазинила, триазинила, гидроксикарбонила, С1-4алкилкарбонила, N(R16aR16b)карбонила, С1-4алкилоксикарбонила, пирролидин-1-илкарбонила, пиперидин-1-илкарбонила, гомопиперидин-1-илкарбонила, пиперазин-1-илкарбонила, 4-(С1-4алкил)пиперазин-1-илкарбонила, морфолин-1-илкарбонила, тиоморфолин-1-илкарбонила, 1-оксотиоморфолин-1-илкарбонила и 1,1-дизоксотиоморфолин-1-илкарбонила; или R2 означает:
ii) арил, замещенный радикалом -COOR4; или R2 обозначает
iii) С1-10алкил, С2-10алкенил, С3-7циклоалкил, где указанный С1-10алкил, С2-10алкенил, С3-7циклоалкил, каждый, индивидуально и независимо, замещен арилом, где указанный арил замещен радикалом -COOR4; или R2 означает:
iv) С1-10алкил, С2-10алкенил, С3-7циклоалкил, каждый, индивидуально и независимо, замещен радикалом, выбранным из -NR5a-C(=NR5b)-NR5cR5d,
-NR5a-C(=NR5e)-NR5f, -O-NR5a-C(=NR5b)-NR5cR5d, -O-NR5a-C(=NR5e)-NR5f, -сульфонил-R6, -NR7R8, -NR9R10, радикала

где
каждый Q1 независимо означает прямую связь, -CH2– или -CH2-CH2-;
каждый Q2 независимо означает O, S, SO или SO2;
каждый R4 независимо означает водород, С1-4алкил или арилС1-4алкил;
каждый R5а, R5b, R5c, R5d независимо означает водород, С1-4алкил или арилС1-4алкил;
каждый R5e, R5f независимо означает водород, С1-4алкил или арилС1-4алкил или R5e и R5f, взятые вместе, могут образовывать двухвалентный алкандиильный радикал формулы -CH2-CH2– или -CH2-CH2-CH2-;
R6 означает С1-4алкил, -N(R5aR5b), С1-4алкилокси, пирролидин-1-ил, пиперидин-1-ил, гомопиперидин-1-ил, пиперазин-1-ил, 4-(С1-4алкил)пиперазин-1-ил, морфолин-4-ил, тиоморфолин-4-ил, 1-оксотиоморфолин-4-ил и 1,1-диоксотиоморфолин-4-ил;
R7 означает водород, С1-4алкил, гидроксиС1-4алкил, С1-4алкоксиС1-4алкил или С1-4алкилкарбонилоксиС1-4алкил;
R8 означает гидроксиС1-4алкил, С1-4алкоксиС1-4алкил, С1-4алкилкарбонилоксиС1-4алкил, арил или арилС1-4алкил;
R9 означает водород или С1-4алкил;
R10 означает Het1, Het2 или радикал (а-6);
R11 означает арил, арилС1-4алкил, формил, С1-4алкилкарбонил, арилкарбонил, арилС1-4алкилкарбонил, С1-4алкилоксикарбонил, арилС1-4алкилоксикарбонил, R5aR5bN-карбонил, гидроксС1-4алкил, С1-4алкилоксиС1-4алкил, арилС1-4алкилоксиС1-4алкил, арилоксиС1-4алкил, Het2;
каждый R12 независимо означает гидроксигруппу, С1-4алкил, арилС1-4алкил, С1-4алкилокси, арилС1-4алкилокси, оксогруппу, спиро(С2-4алкандиокси), спиро(диС1-4алкилокси), -NR5aR5b;
R13 означает водород, гидроксигруппу, С1-4алкил, С1-4алкилокси или арилС1-4алкилокси; или
R13а означает С1-4алкил, арилС1-4алкил, С1-4алкилоксикарбонил или арилС1-4алкилоксикарбонил;
каждый R13b означает водород или С1-4алкил; или R2 означает:
v) радикал формулы:

| -CpH2p-CH(OR14)-CqH2q-R15 |
(b-3) |
| -CH2-CH2-(O-CH2-CH2)m-OR14 |
(b-4) |
| -CH2-CH2-(O-CH2-CH2)m-NR17aR17 |
(b-5) |
где в радикале (b-3) один из атомов водорода в -CpH2p– и один из атомов водорода в -CH(ОR14)-CqH2q-, который не является частью OR14, могут быть заменены прямой связью или С1-4алкандиильной группой;
p равен 1, 2 или 3;
q равен 0, 1, 2 или 3;
каждый m независимо равен 1-10;
каждый R14 независимо означает водород, С1-4алкил, арилС1-4алкил, арил, С1-4алкилкарбонил, -SO3H, -PO3H2;
R15 означает заместитель, выбранный из группы, состоящей из циано, N(R16aR16b), пирролидинила, пиперидинила,
гомопиперидинила, пиперазинила, 4-(С1-4алкил)пиперазинила,
4-(С1-4алкилкарбонил)пиперазинила,
4-(С1-4алкилоксикарбонил)пиперазинила, морфолинила,
тиоморфолинила, 1-оксотиоморфолинила, 1,1-диоксотиоморфолинила,
арила, фуранила, тиенила, пирролила, оксазолила, тиазолила,
имидазолила, изоксазолила, изотиазолила, пиразолила,
оксадиазолила, тиадиазолила, триазолила, тетразолила, пиридила,
пиримидинила, пиразинила, пиридазинила, триазинила,
гидроксикарбонила, С1-4алкилкарбонила, N(R16aR16b)карбонила,
С1-4алкилоксикарбонила, пирролидин-1-илкарбонила,
пиперидин-1-илкарбонила, гомопиперидин-1-илкарбонила,
пиперазин-1-илкарбонила, 4-(С1-4алкил)пиперазин-1-илкарбонила,
морфолин-1-илкарбонила, тиоморфолин-1-илкарбонила,
1-оксотиоморфолин-1-илкарбонила и
1,1-диоксотиоморфолин-1-илкарбонила; или R15 может дополнительно представлять собой арил, замещенный радикалом -COOR4; или радикал, выбранный из -NR5a-C(=NR5b)-NR5cR5d, -NR5a-C(=NR5e)-R5f, -O-NR5a-C(=NR5b)-NR5cR5d, -O-NR5a-C(=NR5e)-R5f, -сульфонил-R6, -NR7R8, -NR9R10, радикала (а-1), (а-2), (а-3), (а-4) или (а-5);
где R4, R5a, R5b, R5c, R5d, R6, R7, R8, R9, R10 и радикалы (а-1), (а-2), (а-3), (а-4), (а-5) независимо являются такими, как определено выше;
R16a и R16b независимо друг от друга означают водород, С1-6алкил или С1-6алкил, замещенный заместителем, выбранным из группы, состоящей из амино,
моно- и ди(С1-4алкил)амино, пирролидинила, пиперидинила, гомопиперидинила, пиперазинила,
4-(С1-4алкил)пиперазинила, морфолинила, тиоморфолинила, 1-оксотиоморфолинила, 1,1-диоксотиоморфолинила и арила;
R17a и R17b независимо друг от друга означают водород, С1-4алкил или арилС1-4алкил;
или R17a и R17b вместе с атомом азота, к которому они присоединены, образуют пирродинильное, пиперидинильное,
гомопиперидинильное, морфолинильное, тиоморфолинильное,
1-оксотиоморфолинильное, 1,1-диоксотиоморфолинильное,
пиперазинильное, 4-С1-4алкилпиперазинильное,
4-(С1-4алкилкарбонил)пиперазинильное,
4-(С1-4алкилоксикарбонил)пиперазинильное кольцо;
каждый R18 независимо означает водород, С1-4алкил, арилС1-4алкил, С1-4алкилкарбонил или С1-4алкилоксикарбонил;
R19 означает водород, гидроксигруппу, С1-4алкил или радикал -COOR4;
-a1=a2-a3=a4– означает двухвалентный радикал формулы
| -CH=CH-CH=CH- |
(c-1); |
| -N=CH-CH=CH- |
(c-2); |
| -CH=N-CH=CH- |
(c-3); |
| -CH=CH-N=CH- |
(c-4); |
| -CH=CH-CH=N- |
(c-5); |
где один, два, три или четыре атома водорода в (с-1) заменены радикалом С1-6алкил, С1-4алкокси, галогеном,
гидроксигруппой, (R5g)(R5h)N-(С1-4алкандиил)-O-,
(R7)(R8)N-(С1-4алкандиил)-O-, (R8)(R9)N-(С1-4алкандиил)-O-,
трифторметилом, цианогруппой, радикалом -COOR4,
(R5a)(R5b)N-карбонилом, (R5a)(R5b)N-сульфонилом,
пирролидинилсульфонилом, пиперидинилсульфонилом,
гомопиперидинилсульфонилом, формилом, С1-6алкилкарбонилом,
нитрогруппой, гидроксиС1-6алкилом, С1-4алкоксиС1-6алкилом,
(R4OOC)-С1-6алкилом, радикалом -N(R5a)(R5b), -N(R7)(R8), -N(R9)(R10),
радикалом морфолинилом,
тиоморфолинилом, 1-оксотиоморфолинилом,
1,1-диоксотиоморфолинилом, (R5g)(R5h)N-(С1-4алкандиил)-N(R5c)-,
(R7)(R8)N-(С1-4алкандиил)-N(R5c), (R9)(R10)N-(С1-4алкандиил)-N(R5c)-,
С1-6алкилкарбониламино, С1-6алкилоксикарбониламино,
трифторацетиламино, С1-6алкилсульфониламино,
(R5a)(R5b)N-С1-4алкилом; арилом, Het1 или Het2;
R20 означает водород, гидроксигруппу, С1-4алкил, арилС1-4алкил, С1-4алкилокси, арилС1-4алкилокси, оксогрупупу, спиро(С2-4алкилендиокси), спиро(диС1-4алкилокси), -NR5gR5h;
каждый R5g или R5h независимо означает водород, С1-4алкил или арилС1-4алкил или R5g и R5h вместе с атомом азота, к которому они присоединены, образуют пирролидинильный, пиперидинильный, гомопиперидинильный, морфолинильный, пиперазинильный или 4-С1-4алкилпиперазинильный радикал; где каждый из указанных пирролидинильного, пиперидинильного, гомопиперидинильного, морфолинильного, пиперазинильного или 4-С1-4алкилпиперазинильного радикалов может быть необязательно замещен гидроксигруппой или оксогруппой; или
где один или несколько атомов водорода в (с-2), (с-3, (с-4) или (с-5) могут быть заменены радикалом, выбранным из галогена и С1-6алкила;
R3 означает нитрогруппу, цианогруппу, аминогруппу, галоген,
гидроксигруппу, С1-4алкокси, гидроксикарбонил, аминокарбонил,
С1-4алкилоксикарбонил, моно- или ди(С1-4алкил)аминокарбонил,
С1-4алкилкарбонил, метанимидамидил, моно- или
ди(С1-4алкил)метанимидамидил, N-гидроксиметанимидамидил или Het1;
арил означает фенил, необязательно замещенный одним или несколькими заместителями, каждый индивидуально выбранный из группы, состоящей из С1-6алкила, С1-4алкокси, галогена, гидрокси, амино, трифторметила, циано, нитро, гидроксиС1-6алкила, цианоС1-6алкила, моно- или ди(С1-4алкил)амино, аминоС1-4алкила, моно- или ди(С1-4алкил)аминоС1-4алкила;
Het1 означает 5-членную кольцевую систему, где один, два, три или четыре члена кольца представляют собой гетероатомы, каждый, индивидуально и независимо, выбранный из группы, состоящей из атома азота, кислорода и серы, и где оставшиеся члены кольца представляют атомы углерода, и, где это возможно, любой азот кольца может быть необязательно замещен С1-6алкилом; любой углеродный атом кольца, каждый, индивидуально и независимо, может быть замещен заместителем, выбранным из группы, состоящей из С1-4алкила, С2-6алкенила, С3-7циклоалкила, гидрокси, С1-4алкокси, галогена, амино, циано, трифторметила, гидроксиС1-4алкила, цианоС1-4алкила, моно- или ди(С1-4алкил)амино, аминоС1-4алкила, моно- или ди(С1-4алкил)аминоС1-4алкила, арилС1-4алкила, аминоС2-6алкенила, моно- или
ди(С1-4алкил)аминоС2-6алкенила, фуранила, тиенила, пирролила, оксазолила, тиазолила, имидазолила, изоксазолила, изотиазолила, пиразолила, оксадиазолила, тиадиазолила, триазолила, тетразолила, арила, гидроксикарбонила, аминокарбонила, С1-4алкилоксикарбонила, моно- или ди(С1-4алкил)аминокарбонила, С1-4алкилкарбонила, оксогруппы, тиогруппы; и где любой из указанных выше заместителей: фуранил, тиенил, пирролил, оксазолил, тиазолил, имидазолил, изоксазолил, изотиазолил, пиразолил, оксадиазолил, тиадиазолил и триазолил может быть необязательно замещен С1-4алкилом;
Het2 означает пиридил, пиримидинил, пиразинил, пиридазинил или триазинил, где любой углеродный атом кольца в указанных 6-членных азотсодержащих ароматических кольцах может быть необязательно замещен заместителем, выбранным из группы, состоящей из С1-4алкила.
В конкретном аспекте настоящее изобретение относится к соединениям формулы (I), где R1 означает цианогруппу; X означает O или NR2, где R2 означает С1-10алкильный радикал, замещенный, как указано выше, или R2 означает линейный радикал формулы (b-3) или (b-4); n равно 1 и R3 означает нитрогруппу.
Как использовано в настоящем описании, «С1-4алкил» в качестве группы или части группы определен как линейная или разветвленная цепь насыщенных углеводородных радикалов, содержащих от 1 до 4 атомов углерода, такая как, например, метил, этил, 1-пропил, 2-пропил, 1-бутил, 2-бутил, 2-метил-1-пропил; «С1-6алкил» означает С1-4алкильные радикалы и их высшие гомологи, содержащие 5 или 6 атомов углерода, такие как, например, 1-пентил, 2-пентил, 3-пентил 1-гексил, 2-гексил, 2-метил-1-бутил, 2-метил-1-пентил, 2-этил-1-бутил, 3-метил-2-пентил и т.п. Термин «С1-10алкил» в качестве группы или части группы охватывает С1-6алкильные радикалы и их высшие гомологи, содержащие от 7 до 10 атомов углерода, такие как, например, 1-гептил, 2-гептил, 2-метил-1-гексил, 2-этил-1-гексил, 1-октил, 2-октил, 2-метил-1-гептил, 2-метил-2-гептил, 1-нонил, 2-нонил, 2-метил-1-октил, 2-метил-2-октил, 1-децил, 2-децил, 3-децил, 2-метил-1-децил и т.п.
Термин «С1-6алкенил» в качестве группы или части группы определяется как линейная или разветвленная цепь насыщенных углеводородных радикалов, содержащих насыщенные углерод-углеродные связи или по меньшей мере одну двойную связь и включающие от 2 до 6 атомов углерода, такие как, например, пропенил, бутен-1-ил, бутен-2-ил, 2-бутен-1-ил, 3-бутен-1-ил, пентен-1-ил, пентен-2-ил, 2-пентен-2-ил, гексен-1-ил, гексен-2-ил, гексен-3-ил, 2-метилбутен-1-ил, 1-метил-2-пентен-1-ил и т.п. Термин «С2-10алкил» в качестве группы или части группы включает С2-6алкильные группы и их высшие гомологи, содержащие от 7 до 10 атомов углерода и по меньшей мере одну двойную связь, такие как, например, гептен-1-ил, 2-гептен-1-ил, 3-гептен-1-ил, октен-1-ил, 2-октен-1-ил, 3-октен-1-ил, нонен-1-ил, 2-нонен-1-ил, 3-нонен-1-ил, 4-нонен-1-ил, децен-1-ил, 2-децен-1-ил, 3-децен-1-ил, 4-децен-1-ил, 1-метил-2-гексен-1-ил и т.п. Предпочтительными являются
С2-6алкенильные или С2-10алкенильные группы, содержащие одну двойную связь. В случае присоединения к гетероатому С2-6алкенильная или С2-10алкенильная группа предпочтительно присоединена к гетероатому через насыщенный атом углерода. Предпочтительными подгруппами среди С2-6алкенила или С2-10алкенила являются
С3-6алкенил или С3-10алкенил, которые представляют собой алкенильные группы, определенные в настоящем описании, содержащие от 3 до 6 или от 3 до 10 атомов углерода.
Термин «С3-7циклоалкил» представляет собой общее обозначение циклопропила, циклобутила, циклопентила, циклогексила и циклогептила.
Термин «С1-4алкандиил» означает двухвалентную линейную и разветвленную цепь насыщенных углеводородных радикалов, содержащих от 1 до 4 атомов углерода, такие как, например, метилен, 1,2-этандиил, 1,3-пропандиил, 1,4-бутандиил, 1,2-пропандиил, 2,3-бутандиил и т.п., а также относится к двухвалентным С1-4алкильным радикалам, содержащим от одного до четырех атомов углерода, в частности, таким как метилен, 1,2-этандиил, 1,1-этандиил, 1,2-пропандиил, 1,3-пропандиил, 1,2-бутандиил, 1,3-бутандиил, 1,4-бутандиил. Аналогично, термин
«С2-4алкандиил» относится к двухвалентным углеводородным радикалам, содержащим от 2 до 4 атомов углерода. Особый интерес представляют С1-4алкандиильные группы, в которых атомы углерода, несущие соединяющую их связь, идут друг за другом (в смежном положении), и к ним относятся такие группы, как этилен, пропилен и бутилен.
Термин «С2-4алкандиокси» относится к линейной и разветвленной цепи насыщенных углеводородных радикалов, содержащих от 2 до 4 атомов углерода и две окси (-O-) группы, например, 1,2-этандиокси (-O-CH2-CH2-O-), 1,3-пропандиокси
(-O-CH2CH2CH2-O-), 1,2-пропандиокси (-O-CH2-CH(CH3)-O-), 1,4-бутандиокси (-O-CH2CH2CH2CH2-O-) и т.п.
Термины «спиро(С2-4алкандиокси)» и «спиро(диС1-4алкилокси)» относятся к присоединению С2-4алкандиокси и диС1-4алкилоксигрупп к одному и тому же атому углерода, где в первом случае образуется кольцо.
Термин «галоген» представляет собой общее обозначение фтора, хлора, брома или йода.
ГидроксиС1-6алкильная группа в случае замещения на атоме кислорода или атоме азота предпочтительно представляет собой гидроксиС2-6алкильную группу, где гидроксигруппа и атом кислорода или азота разделены по меньшей мере двумя атомами углерода.
Термин «метанимидамидил» используется в соответствии с номенклатурой Chemical Abstracts (CAS) и относится к радикалу формулы H2N-C(=NH)-, который может быть также назван «амидин». Аналогично, термин «N-гидроксиметанимидамидил» используется в соответствии с номенклатурой CAS и относится к радикалу формулы H2N-C(=N-OH)- или к его таутомеру NH=C(-NH-OН)-, который может быть также назван как «гидроксиамидин».
Термин «гидроксикарбонил» относится к карбоксильной группе (-СOOH).
Арильная группа представляет собой фенил, необязательно замещенный одним или несколькими заместителями, и, в частности, представляет собой фенил, необязательно замещенный одним, двумя, тремя, четырьмя или пятью заместителями, предпочтительно, фенил, замещенный одним, двумя или тремя заместителями.
Het1 представляет собой, в частности, 5-членную кольцевую систему, определенную выше, где кольцевая система является ароматической. Более конкретно, Het1 представляет собой 5-членную кольцевую систему, определенную выше, где указанная кольцевая система содержит один атом кислорода, серы или азота, и необязательно один, два или три дополнительных атомов азота, и где оставшиеся члены кольца представлены атомами углерода. Далее, в частности, Het1 представляет собой ароматическую 5-членную кольцевую систему, определенную выше, где указанная кольцевая система содержит один атом кислорода, серы или азота и необязательно один, два или три дополнительных атома азота и где оставшиеся атомы кольца представляют собой атомы углерода. В каждом из указанных в данном абзаце случаев Het1 может быть необязательно замещен любым заместителем, определенным в настоящем описании применительно к соединениям формулы (I), а также любым представителем подгрупп соединений формулы (I).
Примеры Het1 колец включают фуранил, тиенил, пирролил, оксазолил, тиазолил, имидазолил, изоксазолил, изотиазолил, пиразолил, оксадиазолил, тиадиазолил, триазолил, тетразолил, каждый из которых индивидуально и независимо может быть необязательно замещен заместителем, выбранным из группы, состоящей из С1-4алкила, С2-6алкенила, С3-7циклоалкила, гидрокси,
С1-4алкокси, галогена, амино, циано, трифторметила,
гидроксиС1-4алкила, цианоС1-4алкила, моно- или ди(С1-4алкил)амино,
аминоС1-4алкила, моно- или ди(С1-4алкил)аминоС1-4алкила,
арилС1-4алкила, аминоС2-6алкенила,
моно- или ди(С1-4алкил)аминоС2-6алкиленила, фуранила, тиенила,
пирролила, оксазолила, тиазолила, имидазолила, изоксазолила,
изотиазолила, пиразолила, оксадиазолила, тиадиазолила,
триазолила, тетразолила, арила, гидроксикарбонила,
аминокарбонила, С1-4алкилоксикарбонила,
моно- или ди(С1-4алкил)аминокарбонила, С1-4алкилкарбонила, оксо,
тио; и где любой из указанных выше фрагментов: фуранил, тиенил, пирролил, оксазолил, тиазолил, имидазолил, изоксазолил, изотиазолил, пиразолил, оксадиазолил, тиадиазолил и триазолил может быть необязательно замещен С1-4алкилом.
Заместители R12, R13, -COOR4, R13b, R18, R19, R20 на радикалах (a-2), (a-3), (a-5), (a-6), (a-7) и (b-1) могут находиться на атоме углерода в кольце и включают атомы радикалов Q1. Предпочтительные заместители R12, R12, R13b, R18, R19 или R20 не находятся в -положении относительно атома азота кольца, в частности, в случае, когда любой из указанных заместителей представляет собой оксогруппу, спиро(С2-4алкандиилдиокси), спиро(диС1-4алкилокси), -NR5aR5b, гидроксигруппу или
С1-4алкилокси. Особый интерес представляют радикалы (a-2), (a-3), (a-6), (a-7) или (b-1), где заместители R12, R13, R18 или R19 расположены на атоме углерода Q1 или, когда Q1 означает прямую связь на атоме углерода в кольце, к которому присоединен Q1.
Соединяющая связь в радикалах (b-3), (a-4), (b-6), (b-1) или (b-2) может быть расположена на любом атоме углерода в кольце, включая атомы радикалов Q1.
Один или несколько атомов водорода в (с-2), (с-3), (с-4) или (с-5) могут быть заменены радикалом, выбранным из галогена и С1-6алкила; это указывает на то, что включаются случаи, когда один, два или три атома азота в данных радикалах заменены; в частности, рассматривается случай, когда один или два, чаще всего один из атомов азота в данных радикалах заменен.
Следует отметить, что разные изомеры различных гетероциклов могут охватываться определениями, используемыми в тексте настоящего описания. Например, оксадиазолил может представлять собой 1,2,4-оксадиазолил, или 1,3,4-оксадиазолил, или 1,2,3-оксадиазолил; аналогично тиадиазолил может быть представлен как 1,2,4-тиадиазолил, или 1,3,4-тиадиазолил, или 1,2,3-тиадиазолил; пирролил может представлять собой 1Н-пирролил или 2Н-пирролил.
Следует также отметить, что положение радикала на любом фрагменте молекулы, указываемом в определениях по тексту настоящего изобретения, может быть любым на таком фрагменте, главное, чтобы достигалась химическая стабильность. Например, пиридил включает 2-пиридил, 3-пиридил и 4-пиридил; пентил включает 1-пентил, 2-пентил и 3-пентил; морфолинил включает 4-морфолинил, 3-морфолинил и 2-морфолинил.
В том случае, когда любые переменные (например, галоген или С1-4алкил) встречаются более чем один раз в любом из компонентов, то определение каждого из них является независимым.
Термин «пролекарство», как использовано в настоящем описании, означает фармакологически приемлемые производные, такие как сложные эфиры, амиды и фосфаты, так чтобы получаемый in vivo продукт трансформации данного производного становился активным лекарственным средством, в соответствии с определением, данным для соединений формулы (I). Работа Гудмана и Гилмана (Goodman and Gilman, The Pharmacological Basis of Therapeutics, 8th ed, McGraw-Hill, Int. Ed. 1992, «Biotransformation of Drugs», p. 13-15)), в которой описаны пролекарства, включена в настоящее описание посредством ссылки. Предпочтительно пролекарства обладают превосходной растворимостью в воде, повышенной биодоступностью и способностью легко метаболизироваться до активных ингибиторов in vivo. Пролекарства соединения по настоящему изобретению получают путем модификации функциональных групп, присутствующих в соединениях, таким образом, что получаемые модифицированные формы расщепляются либо путем несложной манипуляции, либо in vivo с образованием исходного соединения.
К числу предпочтительных относятся фармацевтически приемлемые сложноэфирные пролекарства, которые гидролизуются in vivo и которые получают из указанных соединений формулы (I), содержащих гидрокси- или карбоксильные группы. Гидролизуемый in vivo сложный эфир представляет собой такой сложный эфир, который гидролизуется в организме человека или животного с образованием исходной кислоты или спирта. Подходящие фармацевтически приемлемые сложные эфиры по карбоксигруппе включают С1-6алкоксиметиловые сложные эфиры, например метоксиметиловый, С1-6алканоилоксиметиловые сложные эфиры, например, пивалоилоксиметиловый, фталидиловые сложные эфиры, С3-6циклоалкоксикарбонилоксиС1-6алкиловые сложные эфиры, например, 1-циклогексилкарбонилоксиэтиловый; 1,3-диоксолен-2-онилметиловые сложные эфиры, например, 5-метил-1,3-диоксолен-2-онилметиловый; и С1-6алкоксикарбонилоксиэтиловые эфиры, например, 1-метоксикарбонилоксиэтиловый, и могут быть образованы при любой карбоксильной группе в соединениях по настоящему изобретению.
Гидролизуемый in vivo сложный эфир соединения формулы (I), содержащего гидроксильную группу, включает неорганические сложные эфиры, такие как фосфатные сложные эфиры и -ацилоксиалкиловые простые эфиры и родственные соединения, которые в результате гидролиза in vivo сложного эфира распадаются с образованием исходной гидроксильной группы. Примеры -ацилоксиалкиловых простых эфиров включают ацетоксиметокси и 2,2-диметилпропионилоксиметокси эфиры. Выбор гидролизуемых in vivo групп, образующих сложный эфир для гидрокси, включает алканоил, бензоил, фенилацетил и замещенные бензоил и фенилацетил, алкоксикарбонил (с образованием алкилкарбонатных сложных эфиров), диалкилкарбамоил и N-(диалкиламиноэтил)-N-алкилкарбамоил (с образованием карбаматов), диалкиламиноацетил и карбоксиацетил. Примеры заместителей на бензоиле включают морфолино и пиперазино, соединенные связью от атома азота в кольце через метиленовую группу в положении 3 или 4 бензоильного кольца.
Для целей терапевтического применения соли соединений формулы (I) включают такие соли, в которых противоион является фармацевтически или физиологически приемлемым. Однако соли, включающие фармацевтически неприемлемый противоион, также могут найти применения, в частности, при получении или очистке фармацевтически приемлемого соединения формулы (I). Все соли, фармацевтически приемлемые или неприемлемые, включены в объем настоящего изобретения.
Фармацевтически приемлемые или физиологически переносимые формы аддитивных солей, которые могут образовывать соединения по настоящему изобретению, могут быть получены обычным образом с использованием соответствующих кислот, например, неорганических кислот, таких как галогенводородные кислоты, например, хлористоводородная или бромистоводородная кислота; серная кислота; полусерная, азотная; фосфорная кислота и другие аналогичные кислоты; или органических кислот, таких как, например, уксусная, аспарагиновая, додецилсерная, гептановая, гексановая, никотиновая, пропановая, гидроксиуксусная, молочная, пировиноградная, щавелевая, малоновая, янтарная, малеиновая, фумаровая, яблочная, винная, лимонная, метансульфоновая, этансульфоновая, бензолсульфоновая, п-толуолсульфоновая, цикламовая, салициловая, п-аминосалициловая, памоевая и аналогичные кислоты.
И наоборот, указанные кислотно-аддитивные соли могут быть превращены в форму свободного основания путем обработки соответствующим основанием.
Соединения формулы (I), содержащие протон кислоты, могут быть превращены в их форму нетоксичной основно-аддитивной соли металла или амина путем обработки соответствующими органическими и неорганическими основаниями. Соответствующие формы солей оснований включают, например, соли аммония, соли щелочного и щелочноземельного металла, например, соли лития, натрия, калия, магния, кальция и т.п., соли с органическими основаниями, например, соли бензатина, N-метил-D-глюкамина, гидрабамина, и соли с аминокислотами, такими как, например, аргинин, лизин и т.п.
И наоборот, указанные основно-аддитивные соли могут быть превращены в форму свободной кислоты путем обработки соответствующей кислотой.
Термин «соли» также включает гидраты и формы добавления растворителя, которые соединения по настоящему изобретению могут образовывать. Примеры таких форм включают, например, гидраты, алкоголяты и т.п.
Термин «четвертичная аммониевая соль», как использовано в настоящем описании, включает соли четвертичного аммония, которые соединения формулы (I) способны образовывать в ходе реакции между азотом основания в соединении формулы (I) и соответствующим кватернизующим агентом, таким как, например, необязательно замещенный алкилгалогенид, арилгалогенид или арилалкилгалогенид, например, метилиодид или бензилиодид. Могут также использоваться другие реагенты с удобными для удаления группами, такие как алкилтрифторметансульфонаты, алкилметансульфонаты и алкил-п-толуолсульфонаты. Четвертичный амин содержит положительно заряженный азот. Фармацевтически приемлемые противоионы включают хлор, бром, йод, трифторацетат и ацетат. Выбранный противоион может быть введен с использованием ионообменных смол.
Конкретные соли четвертичного аммония включают соли, полученные на основе групп -NR7R8-, -NR9R10-, -N(R5aR5b)-, пирролидин-1-ил, пиперидин-1-ил, гомопиперидин-1-ил, 4-(С1-4алкил)пиперазин-1-ил, морфолин-4-ил-, NR16aR16b или
NR17aR17b. Указанные кватернизующие группы могут быть описаны формулами
-(NR7R8R8а)+, -(NR9R10R8а)+, -(NR5аR5bR8а)+, -(NR16aR16bR8а)+, -(NR17aR17bR8а)+, или , где каждый R8а независимо означает
С1-6алкил, арилС1-6алкил или гидроксиС1-6алкил, в частности, каждый R8а независимо означает С1-6алкил или арилС1-6алкил.
N-оксидные формы соединений по настоящему изобретению включают соединения формулы (I), где один или несколько атомов азота окислены до так называемого N-оксида.
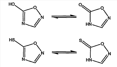
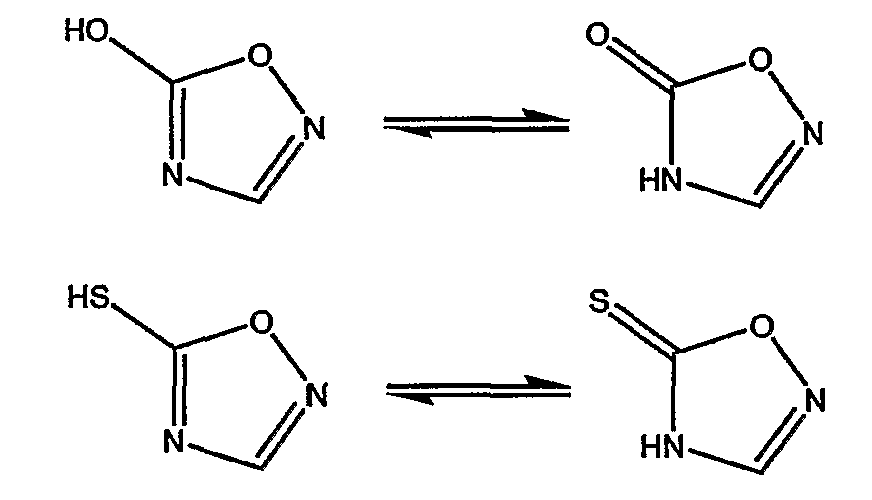
Некоторые соединения по настоящему изобретению могут также присутствовать в виде таутомерных форм. Такие формы, хотя явно не указаны в приведенных выше формулах, также включены в объем настоящего изобретения. Например, в рамках определения Het 5-членный ароматический гетероцикл, такой как, например, 1,2,4-оксадиазол, может быть замещен гидрокси или тиогруппой в 5-м положении и таким образом будет находиться в состоянии равновесия со своей соответствующей таутомерной формой, как показано ниже.

Термин «стереохимически изомерные формы» соединений по настоящему изобретению, как использовано в настоящем описании, определяет все возможные соединения, составленные из одних и тех же атомов, связанных одной и той же последовательностью связей, но имеющих разные трехмерные структуры, которые не являются взаимозаменяемыми и которыми могут обладать соединения по настоящему изобретению. Если особо не указано иное, химическое обозначение соединения охватывает смесь всех возможных стереохимических изомерных форм, которые данное соединение может иметь. Указанная смесь может содержать все диастереомеры и/или энантиомеры основной молекулярной структуры, характерной для указанного соединения. Все стереохимически изомерные формы соединений по настоящему изобретению как в чистой форме, так и в виде смесей с друг другом входят в объем настоящего изобретения.
Чистые стереоизомерные формы соединений и промежуточных соединений, приведенных в настоящем изобретении, определяются как изомеры, которые по существу свободны от других энантиомерных или диастереомерных форм той же основной молекулярной структуры, характерной для указанных соединений или промежуточных соединений. В частности, термин «стереоизомерно чистые» относится к соединениям или промежуточным соединениям, характеризующимся стереоизомерным избытком по одному из стереоизомеров по меньшей мере на 80% (например, содержит минимум 90% одного изомера и максимум 10% других возможных изомеров) до стереоизомерного избытка 100% (т.е. содержит 100% одного изомера и ни одного процента другого изомера), чаще соединения или промежуточные соединения имеют стереоизомерный избыток 94-100% и еще чаще имеют стереоизомерный избыток 97-100%. Термины «энантиомерно чистый» и «диастереомерно чистый» следует понимать аналогичным образом, но применительно к энантиомерному избытку, соответственно, и диастереоизомерному избытку в рассматриваемой смеси.
Чистые стереоизомерные формы соединений и промежуточных соединений по настоящему изобретению могут быть получены при проведении известных в данной области методов. Например, энантиомеры могут быть отделены друг от друга путем селективной кристаллизации их диастереоизомерных солей с оптически активными кислотами или основаниями. Их примеры включают винную кислоту, дибензоилвинную кислоту, дитолуоилвинную кислоту и камфорсульфоновую кислоту. Альтернативно, энантиомеры могут быть разделены с помощью хроматографических методов, включающих хиральные стационарные фазы. Указанные чистые стереохимически изомерные формы могут быть также получены на основе соответствующих чистых стереохимически изомерных форм соответствующих исходных веществ, при условии, что реакция проходит стереоспецифично. Предпочтительно, если желателен конкретный стереоизомер, указанное соединение синтезируют стереоспецифическими способами получения. В рамках данных способов могут с успехом использоваться энантиомерно чистые исходные вещества.
Диастереомерные рацематы формулы (I) могут быть получены по отдельности с использованием традиционных способов. Соответствующие методы физического разделения, которые могут быть с успехом использованы, включают, например селективную кристаллизацию и хроматографию, например, колоночную хроматографию.
Настоящее изобретение также охватывает все изотопы атомов, имеющихся в соединениях по настоящему изобретению. Изотопы включают те атомы, которые имеют один и тот же атомный номер, но отличаются по массовому числу. В качестве примера, но не с целью ограничения, можно в числе изотопов назвать изотопы водорода, включающие тритий и дейтерий. Изотопы углерода включают С-13 и С-14.
В контексте дальнейшего описания термин «соединения формулы (I)» или «соединения по настоящему изобретению», а также аналогичный термин следует понимать как включающий соединения общей формулы (I), их N-оксиды, соли, стереоизомерные формы, рацемические смеси, пролекарства, сложные эфиры и метаболиты, а также их аналоги, полученные при кватернизации атома азота. Один вариант осуществления настоящего изобретения включает подгруппы, охватывающие N-оксиды соединений формулы (I) или любую подгруппу соединений формулы (I), указанных в настоящем изобретении, включая любые их соли или стереоизомерные формы.
Следует также понимать, что любая из подгрупп, включающая соединения формулы (I), включает также все пролекарства, N-оксиды, аддитивные соли, четвертичные амины и стереохимически изомерные формы таких соединений.
Варианты осуществления настоящего изобретения включают такие соединения формулы (I) или любую из подгрупп соединений формулы (I), определенных в настоящем описании, где
(1) n равно 1 или 2 или где
(1-а) n равно 1.
Другие варианты осуществления настоящего изобретения включают такие соединения формулы (I) или любую подгруппу соединений формулы (I), где
(2) R1 означает водород, цианогруппу, галоген,
аминокарбонил, С1-4алкиламинокарбонил, гидроксикарбонил,
С1-4алкилоксикарбонил, ариламинокарбонил,
N-гидроксиметанимидамидил, моно- или ди(С1-4алкил)метанимидамидил,
Het1 или Het2;
(2-а) R1 означает водород, цианогруппу, галоген, аминокарбонил, С1-4алкиламинокарбонил, ариламинокарбонил, С1-4алкилоксикарбонил, N-гидроксиметанимидамидил, Het1 или пиридинил;
(2-b) R1 означает водород, цианогруппу, галоген, аминокарбонил, С1-4алкиламинокарбонил, ариламинокарбонил, С1-4алкилоксикарбонил, N-гидроксиметанимидамидил, пиридинил, фуранил, тиенил, пирролил, оксазолил, тиазолил, имидазолил, изоксазолил, изотиазолил, пиразолил, оксадиазолил, тиадиазолил, триазолил и тетразолил, каждый из которых индивидуально и независимо может быть необязательно замещен заместителем, выбранным из группы, состоящей из С1-4алкила, С2-6алкенила, С3-7циклоалкила, гидроксигруппы, С1-4алкокси, галогена, аминогруппы, цианогруппы, трифторметила, гидроксиС1-4алкила, цианоС1-4алкила, моно- или ди(С1-4алкил)амино, аминоС1-4алкила, моно- или ди(С1-4алкил)аминоС1-4алкила, арилС1-4алкила,
аминоС2-6алкенила, моно- или ди(С1-4алкил)аминоС2-6алкенила, фуранила, тиенила, пирролила, оксазолила, тиазолила, имидазолила, изоксазолила, изотиазолила, пиразолила, оксадиазолила, тиадиазолила, триазолила, тетразолила, арила, гидроксикарбонила, аминокарбонила, С1-4алкилоксикарбонила, моно- или ди(С1-4алкил)аминокарбонила, С1-4алкилкарбонила, оксогруппы, тиогруппы; и где любой из указанных выше фрагментов: фуранил, тиенил, пирролил, оксазолил, тиазолил, имидазолил, изоксазолил, изотиазолил, пиразолил, оксадиазолил, тиадиазолил и триазолил, может быть необязательно замещен С1-4алкилом;
(2-с) R1 означает водород, цианогруппу, галоген, аминокарбонил, С1-4алкиламинокарбонил, ариламинокарбонил, С1-4алкилоксикарбонил, N-гидроксиметанимидамидил, пиридинил, фуранил, тиенил, окадиазолил, тетразолил, где последние четыре из указанных выше компонентов могут быть необязательно замещены С1-4алкилом, С2-6алкенилом, С3-7циклоалкилом, гидроксигруппой, С1-4алкокси, галогеном, аминогруппой, цианогруппой, трифторметилом, гидроксиС1-4алкилом, цианоС1-4алкилом, моно- или ди(С1-4алкил)амино, аминоС1-4алкилом, моно- или ди(С1-4алкил)аминоС1-4алкилом, арилС1-4алкилом, аминоС2-6алкенилом, моно- или ди(С1-4алкил)аминоС2-6алкенилом, арилом, гидроксикарбонилом, аминокарбонилом, С1-4алкилоксикарбонилом, моно- или
ди(С1-4алкил)аминокарбонилом, С1-4алкилкарбонилом, оксогруппой, тиогруппой;
(2-d) R1 означает водород, цианогруппу, бром, тетразолил или оксадиазолил, необязательно замещенный заместителем, выбранным из группы, состоящей из С1-4алкила, С2-6алкенила, С3-7циклоалкила,
гидроксигруппы, С1-4алкокси, аминогруппы, цианогруппы,
трифторметила, гидроксиС1-4алкила, цианоС1-4алкила,
моно- или ди(С1-4алкил)амино, аминоС1-4алкила,
моно- или ди(С1-4алкил)аминоС1-4алкила, арилС1-4алкила,
аминоС2-6алкенила, моно- или ди(С1-4алкил)аминоС2-6алкенила,
фуранила, тиенила, пирролила, оксазолила, тиазолила,
имидазолила, изоксазолила, изотиазолила, пиразолила,
оксадиазолила, тиадиазолила, триазолила, тетразолила, арила,
гидроксикарбонила, аминокарбонила, С1-4алкилоксикарбонила,
моно- или ди(С1-4алкил)аминокарбонила, С1-4алкилкарбонила,
оксогруппы, тиогруппы;
(2-е) R1 означает водород, цианогруппу, галоген, аминокарбонил, С1-4алкиламинокарбонил, ариламинокарбонил, С1-4алкилоксикарбонил, N-гидроксиметанимидамидил, пиридинил, фуранил, тетразолил, оксадиазолил, где последний компонент может быть необязательно замещен С1-4алкилом, галогеном, аминогруппой,
цианогруппой, трифторметилом, гидроксиС1-4алкилом,
цианоС1-4алкилом, аминоС1-4алкилом,
моно- или ди(С1-4алкил)аминоС1-4алкилом, арилС1-4алкилом,
аминоС2-6алкенилом, моно- или ди(С1-4алкил)аминоС2-6алкенилом,
оксогруппой, тиогруппой;
(2-f) R1 означает водород, цианогруппу, галоген, аминокарбонил, С1-4алкиламинокарбонил, ариламинокарбонил, С1-4алкилоксикарбонил, N-гидроксиметанимидамидил, пиридинил, фуранил, тетразолил, оксадиазолил, где последний компонент может быть необязательно замещен С1-4алкилом, трифторметилом, аминоС2-6алкенилом, моно- или ди(С1-4алкил)аминоС2-6алкенилом, оксогруппой, тиогруппой;
(2-g) R1 означает цианогруппу, аминокарбонил, С1-4алкиламинокарбонил;
(2-h) R1 означает цианогруппу, метилоксикарбонил, метиламинокарбонил, этилоксикарбонил или этиламинокарбонил; или
(2-i) R1 означает цианогруппу и этиламинокарбонил; или
(2-j) R1 означает цианогруппу.
Другие варианты осуществления настоящего изобретения включают такие соединения формулы (I) или любую подгруппу соединений формулы (I), определенных в настоящем описании, где:
(3) X означает O или S или
(3-a) X означает O.
Другие варианты осуществления настоящего изобретения включают такие соединения формулы (I) или любую подгруппу соединений формулы (I), определенных в настоящем описании, где:
(4) X означает NR2, где R2 означает водород, С1-10алкил, С2-10алкенил, С3-7циклоалкил, где указанный С1-10алкил, С2-10алкенил, С3-7циклоалкил, каждый, индивидуально и независимо, может быть необязательно замещен заместителем, выбранным из группы, состоящей из цианогруппы, N(R16aR16b), пирролидинила,
пиперидинила, гомопиперидинила, пиперазинила,
4-(С1-4алкил)пиперазинила, морфолинила, тиоморфолинила,
1-оксотиоморфолинила, 1,1-дизоксотиоморфолинила, арила,
фуранила, тиенила, пирролила, оксазолила, тиазолила,
имидазолила, изоксазолила, изотиазолила, пиразолила,
оксадиазолила, тиадиазолила, триазолила, тетразолила, пиридила,
пиримидинила, пиразинила, пиридазинила, триазинила,
гидроксикарбонила, С1-4алкилкарбонила, N(R16aR16b)карбонила,
С1-4алкилоксикарбонила, пирролидин-1-илкарбонила,
пиперидин-1-илкарбонила, гомопиперидин-1-илкарбонила,
пиперазин-1-илкарбонила, 4-(С1-4алкил)пиперазин-1-илкарбонила,
морфолин-1-илкарбонила, тиоморфолин-1-илкарбонила,
1-оксотиоморфолин-1-илкарбонила и
1,1-диоксотиоморфолин-1-илкарбонила; или
где R2 означает арил, замещенный радикалом -COOR4; или
R2 означает С1-10алкил, С2-10алкенил, С3-7циклоалкил, где указанные С1-10алкил,
С2-10алкенил, С3-7циклоалкил каждый, индивидуально и независимо, замещен арилом, где указанный арил замещен радикалом -COOR4; или
где указанные С1-10алкил, С2-10алкенил, С3-7циклоалкил, каждый, индивидуально и независимо, замещен радикалом, выбранным из: -NR5a-C(=NR5b)-NR5cR5d,
-NR5a-C(=NR5e)-R5f, -O-NR5a-C(=NR5b)-NR5cR5d, -O-NR5a-C(=NR5e)-R5f, -сульфонил-R6, -NR7R8,
-NR9R10 радикала

где
каждый Q1 независимо означает прямую связь, -CH2– или -CH2-CH2-;
каждый R4 независимо означает водород, С1-4алкил или арилС1-4алкил;
каждый R5а, R5b, R5c, R5d независимо означает водород, С1-4алкил или арилС1-4алкил;
каждый R5e, R5f независимо означает водород, С1-4алкил или арилС1-4алкил или R5e и R5f, взятые вместе, могут образовывать двухвалентный алкиленовый радикал формулы -CH2-CH2– или -CH2-CH2-CH2-;
R6 означает С1-4алкил, – N(R5aR5b) С1-4алкилокси, пирролидин-1-ил, пиперидин-1-ил, гомопиперидин-1-ил, пиперазин-1-ил, 4-(С1-4алкил)пиперазин-1-ил, морфолин-4-ил, тиоморфолин-4-ил, 1-оксотиоморфолин-4-ил и 1,1-диоксотиоморфолин-4-ил;
R7 означает водород или гидроксиС1-4алкил;
R8 означает гидроксиС1-4алкил;
R9 означает водород или С1-4алкил;
R10 означает Het1, Het2 или радикал ;
R11 означает арил, арилС1-4алкил, формил, С1-4алкилкарбонил, арилкарбонил, арилС1-4алкилкарбонил, С1-4алкилоксикарбонил, арилС1-4алкилоксикарбонил, R5aR5bN-карбонил, гидроксиС1-4алкил, С1-4алкилоксиС1-4алкил, арилС1-4алкилоксиС1-4алкил, арилоксиС1-4алкил, Het2;
R12 означает гидроксигруппу, С1-4алкил, арилС1-4алкил,
С1-4алкилокси, арилС1-4алкилокси, оксогруппу,
спиро(С2-4алкилендиокси), спиро(диС1-4алкилокси), -NR5aR5b;
R13 означает водород, гидроксигруппу, С1-4алкил, С1-4алкилокси или арилС1-4алкилокси; или
R2 означает радикал формулы:

| -CpH2p-CH(OR14)-CqH2q-R15 |
(b-3) |
| -CH2-CH2-(O-CH2-CH2)m-OR14 |
(b-4) |
| -CH2-CH2-(O-CH2-CH2)m-NR17aR17 |
(b-5) |
где в радикале (b-3) один из атомов водорода в -CpH2p– и один из атомов водорода в -CH(ОR14)-CqH2q-, который не является частью R14, может быть заменен прямой связью или С1-4алкандиильной группой;
p равно 1, 2 или 3;
q равно 0, 1, 2 или 3;
m равно 1-10;
каждый R14 независимо означает водород, С1-4алкил, арилС1-4алкил, арил, С1-4алкилкарбонил, -SO3H, -PO3H2;
R15 означает заместитель, выбранный из группы, состоящей из цианогруппы, N(R16aR16b), пирролидинила, пиперидинила,
гомопиперидинила, пиперазинила, 4-(С1-4алкил)пиперазинила,
морфолинила, тиоморфолинила, 1-оксотиоморфолинила,
1,1-диоксотиоморфолинила, арила, фуранила, тиенила, пирролила,
оксазолила, тиазолила, имидазолила, изоксазолила, изотиазолила,
пиразолила, оксадиазолила, тиадиазолила, триазолила,
тетразолила, пиридила, пиримидинила, пиразинила, пиридазинила,
триазинила, гидроксикарбонила, С1-4алкилкарбонила,
N(R16aR16b)карбонила, С1-4алкилоксикарбонила,
пирролидин-1-илкарбонила, пиперидин-1-илкарбонила,
гомопиперидин-1-илкарбонила, пиперазин-1-илкарбонила,
4-(С1-4алкил)пиперазин-1-илкарбонила, морфолин-1-илкарбонила,
тиоморфолин-1-илкарбонила, 1-оксотиоморфолин-1-илкарбонила и
1,1-дизоксотиоморфолин-1-илкарбонила; и где R15 может дополнительно представлять собой арил, замещенный радикалом -COOR4; или радикал, выбранный из -NR5a-C(=NR5b)-NR5cR5d, -NR5a-C(=NR5e)-R5f, -O-NR5a-C(=NR5b)-NR5cR5d, -O-NR5a-C(=NR5e)-R5f, -сульфонил-R6, -NR7R8, -NR9R10, радикала (а-1), (а-2), (а-3), где R4, R5a, R5b,
R5c, R5d, R6, R7, R8, R9, R10 и радикалы (а-1), (а-2), (а-3) независимо являются такими, как определено выше;
R16a означает водород, С1-4алкил или С1-4алкил, замещенный заместителем, выбранным из группы, состоящей из аминогруппы, моно- или ди(С1-4алкил)амино, пирролидинила, пиперидинила, гомопиперидинила, пиперазинила, 4-(С1-4алкил)пиперазинила, морфолинила, тиоморфолинила, 1-оксотиоморфолинила и 1,1-диоксотиоморфолинила;
R16b означает водород, С1-4алкил или С1-4алкил, замещенный заместителем, выбранным из группы, состоящей из аминогруппы, моно- и ди(С1-4алкил)амино, пирролидинила, пиперидинила, гомопиперидинила, пиперазинила, 4-(С1-4алкил)пиперазинила, морфолинила, тиоморфолинила, 1-оксотиоморфолинила и 1,1-диоксотиоморфолинила;
каждый R18 независимо означает водород, С1-4алкил или арилС1-4алкил;
R19 означает водород, гидроксигруппу, С1-4алкил или радикал -COOR4; или где
(4-а) X означает NR2, где R2 означает С1-10алкил, С2-10алкенил, С3-7циклоалкил, где каждый из указанных трех радикалов может быть независимо замещен арилом и указанный арил замещен радикалом -COOR4; или
(4-а-1) X означает NR2, где R2 означает С1-10алкил, замещенный арилом, где указанный арил замещен радикалом -COOR4; или
(4-а-2) X означает NR2, где R2 означает С1-6алкил, замещенный фенилом, который замещен радикалом -COOR4; или
(4-а-3) X означает NR2, где R2 означает С1-6алкил, замещенный фенилом, который замещен в параположении радикалом -COOR4; или где
(4-b) X означает NR2, где R2 означает С1-10алкил, С2-10алкенил, С3-7циклоалкил, где каждый из указанных трех радикалов может быть независимо замещен радикалом, выбранным из группы, состоящей из -NR5a-C(=NR5b)-NR5cR5d,
-O-NR5a-C(=NR5b)-NR5cR5d, -сульфонил-R6, -NR7R8, -NR9R10, радикала (а-1), (а-2), (а-3), (а-4) и (а-5);
(4-b-1) X означает NR2, где R2 означает С1-10алкил, замещенный радикалом, выбранным из группы, состоящей из -NR5a-C(=NR5b)-NR5cR5d,
-O-NR5a-C(=NR5b)-NR5cR5d, -сульфонил-R6, -NR7R8, -NR9R10, радикала (а-1), (а-2), (а-3), (а-4) и (а-5);
(4-b-2) X означает NR2, где R2 означает С1-10алкил, замещенный радикалом, выбранным из группы, состоящей из -NR5a-C(=NR5b)-NR5cR5d,
-O-NR5a-C(=NR5b)-NR5cR5d, -сульфонил-R6, -NR7R8, -NR9R10, радикала (а-1), (а-2) и (а-3);
(4-b-3) X означает NR2, где R2 означает С1-6алкил, замещенный радикалами, указанными в пунктах (4-b-1) или (4-b-2);
(4-b-4) X означает NR2, где R2 означает С1-6алкил, замещенный радикалом, выбранным из группы, состоящей из -NR5a-C(=NR5b)-NR5cR5d, -NR7R8, -NR9R10, радикала (а-1), (а-2), (а-3), (а-4) и (а-5);
(4-b-5) X означает NR2, где R2 означает С1-6алкил, замещенный радикалом, выбранным из группы, состоящей из -NR5a-C(=NR5b)-NR5cR5d, -NR7R8, -NR9R10, радикала (а-1), (а-2), (а-3);
(4-с) X означает NR2, где R2 означает радикал (b-1);
(4-с-1) X означает NR2, где R2 означает радикал (b-1), где R19 означает водород или -COOR4 и где Q1 в радикале (b-1) означает прямую связь или -CH2-;
(4-d) X означает NR2, где R2 означает радикал (b-2);
(4-d-1) X означает NR2, где R2 означает радикал (b-2), где Q2 означает О;
(4-e) X означает NR2, где R2 означает радикал (b-3), где q равен 1, 2 или 3;
(4-e-1) X означает NR2, где R2 означает радикал (b-3), где p равен 1 и q равен 1;
(4-e-2) X означает NR2, где R2 означает радикал (b-3), где R15 означает цианогруппу, NR16aR16b, пирролидинил, пиперидинил, 4-(С1-4алкил)пиперазинил, морфолинил, арил, имидазолил, пиридил, гидроксикарбонил, N(R16aR16b)карбонил, С1-4алкилоксикарбонил, 4-(С1-4алкил)пиперазин-1-илкарбонил, -NR7R8, -NR9R10, радикал (а-1), (а-2), (а-3), (а-4) или (а-5);
(4-e-3) X означает NR2, где R2 означает радикал (b-3), где R14 означает водород и R15 означает цианогруппу, NR16aR16b, пирролидинил, пиперидинил, 4-(С1-4алкил)пиперазинил, морфолинил, арил, имидазолил, пиридил, гидроксикарбонил, N(R16aR16b)карбонил, С1-4алкилоксикарбонил или 4-(С1-4алкил)пиперазин-1-илкарбонил;
(4-e-4) X означает NR2, где R2 означает радикал (b-3), где p равен 1 и q равен 1, и R15 означает цианогруппу, NR16aR16b, пирролидинил, пиперидинил, 4-морфолинил, арил, имидазолил, пиридил, гидроксикарбонил или N(R16aR16b)карбонил;
(4-e-5) X означает NR2, где R2 означает радикал (b-3), где R15 означает NR16aR16b, пирролидинил, пиперидинил, 4-морфолинил;
(4-e-6) X означает NR2, где R2 означает радикал (b-3), где R15 означает пирролидинил, пиперидинил, 4-морфолинил;
(4-e-7) X означает NR2, где R2 означает радикал (b-3), где R15 означает пирролидинил;
(4-f) X означает NR2, где R2 означает радикал (b-4), где m равен 1-6;
(4-f-1) X означает NR2, где R2 означает радикал (b-4), где R14 означает водород или
С1-4алкил;
(4-f-2) X означает NR2, где R2 означает радикал (b-4), где m равно 1-5 и R14 означает водород или С1-4алкил;
(4-g) X означает NR2, где R2 означает радикал (b-5);
(4-g-1) X означает NR2, где R2 означает радикал (b-5), где m равно 1-5;
(4-h) X означает NR2, где R2 означает водород, С1-10алкил, который может быть необязательно замещен заместителем, выбранным из группы, состоящей из цианогруппы, N(R16aR16b), пирролидинила,
пиперидинила, гомопиперидинила, пиперазинила,
4-(С1-4алкил)пиперазинила, морфолинила, тиоморфолинила,
1-оксотиоморфолинила, 1,1-диоксотиоморфолинила, арила, фуранила,
тиенила, пирролила, оксазолила, тиазолила, имидазолила,
изоксазолила, изотиазолила, пиразолила, оксадиазолила,
тиадиазолила, триазолила, тетразолила, пиридила, пиримидинила,
пиразинила, пиридазинила, триазинила, гидроксикарбонила,
С1-4алкилкарбонила, N(R16aR16b)карбонила, С1-4алкилоксикарбонила,
пирролидин-1-илкарбонила, пиперидин-1-илкарбонила,
гомопиперидин-1-илкарбонила, пиперазин-1-илкарбонила,
4-(С1-4алкил)пиперазин-1-илкарбонила, морфолин-1-илкарбонила,
тиоморфолин-1-илкарбонила, 1-оксотиоморфолин-1-илкарбонила и
1,1-диоксотиоморфолин-1-илкарбонила;
(4-h-1) X означает NR2, где R2 означает водород, С1-10алкил, который может быть необязательно замещен заместителем, выбранным из группы, состоящей из цианогруппы, N(R16aR16b), пирролидинила,
пиперидинила, гомопиперидинила, пиперазинила,
4-(С1-4алкил)пиперазинила, морфолинила, тиоморфолинила,
1-оксотиоморфолинила, 1,1-диоксотиоморфолинила, арила, фуранила,
тиенила, пирролила, оксазолила, тиазолила, имидазолила,
пиридила, пиримидинила, гидроксикарбонила, С1-4алкилкарбонила,
N(R16aR16b)карбонила, С1-4алкилоксикарбонила,
пирролидин-1-илкарбонила, пиперидин-1-илкарбонила,
гомопиперидин-1-илкарбонила, пиперазин-1-илкарбонила,
4-(С1-4алкил)пиперазин-1-илкарбонила, морфолин-1-илкарбонила,
тиоморфолин-1-илкарбонила;
(4-h-2) X означает NR2, где R2 означает водород, С1-10алкил, который может быть необязательно замещен заместителем, выбранным из группы, состоящей из цианогруппы, N(R16aR16b), пирролидинила,
пиперидинила, гомопиперидинила, пиперазинила,
4-(С1-4алкил)пиперазинила, морфолинила, тиоморфолинила,
1-оксотиоморфолинила, 1,1-диоксотиоморфолинила, арила, пиридила,
пиримидинила, гидроксикарбонила, С1-4алкилкарбонила,
N(R16aR16b)карбонила, С1-4алкилоксикарбонила;
(4-h-3) X означает NR2, где R2 означает водород, С1-6алкил, который может быть необязательно замещен заместителем, выбранным из группы, состоящей из цианогруппы, N(R16aR16b), пирролидинила,
пиперидинила, гомопиперидинила, пиперазинила,
4-(С1-4алкил)пиперазинила, морфолинила, тиоморфолинила, арила,
гидроксикарбонила, С1-4алкилкарбонила;
(4-h-4) X означает NR2, где R2 означает водород, С1-6алкил, который может быть необязательно замещен заместителем, выбранным из группы, состоящей из N(R16aR16b), пирролидинила, пиперидинила, гомопиперидинила, пиперазинила, 4-(С1-4алкил)пиперазинила, морфолинила, тиоморфолинила;
(4-h-5) X означает NR2, где R2 означает С1-6алкил, который может быть необязательно замещен N(R16aR16b), пирролидинилом, пиперидинилом;
(4-h-6) X означает NR2, где R2 означает С1-6алкил, который может быть необязательно замещен N(R16aR16b), пирролидинилом.
Другие варианты осуществления настоящего изобретения включают такие соединения формулы (I) или любую подгруппу соединений формулы (I), определенных в настоящем описании, где
(5) R3 означает водород, нитрогруппу, цианогруппу,
аминогруппу, галоген, гидроксигруппу, С1-4алкилокси, С1-4алкил,
гидроксикарбонил, аминокарбонил,
моно- или ди(С1-4алкил)аминокарбонил, аминотиокарбонил,
С1-4алкилоксикарбонил, С1-4алкилкарбонил,
моно- или ди(С1-4алкил)метанимидамидил, N-гидроксиметанимидамидил
или Het1;
(5-а) R3 означает нитрогруппу, цианогруппу, аминогруппу, галоген, гидроксигруппу, С1-4алкилокси, С1-4алкил, гидроксикарбонил, аминокарбонил,
ди(С1-4алкил)аминокарбонил, С1-4алкилоксикарбонил, моно- или ди(С1-4алкил)метанимидамидил, N-гидроксиметанимидамидил или Het1;
(5-b) R3 означает нитрогруппу, цианогруппу, галоген, С1-4алкилокси, гидроксикарбонил, аминокарбонил, моно- или ди(С1-4алкил)метанимидамидил, N-гидроксиметанимидамидил или Het1;
(5-с) R3 означает нитрогруппу, цианогруппу, галоген, С1-4алкилокси, гидроксикарбонил, аминокарбонил, моно- или ди(С1-4алкил)метанимидамидил, N-гидроксиметанимидамидил, фуранил, тиенил, пирролил, оксазолил, тиазолил, имидазолил, изоксазолил, изотиазолил, пиразолил, оксадиазолил, тиадиазолил, триазолил и тетразолил, каждая из указанных групп: фуранил, тиенил, пирролил, оксазолил, тиазолил, имидазолил, изоксазолил, изотиазолил, пиразолил, оксадиазолил, тиадиазолил, триазолил и тетразолил – может быть необязательно замещена одним или двумя заместителями, выбранными из группы, состоящей из С1-4алкила, С2-6алкенила, С3-7циклоалкила, гидрокси, С1-4алкокси, аминогруппы, цианогруппы, трифторметила, гидроксиС1-4алкила, цианоС1-4алкила, моно- или ди(С1-4алкил)амино, аминоС1-4алкила, моно- или ди(С1-4алкил)аминоС1-4алкила, арилС1-4алкила,
аминоС2-6алкенила, моно- или ди(С1-4алкил)аминоС2-6алкиленила, фуранила, тиенила, пирролила, оксазолила, тиазолила, имидазолила, изоксазолила, изотиазолила, пиразолила, оксадиазолила, тиадиазолила, триазолила, тетразолила, арила, гидроксикарбонила, аминокарбонила, С1-4алкилоксикарбонила, моно- или ди(С1-4алкил)аминокарбонила, С1-4алкилкарбонила, оксогруппы, тиогруппы; и где любой из указанных выше фрагментов: фуранил, тиенил, пирролил, оксазолил, тиазолил, имидазолил, изоксазолил, изотиазолил, пиразолил, оксадиазолил, тиадиазолил и триазолил – может быть необязательно замещен С1-4алкилом;
(5-d) R3 означает нитрогруппу, цианогруппу, галоген, С1-4алкилокси, гидроксикарбонил, аминокарбонил, моно- или ди(С1-4алкил)метанимидамидил, N-гидроксиметанимидамидил, оксадиазолил, тиенил, тиазолил, фуранил, изоксазолил, где каждый из указанных фрагментов: оксадиазолил, тиенил, тиазолил, фуранил, изоксазолил – может быть замещен заместителем, выбранным из группы, состоящей из С1-4алкила, С2-6алкенила, С3-7циклоалкила,
гидроксигруппы, С1-4алкокси, аминогруппы, цианогруппы,
трифторметила, гидроксиС1-4алкила, цианоС1-4алкила,
моно- или ди(С1-4алкил)амино, аминоС1-4алкила,
моно- или ди(С1-4алкил)аминоС1-4алкила, арилС1-4алкила,
аминоС2-6алкенила, моно- или ди(С1-4алкил)аминоС2-6алкиленила,
фуранила, тиенила, пирролила, оксазолила, тиазолила,
имидазолила, изоксазолила, изотиазолила, пиразолила,
оксадиазолила, тиадиазолила, триазолила, тетразолила, арила,
гидроксикарбонила, аминокарбонила, С1-4алкилоксикарбонила,
моно- или ди(С1-4алкил)аминокарбонила, С1-4алкилкарбонила,
оксогруппы, тиогруппы; где любой из указанных выше фрагментов: фуранил, тиенил, пирролил, оксазолил, тиазолил, имидазолил, изоксазолил, изотиазолил, пиразолил, оксадиазолил, тиадиазолил и триазолил – может быть необязательно замещен С1-4алкилом;
(5-е) R3 означает нитрогруппу, цианогруппу, галоген, С1-4алкилокси, гидроксикарбонил, аминокарбонил, моно- или ди(С1-4алкил)метанимидамидил, N-гидроксиметанимидамидил, оксадиазолил, изоксазолил, тиенил, пирролил, триазолил, тиазолил, фуранил, изоксазолил, тетразолил, где каждый из указанных фрагментов: оксадиазолил, изоксазолил, тиенил, пирролил, триазолил, тиазолил, фуранил, изоксазолил, тетразолил – может быть необязательно замещен С1-4алкилом,
С2-6алкенилом, С3-7циклоалкилом, гидроксигруппой, С1-4алкокси, аминогруппой, цианогруппой, трифторметилом, гидроксиС1-4алкилом, цианоС1-4алкилом, моно- или ди(С1-4алкил)амино, аминоС1-4алкилом, моно- или ди(С1-4алкил)аминоС1-4алкилом, арилС1-4алкилом, аминоС2-6алкенилом, моно- или ди(С1-4алкил)аминоС2-6алкиленилом, фуранилом, изоксазолилом, С1-4алкил-замещенным изоксазолилом, арилом, гидроксикарбонилом, аминокарбонилом, С1-4алкилоксикарбонилом, моно- или ди(С1-4алкил)аминокарбонилом, С1-4алкилкарбонилом, оксо, тио;
(5-f) R3 означает нитрогруппу, цианогруппу, галоген, С1-4алкилокси, гидроксикарбонил, аминокарбонил, моно- или ди(С1-4алкил)метанимидамидил, N-гидроксиметанимидамидил, оксадиазолил, изоксазолил, тиенил, пирролил, триазолил, тиазолил, фуранил, изоксазолил, тетразолил, где каждый из указанных фрагментов: оксадиазолил, изоксазолил, тиенил, пирролил, триазолил, тиазолил, фуранил, изоксазолил, тетразолил, может быть необязательно замещен С1-4алкилом,
С3-7циклоалкилом,
гидроксигруппой, цианогруппой, трифторметилом, цианоС1-4алкилом,
моно- или ди(С1-4алкил)амино, арилС1-4алкилом,
ди(С1-4алкил)аминоС2-6алкиленилом, фуранилом, изоксазолилом,
С1-4алкил-замещенным изоксазолилом, арилом, гидроксикарбонилом,
аминокарбонилом, С1-4алкилоксикарбонилом, моно- или
ди(С1-4алкил)аминокарбонилом, оксогруппой, тиогруппой;
(5-g) R3 означает нитрогруппу, цианогруппу, галоген, С1-4алкилокси, гидроксикарбонил, аминокарбонил, моно- или ди(С1-4алкил)метанимидамидил, N-гидроксиметанимидамидил, оксадиазолил, изоксазолил, тиазолил, фуранил, изоксазолил, тетразолил, где каждый из указанных фрагментов: оксадиазолил, изоксазолил, тиазолил, фуранил, изоксазолил, тетразолил – может быть необязательно замещен С1-4алкилом, гидроксигруппой, цианогруппой, трифторметилом;
(5-h) R3 означает нитрогруппу, цианогруппу, галоген, С1-4алкилокси, гидроксикарбонил, аминокарбонил;
(5-i) R3 означает нитрогруппу;
(5-j) группа R3 на фенильном конце находится в положении, локализованном напротив атома азота в конденсированном пиридиновом фрагменте.
Другие варианты осуществления настоящего изобретения включают соединения формулы (I) или любую подгруппу соединений формулы (I), определенных в настоящем описании, где
(6) R4 означает водород или С1-4алкил или где
(6-а) R4 означает водород.
Другие варианты осуществления настоящего изобретения включают такие соединения формулы (I) или любую подгруппу соединений формулы (I), определенных в настоящем описании, где
(7) каждый R5a, R5b, R5c, R5d, R5е и R5f независимо означает водород или С1-4алкил; или R5e и R5f, взятые вместе, могут образовывать двухвалентный алкандиильный радикал формулы -CH2-CH2– или -CH2-CH2-CH2-;
(7-а) каждый R5a, R5b, R5c, R5d, R5е и R5f независимо означает водород или С1-4алкил;
(7-b) каждый R5a, R5b, R5c, R5d, R5е и R5f независимо означает водород.
Другие варианты осуществления настоящего изобретения относятся к таким соединениям формулы (I) или любым подгруппам соединений формулы (I), определенных в настоящем описании, где
(8) R6 означает С1-4алкил, -N(R5aR5b), С1-4алкилокси, пирролидин-1-ил, пиперидин-1-ил, гомопиперидин-1-ил, пиперазин-1-ил, 4-(С1-4алкил)пиперазин-1-ил, морфолин-4-ил-;
(8-а) R6 означает С1-4алкил, -N(R5aR5b)-, С1-4алкилокси, пирролидин-1-ил, пиперидин-1-ил, морфолин-4-ил-;
(8-b) R6 означает С1-4алкил, -N(R5aR5b), пирролидин-1-ил, пиперидин-1-ил, морфолин-4-ил-, где R5a и R5b независимо означают водород или С1-4алкил.
Другие варианты осуществления настоящего изобретения включают такие соединения формулы (I) или любую подгруппу соединений формулы (I), определенных в настоящем описании, где соблюдаются одно или несколько указанных ниже ограничений:
(9-а) R7 означает водород или гидроксиС1-4алкил;
(9-b) R8 означает гидроксиС1-4алкил;
(9-c) R9 означает водород.
Еще другие варианты осуществления настоящего изобретения включают такие соединения формулы (I) или любую подгруппу соединений формулы (I), определенных в настоящем описании, где
(10) R10 означает Het1, пиридил, пиримидинил или радикал (а-6);
(10-а) R10 означает имидазолил, изоксазолил, пиразолил, триазолил, каждый из которых может быть необязательно замещен С1-4алкилом; или R10 означает пиримидил, или пиримидинил, или радикал (а-6);
(10-b) R10 означает пиримидил, пиримидинил или радикал (а-6);
(10-с) R10 означает радикал (а-6).
Еще другие варианты осуществления настоящего изобретения включают такие соединения формулы (I) или любую подгруппу соединений формулы (I), определенных в настоящем описании, где:
(11) R11 означает арил, арилС1-4алкил, формил, С1-4алкилкарбонил, арилкарбонил, С1-4алкилоксикарбонил, арилС1-4алкилоксикарбонил, моно- и диС1-4алкиламинокарбонил, С1-4алкилоксиС1-4алкил, арилС1-4алкилоксиС1-4алкил, пиридил или пиримидинил;
(11-а) R11 означает арил, арилС1-4алкил, формил, С1-4алкилкарбонил, арилкарбонил, С1-4алкилоксикарбонил, С1-4алкилоксиС1-4алкил,
арилС1-4алкилоксиС1-4алкил, пиридил или пиримидинил;
(11-b) R11 означает арил, С1-4алкилкарбонил, С1-4алкилоксикарбонил, гидроксиС1-4алкил или пиридил.
Еще другие варианты осуществления настоящего изобретения включают такие соединения формулы (I) или любую подгруппу соединений формулы (I), определенных в настоящем описании, где:
(12) R12 означает гидроксигруппу, С1-4алкил, С1-4алкилокси, оксогруппу, спиро(С2-4алкандиилдиокси), спиро(диС1-4алкилокси), -NR5aR5b;
(12-а) в том случае, когда в радикале (а-2) присутствует один радикал R12, указанный радикал R12 представляет собой гидроксигруппу, С1-4алкил, С1-4алкилокси, оксогруппу, -NR5aR5b; или когда в радикале (а-2) присутствуют два радикала R12, оба независимо означают С1-4алкил, спиро(С2-4алкандиилдиокси) или спиро(диС1-4алкилокси); и
(12-b) R12 означает гидроксигруппу или С1-4алкил.
Еще другие варианты осуществления настоящего изобретения включают такие соединения формулы (I) или любую подгруппу соединений формулы (I), определенных в настоящем описании, где соблюдается одно или несколько приведенных ниже ограничений:
(13-а) Q1 означает прямую связь -CH2-; или
(13-b) Q2 означает O или S; или (13-b-1) Q2 означает O.
Еще другие варианты осуществления настоящего изобретения включают такие соединения формулы (I) или любую подгруппу соединений формулы (I), определенных в настоящем описании, где соблюдается одно или несколько приведенных ниже ограничений:
(14-а) R13 означает водород или гидроксигруппу;
(14-b) R13а означает С1-4алкил;
(14-c) R13b означает водород.
Еще другие варианты осуществления настоящего изобретения включают такие соединения формулы (I) или любую подгруппу соединений формулы (I), определенных в настоящем описании, где:
(15) R14 означает водород, С1-4алкил или арилС1-4алкил;
(15-а) R14 означает водород или С1-4алкил;
(15-b) R14 означает водород.
Еще другие варианты осуществления настоящего изобретения включают такие соединения формулы (I) или любую подгруппу соединений формулы (I), определенных в настоящем описании, где:
(16) R15 выбирают из группы, состоящей из цианогруппы,
NR16aR16b, пирролидинила, пиперидинила, гомопиперидинила,
пиперазинила, 4-(С1-4алкил)пиперазинила,
4-(С1-4алкилкарбонил)пиперазинила,
4-(С1-4алкилоксикарбонил)пиперазинила, морфолинила,
тиоморфолинила, 1-оксотиоморфолинила, 1,1-диоксотиоморфолинила,
арила, фуранила, тиенила, пирролила, оксазолила, тиазолила,
имидазолила, изоксазолила, изотиазолила, пиразолила,
оксадиазолила, тиадиазолила, триазолила, тетразолила, пиридила,
пиримидинила, пиразинила, пиридазинила, триазинила,
гидроксикарбонила, С1-4алкилкарбонила, N(R16aR16b)карбонила,
С1-4алкилоксикарбонила, пирролидин-1-илкарбонила,
пиперидин-1-илкарбонила, гомопиперидин-1-илкарбонила,
пиперазин-1-илкарбонила, 4-(С1-4алкил)пиперазин-1-илкарбонила,
морфолин-1-илкарбонила, тиоморфолин-1-илкарбонила,
1-оксотиоморфолин-1-илкарбонила и
1,1-диоксотиоморфолин-1-илкарбонила; или R15 может дополнительно представлять собой арил, замещенный радикалом -COOR4; или радикал, выбранный из -NR5a-C(=NR5b)-NR5cR5d, -NR5a-C(=NR5e)-R5f, -O-NR5a-C(=NR5b)-NR5cR5d, -O-NR5a-C(=NR5e)-R5f, -сульфонил-R6, -NR7R8, -NR9R10, радикала (а-1), (а-2), (а-3);
(16-а) R15 выбирают из группы, состоящей из цианогруппы, NR16aR16b, пирролидинила, пиперидинила, гомопиперидинила,
пиперазинила, 4-(С1-4алкил)пиперазинила,
4-(С1-4алкилкарбонил)пиперазинила,
4-(С1-4алкилоксикарбонил)пиперазинила, морфолинила,
тиоморфолинила, 1-оксотиоморфолинила, 1,1-диоксотиоморфолинила,
арила, фуранила, тиенила, пирролила, оксазолила, тиазолила,
имидазолила, изоксазолила, изотиазолила, пиразолила,
оксадиазолила, тиадиазолила, триазолила, тетразолила, пиридила,
пиримидинила, пиразинила, пиридазинила, триазинила,
гидроксикарбонила, С1-4алкилкарбонила, N(R16aR16b)карбонила,
С1-4алкилоксикарбонила, пирролидин-1-илкарбонила,
пиперидин-1-илкарбонила, гомопиперидин-1-илкарбонила,
пиперазин-1-илкарбонила, 4-(С1-4алкил)пиперазин-1-илкарбонила,
морфолин-1-илкарбонила, тиоморфолин-1-илкарбонила,
1-оксотиоморфолин-1-илкарбонила и
1,1-диоксотиоморфолин-1-илкарбонила;
(16-b) R15 выбирают из группы, состоящей из цианогруппы,
NR16aR16b, пирролидинила, пиперидинила, гомопиперидинила,
пиперазинила, 4-(С1-4алкил)пиперазинила,
4-(С1-4алкилкарбонил)пиперазинила,
4-(С1-4алкилоксикарбонил)пиперазинила, морфолинила,
тиоморфолинила, 1-оксотиоморфолинила, 1,1-диоксотиоморфолинила,
арила, гидроксикарбонила, С1-4алкилкарбонила, N(R16aR16b)карбонила,
С1-4алкилоксикарбонила;
(16-с) R15 выбирают из группы, состоящей из NR16aR16b,
пирролидинила, пиперидинила, гомопиперидинила, пиперазинила,
4-(С1-4алкил)пиперазинила, 4-(С1-4алкилкарбонил)пиперазинила,
морфолинила, тиоморфолинила, 1-оксотиоморфолинила,
1,1-диоксотиоморфолинила;
(16-d) R15 выбирают из группы, состоящей из NR16aR16b,
пирролидинила, пиперидинила, пиперазинила,
4-(С1-4алкил)пиперазинила, морфолинила, тиоморфолинила,
1,1-диоксотиоморфолинила;
(16-е) R15 выбирают из группы, состоящей из пирролидинила, пиперидинила.
Другие варианты осуществления настоящего изобретения включают такие соединения формулы (I) или любую подгруппу соединений формулы (I), определенных в настоящем описании, где:
(17) R16a и R16b независимо друг от друга означают водород, С1-6алкил или С1-6алкил, замещенный заместителем, выбранным из группы, состоящей из аминогруппы, моно- или ди(С1-4алкил)амино, пирролидинила, пиперидинила, гомопиперидинила, пиперазинила, 4-(С1-4алкил)пиперазинила, морфолинила, тиоморфолинила, 1-оксотиоморфолинила, 1,1-диоксотиоморфолинила и арила;
(17-а) R16a и R16b независимо друг от друга означают водород, С1-6алкил или С1-6алкил, замещенный заместителем, выбранным из группы, состоящей из аминогруппы, моно- или ди(С1-4алкил)амино, пирролидинила, пиперидинила, гомопиперидинила, пиперазинила, 4-(С1-4алкил)пиперазинила, морфолинила, тиоморфолинила, 1-оксотиоморфолинила, 1,1-диоксотиоморфолинила;
(17-b) R16a и R16b независимо друг от друга означают водород или С1-4алкил.
Еще другие варианты осуществления настоящего изобретения включают такие соединения формулы (I) или любую подгруппу соединений формулы (I), определенных в настоящем описании, где:
(18) R17a и R17b независимо друг от друга означают водород, С1-4алкил или арилС1-4алкил; или R17a и R17b вместе с атомом азота, к которому они присоединены, образуют пирролидинильное, пиперидинильное, гомопиперидинильное, морфолинильное, тиоморфолинильное, 1,1-диоксотиоморфолинильное, пиперазинильное или 4-С1-4алкилпиперазинильное кольцо;
(18-а) R17a и R17b независимо друг от друга означают водород, С1-4алкил или
арилС1-4алкил;
(18-b) R17a и R17b независимо друг от друга означают водород, С1-4алкил или
арилС1-4алкил.
Другие варианты осуществления настоящего изобретения включают такие соединения формулы (I) или любую подгруппу соединений формулы (I), определенных в настоящем описании, где:
(19) каждый R18 независимо означает водород, С1-4алкил или арилС1-4алкил;
(19-а) каждый R18 независимо означает водород.
Другие варианты осуществления настоящего изобретения включают такие соединения формулы (I) или любую подгруппу соединений формулы (I), определенных в настоящем описании, где:
(20) R19 означает водород, С1-4алкил или радикал -COOR4;
(20-а) R19 означает водород.
Другие варианты осуществления настоящего изобретения включают такие соединения формулы (I) или любую подгруппу соединений формулы (I), определенных в настоящем описании, где:
(21) арил означает фенил, необязательно замещенный одним или несколькими заместителями, каждый из которых индивидуально выбирают из группы, состоящей из С1-4алкила, С1-4алкокси, цианогруппы, нитрогруппы;
(21-а) арил означает фенил, необязательно замещенный одним, двумя или тремя заместителями, каждый из которых независимо выбирают из С1-4алкила, С1-4алкокси, цианогруппы и нитрогруппы.
Другие варианты осуществления настоящего изобретения включают такие соединения формулы (I) или любую подгруппу соединений формулы (I), определенных в настоящем описании, где:
(22) Het1 означает ароматическую 5-членную кольцевую систему, где один, два, три или четыре члена кольца представляют собой гетероатомы, каждый, индивидуально и независимо, выбранные из группы, состоящей из атома азота, кислорода и серы, и где оставшиеся члены кольца представляют собой атомы углерода и, где это возможно, каждый азотный член кольца может быть необязательно замещен С1-4алкилом; любой атом углерода в кольце, индивидуально и независимо, может быть необязательно замещен заместителем, выбранным из группы, состоящей из С1-4алкила, С3-7циклоалкила, галогена, цианогруппы, трифторметила, цианоС1-4алкила, моно- или ди(С1-4алкил)амино, моно- или ди(С1-4алкил)аминоС2-6алкенила, изоксазолила, арила, гидроксикарбонила, С1-4алкилоксикарбонила, оксогруппы, тиогруппы; и где указанный выше изоксазолил может быть необязательно замещен С1-4алкилом;
(22-а) Het1 означает фуранил, тиенил, пирролил, оксазолил, тиазолил, имидазолил, изоксазолил, изотиазолил, пиразолил, оксадиазолил, тиадиазолил, триазолил и тетразолил, каждый из которых, индивидуально и независимо, может быть необязательно замещен заместителем, выбранным из группы, состоящей из С1-4алкила, С2-6алкенила, С3-7циклоалкила, гидрокси, С1-4алкокси, галогена, аминогруппы, цианогруппы, трифторметила, гидроксиС1-4алкила, цианоС1-4алкила, моно- или ди(С1-4алкил)амино, аминоС1-4алкила, моно- или ди(С1-4алкил)аминоС1-4алкила, арилС1-4алкила, аминоС2-6алкенила, моно- или
ди(С1-4алкил)аминоС2-6алкенила, фуранила, тиенила, пирролила, оксазолила, тиазолила, имидазолила, изоксазолила, изотиазолила, пиразолила, оксадиазолила, тиадиазолила, триазолила, тетразолила, арила, гидроксикарбонила, аминокарбонила, С1-4алкилоксикарбонила, моно- или ди(С1-4алкил)аминокарбонила, С1-4алкилкарбонила, оксогруппы, тиогруппы; и где любой из указанных выше фрагментов: фуранил, тиенил, пирролил, оксазолил, тиазолил, имидазолил, изоксазолил, изотиазолил, пиразолил, оксадиазолил, тиадиазолил и триазолил – может быть необязательно замещен С1-4алкилом.
Еще другие варианты осуществления настоящего изобретения включают такие соединения формулы (I) или любую подгруппу соединений формулы (I), определенных в настоящем описании, где:
(23) Het2 означает пиридил или пиримидинил, оба необязательно замещенные С1-4алкилом;
(23-а) Het2 означает пиридил или пиримидинил;
(23-b) Het2 означает пиридил.
Еще другие варианты осуществления настоящего изобретения включают такие соединения формулы (I) или любую подгруппу соединений формулы (I), определенных в настоящем описании, где:
(24) p равно 1,2;
(24-а) p равно 1.
Другие варианты осуществления настоящего изобретения включают такие соединения формулы (I) или любую подгруппу соединений формулы (I), определенных в настоящем описании, где:
(25) p равно 1, 2, 3;
(25-а) q равно 1, 2;
(25-b) q равно 1.
Другие варианты осуществления настоящего изобретения включают такие соединения формулы (I) или любую подгруппу соединений формулы (I), определенных в настоящем описании, где:
(26) m равно 1-8;
(26-а) m равно 1-6;
(26-b) m равно 1-4;
(26-с) m равно 1-3;
(26-d) m равно 1-2.
Еще другие варианты осуществления настоящего изобретения включают такие соединения формулы (I) или любую подгруппу соединений формулы (I), определенных в настоящем описании, где:
(27) -a1=a2-a3=a4– означает двухвалентный радикал формулы
| -CH=CH-CH=CH- |
(c-1); |
| -N=CH-CH=CH- |
(c-2); |
| -CH=N-CH=CH- |
(c-3); |
| -CH=CH-N=CH- |
(c-4); |
| -CH=CH-CH=N- |
(c-5); |
где один из атомов водорода в (с-1) заменен С1-6алкилом,
С1-4алкокси, галогеном, гидроксигруппой,
(R5g)(R5h)N-(С1-4алкандиил)-O-, (R7)(R8)N-(С1-4алкандиил)-O-,
(R8)(R9)N-(С1-4алкандиил)-O-, трифторметилом, цианогруппой,
радикалом -COOR4, (R5a)(R5b)N-карбонилом, (R5a)(R5b)N-сульфонилом,
формилом, С1-6алкилкарбонилом, нитрогруппой, гидроксиС1-6алкилом,
С1-4алкоксиС1-6алкилом, (R4OOC)-С1-6алкилом, радикалом -N(R5a)(R5b),
-N(R7)(R8), -N(R9)(R10), радикалом (а-1), радикалом ,
морфолинилом, тиоморфолинилом, 1-оксотиоморфолинилом,
1,1-диоксотиоморфолинилом, (R5g)(R5h)N-(С1-4алкандиил)-N(R5c)-,
(R7)(R8)N-(С1-4алкандиил)-N(R5c), (R9)(R10)N-(С1-4алкандиил)-N(R5c),
С1-6алкилкарбониламино, С1-6алкилоксикарбониламино,
(R5a)(R5b)N-С1-4алкилом; арилом, Het1 или Het2;
R20 означает водород, гидроксигруппу, С1-4алкил, арилС1-4алкил, С1-4алкилокси, оксогруппу, спиро(С2-4алкилендиокси), спиро(диС1-4алкилокси), -NR5gR5h;
каждый R5g или R5h независимо означает водород, С1-4алкил или арилС1-4алкил, или R5g и R5h вместе с атомом азота, к которому они присоединены, образуют пирролидинильный, пиперидинильный, гомопиперидинильный, морфолинильный, пиперазинильный или 4-С1-4алкилпиперазинильный радикал, где каждый из указанных радикалов: пирролидинил, пиперидинил, гомопиперидинил, морфолинил, пиперазинил или 4-С1-4алкилпиперазинил может быть необязательно замещен гидрокси или оксогруппой; или где один или несколько атомов водорода в (с-2), (с-3), (с-4) или (с-5) могут быть заменены радикалом, выбранным из галогена и С1-6алкила;
(27-а) -a1=a2-a3=a4– означает двухвалентный радикал формулы (с-1), где один, два или три (или один или два; или один) атома водорода в (с-1) заменены радикалом С1-6алкил, С1-4алкокси,
галогеном, гидрокси, (R5a)(R5b)N-(С1-4алкандиил)окси,
трифторметилом, циано, радикалом -COOR4, (R5a)(R5b)N-карбонилом,
С1-6алкилкарбонилом, нитро, гидроксиС1-6алкилом,
С1-4алкоксиС1-6алкилом, (R4OOC)-С1-6алкилом, радикалом -N(R5a)(R5b),
радикалом (а-1), радикалом (а-7), морфолинилом,
(R5a)(R5b)N-(С1-4алкандиил)амино,
(R5a)(R5b)N-(С1-4алкандиил)-(С1-4алкиламино), С1-6алкилкарбониламино,
С1-6алкилоксикарбониламино, (R5a)(R5b)N-С1-4алкилом; или
где один из атомов водорода в (с-2), (с-3), (с-4) или (с-5) может быть заменен радикалом, выбранным из галогена и С1-6алкила;
(27-b) -a1=a2-a3=a4– означает двухвалентный радикал формулы (с-1),
где один из атомов водорода в (с-1) заменен радикалом С1-4алкил, галогеном, радикалом -COOR4, радикалом -N(R5a)(R5b), (R5a)(R5b)N-(С1-4алкандиил)амино, С1-6алкилоксикарбониламино, радикалом (а-1), где R19 означает водород или С1-4алкил, радикалом (а-7), где R19 означает водород; или -a1=a2-a3=a4– означает двухвалентный радикал формулы (с-2), (с-3), (с-4) или (с-5), который является незамещенным;
(27-с) -a1=a2-a3=a4– означает двухвалентный радикал формулы (с-1), (с-2), (с-3), (с-4) или (с-5), где один, два или три (или один или два; или один) атома водорода в радикале (с-1) могут быть заменены С1-6алкилом, С1-4алкокси, галогеном, гидрокси,
(R5g)(R5h)N-(С1-4алкандиил)-O-, циано, -COOR4,
(R5a)(R5b)N-карбонилом, (R5a)(R5b)N-сульфонилом, формилом,
С1-6алкилкарбонилом, нитро, гидроксиС1-6алкилом,
С1-4алкоксиС1-6алкилом, (R4OOC)-С1-6алкилом, -N(R5a)(R5b), -N(R7)(R8),
N(R9)(R10), радикалом (а-1), радикалом, радикалом (а-7),
морфолинилом, тиоморфолинилом, (R5g)(R5h)N-(С1-4алкандиил)-N(R5c)-,
С1-6алкилкарбониламино, С1-6алкилоксикарбониламино,
трифторацетиламино, (R5a)(R5b)N-С1-4алкилом; где один из атомов водорода в (с-2), (с-3), (с-4) или (с-5) может быть заменен радикалом, выбранным из галогена и
С1-6алкила;
(27-d) -a1=a2-a3=a4– означает двухвалентный радикал формулы (с-1), где один, два или три (или один или два; или один) атома водорода заменены С1-6алкилом, С1-4алкокси, галогеном, гидрокси,
(R5g)(R5h)N-(С1-4алкандиил)-O-, радикалом -COOR4,
(R5a)(R5b)N-сульфонилом, -N(R5a)(R5b), -N(R7)(R8), радикалом (а-1),
радикалом (а-7), морфолинилом, (R5g)(R5h)N-(С1-4алкандиил)-N(R5c)-,
С1-6алкилоксикарбониламино, трифторацетиламино,
(R5a)(R5b)N-С1-4алкилом; или
-a1=a2-a3=a4– означает двухвалентный радикал формулы (с-2), (с-3), (с-4) или (с-5), который является незамещенным;
(27-е) -a1=a2-a3=a4– означает двухвалентный радикал формулы (с-1), где один или два атома водорода заменены С1-6алкилом,
С1-4алкокси, галогеном, гидрокси, (R5g)(R5h)N-(С1-4алкандиил)-O-,
радикалом -COOR4, -N(R5a)(R5b), -N(R7)(R8), радикалом (а-1),
радикалом, радикалом (а-7), морфолинилом,
(R5g)(R5h)N-(С1-4алкандиил)-N(R5c)-, С1-6алкилоксикарбониламино,
трифторацетиламино, или -a1=a2-a3=a4– означает двухвалентный радикал формулы (с-2), (с-3), (с-4) или (с-5), который является незамещенным;
(27-f) -a1=a2-a3=a4– означает двухвалентный радикал формулы (с-1), где один или два атома водорода заменены С1-6алкилом, С1-4алкокси, галогеном, гидрокси, (R5g)(R5h)N-(С1-4алкандиил)-O-, -COOR4, -N(R5a)(R5b), радикалом (а-1), радикалом, радикалом (а-7), морфолинилом, (R5g)(R5h)N-(С1-4алкандиил)-N(R5c)-;
(27-g) -a1=a2-a3=a4– означает двухвалентный радикал формулы (с-1), где один или два атома водорода заменены гидрокси, (R5g)(R5h)N-(С1-4алкандиил)-O-, -N(R5a)(R5b), радикалом (а-1), (R5g)(R5h)N-(С1-4алкандиил)-N(R5c)-;
(27-h) -a1=a2-a3=a4– означает двухвалентный радикал формулы (с-1), где один или два атома водорода заменены гидрокси, (R5g)(R5h)N-(С1-4алкандиил)-O-,
(R5g)(R5h)N-(С1-4алкандиил)-N(R5c);
(27-i) -a1=a2-a3=a4– означает двухвалентный радикал формулы (с-1), где один (или два) атома водорода заменены гидрокси, (R5g)(R5h)N-(С1-4алкандиил)-N(R5c)-.
Другие варианты осуществления настоящего изобретения включают такие соединения формулы (I) или любую подгруппу соединений формулы (I), определенных в настоящем описании, где:
(28) R20 означает водород, гидроксигруппу, С1-4алкил, спиро(С2-4алкилендиокси), спиро(диС1-4алкилокси), -NR5gR5h;
(28-а) R20 означает водород, гидроксигруппу, С1-4алкил, спиро(С2-4алкилендиокси), -NR5gR5h;
(28-а) R20 означает водород, гидроксигруппу, С1-4алкил или
(28-а) R20 означает водород.
Другие варианты осуществления настоящего изобретения включают такие соединения формулы (I) или любую подгруппу соединений формулы (I), определенных в настоящем описании, где:
(29) R5g или R5h независимо означают водород, С1-4алкил или арилС1-4алкил, или
R5g и R5h вместе с атомом азота, к которому они присоединены, образуют пирролидинильный, пиперидинильный, гомопиперидинильный, морфолинильный, пиперазинильный или 4-С1-4алкилпиперазинильный радикал, где каждый из указанных радикалов: пирролидинил, пиперидинил, гомопиперидинил, морфолинил, пиперазинил или 4-С1-4алкилпиперазинил – может быть необязательно замещен гидроксигруппой или оксогруппой; или
(29-а) R5g или R5h независимо означает водород или С1-4алкил, или R5g и R5h вместе с атомом азота, к которому они присоединены, образуют пирролидинильный, пиперидинильный, гомопиперидинильный, морфолинильный, пиперазинильный или 4-С1-4алкилпиперазинильный радикал;
(29-b) R5g или R5h независимо означает водород или С1-4алкил.
Следует понимать, что подгруппы соединений формулы (I) включают такие группы соединений формулы (I), к которым применимы указанные выше ограничения в комбинации. Если в определении такого ограничения присутствует одна или несколько переменных, то каждая из указанных переменных может иметь любое значение, определенное в ограничениях, касающихся таких переменных. Так, например, если в ограничениях для R2 указывается радикал NR5aR5b, то радикалы R5a и R5b могут иметь любые из тех значений, которые перечислены в ограничениях, касающихся R5a и R5b.
Конкретная группа соединений формулы (I) представляет такую группу, в которой R1, R3 и n приведены в определении соединений формулы (I); и R2 соответствует ограничению (4); и/или -a1=a2-a3=a4– определяется в ограничении (27).
В одном варианте осуществления n равно 1 и группа R3 на фенильном кольце в соединениях формулы (I) или любая подгруппа, определенная в настоящем описании, находится в параположении напротив атома азота в конденсированном придиновом фрагменте, как показано ниже, и такие соединения представлены формулой (I-а):

Другая подгруппа соединений формулы (I-a) включает такие соединения формулы (I-a), обозначаемые как соединения формулы (I-a-I), где R3 означает нитрогруппу.
Примеры подгрупп соединений включают следующие:
(i) такие соединения формулы (I-a), где R3 означает нитрогруппу и R1 означает цианогруппу, галоген, аминокарбонил, N-гидроксиметанимидамидил, Het1; кроме того, в число указанных соединений входят такие соединения формулы (I-a), в которых R3 означает нитрогруппу, Х означает О или Х означает NR2, где R2 означает радикал (b-3), где R14 означает водород и R15 означает цианогруппу, NR16aR16b, пирролидинил, пиперидинил, 4-(C1-4алкил)пиперазинил, морфолинил, гидроксикарбонил; или Х означает NR2, где R2 означает радикал (b-4), где R14 означает водород или C1-4алкил; и R1 соответствует ограничениям, определенным в (2-d)-(2-j);
(ii) такие соединения формулы (I-a), где R3 означает нитрогруппу и R1 означает цианогруппу, и Х означает О. Подходящие соединения включают такие соединения формулы (I-a), где R1 означает цианогруппу и R3 означает нитрогруппу, цианогруппу, галоген, C1-4алкилокси, гидроксикарбонил, аминокарбонил, моно- или ди(C1-4алкил)метанимидамидил, N-гидроксиметанимидамидил или Het1;
(iii) такие соединения формулы (I-a), где
R1 означает цианогруппу;
Х означает О; или Х означает NR2, где R2 означает радикал формулы (b-3), где p равно 1, q равно 1, R14 означает водород и R15 означает цианогруппу, NR16aR16b, пирролидинил, пиперидинил, 4-(C1-4алкил)пиперазинил, морфолинил, арил, имидазолил, пиридил, гидроксикарбонил; N(R16aR16b)карбонил, C1-4алкилоксикарбонил или 4-(C1-4алкил)пиперазинил-1-илкарбонил; или Х означает NR2, где R2 означает радикал формулы (b-4), где m равно 1, 2 или 3, R14 означает водород или C1-4алкил; и R3 соответствует ограничениям, определенным в (5-d), (5-e), (5-f) или (5-g).
Другая подгруппа соединений включает такие соединения формулы (I), как соль, где указанную соль выбирают из трифторацетата, фумарата, хлорацетата, метансульфоната, оксалата, ацетата и цитрата.
Предпочтительные соединения включают любое соединение из числа перечисленных в таблицах 1 и 2, более конкретно, соединения под номерами: 1, 3-7, 11, 12, 15-18, 23-26, 28, 30, 32, 33, 35, 36.
Соединения, представляющие особый интерес, включают:
8-бром-5-метил-1-(4-нитрофенил)-2-оксо-2,5-дигидро-1Н-пиридо[3,2-b]индол-3-карбонитрил;
8-морфолин-5-метил-1-(4-нитрофенил)-2-оксо-2,5-дигидро-1Н-пиридо[3,2-b]индол-3-карбонитрил;
8-гидрокси-5-метил-1-(4-нитрофенил)-2-оксо-2,5-дигидро-1Н-пиридо[3,2-b]индол-3-карбонитрил;
8-гидрокси-1-(4-нитрофенил)-2-оксо-2,5-дигидро-1Н-пиридо[3,2-b]индол-3-карбонитрил;
8-метокси-5-метил-1-(4-нитрофенил)-2-оксо-2,5-дигидро-1Н-пиридо[3,2-b]индол-3-карбонитрил;
8-[(3-диметиламинопропил)метиламино]-5-метил-1-(4-нитрофенил)-2-оксо-2,5-дигидро-1Н-пиридо[3,2-b]индол-3-карбонитрил;
8-[(3-диметиламинопропил)окси]-5-метил-1-(4-нитрофенил)-2-оксо-2,5-дигидро-1Н-пиридо[3,2-b]индол-3-карбонитрил.
Другие соединения, представляющие интерес, включают указанные выше соединения и их соли, а также их возможные стереоизомеры; или указанные выше представляющие особый интерес соединения и их N-оксиды, соли и возможные стереоизомеры.
Соединения по настоящему изобретению ингибируют обратную транскриптазу ВИЧ и могут также ингибировать обратные транскриптазы, обладающие сходством с обратной транскриптазой ВИЧ. Такое сходство может быть определено с использованием программ, известных в данной области, включающих BLAST. В одном варианте осуществления сходство на аминокислотном уровне составляет по меньшей мере 25%, в более интересном варианте по меньшей мере 50%, в еще более интересном варианте по меньшей мере 75%. В другом варианте сходство на аминокислотном уровне, при оценке способности к связыванию для соединения по настоящему изобретению, составляет по меньшей мере 75%, в частности, по меньшей мере 90%, в сравнении с обратной транскриптазой ВИЧ. Соединения по настоящему изобретению могут быть тестированы с использованием других лентивирусов, кроме указанных ВИЧ-1, таких как, например, SIV и ВИЧ-2.
Соединения по настоящему изобретению могут обладать хорошей селективностью, по данным измерения соотношения между параметрами EC50 и CC50, как это описано ниже в примере проведения анализа антивирусного действия. Соединения по настоящему изобретению обладают также хорошей специфичностью. Отмечаются выраженные отличия между активностью на лентивирусах в сравнении с другими ретровирусами, такими как MLV, а также в сравнении с активностью против невирусных патогенов.
Стандарт «чувствительности» или, альтернативно, «резистентности» фермента обратной транскриптазы ВИЧ к лекарственному средству, устанавливается по коммерчески доступным ингибиторам обратной транскриптазы ВИЧ. Существующие коммерчески доступные ингибиторы обратной транскриптазы ВИЧ, включающие эфавиренц, невирапин и делавирдин, с течением времени могут терять эффективность против популяции ВИЧ вируса у пациента. Причиной этого может быть тот факт, что под давлением присутствия конкретного ингибитора обратной транскриптазы ВИЧ, существующая популяция ВИЧ вируса и в первую очередь фермент обратная транскриптаза ВИЧ дикого типа мутирует с образованием различных мутантов, которые гораздо менее чувствительны к указанному ингибитору обратной транскриптазы ВИЧ. Если происходит такое явление, то говорят о резистентных мутантах. Если указанные мутанты не только резистентны к данному конкретному ингибитору обратной транскриптазы ВИЧ, но также ко многим другим доступным ингибиторам обратной транскриптазы ВИЧ, то говорят о множественной лекарственной устойчивости обратной транскриптазы ВИЧ. Одним из способов описания резистентности мутанта к конкретному ингибитору обратной транскриптазы ВИЧ является определение соотношения между параметром EC50 данного ингибитора обратной транскриптазы ВИЧ против обратной транскриптазы мутантного ВИЧ к EC50 указанного ингибитора обратной транскриптазы ВИЧ против обратной транскриптазы ВИЧ дикого типа. Указанное соотношение также носит название кратности изменения резистентности (FR). Параметр EC50 означает количество соединения, необходимое для защиты 50% клеток от цитопатогенного эффекта вируса.
Многие мутанты, встречающиеся в клинических условиях, обладают кратностью резистентности, равной 100 или более, против коммерчески доступных ингибиторов обратной транскриптазы ВИЧ, таких как невирапин, эфавиренц, делавирдин. Клинически релевантные мутанты обратной транскриптазы ВИЧ могут быть охарактеризованы мутацией в кодоне в положении 100, 103 и 181. Как использовано в настоящем описании, положение кодона означает положение аминокислоты в белковой последовательности. Мутации в положении 100, 103 и 181 относятся к ненуклеозидным ингибиторам RT (D’Aquila et al. Topics in HIV medicine, 2002, 10, 11-15). Примеры таких клинически релевантных мутантных форм обратной транскриптазы ВИЧ приведены в таблице 1.
Таблица 1 Перечень мутаций, присутствующих в обратной транскриптазе используемых штаммов ВИЧ |
| А |
Y181C |
| В |
K103N |
| С |
L100I; K103N |
| D |
L100I; K103N |
| Е |
F227C |
| F |
Y188L |
| G |
V106A, F227L |
| H |
K103N, Y181C |
| I |
K101E, K103N |
| J |
I31L, L100I, K103N, E138G, Y181C, L214F |
| К |
K2OR, E28K, M41L, E44A, D67N, L74I, K103N, V118I, D123N, S162C, Y181C, G196K, Q207E, L210W, L214F, T215Y, K219N, P225H, D250E, P272A, R277K, I293V, P297K, K31 1R, R358K, T376A, E399D, T400L |
Группа соединений, представляющих интерес, включает такие соединения формулы (I), которые характеризуются кратностью резистентности от 0,01 до 100 против по меньшей мере одной мутантной формы обратной транскриптазы ВИЧ, в приемлемом варианте кратность резистентности варьирует от 0,1 до 100, в более подходящем варианте варьирует от 0,1 до 50 и в еще более подходящем варианте варьирует от 0,1 до 30. Особый интерес представляют соединения формулы (I), демонстрирующие кратность резистентности против по меньшей мере одной мутантной формы обратной транскриптазы ВИЧ, варьирующую от 0,1 до 20, и еще более интересными являются такие соединения формулы (I), которые демонстрируют кратность резистентности против по меньшей мере одной мутантной формы обратной транскриптазы ВИЧ в диапазоне от 0,1 до 10.
Группа соединений, представляющих интерес, включают такие соединения формулы (I), которые обладают кратностью резистентности, определяемой по приведенным в настоящем описании способам, в диапазоне от 0,01 до 100 против тех форм ВИЧ, которые имеют по меньшей мере одну мутацию в аминокислотной последовательности обратной транскриптазы ВИЧ в сравнении с последовательностью дикого типа (номера хранения в genbank, например, M38432, K03455, gi 327742), в положении, выбранном из 100, 103 и 181; в частности, по меньшей мере две мутации, выбранные из мутаций в положении 100, 103 и 181. Еще больший интерес представляют такие соединения в пределах указанной группы представляющих интерес соединений, которые имеют кратность резистентности в диапазоне от 0,1 до 100, в частности, в диапазоне от 0,1 до 50 и в еще более подходящем варианте в диапазоне от 0,1 до 30. Наибольший интерес представляют такие соединения в пределах указанной интересной группы соединений, которые имеют кратность резистентности в диапазоне от 0,1 до 20 и в особенности в диапазоне от 0,1 до 10.
Один вариант относится к соединениям по настоящему изобретению, которые демонстрирует кратность резистентности в указанных выше диапазонах по меньшей мере против одной клинически релевантной мутантной формы обратной транксриптазы ВИЧ.
Конкретная подгруппа соединений включает такие соединения формулы (I), которые имеют показатель IC50, равный 1 мкМ или ниже, в подходящем варианте IC50 составляет 100 нМ или ниже, в сравнении с вирусом дикого типа, по данным скрининга in vitro по приведенным в настоящем описании методикам.
Способность соединений по настоящему изобретению ингибировать ВИЧ-1, ВИЧ-2, SIV и ВИЧ вирусы по обратной транскриптазе (RT), содержащей мутацию, определяемую давлением известных в настоящее время ингибиторов RT, в комбинации с отсутствием перекрестной резистентности с известными в настоящее время ингибиторами RT, указывает на то, что соединения по настоящему изобретению связываются с ферментом RT иным образом, чем известные NNRTI и NRTI. Другими индикаторами, указывающими на отличия в способе действия, является рибонуклеотидная чувствительность соединений по настоящему изобретению, которая проявляется в их повышенной активности при введении в присутствии АТФ, а также наличие конкуренции с нуклеозидами. В этой связи соединения по настоящему изобретению могут быть классифицированы как конкурирующие с нуклеозидами ингибиторы обратной транскриптазы.
Соединения по настоящему изобретению демонстрируют активность против ретровирусов, в частности, против вируса иммунодефицита человека (ВИЧ), который представляет собой этиологический агент синдрома приобретенного иммунодефицита (СПИД) у человека. ВИЧ вирус предпочтительно инфицирует клетки, содержащие рецептор CD4, такие как Т4 клетки человека, и разрушает их или изменяет их нормальное функционирование, в частности, координацию иммунной системы. В результате инфицированный пациент характеризуется сверхсниженным числом Т4 клеток, которые, кроме того, ведут себя аномально. В этой связи иммунологическая система защиты становится не способной бороться с инфекцией и/или новообразованиями, и ВИЧ-инфицированный субъект обычно умирает от оппортунистических инфекций, таких как пневмония, или в результате рака. Другие болезни, ассоциированные с ВИЧ инфекцией, включают тромбоцитопению, саркому Капоши и инфицирование центральной нервной системы, характеризующееся прогрессирующей демиелинизацией, которая приводит к деменции и таким симптомам, как прогрессирующая дизартрия, атаксия и дезориентация. ВИЧ инфекция также ассоциируется с периферической невропатией, прогрессирующей генерализованной лимфаденопатией (PGL) и ВИЧ-ассоциированным комплексом (ARC). ВИЧ вирус инфицирует также клетки, содержащие CD8-рецептор. Другие клетки-мишени для ВИЧ вируса включают микроглию, дендритные клетки, B клетки и макрофаги.
В связи с указанными полезными фармакологическими свойствами соединения по настоящему изобретению или любая их подгруппа могут применяться в качестве лекарственного средства против указанных выше заболеваний или для их предупреждения или могут применяться в способе лечения указанных заболеваний или при их профилактике. Такое применение в качестве лекарственного средства или в рамках способа лечения включает системное введение ВИЧ-инфицированным субъектам, в частности людям, количества соединения формулы (I) или соединения из подгруппы соединений формулы (I), эффективного для профилактики или лечения состояний, ассоциированных с ВИЧ инфекцией.
В другом аспекте настоящее изобретение относится к применению соединения формулы (I) или любой подгруппы таких соединений в производстве лекарственного средства, пригодного для профилактики, лечения или борьбы с инфекцией или заболеваниями, ассоциированными с ВИЧ инфекцией.
В другом аспекте настоящее изобретение относится к применению соединения формулы (I) или любой подгруппы таких соединений в производстве лекарственного средства, пригодного для ингибирования репликации ВИЧ вируса, в частности, ВИЧ вируса, содержащего мутантную форму обратной транскриптазы ВИЧ, более конкретно, содержащего мутантную форму обратной транскриптазы ВИЧ с множественной лекарственной резистентностью.
В еще одном аспекте настоящее изобретение относится к применению соединения формулы (I) или любой подгруппы таких соединений в производстве лекарственного средства, пригодного для профилактики, лечения или борьбы с заболеваниями, ассоциированными с ВИЧ инфекцией, где обратная транскриптаза ВИЧ вируса представляет собой мутант, в частности, мутантную форму обратной транскриптазы ВИЧ с множественной лекарственной резистентностью.
Соединения формулы (I) или любая подгруппа таких соединений также могут применяться в способе профилактики, лечения или борьбы с инфекцией или заболеваниями, ассоциированными с ВИЧ инфекцией у млекопитающего, который включает введение указанному млекопитающему эффективного количества соединения формулы (I) или любой подгруппы таких соединений.
В другом аспекте соединения формулы (I) или любая их подгруппа пригодна в способе профилактики, лечения или борьбы с инфекцией или заболеваниями, ассоциированными с инфицированием млекопитающего мутантным ВИЧ вирусом, который включает введение указанному млекопитающему эффективного количества соединения формулы (I) или любой подгруппы таких соединений.
В другом аспекте соединения формулы (I) или любая их подгруппа пригодна в способе профилактики, лечения или борьбы с инфекцией или заболеваниями, ассоциированными с инфицированием млекопитающего ВИЧ вирусом с множественной лекарственной резистентностью, который включает введение указанному млекопитающему эффективного количества соединения формулы (I) или любой подгруппы таких соединений.
В еще одном аспекте соединения формулы (I) или любая их подгруппа пригодна в способе ингибирования репликации ВИЧ вируса, в частности, ВИЧ вируса, содержащего мутантную форму обратной транскриптазы ВИЧ, более конкретно, мутантную форму обратной транскриптазы ВИЧ с множественной лекарственной резистентностью, который включает введение указанному млекопитающему, нуждающемуся в этом, эффективного количества соединения формулы (I) или любой подгруппы таких соединений.
Предпочтительно, млекопитающим, указанным в способах настоящего изобретения, является человек.
Соединения по настоящему изобретению могут также найти применение при ингибировании ex vivo образцов, содержащих ВИЧ или в отношении которых предполагается возможное воздействие ВИЧ. В этой связи соединения по настоящему изобретению могут применяться для ингибирования ВИЧ, присутствующего в образце жидкости организма, которое содержит или в отношении которого подозревается наличие или воздействие ВИЧ.
Конкретные методики проведения реакции, используемой для получения соединений по настоящему изобретению, описаны ниже. В способе получения, описанном ниже, реакционные продукты могут быть выделены из среды и, при необходимости, далее очищены в соответствии с методами, известными в данной области, например, с использованием экстракции, кристаллизации, растирания и хроматографии.
На приведенных ниже схемах реакции W означает удаляемую группу, такую как галоген, например, хлор или бром, тозилат, мезилат и т.п.
Соединения формулы (I), где Х означает группу NH и где соединения могут быть представлены формулой (I-b), могут быть получены по методу циклизации, приведенному на указанной ниже схеме реакции.

Синтез промежуточных соединений (I-b) начинают, исходя из С1-6алкилкарбонил-3-гидроксииндола (II-1), который конденсируют с замещенным анилином с образованием 3-(фениламино)индолов (II-2). Указанная реакция конденсации может быть проведена при повышенных температурах и в кислых условиях, например, при использовании кислотного растворителя, такого как уксусная кислота, или при использовании растворителя, такого как толуол, бензол, спирт и т.п., с использованием подходящей кислоты, такой как толуолсульфоновая кислота. Впоследствии промежуточное соединение (II-2) подвергают деацилированию основанием, таким как, например, триэтиламин, гидроксид натрия или калия, ацетат натрия, ацетат калия или карбонат калия и т.п., в соответствующем растворителе, таком как, например, метанол или этанол, предпочтительно при повышенной температуре, с получением промежуточных соединений (II-3). Формилирование промежуточных соединений (II-3), например, с использованием реакции Вилсмейера, приводит к получению индольных альдегидов (II-4). Конденсация промежуточных соединений (II-4) со сложным эфиром уксусной кислоты приводит к получению промежуточного соединения (II-5). В одном варианте осуществления указанная реакция конденсации может быть проведена при использовании сложного эфира замещенной уксусной кислоты формулы R1-CH2COOR4a, где R4a означает С1-6алкил или арилС1-6алкил, с использованием основания, такого как, например, триэтиламин, ацетат натрия, ацетат калия, пиперидин и т.п., в большом множестве растворителей. Альтернативно, может быть использована реакция Виттига или реакции Виттига-Хорнера. В первом случае используют реагент типа реагента Виттига, такой как трифенилфосфонийилид. Преобразование по реакции Виттига проводят в соответствующем инертном растворителе, таком как диэтиловый эфир, исходя из трифенилфосфина и сложного эфира галогенуксусной кислоты формулы R1-CH(галоген)-COOR4a. Реакцию Виттига-Хорнера проводят с использованием фосфоната, такого как, например, реагент формулы ди(С1-6алкилокси)-P(=O)=CH(R1)-COOR4a в присутствии основания, предпочтительно сильного основания, в апротонном органическом растворителе.
Последующая циклизация промежуточных соединений (II-5) при повышенной температуре и в растворителе типа этиленгликоля, диоксана, N,N-диметилформамида, диметилсульфоксида, глима, диглима и т п. приводит к получению соединений (I-b).
Порядок стадий реакции в способе, показанном на приведенной выше реакционной схеме, может быть разным. Например, формилирование может проводиться перед деацилированием.
Указанный путь синтеза особенно полезен в случае получения соединений формулы (I-b), где R3 означает нитрогруппу или цианогруппу. В одном варианте осуществления R3 находится в параположении относительно атома азота и реакцию начинают, исходя из паранитроанилина. Такой способ может также использоваться для получения промежуточных соединений, где R1 означает аминокарбонил, С1-4алкилоксикарбонил, моно- или ди(С1-4алкил)аминокарбонил, ариламинокарбонил, N-(арил)-N-(С1-4алкил)аминокарбонил, Het1 или Het2. Промежуточные соединения формулы (II), получаемые по указанному пути реакции, могут быть превращены в аналогичные промежуточные соединения формулы (II), где R1 имеет другие значения, определяемые реакциями трансформации функциональных групп, такими как гидролиз цианогруппы до карбоксила, превращение карбоксила в амид и т.п.
Кроме того, указанный путь синтеза особенно полезен при получении промежуточных соединений формулы (II), где R3 означает нитрогруппу или цианогруппу. В одном варианте R3 находится в параположении относительно атома азота и реакцию начинают, исходя из паранитроанилина.
Соединения формулы (I-с), которые представляют собой соединения формулы (I-b), где R1 означает цианогруппу, могут быть альтернативно получены по методике, согласно описанной ниже схеме реакции.

Промежуточное соединение (II-2), которое получают по методике приведенной выше схемы реакции, подвергают взаимодействию с ацетилхлоридом или с его функциональным производным, при повышенной температуре, с получением промежуточного соединения формулы (III-a). Данное промежуточное соединение формулы (III-a) подвергают реакции снятия защиты группы с использованием подходящего основании, такого как триэтиламин, ацетат натрия, ацетат калия, гидроксид натрия, гидроксид калия, карбонат калия и т.п., в растворителе типа метанола или этанола. Полученное таким образом промежуточное соединение (III-b) превращают в соответствующее цианопроизводное (III-b) с использованием цианида калия или цианида тетрабутиламмония. Цианопроизводное (III-b) подвергают циклизации в рамках двухстадийной методики, включающей сначала реакцию формилирования Вилсмейера с использованием POCl3 в N,N-диметилформамиде и последующую циклизацию с образованием соединения (I-c).
Соединения формулы (I-d), которые представляют собой соединения формулы (I-b), где R1 означает водород, могут быть получены по приведенной ниже схеме реакции.

Промежуточное соединение (II-2), которое получают по описанной выше методике, подвергают взаимодействию с уксусным ангидридом в присутствии катализатора, такого как, например, пиридин или диметиламинопиридин или т.п., при повышенной температуре, с образованием промежуточного соединения формулы (IV-a). Полученное таким образом промежуточное соединение формулы (IV-a) подвергают формилированию по реакции Вилсмайера с использованием POCl3 в N,N-диметилформамиде с образованием промежуточного соединения (IV-b), которое, в свою очередь, далее подвергают циклизации в соединение (II-b), например, в водно-кислотной среде, например, в водной HCl.
Соединения формулы (I-b), (I-с) или (I-d) могут быть преобразованы в другие соединения формулы (I) с использованием известных реакций преобразования функциональной группы. Например, в том случае, когда R3 означает Br, Br может быть преобразован в гетероциклическое кольцо с использованием гетероциклических боратов и палладия. Или в том случае, когда R3 означает С1-6алкилоксикарбонил, данный радикал может быть преобразован в эквивалентную карбоновую кислоту или амид с использованием реакции гидролиза или, соответственно, в сложный эфир или карбоновую кислоту, с использованием реакции с амидом. Кроме того, R3, представляющий цианогруппу, может быть преобразован в гетероцикл, в такой как тетразолил, оксадиазолил, тиазолил и т.п., с использованием известных методов циклизации.
Соединения формулы (I), где X означает группу NR2 и где указанные соединения могут быть представлены формулой (I-e), могут быть получены путем N-алкилирования промежуточных соединений формулы (I-b), (I-с) или (I-d) соответствующим N-алкилирующим агентом, при этом исходным соединением для реакции, показанной ниже, является (I-b).

В одном варианте осуществления N-алкилирующий реагент является реагентом, представленным формулой R2-W (V-a), где W означает удаляемую группу. Подходящие удаляемые группы включают галоген, в частности, хлор, бром и йод, или любые другие удаляемые группы, такие как, например, сульфонаты, в частности, тозилаты, мезилаты и т.п. Данный тип реакции N-алкилирования может быть проведен в соответствующем растворителе, в присутствии подходящего основания, такого как гидрид щелочного металла, например, гидрид натрия или калия, или гидроксид, карбонат или гидрокарбонат щелочного или щелочноземельного металла, например, карбонат натрия или калия, гидроксид натрия или калия, гидроксид кальция, гидрокарбонат натрия или калия и т.п.
Некоторые соединения формулы (I-a) могут быть также, где это приемлемо, получены путем реакции восстановительного аминирования, которая включает взаимодействие промежуточных соединений (II-a) с промежуточным соединением R2-a=O (V-b), где R2-a имеет такие же значения, как и R2, при условии, что он содержит атом углерода, который может образовывать функциональную альдегидную или кетоновую группу. Данный тип реакции может быть осуществлен в присутствии водорода и соответствующего катализатора, в частности, катализатора на основе благородного металла, такого как Pd или Pt, обычно в подходящем растворителе, таком как диэтиловый эфир или спирт.
Некоторые варианты групп R2 могут быть также введены с использованием групп
R2, полученных из эпоксида. Данный тип реакции особенно хорошо подходит для введения R2 групп, где R2 означает радикал (b-3), (b-4) или (b-5).

Например, соединения формулы (I-е), где R2 означает радикал (b-3), где p равно 1 и где группа -NRaRb означает некоторые радикалы из числа R15, такие как -NR16aR16b, пирролидинил, пиперидинил, гомопиперидинил, пиперазинил, 4-С1-4алкилпиперазинил, морфолинил, тиоморфолинил, 1-оксотиоморфолинил, 1,1-диоксотиоморфолинил, пирролил, оксазолил, тиазолил, имидазолил, изоксазолил, изотиазолил, пиразолил, оксадиазолил, тиадиазолил, триазолил, тетразолил, радикал (a-1), (a-2), (a-3) или (a-5), где любой из указанных выше гетероциклов, такой как пирролидинил, пиперидинил, гомопиперидинил и т.п., замещены фрагментом
CqH2q через атом азота, и где указанные соединения могут быть представлены формулой (I-e-1), могут быть получены посредством взаимодействия соединения (I-b) с эпоксидом формулы (V-c). Полученные промежуточные соединения формулы (VI-a) могут быть превращены в соединения формулы (I-e-1), где -NRaRb определен выше, реакцией преобразования (C-N) соответствующего спирта (C-OH) в амин. Спиртовая группа может быть преобразована в соответствующую удаляемую группу и впоследствии подвергнута взаимодействию с амином H-NRaRb. В альтернативном варианте спиртовая группа может быть преобразована в аминную связь по реакции типа Митцонобу с использованием такого реактива, как азодикарбоксилат/трифенилфосфин, например, с использованием диизопропилазодикарбоксилата (DIAD) с последующим взаимодействием с соответствующим амином. Полученные таким образом соединения формулы (I-e-1) могут быть подвергнуты далее O-алкилированию или О-ацилированию с образованием аналогов соединений формулы (I-e-1), где R14 отличен от водорода.
В рамках аналогичного способа промежуточные соединения (II) подвергают взаимодействию с эпоксидом (V-d) с использованием реакции конверсии гидроксила в аминогруппу, такой как описанная выше реакция Митцонобу, с образованием эпоксида (VI-b). Последний реагент подвергают взаимодействию с амином с получением соединений формулы (I-e-2) согласно приведенной ниже схеме реакции. Соединения формулы (I-e-2) могут быть также подвергнуты последующему О-алкилированию или О-ацилированию, как описано выше.

По альтернативной методике соединение формулы (I-b) может быть подвергнуто взаимодействию с эпоксидом формулы

с получением непосредственно соединения формулы (I), где R2 означает радикал (b-3) и где R15 означает заместитель аминогруппы -NRaRb.
Промежуточные соединения формулы (VI-b) могут быть также подвергнуты взаимодействию с алканоламином с получением соединений формулы (I-e-3), которые подвергают циклизации с образованием соединений формулы (I-e-4), представляющих собой соединения формулы (I), где R2 означает алкил, замещенный радикалом формулы (a-4). Циклизация может быть проведена в присутствии кислоты, такой как хлористоводородная кислота, с удалением воды или в присутствии подходящего дегидратирующего агента, например, сульфониламида, такого как арилсульфонилимидазол. Указанные реакции проиллюстрированы на приведенной ниже схеме реакции, где Ra имеет значения R13a, при условии, что он отличен от водорода. Ra может также представлять N-защитную группу, которую впоследствии удаляют, открывая доступ к получению соединений, где R13а означает водород.

Соединения, где R2 означает группу (b-4), могут быть получены из этиленоксида с последующим контролируемым добавлением дополнительных этиленоксидных фрагментов. Полученные соединения могут быть далее подвергнуты алкилированию с образованием соединений формулы (I), включающих (b-4) группу, где радикал R14 отличен от водорода, или могут быть преобразованы в соответствующие амины (b-5) с использованием реакции конверсии соответствующего спирта в амин.
Соединения формулы (I), где фенильная группа замещена -COOR4 группой, могут быть получены по соответствующим реакциям N-арилирования.
Соединения, где R2 означает группу (b-1), могут быть получены, исходя из производного пирролидина, пиперидина или гомопиперидина, содержащего подходящую удаляемую группу. Аналогично соединения, где R2 означает группу (b-2), могут быть получены из морфолина, содержащего подходящую удаляемую группу.
Соединения, в которых R2 означает С1-10алкил, С2-10алкенил, С3-7циклоалкил, замещенный радикалом, выбранным из -NR5a-C(=NR5b)-NR5cR5d, -O-NR5a-C(=NR5b)-NR5cR5d, -сульфонил-R6, -NR7R8, -NR9R10, радикала (а-1), (а-2) или (а-3), как определено выше, могут быть получены, исходя из С1-10алкила, С2-10алкенила, С3-7циклоалкила, несущих две удаляемые группы, которые подвергают контролируемому взаимодействию с соединением (I-b), так чтобы только одна из удаляемых групп была замещена. Впоследствии полученное таким образом промежуточное соединение подвергают взаимодействию с соответствующим амином или аминоксидом, приводящему к замещению второй удаляемой группы. Например, соединение формулы (I-b) может быть подвергнуто взаимодействию с С1-10алкилендигалогенидом с последующим взаимодействием с амином H-NR7R8, H-NR9R10 или другим амином. Могут быть также использованы другие аналогичные варианты данного способа, в которых несколько функциональных групп защищены, с удалением впоследствии защитной группы.
Соединения формулы (I), где X означает O и где R2 означает цианогруппу, представленную формулой (I-f), могут быть получены в соответствии со схемой реакции, приведенной ниже.

3-гидроксибензофуран (VII-a) конденсируют с соответствующим производным анилина с образованием 3-фениламинобензофурана (VII-b) [см. V.A. Azimov, S.Yu. Ryabova, L.M. Alekseeva and V.G. Granik, Chemistry of heterocyclic compounds 2000, 36, 1272-1275]. Преобразование (VII-a) в (VII-b) может быть проведено в соответствующем растворителе, таком как углеводород, например, толуол, и в конкретном случае в присутствии каталитического количества кислоты, такой как, например, п-толуолсульфоновая кислота. 3-Фениламинобензофуран (VII-b) формилируют, например, с использованием оксихлорида фосфора в ДМФА, с последующим гидролизом. Формилированное производное (VII-с) может быть превращено в соединение (VII-d) с использованием производного цианоацетата, в конкретном случае в соответствующем растворителе, таком как спирт, например, изопропанол, в присутствии основания, предпочтительно основания третичного амина, такого как триэтиламин. Промежуточное соединение (VII-d) впоследствии подвергают циклизации при повышенной температуре с получением соединения (I-f). Подходящим растворителем для данной реакции циклизации является гликоль, такой как, например, этиленгликоль.
Данный тип синтеза может быть также использован для получения аналогов соединений (I-е), где R1 отличен от цианогруппы, в частности, соединений (I-e), в которых R1 означает C1-4алкилоксикарбонил, посредством взаимодействия (VI-c) со сложным эфиром ди(C1-4алкил)малоновой кислоты.
Соединения формулы (I), где X означает S, могут быть получены из серных аналогов промежуточного соединения (VII-a), например, 3-гидроксибензотиена, с последующим проведением описанных выше методик, с получением серных аналогов соединений (I-f). Последние соединения могут быть преобразованы в соответствующие сульфоксиды (X означает SO) или сульфоны (X означает SO2) с использованием известных в данной области методов окисления, например, путем обработки подходящим пероксидом.
Соединения формулы (I), где -a1=a2-a3=a4– означает радикал (с-1), который замещен аминогруппами, и в том случае, когда указанные соединения представлены формулой (I-h), могут быть получены в соответствии с приведенной ниже схемой реакции.

Исходное промежуточное соединение (VIII-a) может быть получено с помощью описанных выше методик, в случае получения соединений (I-b), исходя из промежуточных соединений, где -a1=a2-a3=a4– (c-1) представляет собой незамещенный радикал CH=CH-CH=CH, с проведением впоследствии реакции N-алкилирования для введения заместителя R2. Промежуточные соединения (VIII-a) галогенируют с использованием галогенирующего агента, такого как N-галогенсукцинимид (NHS), например, N-бромсукцинимид, до образования соединения (I-j).
Полученное соединение (I-g) может быть преобразовано в аналоги, где радикал (c-1) замещен группой -NRcRd, где -NRcRd означает амино-заместитель в радикале -a1=a2-a3=a4– (c-1), в соответствующей реакции замещения, приводящей к замене атома галогена требуемой аминогруппой. В предпочтительном варианте может быть использован подходящий катализатор, такой как бис(трифенилфосфино)палладиевый комплекс, например, 2,2′-бис(дифенилфосфино)-1,1′-бинафтилпалладиевый комплекс. Данную реакцию в конкретном случае проводят в подходящем растворителе, таком как 1,4-диоксан, в присутствии основания, такого как трет-бутоксид калия или карбонат цезия. Незамещенная аминогруппа (-NH2) может быть получена с использованием бензофенонимина с последующим удалением бензофеноновой группы.
Соединения формулы (I), где -a1=a2-a3=a4– означает радикал (с-1), который замещен алкоксикарбонильными группами и где указанные соединения представлены формулой (I-i), могут быть получены в ходе взаимодействия соединения формулы (I-g) с газообразным СО в присутствии подходящего катализатора, например [1,1′-бис(дифенилфосфино)ферроцен]дихлорпалладия(II) в подходящем растворителе, например, диметилформамиде, в присутствии C1-4алкилового спирта, например, метанола или этанола. Данная реакция может быть проведена под давлением, например, в реакторе Парра при повышенной температуре.

При использовании указанной методики для случая соединений, где R3 означает нитрогруппу, указанную нитрогруппу восстанавливают до соответствующей аминогруппы во время реакции присоединения СО. Далее она может быть превращена в нитрогруппу при использовании подходящего окислителя, такого как перборат, например, моногидрат пербората натрия.

Соединения формулы (I) могут быть преобразованы в другие соединения формулы (I), включающие различные замещения, с использованием известных методов преобразования. Например, соединения формулы (I), где R3 означает нитрогруппу, могут быть восстановлены до R3, представляющей собой аминогруппу, и далее они могут быть подвергнуты дальнейшим преобразованиям. Другие примеры преобразования приведены в экспериментальной части данного описания.
Соединения формулы (I), в которых R1 означает цианогруппу, могут быть гидролизованы до соответствующих соединений (I), где R1 означает гидроксикарбонил, которые, в свою очередь, могут быть этерифицированы с получением соединений формулы (I), где R1 означает C1-4алкоксикарбонил. Указанные соединения или алкоксикарбонильные производные могут быть превращены в соответствующие амиды с использованием известных методов преобразования карбоксила в амид или алкилового эфира в амид.
Соединения формулы (I), содержащие -COOR4 группу, где R4 означает водород, могут быть преобразованы в соответствующие сложные эфиры с использованием известных методов этерификации. И наоборот, сложные эфиры могут быть преобразованы в свободную кислоту в ходе соответствующих методов гидролиза, например, путем гидролиза в кислотных или щелочных средах.
Соединения формулы (I), содержащие тиоморфолинильную группу, могут быть окислены до соответствующих соединений, содержащих 1-оксотиоморфолинил или 1,1-диоксотиоморфолинил, с помощью подходящего органического или неорганического пероксида. Подходящие неорганические пероксиды включают, например, пероксид водорода, пероксиды щелочного металла или щелочноземельного металла, например, пероксид натрия, пероксид калия; соответствующие органические пероксиды могут включать пероксикислоты, такие как, например, бензолкарбопероксокислота или галоген-замещенная бензолкарбопероксокислота, например, 3-хлорбензолкарбопероксокислота, пероксоалкановые кислоты, например, пероксоуксусная кислота, алкилгидропероксиды, например, трет-бутилгидропероксид. 1-оксотиоморфолинильные аналоги предпочтительно получают с использованием методов контролируемого окисления.
Соединения формулы (I) могут быть также превращены в соответствующие N-оксидные формы в рамках известных методов преобразования трехзамещенного азота в его N-оксидную форму. Указанная реакция N-окисления может быть в основном проведена при взаимодействии исходного соединения формулы (I) с подходящим органическим или неорганическим пероксидом. Подходящие неорганические пероксиды включают, например, пероксид водорода, пероксиды щелочного металла или щелочноземельного металла, например, пероксид натрия, пероксид калия; соответствующие органические пероксиды могут включать пероксикислоты, такие как, например, бензолпероксокислота или галоген-замещенная бензолкарбопероксокислота, например, 3-хлорбензолкарбопероксокислота, пероксоалкановые кислоты, например, пероксоуксусную кислоту, алкилгидропероксиды, например, трет-бутилгидропероксид. Подходящие растворители включают, например, воду, низшие алканолы, например этанол и т.п., углеводороды, например, толуол, кетоны, например, 2-бутанон, галогенсодержащие углеводороды, например, дихлорметан, и смеси таких растворителей.
Основной азот, встречающийся в соединениях по настоящему изобретению, может быть кватернизован с помощью любого известного в данной области агента, который включает, например, галогениды низшего алкила, диалкилсульфаты, длинноцепочечные галогениды и аралкилгалогениды, в соответствии с известными в данной области процедурами.
Соединения по настоящему изобретению могут использоваться для животных, предпочтительно млекопитающих и, в частности, для людей, в качестве фармацевтических средств per se, в смесях друг с другом или в форме фармацевтических препаратов.
Соответственно, настоящее изобретение относится к фармацевтическим композициям, содержащим в качестве активных ингредиентов эффективную дозу по меньшей мере одного из соединений формулы (I) вместе с обычными фармацевтически безвредными эксципиентами и вспомогательными компонентами. Фармацевтические композиции могут содержать от 0,1 до 90 мас.% соединения формулы (I). Фармацевтические композиции могут быть получены по известному специалистам в данной области способу. Для этой цели соединение формулы (I), вместе с одним или несколькими твердыми или жидкими фармацевтическими эксципиентами и/или вспомогательными компонентами и, при желании, в комбинации с другими фармацевтически активными соединениями, объединяют с получением подходящей для введения формы или дозированной формы, которую впоследствии используют в качестве фармацевтического продукта в медицине или ветеринарии.
Фармацевтические композиции, которые содержат соединение согласно настоящему изобретению, могут вводиться перорально, парентерально, например, внутривенно, ректально, путем ингаляции или местным способом, и предпочтительный способ введения зависит от индивидуального случая, например, определяется течением конкретного заболевания, подлежащего лечению. В целом предпочтительно пероральное введение.
Специалист в данной области может на основе имеющихся сведений выбрать вспомогательные компоненты, которые подходят для получения желаемой фармацевтической композиции. Кроме растворителей могут также использоваться гелеобразующие агенты, основы для суппозиториев, вспомогательные компоненты для формирования таблеток и другие носители для активных соединений, антиоксиданты, средства, способствующие диспергированию, эмульгаторы, пеногасители, коррегенты вкусовых качеств, консерванты, солюбилизаторы, средства, позволяющие достичь депо-эффекта, буферирующие вещества или красители.
Кроме того, может использоваться комбинация антиретровирусного соединения и соединения согласно настоящему изобретению. Например, для предупреждения, борьбы или лечения ВИЧ инфекций и заболеваний, ассоциированных с ВИЧ инфекцией, таких как синдром приобретенного иммунодефицита (СПИД) или СПИД-ассоциированный комплекс (ARC), соединения по настоящему изобретению могут вводиться в комбинации, например, с ингибиторами связывания, ингибиторами слияния, ингибиторами связывания со-рецептора, ингибиторами RT, нуклеозидными RTI, нуклеотидными RTI, NNRTI, ингибиторами РНК-азы Н, ингибиторами ТАТ, ингибиторами интегразы, ингибиторами протеазы, ингибиторами гликозилирования и ингибиторами проникновения в клетку.
Любая из указанных комбинаций может обеспечить синергический эффект, благодаря которому инфекционность вируса и ассоциированные с ним симптомы могут быть предупреждены, по существу снижены или полностью устранены.
Так, в еще одном аспекте настоящее изобретение также относится к комбинациям, содержащим:
(a) cоединение по настоящему изобретению, в частности, соединение формулы (I), определенное в настоящем описании, или соединение формулы (I) из любой указанной в описании подгруппы; его N-оксид, соль, стереоизомерную форму, пролекарство, сложный эфир или метаболит
и
(b) другое антиретровирусное соединение, в частности, другой ингибитор ВИЧ.
Настоящее изобретение также относится к комбинациям, содержащим:
(a) cоединение по настоящему изобретению, в частности, соединение формулы (I), определенное в настоящем описании, или соединение формулы (I) из любой указанной в описании подгруппы; его N-оксид, соль, стереоизомерную форму, пролекарство, сложный эфир или метаболит
и
(b) любой агент, выбранный из ингибиторов связывания, таких как, например, сульфат декстрана, сурамин, полианионы, растворимые CD4, PRO-542, BMS-806; ингибиторов слияния, таких как, например T20, T1249, RPR 103611, YK-FH312, IC 9564, 5-спираль, D-пептид ADS-J1; ингибиторов связывания со-рецептора, таких как AMD 3100, AMD-3465, AMD7049, AMD-3451 (бицикламы), TAK 779, T-22, ALX40-4C; SHC-C (SCH351125), SHC-D, PRO-140, PRP103611; ингибиторов RT, таких как, например, фоскарнет и пролекарства; нуклеозидных RTI, таких как, например, AZT, 3TC, DDC, DDI, D4T, абакавир, FTC, DAPD (амдоксовир), dOTC (BCH-10652), фозивудин, DPC 817, нуклеотидных RTI, таких как, например, PMEA, PMPA (тенофовир); NNRTI, таких как, например, невирапин, делавирдин, эфавиренц, 8 и 9-Cl TIBO (тивирапин), ловирид, TMC-125, дапивирин, MKC-442, UC 781, UC 782, каправирин, QM96521, GW420867X, DPC 961, DPC963, DPC082, DPC083, каланолид А, SJ-3366, TSAO, 4 -дезаминированный TSAO, MV150, MV026048; PNU-142721; ингибиторов РНК-азы Н, таких как, например, SP1093V, PD126338; ингибиторов TAT, таких как, например, RO-5-3335, K12, K37; ингибиторов интегразы, таких как, например, L 708906, L 731988, S-1360; ингибиторов протеазы, таких как, например, ампренавир и фосампренавир, ритонавир, нелфинавир, саквинавир, индинавир, лопинавир, палинавир, BMS 186316, атазанавир, DPC 681, DPC 684, типранавир, AG1776, мозенавир, DMP-323, GS3333, KNI-413, KNI-272, L754394, L756425, LG-71350, PD161374, PD173606, PD177298, PD178390, PD178392, PNU 140135, TMC-114, маслиновая кислота, U-140690; ингибиторов гликозилирования, таких как, например, кастаноспермин, дезоксинойиримицин; ингибиторов проникновения в клетку CGP64222; включенных в число агентов, принадлежащих к группе (b).
В одном варианте осуществления предлагаются комбинации, содержащие ингредиенты (a) и (b), определенные выше, где соединение по настоящему изобретению представляет собой соединение (I-a), его N-оксид, соль, стереоизомерную форму, пролекарство, сложный эфир или метаболит.
В другом варианте осуществления предлагаются комбинации, содержащие ингредиенты (a) и (b), определенные выше, где соединение по настоящему изобретению выбирают из группы, состоящей из:
8-бром-5-метил-1-(4-нитрофенил)-2-оксо-2,5-дигидро-1Н-пиридо[3,2-b]индол-3-карбонитрила,
8-морфолин-5-метил-1-(4-нитрофенил)-2-оксо-2,5-дигидро-1Н-пиридо[3,2-b]индол-3-карбонитрила,
8-гидрокси-5-метил-1-(4-нитрофенил)-2-оксо-2,5-дигидро-1Н-пиридо[3,2-b]индол-3-карбонитрила,
8-гидрокси-1-(4-нитрофенил)-2-оксо-2,5-дигидро-1Н-пиридо[3,2-b]индол-3-карбонитрила,
8-метокси-5-метил-1-(4-нитрофенил)-2-оксо-2,5-дигидро-1Н-пиридо[3,2-b]индол-3-карбонитрила,
8-[(3-диметиламинопропил)метиламино]-5-метил-1-(4-нитрофенил)-2-оксо-2,5-дигидро-1Н-пиридо[3,2-b]индол-3-карбонитрила,
8-[(3-диметиламинопропил)окси]-5-метил-1-(4-нитрофенил)-2-оксо-2,5-дигидро-1Н-пиридо[3,2-b]индол-3-карбонитрила,
и их N-оксидов, солей и возможных стереоизомеров, и данная группа далее рассматривается как «группа соединений (I-j)».
Вариантом осуществления настоящего изобретения являются комбинации, включающие (а) одно или несколько соединений формулы (I) или соединения из любых подгрупп соединений формулы (I), определенных в данном описании, в частности, подгрупп соединений формулы (I-a) или группы соединений формулы (I-j), включая их N-оксиды, соли, стереоизомерные формы, пролекарства, сложные эфиры или метаболиты; и (b) один или несколько ингибиторов ВИЧ, выбранных из:
(i) одного или нескольких ингибиторов слияния, таких как, например, T20, T1249, RPR 103611, YK-FH312, IC 9564, 5-helix, D-пептид ADS-J1; инфувиртид (ENF), GSK-873 140, PRO-542, SCH-417 690, TNX-355, маравирок (UK-427 857); предпочтительно одного или нескольких ингибиторов слияния, таких как, например, энфувиртид (ENF), GSK-873 140, PRO-542, SCH-417 690, TNX-355, маравирок (UK-427 857);
(ii) одного или нескольких нуклеозидных RTI, таких как, например, AZT, 3TC, залцитабин (ddC), ddI, d4T, абакавир (ABC), FTC, DAPD (амдоксовир), dOTC (BCH-10652), фозивудин, D-D4FC (DPC 817 или РеверсетТМ), аловудин (MIV 310 или FLT), элвуцитабин (ACH-126 443); предпочтительно одного или нескольких нуклеозидных RTI, таких как, например, AZT, 3TC, залцитабин (ddC), ddI, d4T, абакавир (ABC), FTC, DAPD (амдоксовир), D-D4FC (DPC 817 или РеверсетТМ), аловудин (MIV 310 или FLT), элвуцитабин (ACH-126, 443);
(iii) нуклеотидных RTI, таких как, например, PMEA, PMPA (TDF тенофовир) или тенофовира дизопроксилфумарат; предпочтительно тенофовира или тенофовира дизопроксилфумарата;
(iv) одного или нескольких NNRTI, таких как, например, невирапин, делавирдин, эфавиренц, 8- и 9-Cl TIBO (тивирапин), ловирид, TMC125, 4-[[4-[[4-(2-цианоэтенил)-2,6-дифенил]амино]-2-пиримидинил]амино]бензонитрил (TMC278 или R278474), дапивирин (R147681 или TMC120), MKC-442, UC 781, UC 782, каправирин, QM96521, GW420867X, DPC961, DPC963, DPC082, DPC083 (или BMS-561390), каланолид А, SJ-3366, TSAO, 4 -дезаминированный TSAO, MV150, MV026048, PNU-14272; или предпочтительно одного или нескольких NNRTI, таких как, например, невирапин, делавирдин, эфавиренц, TMC125, TMC278, TMC120, каправирин, DPC083, каланолид А;
(v) одного или нескольких ингибиторов протеазы, таких как, например, ампренавир и фосампренавир, лопинавир, ритонавир (а также комбинации ритонавира и лопинавира, такое как KaлетрaTM), нелфинавир, саквинавир, индинавир, палинавир, BMS 186316, атазанавир, DPC681, DPC684, типранавир, AG1776, мозенавир, DMP-323, GS3333, KNI-413, KNI-272, L754394, L756425, LG-71350, PD161374, PD173606, PD177298, PD178390, PD178392, PNU 140135, TMC-114, маслиновая кислота, U-140690; в частности, одного или нескольких ингибиторов протеазы, таких как, например, ампренавир и фосампренавир, лопинавир, ритонавир (а также комбинации ритонавира и лопинавира), нелфинавир, саквинавир, индинавир, атазанавир, типранавир, TMC-114.
В еще одном аспекте настоящее изобретение относится к комбинациям, включающим по меньшей мере одно соединение формулы (I) или соединения из любых подгрупп соединений формулы (I), определенных в данном описании, в частности, из подгруппы соединений формулы (I-a) или группы соединений формулы (I-j), включая их N-оксиды, соли, стереоизомерные формы, пролекарства, сложные эфиры и метаболиты, и по меньшей мере два других антиретровирусных агента.
Одним вариантом осуществления настоящего изобретения являются комбинации, приведенные выше, где указанные два других антиретровирусных агента представляют собой:
(i) два нуклеозидных ингибитора транскриптазы (NRTI);
(ii) нуклеозидный ингибитор (NRTI) и нуклеотидный ингибитор обратной транскриптазы (NtRTI);
(iii) NRTI и NNRTI;
(iv) NRTI и ингибитор протеазы (PI);
(v) два NRTI и PI;
(vi) NRTI и ингибитор слияния.
NRTI, NtRTI, NNRTI, PI и ингибиторы слияния в комбинациях, определенных выше, могут быть выбраны из групп NRTI, NtRTI, NNRTI, PI и ингибиторов слияния согласно пунктам (i), (ii), (iii), (iv) и (v), указанным выше, применительно к вариантам, в которых комбинации включают ингредиенты (a) и (b).
Особый интерес представляют такие комбинации из числа приведенных выше, которые включают соединения по настоящему изобретению формулы (I) или (I-a) или которые относятся к группе комбинаций (I-j), согласно приведенному выше описанию, как показано ниже:
(1) ингибитор слияния, выбранный из энфувиртида (ENF), GSK-873 140, PRO-542, SCH-417 690, TNX-355, маравирока (UK-427 857);
(2) NNRTI, выбранный из невирапина, делавирдина, эфавиренца, TMC125, TMC278, TMC120, каправирина, DPC083, каланолида А;
(3) NRTI, выбранный из AZT, 3TC, залцитабина (ddC), ddI, d4T, абакавира (ABC), FTC, DAPD (амдоксовира), D-D4FC (DPC817 или РеверсетТМ), аловудина (MIV-310 или FLT), элвуцитабина (ACH-126, 443);
(4) NtRTI, выбранный из тенофовира или тенофовира дизопроксилфумарата;
(5) PI, выбранный из апренавира и фосампренавира, лопинавира, ритонавира (а также комбинации ритонавира и лопинавира), нелфинавира, саквинавира, индинавира, атазанавира, типранавира, TMC-114;
(6) NRTI по пункту (3) и PI по пункту (5);
(7) два разных NRTI по пункту (3);
(8) NRTI по пункту (3) и NNRTI по пункту (2);
(9) два разных NRTI по пункту (3) и NNRTI по пункту (2);
(10) два разных NRTI по пункту (3) и PI по пункту (5);
(11) NRTI по пункту (3) и NtRTI по пункту (4) или
(12) NRTI и ингибитор слияния по пункту (1).
Один тип осуществления настоящего изобретения включает вариант, в котором используется комбинация, приведенная в настоящем описании, которая не содержит 3ТС.
Настоящее изобретение также относится к продукту, содержащему (а) соединение по настоящему изобретению, в частности, соединение формулы (I), определенное в настоящем описании, или соединение формулы (I) из любых подгрупп, определенных в настоящем описании, его N-оксиды, соли, стереоизомерные формы, пролекарства, сложные эфиры и метаболиты, или любое соединение из подгруппы, определенной в настоящем описании, и (b) другое антиретровирусное соединение в виде комбинированного препарата для одновременного, раздельного или последовательного применения при лечении ретровирусных инфекций, таких как ВИЧ-инфекция, в частности, при лечении инфекций ретровирусами с множественной лекарственной устойчивостью.
Любая из указанных выше комбинаций может обеспечивать синергический эффект, благодаря которому инфекционность вирусов и ассоциированные с ней симптомы могут быть предупреждены, существенно снижены или полностью устранены.
Любые указанные выше комбинации или продукты могут использоваться для предупреждения, борьбы или лечения ВИЧ инфекции и ассоциированных с ВИЧ инфекцией заболеваний, таких как синдром приобретенного иммунодефицита (СПИД) или СПИД-ассоциированный комплекс (ARC). В этой связи, в другом аспекте настоящее изобретение относится к способам лечения млекопитающих, в частности, людей, инфицированных ВИЧ или имеющих риск инфицирования ВИЧ, где данный способ включает введение указанным млекопитающим и, в частности, людям комбинации или продукта, определенного в настоящем описании.
Соединения по настоящему изобретению могут также вводиться в комбинации с иммуномодуляторами (например, такими как бропиримин, антитела против человеческого альфа-интерферона, IL-2, метионин-энкефалин, интерферон-альфа и налтрексон), с антибиотиками (например, с пентамидина изотиоратом), с цитокинами (например, с Th2), с модуляторами цитокинов, хемокинами или модуляторами хемокинов, рецепторами хемокинов (например, CCR5, CXCR4), с модуляторами рецепторов хемокинов или гормонами (например, с гормоном роста) для ослабления, борьбы или устранения ВИЧ инфекции и ее симптомов. Такая комбинированная терапия с применением различных композиций может проводиться при введении препаратов одновременно, последовательно или независимо друг от друга. Альтернативно, указанная композиция может вводиться в виде одного препарата, и в этом случае активные ингредиенты высвобождаются из композиции одновременно или по отдельности.
Соединения согласно настоящему изобретению могут также вводиться в комбинации с модуляторами метаболизма с последующим введением лекарственного средства индивидууму. Указанные модуляторы включают соединения, которые мешают метаболизации у цитохромов, таких как цитохром P450. Известно, что существует несколько изоферментных форм цитохрома P450, один из которых представляет собой цитохром P450 3А4. Ритонавир представляет собой пример модулятора метаболизма, действующего через цитохром P450. Такая комбинированная терапия с использованием разных препаратов может осуществляться при одновременном, последовательном и при независимом введении препаратов. Альтернативно, такая комбинация может вводиться в виде одной композиции, и в этом случае активные ингредиенты высвобождаются из композиции одновременно или по отдельности. Такой модулятор может вводиться в той же или другой пропорции относительно соединения по настоящему изобретению. Предпочтительно, массовое соотношение такого модулятора к соединению по настоящему изобретению (модулятор: соединение по настоящему изобретению) составляет 1:1 или менее, более предпочтительно данное соотношение составляет 1:3 или менее, и в приемлемом варианте указанное соотношение составляет 1:10 или менее, и в еще более подходящем варианте это соотношение составляет 1:30 или менее.
При получении формы для перорального введения соединение по настоящему изобретению смешивают с подходящими добавками, такими как эксципиенты, стабилизаторы или инертные разбавители, и объединяют с помощью обычных способов в приемлемые для введения формы, такие как таблетки, таблетки, покрытые оболочкой, твердые капсулы, водные, спиртовые или масляные растворы. Примеры подходящих инертных носителей включают аравийскую камедь, магнезию, карбонат магния, фосфат калия, лактозу, глюкозу, крахмал, в частности кукурузный крахмал. В таком случае препарат может вводиться как в сухом виде, так и в виде увлажненных гранул. Подходящие масляные эксципиенты или растворители включают растительные или животные масла, такие как подсолнечное масло или масло печени трески. Подходящие растворители для водных или спиртовых растворов включают, воду, этанол, сахарные растворы или их смеси. Могут использоваться также полиэтиленгликоли и полипропиленгликоли в качестве дополнительных вспомогательных веществ для получения других форм для введения.
Для подкожного или внутривенного введения активные соединения в смеси, при желании, с традиционными добавками, такими как солюбилизаторы, эмульгаторы или другие вспомогательные компоненты, вводят в состав раствора, суспензии или эмульсии. Соединения формулы (I) могут быть также подвергнуты лиофилизации, и полученные лиофилизаты могут использоваться при получении препаратов для инъекции или инфузии. Подходящие растворители включают, например, воду, физиологический раствор или спирты, например, этанол, пропанол, глицерин, а также сахарные растворы, такие как растворы глюкозы или маннита, или альтернативно, смеси различных указанных растворителей.
Фармацевтические композиции, подходящие для введения в виде аэрозолей или спреев, включают, например, растворы, суспензии или эмульсии соединений формулы (I) или их физиологически приемлемых солей в фармацевтически приемлемом растворителе, таком как этанол или вода, или в смеси таких растворителей. При желании композиция может также дополнительно содержать другие фармацевтические вспомогательные компоненты, такие как поверхностно-активные вещества, эмульгаторы, стабилизаторы, а также пропеллент. Такой препарат обычно содержит активное соединение в концентрации от примерно 0,1 до примерно 50 мас.%, в частности от примерно 0,1 до примерно 3 мас.%.
Для повышения растворимости и/или стабильности соединений формулы (I) в фармацевтических композициях могут быть использованы -, – или -циклодекстрины или их производные. Кроме того, сорастворители, такие как спирты, могут улучшать растворимость и/или стабильность соединений формулы (I) в фармацевтических композициях. В случае препаратов водных композиций аддитивные соли рассматриваемых соединений являются более удобными из-за их более высокой водорастворимости.
Подходящие циклодекстрины включают -, – или -циклодекстрины (CD) или их простые эфиры и смесь таких эфиров, где одна или несколько гидроксильных групп в единицах ангидроглюкозы в циклодекстрине замещены C1-6алкилом, в частности, метилом, этилом или изопропилом, например, произвольно метилированный -CD; гидроксиC1-6алкилом, в частности, гидроксиэтилом, гидроксипропилом или гидроксибутилом; карбоксиC1-6алкилом, в частности, карбоксиметилом или карбоксиэтилом; C1-6алкилкарбонилом, в частности, ацетилом; C1-6алкилоксикарбонилC1-6алкилом или карбоксиC1-6алкилоксиC1-6алкилом, в частности, карбоксиметоксипропилом или карбоксиэтоксипропилом; C1-6алкилкарбонилоксиC1-6алкилом, в частности, 2-ацетилоксипропилом. В особенности следует отметить в качестве комплексообразующих средств и/или солюбилизаторов -CD, произвольно метилированный -CD, 2,6-диметил- -CD, 2-гидроксиэтил- -CD, 2-гидроксиэтил- -CD, 2-гидроксипропил- -CD и (2-карбоксиметокси)пропил- -CD и в особенности 2-гидроксипропил- -CD (2-HP- -CD).
Термин «смешанный простой эфир» означает производные декстрина, в которых по меньшей мере две гидроксильные группы циклодекстрина этерифицированы разными группами, такими как, например, гидроксипропил и гидроксиэтил.
Представляющий интерес способ получения комбинаций соединений по настоящему изобретению в комбинации с циклодекстрином или его производным описан в EP-A-721331. Хотя описанные в указанной ссылке композиции включают противогрибковые активные ингредиенты, они также представляют интерес применительно к получению композиций соединений по настоящему изобретению. Композиции, описанные в указанной ссылке, особенно подходят для перорального введения и включают антигрибковые средства в качестве активного ингредиента, достаточное количество циклодекстрина или его производного в качестве солюбилизатора, водную кислотную среду в качестве жидкого носителя и спиртовой сорастворитель, который в значительной мере упрощает изготовление композиции. Указанным композициям можно также придать более приятный вкус за счет введения фармацевтически приемлемых подсластителей и/или вкусовых веществ.
Другие удобные способы повышения растворимости соединений по настоящему изобретению в фармацевтических композициях описаны в WO 94/05263, WO 98/42318, EP-A-499 299 и WO 97/44014, которые все включены в настоящее описание посредством ссылки.
Более конкретно, соединения по настоящему изобретению могут быть изготовлены в виде фармацевтической композиции, включающей терапевтически эффективное количество частиц, состоящих из твердой дисперсии, которая включает (a) соединение формулы (I) и (b) один или несколько фармацевтически приемлемых водорастворимых полимеров.
Термин «твердая дисперсия» означает систему в твердом состоянии (в отличие от жидкого или газообразного состояния), которая включает по меньшей мере два компонента, где один компонент диспергирован более или менее равномерно в другом, одном или нескольких компонентах. В том случае, когда дисперсия компонентов такова, что система физически и химически однородна, или гомогенна, или состоит из одной фазы по критериям термодинамики, то такую твердую дисперсию называют «твердый раствор». Твердые растворы представляют собой предпочтительные физические системы, поскольку включенные в них компоненты обычно характеризуются легкой биодоступностью для организмов, в которые их вводят.
Термин «твердая дисперсия» также включает дисперсии, которые менее гомогенны, чем твердые растворы. Такие дисперсии не являются химически и физически однородными и включают более чем одну фазу.
Водорастворимый полимер в частицах представляет собой полимер, который обладает кажущейся вязкостью от 1 до 100 мПа при растворении в 2% водном растворе при 20°С.
Предпочтительные водорастворимые полимеры включают гидроксипропилметилцеллюлозу или HPMC. HPMC, характеризующиеся степенью замещения метоксигрупп от примерно 0,8 до примерно 2,5 и молярного замещения гидроксипропила от примерно 0,05 до примерно 3,0, в основном являются водорастворимыми. Степень замещения метоксигрупп относится к среднему числу групп метилового простого эфира, присутствующих на единицу ангидроглюкозы в молекуле целлюлозы. Молярное замещение гидроксипропила относится к среднему числу молей пропиленоксида, прореагировавших с каждой единицей ангидроглюкозы в молекуле целлюлозы.
Описанные выше частицы могут быть получены путем получения вначале твердой дисперсии компонентов с последующим необязательным размалыванием или растиранием данной дисперсии. Существуют различные способы получения твердых дисперсий, которые включают экструзию материала в расплавленном состоянии, распылительную сушку и растворение-выпаривание, и предпочтительной является экструзия в расплавленном состоянии.
Может быть также удобно получать композиции соединений по настоящему изобретению в виде наночастиц, которые содержат адсорбированный на своей поверхности модификатор поверхностных свойств в количестве, достаточном для поддержания эффективного среднего размера частиц менее чем 1000 нм. Используемые модификаторы поверхностных свойств, как полагают, включают такие модификаторы, которые физически могут прилипать к поверхности антиретровирусного агента, но химически не связываться с антиретровирусным агентом.
Подходящие модификаторы поверхностных свойств могут быть предпочтительно выбраны из известных органических и неорганических фармацевтических эксципиентов. Такие эксципиенты включают различные полимеры, низкомолекулярные олигомеры, природные продукты и поверхностно-активные вещества. Предпочтительные модификаторы поверхностных свойств включают неионные и анионные поверхностно-активные вещества.
Еще один представляющий интерес способ получения соединений по настоящему изобретению в виде композиций относится к фармацевтической композиции, в составе которой имеется соединение по настоящему изобретению, включенное в гидрофильные полимеры, где данную смесь наносят в виде покрывающей пленки на множество маленьких шариков, что приводит к образованию композиции с хорошими показателями биодоступности, которую можно легко изготовить и которая позволяет получать фармацевтически дозированные формы для перорального введения.
Указанные шарики включают (а) центральное, круглое или сферическое ядро, (b) покрывающую пленку из гидрофильного полимера и антиретровирусного агента и (c) слой герметизирующего покрывающего полимера.
Материалы, пригодные для использования в качестве ядра в шариках, включают самые разные составляющие, при условии, что такие материалы являются фармацевтически приемлемыми и имеют подходящие показатели размеров и прочности. Примеры таких материалов включают полимеры, неорганические вещества, органические вещества, сахариды и их производные.
Способ введения зависит от состояния субъекта, сопутствующих заболеваний и других факторов.
Другой аспект настоящего изобретения относится к набору или контейнеру, содержащему соединение формулы (I) в количестве, эффективном для использования в качестве стандарта или реагента в тесте или методе количественного анализа для определения способности потенциального фармацевтического средства ингибировать обратную транскриптазу ВИЧ, рост ВИЧ или для оценки обоих процессов. Данный аспект настоящего изобретения может найти применение в программах фармацевтического поиска.
Соединения по настоящему изобретению могут использоваться в тестах, используемых при мониторинге фенотипической резистентности, таких как известные рекомбинантные тесты, в рамках методов клинической оценки развивающейся резистентности при таких заболеваниях, как ВИЧ. Особенно удобной системой мониторинга резистентности является рекомбинантный тест, известный как антивирограм (Antivirogram®). Тест антивирограм является высокоавтоматизированным, высокопроизводительным рекомбинантным тестом второго поколения, который позволяет измерять восприимчивость, особенно вирусную восприимчивость, к соединениям по настоящему изобретению (Hertogs K et al. Antimicrob Agents Chemother, 1998; 42(2):269-276, данная работа включена в настоящее описание посредством ссылки).
Соединения по настоящему изобретению могут включать химически реактивные фрагменты, способные к образованию ковалентных связей в определенных сайтах, так что указанные соединения имеют повышенные удерживание в тканях и период их полувыведения. Термин «химически реактивная группа», как использовано в настоящем описании, относится к химическим группам, способным к образованию ковалентных связей. Реактивные группы будут в основном стабильны в водной среде и представляют собой обычно карбоксильную, фосфорильную или ацильную группу, в составе сложного эфира или смешанного ангидрида, имидата или малеимидата, будучи способными к образованию ковалентной связи с функциональными фрагментами, такими как аминогруппа, гидроксигруппа или тиольная группа, в сайте-мишени, например, на компонентах крови, таких как альбумин. Соединения по настоящему изобретению могут быть связаны с малеимидом или его производными с образованием конъюгатов.
В еще одном аспекте настоящее изобретение относится к способу лечения пациентов, инфицированных вирусом ВИЧ или имеющих риск быть инфицированными вирусом ВИЧ, где данный способ включает введение эффективного количества комбинации соединения формулы (I) или соединения из подгруппы соединений формулы (I), приведенных в настоящем описании, и другого ВИЧ-ингибитора, который может быть любым из числа ингибиторов ВИЧ, приведенных в настоящем описании.
Доза соединений по настоящему изобретению или их физиологически приемлемых одной или нескольких солей, подлежащая введению, зависит от индивидуального случая и обычно может быть адаптирована к условиям конкретного случая для достижения оптимального эффекта. Таким образом, указанная доза будет зависеть, несомненно, от частоты введения и от эффективности и продолжительности действия соединений, используемых в каждом конкретном случае для лечения или профилактики, а также от природы и тяжести инфекции и симптомов инфекции, от пола, возраста, массы, наличия сопутствующих заболеваний и индивидуального ответа человека или животного и от того, какого рода проводится терапия: острая или профилактическая. Обычно ежедневная доза соединения формулы (I), в случае введения пациенту весом примерно 75 кг, составляет от 1 мг до 3 г, предпочтительно от 3 мг до 1 г, более предпочтительно от 5 мг до 0,5 г. Доза может вводиться в виде одной дозы, или она может быть разделена на несколько, например, на две, три или четыре отдельных доз.
ПРИМЕРЫ
Приведенные ниже примеры иллюстрируют получение соединений формулы (I) и их промежуточных соединений, а также их фармакологические свойства. Данные примеры не следует трактовать в плане ограничения объема настоящего изобретения.
Пример 1

Синтез промежуточных соединений g начинают исходя из коммерчески доступного 1-ацетил-3-гидроксииндола a. Конденсация промежуточного соединения с 4-нитроанилином при температуре кипения с обратным холодильником в уксусной кислоте дает 3-((4-нитрофенил)амино)индол (b) (Valezheva et al.; Chem. Heterocycl. Compd. (Engl. Transl.); 14; 1978; 757, 759, 760; Khim. Geterotsikl. Soedin.; 14; 1978; 939). Деацилирование промежуточного соединения b триэтиламином при температуре кипения с обратным холодильником в метаноле и формилирование промежуточного соединения c c использованием оксихлорида фосфора в диметилформамиде приводит к получению промежуточного соединения d (Ryabova S. Yu.; Tugusheva, N.Z.; Alekseeva, L.M.; Granik, V.G.; Pharm Chem. J. (Engl. Transl.); EN; 30; 7; 1996; 472-477; Khim. Farm. Zh.; RU; 30; 7; 1996; 42-46). Конденсация Кневенагеля промежуточного соединения d с этилцианоацетатом в присутствии каталитического количества триэтиламина с последующей внутримолекулярной циклизацией промежуточного соединения е в условиях кипячения с обратным холодильником в 1,2-этандиоле дает промежуточное соединение f (1-(4-нитрофенил)-2-оксо-2,5-дигидро-1Н-пиридо[3,2-b]индол-3-карбонитрил) (Ryabova S. Yu.; Alekseeva, L.M.; Granik, В.G.; Chem. Heterocycl. Compd. (Engl. Transl.); 36; 3; 2000; 301-306; Khim. Geterotsikl. Soedin.; RU; 3; 2000; 1996; 362-367). N-метилирование с использованием метилиодида приводит к получению промежуточного соединения g (5-метил-1-(4-нитрофенил)-2-оксо-2,5-дигидро-1Н-пиридо[3,2-b]индол-3-карбонитрила).
Более конкретно, методика включает следующее: к смеси N-ацетил-3-гилроксииндола (а) (0,144 моль, 20 г) в уксусной кислоте (150 мл) добавляют 4-нитроанилин (1,5 экв., 0,171 моль, 23,65 г). Смесь кипятят с обратным холодильником в течение 5 часов и охлаждают до комнатной температуры. Отфильтровывают оранжевый осадок и промывают его изопропанолом и диизопропиловым эфиром, получая промежуточное соединение b.
Промежуточное соединение b (0,070 моль, 20,71 г) смешивают с метанолом (200 мл) и триэтиламином (3 экв., 0,210 моль, 217 г) и смесь нагревают при температуре кипения с обратным холодильником в течение 4 часов, затем охлаждают до комнатной температуры и выпаривают при пониженном давлении до сухого порошка. Неочищенный продукт с (чистота (ЖХ)>95%) используют как таковой на следующей стадии.
К охлажденному на льду N,N-диметилформамиду (далее называемому сокращенно ДМФА) (50 мл) добавляют по каплям оксихлорид фосфора (3 экв., 0,210 моль, 32,22 г), поддерживая внутреннюю температуру смеси <10°C, и охлажденную смесь перемешивают в течение 1 часа. Затем добавляют по каплям раствор с в ДМФА (100 мл), поддерживая температуру реакционной смеси <10°C в течение всего процесса добавления. Удаляют ледяную баню и реакционную смесь перемешивают при комнатной температуре в течение 1,5 часа. Далее смесь выливают в ледяную воду (1 литр), нагревают в течение ночи при температуре 60°C и затем охлаждают до комнатной температуры. Осадок отделяют фильтрованием, промывают последовательно водой, изопропанолом и диизопропиловым эфиром с получением промежуточного соединения d (15,93 г, выход=81%, чистота (ЖХ) >95%).
К смеси соединения d (0,056 моль, 15,93 г) в изопропаноле (150 мл) добавляют триэтиламин (1 экв., 0,085 моль, 8,59 г) и этилцианоацетат (0,068 моль, 7,69 г). Смесь нагревают при температуре кипения с обратным холодильником в течение 2 часов, охлаждают до комнатной температуры, фильтруют и остаток промывают последовательно изопропанолом и диизопропиловым эфиром с получением промежуточного соединения е.
Перемешиваемую суспензию соединения d (0,043 моль, 16,42 г) в этиленгликоле (200 мл) нагревают при температуре кипения с обратным холодильником в течение 2 часов и охлаждают до комнатной температуры. Осадок отделяют фильтрованием и промывают последовательно изопропанолом и диизопропиловым эфиром. Неочищенное промежуточное соединение f кристаллизуют из смеси ДМФА/вода следующим образом: неочищенный осадок растворяют в теплом ДМФА (250 мл). К теплому раствору добавляют воду (100 мл) и раствор охлаждают до комнатной температуры, при этом промежуточное соединение f выпадает в осадок. Осадок отделяют фильтрованием и промывают последовательно изопропанолом и диизопропиловым эфиром с получением промежуточного соединения f (10,52 г, выход=73%, чистота (ЖХ)>98%). 1Н ЯМР ( , ДМСО-D6): 6,11 (1H, д, J=8 Гц), 6,86 (1H, т, J=8 Гц), 7,38 (1Н, т, J=8 Гц), 7,54 (1H, д, J=8 Гц), 7,91 (2H, д, J=8,6 Гц), 8,55 (2H, д, J=8,6 Гц), 8,70 (1Н, с), 12,00 (1H, ушир.с).
К смеси промежуточного соединения f (6,05 ммоль, 2,0 г) в ДМФА (20 мл) добавляют карбонат калия (2 экв., 12,11 ммоль, 1,674 г) и метилиодид (1,5 экв., 9,08 ммоль, 1,289 г) и смесь нагревают при температуре кипения с обратным холодильником в течение 2 часов. Теплую суспензию разбавляют ДМФА (40 мл). К теплому раствору добавляют по каплям воду (40 мл) и смесь охлаждают до комнатной температуры, давая соединению g кристаллизоваться. Осадок отделяют фильтрованием, промывают последовательно изопропанолом и диизопропиловым эфиром, получая промежуточное соединение g (2,085 г, выход=91%, чистота (ЖХ)>98%). 1H ЯМР ( , ДМСО-D6): 3,93 (3H, с), 6,12 (1Н, д, J=8 Гц), 6,89 (1H, т, J=8 Гц), 7,45 (1Н, т, J=8 Гц), 7,64 (1H, д, J=8 Гц), 7,89 (2H, д, J=8,5 Гц), 8,54 (2H, д, J=8,5 Гц), 8,99 (1H, с).
Пример 2

К смеси промежуточного соединения g (4,00 г, 11,62 ммоль) в ДМФА (150 мл) добавляют N-бромсукцинимид (1,2 экв., 13,94 ммоль, 2,48 г). Смесь перемешивают в течение ночи при комнатной температуре. Далее смесь фильтруют и остаток сушат в течение ночи при температуре 50°С в вакуумной печи с получением соединения 1 (4,35 г, выход=82%, чистота (ЖХ)=92%).
Смесь ацетата палладия(II) (0,2 экв., 0,1336 ммоль, 0,030 г) и рац-2,2′-бис(дифенилфосфино)-1,1′-бинафтила (0,3 экв., 0,213 ммоль, 0,132 г) в сухом 1,4-диоксане (3 мл) перемешивают в атмосфере азота при температуре 100°С в течение 20 минут. Полученную смесь добавляют к перемешиваемой суспензии соединения 1 (0,7089 ммоль, 0,300 г), N-метилпиперазина (1,7 экв., 1,20 моль, 0,121 г) и карбоната цезия (2,3 экв., 1,63 моль, 0,531 г) в сухом 1,4-диоксане (5 мл). Реакционную смесь перемешивают в атмосфере азота при температуре 100°С в течение 4 дней. После охлаждения реакционную смесь фильтруют через целит и целит промывают диметилформамидом (2×100 мл). Фильтрат выпаривают при пониженном давлении до остаточного объема 2 мл. Продукт осаждают добавлением воды (20 мл). Далее продукт кристаллизуют из смеси диметилформамид/метанол с получением соединения 4 (0,038 г, выход=12%, чистота (ЖХ)>95%).
Пример 3

Смесь ацетата палладия(II) (0,189 экв., 0,044 ммоль, 0,010 г) и рац-2,2′-бис(дифенилфосфино)-1,1′-бинафтила (0,3 экв., 0,071 ммоль, 0,044 г) в сухом 1,4-диоксане (3 мл) перемешивают в атмосфере азота при температуре 100°С в течение 20 минут. Указанную смесь добавляют к перемешиваемой суспензии соединения 1 (0,2363 ммоль, 0,100 г), бензофенонимина (1,798 экв., 0,425 ммоль, 0,077 г) и карбоната цезия (1,948 экв., 0,4604м моль, 0,150 г) в сухом 1,4-диоксане (1 мл). Реакционную смесь перемешивают в атмосфере азота при температуре 100°С в течение 84 часов. Вторую смесь ацетата палладия(II) (0,1885 экв., 0,04454 ммоль, 0,010 г) и рац-2,2′-бис(дифенилфосфино)-1,1′-бинафтила (0,3 экв., 0,071 ммоль, 0,044 г) в сухом 1,4-диоксане (1 мл) перемешивают в атмосфере азота при температуре 100°С в течение 20 минут. Указанную смесь добавляют к реакционной смеси и перемешивают при температуре 100°С в атмосфере азота в течение 5 часов. После охлаждения добавляют 2н. хлористоводородную кислоту (1 мл) к реакционной смеси и перемешивают при комнатной температуре в течение 2 часов. Реакционную смесь разбавляют дихлорметаном (50 мл) и промывают насыщенным водным раствором бикарбоната натрия (3×100 мл). Органическую фазу выпаривают при пониженном давлении. Остаток темно-коричневого твердого вещества смешивают с водой (25 мл) и перемешивают при комнатной температуре в течение 1/2 часа. Полученный после фильтрования осадок промывают изопропанолом и диизопропиловым эфиром и очищают препаративной ВЭЖХ с получением соединения 8 (0,112 г, выход=116%, чистота (ЖХ)=88%). Продукт может содержать воду и соли.
Пример 4

Смесь соединения 1 (0,728 ммоль, 0,308 г), триэтиламина (1 экв., 0,728 ммоль, 0,074 г) и [1,1′-бис(дифенилфосфино)ферроцен]дихлорпалладия(II) (0,13 экв., 0,098 ммоль, 0,080 г) в диметилформамиде (75 мл) и метаноле (25 мл) перемешивают в течение ночи в реакторе Парра (Parr) при 120°С и давлении 35 бар монооксида углерода. Затем добавляют вторую порцию [1,1′-бис(дифенилфосфино)ферроцен]дихлорпалладия(II) (0,084 экв., 0,061 ммоль, 0,050 г) к реакционной смеси и все перемешивают в течение ночи при температуре 140°С и давлении 35 бар монооксида углерода. Реакционную смесь выпаривают при пониженном давлении. Черный остаток смешивают с дихлорметаном (100 мл) и фильтруют. Фильтрат выпаривают при пониженном давлении. Остаток темно-коричневого твердого вещества растворяют в диметилформамиде (4 мл). Полученную смесь выливают в воду (40 мл) и перемешивают в течение 1/2 часа при комнатной температуре. Полученный после фильтрования осадок промывают водой, изопропанолом и диизопропиловым эфиром, получая соединение 9 (0,144 г, выход=53%, чистота (ЖХ)=83%).
Смесь соединения 9 (0,1343 ммоль, 0,050 г) в уксусной кислоте (2 мл) добавляют по каплям к смеси моногидрата пербората натрия (16 экв., 2,15 ммоль, 0,214 г) в уксусной кислоте (2 мл) и перемешивают в течение 40 часов при комнатной температуре в реакционном сосуде, снабженном трубкой для хлорида кальция. Фильтрат, полученный после фильтрования, выпаривают при пониженном давлении. Неочищенную желто-коричневую твердую смесь смешивают с водой (10 мл) и перемешивают при комнатной температуре в течение 1/2 часа. Полученный после фильтрования осадок очищают препаративной ВЭЖХ, получая соединение 12 (0,0046 г, выход=9%, чистота (ЖХ)>95%).
Пример 5

К перемешиваемому раствору 8 (0,16 ммоль, 57 мг) в ДМФА (2 мл) добавляют триэтиламин (1,25 экв., 0,2 ммоль, 20 мг) и трифторацетилхлорид (1,25 экв., 0,2 ммоль, 26 мг) и смесь перемешивают при комнатной температуре в течение 2 часов. Растворитель выпаривают при пониженном давлении и реакционный продукт очищают препаративной ВЭЖХ с обращенной фазой, получая соединение 36 (40 мг, выход=55%, чистота (ЖХ)>95%).
Пример 6

Соединение g (0,25 ммоль, 86 мг) добавляют к охлажденной (0°С) хлорсульфоновой кислоте (3 мл) и смесь перемешивают в течение ночи при комнатной температуре. Полученную смесь выливают в энергично перемешиваемую двухфазную систему, включающую насыщенный водный раствор карбоната калия и этилацетат. Органическую фазу отделяют, выпаривают при пониженном давлении и полученный остаток отбирают 3 мл ДМФА. К полученному раствору добавляют диметиламин (2 мл 40% диметиламина в воде) и реакционную смесь перемешивают при комнатной температуре в течение 2 часов. Смесь вливают в воду (50 мл), осадок отфильтровывают, промывают водой, изопропанолом и диизопропиловым эфиром с получением соединения 13 (12 мг, выход=10%, чистота (ЖХ)>95%).
Пример 7

2-амино-5-метоксибензойную кислоту (i) (34,1 ммоль, 5,70 г) смешивают с водой (10 мл) и этанолом (45 мл). Добавляют этилбромацетат (1,2 экв., 41,0 ммоль, 6,80 г) и гидроксид натрия (2,50 экв., 85,2 ммоль, 3,41 г) и полученную реакционную смесь перемешивают при температуре 60°С в течение 1 часа. Добавляют еще гидроксид натрия (0,73 экв., 25,0 ммоль, 1,00 г) и реакционную смесь перемешивают при температуре 60°С в течение 1,5 часа. Реакционную смесь охлаждают до комнатной температуры, давая реакционному продукту кристаллизоваться. Осадок отфильтровывают и промывают изопропанолом и диизопропиловым эфиром, получая соединение j (5,93 г, выход=65%, чистота (ЖХ)=90%).
Уксусный ангидрид (50 экв., 1171,1 ммоль, 119,60 г) добавляют к раствору соединения j (23,4 ммоль, 5,93 г) в этилацетате (60 мл) и смесь нагревают при температуре 70°С в течение 2 часов в атмосфере N2. После охлаждения до комнатной температуры реакционную смесь фильтруют и фильтрат выпаривают при пониженном давлении. Остаток растворяют в хлороформе (200 мл) и промывают водой и насыщенным водным раствором бикарбоната натрия. Органическую фазу сушат (MgSO4) и выпаривают, получая соединение k (2,12 г, выход=37%, чистота (ЖХ)=70%).
Раствор соединения k (9,2 ммоль, 2,12 г) в этаноле (20 мл) нагревают при температуре кипения с обратным холодильником в атмосфере N2. К указанной перемешиваемой смеси добавляют горячий (75°С) раствор сульфита натрия (1,5 экв., 13,75 ммоль, 1,73 г) в воде (30 мл) и смесь нагревают при температуре кипения с обратным холодильником в течение 30 минут. После охлаждения до комнатной температуры реакционную смесь концентрируют до половины исходного объема. Водный раствор экстрагируют хлороформом (4×). Объединенные органические фракции сушат (MgSO4) и выпаривают, получая соединение I [Sugasawa, Tsutomu; Adachi, Makoto; Sasakura; Kazuyuku; Kitagawa; Akiko. Journal of Organic Chemistry 1979, 44(4), 578-86] (1,00 г, выход=53%, чистота (ЖХ)>95%).
4-нитроанилин (1,2 экв., 4,85 ммоль, 0,67 г) и паратолуолсульфоновую кислоту (каталитическое количество) добавляют к смеси соединения I (4,045 ммоль, 1,00 г) в толуоле (10 мл). Смесь нагревают при температуре кипения с обратным холодильником в течение 2 часов и охлаждают до комнатной температуры. Осадок отфильтровывают и промывают изопропанолом и диизопропиловым эфиром, получая соединение m (1,0479 г, выход=80%, чистота (ЖХ) > 95%).
Соединение m (3,22 ммоль, 1,0479 г) смешивают с метанолом (10 мл) и триэтиламином (1,2 экв., 3,90 ммоль, 0,39 г) и нагревают при температуре кипения с обратным холодильником в течение ночи. После охлаждения до комнатной температуры реакционную смесь выпаривают, получая соединение n (чистота (ЖХ)>95%). К охлажденному льдом ДМФА (2 мл) добавляют по каплям оксихлорид фосфора (3 экв., 9,66 ммоль, 1,482 г), поддерживая внутреннюю температуру на уровне менее чем 5°С. Указанный раствор перемешивают в течение 1/2 часа при температуре 0°С. Затем добавляют по каплям раствор соединения n в ДМФА (8 мл), поддерживая температуру реакционной смеси <5°С. После перемешивания в течение 1/2 часа при температуре 0°С реакционную смесь выливают в воду (100 мл) и нагревают в течение ночи при температуре 70°С. После охлаждения до комнатной температуры осадок отфильтровывают, промывают последовательно изопропанолом и диизопропиловым эфиром с получением соединения o (0,804 г, выход=80%, чистота (ЖХ) >95%).
К смеси соединения о (2,58 ммоль, 0,804 г) в изопропаноле (10 мл) добавляют триэтиламин (1,5 экв., 3,94 ммоль, 0,399 г) и этилцианоацетат (1,25 экв., 3,24 ммоль, 0,366 г). Смесь нагревают при температуре кипения с обратным холодильником в течение 1 часа и охлаждают до комнатной температуры. Осадок отфильтровывают и промывают изопропанолом и диизопропиловым эфиром с получением соединения p (0,841 г, выход=80%, чистота (ЖХ) >95%).
Перемешиваемую суспензию соединения p (2,07 ммоль, 0,841 г) и 1,8-диазабицикло[5.4.0]ундец-7-ена (каталитическое количество) в этиленгликоле (15 мл) нагревают при температуре 185°С в течение 1 часа и охлаждают до комнатной температуры. Осадок отделяют фильтрованием и промывают последовательно изопропанолом и диизопропиловым эфиром, получая соединение q (0,604 г, выход=81%, чистота (ЖХ) >95%).
Смесь соединения q (100 мг 0,278 ммоль) и диметацеталя диметилформамида (ДМФA) (5 экв., 1,39 ммоль, 165 мг) в ДМФА (2 мл) нагревают при температуре кипения с обратным холодильником в течение 2 часов. Реакционную смесь выливают в ледяную воду (20 мл) и перемешивают в течение 30 минут. Осадок отфильтровывают, промывают водой, изопропанолом и диизопропиловым эфиром с получением соединения 31 (87 мг, выход=84%, чистота (ЖХ)=95%).
Пример 8

К охлажденному до 0°С раствору соединения 31 (0,90 ммоль, 337 мг) в дихлорметане (10 мл) добавляют по каплям трибромид бора (20 экв., 18 ммоль, 1н. раствор BBr3 в дихлорметане) и реакционную смесь перемешивают при комнатной температуре в течение 24 часов в атмосфере N2. Реакционную смесь выливают в энергично перемешиваемый насыщенный раствор бикарбоната натрия, полученный осадок отфильтровывают, промывают водой, изопропанолом и диизопропиловым эфиром с получением соединения 29 (155 мг, выход=48%, чистота (ЖХ)=91%) в виде желтого твердого вещества.
Соединение 29 (155 мг, 0,43 ммоль), гидрохлорид 3-диметиламинопропилхлорида (204 мг, 1,29 ммоль, 3 экв.) и карбонат калия (300 мг, 2,15 ммоль, 1,5 экв.) нагревают при температуре кипения с обратным холодильником в ДМФА (5 мл) в течение 4 часов. Реакционную смесь охлаждают до комнатной температуры и выливают в ледяную воду. Осадок отфильтровывают, промывают изопропанолом и диизопропиловым эфиром, получая требуемое соединение 18 (28 мг, выход=15%) в виде коричневого порошка.
Пример 9


К охлажденному на льду раствору трихлорида бора (18 мл 1н. BCl3 в дихлорметане, 18 ммоль, 1,1 экв.) в атмосфере N2 добавляют раствор м-анизидина r (2 г, 16 ммоль, 1 экв.) в дихлорметане (5 мл) и затем хлорацетонитрил (1,5 г, 19 ммоль, 1,2 экв.) и, наконец, хлорид алюминия (III) (2,4 г, 18 ммоль, 1,1 экв.) несколькими порциями. Реакционную смесь нагревают при температуре кипения с обратным холодильником в течение 3 часов. После охлаждения до комнатной температуры реакцию гасят добавлением 1н. хлористоводородной кислоты при температуре 0°С. Образуется желтый осадок. Смесь нагревают при температуре 50°С до исчезновения осадка. Полученную смесь экстрагируют дихлорметаном, промывают насыщенным водным раствором бикарбоната натрия и насыщенным раствором соли, сушат (MgSO4), фильтруют и концентрируют с получением соединения s [Sugasawa, Tsutomu; Adachi, Makoto; Sasakura; Kazuyuku; Kitagawa; Akiko. Journal of Organic Chemistry 1979, 44(4), 578-86] (2,2 г, выход=65%) в виде зеленого твердого вещества. Соединение используют без дальнейшей очистки на следующей стадии.
Промежуточное соединение s (2,6 г, 13 ммоль) растворяют в уксусном ангидриде (25 мл) и нагревают при температуре 85°С в течение 2 часов. Реакционную смесь концентрируют досуха, остаток отбирают дихлорметаном, промывают водой и насыщенным раствором соли, сушат (MgSO4), фильтруют и концентрируют с получением соединения t [Sugasawa, Tsutomu; Adachi, Makoto; Sasakura; Kazuyuki; Kitagawa; Akiko. Journal of Organic Chemistry 1979, 44(4), 578-86] (3,05 г, выход=97%) в виде оранжевого твердого вещества. Неочищенный продукт t используют как таковой на следующей стадии.
К охлажденной (0°С) перемешиваемой суспензии гидрида натрия (14 ммоль, 1,1 экв., 0,56 г 60% дисперсии NaH в минеральном масле) в сухом тетрагидрофуране (20 мл) добавляют по каплям раствор промежуточного соединения t (3,05 г, 13 ммоль) в сухом тетрагидрофуране (10 мл) и смесь нагревают при температуре кипения с обратным холодильником в течение 2 часов. Реакционную смесь охлаждают до 0°С и реакцию гасят добавлением 1н. хлористоводородной кислоты. Реакционную смесь экстрагируют дихлорметаном, промывают насыщенным раствором соли, сушат
(MgSO4), фильтруют и концентрируют. Перекристаллизация из смеси изопропанол/ДХМ/диизопропиловый эфир дает требуемый продукт u [Sugasawa, Tsutomu; Adachi, Makoto; Sasakura; Kazuyuki; Kitagawa; Akiko. Journal of Organic Chemistry 1979, 44(4), 578-86] (735 мг, выход=28%) в виде красного твердого вещества.
Превращение соединения u в соединение 30 проводят, используя методики, как описано в примере 1 применительно к превращению соединения a в соединение g. Соединение 30 получают в виде оранжевого порошка (257 мг, чистота (ЖХ) >95%)
Соединение 30 (100 мг, 27 ммоль) растворяют в дихлорметане (5 мл) в атмосфере N2 и реакционную смесь охлаждают до 0°С. Добавляют трибромид бора (5,3 мл 1М раствора BBr3 в дихлорметане, 5,3 ммоль, 20 экв.) и реакционной смеси дают охладиться до комнатной температуры. Через 4 часа реакционную смесь выливают в смесь льда и насыщенного раствора бикарбоната натрия при энергичном перемешивании. Образовавшийся осадок отфильтровывают, промывают водой, изопропанолом и диизопропиловым эфиром с получением требуемого фенола 32 (50 мг, выход=52%) в виде оранжевого порошка.
Пример 10


Оксихлорид фосфора (1,30 экв., 104 ммоль, 15,90 г) добавляют по каплям к диметилацетамиду (30 мл), поддерживая температуру реакционной смеси на уровне ниже 20°С. После перемешивания в течение 1/2 часа добавляют раствор 5-метоксииндола А (80 ммоль, 11,80 г) в диметилацетамиде (30 мл) и реакционную смесь нагревают при температуре 90°С в течение 2 часов с последующим перемешиванием при комнатной температуре в течение 16 часов. Смесь выливают в ледяную воду (500 мл). Водный слой подщелачивают 50% NaOH (30 мл) до pH 14 и фильтруют. Осадок промывают водой и перекристаллизовывают из метанола (200 мл), получая соединение B (7,83 г, выход=52%, чистота (ЖХ) >95%).
К смеси 3-ацетил-5-метоксииндола B (0,038 ммоль, 7,2 г) в сухом ДМФА (20 мл) добавляют диазабицикло[2.2.2]октан (0,10 экв., 0,004 моль, 0,43 г) и диметилкарбонат (2,0 экв., 0,076 моль, 6,86 г). Реакционную смесь нагревают при температуре 100°С в течение одной недели и выпаривают при пониженном давлении. Остаток смешивают с водой (100 мл) и доводят pH до 3 1н. хлористоводородной кислотой. Водный раствор экстрагируют дихлорметаном (2×300 мл), сушат (MgSO4) и выпаривают при пониженном давлении, получая соединение С (7,64 г, выход=98%).
К смеси соединения С (38 ммоль, 7,64 г) в этаноле (70 мл) и воде (35 мл) добавляют ацетат натрия (2,40 экв., 90 ммоль, 7,4 г) и гидрохлорид гидроксиламина (3,0 экв., 113 ммоль, 7,8 г). Реакционную смесь нагревают при температуре кипения с обратным холодильником в течение 3 часов, охлаждают до комнатной температуры и большую часть этанола выпаривают при пониженном давлении. Оставшуюся водную суспензию перемешивают с насыщенным раствором бикарбоната натрия до достижения pH 7. Осадок отфильтровывают и промывают водой. Твердое вещество отбирают толуолом и выпаривают при пониженном давлении до получения 7,7 г смеси соединения D (91%) и соединения Е (8,5%). Далее смесь растворяют в уксусной кислоте (30 мл) и нагревают при температуре кипения с обратным холодильником в течение 2 часов. Растворитель выпаривают при пониженном давлении и остаток очищают, используя колоночную хроматографию на силикагеле (элюент: этилацетат/дихлорметан, 2:8) с получением промежуточного соединения Е (3,7 г, выход=49%).
К смеси соединения Е (19,2 ммоль, 4,20 г) и натриевой солиref 3,3-диметоксипропионитрил-2-гидроксиметилена (1,50 экв., 28,9 ммоль, 4,77 г) в метаноле (50 мл) добавляют концентрированную хлористоводородную кислоту (15 мл). Реакционную смесь нагревают при температуре кипения с обратным холодильником в течение 4 часов. После охлаждения до комнатной температуры осадок отделяют фильтрованием, промывают изопропанолом и диизопропиловым эфиром с получением соединения F (5,20 г, выход=98%, чистота (ЖХ)=99%) в виде его гидрохлората.
Соединение F (20,0 ммоль, 5,47 г) смешивают с хлороформом (1,5 литра) и насыщенным водным раствором карбоната натрия (200 мл) и энергично перемешивают в течение 15 минут. Органический слой отделяют и концентрируют до остаточного объема 150 мл, добавляют трихлорпербензойную кислоту (1,2 экв., 24 ммоль, 5,92 70% мCPBA) и смесь нагревают до температуры кипения с обратным холодильником в течение 2 часов. Реакционную смесь охлаждают до комнатной температуры, разбавляют хлороформом до конечного объема 800 мл и промывают водным раствором карбоната натрия (2×200 мл). Органический слой сушат (MgSO4), фильтруют и упаривают до получения сухого остатка. Указанный остаток растворяют в уксусном ангидриде (60 мл) и нагревают до температуры кипения с обратным холодильником в течение 3 часов. Реакционную смесь упаривают при пониженном давлении до получения сухого темного остатка. Указанный остаток смешивают с этанолом (100 мл) и триэтиламином (2 мл) и нагревают при температуре кипения с обратным холодильником в течение 4 часов. Смеси дают охладиться до комнатной температуры, осадок отфильтровывают и промывают изопропанолом и диизопропиловым эфиром с получением соединения I (1,92 г, выход=38%, чистота (ЖХ)=99%) в виде желтого порошка.
Пример 11

К смеси соединения I (0,24 ммоль, 100 мг) в дихлорметане (3,0 мл) добавляют молекулярные сита в виде порошка (600 мг), ацетат меди(II) (2,0 экв., 0,48 ммоль, 86 мг), 4-цианофенилбороновую кислоту (2,0 экв., 0,48 ммоль, 70 мг), пиридин (2,0 экв., 0,48 ммоль, 37 мг) и триэтиламин (2,0 экв., 0,48 ммоль, 48 мг). Открывают доступ воздуху в реакционную смесь через трубку с CaCl2, введенную в верхнюю часть колбы. Смесь перемешивают при комнатной температуре в течение 8 дней. Реакционную смесь фильтруют через небольшой слой декалита и промывают смесью тетрагидрофуран/дихлорметан (9/1). Фильтрат промывают насыщенным раствором бикарбоната натрия (2×100 мл) и водой (100 мл). Органический слой выпаривают при пониженном давлении и остаток очищают хроматографией на силикагеле, при элюировании смесью тетрагидрофуран/дихлорметан (99/1), с получением соединения 17 (47 мг, выход=49%, чистота (ЖХ)=88%).
К охлажденной на льду смеси соединения 17 (0,13 ммоль, 0,45 мг) в дихлорметане (2 мл) добавляют по каплям трибромид бора (20 экв., 2,6 ммоль, 2,6 мл 1М раствора BBr3 в дихлорметане) в атмосфере азота. Смесь перемешивают при комнатной температуры в течение 3 часов и затем выливают в охлажденный льдом насыщенный раствор бикарбоната натрия (50 мл). Осадок отфильтровывают, промывают последовательно водой и диизопропиловым эфиром и хроматографируют на колонке с силикагелем, элюируя смесью тетрагидрофуран/дихлорметан (98/2), с получением соединения 33 (9 мг, выход=21%, чистота (ЖХ)=99%).
Пример 12

К охлажденному на льду раствору трихлорида бора (1,2 экв., 10 ммоль, 10 мл 1М раствора BBr3 в дихлорметане) в атмосфере N2 добавляют по каплям раствор соединения J (1 г, 8 ммоль) в дихлорметане (5 мл). Затем добавляют по каплям хлорацетонитрил (0,7 г, 10 ммоль, 1,2 экв.) и одной порцией хлорид алюминия(III) (0,5 г, 4 ммоль, 0,5 экв.). Реакционной смеси дают нагреться до комнатной температуры и перемешивают в течение 6 часов. Реакционную смесь разбавляют и гасят реакцию добавлением 1н. хлористоводородной кислоты при 0°С. После перемешивания в течение 10 минут водный слой экстрагируют дихлорметаном. Объединенные органические слои промывают насыщенным раствором соли, сушат (MgSO4) и концентрируют. Очистка флэш-хроматографией на силикагеле (элюент: дихлорметан) дает требуемый продукт К (Hammond, Milton L.; Zambias, Robert A.; Chang, Michael N.; Jensen, Norman P.; McDonald, John; Thompson, Kathryn; Boulton, David A.; Kopka, Ihor E.; Hand, Karen M. Journal of Medicinal Chemistry 1990, 33(3), 908-18] (1 г, выход=60%).
Промежуточное соединение К (0,15 г, 0,75 ммоль, 1 экв.) и ацетат калия (0,22 г, 2,2 ммоль, 3 экв.) нагревают при температуре кипения с обратным холодильником в этаноле (10 мл) в течение 1 часа. После охлаждения реакционную смесь фильтруют и концентрируют. Остаток смешивают с водой и подкисляют 1н. хлористоводородной кислотой до pH 1. Водный раствор экстрагируют этилацетатом, объединенные экстракты сушат (MgSO4), фильтруют и концентрируют с получением желаемого продукта L (Hammond, Milton L.; Zambias, Robert A.; Chang, Michael N.; Jensen, Norman P.; McDonald, John; Thompson, Kathryn; Boulton, David A.; Kopka, Ihor E.; Hand, Karen M. Journal of Medicinal Chemistry 1990, 33(3), 908-18] (110 мг, выход=90%) в виде розового твердого вещества.
Экспериментальные методики для реакции конденсации соединения L с 4-нитроанилином в уксусной кислоте с образованием соединения M с последующей реакцией Вилсмайера-Хаака и конденсацией по реакции Кневенагеля бензофуранового карбальдегида N с этилцианоацетатом с образованием соединения O и, наконец, внутримолекулярной циклизации до образования соединения 37 проводят по методикам, аналогично описанным в примере 1 применительно к синтезу соединения f из соединения a. Соединение 37 получают в виде желтого порошка (30 мг, чистота (ЖХ)=80%).
В приведенных ниже таблицах перечислены примеры соединений по настоящему изобретению, где указанные соединения получают аналогично приведенным выше на схемах синтеза.
В приведенных ниже таблицах колонки, обозначенные «rf», означают время удерживания, и в колонках, озаглавленных «(M+H)+», приведены данные по массе молекулярных ионов.
Показатели времени удерживания измеряют с использованием следующего оборудования: система для проведения ВЭЖХ: Waters Alliance 2790 (насос+аутосемплер), Waters 996 (фотодиод-детектор);
Колонка: Waters XTerra MS C18, 2,5 мкм, 50×6 мм. Ниже приведены условия измерения:
Температура: 30°С
Подвижная фаза: А: 10 мМ HCOONH4+0,1% HCOOC в H2O
В: 0,1% HCOOH в CH3CN
Градиент: 0 мин: 15% В, 5 мин: 95% В, 7 мин.: 95% В
Время уравновешивания: 2 мин
Объемная скорость: 1,2 мл/мин
Инъецируемый объем: 3 мкл раствора с концентрацией 1 мг/мл
Анализ молекулярных ионов проводят с использованием следующего MS-детектора: Waters ЖХT; ионизация: электрораспыление в положительном или отрицательном режиме.
Таблица 1


Таблица 2

Пример 13: Ингибирование in vitro обратной транскриптазы ВИЧ
Количественный анализ проводят с использованием набора TRK 1022 (Amersham Life Sciences) в соответствии с инструкциями от производителя с введением в них небольших модификаций. Соединения разводят ступенчато 1/4 от первоначального объема с использованием 100% ДМСО и затем переносят в среду А (разведение 1/50; среда А: RPMI 1640 + 10% FetalClone II + гентамицин, 20 мл/л). В лунки добавляют по 25 мкл соединения (в 2% ДМСО в среде А) или по 25 мкл 2% ДМСО в среде А. В каждую лунку добавляют 25,5 мкл основной смеси (основная смесь: 5 мкл шариков с праймером/матрицей, 10 мкл буфера для анализа, 0,5 мкл трассера (3Н-TTP), 5 мкл раствора фермента RT ВИЧ при конечной активности фермента 15 мЕд на 50 мкл реакционной смеси, 5 мкл среды А). Планшеты закрывают, маркируют как радиоактивные и инкубируют в течение 4 часов при температуре 37°С. Затем в каждую лунку добавляют 100 мкл раствора для остановки реакции (за исключением R1). Радиоактивность подсчитывают с использованием счетчика TopCount.
Пример 14: Анализ в клетках
Соединения по настоящему изобретению исследуют на наличие у них антивирусной активности в клеточном тесте, который проводят по следующей методике.
МТ4 клетки, инфицированные ВИЧ или подвергнутые ложной инфекции, инкубируют в течение пяти дней в присутствии разных концентраций ингибиторов. В конце инкубации реплицирующийся вирус в контрольных культурах уничтожает все ВИЧ-инфицированные клетки, в отсутствии какого-либо ингибитора. Жизнеспособность клеток определяют при измерении концентрации МТТ, желтого водорастворимого тетразолиевого красителя, который превращается в пурпурный водорастворимый формазан только в митохондриях живых клеток. После солюбилизации изопропанолом полученных кристаллов формазана измеряют поглощение раствора при длине волны 540 нм. Полученное значение напрямую коррелирует с числом живых клеток, оставшихся в культуре после пяти дней инкубации. Ингибирующую активность соединений отслеживают в инфицированных вирусом клетках и выражают в виде показателей ЕС50 и EC90. Указанные показатели отражают количество соединения, необходимого для защиты 50 и 90% клеток соответственно от цитопатогенного действия вируса. Токсичность соединения определяют с использованием клеток, подвергнутых ложной инфекции, и выражают в виде показателя СС50, который отражает концентрацию соединения, необходимую для ингибирования роста клеток на 50%. Индекс селективности (SI) (соотношение
СС50/EC50) указывает на селективность анти-ВИЧ активности ингибитора. Поскольку результаты приводятся в виде показателя pЕС50 или pCC50, полученные значения выражают в виде отрицательного логарифма результата, выраженного в виде ЕС50 или СC50 соответственно.
Значения pЕС50 для ряда соединений по настоящему изобретению перечислены в следующей таблице.
| Соединение No. |
pEC50 |
| 3 |
5,6 |
| 4 |
6,5 |
| 5 |
5,7 |
| 6 |
5,7 |
| 7 |
6,8 |
| 8 |
4,7 |
| 9 |
4,8 |
| 10 |
5,9 |
| И |
5,2 |
| 12 |
5,7 |
| 15 |
6,4 |
| 16 |
5,4 |
| 18 |
6,6 |
| 21 |
4,8 |
| 23 |
7,1 |
| 24 |
5,2 |
| 25 |
5,5 |
| 26 |
4,8 |
| 27 |
7,1 |
| 28 |
5,6 |
| 29 |
6,7 |
| 32 |
5,9 |
| 36 |
6,8 |
Пример 15: Композиции
Капсулы
Соединение формулы (I) растворяют в органическим растворителе, таком как этанол, метанол или метиленхлорид, предпочтительно в смеси этанола и метиленхлорида. Полимеры, такие как сополимер поливинилпирролидона и винилацетата (ПВП-ВA) или гидроксипропилметилцеллюлоза (HPMC), в конкретном случае 5 мПа·с, растворяют в органических растворителях, таких как этанол, метанол, метиленхлорид. Полимер может быть также растворен в этаноле. Растворы полимера и соединения смешивают и затем подвергают распылительной сушке. Отношение соединения к полимеру выбирают от 1/1 до 1/6. Могут быть выбраны промежуточные значения в диапазоне от 1/1,5 до 1/3. Подходящим значением может быть соотношение 1/6. Полученный после распылительной сушки порошок, твердую дисперсию непосредственно используют для заполнения капсул, предназначенных для введения. Содержание лекарственного средства в 1 капсуле варьирует от 50 до 100 мг в зависимости от размера используемой капсулы.
Таблетки с пленочным покрытием
Получение таблеточного ядра
Смесь 100 г соединения формулы (I), 570 г лактозы и 200 г крахмала тщательно смешивают и затем увлажняют раствором 5 г додецилсульфата натрия и 10 г поливинилпирролидона примерно в 200 мл воды. Влажную порошковую смесь просеивают, сушат и снова просеивают. Затем добавляют 100 г микрокристаллической целлюлозы и 15 г гидрогенизированного растительного масла. Все хорошо перемешивают и прессуют в таблетки, получая 10000 таблеток, каждая из которых содержит 10 мг активного ингредиента.
Покрытие
К раствору 10 г метилцелллозы в 75 мл денатурированного этанола добавляют раствор 5 г этилцеллюлозы в 150 мл дихлорметана. Затем добавляют 75 мл дихлорметана и 2,5 мл 1,2,3-пропантриола. 10 г полиэтиленгликоля расплавляют и растворяют в 75 мл дихлорметана. Последний раствор добавляют к первому и затем добавляют 2,5 г октадеканоата магния, 5 г поливинилпирролидона и 30 мл концентрированной окрашенной суспензии и все гомогенизируют. Таблеточные ядра покрывают полученной таким образом смесью в аппарате для нанесения пленочного покрытия.
Формула изобретения
1. Соединение формулы (I)
 его N-оксиды, соли, стереоизомерные формы, где n равно 1, 2 или 3; R1 означает цианогруппу; Х означает двухвалентный радикал NR2 или О; R2 означает водород или С1-10алкил; каждый Q1 независимо означает прямую связь, -СН2– или -СН2-СН2-; каждый R4 независимо означает водород или С1-4алкил; каждый R5a R5b, R5c независимо означает водород, С1-4алкил или арилС1-4алкил; каждый R5e, R5f независимо означает водород, С1-4алкил или арилС1-4алкил, или R5e и R5f взятые вместе, могут образовывать двухвалентный алкандиильный радикал формулы -СН2-СН2– или -СН2-СН2-СН2-; R11 означает арил, арилС1-4алкил, С1-4алкилкарбонил, арилкарбонил, арилС1-4алкилкарбонил, С1-4алкилоксикарбонил, арилС1-4алкилоксикарбонил, R5aR5bN-кapбoнил, гидроксиС1-4алкил, С1-4алкилоксиС1-4алкил, арилС1-4алкилоксиС1-4алкил, арилоксиС1-4алкил, пиридил; -a1=a2-a3=a4 означает двухвалентный радикал формулы -СН=СН-СН=СН- (с-1); где один или два атома водорода в (с-1) заменены радикалом С1-6алкил, С1-4алкокси, галогеном, гидроксигруппой, (R5g)(R5h)N-(C1-4aлкaндиил)-O-, трифторметилом, цианогруппой, радикалом -COOR4, (R5a)(R5b)N-cульфoнилoм, пирролидинил-сульфонилом, пиперидинилсульфонилом, радикалом -N(R5a)(R5b), радикалом  , морфолинилом, (R5g)(R5h)N-(С1-4алкандиил)-N(R5c)-, С1-6алкилкарбониламино, С1-6алкилоксикарбониламино, С1-6алкилсульфониламино, (R5a)(R5b)N-C1-4aлкилoм; R20 означает водород, спиро(С2-4алкилендиокси), спиро(диС1-4алкилокси) или -NR5gR5h; каждый R5g или R5h независимо означает водород или С1-4алкил, или R5g и R5h вместе с атомом азота, к которому они присоединены, образуют пирролидинил, пиперидинил или морфолинил; R3 означает нитрогруппу, цианогруппу, аминогруппу, галоген, гидроксигруппу или С1-4алкокси; арил означает фенил, необязательно замещенный одним или несколькими заместителями, выбранными из группы, состоящей из C1-6алкила, С1-4алкокси, галогена, гидрокси, амино и трифторметила.
2. Соединение по п.1, где n равен 1 или 2.
3. Соединение по п.1 или 2, где X означает NR2.
4. Соединение по п.1, где R3 означает нитрогруппу.
5. Соединение по п.1, где -а1=а2-а3=а4 означает двухвалентный радикал формулы (с-1), где один из атомов водорода заменен С1-6алкилом, С1-4алкокси, галогеном, гидрокси, (R5g)(R5h)N-(С1-4алкандиил)-О-, радикалом -COOR4, (R5a)(R5b)N-сульфонилом, морфолинилом, (R5g)(R5h)N-(C1-4aлкaндиил)-N(R5c)-, C1-6алкилоксикарбониламино, (R5a)(R5b)N-C1-4aлкилoм.
6. Соединение по п.1, где указанное соединение формулы (I) выбирают из: 8-бром-5-метил-1-(4-нитрофенил)-2-оксо-2,5-дигидро-1Н-пиридо[3,2-b]индол-3-карбонитрила, 8-морфолин-5-метил-1-(4-нитрофенил)-2-оксо-2,5-дигидро-1Н-пиридо[3,2-b] индол-3-карбонитрила, 8-гидрокси-5-метил-1-(4-нитрофенил)-2-оксо-2,5-дигидро-1Н-пиридо[3,2-b]индол-3-карбонитрила, 8-гидрокси-1-(4-нитрофенил)-2-оксо-2,5-дигидро-1Н-пиридо[3,2-b]индол-3-карбонитрила, 8-метокси-5-метил-1-(4-нитрофенил)-2-оксо-2,5-дигидро-1Н-пиридо[3,2-b]индол-3-карбонитрила, 8-[(3-диметиламинопропил)метиламино]-5-метил-1-(4-нитрофенил)-2-оксо-2,5-дигидро-1Н-пиридо[3,2-b]индол-3-карбонитрила, 8-[(3-диметиламинопропил)окси]-5-метил-1-(4-нитрофенил)-2-оксо-2,5-дигидро-1Н-пиридо[3,2-b]индол-3-карбонитрила.
7. Соединение по п.1, где указанное соединение формулы (I) выбирают из: 8-гидрокси-5-метил-1-(4-нитрофенил)-2-оксо-2,5-дигидро-1Н-пиридо[3,2-b]индол-3-карбонитрила, 8-[(3-диметиламинопропил)метиламино]-5-метил-1-(4-нитрофенил)-2-оксо-2,5-дигидро-1Н-пиридо[3,2-b]индол-3-карбонитрила.
8. Фармацевтическая композиция, обладающая противовирусной активностью, содержащая эффективное количество по меньшей мере одного соединения формулы (I), определенного по любому из пп.1-7, и фармацевтически приемлемый эксципиент.
9. Способ получения соединения по любому из пп.1-7, отличающийся тем, что промежуточное соединение (II-5) подвергают циклизации с получением соединения формулы (I-b)
 и необязательно соединение формулы (I-b) подвергают N-алкилированию с получением соединения формулы (I-е):
 и, при желании, получают соли соединений формулы (I) путем обработки свободных форм кислотой или основанием или, наоборот, при обработке солевой формы кислотой или основанием получают свободную форму.
|
|