|
|
(21), (22) Заявка: 2008149370/03, 15.12.2008
(24) Дата начала отсчета срока действия патента:
15.12.2008
(46) Опубликовано: 27.12.2009
(56) Список документов, цитированных в отчете о поиске:
RU 2260571 C1, 20.09.2005. RU 2072972 C1, 10.02.1997. RU 2090533 C1, 20.09.1997. US 4401473 A, 30.08.1983.
Адрес для переписки:
430005, Республика Мордовия, г.Саранск, ул. Большевистская, 68, ГОУВПО “МГУ им. Н.П. Огарева”, отдел управления интеллектуальной собственностью
|
(72) Автор(ы):
Ерофеев Владимир Трофимович (RU), Спирин Вадим Александрович (RU), Казначеев Сергей Валерьевич (RU), Светлов Дмитрий Анатольевич (RU), Матвиевский Александр Анатольевич (RU), Богатов Андрей Дмитриевич (RU), Смирнов Василий Филиппович (RU), Митина Елена Александровна (RU), Емельянов Денис Владимирович (RU), Юдин Павел Васильевич (RU)
(73) Патентообладатель(и):
Государственное образовательное учреждение высшего профессионального образования “Мордовский государственный университет им. Н.П. Огарева” (RU)
|
(54) ГИПСОВАЯ КОМПОЗИЦИЯ
(57) Реферат:
Изобретение относится к строительным материалам и может быть использовано при производстве перегородочных плит и панелей, архитектурных, звукопоглощающих и других изделий, вентиляционных блоков, строительных растворов для внутренних частей здания, сухой штукатурки. Гипсовая композиция, включающая полуводный гипс, добавку и воду, отличающаяся тем, что она содержит воду с рН от 7,7 до 8,3, в качестве добавки композицию состава, мас.%: 96-99 вода, 1-4 полигексаметилен-гуанидин со средней молекулярной массой 900-2100 D и общей указанной формулой, и дополнительно наполнитель – базальтовый порошок при следующем соотношении компонентов, мас.%: полуводный гипс 55-55,4, указанная добавка 1,6-3,9, базальтовый порошок 10,8-11,0, указанная вода – остальное. Технический результат – повышение прочности и придание фунгицидных свойств. 3 табл.
Изобретение относится к строительным материалам и может быть использовано при производстве перегородочных плит и панелей, архитектурных, звукопоглощающих и других изделий, вентиляционных блоков, строительных растворов для внутренних частей здания, сухой штукатурки.
Известна гипсовая композиция, содержащая строительный гипс, оксиэтилендифосфорную кислоту, аминоуксусную кислоту и воду (RU 2260571, МПК С04В 11/00, опубл. 20.09.2005).
Указанная композиция имеет достаточно высокую прочность, но в известных пределах, к тому же известные составы имеют пониженную биостойкость.
Технический результат заключается в повышении прочности и придании фунгицидных свойств гипсовой композиции.
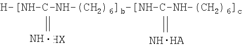
Сущность изобретения заключается в том, что гипсовая композиция, включающая полуводный гипс, добавку и воду, содержит воду с рН от 7,7 до 8,3, в качестве добавки композицию состава, мас.%: 96-99 вода, 1-4 полигексаметиленгуанидин со средней молекулярной массой 900-2100 D и общей формулой:

где НХ – минеральная кислота (соляная, фосфорная, плавиковая),
НА – органическая кислота (муравьиная, уксусная, лимонная, олеиновая, стеариновая, глюконовая),
соотношение b/b+c=0.6-0.99 и с/b+с=0.01-0.04,
и дополнительно наполнитель – базальтовый порошок, при следующем соотношении компонентов, мас.%:
| Полуводный гипс |
55-55,4 |
| Указанная добавка |
1,6-3,9 |
| Базальтовый порошок |
10,8-11,0 |
| Указанная вода |
остальное |
Полуводный гипс удовлетворяет требованиям ГОСТ (125-79 «Вяжущие гипсовые. Технические условия»).
Вода была взята с рН 7,7-8,3, что способствовало повышению прочности композиции.
В качестве добавки используют композицию состава, мас.%: 96-99 вода и 1-4 полигексаметиленгуанидин (ТУ 2386-003-23170704-99), представляющий собой биоцидный препарат со средней молекулярной массой 900-1200 D и общей формулой:

где НХ – минеральная кислота (соляная, фосфорная, плавиковая),
НА – органическая кислота (муравьиная, уксусная, лимонная, олеиновая, стеариновая, глюконовая),
соотношение b/b+c=0.6-0.99 и с/b+с=0.01-0.04.
Способ изготовления гипсовой композиции заключается в следующем. Производят весовую дозировку компонентов, образующих гипсовую композицию. В работающий смеситель постепенно загружают добавку – композицию, состоящую из 96-99% воды и 1-4% полигексаметиленгуанидина, вяжущее – полуводный гипс, наполнитель – базальтовый порошок и воду с рН 7,7 до 8,3. В данном примере вода была взята с рН 8,1, указанная композиция была следующего состава, мас.%: 97,5 вода и 2,5 полигексаметиленгуанидин со средней молекулярной массой 900-1200 D и общей формулой:

где НХ – минеральная кислота – соляная,
НА – органическая кислота – лимонная,
соотношение b/b+c=0,85 и с/b+с=0,25.
Полученную смесь укладывают в стальные формы. Уплотняют смесь на виброустановках, после схватывания готовые образцы извлекают из форм и термообрабатывают при температуре 60°С в течение 2 часов.
При исследовании гипсовой композиции испытания проводились на образцах нижеследующих составов (табл.1)
| Таблица 1 |
| Компоненты |
Составы гипсовых композиций % по массе |
| 1 |
2 |
3 |
4 |
5 |
6 |
7 |
Полуводный гипс Добавка (композиция, состоящая из 97,5% воды и 2,5% полигексаметиленгуанидина) |
53 |
54,5 |
55 |
55,2 |
55,4 |
55,5 |
62,3 |
| 0,6 |
1,1 |
1,6 |
2,8 |
3,9 |
5,5 |
– |
| Оксиэтилендифосфорная кислота |
– |
– |
– |
– |
– |
– |
0,1 |
| Аминоуксусная кислота |
– |
– |
– |
– |
– |
– |
0,2 |
| Базальтовый порошок |
10,3 |
10,6 |
10,8 |
10,9 |
11,0 |
11,1 |
– |
| Вода |
– |
– |
– |
– |
– |
– |
37,4 |
| Вода с рН 8,1 |
36,1 |
33,8 |
32,6 |
31,1 |
29,7 |
27,9 |
– |
Результаты физико-механических испытаний приведены в табл.2
| Таблица 2 |
| Свойства |
Показатели для составов |
 |
1 |
2 |
3 |
4 |
5 |
6 |
7 |
| Предел прочности при сжатии, МПа |
12 |
13 |
14 |
15 |
14 |
11 |
12 |
| Предел прочности при изгибе, МПа |
4,5 |
5,0 |
5,3 |
5,5 |
53 |
4,7 |
4,7 |
Испытания на биостойкость проводят по ГОСТ 9.049-91 методом 1 и 3. В качестве тест организмов используют следующие виды плесневых грибов: Aspergillius niger, A. flafus, A. terreus, Penicillium cuclopium, P. funiculosum, P. chrysogenum, Paecilomyces varioti, Chaetomium globosum, Trichoderma viride.
Полученные результаты приведены в табл.3.
| Таблица 3 |
| Состав |
Степень роста грибов, баллы |
Характеристика по ГОСТ |
 |
Метод 1 |
Метод 3 |
9049-91 |
| 1 |
3 |
5 |
Негрибостойкий |
| 2 |
2 |
3 |
Негрибостокий |
| 3 |
0 |
1 |
Грибостойкий |
| 4 |
0 |
1 |
Грибостойкий |
| 5 |
0 |
0 |
Фунгицидный (фунгицидная зона 2 мм) |
| 6 |
0 |
0 |
Фунгицидный (фунгицидная зона 3 мм) |
| 7 |
3 |
5 |
Грибостойкий |
Из результатов, приведенных в табл.2 и 3, следует, что составы гипсовых композиций в зависимости от соотношения компонентов обладают различными показателями прочности и биостойкости. Оптимальными по комплексу свойств являются составы с 3 по 5. Повышенное содержание добавки приводит к улучшению биостойкости, однако при содержании более 3,9% по массе происходит уменьшение прочности.
Предлагаемые составы гипсовых композиций по сравнению с известными решениями обладают повышенным показателем прочности и высокими фунгицидными свойствами.
Формула изобретения
Гипсовая композиция, включающая полуводный гипс, добавку и воду, отличающаяся тем, что она содержит воду с рН от 7,7 до 8,3, в качестве добавки композицию состава, мас.%: 96-99 вода, 1-4 полигексаметилен-гуанидин со средней молекулярной массой 900-2100 D и общей формулой
 где НХ – минеральная кислота- соляная, фосфорная, плавиковая, НА – органическая кислота – муравьиная, уксусная, лимонная, олеиновая, стеариновая, глюконовая, соотношение b/b+c=0,6-0,99 и с/b+с=0,01-0,04, и дополнительно наполнитель – базальтовый порошок при следующем соотношении компонентов, мас.%:
| Полуводный гипс |
55-55,4 |
| Указанная добавка |
1,6-3,9 |
| Базальтовый порошок |
10,8-11,0 |
| Указанная вода |
остальное |
|
|