|
|
(21), (22) Заявка: 2007112506/28, 19.09.2005
(24) Дата начала отсчета срока действия патента:
19.09.2005
(30) Конвенционный приоритет:
17.09.2004 FI 20041213
(43) Дата публикации заявки: 27.10.2008
(46) Опубликовано: 20.12.2009
(56) Список документов, цитированных в отчете о поиске:
US 6614060 В1, 02.09.2003. US 6515313 В1, 04.02.2003. US 5877509 А, 02.03.1999. US 2004169185 A1, 02.09.2004. US 5569934 A, 29.10.1996. RU 2231171 C1, 20.06.2004. SU 1837369 A1, 30.03.1993.
(85) Дата перевода заявки PCT на национальную фазу:
17.04.2007
(86) Заявка PCT:
FI 2005/000394 20050919
(87) Публикация PCT:
WO 2006/030064 20060323
Адрес для переписки:
191036, Санкт-Петербург, а/я 24, “НЕВИНПАТ”, пат.пов. А.В.Поликарпову
|
(72) Автор(ы):
ОДНОБЛЮДОВ Максим (FI), БУГРОВ Владислав (FI)
(73) Патентообладатель(и):
ОптоГаН Ой (FI)
|
(54) ПОЛУПРОВОДНИКОВАЯ ГЕТЕРОСТРУКТУРА
(57) Реферат:
Напряженная полупроводниковая гетероструктура содержит инжекционную область, включающую первый эмиттерный слой, имеющий проводимость р-типа, и второй эмиттерный слой, имеющий проводимость n-типа, а также слой генерации света, расположенный между первым эмиттерным слоем и вторым эмиттерным слоем. Между слоем генерации света и вторым эмиттерным слоем расположена область захвата электронов, которая содержит слой захвата, расположенный рядом со вторым эмиттерным слоем, и ограничительный слой, расположенный рядом с указанным слоем захвата электронов. Согласно изобретению толщины и материалы ограничительного слоя и слоя захвата выбраны так, что разность энергий между одним из локальных уровней энергии для электронов в слое захвата и дном зоны проводимости второго эмиттерного слоя равна энергии оптического фонона. Согласно изобретению на основе описанной выше гетероструктуры могут быть выполнены светоизлучающие диоды. Изобретение обеспечивает создание напряженной полупроводниковой гетероструктуры с повышенной полной мощностью генерации света. 3 н. и 9 з.п. ф-лы, 6 ил.
ОБЛАСТЬ ТЕХНИКИ
Настоящее изобретение касается полупроводниковой гетероструктуры для светоизлучающих устройств, в частности структуры, сформированной из полупроводниковых материалов с рассогласованием кристаллической решетки. Такая гетероструктура включает инжекционную область, состоящую из двух эмиттеров, слой генерации света и область захвата электронов. В частности, гетероструктура может быть выполнена из пироэлектрических материалов, например нитридов металлов III группы и их сплавов. Кроме того, гетероструктура может быть выполнена из азотосодержащих арсенидов и фосфидов металлов III группы.
УРОВЕНЬ ТЕХНИКИ
Внешний квантовый выход светоизлучающего диода, ниже называемого светодиодом, может быть определен как:
ext= · cap· int· out,
где – коэффициент инжекции, сар – эффективность захвата носителей заряда в область генерации света, int – эффективность излучения, обусловленная излучательной рекомбинацией носителей заряда в области генерации света, out – эффективность экстракции света. Максимальная эффективность светодиода получается при максимальных значениях всех параметров. Первые три коэффициента взаимосвязаны и поэтому при разработке конструкции светодиода целесообразно рассматривать их в совокупности.
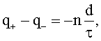
Первый коэффициент, который следует рассмотреть, – это эффективность захвата носителей заряда в область генерации света. В случае рассогласования кристаллической решетки между слоями устройства толщина слоя, в котором происходит рекомбинация электронов и дырок, должна быть достаточно малой, чтобы сохранить качество материала и избежать релаксации напряжения за счет образования дислокации. Однако при уменьшении толщины слоя захват носителей заряда в слой генерации света значительно уменьшается. Этот захват может быть описан соотношением

где q+ и q– – потоки носителей заряда, попадающие в слой генерации света и проходящие через него, n – концентрация носителей заряда в эмиттере, d – ширина узкозонного слоя генерации света и – время захвата носителей заряда, обычно определяемое взаимодействием электронов с оптическими фононами. Приведенное соотношение показывает, что захваченная часть потока носителей уменьшается с уменьшением толщины слоя генерации света и обратно пропорциональна времени захвата носителей заряда. При фиксированной ширине слоя генерации света захват носителей заряда имеет меньшую эффективность для электронов вследствие меньшей эффективной массы у электронов и, следовательно, большего времени релаксации энергии. Другим неотъемлемым механизмом, который уменьшает захват носителей заряда в узкозонную область, является частичное отражение электронной или дырочной волны от этой области. Поэтому вероятность нахождения носителя заряда в узкозонной области уменьшается, что приводит к менее эффективной связи с локализованными состояниями в узкозонном слое и к увеличению времени захвата носителей заряда. В результате эффективность захвата в устройстве снижается и максимум зависимости эффективности ext от инжекционного тока оказывается расположен значительно ниже типичного рабочего тока для такого устройства. Для решения этой проблемы было предложено множество конструкций. Одно из решений состоит в использовании дополнительного широкозонного слоя в области генерации света со стороны инжекции дырок, чтобы предотвратить выход электронов за пределы этой области. Это решение было адаптировано для случая светоизлучающих приборов на основе нитридов Нагахамой (Nagahama) и другими в патенте США 6677619 и имеющихся в нем ссылках. Однако наличие такого барьера увеличивает отражение электронов и дырок, что делает это решение неоптимальным. Для предотвращения выхода носителей заряда из области генерации света Накамура (Nakamura) и другие в заявке на патент США 2004/0101012 предложили создать два барьера с обеих сторон области генерации света. Ввиду того, что это решение по существу приводит к сильному отражению носителей заряда от барьеров, авторы предложили сделать эти барьеры как можно более тонкими, чтобы увеличить вероятность туннелирования через них носителей заряда. Однако один из недостатков этого решения состоит в том, что туннелирование носителей заряда в этом случае не является резонансным и поэтому при любой разумной толщине барьеров отражение носителей заряда от барьеров значительно снижает эффективность захвата носителей заряда в область генерации света. Уонг (Wang) и другие в патенте Великобритании 2352326 раскрыли конструкцию CART, в которой электроны собираются в предварительном резервуаре в области структуры с проводимостью n-типа, откуда они резонансно туннелируют в область генерации света. Для эффективного сбора носителей заряда резервуар должен быть достаточно толстым. Фактически трудно изготовить толстый высококачественный слой на основе полупроводниковых материалов с рассогласованием кристаллической решетки.
Вторым рассматриваемым коэффициентом является коэффициент инжекции. Поскольку свет генерируется в тонком слое генерации света, который расположен рядом с р-n-переходом, желательно в этом переходе обеспечить максимальный коэффициент инжекции. Обычное решение состоит в том, чтобы в максимально возможной степени легировать эмиттеры без ухудшения качества материала. Однако для материалов, в которых концентрация активных центров легирования в одном из эмиттеров ограничена фундаментальными свойствами материала, чрезмерное легирование другого эмиттера нарушает баланс токов инжекции электронов и дырок в слое генерации света, что снижает коэффициент инжекции.
Третьим рассматриваемым коэффициентом является эффективность излучения. Если устройство выполнено из пироэлектрических материалов, в структуре имеет место спонтанная поляризация и пьезополяризация, обусловленная вызванной деформацией, в результате чего образуется встроенное электрическое поле, которое приводит к пространственному разделению электронов и дырок в области генерации света. В результате излучательная рекомбинация может идти только посредством непрямых оптических переходов. Такая непрямая рекомбинация приводит к уменьшению квантового выхода излучения в устройстве. Это явление обсуждается во множестве публикаций, включая работы Bernardini et al., “Spontaneous polarization and piezoelectric constants of III-V nitrides”, American Physical Society Journal, Physics Review B, Vol.56, 16, 1997, pages R10024-R10027; Takeuchi et al., “Quantum-Confined Stark Effect due to Piezoelectric Fields in GalnN Strained Quantum Wells”, Japanese Journal of Applied Physics, Vol.36, Part 2, 4, 1997, pages L382-L385; and Ambacher et al., “Pyroelectric properties of Al(ln)GaN/GaN hetero-and quantum well structures”, Journal of Physics: Condensed Matter, Vol.14, 2002, pages 3399-3434. До некоторой степени влияние встроенной поляризации можно уменьшить при использовании очень тонких слоев генерации света. Однако, как отмечалось выше, такая малая толщина приводит к неэффективному захвату носителей заряда. Кроме того, ширина слоев генерации света может стать сопоставимой с флуктуациями толщины. Эти флуктуации могут привести к формированию “дыр” в слоях генерации света, которые действуют как центры безызлучательной рекомбинации, таким образом дополнительно уменьшая эффективность устройства. И, наконец, обусловленное поляризацией встроенное электрическое поле ограничивает как эффективность излучения, так и скорость захвата. В патенте США 6515313 раскрыто несколько способов уменьшения влияния зарядов, индуцированных поляризацией: селективное легирование, призванное обеспечить такой заряд примесей, который смог бы компенсировать заряд, индуцированный поляризацией; оболочечные слои с переменным составом; активная область с переменным или смешанным составом; инвертированная поляризация. Еще одно решение состоит в использовании в качестве материалов для области генерации света полупроводниковых структур с согласованной кристаллической решеткой. Однако в пироэлектрических материалах имеет место также спонтанная поляризация, которая отлична от нуля даже в ненапряженных слоях или слоях с согласованной кристаллической решеткой. Например, величина спонтанной поляризации в нитридах металлов III группы аналогична значению, обусловленному пьезоэлектрическим эффектом. Некоторые другие способы уменьшения пьезоэлектрической поляризации раскрыты в патентах США 6569704 и 6630692.
Как следует из вышеизложенного, разработка высокоэффективной светоизлучающей структуры будет более результативной при последовательном решении предпочтительно всех вышеуказанных проблем.
ЦЕЛЬ ИЗОБРЕТЕНИЯ
Цель изобретения состоит в устранении вышеуказанных недостатков.
Одной из конкретных целей настоящего изобретения является создание нового типа напряженной полупроводниковой гетероструктуры с повышенной полной мощностью генерации света, причем эта гетероструктура выполнена, например, из пироэлектрических полупроводниковых материалов, таких как нитриды металлов III группы и их сплавов, или из азотосодержащих арсенидов и фосфидов металлов III группы.
Кроме того, целью настоящего изобретения является создание нового типа светоизлучающего диода, в котором используется напряженная полупроводниковая гетероструктура.
СУЩНОСТЬ ИЗОБРЕТЕНИЯ
Напряженная полупроводниковая гетероструктура, выполненная согласно настоящему изобретению, характеризуется признаками, раскрытыми в п.1 формулы изобретения.
Согласно настоящему изобретению полупроводниковая гетероструктура содержит: инжекционную область, включающую первый эмиттерный слой, имеющий проводимость р-типа, и второй эмиттерный слой, имеющий проводимость n-типа, слой генерации света, расположенный между эмиттерными слоями, и область захвата электронов, которая расположена между вторым эмиттерным слоем и слоем генерации света. Область захвата электронов включает слой захвата, расположенный рядом со вторым эмиттерным слоем, и ограничительный слой, расположенный рядом со слоем захвата. В настоящем описании термин “напряженная гетероструктура”, как правило, относится к гетероструктуре, состоящей из отдельных слоев, где плоскостная постоянная кристаллической решетки по меньшей мере одного слоя отличается от ее равновесного значения, а термин “слой”, как правило, относится к монокристаллическому эпитаксиальному слою. Область захвата электронов предназначена для обеспечения релаксации энергии электронов и уменьшения вероятности пролета электронов за пределы слоя генерации света. Ширина запрещенной зоны в слое генерации света меньше ширины запрещенной зоны в эмиттерных слоях и в ограничительном слое. Ширина запрещенной зоны в слое захвата меньше, чем ширина запрещенной зоны в ограничительном слое. Кроме того, энергетическое положение нижнего уровня энергии для электронов в слое захвата выше, чем в слое генерации света.
Согласно настоящему изобретению ширины и материалы слоя захвата и ограничительного слоя выбраны так, чтобы разность энергий между одним из локальных уровней энергии для электронов в слое захвата и дном зоны проводимости второго эмиттерного слоя была равна энергии оптического фонона. Термин “энергия оптического фонона” относится к энергии оптической ветви колебаний кристаллической решетки вблизи нулевого значения волнового вектора. Вследствие взаимодействия с продольными оптическими (LO, longitudinal optical) фононами захват электронов в узкозонный слой захвата будет интенсивнее по сравнению с захватом на произвольно расположенный уровень, поскольку в вышеуказанной ситуации импульс, переданный фонону в процессе перехода электрона с потерей энергии, будет близок к нулю. Релаксация происходит, главным образом, вследствие спонтанной эмиссии оптических фононов при умеренных температурах. Обратный процесс тепловой эмиссии носителей заряда из узкозонного слоя захвата в эмиттерный слой происходит благодаря поглощению фононов и поэтому ограничивается коэффициентом Nq/(1+Nq), где Nq – количество фононов, даваемых распределением Планка. Например, в случае нитридов металлов III группы энергия оптического фонона равна приблизительно 100 мэВ; поэтому при комнатной температуре скорость эмиссии будет меньше по сравнению со скоростью захвата приблизительно в 40 раз. Дальнейшая релаксация энергии носителей заряда происходит или через более низкие уровни энергии в пределах слоя захвата, а затем в соседнем узкозонном слое генерации света, или непосредственно в слое генерации света. Таким образом, согласно настоящему изобретению слой захвата имеет значительно большую эффективность захвата электронов по сравнению с известными структурами.
Согласно одному предпочтительному варианту выполнения настоящего изобретения концентрация электронов во втором эмиттерном слое подобрана так, что равна произведению: (1) концентрации дырок в первом эмиттерном слое, (2) отношения коэффициента диффузии для дырок во втором эмиттерном слое и коэффициента диффузии для электронов в первом эмиттерном слое и (3) отношения длины диффузии для электронов в первом эмиттерном слое и длины диффузии для дырок во втором эмиттерном слое. При выполнении этого условия концентрации дырок и электронов в инжекционной области оказываются равны и обеспечивают баланс инжекционных токов в слое генерации света, что приводит к увеличению коэффициента инжекции. Ниже кратко излагается теория, которая лежит в основе указанного подбора концентрации электронов.
Поскольку свет генерируется в тонком слое генерации света, который расположен около границы раздела р- и n-областей, желательно обеспечить на этой границе максимальный коэффициент инжекции. В рамках модели Шокли-Нойса-Са (Shockley-Noyce-Sah), которая предполагает рекомбинацию в области объемного заряда и соответствует типичным рабочим токам светодиода, скорость рекомбинации пропорциональна произведению концентраций электронов и дырок, но не произведению концентраций основных носителей заряда в эмиттерах. Специалистам в данной области понятно, что причина заключается в том, что в р-n-переходе, смещенном в прямом направлении, концентрации инжектированных носителей зависят от концентраций неосновных носителей заряда и приложенного напряжения, но не от концентраций основных носителей заряда. Таким образом, коэффициент инжекции максимален при условии, что плотности тока электронов дырок равны на границе раздела р- и n-областей, поскольку полная плотность тока равна сумме этих двух плотностей тока и постоянна по всей структуре. Для заданной концентрации рр дырок в эмиттерной области р-типа равенство плотности токов электронов и дырок задает условие для концентрации nn электронов в эмиттерной области n-типа в виде:

где Dp и Dn – коэффициенты диффузии, a Lp и Ln – длины диффузии для неосновных носителей заряда в эмиттерах n-типа и р-типа проводимости соответственно. Используемые в настоящем описании определения терминов “коэффициент диффузии” и “длина диффузии” можно найти, например, в книге N.W.Ashcroft, N.D.Mermin “Solid State Physics”, Saunders College Publishing, 1976, pages 602-604. Специалистам в данной области хорошо известен способ создания требуемых концентраций электронов и дырок в слоях. Для выбранной группы полупроводниковых материалов (например, для нитридов металлов III группы) типично, что концентрация электронов в эмиттерной области n-типа в несколько раз выше, чем концентрация дырок в эмиттерной области р-типа. В этом случае ток инжекции электронов в область объемного заряда выше, чем ток инжекции дырок, что приводит к снижению коэффициента инжекции по сравнению с максимально возможной эффективностью. В этом случае наиболее очевидное решение по увеличению эффективности генерации света заключается в увеличении концентрации дырок в эмиттерной области р-типа. Однако легирование полупроводника с целью повышения концентрации дырок может быть ограничено фундаментальными характеристиками материала. В гетероструктуре, выполненной согласно данному варианту выполнения настоящего изобретения, баланс между токами инжекции электронов и дырок осуществляется благодаря специальной конструкции эмиттерной области n-типа в р-n-переходе. В этом случае эмиттерная область n-типа с умеренным уровнем легирования помещена между слоем n-контакта и областью захвата электронов.
В одном из вариантов выполнения настоящего изобретения напряженная полупроводниковая гетероструктура выполнена из пироэлектрических полупроводниковых материалов, а слой генерации света имеет такой состав и толщину, что электрическое поле, обусловленное спонтанной пироэлектрической поляризацией, имеет такую величину и направление, что по существу равно и направлено противоположно пьезоэлектрическому полю, обусловленному механическим напряжением. В настоящем описании используются термины “пироэлектрическая поляризация” и “пьезоэлектрическая поляризация”, которые раскрыты, например, в книге N.W. Ashcroft, N.D. Mermin “Solid State Physics”, Saunders College Publishing, 1976, page 555. Идея состоит в обеспечении фиксированного рассогласования кристаллической решетки между эмиттерным слоем и слоем генерации света, чтобы электрическое поле Epiezo, обусловленное суперпозицией зарядов пьезоэлектрической поляризации, компенсировало поле Esp, обусловленное суперпозицией спонтанных поляризационных зарядов:
Esp Epiezo
В этом случае носители заряда в слое генерации света не разделены пространственно и это приводит к повышению эффективности излучения. Например, в слое AllnGaN пьезоэлектрическая и спонтанная поляризации могут быть направлены в противоположных направлениях в зависимости от состава. Поэтому материал для слоя генерации света и соседних слоев выбирают так, чтобы обеспечить величину встроенного поля, индуцированного спонтанной (пироэлектрической) поляризацией, равную величине встроенного пьезоэлектрического поля, а направление встроенного поля, индуцированного спонтанной (пироэлектрической) поляризацией, – противоположное направлению встроенного пьезоэлектрического поля. Материалы для пироэлектрического слоя могут быть, например, нитридами металлов III группы и их сплавами. По меньшей мере один из эмиттерных слоев может включать AlxGa1-xN, где 0 x 1. По меньшей мере один из следующих слоев: слой генерации света, ограничительный слой и слой захвата может включать AlxInyGa1-x-yN, где 0 x 1, 0 y 1, 0 x+y 1.
Предпочтительными непироэлектрическими материалами для структуры, предлагаемой в настоящем изобретении, являются азотосодержащие арсениды и фосфиды металлов III группы. Например, по меньшей мере один из следующих слоев: эмиттерный слой, слой генерации света, ограничительный слой и слой захвата может включать AlxlnyGa1-х-yASaNbP1-a-b, где 0 x 1; 0 y 1; 0 x+y 1; 0 a 1; 00,1; 0 a+b 1.![]()
Еще один предпочтительный вариант выполнения настоящего изобретения, еще более усиливающий релаксацию носителей заряда, если это желательно, может быть реализован путем встраивания в структуру дополнительных слоев. Согласно этому варианту выполнения настоящего изобретения по меньшей мере одна пара из широкозонного и узкозонного слоев помещена между ограничительным слоем и слоем генерации света, причем слой, расположенный рядом с ограничительным слоем, является узкозонным слоем. Ширина запрещенной зоны в широкозонных слоях больше, чем в узкозонных слоях и в слое генерации света. Состав и толщины узкозонного и широкозонного слоев выбраны так, чтобы наинизшие уровни энергии для электронов в любом узкозонном слое лежали выше, чем в слое генерации света, ниже, чем в слое захвата, и ниже, чем в узкозонных слоях, расположенных между рассматриваемым узкозонным слоем и ограничительным слоем. Кроме того, указанные составы и толщины выбраны так, чтобы разность энергий между самым низким локальным уровнем энергии для электронов в слое (16) захвата и аналогичным уровнем в узкозонном слое, расположенном рядом с ограничительным слоем, была равна энергии оптического фонона. Такое согласование с энергией фонона может быть выполнено также для каждой пары соседних узкозонных слоев. Релаксация энергии в такой структуре происходит путем последовательности процессов с участием фононов и, следовательно, будет усиливаться.
Кроме того, структура, содержащая указанные широкозонный и узкозонный слои, может быть выполнена из пироэлектрических материалов. В этом случае по меньшей мере один из эмиттерных слоев может включать AlxGa1-xN, где 0 x 1. По меньшей мере один из следующих слоев: слой генерации света, ограничительный слой и слой захвата может включать AlxInyGa1-x-yN, где 0 x 1, 0 y 1, 0 x+y 1. Дополнительные слои могут включать, например, чередующиеся широкозонные слои AlmilnniGa1-mi-ni и узкозонные слои NAlkilnliGa1-ki-liN, в которых i нумерует пары, 0 mi 1, 0 ni 1, 0 mi+ni 1, 0 ki 1, 0 li 1, 0 ki+li 1.
В структурах согласно настоящему изобретению, содержащих слои из вышеописанных пироэлектрических материалов, можно добавить дополнительную область n-типа с низким удельным сопротивлением, расположенную рядом с указанным вторым эмиттерным слоем, при этом область с низким удельным сопротивлением включает сверхрешетку для растекания поперечных токов, сформированную из множества чередующихся пар слоев AlxGa1-xN и AlyGa1-yN, где 0 х 1 и 0 y 1.
В непироэлектрической структуре с дополнительными широкозонными и узкозонными слоями в области захвата по меньшей мере один из следующих слоев: эмиттерный слой, слой генерации света, ограничительный слой и слой захвата может включать AlxlnyGa1-х-yASaNbP1-a-b, где 0 x 1; 0 y 1; 0 x+y 1; 0 a 1; 0 b 0,1; 0 a+b 1. Дополнительные слои могут включать, например, чередующиеся широкозонные слои AlmilnniGa1-mi-niASpiNqiP1-pi-qi и узкозонные слои AlkilnliGa1-ki-liCiASriNgiP1-ri-gi, в которых i нумерует пары, 0 mi 1; 0 ni 1; 0 mi+ni 1; 0 pi 1; 0 gi 0,1; 0 pi+qi 1, 0 ki 1, 0 li 1, 0 ki+li 1; 0 ri 1; 0 si 0,1; 0 ri+si 1.
Светоизлучающий диод (светодиод), выполненный согласно настоящему изобретению, отличается признаками, сформулированными в п.11 формулы изобретения. Светоизлучающий диод содержит напряженную полупроводниковую гетероструктуру, описанную выше. Таким образом, он имеет значительно увеличенную эффективность светоизлучения по сравнению с известными устройствами. Все устройство разработано так, чтобы обеспечить высокую эффективность генерации света при высоких плотностях тока. Все описанные аспекты предпочтительных вариантов выполнения настоящего изобретения, то есть подбор под энергию фонона, наличие дополнительных слоев с областью захвата, подбор концентрации электронов и компенсация пьезоэлектрического поля, могут сочетаться и для достижения оптимальных рабочих характеристик устройства предпочтительно оптимизировать их одновременно. Например, состав слоя генерации света, узкозонного слоя в области захвата электронов и эмиттерных слоев можно подобрать так, чтобы обеспечить (а) плоский профиль зон в слое генерации света, (б) энергию перехода, равную энергии оптического фонона, (в) требуемую длину волны излучения. Уровни легирования определяются исходя из условия баланса токов инжекции, описанного выше.
Кроме того, cветоизлучающий диод (светодиод), выполненный согласно настоящему изобретению, отличается признаками, указанными в п.12 формулы изобретения. Светоизлучающий диод содержит полупроводниковую гетероструктуру по п.5 или 10, которая была описана выше. Согласно настоящему изобретению указанная гетероструктура выращена на подложке из GaP, GaAs или InP. Кроме того, эмиттерные слои согласованы с подложной по параметрам кристаллической решетки. Другими словами, период кристаллической решетки эмиттерного слоя по существу совпадает с периодом кристаллической решетки подложки.
Итак, по сравнению с известным техническим решением достигнуто несколько преимуществ. В частности, область захвата электронов с вышеописанной подстройкой под энергию фонона обеспечивает эффективную релаксацию энергии электронов и подавляет выход электронов за пределы слоя генерации света. Еще одно преимущество заключается в том, что концентрации дырок и электронов в области инжекции можно подобрать так, чтобы обеспечить баланс инжекционных токов в слое генерации света. Еще одно преимущество заключается в том, что если гетероструктура выполнена из пироэлектрических полупроводниковых материалов, то слой генерации света может иметь состав, при котором электрическое поле в этом слое приблизительно равно нулю. В результате полный внешний квантовый выход светоизлучающего диода, в котором используется гетероструктура согласно настоящему изобретению, будет значительно увеличен. Все устройство разработано для обеспечения высокой эффективности генерации света при большой плотности рабочих токов.
Предыдущее описание, а также другие преимущества настоящего изобретения и способы его реализации конкретизируются в последующем подробном описании со ссылками на сопровождающие чертежи.
ПЕРЕЧЕНЬ ЧЕРТЕЖЕЙ
Ниже изобретение будет описано подробно со ссылками на сопровождающие чертежи, где
на фиг.1 схематично показано поперечное сечение, показывающее пример полупроводниковой гетероструктуры согласно настоящему изобретению;
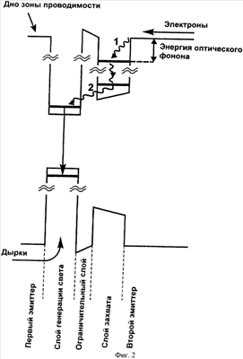
на фиг.2 показана зонная структура слоя генерации света и области захвата для полупроводниковой гетероструктуры, изображенной на фиг.1;
на фиг.3 показана зонная структура для полупроводниковой гетероструктуры с парой из широкозонного и узкозонного слоев, расположенной между ограничительным слоем и слоем генерации света согласно настоящему изобретению;
на фиг.4а иллюстрируется полупроводниковая гетероструктура на базе р-n-перехода, используемая в светоизлучающих диодах, для случая, когда концентрация электронов в эмиттерной области n-типа превышает концентрацию дырок в эмиттерной области р-типа, на фиг.4b иллюстрируется распределение концентрации электронов и дырок в этой же структуре, а на фиг.4с иллюстрируется распределение плотности электронного и дырочного токов в этой же структуре;
на фиг.5а иллюстрируется полупроводниковая гетероструктура на базе р-n-перехода с балансом инжекции в светоизлучающих диодах согласно настоящему изобретению, на фиг.5b иллюстрируется распределение концентрации электронов и дырок в этой структуре, а на фиг.5 с иллюстрируется распределение плотности электронного и дырочного токов в этой же структуре; и
на фиг.6 схематично показано поперечное сечение полупроводниковой гетероструктуры в светоизлучающих диодах, выполненных из нитридов металлов III группы согласно настоящему изобретению.
ПОДРОБНОЕ ОПИСАНИЕ ИЗОБРЕТЕНИЯ
На фиг.1 схематично показано поперечное сечение полупроводниковой гетероструктуры. Гетероструктура 10 содержит инжекционную область, состоящую из первого эмиттерного слоя 11 и второго эмиттерного слоя 12, слой 13 генерации света и область 14 захвата электронов, состоящую из слоя захвата и ограничительного слоя.
На фиг.2 схематично представлена зонная структура гетероструктуры, изображенной на фиг.1. Область захвата – это узкозонный слой, расположенный рядом со вторым эмиттерным слоем. Широкозонный слой между слоем захвата и слоем генерации света образует ограничительный слой. Толщины и составы слоя захвата и ограничительного слоя подобраны так, чтобы разность энергии между одним из локальных энергетических уровней электрона в слое захвата и дном зоны проводимости в эмиттере электронов была равна энергии оптического фонона. Захват электронов в узкозонный слой захвата происходит благодаря взаимодействию с продольным оптическим (LO) фононом, что обозначено позицией 1. В результате эффективность захвата возрастает по сравнению с захватом на произвольно расположенный уровень. При дальнейшей релаксации энергии, что обозначено позицией 2, носитель заряда попадает сначала на более низкие уровни энергии в пределах того же узкозонного слоя захвата, а затем в соседний узкозонный слой генерации света.
На фиг.3 схематично показана зонная диаграмма гетероструктуры, в которой между ограничительным слоем и слоем генерации света добавлена одна пара из широкозонного и узкозонного слоев. Состав и толщины введенных слоев подобраны так, чтобы наинизшие уровни энергии для электронов в узкозонном слое лежали выше, чем соответствующие уровни энергии в слое генерации света, и ниже, чем соответствующие уровни энергии в слое захвата. Кроме того, параметры встроенных слоев подобраны так, чтобы разность энергии между наинизшими энергетическими уровнями в соседнем слое захвата и узкозонном слое была равна энергии оптического фонона. Захват электронов в узкозонный слой захвата происходит, как показано на фиг.2, вследствие взаимодействия с продольным оптическим (LO) фононом, что обозначено позицией 1. Релаксация энергии в такой структуре происходит как последовательность процессов, обозначенных позициями 2 и 3, причем последний процесс идет с участием фонона. Вследствие дополнительного шага 3 с участием фонона релаксация энергии еще больше усиливается по сравнению со случаем без наличия дополнительных слоев.
Сравнение фиг.4 и фиг.5 позволяет понять влияние подбора концентрации электронов согласно настоящему изобретению. В структуре, изображенной на фиг.5, концентрация электронов удовлетворяет условию:

где Dp и Dn – коэффициенты диффузии, a Lp и Ln – длины диффузии для неосновных носителей заряда в эмиттерах с проводимостью n-типа и р-типа соответственно. В этом случае плотности тока электронов и дырок на границе р-n-перехода равны и, таким образом, коэффициент инжекции максимален в отличие от случая, изображенного на фиг.4, в котором концентрация электронов в эмиттерной области n-типа превышает концентрацию дырок в эмиттерной области р-типа.
На фиг.6 дан пример полупроводниковой гетероструктуры для светоизлучающих диодов, изготовленных из нитридов металлов III группы согласно настоящему изобретению. Гетероструктура 10 содержит инжекционную область, состоящую из первого эмиттерного слоя 11, который изготовлен из GaN с проводимостью р-типа, концентрацией дырок 5×1017 см-3 и толщиной 0,5 мкм, и второго эмиттерного слоя 12, который изготовлен из GaN с проводимостью n-типа, концентрацией электронов 1×1018 см-3 и толщиной 0,5 мкм; слой 13 генерации света изготовлен из нелегированного Al0.04In0.22Ga0.74N толщиной 0,003 мкм; область захвата электронов состоит из ограничительного слоя 15, изготовленного из нелегированного Al0.2In0.05Ga0.75N толщиной 0,0015 мкм, и слоя 16 захвата электронов из нелегированного In0.06Ga0.94N толщиной 0,006 мкм; а область 17 с низкой удельной проводимостью изготовлена из GaN с проводимостью n-типа, концентрацией электронов 5×1018 см-3 и толщиной 2 мкм.
Изобретение не ограничено примерами, рассмотренными выше, и возможны многочисленные модификации в рамках формулы изобретения.
Формула изобретения
1. Напряженная полупроводниковая гетероструктура (10), содержащая: инжекционную область, включающую первый эмиттерный слой (11), имеющий проводимость р-типа, и второй эмиттерный слой (12), имеющий проводимость n-типа, слой (13) генерации света, расположенный между первым эмиттерным слоем (11) и вторым эмиттерным слоем (12), причем ширина запрещенной зоны указанного слоя генерации света меньше ширины запрещенной зоны первого и второго эмиттерных слоев; область (14) захвата электронов, расположенную между слоем (13) генерации света и вторым эмиттерным слоем (12) и содержащую слой (16) захвата, расположенный рядом со вторым эмиттерным слоем, и ограничительный слой (15), расположенный рядом с указанным слоем захвата электронов, причем ширина запрещенной зоны указанного ограничительного слоя больше, чем ширина запрещенной зоны слоя генерации света, ширина запрещенной зоны указанного слоя захвата меньше, чем ширина запрещенной зоны ограничительного слоя, а наинизший уровень энергии для электронов в слое захвата лежит выше соответствующего уровня в слое генерации света; отличающаяся тем, что толщины и материалы ограничительного слоя (15) и слоя (16) захвата выбраны так, что разность энергий между одним из локальных уровней энергии для электронов в слое (16) захвата и дном зоны проводимости второго эмиттерного слоя (12) равна энергии оптического фонона.
2. Напряженная полупроводниковая гетероструктура (10) по п.1, отличающаяся тем, что концентрация электронов во втором эмиттерном слое (12) подобрана равной произведению: концентрации дырок в первом эмиттерном слое (11), отношения коэффициента диффузии для дырок во втором эмиттерном слое (12) и коэффициента диффузии для электронов в первом эмиттерном слое (11) и отношения длины диффузии для электронов в первом эмиттерном слое (11) и длины диффузии для дырок во втором эмиттерном слое (12).
3. Напряженная полупроводниковая гетероструктура (10) по п.1 или 2, отличающаяся тем, что она сформирована из пироэлектрических полупроводниковых материалов; причем толщина материала слоя (13) генерации света выбрана так, чтобы встроенное электрическое поле, обусловленное спонтанной пироэлектрической поляризацией, было по существу равно по величине и по существу противоположно по направлению соответствующему встроенному пьезоэлектрическому полю.
4. Напряженная полупроводниковая гетероструктура (10) по п.3, отличающаяся тем, что выполнено по меньшей мере одно из следующих условий: указанный первый эмиттерный слой (11) включает AlxGa1-xN, где 0 х 1; указанный второй эмиттерный слой (12) включает Alx2Ga1-x2N, где 0 х2 1; указанный слой (13) генерации света включает Alx3Iny3Ga1-x3-y3N, где 0 х3 1, 0 y3 1, 0 х3+b3 1; указанный ограничительный слой (15) включает Alx4Iny4Ga1-x4-y4N, где 0 х4 1, 0 y4 1, 0 х4+b4 1; и указанный слой (16) захвата включает Alx5Iny5Ga1-x5-y5N, где 0 х5 1, 0 y5 1, 0 х5+b5 1.
5. Напряженная полупроводниковая гетероструктура (10) по п.1 или 2, отличающаяся тем, что выполнено, по меньшей мере, одно из следующих условий: указанный первый эмиттерный слой (11) включает Alx1Iny1Ga1-x1-y1Asa1Nb1P1-a1-b1, где 0 х1 1; 0 y1 1; 0 х1+y1 1; 0 a1 1; 0 b1 0,1; 0 a1+b1 1; указанный второй эмиттерный слой (12) включает Alx2Iny2Ga1-x2-y2Asa2Nb2P1-а2-b2, где 0 х2 1; 0 y2 1; 0 х2+y2 1; 0 а2 1; 0 b2 0,1; 0 а2+b2 1; указанный слой (13) генерации света включает Аlх3Inу3Gа1-х3-y3Аsа3Nb3Р1-а3-b3, где 0 х3 1; 0 y3 1; 0 х3+y3 1; 0 а3 1; 0 b3 0,1; 0 а3+b3 1; указанный ограничительный слой (15) включает Alx4Iny4Ga1-x4-y4Asa4Nb4P1-a4-b4, где 0 х4 1; 0 y4 1; 0 х4+y4 1; 0 а4 1; 0 b4 0,1; 0 а4+b4 1; и указанный слой (16) захвата включает Alx5Iny5Ga1-x5-y5Asa5Nb5P1-a5-b5; где 0 х5 1; 0 y5 1; 0 х5+у5 1; 0 а5 1; 0 b5 0,1; 0 а5+b5 1.
6. Напряженная полупроводниковая гетероструктура (10) по п.1 или 2, отличающаяся тем, что область (16) захвата содержит по меньшей мере одну пару из широкозонного и узкозонного слоев, помещенных между ограничительным слоем (15) и слоем (13) генерации света, причем слой, расположенный рядом с ограничительным слоем, является одним из узкозонных слоев, ширина запрещенной зоны широкозонных слоев больше, чем ширина запрещенной зоны слоя генерации света, ширина запрещенной зоны узкозонных слоев меньше, чем ширина запрещенной зоны широкозонных слоев, а толщины и материалы широкозонного и узкозонного слоев выбраны так, что: наинизший уровень энергии для электронов в любом узкозонном слое выше, чем в слое (13) генерации света, ниже, чем в слое (16) захвата, и ниже, чем в узкозонных слоях, расположенных между рассматриваемым узкозонным слоем и ограничительным слоем (15); и разность энергий между наинизшими локальными энергетическими уровнями для электронов в узкозонном слое, расположенном рядом с ограничительным слоем, и в слое (16) захвата равна энергии оптического фонона.
7. Напряженная полупроводниковая гетероструктура (10) по п.6, отличающаяся тем, что она сформирована из пироэлектрических полупроводниковых материалов, и толщина и материал указанного слоя (13) генерации света выбрана так, что встроенное электрическое поле, обусловленное спонтанной пироэлектрической поляризацией, по существу равно по величине и по существу противоположно по направлению соответствующему встроенному пьезоэлектрическому полю.
8. Напряженная полупроводниковая гетероструктура (10) по п.7, отличающаяся тем, что выполнено по меньшей мере одно из следующих условий: указанный первый эмиттерный слой (11) включает AlxGa1-xN, где 0 х 1; указанный второй эмиттерный слой (12) включает Alx2Ga1-x2N, где 0 х2 1; указанный слой (13) генерации света включает Аlх3Iny3Ga1-x3-y3N, где 0 х3 1, 0 y3 1, 0 х3+b3 1; указанный ограничительный слой (15) включает Alx4Iny4Ga1-x4-y4N, где 0 х4 1, 0 y4 1, 0 х4+b4 1; и указанный слой (16) захвата включает Alx5Iny5Ga1-x5-y5N, где 0 х5 1, 0 y5 1, 0 х5+b5 1; и указанные пары из широкозонного и узкозонного слоев включают чередующиеся широкозонные слои AlkiInliGa1-ki-liN и узкозонные слои AlmiInniGa1-mi-niN, в которых i нумерует пары, 0 mi 1, 0 ki 1, 0 mi+ni 1, 0 ki 1, 0 li 1, 0 ki+li 1.
9. Напряженная полупроводниковая гетероструктура (10) по п.4 или 8, отличающаяся тем, что имеется дополнительная область (17) низкого удельного сопротивления с проводимостью n-типа, расположенная рядом с указанным вторым эмиттерным слоем (12) и включающая сверхрешетку для растекания поперечных токов, сформированную из множества пар чередующихся слоев AlxGa1-xN и AlyGa1-yN, где 0 х 1 и 0 у 1.
10. Напряженная полупроводниковая гетероструктура (10) по п.6, отличающаяся тем, что выполнено по меньшей мере одно из следующих условий: указанный первый эмиттерный слой (11) включает Alx1Iny1Ga1-x1-y1Asa1Nb1P1-a1-b1, где 0 х1 1; 0 y1 1; 0 x1+y1 1; 0 a1 1; 0 b1 0,1; 0 а1+b1 1; указанный второй эмиттерный слой (12) включает Alx2Iny2Ga1-x2-y2Asa2Nb2P1-а2-b2, где 0 х2 1; 0 y2 1; 0 х2+y2 1; 0 а2 1; 0 b2 0,1; 0 а2+b2 1; указанный слой (13) генерации света включает Аlх3Iny3Са1-х3-y3Аsа3Nb3Р1-а3-b3, где 0 х3 1; 0 y3 1; 0 х3+y3 1; 0 а3 1; 0 b3 0,1; 0 а3+b3 1; указанный ограничительный слой (15) включает Alx4Iny4Ga1-x4-y4Asa4Nb4P1-a4-b4, где 0 х4 1; 0 y4 1; 0 х4+y4 1; 0 а4 1; 0 b4 0,1; 0 а4+b4 1; и указанный слой (16) захвата включает Alx5Iny5Ga1-x5-y5Asa5Nb5P1-a5-b5, где 0 х5 1; 0 у5 1; 0 х5+y5 1; 0 а5 1; 0 b5 0,1; 0 а5+b5 1; и указанные пары из широкозонного и узкозонного слоев включают чередующиеся широкозонные слои AlkiInliGa1-ki-liN и узкозонные слои AlmiInniGa1-mi-niN, в которых i нумерует пары, 0 mi 1, 0 ki 1, 0 mi+ni 1, 0 ki 1, 0 li 1, 0 ki+li 1.
11. Светоизлучающий диод, содержащий напряженную полупроводниковую гетероструктуру по любому из пп.1-10.
12. Светоизлучающий диод, содержащий напряженную полупроводниковую гетероструктуру по п.5 или 10, отличающийся тем, что указанная напряженная полупроводниковая гетероструктура выращена на подложке, материал для которой выбран из группы, включающей GaP, GaAs, InP; и материалы указанных первого и второго эмиттерных слоев (11, 12) выбраны так, чтобы обеспечить согласование кристаллической решетки с указанной подложкой.
РИСУНКИ
|
|