Патент на изобретение №2377238
|
||||||||||||||||||||||||||
(54) ПРОИЗВОДНЫЕ ИМИДАЗОЛА, АКТИВНЫЕ В ОТНОШЕНИИ РЕЦЕПТОРА СВ1
(57) Реферат:
Настоящее изобретение относится к соединениям формулы I, где R1 представляет собой группу R5S(O)2O, в которой R5 представляет собой группу C1-10алкил, возможно замещенную одним или более чем одним фторо; R2a и R2b представляют собой Н или хлоро; R3 представляет собой группу CONHNR7R8, в которой NR7R8 представляет собой пиперидин-1-ил, и R4 представляет собой группу C1-3алкил, и его фармацевтически приемлемые соли. Также изобретение относится к фармацевтической композиции на основе соединения формулы I и применению соединения формулы I в изготовлении лекарств, обладающих активностью в отношении рецептора СВ1. Технический результат: получены новые производные имидазола, обладающие полезными биологическими свойствами. 4 н. и 12 з.п. ф-лы.
Область изобретения Настоящее изобретение относится к некоторым соединениям 1,2-диарилимидазол-4-карбоксамида формулы I, к способам получения таких соединений, к их применению в лечении ожирения, психиатрических и неврологических расстройств, к способам их терапевтического применения и к фармацевтическим композициям, содержащим их. Предшествующий уровень техники Известно, что некоторые модуляторы CB1 (известные как антагонисты или обратные агонисты) полезны при лечении ожирения, психиатрических и неврологических расстройств (WO 01/70700 и ЕР 656354). В WO 04/60367 и в WO 2004/099130 раскрыто, что некоторые диарилимидазолы и триазолы полезны в качестве ингибиторов СОХ-1, полезных при лечении воспаления. Соединения, которые приведены в качестве примеров в этих заявках, не заявлены в формуле настоящего изобретения. В DD 140966 раскрыто, что некоторые анилиды имидазолкарбоновой кислоты полезны в качестве регуляторов роста растений. Соединения, которые приведены в качестве примеров в этих заявках, не заявлены в формуле настоящего изобретения. В WO 03/007887 и WO 03/075660 раскрыты некоторые 4,5-диарилимидазол-2-карбоксамиды в качестве модуляторов CB1. В WO 03/27076 и WO 03/63781 раскрыты некоторые 1,2-диарилимидазол-4-карбоксамиды, которые являются модуляторами СB1. Соединения, которые приведены в качестве примеров в этих заявках, не заявлены в формуле настоящего изобретения. В WO 03/40107 раскрыты некоторые 1,2-диарилимидазол-4-карбоксамиды, которые полезны при лечении ожирения и расстройств, связанных с ожирением. Однако существует необходимость в модуляторах СВ1 с улучшенными физико-химическими свойствами и/или DMPK (метаболическими и фармакокинетическими от англ. drug metabolism and pharmacokinetic) свойствами, и/или фармакодинамическими свойствами. Описание изобретения Изобретение относится к соединению формулы (I)
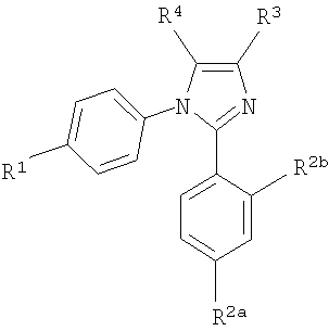
и к его фармацевтически приемлемым солям, где R1 представляет собой а) группу С1-6алкокси, возможно замещенную одним или более чем одним фторо; б) группу формулы фенил(СН2)рО-, в которой p равно 1, 2 или 3, а фенильное кольцо возможно замещено 1, 2 или 3 группами, представляющими собой Z; в) группу R5S(O)2O или R5S(O)2NH, в которой R5 представляет собой группу С-1-10алкил, возможно замещенную одним или более чем одним фторо; или R5 представляет собой группу фенил или гетероарил, каждая из которых возможно замещена 1, 2 или 3 группами, представляющими собой Z, или г) группу формулы (R6)3Si, в которой R6 представляет собой группу C1-6алкил, причем группы C1-6алкил могут быть одинаковыми или разными; R3 представляет собой галогено, группу C1-3алкил или группу C1-3алкокси; m равно 0, 1, 2 или 3; R2 представляет собой группу C1-3алкил, группу C1-3алкокси, гидрокси, нитро, циано или галогено; n равно 0, 1, 2 или 3; R3 представляет собой а) группу X-Y-NR7R8, в которой Х представляет собой СО или SO2, Y отсутствует или представляет собой группу NH, возможно замещенную группой C1-3алкил, и R7, и R8 независимо представляют собой: группу C1-6алкил, возможно замещенную 1, 2 или 3 группами, представляющими собой W; группу С3-15циклоалкил, возможно замещенную 1, 2 или 3 группами, представляющими собой W; возможно замещенную группу (С3-15циклоалкил)C1-3алкилен, возможно замещенную 1, 2 или 3 группами, представляющими собой W; группу -(СН2)r(фенил)s, в которой г равно 0, 1, 2, 3 или 4, s равно 1, когда r равно 0, или же s равно 1 или 2, и фенильные группы возможно независимо замещены одной, двумя или тремя группами, представляющими собой Z; насыщенную 5-8-членную гетероциклическую группу, содержащую один атом азота и возможно один из следующих атомов: кислорода, серы или дополнительного атома азота, где эта гетероциклическая группа возможно замещена одной или более чем одной группой C1-3алкил, гидрокси или бензил; группу -(CH2)tHet, в которой t равно 0, 1, 2, 3 или 4, и алкиленовая цепь возможно замещена одной или более чем одной группой C1-3алкил, и Het представляет собой гетероарильную группу, возможно замещенную одной, двумя или тремя группами, выбранными из группы C1-5алкил, группы C1-5алкокси или галогено, где группы алкил и алкокси возможно независимо замещены одним или более чем одним фторо; или R7 представляет собой Н, и R8 является таким, как определено выше; или R7 и R8 вместе с атомом азота, к которому они присоединены, представляют собой насыщенную или частично ненасыщенную 5-8-членную гетероциклическую группу, содержащую один атом азота и возможно один из следующих атомов: кислорода, серы или дополнительного атома азота, где эта гетероциклическая группа возможно замещена одной или более чем одной группой C1-3алкил, гидрокси, фторо или бензил; или б) оксазолил, изоксазолил, тиазолил, изотиазолил, оксадиазолил, тиадиазолил, пирролил, пиразолил, имидазолил, триазолил, тетразолил, тиенил, фурил или оксазолинил, каждый из которых возможно замещенный 1, 2 или 3 группами Z; R4 представляет собой Н, группу C1-6алкил, группу C1-6алкокси или группу C1-6алкоксиC1-6алкилен, которая содержит максимум 6 атомов углерода, причем каждая из этих групп возможно замещена одним или более чем одним фторо или циано; Z представляет собой группу C1-3алкил, группу C1-3алкокси, гидрокси, галогено, трифторметил, трифторметилтио, дифторметокси, трифторметокси, трифторметилсульфонил, нитро, амино, моно- или диC1-3алкиламино, C1-3алкилсульфонил, C1-3алкоксикарбонил, карбокси, циано, карбамоил, моно- или диC1-3алкилкарбамоил и ацетил, и W представляет собой гидрокси, фторо, группу C1-3алкил, группу C1-3алкокси, амино, моно- или диC1-3алкиламино или гетероциклический амин, выбранный из морфолинила, пирролидинила, пиперидинила или пиперазинила, где гетероциклический амин возможно замещен группой C1-3алкил или гидроксил; при условии, что когда n равно 1, тогда R2 не является метокси ни в положении 2, ни в положении 4 фенильного кольца, и при дополнительном условии, что R1 не является метилсульфониламино, метокси или СF3О-. В конкретной группе соединений формулы (I)
и их фармацевтически приемлемых солей R1 представляет собой а) группу C1-6алкокси, возможно замещенную одним или более чем одним фторо; б) группу формулы фенил(СН2)pО-, в которой p равно 1, 2 или 3, и фенильное кольцо возможно замещено 1, 2 или 3 группами, представляющими собой Z, в) группу R5S(O)2O или R5S(O)2NH, в которой R5 представляет собой группу C1-6алкил, возможно замещенную одним или более чем одним фторо, или R5 представляет собой группу фенил или гетероарил, каждая из которых возможно замещена 1, 2 или 3 группами, представляющими собой Z, или г) группу формулы (R6)3Si, в которой R6 представляет собой группу C1-6алкил, причем группы C1-6алкил могут быть одинаковыми или разными; R3 представляет собой галогено, группу C1-3алкил или группу C1-3алкокси; m равно 0, 1, 2 или 3; R2 представляет собой группу C1-3алкил, группу C1-3алкокси, гидрокси, нитро, циано или галогено; n равно 0, 1, 2 или 3; R3 представляет собой а) группу X-Y-NR7R8, в которой Х представляет собой СО или SO2, Y отсутствует или представляет собой группу NH, возможно замещенную группой C1-3алкил; и R7, и R8 независимо представляют собой: группу C1-6алкил, возможно замещенную 1, 2 или 3 группами, представляющими собой W; группу С3-15циклоалкил, возможно замещенную 1, 2 или 3 группами, представляющими собой W; возможно замещенную группу (С3-15циклоалкил)C1-3алкилен, возможно замещенную 1, 2 или 3 группами, представляющими собой W; группу -(СH2)r(фенил)s, в которой r равно 0, 1, 2, 3 или 4, s равно 1, когда r равно 0, или же s равно 1 или 2, и фенильные группы возможно независимо замещены одной, двумя или тремя группами, представляющими собой Z; насыщенную 5-8-членную гетероциклическую группу, содержащую один атом азота и возможно один из следующих атомов: кислорода, серы или дополнительного атома азота, где гетероциклическая группа возможно замещена одной или более чем одной группой C1-3алкил, гидрокси или бензил; группу -(CH2)tHet, в которой t равно 0, 1, 2, 3 или 4, и алкиленовая цепь возможно замещена одной или более чем одной группой C1-3алкил, и Het представляет собой гетероарильную группу, возможно замещенную одной, двумя или тремя группами, выбранными из группы C1-5алкил, группы С1-5алкокси или галогено; или R7 представляет собой Н, и R8 является таким, как определено выше; или R7 и R8 вместе с атомом азота, к которому они присоединены, представляют собой насыщенную или частично ненасыщенную 5-8-членную гетероциклическую группу, содержащую один атом азота и возможно один из следующих атомов: кислорода, серы или дополнительного атома азота, где гетероциклическая группа возможно замещена одной или более чем одной группой C1-3алкил, гидрокси, фторо или бензил; или б) оксазолил, изоксазолил, тиазолил, изотиазолил, оксадиазолил, тиадиазолил, пирролил, пиразолил, имидазолил, триазолил, тетразолил, тиенил, фурил или оксазолинил, каждый из которых возможно замещен 1, 2 или 3 группами Z; R4 представляет собой Н, группу C1-6алкил, группу С1-6алкокси или группу С1-6алкоксиС1-6алкилен, которая содержит максимум 6 атомов углерода, причем каждая из этих групп возможно замещена одним или более чем одним фторо или циано; Z представляет собой группу C1-3алкил, группу C1-3алкокси, гидрокси, галогено, трифторметил, трифторметилтио, дифторметокси, трифторметокси, трифторметилсульфонил, нитро, амино, моно- или диC1-3алкиламино, C1-3алкилсульфонил, C1-3алкоксикарбонил, карбокси, циано, карбамоил, моно- или диC1-3алкилкарбамоил или ацетил, и W представляет собой гидрокси, фторо, группу C1-3алкил, группу C1-3алкокси, амино, моно- или диC1-3алкиламино или гетероциклический амин, выбранный из морфолинила, пирролидинила, пиперидинила или пиперазинила, где гетероциклический амин возможно замещен группой C1-3алкил или гидроксил; при условии, что когда n равно 1, тогда R2 не является метокси ни в положении 2, ни в положении 4 фенильного кольца, и при дополнительном условии, что R1 не является метилсульфониламино, метокси или СF3О-. В конкретной группе соединений формулы (I)
и их фармацевтически приемлемых солей R1 представляет собой а) группу С3-6алкокси, замещенную одним или более чем одним фторо; или б) группу формулы фенил(СН2)pО-, в которой p равно 1, 2 или 3, и фенильное кольцо возможно замещено 1, 2 или 3 группами, представляющими собой Z, или в) группу R5S(O)2O, в которой R5 представляет собой группу С1-6алкил, возможно замещенную одним или более чем одним фторо, или R5 представляет собой группу фенил или гетероарил, каждая из которых возможно замещена 1, 2 или 3 группами, представляющими собой Z; Ra представляет собой галогено, группу C1-3алкил или группу C1-3алкокси; m равно 0, 1, 2 или 3; R2 представляет собой галогено; n равно 0, 1, 2 или 3; R3 представляет собой а) группу X-Y-NR7R8, в которой Х представляет собой СО; Y отсутствует или представляет собой группу NH, возможно замещенную группой C1-3алкил; и R7, и R8 независимо представляют собой: группу C1-6алкил, возможно замещенную 1, 2 или 3 группами, представляющими собой W; группу С3-15циклоалкил, возможно замещенную 1, 2 или 3 группами, представляющими собой W; возможно замещенную группу (С3-15циклоалкил)C1-3алкилен, возможно замещенную 1, 2 или 3 группами, представляющими собой W; группу -(СН2)r(фенил)s, в которой r равно 0, 1, 2, 3 или 4, s равно 1, когда r равно 0, или же s равно 1 или 2, и фенильные группы возможно независимо замещены одной, двумя или тремя группами, представляющими собой Z; насыщенную 5-8-членную гетероциклическую группу, содержащую один атом азота и возможно один из следующих атомов: кислорода, серы или дополнительного атома азота, где гетероциклическая группа возможно замещена одной или более чем одной группой C1-3алкил, гидрокси или бензил; группу -(CH2)tHet, в которой t равно 0, 1, 2, 3 или 4, и алкиленовая цепь возможно замещена одной или более чем одной группой C1-3алкил, и Het представляет собой гетероарильную группу, возможно замещенную одной, двумя или тремя группами, выбранными из группы C1-5алкил, группы C1-5алкокси или галогено; или R7 представляет собой Н, и R8 является таким, как определено выше; или R7 и R8 вместе с атомом азота, к которому они присоединены, представляют собой насыщенную или частично ненасыщенную 5-8-членную гетероциклическую группу, содержащую один атом азота и возможно один из следующих атомов: кислорода, серы или дополнительного атома азота, где гетероциклическая группа возможно замещена одной или более чем одной группой C1-3алкил, гидрокси, фторо или бензил; R4 представляет собой Н, группу C1-6алкил, группу C1-6алкокси или группу С1-6алкоксиС1-6алкилен, которая содержит максимум 6 атомов углерода, причем каждая из этих групп возможно замещена одним или более чем одним фторо или циано; Z представляет собой группу C1-3алкил, группу С1-3алкокси, гидрокси, галогено, трифторметил, трифторметилтио, дифторметокси, трифторметокси, трифторметилсульфонил, нитро, амино, моно- или диС1-3алкиламино, С1-3алкилсульфонил, С1-3алкоксикарбонил, карбокси, циано, карбамоил, моно- или диС1-3алкилкарбамоил или ацетил, и W представляет собой гидрокси, фторо, группу С1-3алкил, группу С1-3алкокси, амино, моно- или диС1-3алкиламино или гетероциклический амин, выбранный из морфолинила, пирролидинила, пиперидинила или пиперазинила, где гетероциклический амин возможно замещен группой С1-3алкил или гидроксил. В конкретной группе соединений формулы I R1 представляет собой группу R5S(O)2O, в которой R5 представляет собой группу C1-6алкил, в частности группу С2-6алкил, каждая из которых возможно замещена одним или более чем одним фторо, и в которой R2, R3, R4, Rа, m и n являются такими, как определено выше. В конкретной группе соединений формулы I R3 представляет собой группу CONHNR7R8, в которой NR7R8 представляет собой пиперидино, и R1, R2, R4, R3, m и n являются такими, как определено выше. Следует понимать, что когда заместитель Z присутствует более чем в одной группе или когда более чем один заместитель Z присутствует в одной и той же группе, тогда эти заместители выбраны независимо и могут быть одинаковыми или разными. То же верно для W. Аналогично, когда m равно 2 или 3, группы R3 выбраны независимо таким образом, что они могут быть одинаковыми или разными, и, аналогично, когда n равно 2 или 3, тогда группы R2 выбраны независимо таким образом, что они могут быть одинаковыми или разными. Аналогично, когда R5 и R7 и/или R8 содержат гетероарильную группу, тогда эти гетероарильные группы и их возможные заместители выбраны независимо таким образом, что они могут быть одинаковыми или разными. Термин С3-15циклоалкил включает моноциклические, бициклические, трициклические и спиросистемы, например циклопентил, циклогексил и адамантил. Термин гетероарил означает ароматическое 5-, 6- или 7-членное моноциклическое кольцо или 9- или 10-членное бициклическое кольцо с кольцевыми гетероатомами в количестве вплоть до пяти, выбранными из кислорода, азота и серы. Подходящие ароматические гетероарильные группы включают, например, фурил, пирролил, тиенил, оксазолил, изоксазолил, имидазолил, пиразолил, тиазолил, изотиазолил, оксадиазолил, тиадиазолил, триазолил, тетразолил, пиридил, пиридазинил, пиримидинил, пиразинил, 1,3,5-триазинил, бензофуранил, индолил, бензотиенил, бензоксазолил, бензимидазолил, бензотиазолил, индазолил, бензофуразанил, хинолил, изохинолил, хиназолинил, хиноксалинил, циннолинил или нафтиридинил. Предпочтительными являются фурил, пирролил, тиенил, оксазолил, изоксазолил, имидазолил, пиразолил, оксазолил, тиазолил, изотиазолил, оксадиазолил, тиадиазолил, триазолил, тетразолил, пиридил, пиридазинил, пиримидинил, пиразинил или 1,3,5-триазенил и наиболее предпочтительными являются пирролил, тиенил, имидазолил, оксазолил или пиридил. Подходящие насыщенные или частично ненасыщенные 5-8-членные гетероциклические группы, содержащие один или более чем один гетероатом, выбранный из азота, кислорода или серы, включают, например, тетрагидрофуранил, тетрагидропиранил, 2,3-дигидро-1,3-тиазолил, 1,3-тиазолидинил, пирролинил, пирролидинил, морфолинил, тетрагидро-1,4-тиазинил, 1-оксотетрагидротиенил, 1,1-диоксотетрагидро-1,4-тиазинил, пиперидинил, гомопиперидинил, пиперазинил, гомопиперазинил, дигидропиридинил, тетрагидропиридинил, дигидропиримидинил или тетрагидропиримидинил, предпочтительно тетрагидрофуранил, тетрагидропиранил, пирролидинил, морфолинил, пиперидинил или пиперазинил, более предпочтительно тетрагидрофуран-3-ил, тетрагидропиран-4-ил, пирролидин-3-ил, морфолино, пиперидин, пиперидин-4-ил или пиперазин-1-ил. Подходящие группы, в которых R1 представляет собой группу R5S(O)2O, в которой R5 представляет собой группу C1-6алкил, возможно замещенную одним или более чем одним фторо, включают метансульфонилокси, этансульфонилокси, н-пропилсульфонилокси, н-бутилсульфонилокси, 3-метилбутан-1-сульфонилокси, 3,3-диметилбутан-1-сульфонилокси, фторметилсульфонилокси, дифторметилсульфонилокси, трифторметилсульфонилокси, моно-, ди- или три(фторэтил)сульфонилокси, 3,3,3-трифторпропил-1-сульфонилокси или 4,4,4-трифторбутил-1-сульфонилокси. Подходящие группы, в которых R1 представляет собой группу C1-6алкокси, возможно замещенную одним или более чем одним фторо, включают бутокси, пентилокси, гексилокси, фторметокси, дифторметокси, трифторэтокси, 4,4,4-трифторбутокси, 5,5,5-трифторпентилокси и 6,6,6-трифторгексилокси. Подходящие группы, в которых R1 представляет собой группу R5S(O)2O, в которой R5 представляет собой группу фенил или гетероарил, каждая из которых возможно замещена 1, 2 или 3 группами, представляющими собой Z, включает фенилсульфонилокси, тиенилсульфонилокси или пиридилсульфонилокси, возможно замещенные 1, 2 или 3 группами, представляющими собой Z. Конкретная группа соединений формулы I представлена формулой IA
где R1 представляет собой: а) группу С3-6алкокси, замещенную одним или более чем одним фторо, б) группу формулы фенил(СН2)pО-, в которой p равно 1, 2 или 3, и фенильное кольцо возможно замещено 1, 2 или 3 группами, представляющими собой Z, в) группу R5S(O)2O, в которой R5 представляет собой группу C1-10алкил, возможно замещенную одним или более чем одним фторо, или R5 представляет собой тиенил или пиридил, каждый из которых возможно замещен одним или более чем одним галогено; R2a представляет собой Н или хлоро; R2b представляет собой Н или хлоро; R3 представляет собой группу CONHNR7R8, в которой NR7R8 представляет собой пиперидино, или R3 представляет собой группу CONR7R8, в которой R7 представляет собой Н, и R8 представляет собой пиридил, возможно замещенный галогено или трифторметилом, и R4 представляет собой группу C1-3алкил. Теперь далее приведены следующие значения R2a, R2b, R4, R5, R7 и R8 в соединениях формулы I и формулы IA. Следует понимать, что такие значения можно использовать, где это подходит, в любом из определений, пунктов формулы изобретения или воплощений, определенных в данном описании выше или ниже. В частности, в соединениях формулы IА, описанных непосредственно выше, R1 представляет собой группу R5S(O)2O, в которой R5 представляет собой группу С2-7алкил, возможно замещенный одним или более чем одним фторо. В частности, в соединениях формулы IA, описанных непосредственно выше, R1 представляет собой группу R5S(O)2O, в которой R5 представляет собой 2-тиенил, возможно замещенный хлоро, или R5 представляет собой 3-пиридил. В частности, в соединениях формулы IA, описанных непосредственно выше, R2a представляет собой хлоро, и R2b представляет собой хлоро. В частности, в соединениях формулы IA, описанных непосредственно выше, R3 представляет собой группу CONHNR7R8, в которой NR7R8 представляет собой пиперидино. В частности, в соединениях формулы IA, описанных непосредственно выше, R3 представляет собой группу CONR7R8, в которой R7 представляет собой Н, и R8 представляет собой пиридил, возможно замещенный трифторметилом. В частности, в соединениях формулы IA, описанных непосредственно выше, R4 представляет собой метил. Следующая конкретная группа соединений формулы I представлена формулой IA
где R1 представляет собой: а) группу С3-6алкокси, замещенную одним или более чем одним фторо, б) группу формулы фенил(СН2)pО-, в которой р равно 1, 2 или 3, и фенильное кольцо возможно замещено 1, 2 или 3 группами, представляющими собой Z, в) группу R5S(O)2O, в которой R5 представляет собой группу C1-6алкил, возможно замещенную одним или более чем одним фторо; R2a представляет собой Н или хлоро; R2b представляет собой Н или хлоро; R3 представляет собой группу CONHNR7R8, в которой NR7R8 представляет собой пиперидино, и R4 представляет собой группу С1-3алкил. Далее приведены следующие значения R1 в соединениях формулы I и формулы IА. Следует понимать, что такие значения можно использовать, где это подходит, в любом из определений, пунктов формулы изобретения или воплощений, определенных в данном описании выше или ниже. В одной группе соединений формулы I или формулы IА R1 представляет собой группу С3-6алкокси, замещенную одним или более чем одним фторо. Во второй группе соединений формулы I или формулы IA R1 представляет собой группу С4-6алкокси, возможно замещенную одним или более чем одним фторо. В третьей группе соединений формулы I или формулы IA R1 представляет собой группу С4-6алкокси, замещенную одним или более чем одним фторо. В четвертой группе соединений формулы I или формулы IA R1 представляет собой группу формулы фенил(СН2)pО-, в которой p равно 1, 2 или 3. В пятой группе соединений формулы I или формулы IA R1 представляет собой группу R5S(O)2O, в которой R5 представляет собой группу С1-6алкил, возможно замещенную одним или более чем одним фторо. В частности, R1 представляет собой 4,4,4-трифторбутокси, н-бутилсульфонилокси, н-пропилсульфонилокси, этилсульфонилокси, бензилокси, 4,4,4-трифторбутил-1-сульфонилокси или 3,3,3-трифторпропил-1-сульфонилокси. Более конкретно, R1 представляет собой 4,4,4-трифторбутокси, н-бутилсульфонилокси, н-пропилсульфонилокси, этилсульфонилокси или бензилокси. Другая конкретная группа соединений формулы I представлена формулой IA
где R1 представляет собой: а) группу С3-6алкокси, замещенную одним или более чем одним фторо, или б) группу R5S(О)2O, в которой R5 представляет собой группу C1-6алкил, возможно замещенную одним или более чем одним фторо; или R5 представляет собой группу фенил или гетероарил, каждая из которых возможно замещена 1, 2 или 3 группами, представляющими собой Z; R2a представляет собой хлоро; R2b представляет собой хлоро; R3 представляет собой группу CONHNR7R8, в которой NR7R8 представляет собой пиперидино, и R4 представляет собой группу C1-3алкил. В конкретной группе соединений формулы IА R1 представляет собой группу R5S(O)2O, в которой R5 представляет собой группу С1-6алкил, возможно замещенную одним или более чем одним фторо; R2a представляет собой хлоро; R2b представляет собой хлоро; R3 представляет собой группу CONHNR7R8, в которой NR7R8 представляет собой пиперидино, и R4 представляет собой группу С1-3алкил. В конкретной группе соединений формулы IA R1 представляет собой группу С4-6алкокси, возможно замещенную одним или более чем одним фторо; R2a представляет собой хлоро; R2b представляет собой хлоро; R3 представляет собой группу CONHNR7R8, в которой NR7R8 представляет собой пиперидино, и R4 представляет собой группу C1-3алкил. В конкретной группе соединений формулы IА R1 представляет собой группу С4-6алкокси, замещенную одним или более чем одним фторо; R2a представляет собой хлоро; R2b представляет собой хлоро; R3 представляет собой группу CONHNR7R8, в которой NR7R8 представляет собой пиперидино, и R4 представляет собой группу C1-3алкил. “Фармацевтически приемлемая соль”, где такие соли возможны, включает как соли присоединения кислот, так и соли присоединения оснований. Подходящей фармацевтически приемлемой солью соединения формулы I является, например, соль присоединения кислоты соединения формулы I, которое является по существу основным, например, соль присоединения кислоты с неорганической или органической кислотой, такой как соляная, бромистоводородная, серная, трифторуксусная, лимонная или малеиновая кислота; или, например, соль соединения формулы I, которое является по существу кислым, например, соль щелочного или щелочноземельного металла, такая как соль натрия, кальция или магния или соль аммония, или соль с органическим основанием, таким как метиламин, диметиламин, триметиламин, пиперидин, морфолин или трис-(2-гидроксиэтил)амин. Во всем описании и в прилагаемой формуле изобретения данная химическая формула или название должны охватывать все стерео- и оптические изомеры и их рацематы, а также смеси в различных соотношениях отдельных энантиомеров, где такие изомеры и энантиомеры существуют, а также их фармацевтически приемлемые соли и их сольваты, такие как, например, гидраты. Изомеры могут быть разделены с использованием общепринятых методик, например хроматографии или фракционной кристаллизации. Энантиомеры могут быть выделены путем разделения рацемата, например, путем фракционной кристаллизации, разрешения или ВЭЖХ. Диастереомеры могут быть выделены путем разделения смесей изомеров, например, путем фракционной кристаллизации, ВЭЖХ или флэш-хроматографии. Альтернативно стереоизомеры могут быть получены путем хирального синтеза из хиральных исходных веществ в условиях, которые не вызывают рацемизацию или эпимеризацию, или путем получения производных с хиральным реагентом. Все стереоизомеры включены в объем изобретения. Все таутомеры, где это возможно, включены в объем изобретения. Настоящее изобретение также охватывает соединения, содержащие один или более чем один изотоп, например 14С, 11С или 19F, и их применение в качестве меченных изотопами соединений для фармакологических и метаболических исследований. Настоящее изобретение также охватывает пролекарства соединения формулы I, то есть соединения, которые превращаются в соединение формулы I in vivo. Приведенные ниже определения следует использовать во всем описании и в прилагаемой формуле изобретения. Если не определено и не указано иное, то термин “алкил” означает или прямую, или разветвленную алкильную группу. Примеры указанного алкила включают метил, этил, н-пропил, изопропил, н-бутил, изобутил, втор-бутил и трет-бутил. Предпочтительными алкильными группами являются метил, этил, пропил, изопропил и третичный бутил. Если не определено и не указано иное, то термин “алкокси” означает группу О-алкил, где алкил является таким, как определено выше. Если не определено и не указано иное, под термином “галоген” следует подразумевать фтор, хлор, бром или йод. Конкретные соединения по изобретению представляют собой одно или более соединений из приведенных ниже: пиперидин-1-иламид 1-(4-бензилоксифенил)-2-(2,4-дихлорфенил)-5-метил-1Н-имидазол-4-карбоновой кислоты; 4-[2-(2,4-дихлорфенил)-5-метил-4-(пиперидин-1-илкарбамоил)имидазол-1-ил]фениловый эфир этансульфоновой кислоты; 4-[2-(2,4-дихлорфенил)-5-метил-4-(пиперидин-1-илкарбамоил)имидазол-1-ил]фениловый эфир пропан-1-сульфоновой кислоты; 4-[2-(2,4-дихлорфенил)-5-метил-4-(пиперидин-1-илкарбамоил)имидазол-1-ил]фениловый эфир бутан-1-сульфоновой кислоты; пиперидин-1-иламид 2-(2,4-дихлорфенил)-5-метил-1-[4-(4,4,4-трифторбутокси)фенил]-1Н-имидазол-4-карбоновой кислоты; 4-[2-(2,4-дихлорфенил)-5-метил-4-(пиперидин-1-илкарбамоил)имидазол-1-ил]фениловый эфир 3,3,3-трифторпропан-1-сульфоновой кислоты; 4-[2-(2,4-дихлорфенил)-5-метил-4-(пиперидин-1-илкарбамоил)имидазол-1-ил]фениловый эфир 4,4,4-трифторбутан-1-сульфоновой кислоты; 4-{2-(2,4-дихлорфенил)-5-метил-4-[(пиперидин-1-иламино)карбонил]-1H-имидазол-1-ил}фенилтиофен-2-сульфонат; 4-{2-(2,4-дихлорфенил)-5-метил-4-[(пиперидин-1-иламино)карбонил]-1H-имидазол-1-ил}фенилпиридин-3-сульфонат; 4-{2-(2,4-дихлорфенил)-5-метил-4-[(пиперидин-1-иламино)карбонил]-1Н-имидазол-1-ил}фенилпиридин-3-сульфонат; 4-{2-(2,4-дихлорфенил)-5-метил-4-[(пиперидин-1-иламино)карбонил]-1H-имидазол-1-ил}фенил-3-метилбутан-1-сульфонат; 4-{2-(2,4-дихлорфенил)-5-метил-4-[(пиперидин-1-иламино)карбонил]-1Н-имидазол-1-ил}фенил-3,3-диметилбутан-1-сульфонат; 4-[2-(2,4-дихлорфенил)-5-метил-4- ({[5-(трифторметил)пиридин-2-ил]амино}карбонил)-1Н-имидазол-1-ил]фенил-3,3,3-трифторпропан-1-сульфонат; 4-[2-(2,4-дихлорфенил)-5-метил-4- ({[5-(трифторметил)пиридин-2-ил]амино}карбонил)-1Н-имидазол-1-ил]фенил-3-метилбутан-1-сульфонат и их фармацевтически приемлемые соли. Способы получения Соединения по изобретению могут быть получены, как изображено ниже, в соответствии с любым из приведенных ниже способов. Однако изобретение не ограничено этими способами, эти соединения могут быть также получены, как описано для структурно родственных соединений в предшествующем уровне техники. Соединения формулы I, в которых R1 представляет собой а) группу С3-6алкокси, замещенную одним или более чем одним фторо, или б) группу формулы фенил(СН2)pО-, в которой p равно 1, 2 или 3, и фенильное кольцо возможно замещено 1, 2 или 3 группами, представляющими собой Z, или в) группу R5S(O)2O, могут быть получены путем взаимодействия соединения формулы II
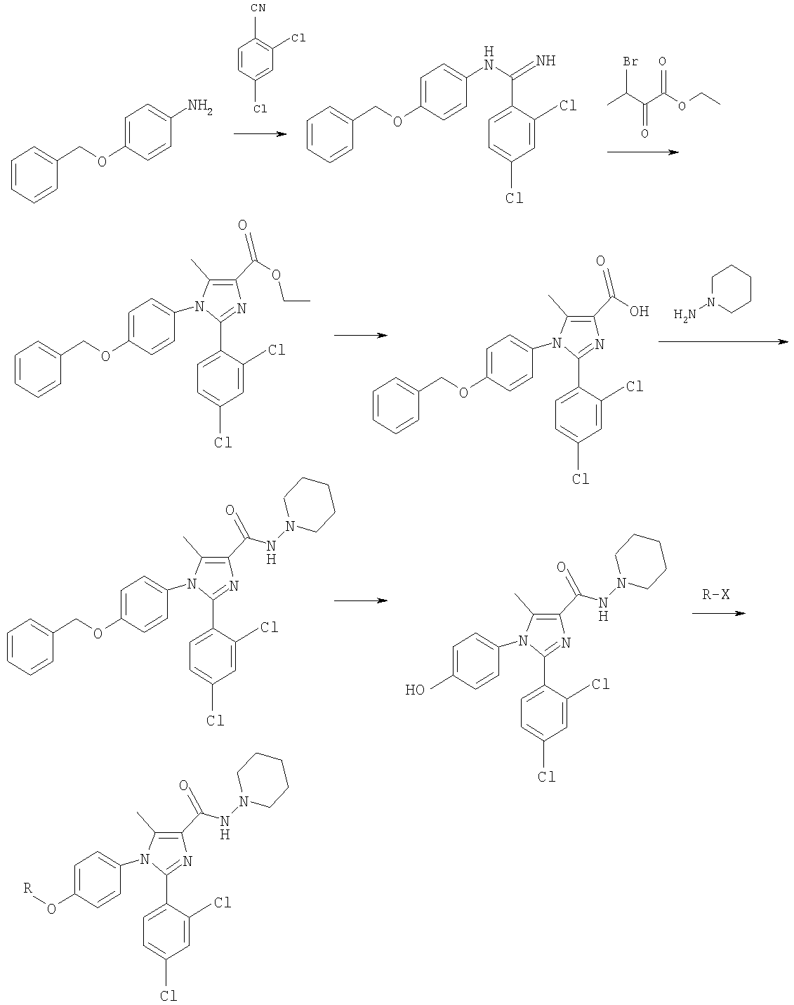
в котором R2, R3, R4, Rа, m и n являются такими, как определено выше, с группой R1A-X, в которой R1A представляет собой такую группу, что R1AO представляет собой R1, и Х представляет собой уходящую группу, например галогено, при температуре в интервале от -25°С до 150°С в присутствии инертного растворителя, например дихлорметана, и возможно в присутствии основания, например триэтиламина или пиридина. Соединения формулы I, в которых Rа, R1, R2, R4, m и n являются такими, как определено выше, и R3 представляет собой группу X-Y-NR7R8, в которой Х представляет собой СО, a Y, R7 и R8 являются такими, как определено выше, могут быть получены путем взаимодействия соединения формулы III
в котором Ra, R1, R2, R4, m и n являются такими, как определено выше, и R10 представляет собой Н или группу C1-6алкил, с соединением формулы IV или его солью
в котором Y, R7 и R8 являются такими, как определено выше, в инертном растворителе, например в толуоле, в присутствии кислоты Льюиса, например триметилалюминия, при температуре в интервале от -25°С до 150°С, когда R10 представляет собой группу С1-6алкил; или альтернативно, когда R10 представляет собой Н, путем взаимодействия соединения формулы III с хлорирующим агентом, например оксалилхлоридом, и затем взаимодействия полученного хлорангидрида с амином формулы IV в инертном растворителе, например в дихлорметане, в присутствии основания, например триэтиламина, при температуре в интервале от -25°С до 150°С. Соединения формулы I, в которых Rа, R1, R2, R4, m и n являются такими, как определено выше, и R3 представляет собой группу X-Y-NR7R8, в которой Х представляет собой SO2, могут быть получены путем взаимодействия соединения формулы V в котором Rа, R1, R2, R4, m и n являются такими, как определено выше, и А представляет собой уходящую группу, например галогено, например хлоро, с соединением формулы IV, в котором Y, R7 и R8 являются такими, как определено выше, или его солью в инертном растворителе, например в ТГФ или дихлорметане, в присутствии основания, например карбоната калия, триэтиламина или пиридина, при температуре в интервале от -25°С до 150°С. Соединения формулы I, в которых Rа, R2, R3, R4, m и n являются такими, как определено выше, и R1 представляет собой группу R5S(O)2NH, могут быть получены путем взаимодействия соединения формулы VI в котором Rа, R2, R3, R4, m и n являются такими, как определено выше, с сульфонирующим агентом формулы R5SO2L, в которой R5 является таким, как определено выше, и L представляет собой уходящую группу, например хлоро, в инертном растворителе, например в дихлорметане, в присутствии основания, например триэтиламина, при температуре в интервале от -25°С до 150°С. Предполагают, что некоторые промежуточные соединения являются новыми и образуют часть настоящего изобретения, в частности соединения формулы III, определенные выше и включающие каждое определение R1, приведенное выше. Соединения формулы II, III, V и VI могут быть получены с помощью общего синтетического пути, показанного в конце примеров, и их адаптаций или аналогичными способами, известными специалистам в данной области. Специалистам в данной области следует понимать, что в последовательности реакций для некоторых функциональных групп будет необходима защита с последующим удалением защиты на соответствующей стадии; см. “Protective Groups in Organic Synthesis”, 3rd Edition (1999) by Greene and Wuts. Фармацевтические препараты Соединения по изобретению будут обычно вводиться путем перорального, парентерального, внутривенного, внутримышечного, подкожного или другого пути инъекции, трансбуккального, ректального, вагинального, чрескожного и/или назального пути и/или путем ингаляции в форме фармацевтических препаратов, содержащих активный ингредиент или его фармацевтически приемлемую соль присоединения в фармацевтически приемлемой лекарственной форме. В зависимости от расстройства и от пациента, подлежащего лечению, а также от пути введения композиции можно вводить в варьирующих дозах. Подходящие суточные дозы соединений по изобретению при терапевтическом лечении людей составляют примерно 0,001-10 мг/кг массы тела, предпочтительно 0,01-1 мг/кг массы тела. Предпочтительными являются пероральные препараты, в частности, таблетки или капсулы, препараты которых могут быть приготовлены способами, известными специалистам в данной области, с обеспечением доз активного соединения в интервале от 0,5 мг до 500 мг, например 1 мг, 3 мг, 5 мг, 10 мг, 25 мг, 50 мг, 100 мг и 250 мг. Согласно другому аспекту изобретения также предложен фармацевтический препарат, включающий любое из соединений по изобретению или его фармацевтически приемлемые производные в смеси с фармацевтически приемлемыми адъювантами, разбавителями и/или носителями. Фармакологические свойства Соединения формулы (I) полезны для лечения ожирения или избыточной массы тела (например, для стимуляции потери массы и поддержания потери массы), предупреждения увеличения массы (например, индуцированного лекарствами или являющегося следствием прекращения курения), для модулирования аппетита и/или насыщения, расстройств пищевого поведения (например, переедания, анорексии, булимии и компульсивного расстройства), пристрастий (к лекарствам, табаку, алкоголю, каким-либо вызывающим аппетит макронутриентам или несущественным пищевым продуктам), для лечения психиатрических расстройств, таких как психотические расстройства и/или расстройства настроения, шизофрения и шизоаффективное расстройство, биполярные расстройства, тревога, тревожно-депрессивные расстройства, депрессия, мания, обсессивно-компульсивные расстройства, расстройства контроля импульсов (например, синдром Жиля де ля Туретта), расстройства внимания, такие как ADD/ADHD (синдром дефицита внимания/синдром дефицита внимания с гиперактивностью), стресс, а также неврологических расстройств, таких как деменция и нарушение когнитивной способности и/или памяти (например, амнезия, болезнь Альцгеймера, деменция Пика, возрастная деменция, сосудистая деменция, легкое когнитивное нарушение, связанное с возрастом когнитивное снижение и легкая возрастная деменция), неврологических и/или нейродегенеративных расстройств (например, рассеянного склероза, синдрома Рейно, болезни Паркинсона, хореи Гентингтона и болезни Альцгеймера), расстройств, связанных с демиелинизацией, неврологических воспалительных расстройств (например, синдрома Гийена-Барре). Эти соединения также потенциально полезны для предупреждения или лечения расстройств и типов поведения, связанных с зависимостями и аддикциями (например, злоупотребления алкоголем и/или лекарственными средствами, патологической игромании, клептомании), расстройств, связанных с отменой лекарств (например, отмены алкоголя с нарушениями или без нарушений способности восприятия; бреда, связанного с отменой алкоголя; отмены амфетамина; отмены кокаина; отмены никотина; отмены опиоидов; отмены седативных, снотворных или анксиолитических средств с нарушениями или без нарушений способности восприятия; бреда, связанного с отменой седативных, снотворных или анксиолитических средств, и симптомов отмены, связанных с другими веществами), расстройств настроения, вызванных алкоголем и/или лекарственными средствами, тревоги и/или расстройства сна с началом во время отмены и рецидива приема алкоголя и/или лекарственных средств. Эти соединения также потенциально полезны для предупреждения или лечения неврологических нарушений, таких как дистонии, дискинезии, акатизия, тремор и спастичность, лечения повреждения спинного мозга, невропатии, мигрени, расстройств бдительности (vigilance), расстройств сна (например, нарушенной архитектуры сна, апноэ во сне, обструктивного апноэ во сне, синдрома апноэ во сне), болевых расстройств, черепно-мозговой травмы. Эти соединения также потенциально полезны для лечения иммунных, сердечно-сосудистых расстройств (например, атеросклероза, артериосклероза, стенокардии, аномального сердечного ритма и аритмий, застойной сердечной недостаточности, коронарной артериальной болезни, сердечного заболевания, гипертензии, предупреждения и лечения гипертрофии левого желудочка, инфаркта миокарда, временного приступа ишемии, периферического сосудистого заболевания, системного воспаления кровеносных сосудов, септического шока, удара, церебральной апоплексии, церебрального инфаркта, церебральной ишемии, церебрального тромбоза, церебральной эмболии, церебральной геморрагии, нарушений обмена веществ (например, состояний, при которых проявляется пониженная метаболическая активность или снижение расхода энергии в состоянии покоя как процент суммарной массы без жира, сахарного диабета, дислипидемии, жировой инфильтрации печени, подагры, гиперхолестеринемии, гиперлипидемии, гипертриглицеридемии, гиперурикемии, нарушенной толерантности к глюкозе, нарушенной глюкозы натощак, инсулинорезистентности, синдрома инсулинорезистентности, метаболического синдрома, синдрома X, синдрома ожирения-гиповентиляции (пикквикского синдрома), диабета типа I, диабета типа II, низких уровней холестерина ЛПВП и/или высоких уровней холестерина ЛПНП, низких уровней адипонектина), репродуктивных и эндокринных расстройств (например, лечения гипогонадизма у мужчин, лечения бесплодия или в качестве контрацептивного средства, нарушений менструального цикла/дисменореи, болезни поликистозных яичников, половой и репродуктивной дисфункции у женщин и мужчин (эректильной дисфункции), субъектов с дефицитом гормона роста, гирсутизма у женщин, низкорослости как варианта нормы) и заболеваний, связанных с респираторной (например, астмы и хронического обструктивного заболевания легких) и желудочно-кишечной системами (например, нарушения моторики желудочно-кишечного тракта или перистальтики кишечника, диареи, рвоты, тошноты, болезни желчного пузыря, холелитиаза, гастроэзофагеального рефлюкса, связанного с ожирением, язв). Эти соединения также потенциально полезны в качестве агентов при лечении дерматологических расстройств, раковых заболеваний (например, толстой кишки, прямой кишки, простаты, молочной железы, яичника, эндометрия, шейки матки, желчного пузыря, желчного протока), краниофарингиомы, синдрома Прадера-Вилли, синдрома Тернера, синдрома Фрелиха (Frohlich’s syndrome), глаукомы, инфекционных заболеваний, расстройств мочевых путей и воспалительных расстройств (например, деформирующего артрита, воспаления, воспалительных осложнений после вирусного энцефалита, остеоартрита) и ортопедических расстройств. Эти соединения также потенциально полезны в качестве агентов при лечении ахалазии (пищевода). В другом аспекте в настоящем изобретении предложено соединение формулы I, как оно определено выше, для применения в качестве лекарства. В следующем аспекте в настоящем изобретении предложено применение соединения формулы I в изготовлении лекарства для лечения или профилактики ожирения или избыточной массы тела (например, для стимуляции потери массы и поддержания потери массы), предупреждения увеличения массы (например, индуцированного лекарствами или являющегося следствием прекращения курения), для модулирования аппетита и/или насыщения, расстройств пищевого поведения (например, переедания, анорексии, булимии и компульсивного расстройства), пристрастий (к лекарствам, табаку, алкоголю, каким-либо вызывающим аппетит макронутриентам или несущественным пищевым продуктам), для лечения психиатрических расстройств, таких как психотические расстройства и/или расстройства настроения, шизофрения и шизоаффективное расстройство, биполярные расстройства, тревога, тревожно-депрессивные расстройства, депрессия, мания, обсессивно-компульсивные расстройства, расстройства контроля импульсов (например, синдром Жиля де ля Туретта), расстройства внимания, такие как ADD/ADHD, стресс, а также неврологических расстройств, таких как деменция и нарушение когнитивной способности и/или памяти (например, амнезия, болезнь Альцгеймера, деменция Пика, возрастная деменция, сосудистая деменция, легкое когнитивное нарушение, связанное с возрастом когнитивное снижение и легкая возрастная деменция), неврологических и/или нейродегенеративных расстройств (например, рассеянного склероза, синдрома Рейно, болезни Паркинсона, хореи Гентингтона и болезни Альцгеймера), расстройств, связанных с демиелинизацией, неврологических воспалительных расстройств (например, синдрома Гийена-Барре). В следующем аспекте в настоящем изобретении предложено применение соединения формулы I в изготовлении лекарства для лечения или профилактики расстройств и типов поведения, связанных с зависимостями и аддикциями (например, злоупотребления алкоголем и/или лекарственными средствами, патологической игромании, клептомании), расстройств, связанных с отменой лекарств (например, отмены алкоголя с нарушениями или без нарушений способности восприятия; бреда, связанного с отменой алкоголя; отмены амфетамина; отмены кокаина; отмены никотина; отмены опиоидов; отмены седативных, снотворных или анксиолитических средств с нарушениями или без нарушений способности восприятия; бреда, связанного с отменой седативных, снотворных или анксиолитических средств, и симптомов отмены, связанных с другими веществами), расстройств настроения, вызванных алкоголем и/или лекарствами, тревоги и/или расстройства сна с началом во время отмены и рецидива приема алкоголя и/или лекарственных средств. В следующем аспекте в настоящем изобретении предложено применение соединения формулы I в изготовлении лекарства для лечения или профилактики неврологических нарушений, таких как дистонии, дискинезии, акатизия, тремор и спастичность, лечения повреждения спинного мозга, невропатии, мигрени, расстройств бдительности, расстройств сна (например, нарушенной архитектуры сна, апноэ во сне, обструктивного апноэ во сне, синдрома апноэ во сне), болевых расстройств, черепно-мозговой травмы. В следующем аспекте в настоящем изобретении предложено применение соединения формулы I в изготовлении лекарства для лечения или профилактики иммунных, сердечно-сосудистых расстройств (например, атеросклероза, артериосклероза, стенокардии, аномального сердечного ритма и аритмий, застойной сердечной недостаточности, коронарной артериальной болезни, сердечного заболевания, гипертензии, предупреждения и лечения гипертрофии левого желудочка, инфаркта миокарда, временного приступа ишемии, периферического сосудистого заболевания, системного воспаления кровеносных сосудов, септического шока, удара, церебральной апоплексии, церебрального инфаркта, церебральной ишемии, церебрального тромбоза, церебральной эмболии, церебральной геморрагии, нарушений обмена веществ (например, состояний, при которых проявляется пониженная метаболическая активность или снижение расхода энергии в состоянии покоя как процент суммарной массы без жира, сахарного диабета, дислипидемии, жировой инфильтрации печени, подагры, гиперхолестеринемии, гиперлипидемии, гипертриглицеридемии, гиперурикемии, нарушенной толерантности к глюкозе, нарушенной глюкозы натощак, инсулинорезистентности, синдрома инсулинорезистентности, метаболического синдрома, синдрома X, синдрома ожирения-гиповентиляции (пикквикского синдрома), диабета типа I, диабета типа II, низких уровней холестерина ЛПВП и/или высоких уровней холестерина ЛПНП, низких уровней адипонектина), репродуктивных и эндокринных расстройств (например, лечения гипогонадизма у мужчин, лечения бесплодия или в качестве контрацептивного средства, нарушений менструального цикла/дисменореи, болезни поликистозных яичников, половой и репродуктивной дисфункции у женщин и мужчин (эректильной дисфункции), субъектов с дефицитом гормона роста, гирсутизма у женщин, низкорослости как варианта нормы) и заболеваний, связанных с респираторной (например, астмы и хронического обструктивного заболевания легких) и желудочно-кишечной системами (например, нарушения моторики желудочно-кишечного тракта или перистальтики кишечника, диареи, рвоты, тошноты, болезни желчного пузыря, холелитиаза, гастроэзофагеального рефлюкса, связанного с ожирением, язв). В следующем аспекте в настоящем изобретении предложено применение соединения формулы I в изготовлении лекарства для лечения или профилактики дерматологических расстройств, раковых заболеваний (например, толстой кишки, прямой кишки, простаты, молочной железы, яичника, эндометрия, шейки матки, желчного пузыря, желчного протока), краниофарингиомы, синдрома Прадера-Вилли, синдрома Тернера, синдрома Фрелиха, глаукомы, инфекционных заболеваний, расстройств мочевых путей и воспалительных расстройств (например, деформирующего артрита, воспаления, воспалительных осложнений после вирусного энцефалита, остеоартрита) и ортопедических расстройств. Еще в одном аспекте в настоящем изобретении предложен способ, включающий введение пациенту, нуждающемуся в этом, фармакологически эффективного количества соединения формулы I для профилактики или лечения ожирения или избыточной массы тела (например, для стимуляции потери массы и поддержания потери массы), предупреждения увеличения массы (например, индуцированного лекарствами или являющегося следствием прекращения курения), для модулирования аппетита и/или насыщения, расстройств пищевого поведения (например, переедания, анорексии, булимии и компульсивного расстройства), пристрастий (к лекарствам, табаку, алкоголю, каким-либо вызывающим аппетит макронутриентам или несущественным пищевым продуктам), для лечения психиатрических расстройств, таких как психотические расстройства и/или расстройства настроения, шизофрения и шизоаффективное расстройство, биполярные расстройства, тревога, тревожно-депрессивные расстройства, депрессия, мания, обсессивно-компульсивные расстройства, расстройства контроля импульсов (например, синдром Жиля де ля Туретта), расстройства внимания, такие как ADD/ADHD, стресс, а также неврологических расстройств, таких как деменция и нарушение когнитивной способности и/или памяти (например, амнезия, болезнь Альцгеймера, деменция Пика, возрастная деменция, сосудистая деменция, легкое когнитивное нарушение, связанное с возрастом когнитивное снижение и легкая возрастная деменция), неврологических и/или нейродегенеративных расстройств (например, рассеянного склероза, синдрома Рейно, болезни Паркинсона, хореи Гентингтона и болезни Альцгеймера), расстройств, связанных с демиелинизацией, неврологических воспалительных расстройств (например, синдрома Гийена-Барре). Еще в одном аспекте в настоящем изобретении предложен способ, включающий введение пациенту, нуждающемуся в этом, фармакологически эффективного количества соединения формулы I для профилактики или лечения расстройств и типов поведения, связанных с зависимостями и аддикциями (например, злоупотребления алкоголем и/или лекарственными средствами, патологической игромании, клептомании), расстройств, связанных с отменой лекарств (например, отмены алкоголя с нарушениями или без нарушений способности восприятия; бреда, связанного с отменой алкоголя; отмены амфетамина; отмены кокаина; отмены никотина; отмены опиоидов; отмены седативных, снотворных или анксиолитических средств с нарушениями или без нарушений способности восприятия; бреда, связанного с отменой седативных, снотворных или анксиолитических средств, и симптомов отмены, связанных с другими веществами), расстройств настроения, вызванных алкоголем и/или лекарствами, тревоги и/или расстройства сна с началом во время отмены и рецидива приема алкоголя и/или лекарственных средств. Еще в одном аспекте в настоящем изобретении предложен способ, включающий введение пациенту, нуждающемуся в этом, фармакологически эффективного количества соединения формулы I для профилактики или лечения неврологических нарушений, таких как дистонии, дискинезии, акатизия, тремор и спастичность, лечения повреждения спинного мозга, невропатии, мигрени, расстройств бдительности, расстройств сна (например, нарушенной архитектуры сна, апноэ во сне, обструктивного апноэ во сне, синдрома апноэ во сне), болевых расстройств, черепно-мозговой травмы. Еще в одном аспекте в настоящем изобретении предложен способ, включающий введение пациенту, нуждающемуся в этом, фармакологически эффективного количества соединения формулы I для профилактики или лечения иммунных, сердечно-сосудистых расстройств (например, атеросклероза, артериосклероза, стенокардии, аномального сердечного ритма и аритмий, застойной сердечной недостаточности, коронарной артериальной болезни, сердечного заболевания, гипертензии, предупреждения и лечения гипертрофии левого желудочка, инфаркта миокарда, временного приступа ишемии, периферического сосудистого заболевания, системного воспаления кровеносных сосудов, септического шока, удара, церебральной апоплексии, церебрального инфаркта, церебральной ишемии, церебрального тромбоза, церебральной эмболии, церебральной геморрагии, нарушений обмена веществ (например, состояний, при которых проявляется пониженная метаболическая активность или снижение расхода энергии в состоянии покоя как процент суммарной массы без жира, сахарного диабета, дислипидемии, жировой инфильтрации печени, подагры, гиперхолестеринемии, гиперлипидемии, гипертриглицеридемии, гиперурикемии, нарушенной толерантности к глюкозе, нарушенной глюкозы натощак, инсулинорезистентности, синдрома инсулинорезистентности, метаболического синдрома, синдрома X, синдрома ожирения-гиповентиляции (пикквикского синдрома), диабета типа I, диабета типа II, низких уровней холестерина ЛПВП и/или высоких уровней холестерина ЛПНП, низких уровней адипонектина), репродуктивных и эндокринных расстройств (например, лечения гипогонадизма у мужчин, лечения бесплодия или в качестве контрацептивного средства, нарушений менструального цикла/дисменореи, болезни поликистозных яичников, половой и репродуктивной дисфункции у женщин и мужчин (эректильной дисфункции), субъектов с дефицитом гормона роста, гирсутизма у женщин, низкорослости как варианта нормы) и заболеваний, связанных с респираторной (например, астмы и хронического обструктивного заболевания легких) и желудочно-кишечной системами (например, нарушения моторики желудочно-кишечного тракта или перистальтики кишечника, диареи, рвоты, тошноты, болезни желчного пузыря, холелитиаза, гастроэзофагеального рефлюкса, связанного с ожирением, язв). Еще в одном аспекте в настоящем изобретении предложен способ, включающий введение пациенту, нуждающемуся в этом, фармакологически эффективного количества соединения формулы I для профилактики или лечения дерматологических расстройств, раковых заболеваний (например, толстой кишки, прямой кишки, простаты, молочной железы, яичника, эндометрия, шейки матки, желчного пузыря, желчного протока), краниофарингиомы, синдрома Прадера-Вилли, синдрома Тернера, синдрома Фрелиха, глаукомы, инфекционных заболеваний, расстройств мочевых путей и воспалительных расстройств (например, деформирующего артрита, воспаления, воспалительных осложнений после вирусного энцефалита, остеоартрита) и ортопедических расстройств. Соединения по настоящему изобретению особенно подходят для лечения ожирения или избыточной массы (например, для стимуляции потери массы и поддержания потери массы), предупреждения рецидива увеличения массы (например, возобновления симптомов, индуцированного лекарствами или являющегося следствием прекращения курения), для модулирования аппетита и/или насыщения, расстройств пищевого поведения (например, переедания, анорексии, булимии и компульсивного расстройства), пристрастий (к лекарствам, табаку, алкоголю, каким-либо вызывающим аппетит макронутриентам или несущественным пищевым продуктам). Соединения формулы (I) полезны для лечения ожирения, психиатрических расстройств, таких как психотические расстройства, шизофрения, биполярные расстройства, тревога, тревожно-депрессивные расстройства, депрессия, когнитивные расстройства, расстройства памяти, обсессивно-компульсивные расстройства, анорексия, булимия, расстройства внимания, такие как ADHD, эпилепсия и родственные состояния, и неврологических расстройств, таких как деменция, неврологические расстройства (например, рассеянный склероз), синдром Рейно, болезнь Паркинсона, хорея Гентингтона и болезнь Альцгеймера. Эти соединения также потенциально полезны для лечения иммунных, сердечно-сосудистых, репродуктивных и эндокринных расстройств, септического шока и заболеваний, связанных с респираторной и желудочно-кишечной системами (например, диареи). Эти соединения также потенциально полезны в качестве агентов при лечении симптомов, связанных с длительным злоупотреблением, аддикцией и/или рецидивом, например, при лечении лекарственной зависимости (к никотину, этанолу, кокаину, опиатам и т.д.) и/или при лечении симптомов отмены лекарств (никотина, этанола, кокаина, опиатов и т.д.). Эти соединения могут также подавлять увеличение массы, которое обычно сопровождает прекращение курения. В другом аспекте в настоящем изобретении предложено соединение формулы I, как оно определено выше, для применения в качестве лекарства. В следующем аспекте в настоящем изобретении предложено применение соединения формулы I в изготовлении лекарства для лечения или профилактики ожирения, психиатрических расстройств, таких как психотические расстройства, шизофрения, биполярные расстройства, тревога, тревожно-депрессивные расстройства, депрессия, когнитивные расстройства, расстройства памяти, обсессивно-компульсивные расстройства, анорексия, булимия, расстройства внимания, такие как ADHD, эпилепсия и родственные состояния, и неврологических расстройств, таких как деменция, неврологические расстройства (например, рассеянный склероз), синдром Рейно, болезнь Паркинсона, хорея Гентингтона и болезнь Альцгеймера, иммунных, сердечно-сосудистых, репродуктивных и эндокринных расстройств, септического шока и заболеваний, связанных с респираторной и желудочно-кишечной системами (например, диареи) и симптомов, связанных с длительным злоупотреблением, аддикцией и/или рецидивом, например, для лечения лекарственной зависимости (к никотину, этанолу, кокаину, опиатам и т.д.) и/или для лечения симптомов отмены лекарств (никотина, этанола, кокаина, опиатов и т.д.). Еще в одном аспекте в настоящем изобретении предложен способ лечения ожирения, психиатрических расстройств, таких как психотические расстройства, шизофрения, биполярные расстройства, тревога, тревожно-депрессивные расстройства, депрессия, когнитивные расстройства, расстройства памяти, обсессивно-компульсивные расстройства, анорексия, булимия, расстройства внимания, такие как ADHD, эпилепсия и родственные состояния, и неврологических расстройств, таких как деменция, неврологические расстройства (например, рассеянный склероз), синдром Рейно, болезнь Паркинсона, хорея Гентингтона и болезнь Альцгеймера, иммунных, сердечно-сосудистых, репродуктивных и эндокринных расстройств, септического шока и заболеваний, связанных с респираторной и желудочно-кишечной системами (например, диареи), а также симптомов, связанных с длительным злоупотреблением, аддикцией и/или рецидивом, например, лечения лекарственной зависимости (к никотину, этанолу, кокаину, опиатам и т.д.) и/или лечения симптомов отмены лекарств (никотина, этанола, кокаина, опиатов и т.д.), включающий введение пациенту, нуждающемуся в этом, фармакологически эффективного количества соединения формулы I. Соединения по настоящему изобретению особенно подходят для лечения ожирения, например, путем снижения аппетита и массы тела, поддержания снижения массы и предупреждения возобновления симптомов. Соединения по настоящему изобретению можно также применять для предупреждения или обратного развития увеличения массы, индуцированного лекарствами, например увеличения массы, вызванного антипсихотической (нейролептической) терапией. Соединения по настоящему изобретению можно также применять для предупреждения или обратного развития увеличения массы, связанного с прекращением курения. Соединения по настоящему изобретению подходят для применения в лечении вышеуказанных симптомов как у пациентов-подростков, так и у взрослых пациентов. Комбинированная терапия Соединения по изобретению можно комбинировать с другими терапевтическими агентами, которые полезны при лечении ожирения, такими как другие лекарства против ожирения, которые воздействуют на расход энергии, гликолиз, глюконеогенез, глюкогенолиз, липолиз, липогенез, всасывание жиров, запасание жиров, выделение жиров, механизмы голода и/или насыщения и/или пристрастия, аппетит/мотивацию, прием пищи или моторику желудочно-кишечного тракта. Соединения по изобретению можно дополнительно комбинировать с другим терапевтическим агентом, который полезен при лечении расстройств, связанных с ожирением, таких как гипертензия, гиперлипидемии, дислипидемии, диабет, апноэ во сне, астма, сердечные расстройства, атеросклероз, макро- и микрососудистые заболевания, жировая инфильтрация печени, рак, расстройства суставов и расстройства желчного пузыря. Например, соединение по настоящему изобретению можно использовать в комбинации с другим терапевтически агентом, который снижает кровяное давление или который повышает соотношение ЛПНП:ЛПВП, или с агентом, который вызывает снижение уровней холестерина ЛПНП в кровотоке. У пациентов с сахарным диабетом соединения по изобретению можно также комбинировать с терапевтическими агентами, используемыми для лечения осложнений, связанных с микроангиопатиями. Соединения по изобретению можно использовать параллельно с другими терапиями для лечения ожирения и связанных с ним осложнений, метаболического синдрома и диабета типа II, и они включают бигуанидные лекарства, инсулин (синтетические аналоги инсулина) и пероральные антигипергликемические средства (они делятся на регуляторы глюкозы после приема пищи и ингибиторы альфа-глюкозидазы). В другом аспекте изобретения соединение формулы I или его фармацевтически приемлемую соль можно вводить в сочетании с агентом, модулирующим PPAR (peroxisome proliferator activated receptor, рецептор, активируемый пролифератором пероксисом). Агенты, модулирующие PPAR, включают, но не ограничиваются ими, агонист PPAR-альфа и/или гамма или их фармацевтически приемлемые соли, сольваты, сольваты таких солей или их пролекарства. Подходящие агонисты PPAR-альфа и/или гамма или их фармацевтически приемлемые соли, сольваты, сольваты таких солей или их пролекарства хорошо известны в данной области. Кроме того, комбинацию по изобретению можно использовать в сочетании с сульфонилмочевиной. Настоящее изобретение также включает соединение по настоящему изобретению в комбинации с агентом, снижающим уровень холестерина. Агенты, снижающие уровень холестерина, на которые ссылаются в данной заявке, включают, но не ограничиваются ими, ингибиторы ГМК-КоА-редуктазы (3-гидрокси-3-метилглутарил-коэнзим А-редуктазы). Подходящим ингибитором ГМК-КоА-редуктазы является статин. В настоящей заявке термин “агент, снижающий уровень холестерина”, также включает химические модификации ингибиторов ГМК-КоА-редуктазы, такие как эфиры, пролекарства и метаболиты, активные или неактивные. Настоящее изобретение также включает соединение по настоящему изобретению в комбинации с ингибитором системы транспорта желчных кислот в подвздошной кишке (ингибитором IВАТ). Настоящее изобретение также включает соединение по настоящему изобретению в комбинации со смолой, связывающей желчные кислоты. Настоящее изобретение также включает соединение по настоящему изобретению в комбинации с агентом-секвестрантом желчных кислот, например колестиполом или колестирамином, или колестагелем. Согласно еще одному аспекту настоящего изобретения предложено комбинированное лечение, включающее введение теплокровному животному, такому как человек, нуждающемуся в таком терапевтическом лечении, эффективного количества соединения формулы I или его фармацевтически приемлемой соли, возможно вместе с фармацевтически приемлемым разбавителем или носителем, с одновременным, последовательным или раздельным введением одного или более чем одного из приведенных ниже агентов, выбранных из: ингибитора СЕТР (белка-переносчика эфиров холестерина); антагониста абсорбции холестерина; ингибитора МТР (микросомального белка-переносчика); производного никотиновой кислоты, включая продукты медленного высвобождения и комбинированные продукты; соединения фитостерина; пробукола; антикоагулянта; омега-3 жирной кислоты; другого соединения против ожирения, например сибутрамина, фентермина, орлистата, бупропиона, эфедрина, тироксина; антигипертензивного соединения, например ингибитора ангоитензин-превращающего фермента (АПФ), антагониста рецептора ангиотензина II, адренергического блокатора, альфа-адренергического блокатора, бета-адренергического блокатора, смешанного альфа/бета-адренергического блокатора, адренергического стимулятора, блокатора кальциевых каналов, блокатора АТ-1, салуретика, диуретика или вазодилататора; модулятора меланин-концентрирующего гормона (МСН); модулятора рецептора NPY; модулятора рецептора орексина; модулятора фосфоинозитид-зависимой протеинкиназы (PDK) или модуляторов ядерных рецепторов, например LXR, FXR, RXR, GR, ERR агента, модулирующего трансмиссию моноаминов, например селективного ингибитора обратного захвата серотонина (SSRI), ингибитора обратного захвата норадреналина (NARI), ингибитора обратного захвата норадреналина-серотонина (SNRI), ингибитора моноаминоксидазы (MAOI), трициклического антидепрессанта (ТСА), норадренергического и специфического серотонинергического антидепрессанта (NaSSA); антипсихотического агента, например оланзапина и клозапина; модулятора рецептора серотонина; модулятора лептина/рецептора лептина; модулятора грелина/рецептора грелина; ингибитора DPP-IV (дипептидилпептидазы) или его фармацевтически приемлемой соли, сольвата, сольвата такой соли или пролекарства, возможно вместе с фармацевтически приемлемым разбавителем или носителем. Согласно еще одному аспекту настоящего изобретения предложено комбинированное лечение, включающее введение эффективного количества соединения формулы I или его фармацевтически приемлемой соли с одновременным, последовательным или раздельным назначением очень низкокалорийных диет (VLCD) или низкокалорийных диет (LCD). Таким образом, в качестве дополнительного признака изобретения предложен способ лечения ожирения и связанных с ним осложнений у теплокровного животного, такого как человек, нуждающегося в таком терапевтическом лечении, включающий введение указанному животному эффективного количества соединения формулы I или его фармацевтически приемлемой соли с одновременным, последовательным или раздельным введением эффективного количества соединения из одного из других классов соединений, описанных в данном разделе комбинаций, или его фармацевтически приемлемой соли, сольвата, сольвата такой соли или пролекарства. Таким образом, в качестве дополнительного признака изобретения предложен способ лечения гиперлипидемических состояний у теплокровного животного, такого как человек, нуждающегося в таком терапевтическом лечении, включающий введение указанному животному эффективного количества соединения формулы I или его фармацевтически приемлемой соли с одновременным, последовательным или раздельным введением эффективного количества соединения из одного из других классов соединений, описанных в данном разделе комбинаций, или его фармацевтически приемлемой соли, сольвата, сольвата такой соли или пролекарства. Согласно следующему аспекту изобретения предложена фармацевтическая композиция, содержащая соединение формулы I или его фармацевтически приемлемую соль и соединение из одного из других классов соединений, описанных в данном разделе комбинаций, или его фармацевтически приемлемую соль, сольват, сольват такой соли или пролекарство, в сочетании с фармацевтически приемлемым разбавителем или носителем. Согласно следующему аспекту изобретения предложен набор, содержащий соединение формулы I или его фармацевтически приемлемую соль и соединение из одного из других классов соединений, описанных в данном разделе комбинаций, или его фармацевтически приемлемую соль, сольват, сольват такой соли или пролекарство. Согласно следующему аспекту изобретения предложен набор, содержащий: а) соединение формулы I или его фармацевтически приемлемую соль в первой стандартной лекарственной форме; б) соединение из одного из других классов соединений, описанных в данном разделе комбинаций, или его фармацевтически приемлемую соль, сольват, сольват такой соли или пролекарство во второй стандартной лекарственной форме и в) контейнерные приспособления для содержания указанных первой и второй лекарственных форм. Согласно следующему аспекту изобретения предложен набор, содержащий: а) соединение формулы I или его фармацевтически приемлемую соль вместе с фармацевтически приемлемым разбавителем или носителем в первой стандартной лекарственной форме; б) соединение из одного из других классов соединений, описанных в данном разделе комбинаций, или его фармацевтически приемлемую соль, сольват, сольват такой соли или пролекарство во второй стандартной лекарственной форме и в) контейнерные приспособления для содержания указанных первой и второй лекарственных форм. В соответствии с другим признаком изобретения предложено применение соединения формулы I или его фармацевтически приемлемой соли и одного из других соединений, описанных в данном разделе комбинаций, или его фармацевтически приемлемой соли, сольвата, сольвата такой соли или пролекарства в изготовлении лекарства для применения в лечении ожирения и связанных с ним осложнений у теплокровного животного, такого как человек. В соответствии с другим признаком изобретения предложено применение соединения формулы I или его фармацевтически приемлемой соли и одного из других соединений, описанных в данном разделе комбинаций, или его фармацевтически приемлемой соли, сольвата, сольвата такой соли или пролекарства в изготовлении лекарства для применения в лечении гиперлипидемических состояний у теплокровного животного, такого как человек. Согласно другому аспекту настоящего изобретения предложено комбинированное лечение, включающее введение теплокровному животному, такому как человек, нуждающемуся в таком терапевтическом лечении, эффективного количества соединения формулы I или его фармацевтически приемлемой соли, возможно вместе с фармацевтически приемлемым разбавителем или носителем, с одновременным, последовательным или раздельным введением эффективного количества одного из других соединений, описанных в данном разделе комбинаций, или его фармацевтически приемлемой соли, сольвата, сольвата такой соли или пролекарства, возможно вместе с фармацевтически приемлемым разбавителем или носителем. Кроме того, соединение по изобретению можно также комбинировать с терапевтическими агентами, которые полезны при лечении расстройств или состояний, связанных с ожирением (таких как диабет типа II, метаболический синдром, дислипидемия, нарушенная толерантность к глюкозе, гипертензия, коронарная болезнь сердца, неалкогольный стеатогепатит, остеоартрит и некоторые виды рака), а также психиатрических и неврологических состояний. Следует понимать, что существуют принятые в медицине определения ожирения и избыточной массы. Пациента можно идентифицировать, например, путем измерения индекса массы тела (ИМТ), который вычисляют путем деления массы в килограммах на рост в метрах в квадрате, и этот результат сравнивают с этими определениями. Фармакологическая активность Соединения по настоящему изобретению активны против рецептора, являющегося продуктом гена СВ1. Аффинность соединений по изобретению к центральным каннабиноидным рецепторам можно продемонстрировать в способах, описанных в Devane et al., Molecular Pharmacology, 1988, 34, 605, или в способах, описанных в WO 01/70700 или ЕР 656354. Альтернативно анализ можно проводить, как описано ниже. 10 мкг мембран, полученных из клеток, стабильно трансфицированных геном СВ1, суспендировали в 200 мкл 100 мМ NaCl, 5 мМ MgCl2, 1 мМ ЭДТА, 50 мМ HEPES (рН 7,4), 1 мМ DTT, 0,1% БСА и 100 мкМ GDP. К этой суспензии добавляли агонист (СР 55940) в концентрации ЕС80, тестируемое соединение в необходимой концентрации и 0,1 мкКи [35S]-GTP Активность измеряют в отсутствие всех лигандов (минимальная активность) или в присутствии СР55940 в концентрации ЕС80 (максимальная активность). Эти активности принимают за 0% и 100%-ную активность соответственно. При различных концентрациях нового лиганда активность вычисляют в виде процента от максимальной активности и наносят на график. Эти данные наносят на график, используя уравнение y=А+((В-А)/1+((С/х)ÙD)), и значение IC50 определяют как концентрацию, необходимую для получения половины максимального ингибирования связывания GTP Соединения по настоящему изобретению активны в отношении рецептора СВ1 (IC50<1 микромоля). Наиболее предпочтительные соединения имеют IС50<200 наномолей. Например, IC50 Примера 1 равна 18 нМ, а Примера 2 28 нМ. Предполагают, что соединения по изобретению являются селективными антагонистами или обратными агонистами СВ1. Эффективность, профиль селективности и склонность к побочным эффектам может ограничивать клиническую пользу известных в настоящее время соединений с измененными антагонистическими/обратными агонистическими свойствами в отношении СВ1. В этой связи доклиническая оценка соединений по настоящему изобретению на моделях желудочно-кишечной и/или сердечно-сосудистой функции показывает, что они дают значительные преимущества по сравнению с типичными сравнительными агентами, являющимися антагонистами/обратными агонистами СВ1. Соединения по настоящему изобретению могут давать дополнительные преимущества в отношении эффективности, профиля селективности, биодоступности, периода полувыведения из плазмы, проницаемости гематоэнцефалического барьера, связывания с белками плазмы (например, повышения свободной фракции лекарства) или растворимости по сравнению с типичными сравнительными агентами, являющимися антагонистами/обратными агонистами СВ1. Полезность соединений по настоящему изобретению в лечении ожирения и родственных состояний продемонстрирована путем снижения массы тела у мышей с ожирением, индуцированным диетой кафетериев. Самкам мышей C57BI/6J давали свободный доступ к высококалорийной диете “кафетериев” (кондитерские изделия типа мягкого шоколада/какао, шоколад, жирный сыр и нуга) и к стандартному лабораторному корму в течение 8-10 недель. Затем вводили системно (в/в, в/б, п/к или п/о) тестируемые соединения один раз в сутки в течение минимум 5 суток и ежесуточно осуществляли мониторинг массы тела мышей. Одновременную оценку жировой ткани осуществляли с помощью DEXA (двухэнергетическая рентгеновская абсорбциометрия, dual energy X-ray absorptiometry) визуализации в начале и в конце исследования. Также осуществляли взятие образцов крови для анализа изменений маркеров плазмы, связанных с ожирением. Примеры Аббревиатуры ДМФА диметилформамид ДЭА диэтиламин ЕtOАс этилацетат ТГФ тетрагидрофуран ТСХ тонкослойная хроматография t триплет s синглет d дублет q квартет qvint квинтет m мультиплет br широкий bs широкий синглет dm дублет мультиплетов bt широкий триплет dd дублет дублетов Общие экспериментальные методики Масс-спектры записывали либо на одноквадрупольном масс-спектрометре Micromass ZQ, либо на одноквадрупольном масс-спектрометре Micromass LCZ, каждый из которых оборудован устройством пневматического электрораспыления (LC-MS). Измерения 1H-ЯМР проводили либо на Varian Mercury 300, либо на Varian Inova 500, работая при частотах 1H 300 и 500 МГц соответственно. Химические сдвиги приведены в млн-1 с CDCl3 в качестве внутреннего стандарта. CDCl3 используют в качестве растворителя для ЯМР, если не указано иное. Очистку проводили на полупрепаративной ВЭЖХ с коллектором фракций, который регулируется массой, одноквадрупольном масс-спектрометре Shimadzu QP 8000, оборудованном колонкой С8 19×100 мм. Используемая подвижная фаза, если не указано иное, представляла собой ацетонитрил и буфер (0,1 М NН4Ас : ацетонитрил, 95:5). Для выделения изомеров использовали колонку Kromasil CN E9344 (внутренний диаметр 250×20 мм). Гептан : этилацетат : ДЭА (95:5:0,1) использовали в качестве подвижной фазы (1 мл/мин). Сбор фракций направляли с использованием УФ-детектора (330 нм). Примеры изобретения Пример 1 Стадия 1. N-(4-Бензилоксифенил)-2,4-дихлорбензамидин Гидрохлорид 4-бензилоксианилина (5,0 г, 21,2 ммоль) добавляли по каплям к раствору этилмагния бромида (44,5 мл, 1 М в ТГФ, 44,5 ммоль) в 25 мл сухого ТГФ в атмосфере азота. После перемешивания в течение 20 минут добавляли раствор 2,4-дихлорбензонитрила (3,65 г, 21,2 ммоль) в 25 мл ТГФ. Эту реакционную смесь перемешивали в течение 20 часов при комнатной температуре. Осторожно добавляли воду (50 мл). Экстракция ЕtOАс (2×100 мл), сушка (Nа2SО4), фильтрация и выпаривание досуха давали 7,7 г (98%) указанного в заголовке соединения. Стадия 2. Этиловый эфир 1-(4-бензилоксифенил)-2-(2,4-дихлорфенил)-5-метил-1Н-иимдазол-4-карбоновой кислоты К N-(4-бензилоксифенил)-2,4-дихлорбензамидину из Пр. 1, Стадия 1 (6,88 г, 18,5 ммоль), растворенному в 50 мл ТГФ, добавляли карбонат калия (2,56 г, 18,5 ммоль) и эту суспензию перемешивали в течение 10 минут. Этил-3-бром-2-оксобутаноат (4,65 г, 22,2 ммоль) добавляли по каплям в течение 1 часа и эту смесь перемешивали в течение 66 часов при комнатной температуре. Этот раствор фильтровали и выпаривали досуха. Остаток растворяли в уксусной кислоте и кипятили с обратным холодильником в течение 1 часа. Смесь охлаждали до комнатной температуры, добавляли 100 мл воды и продукт экстрагировали ЕtOАс (2×200 мл). Объединенные органические фазы промывали насыщенным гидрокарбонатом натрия, сушили (Na2SO4), фильтровали и концентрировали. Флэш-хроматография (силикагель, гексан : ЕtOАс, 70:30, 60:40) давала 5,75 г (65%) указанного в заголовке соединения в виде бледно-желтого твердого вещества. 1H-ЯМР (CDCl3): Стадия 3. 1-(4-Бензилоксифенил)-2-(2,4-дихлорфенил)-5-метил-1Н-имидазол-4-карбоновая кислота К суспензии этилового эфира 1-(4-бензилоксифенил)-2-(2,4-дихлорфенил)-5-метил-1Н-имидазол-4-карбоновой кислоты из Пр.1, Стадия 2 (3,62 г, 7,5 ммоль) в 60 мл метанола добавляли гидроксид калия (4,05 г, 72 ммоль) в воде (20 мл) и реакционную смесь кипятили с обратным холодильником в течение 2 часов. Смесь охлаждали до комнатной температуры, подкисляли до рН~2 с помощью 1 M HCl и экстрагировали этилацетатом (2×200 мл). Объединенные органические фазы сушили (Na2SO4), фильтровали и концентрировали с получением 3,38 г (99%) указанного в заголовке соединения. Стадия 4. Пиперидин-1-иламид 1-(4-бензилоксифенил)-2-(2,4-дихлорфенил)-5-метил-1Н-имидазол-4-карбоновой кислоты К раствору 1-(4-бензилоксифенил)-2-(2,4-дихлорфенил)-5-метил-1Н-имидазол-4-карбоновой кислоты из Пр.1, Стадия 3 (3,38 г, 7,5 ммоль) в 60 мл CH2Cl2 добавляли 3 капли ДМФА, а затем оксалилхлорид (1,3 мл, 14,9 ммоль). Эту смесь кипятили с обратным холодильником в течение 2 часов, охлаждали до комнатной температуры и выпаривали досуха. Остаток растворяли в 50 мл CH2Cl2 и охлаждали до 0°С. Добавляли триэтиламин (2,1 мл, 14,9 ммоль), а затем 1-аминопиперидин (0,9 мл, 8,2 ммоль) и смесь перемешивали при комнатной температуре в течение 2 часов. Добавляли воду (300 мл), смесь экстрагировали СH2Сl2 (3×100 мл), сушили (Na2SO4), фильтровали и концентрировали. Флэш-хроматография (силикагель, гексан : ЕtOАс, 1:2, EtOAc) давала 2,94 г (74%) указанного в заголовке соединения в виде белого твердого вещества. 1H-ЯМР (CDCl3): Пример 2 Стадия 1. Пиперидин-1-иламид 2-(2,4-дихлорфенил)-1-(4-гидроксифенил)-5-метил-1Н-имидазол-4-карбоновой кислоты Пиперидин-1-иламид 1-(4-бензилоксифенил)-2-(2,4-дихлорфенил)-5-метил-1Н-имидазол-4-карбоновой кислоты из Пр.1, Стадия 4 (2,78 г, 5,2 ммоль) растворяли в 80 мл СН2Сl2 и охлаждали до 0°С. Добавляли по каплям раствор трибромида бора (1 М в CH2Cl2, 10,4 мл, 10,4 ммоль) и реакционную смесь перемешивали при комнатной температуре в течение 1 часа. Добавляли воду (200 мл) и раствор экстрагировали EtOAc (3×200 мл). Объединенные органические фазы сушили (Na2SO4), фильтровали и концентрировали. Флэш-хроматография (силикагель, гексан : ЕtOАс, 1:3, EtOAc) давала 1,34 г (58%) указанного в заголовке соединения в виде белого твердого вещества. 1H-ЯМР (CDCl3): Стадия 2 4-[2-(2,4-Дихлорфенил)-5-метил-4-(пиперидин-1-илкарбамоил)имидазол-1-ил]фениловый эфир этансульфоновой кислоты Раствор пиперидин-1-иламида 2-(2,4-дихлорфенил)-1-(4-гидроксифенил)-5-метил-1H-имидазол-4-карбоновой кислоты из Пр.2, Стадия 1 (321 мг, 0,72 ммоль) в 10 мл CH2Cl2 охлаждали до 0°С. Добавляли триэтиламин (101 мкл, 0,72 ммоль), а затем этансульфонилхлорид (69 мкл, 0,72 ммоль) и реакционную смесь перемешивали при комнатной температуре в течение ночи. Добавляли воду, смесь экстрагировали СН2Сl3 (3×20 мл), сушили (Na2SO4), фильтровали и концентрировали. Флэш-хроматография (силикагель, гексан : ЕtOАс, 1:3) давала 230 мг (60%) указанного в заголовке соединения в виде белого твердого вещества. 1H-ЯМР (CDCl3): Пример 3 4-[2-(2,4-Дихлорфенил)-5-метил-4-(пиперидин-1-илкарбамоил)имидазол-1-ил]фениловый эфир пропан-1-сульфоновой кислоты Раствор пиперидин-1-иламида 2-(2,4-дихлорфенил)-1-(4-гидроксифенил)-5-метил-1H-имидазол-4-карбоновой кислоты из Пр.2, Стадия 1 (320 мг, 0,72 ммоль) в 10 мл CH2Cl2 охлаждали до 0°С. Добавляли триэтиламин (100 мкл, 0,72 ммоль) а затем 1-пропансульфонилхлорид (81 мкл, 0,72 ммоль), и реакционную смесь перемешивали при комнатной температуре в течение ночи. Добавляли воду, смесь экстрагировали CH2Cl2 (3×20 мл), сушили (Na2SO4), фильтровали и концентрировали. Флэш-хроматография (силикагель, гексан : ЕtOАс, 1:2) давала 220 мг (56%) указанного в заголовке соединения в виде белого твердого вещества. 1H-ЯМР (CDCl3): MS m/z 574 (M+Na). ВЭЖХ: 97,0%. Пример 4 4-[2-(2,4-Дихлорфенил)-5-метил-4-(пиперидин-1-илкарбамоил)имидазол-1-ил]фениловый эфир бутан-1-сульфоновой кислоты Раствор пиперидин-1-иламида 2-(2,4-дихлорфенил)-1-(4-гидроксифенил)-5-метил-1H-имидазол-4-карбоновой кислоты из Пр.2, Стадия 1 (320 мг, 0,72 ммоль) в 10 мл CH2Cl2 охлаждали до 0°С. Добавляли триэтиламин (100 мкл, 0,72 ммоль), а затем 1-бутансульфонилхлорид (93 мкл, 0,72 ммоль) и реакционную смесь перемешивали при комнатной температуре в течение ночи. Добавляли воду, смесь экстрагировали CH2Cl2 (3×20 мл), сушили (Na2SO4), фильтровали и концентрировали. Флэш-хроматография (силикагель, гексан : ЕtOАс, 1:2) давала 230 мг (57%) указанного в заголовке соединения в виде белого твердого вещества. 1H-ЯМР (CDCl3): MS m/z 588 (M+Na). ВЭЖХ: 96,0%. Пример 5 Пиперидин-1-иламид 2-(2,4-дихлорфенил)-5-метил-1-[4-(4,4,4-трифторбутокси)фенил]-1Н-имидазол-4-карбоновой кислоты 1-Йод-4,4,4-трифторбутан (376 мг, 1,58 ммоль) добавляли по каплям к суспензии пиперидин-1-иламида 2-(2,4-дихлорфенил)-1-(4-гидроксифенил)-5-метил-1Н-имидазол-4-карбоновой кислоты из Пр.2, Стадия 1 (351 мг, 0,79 ммоль) и К2СО3 (218 мг, 1,58 ммоль) в 50 мл ацетона. Эту реакционную смесь кипятили с обратным холодильником в течение ночи, охлаждали, фильтровали и концентрировали. Флэш-хроматография (силикагель, гексан : ЕtOАс, 1:2) давала 200 мг (46%) указанного в заголовке соединения в виде белого твердого вещества. 1H-ЯМР (CDCl3): Пример 6 4-[2-(2,4-Дихлорфенил)-5-метил-4-(пиперидин-1-илкарбамоил)имидазол-1-ил]фениловый эфир 3,3,3-трифторпропан-1-сульфоновой кислоты Пиперидин-1-иламид 2-(2,4-дихлорфенил)-1-(4-гидроксифенил)-5-метил-1H-имидазол-4-карбоновой кислоты из Пр.2, Стадия 1 (0,89 г, 2,00 ммоль) растворяли в дихлорметане (20 мл), охлаждали до 0°С и добавляли триэтиламин (0,35 мл, 2,4 ммоль), а затем 3,3,3-трифторпропансульфонилхлорид (полученный способом, аналогичным описанному в WO 00/010968 для бутилового гомолога) (0,35 мл, 2,40 ммоль). Реакционную смесь перемешивали при комнатной температуре в течение ночи. ТСХ показала оставшееся исходное вещество и поэтому добавляли другую порцию триэтиламина и 3,3,3-трифторпропансульфонилхлорида, реакционную смесь перемешивали в течение еще 2 ч. Добавляли воду, продукт экстрагировали дихлорметаном, сушили (Na2SO4), фильтровали и концентрировали. Флэш-хроматография (гексан : ЕtOАс, 1:3 ЕtOАс) с последующей перекристаллизацией (гексан : ЕtOАс) давала 700 мг (59%) указанного в заголовке соединения в виде бесцветного твердого вещества. 1H-ЯМР (CDCl3): Пример 7 4-[2-(2,4-Дихлорфенил)-5-метил-4-(пиперидин-1-илкарбамоил)имидазол-1-ил]фениловый эфир 4,4,4-трифторбутан-1-сульфоновой кислоты Пиперидин-1-иламид 2-(2,4-дихлорфенил)-1-(4-гидроксифенил)-5-метил-1H-имидазол-4-карбоновой кислоты из Пр.2, Стадия 1 (0,49 г, 1,20 ммоль) растворяли в дихлорметане (20 мл), охлаждали до 0°С и добавляли триэтиламин (0,67 мл, 4,8 ммоль), а затем 4,4,4-трифторбутан-1-сульфонилхлорид (полученный, как описано в WO 00/010968) (0,38 г, 1,80 ммоль). Реакционную смесь перемешивали при комнатной температуре в течение 3 ч. ТСХ показала оставшееся исходное вещество и поэтому добавляли другую порцию триэтиламина и 4,4,4-трифторбутан-1-сульфонилхлорида, реакционную смесь перемешивали в течение ночи. Добавляли воду, продукт экстрагировали дихлорметаном, сушили (Na2SO4), фильтровали и концентрировали. Флэш-хроматография (гексан : ЕtOАс, 1:3, ЕtOАс) с последующей перекристаллизацией (гексан : ЕtOАс) давала 0,45 г (61%) указанного в заголовке соединения в виде бесцветного твердого вещества. 1H-ЯМР (CDCl3): Пример 8 4-{2-(2,4-Дихлорфенил)-5-метил-4-[(пиперидин-1-иламино)карбонил]-1Н-имидазол-1-ил}фенилтиофен-2-сульфонат 2-(2,4-Дихлорфенил)-1-(4-гидроксифенил)-5-метил-N-пиперидин-1-ил-1Н-имидазол-4-карбоксамид, полученный, как описано в Пр.2, Стадия 1 (100 мг, 0,22 ммоль), и триэтиламин (0,31 мл, 2,25 ммоль) в дихлорметане (2,5 мл) охлаждали до -78°С. К этой реакционной смеси осторожно добавляли 2-тиофенсульфонилхлорид (287 мг, 1,57 ммоль), растворенный в дихлорметане (2,5 мл). Полученную смесь перемешивали при -78°С в течение 1 ч и при комнатной температуре в течение ночи. К реакционной смеси добавляли воду, фазы разделяли, органическую фазу промывали водой и сушили. Растворитель удаляли при пониженном давлении, и разделение посредством препаративной ВЭЖХ давало указанное в заголовке соединение (110 мг, 83%) в виде твердого вещества. 1H-ЯМР (400 МГц) Пример 9 4-{2-(2,4-Дихлорфенил)-5-метил-4-[(пиперидин-1-иламино)карбонил]-1Н-имидазол-1-ил}фенилпиридин-3-сульфонат 2-(2,4-Дихлорфенил)-1-(4-гидроксифенил)-5-метил-N-пиперидин-1-ил-1Н-имидазол-4-карбоксамид, полученный, как описано в Пр.2, Стадия 1 (100 мг, 0,22 ммоль), и триэтиламин (0,31 мл, 2,25 ммоль) в дихлорметане (5,0 мл) охлаждали до -78°С. К реакционной смеси добавляли небольшими порциями 3-пиридинсульфонилхлорид (144 мг, 0,67 ммоль). Полученную смесь перемешивали при -78°С в течение 1 ч и при комнатной температуре в течение ночи. К реакционной смеси добавляли воду, фазы разделяли и органическую фазу промывали водой и сушили. Растворитель удаляли при пониженном давлении, и разделение посредством препаративной ВЭЖХ давало указанное в заголовке соединение (110 мг, 84%) в виде твердого вещества. 1H-ЯМР (400 МГц) Пример 10 4-{2-(2,4-Дихлорфенил)-5-метил-4-[(пиперидин-1-иламино)карбонил]-1Н-имидазол-1-ил}фенил-5-хлортиофен- 2-сульфонат 2-(2,4-Дихлорфенил)-1-(4-гидроксифенил)-5-метил-N-пиперидин-1-ил-1Н-имидазол-4-карбоксамид, полученный, как описано в Пр.2, Стадия 1 (100 мг, 0,22 ммоль), и триэтиламин (0,16 мл, 1,12 ммоль) в дихлорметане (2,5 мл) охлаждали до -78°С. К этой реакционной смеси осторожно добавляли 5-хлортиофен-2-сульфонилхлорид (244 мг, 1,12 ммоль) в дихлорметане (2,5 мл). Полученную смесь перемешивали при -78°С в течение 1 ч и при комнатной температуре в течение ночи. К реакционной смеси добавляли воду, фазы разделяли, органическую фазу промывали водой и сушили. Растворитель удаляли при пониженном давлении, и разделение посредством препаративной ВЭЖХ давало указанное в заголовке соединение (84 мг, 60%) в виде твердого вещества. 1H-ЯМР (400 МГц) Пример 11 4-{2-(2,4-Дихлорфенил)-5-метил-4-[(пиперидин-1-иламино)карбонил]-1Н-имидазол-1-ил}фенил-3-метилбутан-1-сульфонат 2-(2,4-Дихлорфенил)-1-(4-гидроксифенил)-5-метил-N-пиперидин-1-ил-1Н-имидазол-4-карбоксамид, полученный, как описано в Пр.2, Стадия 1 (50 мг, 0,11 ммоль), растворяли в дихлорметане (3,0 мл), охлаждали до 0°С и к смеси добавляли триэтиламин (20 мкл, 0,13 ммоль). Полученную смесь охлаждали до -78°С и осторожно добавляли 3-метилбутан-1-сульфонилхлорид (23 мг, 0,13 ммоль). Реакционную смесь перемешивали при -78°С в течение 1,5 ч. К реакционной смеси добавляли воду, продукт экстрагировали дихлорметаном и сушили. Растворитель удаляли при пониженном давлении, и разделение посредством препаративной ВЭЖХ давало указанное в заголовке соединение (46 мг, 71%) в виде твердого вещества. 1H-ЯМР (400 МГц) Пример 12 4-{2-(2,4-Дихлорфенил)-5-метил-4-[(пиперидин-1-иламино)карбонил]-1H-имидазол-1-ил}фенил-3,3-диметилбутан-1-сульфонат 2-(2,4-Дихлорфенил)-1-(4-гидроксифенил)-5-метил-N-пиперидин-1-ил-1Н-имидазол-4-карбоксамид, полученный, как описано в Пр. 2, Стадия 1 (50 мг, 0,11 ммоль), растворяли в дихлорметане (3,0 мл), охлаждали до 0°С и к смеси добавляли триэтиламин (20 мкл, 0,13 ммоль). Полученную смесь охлаждали до -78°С и осторожно добавляли 3,3-диметилбутан-1-сульфонилхлорид (25 мг, 0,13 ммоль). Реакционную смесь перемешивали при -78°С в течение 2 ч. К реакционной смеси добавляли воду, продукт экстрагировали дихлорметаном и сушили. Растворитель удаляли при пониженном давлении, и разделение посредством препаративной ВЭЖХ давало указанное в заголовке соединение (46 мг, 69%) в виде твердого вещества. 1H-ЯМР (400 МГц) Пример 13 Стадия 1. 1-[4-(Бензилокси)фенил]-2-(2,4-дихлорфенил)-5-метил-N-[5-(трифторметил)пиридин-2-ил]-1H-имидазол-4-карбоксамид 2-Амино-5-(трифторметил)пиридин (404 мг, 2,49 ммоль) растворяли в дихлорметане (2,5 мл) в атмосфере аргона и осторожно добавляли триметилалюминий (1,25 мл, 2,0 М в толуоле, 2,5 ммоль) в течение 5 мин. Этот раствор перемешивали при температуре окружающей среды в течение 1,5 ч и в результате получали 0,66 М раствор реагента амидирования. 3,75 мл (2,5 ммоль) этого концентрированного раствора добавляли к этил-1-[4-(бензилокси)фенил]-2-(2,4-дихлорфенил)-5-метил-1H-имидазол-4-карбоксилату, полученному, как описано в Пр.1, Стадия 2 (400 мг, 0,83 ммоль), и этот реакционный раствор перемешивали при 45°С в течение ночи. Реакционный раствор охлаждали до 0°С и гасили HCl (водная, 2 М, 7,5 мл). Смесь разбавляли дихлорметаном и нейтрализовали добавлением КОН (водн., 2 М). Органическую фазу отделяли, и водную фазу дополнительно экстрагировали дихлорметаном. Объединенные органические фазы промывали Н2О, после чего сушили Na2SO4. Растворитель удаляли при пониженном давлении, и очистка посредством препаративной ВЭЖХ давала указанное в заголовке соединение (319 мг, 64%) в виде твердого вещества. 1H-ЯМР (400 МГц) Стадия 2. 2-(2,4-Дихлорфенил)-1-(4-гидроксифенил)-5-метил-N-[5-(трифторметил)пиридин-2-ил]-1Н-имидазол-4-карбоксамид 1-[4-(Бензилокси)фенил]-2-(2,4-дихлорфенил)-5-метил-N-[5-(трифторметил)пиридин-2-ил]-1Н-имидазол-4-карбоксамид (319 мг, 0,53 ммоль) растворяли в бромиде водорода (7,5 мл, 4,1 М в уксусной кислоте, 30,75 ммоль) и реакционную смесь перемешивали при комнатной температуре в течение 4 ч. Уксусную кислоту выпаривали совместно с этанолом, остаток нейтрализовали аммиаком и растворяли в метаноле. Очистка посредством флэш-хроматографии давала указанное в заголовке соединение (266 мг, 98%). 1H-ЯМР (400 МГц) Стадия 3. 4-[2-(2,4-Дихлорфенил)-5-метил-4-({[5-(трифторметил)пиридин-2-ил]амино}карбонил)-1H-имидазол-1-ил]фенил-3,3,3-трифторпропан-1-сульфонат 2-(2,4-Дихлорфенил)-1-(4-гидроксифенил)-5-метил-N-[5-(трифторметил)пиридин-2-ил]-1Н-имидазол-4-карбоксамид (136 мг, 0,27 ммоль) и триэтиламин (40 мкл, 0,32 ммоль) в дихлорметане (4,0 мл) охлаждали до -78°С. К реакционной смеси осторожно добавляли 3,3,3-трифторпропан-1-сульфонилхлорид (63 мг, 0,32 ммоль). Полученную смесь перемешивали при -78°С в течение 1 ч, а затем давали достичь комнатной температуры. К реакционной смеси добавляли воду и фазы разделяли. Органическую фазу промывали NаНСО3, рассолом и сушили Na2SO4. Растворитель удаляли при пониженном давлении, и разделение посредством препаративной ВЭЖХ давало указанное в заголовке соединение (88 мг, 49%) в виде твердого вещества. 1H-ЯМР (400 МГц) Пример 14 4-[2-(2,4-Дихлорфенил)-5-метил-4- ({[5-(трифторметил)пиридин-2-ил]амино}карбонил)-1H-имидазол-1-ил1фенил-3-метилбутан-1-сульфонат 2-(2,4-Дихлорфенил)-1-(4-гидроксифенил)-5-метил-N-[5-(трифторметил)пиридин-2-ил]-1Н-имидазол-4-карбоксамид, полученный, как описано в Пр.13, Стадия 3 (139 мг, 0,27 ммоль), и триэтиламин (46 мкл, 0,33 ммоль) в дихлорметане (4,0 мл) охлаждали до -78°С. К реакционной смеси осторожно добавляли 3-метилбутан-1-сульфонилхлорид (56 мг, 0,33 ммоль). Полученную смесь перемешивали при -78°С в течение 1 ч, а затем давали достичь комнатной температуры. К реакционной смеси добавляли воду и фазы разделяли. Органическую фазу промывали NаНСО3, рассолом и сушили Na2SО4. Растворитель удаляли при пониженном давлении, и разделение посредством препаративной ВЭЖХ давало указанное в заголовке соединение (81 мг, 46%) в виде твердого вещества. 1H-ЯМР (400 МГц) Общий синтетический путь
Формула изобретения
1. Соединение формулы (I) 2. Соединение по п.1, где R5 представляет собой группу С2-7алкил, возможно замещенную одним или более чем одним фторо. 3. Соединение по п.1, где R2a представляет собой хлоро и R22b представляет собой хлоро. 4. Соединение по любому из пп.1-3, где R4 представляет собой метил. 5. Соединение по п.1, где R1 представляет собой группу R5S(O)2O, в которой R5 представляет собой группу C1-6алкил, возможно замещенную одним или более чем одним фторо; 6. Соединение по п.1, где R1 представляет собой н-бутилсульфонилокси, н-пропилсульфонилокси, н-этилсульфонилокси, 4,4,4-трифторбутил-1-сульфонилокси или 3,3,3-трифторпропил-1-сульфонилокси. 7. Соединение по п.1, представляющее собой 4-[2-(2,4-дихлорфенил)-5-метил-4-(пиперидин-1-илкарбамоил)-имидазол-1-ил]фениловый эфир этансульфоновой кислоты или его фармацевтически приемлемую соль. 8. Соединение по п.1, представляющее собой 4-[2-(2,4-дихлорфенил)-5-метил-4-(пиперидин-1-илкарбамоил)-имидазол-1-ил] фениловый эфир пропан-1-сульфоновой кислоты или его фармацевтически приемлемую соль. 9. Соединение по п.1, представляющее собой 4-[2-(2,4-дихлорфенил)-5-метил-4-(пиперидин-1-илкарбамоил)-имидазол-1-ил]фениловый эфир бутан-1-сульфоновой кислоты или его фармацевтически приемлемую соль. 10. Соединение по п.1, представляющее собой 4-[2-(2,4-дихлорфенил)-5-метил-4-(пиперидин-1-илкарбамоил)имидазол-1-ил] фениловый эфир 3,3,3-трифторпропан-1-сульфоновой кислоты или его фармацевтически приемлемую соль. 11. Соединение по п.1, представляющее собой 4-[2-(2,4-дихлорфенил)-5-метил-4-(пиперидин-1-илкарбамоил)имидазол-1-ил]фениловый эфир 4,4,4-трифторбутан-1-сульфоновой кислоты или его фармацевтически приемлемую соль. 12. Соединение по п.1, представляющее собой 4-{2-(2,4-дихлорфенил)-5-метил-4-[(пиперидин-1-иламино)карбонил]-1Н-имидазол-1-ил}фенил-3-метилбутан-1-сульфонат или его фармацевтически приемлемую соль. 13. Соединение по п.1, представляющее собой 4-{2-(2,4-дихлорфенил)-5-метил-4-[(пиперидин-1-иламино)карбонил]- 14. Фармацевтическая композиция, обладающая активностью в отношении рецептора СВ1, содержащая соединение формулы I по любому из пп.1-13 и фармацевтически приемлемый адъювант, разбавитель или носитель. 15. Применение соединения формулы I по любому из пп.1-13 в изготовлении лекарства для лечения или профилактики ожирения, психиатрических расстройств, таких, как психотические расстройства, шизофрения и биполярные расстройства, тревога, тревожно-депрессивные расстройства, депрессия, когнитивные расстройства, расстройства памяти, обсессивно-компульсивные расстройства, анорексия, булимия, расстройства внимания, эпилепсия и родственные состояния, и неврологических расстройств, таких, как деменция, неврологические расстройства, болезнь Паркинсона, хорея Гентингтона и болезнь Альцгеймера, иммунных, сердечно-сосудистых, репродуктивных и эндокринных расстройств, септического шока, заболеваний, связанных с дыхательной и желудочно-кишечной системами, и симптомов, связанных с длительным злоупотреблением, аддикцией и/или рецидивом. 16. Применение соединения формулы I по любому из пп.1-13 в изготовлении лекарства для лечения или профилактики ожирения.
TK4A – Поправки к публикациям сведений об изобретениях в бюллетенях “Изобретения (заявки и патенты)” и “Изобретения. Полезные модели”
Напечатано: (57) 3. Соединение по п. 1, где R2a представляет собой хлоро и R22b представляет собой хлоро.
Следует читать: (57) 3. Соединение по п. 1, где R2a представляет собой хлоро и R2b представляет собой хлоро.
Номер и год публикации бюллетеня: 36-2009
Код раздела: FG4A
Извещение опубликовано: 27.04.2010 БИ: 12/2010
|
||||||||||||||||||||||||||











,
, PPAR
и ROR-альфа;
7.5-7.2 (8Н, m), 7.1-6.9 (4H, m), 5.1 (2H, s), 4.5 (2H, q), 2.5 (3Н, s), 1.5 (3H, t). MS m/z 504 (M+Na), 985 (2 M+Na).
