|
|
(21), (22) Заявка: 2005113291/04, 02.10.2003
(24) Дата начала отсчета срока действия патента:
02.10.2003
(30) Конвенционный приоритет:
02.10.2002 US 60/415,626
(43) Дата публикации заявки: 20.01.2006
(46) Опубликовано: 20.12.2009
(56) Список документов, цитированных в отчете о поиске:
RU 2126264 С1, 20.02.1999. WO 0104156 А, 18.01.2001. DE 19637230 А, 19.03.1998. WO 0066629 А, 09.11.2000. WO 9943708 A, 02.09.1999.
(85) Дата перевода заявки PCT на национальную фазу:
03.05.2005
(86) Заявка PCT:
DK 03/00651 20031002
(87) Публикация PCT:
WO 2004/035623 20040429
Адрес для переписки:
129090, Москва, ул. Б.Спасская, 25, стр.3, ООО “Юридическая фирма Городисский и Партнеры”, пат.пов. Е.Е.Назиной
|
(72) Автор(ы):
ЭББЕХЕЙ Кирстен (DK), ЙЕПСЕН Трине (DK), КНУДСЕН Карстен Боюэ (DK), ЛАРСЕН Бьярне Дуэ (DK), НОТТ Дэвид (DK)
(73) Патентообладатель(и):
ЗИЛЭНД ФАРМА А/С (DK)
|
(54) СТАБИЛИЗИРОВАННЫЕ СОЕДИНЕНИЯ ЭКСЕНДИНА-4
(57) Реферат:
В данном изобретении предлагаются композиции, содержащие стабилизированный эксендин-4(1-39) и родственные соединения. В изобретении описаны стабилизированные агонисты эксендина-4, которые содержат, по меньшей мере, один модифицированный аминокислотный остаток, в частности в положении Asn28 молекулы эксендина-4(1-39). Изобретение также относится к способам получения и применения стабилизированных соединений эксендина, таким как для лечения диабета. 3 н. и 12 з.п. ф-лы, 9 ил., 2 табл.
ОБЛАСТЬ ТЕХНИКИ
Данное изобретение относится к стабилизованным соединениям эксендина-4 и родственным молекулам. В одном аспекте изобретение относится к стабилизированным агонистам эксендина-4, которые содержат, по меньшей мере, один модифицированный аминокислотный остаток, в частности в положениях Gln13, Met14, Trp25 или Asn28 молекулы эксендина-4(1-39). Предпочтительными модификациями являются дезаминированные, гидролизованные, окисленные или изомеризованные продукты реакций определенных аминокислотных остатков, соответствующих тем же самым положениям в молекуле эксендина-4(1-39). Также предлагаются способы получения и применения стабилизированных соединений эксендина. Изобретение имеет широкий спектр применений и предлагает соединения эксендина-4, обладающие большей стабильностью по сравнению с предыдущими композициями эксендина-4.
УРОВЕНЬ ТЕХНИКИ
Ряд гормонов, которые понижают уровни глюкозы в крови, высвобождаются из слизистой оболочки желудочно-кишечного тракта в ответ на присутствие и поглощение питательных веществ в кишечнике. Гормоны включают гастрин, секретин, глюкозозависимый инсулинотропный полипептид (GIP) и глюкагон-подобный пептид-1 (GLP-1). Наиболее эффективным известным веществом является GLP-1 (Orskov, 1992, Diabetologia 35: 701-711). Глюкагон-подобный пептид 1 (GLP-1) является продуктом проглюкагона, пептида из 180 аминокислот (Drucker, 1998, Diabetes 47: 159-169). Полная последовательность проглюкагона содержит 29-аминокислотную последовательность глюкагона, 36- или 37-аминокислотную последовательность GLP-1 и 34-аминокислотную последовательность глюкагон-подобного пептида-2 (GLP-2), кишечнотропного пептида. GLP-1 имеет ряд функций. Он является физиологическим гормоном, который усиливает влияние на секрецию инсулина у здоровых людей и поэтому является гормоном инкретином. Кроме того, GLP-1 также снижает концентрации глюкагона, замедляет опорожнение желудка, стимулирует биосинтез (про)инсулина и усиливает чувствительность к инсулину (Nauck, 1997, Horm. Metab. Res. 47: 1253-1258). Пептид также повышает способность -клеток распознавать и отвечать на глюкозу у субъектов с нарушенной толерантностью к глюкозе (Byrne, 1998, Eur. J. Clin. Invest. 28: 72-78). Инсулинотропное действие GLP-1 у людей увеличивает скорость исчезновения глюкозы частично вследствие повышенных уровней инсулина, а частично вследствие повышенной чувствительности к инсулину (D’Alessio, 1994, Eur. J. Clin. Invest. 28: 72-78). Это ставит GLP-1 на одно из первых мест в качестве многообещающего средства для лечения диабета типа II. Обнаружено, что активными фрагментами GLP-1 являются GLP-1(7-36) и GLP-1(7-37). Однако основной фармакологической проблемой в случае нативного GLP-1 является его короткое время полужизни. У человека и крыс GLP-1 быстро разрушается дипептидилпептидазой-IV (DPP-IV) до GLP-1(9-36)амида, действующего в качестве эндогенного антагониста рецептора GLP-1. Предложено несколько методик для того, чтобы обойти данную проблему, при этом в некоторых используют ингибиторы DPP-IV, а в других резистентные к DPP-IV аналоги GLP-1(7-36)амида.
Эксендины, другая группа пептидов, которые снижают уровни глюкозы в крови, имеют некоторое сходство последовательностей (53%) с GLP-1[7-36]NH2 (Goke et al., 1993, J. Biol. Chem. 268: 19650-55). Эксендины обнаружены в яде Helodermatidae или ядозубов. Эксендин-3 присутствует в яде Heloderma horridum, мексиканского ядозуба, а эксендин-4 присутствует в яде Heloderma suspectum, ядозуба желатье. Эксендин-4 отличается от эксендина-3 только по положениям два и три. кДНК, кодирующая белок-предшественник эксендина-4, 47-аминокислотный пептид, слитый с аминоконцом эксендина-4, клонирована и секвенирована (Pohl et al., 1998, J. Biol. Chem. 273: 9778-9784 и WО 98/35033).
Эксендин-4 является сильным агонистом рецептора GLP-1 на изолированных клетках инсулиномы крыс (Goke et al., 1993, J. Biol. Chem. 268: 19650-55). Эксендин-4, вводимый системно, снижает уровни глюкозы в крови на 40% у диабетических мышей db/db (WO99/07404). Недавно Grieg et al. (1999, Diabetologia 42: 45-50) показали длительное действие, понижающее уровень глюкозы в крови, при внутрибрюшинной инъекции эксендина-4 один раз в сутки диабетическим мышам ob/ob. В патенте США No. 5424286 описано, что значительная часть N-концевой последовательности необходима для того, чтобы сохранить инсулинотропное действие (эксендин-4(1-31) и
31-эксендин-4(1-31)), тогда как укороченный на N-конце эксендин (эксендин-4(9-39)) обладает ингибирующими свойствами.
Было предположено применение эксендина-3, эксендина-4 и агонистов эксендина для лечения сахарного диабета, снижения моторики желудка и замедления опорожнения желудка и предотвращения гипергликемии (патент США No. 5424286, WО 98/05351), а также для снижения потребления пищи (WО 98/30231). Были предложены способы получения новых соединений путем модификации нативных последовательностей эксендина. Один способ заключается в связывании липофильных заместителей с молекулой, например, как описано в WO 99/43708, в которой заявлены производные эксендина как раз с одним липофильным заместителем, связанным с C-концевым аминокислотным остатком.
Основной способ заключался в разработке аналогов эксендина, характеризующихся аминокислотными заменами и/или C-концевым укорочением нативной последовательности эксендина-4. Данный способ представлен соединениями, предложенными в WO 99/07404, WO 99/25727 и WO 99/25728.
В WO 99/07404 описаны агонисты эксендина, имеющие общую формулу I, которая определяет пептидную последовательность из 39 аминокислотных остатков с Gly Thr в положениях 4-5, Ser Lys Gln в положениях 11-13, Glu Glu Glu Ala Val Arg Leu в положениях 15-21, Leu Lys Asn Gly Gly в положениях 26-30, Ser Ser Gly Ala в положениях 32-35, и в которой оставшиеся положения могут быть заняты аминокислотными остатками эксендина дикого типа или могут быть заняты определенными аминокислотными заменами. Формула I не охватывает агонисты или аналоги эксендина, имеющие конкретные аминокислотные замены и/или являющихся конъюгатами, которые приведены в данном описании, такие как новые соединения desPro36-эксендин-4(1-39), эксендин-4(1-39)-K6 или desPro36-эксендин-4(1-39)-K6.
В WO 99/25727 раскрыты агонисты эксендина, имеющие общую формулу I, которая определяет пептидную последовательность от 28 до 38 аминокислотных остатков с Gly в положении 4 и Ala в положении 18, и в которой остальные положения могут быть заняты аминокислотными остатками эксендина дикого типа или могут быть заняты указанными аминокислотными заменами. Формула I не включает в себя последовательность пептида, имеющую Ser в качестве C-концевой аминокислоты, и агонисты или аналоги эксендина, имеющие конкретные делеции аминокислот и/или являющиеся конъюгатами, которые приведены в данном описании, такие как новые соединения desPro36-эксендин-4(1-39), эксендин-4(1-39)-K6 или desPro36-эксендин-4(1-39)-K6. Кроме того, формула II в WO 99/25727 определяет пептидную последовательность, сходную с последовательностью формулы I, но включая производные эксендина, имеющие C(1-10)алканольный или циклоалкилалканоильный заместитель на лизине в положении 27 или 28.
При лечении несоответствующих постпрандиальных уровней глюкозы в крови соединения вводят часто, например один, два или три раза в сутки.
В WO 99/25728 описаны агонисты эксендина, имеющие формулу I, которая определяет пептидную последовательность от 28 до 39 аминокислотных остатков с фиксированным Ala в положении 18 и в которой остальные положения могут быть заняты аминокислотными остатками эксендина дикого типа или могут быть заняты указанными аминокислотными заменами. Все указанные агонисты эксендина соответствовали укороченному аналогу эксендина, имеющему различную степень аминокислотных замен. Пептидные последовательности от 34 до 38 аминокислотных остатков не имеют Ser на C-конце. Пептидная последовательность из 39 аминокислотных остатков может иметь либо Ser, либо Tyr на C-конце, но не имеет других остатков. Агонисты или аналоги эксендина, имеющие конкретные делеции аминокислот и/или являющиеся конъюгатами согласно изобретению, описанному в данной публикации, не входят в формулу I. Кроме того, формула II определяет пептидную последовательность, сходную с последовательностью формулы I, но включая производные эксендина, имеющие C(1-10)-алканоильный или циклоалкилалканоильный заместитель на лизине в положении 27 или 28.
В WO 99/46283 (опубликована 16.09.99) описаны конъюгаты пептидов, содержащие фармакологически активный пептид X и стабилизирующую пептидную последовательность Z из 4-20 аминокислотных остатков, ковалентно связанную с X, при этом указанные конъюгаты характеризуются тем, что имеют увеличенное время полужизни по сравнению со временем полужизни X. X может представлять собой эксендин-4 или эксендин-3.
Было бы желательно иметь композиции эксендина, которые могут обеспечивать лучшую стабильность, чем стабильность предыдущих соединений. Кроме того, было бы желательно иметь композиции эксендина, которые могут не поддаваться деградации. Такие композиции были бы особенно полезны в условиях, когда предполагаются значительные периоды времени хранения и/или когда существует риск нежелательных реакций окисления, гидролиза или дезаминирования.
СУЩНОСТЬ ИЗОБРЕТЕНИЯ
Данное изобретение в общем относится к стабилизированным соединениям эксендина-4 и родственным композициям. В одном аспекте изобретение относится к стабилизированным соединениям эксендина, в частности агонистам эксендина-4, которые содержат, по меньшей мере, один модифицированный аминокислотный остаток в положениях Gln13, Met14, Trp25 или Asn28 молекулы эксендина-4(1-39). Также предлагаются способы получения и применения стабилизированных композиций эксендина-4. Изобретение имеет широкий спектр применений, включая получение композиций эксендина-4 с лучшими свойствами стабильности и хранения по сравнению с предшествующими композициями эксендина-4 и родственными соединениями.
Авторы обнаружили, что можно стабилизировать соединения эксендина-4 и родственные композиции путем модификации в них отдельных аминокислот эксендина. Предпочтительными модификациями согласно изобретению являются дезаминированные, гидролизованные, окисленные или изомеризованные продукты реакций определенных аминокислотных остатков молекулы эксендина-4(1-39). Такие соединения легко можно получить с помощью одного или комбинации стандартных способов, включая воздействие на эксендин-4(1-39) фармакологически приемлемыми способами приготовления композиции, воздействуя на молекулу потенциально химически активными условиями, такими как контакт с водой, кислородом, светом, нагреванием или тому подобным, или иным образом обеспечивая условия, приводящие к спонтанной или полуспонтанной деградации аминокислот, соответствующих, по меньшей мере, одной из Gln13, Met14, Trp25 или Asn28 молекулы эксендина-4(1-39).
Практическое осуществление предпочтительных вариантов изобретения обеспечивает существенные преимущества. Например, применение изобретения в состоянии обеспечить стабилизированные соединения эксендина-4, которые отличаются более надежной активностью, в частности, на протяжении более длительных периодов хранения. Такие стабилизированные молекулы эксендина-4 и родственные композиции могут способствовать медицинским применениям, включая клинические исследования и другие применения, благодаря обеспечению более воспроизводимой и постоянной активности агониста. Данный отличительный признак изобретения особенно важен в том случае, когда необходимо большое количество препаратов эксендина-4 (партии). То есть, стабилизируя соединения эксендина-4 и родственные молекулы согласно изобретению, в настоящее время можно повысить соответствие партий между собой.
Кроме того, применение изобретения теперь может обеспечить постоянное дозирование композиций эксендина-4 и родственных молекул. То есть, стабилизированные соединения согласно изобретению менее подвержены деградации и, следовательно, могут обеспечивать более надежную терапевтическую активность. Данный отличительный признак изобретения особенно важен в том случае, когда требуется получить эксендин-4 и родственные молекулы, обладающие сравнительно постоянной активностью или хорошей стабильностью при среднем или крупномасштабном получении.
Фраза «соединение эксендина-4 или родственная молекула», включая множественные формы, означает эксендин-4(1-39) или его вариант, аналог или производное, которые определены в данной заявке. Иллюстративными примерами являются эксендин-4(1-39) и его производные, которые содержат делецию примерно от 1 до 5 аминокислот, которые соответствуют положениям 34, 35, 36, 37 или 38 эксендина-4. Необязательно такие производные, кроме того, содержат, по меньшей мере, один пептид Z, который определен в данном описании. Такие соединения или молекулы «стабилизируют» согласно изобретению (например, стабилизированное соединение эксендина-4(1-39)) посредством модификации, по меньшей мере, одного из аминокислотных остатков: Gln13, Met14, Trp25 или Asn28 молекулы эксендина-4(1-39). Предпочтительно модифицируют одну или две таких аминокислоты, которые приведены в описании, хотя для предполагаемого применения может подходить большее количество аминокислот.
Соответственно, в одном варианте осуществления изобретения предлагается соединение, которое включает в себя, по меньшей мере, один стабилизированный эксендин-4(1-39), предпочтительно один, два или три эксендина-4(1-39), предпочтительно один такой стабилизированный эксендин-4(1-39). В одном варианте соединение содержит:
a) делецию 0-5 аминокислот в положениях, соответствующих положениям 34-38 эксендина-4(1-39),
b) необязательно, по меньшей мере, одну пептидную последовательность Z, содержащую 4-20 аминокислотных единиц, ковалентно связанную с указанным соединением; и, по меньшей мере, один из следующих остатков:
i) остаток Asn, имеющий дезаминированную боковую цепь, остаток Asn, имеющий гидролизованную боковую цепь или структурный изомер остатка Asp, где остаток Asn или Asp соответствует положению 28 эксендина-4,
ii) окисленный остаток метионина, соответствующий положению 14 эксендина-4,
iii) окисленный остаток триптофана, соответствующий положению 25 эксендина-4,
iv) дезаминированный или гидролизованный Gln, соответствующий положению 13 эксендина-4,
и его фармацевтически приемлемую соль или сольват.
В одном варианте вышеуказанного соединения стабилизированный эксендин-4(1-39) содержит, по меньшей мере, один остаток L-аминокислоты или, по меньшей мере, один остаток D-аминокислоты. Альтернативно, соединение содержит комбинации L- и D-аминокислотных остатков.
В другом аспекте данное изобретение относится к соединению, которое включает в себя, по меньшей мере, одну молекулу стабилизированного эксендина-4(1-39), предпочтительно две, три или четыре молекулы стабилизированного эксендина-4(1-39), более предпочтительно одну такую молекулу стабилизированного эксендина-4(1-39). В одном варианте соединение содержит, по меньшей мере, один из остатков:
i) остаток Asn, имеющий дезаминированную боковую цепь, остаток Asn, имеющий гидролизованную боковую цепь, или структурный изомер остатка Asp, где остаток Asn или Asp соответствует положению 28 эксендина-4,
ii) окисленный остаток метионина, соответствующий положению 14 эксендина-4,
iii) окисленный остаток триптофана, соответствующий положению 25 эксендина-4,
iv) дезаминированный или гидролизованный Gln, соответствующий положению 13 эксендина-4;
и его фармацевтически приемлемую соль или сольват.
Кроме того, предлагаются фармацевтически приемлемые композиции, которые содержат, по меньшей мере, одну, предпочтительно две, три или четыре молекулы стабилизированного эксендина-4(1-39), более предпочтительно одно из таких соединений. Примеры таких композиций приведены ниже.
В другом аспекте изобретения предлагается способ получения композиции стабилизированного эксендина-4 или родственной молекулы, которые указаны в данном описании. В одном варианте способ включает в себя, по меньшей мере, одну из следующих стадий:
a) получение эксендина-4(1-39) или его варианта, аналога или производного; и
b) инкубацию эксендина-4(1-39) или его варианта, аналога или производного в условиях, достаточных для введения в него, по меньшей мере, одной из следующих аминокислот:
i) остатка Asn, имеющего дезаминированную боковую цепь, остатка Asn, имеющего гидролизованную боковую цепь, или структурного изомера остатка Asp, где остаток Asn или Asp соответствует положению 28 эксендина-4,
ii) окисленного остатка метионина, соответствующего положению 14 эксендина-4,
iii) окисленного остатка триптофана, соответствующего положению 25 эксендина-4,
iv) дезаминированного или гидролизованного Gln, соответствующего положению 13 эксендина-4; и
ее фармацевтически приемлемой соли или сольвата.
Часто будет предпочтительно получать молекулы стабилизированного эксендина-4 согласно изобретению синтетически или полусинтетически. Пример такого способа описан ниже и включает в себя использование методики синтеза пептидов Меррифилда.
В конкретных вариантах указанные выше способы, кроме того, включают в себя стадию выявления присутствия или отсутствия, по меньшей мере, одной из аминокислот (i)-(iv). Альтернативно или дополнительно способ может включать в себя идентификацию, по меньшей мере, одной из аминокислот (i)-(iv) в композиции. Способы выявления и идентификации модифицированных аминокислот обсуждаются ниже.
В другом варианте изобретения охарактеризован способ получения стабилизированного соединения эксендина-4 и родственных молекул, раскрытых в данном описании. Типичные способы включают в себя, по меньшей мере, одну из следующих стадий:
a) получение эксендина-4(1-39) или его варианта, аналога или производного,
b) осуществление контакта эксендина-4(1-39) или его варианта, аналога или производного, по меньшей мере, с одним фармацевтически приемлемым носителем или наполнителем для получения смеси; и
c) инкубацию смеси в условиях, достаточных для введения в соединение, по меньшей мере, одной из следующих аминокислот:
i) остатка Asn, имеющего дезаминированную боковую цепь, остатка Asn, имеющего гидролизованную боковую цепь, или структурного изомера остатка Asp, где остаток Asn или Asp соответствует положению 28 эксендина-4,
ii) окисленного остатка метионина, соответствующего положению 14 эксендина-4,
iii) окисленного остатка триптофана, соответствующего положению 25 эксендина-4,
iv) дезаминированного или гидролизованного Gln, соответствующего положению 13 эксендина-4; и
ее фармацевтически приемлемой соли или сольвата.
Кроме того, такой способ также может включать в себя стадию выявления присутствия или отсутствия, по меньшей мере, одного из аминокислотных остатков (i)-(iv). Альтернативно или дополнительно способ может включать в себя идентификацию, по меньшей мере, одной из аминокислот (i)-(iv) в композиции.
В другом аспекте изобретение относится к способу стабилизации эксендина-4(1-39) или его варианта, аналога или производного. В одном варианте способ включает в себя, по меньшей мере, одну из следующих стадий:
a) получение эксендина-4(1-39) или его варианта, производного или аналога; и
b) инкубацию эксендина-4(1-39) или его варианта, производного или аналога в условиях, достаточных для введения в него, по меньшей мере, одного из следующих аминокислотных остатков:
i) остатка Asn, имеющего дезаминированную боковую цепь, остатка Asn, имеющего гидролизованную боковую цепь, или структурного изомера остатка Asp, где остаток Asn или Asp соответствует положению 28 эксендина-4,
ii) окисленного остатка метионина, соответствующего положению 14 эксендина-4,
iii) окисленного остатка триптофана, соответствующего положению 25 эксендина-4,
iv) дезаминированного или гидролизованного Gln, соответствующего положению 13 эксендина-4; и
его фармацевтически приемлемой соли или сольвата.
В другом аспекте изобретение относится к способу лечения диабета типа 1 или типа 2, синдрома резистентности к инсулину, нарушенной толерантности к глюкозе (IGT), ожирения, нарушений питания, гипергликемии, метаболических расстройств и заболевания желудка. В одном варианте способ включает в себя введение терапевтически эффективного количества, по меньшей мере, одного стабилизированного соединения эксендина-4 или родственных молекул, раскрытых в данном описании.
Изобретение также относится к способу лечения патологических состояний, связанных с повышенными уровнями глюкозы в крови. В одном варианте способ включает в себя введение терапевтически эффективного количества, по меньшей мере, одного из стабилизированных соединений эксендина-4 или родственных молекул, раскрытых в данном описании.
Также предлагается способ регуляции уровней глюкозы в крови. В одном варианте способ включает в себя введение терапевтически эффективного количества, по меньшей мере, одного из стабилизированных соединений эксендина-4 или родственных молекул, раскрытых в данном описании.
Изобретение также относится к способу регуляции опустошения желудка. В одном варианте способ включает в себя введение терапевтически эффективного количества, по меньшей мере, одного из стабилизированных соединений эксендина-4 или родственных молекул, раскрытых в данном описании.
Данное изобретение также относится к способу стимуляции высвобождения инсулина у млекопитающего. В одном варианте способ включает в себя введение эффективного инсулинотропного количества, по меньшей мере, одного из стабилизированных соединений эксендина-4, раскрытых в данном описании.
Кроме того, предлагается способ снижения уровня глюкозы в крови у млекопитающего. В одном варианте способ включает в себя введение некоторого количества, по меньшей мере, одного из стабилизированных соединений эксендина-4 или родственных молекул, описанных в данной заявке, в количестве, эффективном для снижения уровня глюкозы в крови у указанного млекопитающего.
Изобретение также относится к способу снижения уровня липидов в плазме у млекопитающего. В одном примере способ включает в себя введение некоторого количества, по меньшей мере, одного из стабилизированных соединений эксендина-4, описанных в данной заявке, в количестве, эффективном для снижения уровня липидов в плазме у указанного млекопитающего.
Также предлагается способ снижения уровня смертности и заболеваемости после инфаркта миокарда у млекопитающего. В одном варианте способ включает в себя введение некоторого количества, по меньшей мере, одного из стабилизированных соединений эксендина-4, раскрытых в данном описании, в количестве, эффективном для снижения смертности и заболеваемости после инфаркта миокарда.
Также предлагается способ стимуляции высвобождения инсулина у млекопитающего. В одном варианте способ включает в себя введение эффективного инсулинотропного количества, по меньшей мере, одного из стабилизированных соединений эксендина-4, предложенных в данном изобретении.
Предпочтительно, млекопитающим, указанным в каждом из вышеупомянутых способов, является примат, предпочтительно человек, нуждающийся в лечении.
ФИГУРЫ
На фиг.1 показано влияние соединения 1 на толерантность к глюкозе у мышей.
На фиг.2 показано влияние соединения 14 на толерантность к глюкозе у мышей.
На фиг.3 показано влияние соединения 6 на толерантность к глюкозе у мышей.
На фиг.4 показано влияние соединения 7 на толерантность к глюкозе у мышей.
На фиг.5 показано влияние соединения 1 на толерантность к глюкозе у мышей.
На фиг.6 показано влияние соединения 5 на толерантность к глюкозе у мышей.
На фиг.7 показано влияние соединения 2 на толерантность к глюкозе у мышей.
На фиг.8 изображено влияние соединений 1, 8, 9, 10 и 11 на уровни глюкозы в крови у мышей.
На фиг.9 показаны последовательности соединения 1 (des Pro36-эксендин-4(1-39)-K6) и стабилизированных соединений соединения 1, а именно соединений 2, 3, 4, 5, 6, 7, 11, 12, 13 и 14, а также стабилизированных соединений эксендина-4(1-39), а именно соединений 8, 9 и 10.
ПОДРОБНОЕ ОПИСАНИЕ ИЗОБРЕТЕНИЯ
Как обсуждалось, изобретение относится к стабилизированным агонистам эксендина, которые содержат, по меньшей мере, один модифицированный аминокислотный остаток, в частности, в положениях Gln13, Met14, Trp25 или Asn28 молекулы эксендина-4(1-39). Предпочтительными модификациями являются дезаминированные, гидролизованные, окисленные или изомеризованные продукты реакций определенных аминокислотных остатков молекулы эксендина-4(1-39). Также предлагаются способы получения и применения стабилизированных соединений эксендина.
Предпочтительные стабилизированные соединения эксендина-4(1-39) и их фармацевтически приемлемые соли содержат:
a) делецию 0-5 аминокислот в положениях, соответствующих положениям 34-38 эксендина-4,
b) необязательно, по меньшей мере, одну пептидную последовательность Z, содержащую 4-20 аминокислотных единиц, ковалентно связанную с указанным вариантом; и, по меньшей мере, один из следующих остатков:
i) остаток Asn, имеющий дезаминированную боковую цепь, остаток Asn, имеющий гидролизованную боковую цепь или структурный изомер остатка Asp, где остаток Asn или Asp соответствует положению 28 эксендина-4,
ii) окисленный остаток метионина, соответствующий положению 14 эксендина-4,
iii) окисленный остаток триптофана, соответствующий положению 25 эксендина-4,
iv) дезаминированный или гидролизованный Gln, соответствующий положению 13 эксендина-4,
и его фармацевтически приемлемую соль или сольват.
В одном варианте остатком Asn является остаток -аспартата (Asp) или -аспартата (изоаспартил) или остатком Asn является циклический имид. В другом варианте окисленным остатком метионина является метионинилсульфоксид или метионинилсульфон. В тех вариантах, в которых циклический имид получен из остатка Asp или Gln, циклический продукт в данном описании иногда называют аспартимидом или глутимидом, соответственно.
Альтернативно или дополнительно окисленный остаток триптофана включает окисленную 3H-индол-3-ильную группу. Другие примеры включают окисленный остаток триптофана, который представляет собой N-формилкинуренин (NFK), 3-гидроксикинуренин (3-OH-KYN), гидрокситриптофан (HTRP) или кинуренин (KYN).
В вариантах, в которых стабилизированное соединение эксендина или родственная композиция содержит, по меньшей мере, один пептид Z и, предпочтительно, один-два таких пептида, Z содержит, по меньшей мере, одну аминокислотную единицу Lys, обычно примерно от 4 до 20 аминокислотных единиц Lys, предпочтительно примерно 6 аминокислотных единиц Lys.
В вариантах, в которых стабилизированное соединение эксендина-4 содержит пептид Z, данный пептид ковалентно связан пептидной связью. Например, Z ковалентно связан со стабилизированным соединением эксендина-4(1-39) по C-концевой карбонильной функции.
Более конкретные стабилизированные соединения эксендина-4(1-39) согласно изобретению представлены следующими последовательностями:
des Pro36[Asp28]эксендин-4(1-39),
des Pro36[изоAsp28]эксендин-4(1-39),
des Pro36[циклический имид28]эксендин-4(1-39),
des Pro36[Met(О)14]эксендин-4(1-39),
des Pro36[Trp(O2)25]эксендин-4(1-39),
des Pro36[Met(O)14, Asp28]эксендин-4(1-39),
des Pro36[Met(O)14, изоAsp28]эксендин-4(1-39),
des Pro36[Met(O)14, циклический имид28]эксендин-4(1-39),
des Pro36[Met(O)14, Trp(O2)25]эксендин-4(1-39),
des Pro36 [Met(O)14, Trp(O2)25, Asp28]эксендин-4(1-39),
des Pro36[Met(О)14, Trp(О2)25, изоAsp2B]эксендин-4(1-39),
des Pro36[Met(О)14, Trp(О2)25, циклический имид28]эксендин-4(1-39)
и их фармацевтически приемлемая соль или сольват.
Что касается любого из вышеуказанных соединений эксендина-4(1-39), то соединения, кроме того, могут содержать дезаминированный или гидролизованный Gln, соответствующий положению 13 эксендина-4.
В одном варианте вышеуказанных соединений каждая последовательность связана на N- или C-конце со следующей группой: -Lys6-NH2. Предпочтительно группа связана с C-концом последовательности.
Дополнительные конкретные стабилизированные соединения эксендина-4(1-39) включают в себя следующие последовательности:
H-(Lys)6-des Pro36[Asp28]эксендин-4(1-39)-Lys6-NH2,
des Asp28Pro36, Pro37, Pro38эксендин-4(1-39)-NH2,
H-(Lys)6-des Pro36, Pro37, Pro38[Asp28]эксендин-4(1-39)-NH2,
H-Asn-(Glu)5 des Pro36, Pro37, Pro38[Asp28]эксендин-4(1-39)-NH2,
des Pro36, Pro37, Pro38[Asp28]эксендин-4(1-39)-(Lys)6-NH2,
H-(Lys)6-des Pro36, Pro37, Pro38[Asp28]эксендин-4(1-39)-(Lys)6-NH2,
H-Asn-(Glu)5-des Pro36, Pro37, Pro38[Asp28]эксендин-4(1-39)-(Lys)6-NH2,
H-(Lys)6-des Pro36[циклический имид28]эксендин-4(1-39)-Lys6-NH2,
des Pro36, Pro37, Pro38[циклический имид28]эксендин-4(1-39)-NH2,
H-(Lys)6-des Pro36, Pro37, Pro38[циклический имид28]эксендин-4(1-39)-NH2,
H-Asn-(Glu)5-des Pro36, Pro37, Pro38[циклический имид28]эксендин-4(1-39)-NH2,
des Pro36, Pro37, Pro38[циклический имид28]эксендин-4(1-39)-(Lys)6-NH2,
H-(Lys)6 des Pro36, Pro37, Pro38[циклический имид28]эксендин-4(1-39)-(Lys)6-NH2,
H-Asn-(Glu)5-des Pro36, Pro37, Pro38[циклический имид28]эксендин-4(1-39)-(Lys)6-NH2,
H-(Lys)6-des Pro36[Trp(O2)25, Asp28]эксендин-4(1-39)-Lys6-NH2,
H-des Asp28Pro36, Pro37, Pro38[Trp(O2)25]эксендин-4(1-39)-NH2,
H-(Lys)6-des Pro36, Pro37, Pro38[Trp(O2)25, Asp28]эксендин-4(1-39)-NH2,
H-Asn-(Glu)5-des Pro36, Pro37, Pro38[Trp(O2)25, Asp28]эксендин-4(1-39)-NH2,
des Pro36, Pro37, Pro38[Trp(O2)25, Asp28]эксендин-4(1-39)-(Lys)6-NH2,
H-(Lys)6-des Pro36, Pro37, Pro38[Trp(O2)25, Asp28]эксендин-4(1-39)-(Lys)6-NH2,
H-Asn-(Glu)5-des Pro36, Pro37, Pro38[Trp(O2)25, Asp28]эксендин-4(1-39)-(Lys)6-NH2,
H-(Lys)6-des Pro36[Trp(O2)25, циклический имид28]эксендин-4(1-39)-Lys6-NH2,
des циклический имид28 Pro36, Pro37, Pro38[Trp(O2)25]эксендин-4(1-39)-NH2,
H-(Lys)6-des Pro36, Pro37, Pro38[Trp(O2)25, циклический имид28]эксендин-4(1-39)-NH2,
H-Asn-(Glu)5-des Pro36, Pro37, Pro38[Trp(O2)25, циклический имид28]эксендин-4(1-39)-
NH2,
des Pro36, Pro37, Pro38[Trp(O2)25, циклический имид28]эксендин-4(1-39)-(Lys)6-NH2,
H-(Lys)6-des Pro36, Pro37, Pro38[Trp(O2)25, циклический имид28]эксендин-4(1-39)-(Lys)6-NH2,
H-Asn-(Glu)5-des Pro36, Pro37, Pro38[Trp(O2)25, циклический имид28]эксендин-4(1-39)-(Lys)6-NH2,
H-(Lys)6-des Pro36[Met(O)14, Asp28]эксендин-4(1-39)-Lys6-NH2,
des Met(О)14Asp28Pro36, Pro37, Pro38эксендин-4(1-39)-NH2,
H-(Lys)6-des Pro36, Pro37, Pro38[Met(O)14, Asp28]эксендин-4(1-39)-NH2,
H-Asn-(Glu)5-des Pro36, Pro37, Pro38[Met(O)14, Asp28]эксендин-4(1-39)-NH2,
des Pro36, Pro37, Pro38[Met(O)14, Asp28]эксендин-4(1-39)-(Lys)6-NH2,
H-(Lys)6-des Pro36, Pro37, Pro38[Met(O)14, Asp28]эксендин-4(1-39)-(Lys)6-NH2,
H-Asn-(Glu)5 des Pro36, Pro37, Pro38[Met(O)14, Asp28]эксендин-4(1-39)-(Lys)6-NH2,
H-Lys6-des Pro36[Met(O)14, циклический имид28]эксендин-4(1-39)-Lys6-NH2,
des Pro36, Pro37, Pro38[Met(O)14, циклический имид28]эксендин-4(1-39)-NH2,
H-(Lys)6-des Pro36, Pro37, Pro38[Met(O)14, циклический имид28]эксендин-4(1-39)-NH2,
H-Asn-(Glu)5-des Pro36, Pro37, Pro38[Met(O)14, циклический имид28]эксендин-4(1-39)-
NH2,
des Pro36, Pro37, Pro38[Met(O)14, циклический имид28]эксендин-4(1-39)-(Lys)6-NH2,
H-(Lys)6-des Pro36, Pro37, Pro38[Met(O)14, циклический имид28]эксендин-4(1-39)-(Lys)6-NH2,
H-Asn-(Glu)5-des Pro36, Pro37, Pro38[Met(O)14, циклический имид28]эксендин-4(1-39)-(Lys)6-NH2,
H-Lys6-des Pro36[Met(O)14, Trp(O2)25, Asp28]эксендин-4(1-39)-Lys6-NH2,
H-des Asp28 Pro36, Pro37, Pro38[Met(O)14, Trp(O2)25]эксендин-4(1-39)-NH2,
H-(Lys)6-des Pro36, Pro37, Pro38[Met(O)14, Trp(O2)25, Asp28]эксендин-4(1-39)-NH2,
H-Asn-(Glu)5-des Pro36, Pro37, Pro38[Met(O)14, Trp(O2)25, Asp28]эксендин-4(1-39)-NH2,
des Pro36, Pro37, Pro38[Met(O)14, Trp(O2)25, Asp28]эксендин-4(1-39)-(Lys)6-NH2,
H-(Lys)6-des Pro36, Pro37, Pro38[Met(O)14, Trp(O2)25, Asp28]эксендин-4(1-39)-(Lys)6-NH2,
H-Asn-(Glu)5-des Pro36, Pro37, Pro38[Met(O)14, Trp(O2)25, Asp28]эксендин-4(1-39)-(Lys)6-NH2,
H-Lys6-des Pro36[Met(O)14, Trp(O2)25, циклический имид28]эксендин-4(1-39)-Lys6-NH2,
des циклический имид28 Pro36, Pro37, Pro38[Met(O)14, Trp(O2)25]эксендин-4(1-39)-NH2,
H-(Lys)6-des Pro36, Pro37, Pro38[Met(O)14, Trp(O2)25, циклический имид28]эксендин-4(1-39)-NH2,
H-Asn-(Glu)5-des Pro36, Pro37, Pro38[Met(O)14, Trp(O2)25, циклический имид28]эксендин-4(1-39)-NH2,
des Pro36, Pro37, Pro38[Met(O)14, Trp(O2)25, циклический имид28]эксендин-4(1-39)-(Lys)6-NH2,
H-(Lys)6-des Pro36, Pro37, Pro38[Met(O)14, Trp(O2)25, циклический имид28]эксендин-4(1-39)-(Lys)6-NH2,
H-Asn-(Glu)5-des Pro36, Pro37, Pro38[Met(O)14, Trp(O2)25, циклический имид28]эксендин-4(1-39)-(Lys)6-NH2,
и их фармацевтически приемлемая соль или сольват.
Что касается любого из вышеуказанных соединений эксендина-4(1-39), то соединения, кроме того, могут содержать дезаминированный или гидролизованный Gln, соответствующий положению 13 эксендина-4.
Как уже обсуждалось, отличительным признаком изобретения являются стабилизированные соединения эксендина-4(1-39), которые содержат, по меньшей мере, один из остатков:
i) остаток Asn, имеющий дезаминированную боковую цепь, остаток Asn, имеющий гидролизованную боковую цепь, или структурный изомер остатка Asp, где остаток Asn или Asp соответствует положению 28 эксендина-4,
ii) окисленный остаток метионина, соответствующий положению 14 эксендина-4,
iii) окисленный остаток триптофана, соответствующий положению 25 эксендина-4,
iv) дезаминированный или гидролизованный Gln, соответствующий положению 13 эксендина-4,
и их фармацевтически приемлемые соли или сольваты.
Соли и сольваты
Также предполагаются фармацевтически приемлемые соли или сольваты таких соединений. Примеры таких стабилизированных соединений эксендина-4(1-39) включают в себя следующие последовательности:
[Asp28]эксендин-4(1-39),
[изоAsp28]эксендин-4(1-39),
[циклический имид28]эксендин-4(1-39),
[Met(O)14]эксендин-4(1-39),
[Trp(O2)25]эксендин-4(1-39),
[Met(O)14, Asp28]эксендин-4(1-39),
[Met(O)14, изоAsp28]эксендин-4(1-39),
[Met(O)14, циклический имид28]эксендин-4(1-39),
[Met(O)14, Trp(O2)25]эксендин-4(1-39),
[Trp(O2)25, Asp28]эксендин-4(1-39),
[Trp(O2)25, изоAsp28]эксендин-4(1-39),
[Trp(O2)25, циклический имид28]эксендин-4(1-39),
[Met(O)14, Trp(O2)25, Asp28]эксендин-4(1-39),
[Met(O)14, Trp(O2)25, изоAsp28]эксендин-4(1-39), или
[Met(O)14, Trp(O2)25, циклический имид28]эксендин-4(1-39)
и их фармацевтически приемлемые соли или сольваты.
Что касается любого из вышеуказанных соединений эксендина-4(1-39), то соединения, кроме того, могут содержать дезаминированный или гидролизованный Gln, соответствующий положению 13 эксендина-4.
L- и D-варианты
Стабилизированные соединения эксендина-4(1-39), предложенные в данном описании, включая их варианты, аналоги и производные, могут характеризоваться, по меньшей мере, одной аминокислотой в L- или D-конфигурации (или как в D-, так и в L-формах). В вариантах, в которых, по меньшей мере, один из аминокислотных остатков дезаминирован, стабилизированное соединение эксендина-4(1-39) может иметь, по меньшей мере, один аминокислотный остаток в L-форме, по меньшей мере, одну аминокислоту в D-форме или их комбинации.
Кроме того, предпочтительные стабилизированные соединения эксендина-4(1-39) и родственные молекулы согласно изобретению характеризуются хорошей биологической активностью. Более предпочтительными являются такие соединения, которые проявляют, по меньшей мере, 70% биологической активности соответствующего нестабилизированного соединения эксендина-4(1-39) или родственной молекулы, более предпочтительно, по меньшей мере, 80%, 90% или более высокую активность, примерно вплоть до 100% данной биологической активности. Способы тестирования биологической активности множества соединений эксендина-4(1-39) и родственных молекул описаны в WO 01/04156 (в дальнейшем «PCT/DK 00/00393»), заявке EP 99610043.4 и предварительной заявке на патент США 60/143591; описания которых включены в данное описание в виде ссылки.
Например, одним приемлемым тестом в отношении биологической активности эксендина-4(1-39) является анализ глюкозы в крови у диабетических мышей ob/ob, описанных в заявке PCT/DK 00/00393.
Целью данного изобретения является фармацевтически приемлемая композиция, которая содержит, по меньшей мере, одно из стабилизированных соединений эксендина-4(1-39) или родственных молекул, раскрытых в данном описании. Предпочтительно такая композиция будет содержать примерно менее 5 соединений, например два идентичных соединения.
В данной области известно широкое множество фармацевтически приемлемых композиций и они описаны в PCT/DK 00/00393, заявке на патент EP 99610043.4 и предварительной заявке на патент США 60/143591.
Приготовление композиции
Например, и как предложено в случае PCT/DK 00/00393, соединение эксендина-4(1-39) или родственную молекулу согласно изобретению можно комбинировать с одним или несколькими физиологически приемлемыми носителями. Такие композиции могут быть в форме, приспособленной для перорального, парентерального (включая подкожное (п/к), внутривенное (в/в), внутримышечное (в/м), эпидуральное, непосредственно в головной мозг, внутрибрюшинное (в/б)), ректального, внутритрахеального, интраназального, дермального, вагинального, буккального, глазного или легочного введения, предпочтительно в форме, приспособленной для подкожного или перорального введения, и такие композиции можно приготовить способом, хорошо известным в данной области. См. общее описание в «Remington’s Pharmaceutical Sciences», 17. Ed. Alfonso R. Gennaro (Ed.), Mark Publishing Company, Easton, PA, USA., 1985 и более поздних изданиях и в монографиях серии «Drugs and the Pharmaceutical Sciences», Marcel Dekker. Композиции могут иметь вид обычных форм, например капсул, таблеток, аэрозолей, форм местного применения, жидких или полужидких форм, таких как растворы, суспензии, дисперсии, эмульсии, мицеллы или липосомы. Предпочтительными являются жидкие композиции, подходящие для п/к введения. В предпочтительном варианте композиции согласно данному изобретению вводят подкожно. В альтернативном предпочтительном варианте композиции согласно изобретению вводят перорально, и в таких случаях одной предпочтительной формой введения является таблетка или капсула.
Используемым фармацевтическим носителем или разбавителем может быть стандартный твердый или жидкий носитель. Примерами твердых носителей являются лактоза, белая глина, сахароза, циклодекстрин, тальк, желатин, агар, пектин, аравийская камедь, стеарат магния, стеариновая кислота или простые низшие алкиловые эфиры целлюлозы. Примерами жидких носителей являются сироп, арахисовое масло, оливковое масло, фосфолипиды, стерины, жирные кислоты, амины жирных кислот, полиоксиэтилен, изотоничные буферные растворы и вода. Носитель или разбавитель также могут включать любой материал для замедленного высвобождения, известный в данной области, такой как глицерилмоностеарат или глицерилдистеарат, отдельно или в смеси с воском. Если твердый носитель используют для перорального введения, то препарат может быть в форме таблетки, помещенным в твердую желатиновую капсулу, в форме порошка или гранулы, или он может быть в форме пилюли или лепешки. Количество твердого носителя будет широко варьировать, но обычно будет составлять примерно от 25 мг до 1 г.
Типичная таблетка, которая может быть приготовлена обычными способами таблетирования, может содержать:
– Центральную часть: активное соединение (в виде свободного соединения согласно изобретению или его соли) 100 мг; коллоидный диоксид кремния (аэросил) 1,5 мг; целлюлоза микрокристаллическая (Avicel) 70 мг; модифицированная целлюлозой камедь (Ac-Di-Sol) 7,5 мг; стеарат магния.
– Покрытие: HPMC примерно 9 мг; *Mywacett 9-40T примерно 0,9 мг; *ацилированный моноглицерид, используемый в качестве пластификатора для пленочного покрытия.
Если используют жидкий носитель, то препарат может быть в форме сиропа, эмульсии, мягкой желатиновой капсулы или стерильной инъекционной жидкости, такой как водная или неводная жидкая суспензия или раствор.
Для назального ведения препарат может содержать соединение согласно данному изобретению, предпочтительно конъюгат, растворенный или суспендированный в жидком носителе, в частности водном носителе, для аэрозольного применения. Носитель может содержать добавки, такие как солюбилизирующие агенты, например пропиленгликоль, поверхностно-активные вещества, такие как соли желчных кислот или полиоксиэтиленовые эфиры высших спиртов, усилители всасывания, такие как лецитин (фосфатидилхолин) или циклодекстрин, или консерванты, такие как парабены.
Стабилизированное соединение эксендина-4(1-39) или родственная молекула согласно изобретению также могут быть в форме, подходящей для местной или системной инъекции или инфузии, и как таковые могут быть приготовлены с использованием стерильной воды или изотоничного раствора соли или раствора глюкозы. Композиции можно стерилизовать обычными способами стерилизации, которые известны в данной области. Полученные в результате водные растворы могут быть упакованы для применения или профильтрованы в асептических условиях и лиофилизованы, в таком случае лиофилизованные препараты объединяют со стерильным водным раствором перед введением. Предпочтительно, препарат, используемый для внутривенного, подкожного или перорального дозирования, будет представлять собой раствор активного соединения в буфере. Препарат может быть приготовлен непосредственно перед применением из активного лекарственного вещества и стерильного буферного раствора. Одним из предпочтительных способов стерилизации может быть стерильная фильтрация раствора, приготовленного непосредственно перед применением. Соединение или родственная молекула может содержать фармацевтически приемлемые вспомогательные вещества, которые необходимы для того, чтобы соответствовать физиологическим условиям, такие как буферные агенты, агенты, корректирующие тоничность, и тому подобные, например ацетат натрия, лактат натрия, хлорид натрия, хлорид калия, хлорид кальция и т.д.
Стабилизированные соединения эксендина-4(1-39) и родственные молекулы согласно изобретению находят использование в случае широкого спектра применений. Некоторые применения описаны в WO 99/40788 (относящейся к инотропному и диуретическому действию эксендина и GLP-1); и WO 98/39022 (относящейся к способу седатированного действия у млекопитающего, обладающего повышенной активацией центральной или периферической нервной системы, включающего в себя введение эксендина или GLP-1 или агониста эксендина или GLP-1 субъекту, чтобы оказать седативное или анксиолитическое воздействие на субъект); и WO 93/18786 (относящейся к лечению диабета с использованием GLP-1(7-37) или GLP-1(7-36)амида по схеме, в которую дополнительно включено лечение пероральным гипогликемическим агентом, таким как сульфонилмочевина, оказывающим сильное синергетическое действие); и WO 98/19698 (относящейся к применению аналогов GLP-1 для регулирования ожирения); WO 98/08531 (относящейся к применению GLP-1 или аналогов в способе снижения смертности и заболеваемости после инфаркта миокарда); WO 98/08873 (относящейся к применению GLP-1 или аналогов в способе ослабления послеоперационных изменений катаболизма и гормональных ответов на стресс). Кроме того, соединения согласно изобретению подходят для комбинированной терапии с другими противодиабетическими средствами, такими как инсулин, метформин, сульфонилмочевина и тиазолидиндионы, или для комбинированной терапии с другими средствами против ожирения, такими как лептин, дексфенфлурамин, амфетамин и т.д.
В объем данного изобретения входят другие препараты. Такие препараты включают, но не ограничены указанным, препараты, которые содержат, по меньшей мере, одно из стабилизированных соединений эксендина-4(1-39), заявленных в данном описании, в комбинации с липосомами, микросферами и жидкими стабилизаторами. Также предполагаются депонируемые препараты, которые содержат, по меньшей мере, одно из стабилизированных соединений эксендина-4(1-39). См. патенты США No. 5407609 и 5654008 для дополнительной информации.
Конкретный жидкий препарат, подходящий для применения с данными стабилизированными соединениями эксендина-4(1-39), содержит: примерно 50 мМ гистидин, примерно от 100 до 200 мМ сахарозу, маннит или другой приемлемый сахар, 20 мМ метионин, 20 мМ аспарагин-глутамин или Asp, при pH примерно 5,3. Соединение может быть растворено почти в любом подходящем количестве, включая примерно от 50 микрограмм/мл до примерно 2,5 мг/мл.
В одном варианте фармацевтически приемлемые композиции, приведенные в данном описании, могут содержать, по меньшей мере, одну из следующих последовательностей:
des Pro36[Asp28]эксендин-4(1-39),
des Pro36[изоAsp28]эксендин-4(1-39),
des Pro36[циклический имид28]эксендин-4(1-39),
des Pro36[Met(O)14]эксендин-4(1-39),
des Prо36[Trp(O2)25]эксендин-4(1-39),
des Pro36[Met(O)14, Asp28]эксендин-4(1-39),
des Pro36[Met(O)14, изоAsp28]эксендин-4(1-39),
des Pro36[Met(O)14, циклический имид28]эксендин-4(1-39),
des Pro36[Met(O)14, Trp(O2)25]эксендин-4(1-39),
des Pro36[Trp(O2)25, Asp28]эксендин-4(1-39),
des Pro36[Trp(O2)25, изоAsp28]эксендин-4(1-39),
des Pro36[Trp(O2)25, циклический имид28]эксендин-4(1-39),
des Pro36[Met(O)14, Trp(O2)25]эксендин-4(1-39),
des Pro36[Met(O)14, Trp(O2)25, Asp28]эксендин-4(1-39),
des Pro36[Met(O)14, Trp(O2)25, изоAsp28]эксендин-4(1-39) и
des Pro36[Met(O)14, Trp(O2)25, циклический имид28]эксендин-4(1-39),
или их фармацевтически приемлемую соль или сольват.
Каждое конкретное соединение необязательно может содержать следующую группу, связанную с его N- или C-концом, предпочтительно с C-концом: -Lys6-NH2.
Кроме того, конкретные фармацевтически приемлемые композиции согласно изобретению содержат, по меньшей мере, одно из следующих соединений:
[Asp28]эксендин-4(1-39),
[изоAsp28]эксендин-4(1-39),
[циклический имид28]эксендин-4(1-39),
[Met(O)14]эксендин-4(1-39),
[Trp(O2)25]эксендин-4(1-39),
[Met(O)14, Asp28]эксендин-4(1-39),
[Met(O)14, изоAsp28]эксендин-4(1-39),
[Met(O)14, циклический имид28]эксендин-4(1-39),
[Met(O)14, Trp(O2)25]эксендин-4(1-39),
[Trp(O2)25, Asp28]эксендин-4(1-39),
[Trp(O2)25, изоAsp28]эксендин-4(1-39),
[Trp(O2)25, циклический имид28]эксендин-4(1-39),
[Met(O)14, Trp(O2)25, Asp28]эксендин-4(1-39),
[Met(O)14, Trp(O2)25, изоAsp28]эксендин-4(1-39) и
[Met(O)14, Trp(O2)25, циклический имид28]эксендин-4(1-39)
или их фармацевтически приемлемую соль или сольват.
В одном варианте фармацевтически приемлемая композиция характеризуется массовым отношением какого-либо одного из стабилизированных соединений эксендина-4(1-39) или родственных молекул, описанных в данной заявке, к эксендину-4(1-39) или его варианту, аналогу или производному, составляющим примерно менее 50% (мас./мас.), примерно менее 10% (мас./мас.), или в некоторых случаях менее 1% (мас./мас.). Подходящее массовое отношение будет зависеть от планируемого применения композиции и других параметров, таких как степень требуемой стабильности.
Данные композиции стабилизированного эксендина-4(1-39) легко можно получить, используя один или комбинацию стандартных способов. В случае одного из подходов способы включают приготовление/получение эксендина-4(1-39) или его варианта, аналога или производного; и затем экспонирование или инкубацию эксендина-4(1-39) или его варианта, аналога или производного в условиях, достаточных для введения в него, по меньшей мере, одной из следующих аминокислот:
i) остатка Asn, имеющего дезаминированную боковую цепь, остатка Asn, имеющего гидролизованную боковую цепь, или структурного изомера остатка Asp, где остаток Asn или Asp соответствует положению 28 эксендина-4,
ii) окисленного остатка метионина, соответствующего положению 14 эксендина-4,
iii) окисленного остатка триптофана, соответствующего положению 25 эксендина-4,
iv) дезаминированного или гидролизованного Gln, соответствующего положению 13 эксендина-4; и
его фармацевтически приемлемой соли или сольвата.
Альтернативно стабилизированные соединения эксендина-4(1-39) согласно изобретению можно получить традиционными способами синтеза пептидов, включая применение синтеза по Меррифилду. Модифицированные аминокислотные остатки согласно изобретению можно приобрести от коммерческих поставщиков (например, модифицированный Gln и Asp), или их можно легко получить, используя стандартные способы (например, окисление Met и Trp). См. Merrifield, B. (1985) in Science 232: 341.
Предпочтительное практическое применение способов, кроме того, включает стадию выявления присутствия или отсутствия, по меньшей мере, одной из аминокислот (i)-(iv). Также предпочтительно такие способы включают в себя стадию идентификации, по меньшей мере, одной из аминокислот (i)-(iv) в композиции.
Подходящие способы выявления стабилизированных композиций эксендина-4(1-39) и родственных молекул, раскрытых в данном описании, известны в данной области и включают, но не ограничены указанным, обращенно-фазовую высокоэффективную жидкостную хроматографию (ОФ-ВЭЖХ) и жидкостную хроматографию/масс-спектрометрию (ЖХ-МС). Кроме того, подходящие способы включают традиционное секвенирование аминокислот, пептидное картирование, МС/МС и флуоресценцию.
В другом аспекте изобретение относится к способу получения фармацевтически приемлемых композиций, которые содержат композиции стабилизированного эксендина-4 или родственных молекул. В одном варианте способ включает в себя, по меньшей мере, одну из следующих стадий:
a) получение эксендина-4(1-39) или его варианта, аналога или производного,
b) осуществление контакта эксендина-4(1-39) или его варианта, аналога или производного, по меньшей мере, с одним фармацевтически приемлемым носителем или наполнителем, чтобы получить смесь; и
c) инкубацию смеси в условиях, достаточных для введения в нее, по меньшей мере, одной из следующих аминокислот:
i) остатка Asn, имеющего дезаминированную боковую цепь, остатка Asn, имеющего гидролизованную боковую цепь, или структурного изомера остатка Asp, где остаток Asn или Asp соответствует положению 28 эксендина-4,
ii) окисленного остатка метионина, соответствующего положению 14 эксендина-4,
iii) окисленного остатка триптофана, соответствующего положению 25 эксендина-4,
iv) дезаминированного или гидролизованного Gln, соответствующего положению 13 эксендина-4, и
ее фармацевтически приемлемой соли или сольвата.
Предпочтительное практическое применение способов, кроме того, включает стадию выявления присутствия или отсутствия, по меньшей мере, одной из аминокислот (i)-(iv). Также предпочтительно такие способы включают в себя стадию идентификации, по меньшей мере, одной из аминокислот (i)-(iv) в композиции.
Типичные условия для получения стабилизированных соединений эксендина-4(1-39) и родственных молекул в общем будут достаточны для введения, по меньшей мере, одной из вышеуказанных модификаций аминокислот (i)-(iii), которые описаны выше. Такие условия предпочтительно также способны модифицировать глутамин в положении 13 в молекуле эксендина-4. Примеры таких условий включают, но не ограничены указанным, воздействие водой, буфером, теплом, водяным паром, кислородом, светом, металлами и ионами металлов. Такие условия могут включать контакт с различными температурами, включая контакт с температурой примерно от 1°C до примерно 80°C, предпочтительно от 5°C до примерно 45°C. Для некоторых применений, как правило, предпочтительна комнатная температура (25°C). Обнаружено, что воздух особенно хорошо модифицирует аминокислотные остатки молекулы эксендина-4.
Однако, как обсуждалось, в общем часто будет предпочтительным получение стабилизированных молекул эксендина-4(1-39) синтетическим или полусинтетическим способом. Предпочтительным примером такой методики является применение способа синтеза пептидов по Меррифилду в автоматизированном формате.
Как обсуждалось, изобретение, кроме того, относится к способу стабилизации эксендина-4(1-39) или его варианта, аналога или производного от деградации перед, во время или после предполагаемого применения. Типичные способы включают в себя, по меньшей мере, одну из следующих стадий:
a) получение эксендина-4(1-39) или его варианта, аналога или производного,
b) инкубацию эксендина-4(1-39) или его варианта, производного или аналога в условиях, достаточных для введения в него, по меньшей мере, одного из следующих аминокислотных остатков:
i) остатка Asn, имеющего дезаминированную боковую цепь, остатка Asn, имеющего гидролизованную боковую цепь, или структурного изомера остатка Asp, где остаток Asn или Asp соответствует положению 28 эксендина-4,
ii) окисленного остатка метионина, соответствующего положению 14 эксендина-4,
iii) окисленного остатка триптофана, соответствующего положению 25 эксендина-4,
iv) дезаминированного или гидролизованного Gln, соответствующего положению 13 эксендина-4; и
его фармацевтически приемлемой соли или сольвата.
Например, условия способа включают контакт, по меньшей мере, с одним из факторов: водой, теплом, водяным паром, светом, металлом, ионом металла или кислородом. Такие условия могут включать в себя контакт с различными температурами, включая контакт с температурой примерно от 1°C до примерно 80°C, предпочтительно от 5°C до примерно 45°C. Для некоторых применений как правило предпочтительна комнатная температура (25°C).
Также предпочтительно способ включает в себя стадию идентификации, по меньшей мере, одной из аминокислот (i)-(iv) в стабилизированном эксендине-4(1-39) или его варианте, аналоге или производном. Необязательно способ, кроме того, включает в себя осуществление контакта стабилизированного эксендина-4(1-39) или его варианта, производного или аналога, по меньшей мере, с одним фармацевтически приемлемым носителем или наполнителем.
Как обсуждалось, многие подходящие эксендин-4 и родственные соединения описаны в PCT/DK 00/00393, заявке EP 99610043.4 и предварительной заявке на патент США 60/143591.
Как описано в заявке PCT/DK 00/00393, один тип соединения эксендина-4 относится к пептидному конъюгату, содержащему пептид X, выбранный из группы, состоящей из
(a) эксендина, имеющего, по меньшей мере, 90% гомологии с эксендином-4;
(b) варианта указанного эксендина, при этом указанный вариант содержит модификацию, выбранную из группы, состоящей из одной-пяти делеций в положениях 34-39, и содержит Lys в положении 40, имеющий липофильный заместитель; или
(c) GLP-1(7-36) или GLP-1(7-37), имеющего, по меньшей мере, одну модификацию, выбранную из группы, состоящей из:
(i) замены D-аланином, глицином или альфа-аминоизомасляной кислотой аланина в положении 8 и
(ii) липофильного заместителя и
Z, пептидной последовательности из 4-20 аминокислотных единиц, ковалентно связанной с указанным вариантом, при этом каждая аминокислотная единица в указанной пептидной последовательности Z выбрана из группы, состоящей из Ala, Leu, Ser, Thr, Tyr, Asn, Gln, Asp, Glu, Lys, Arg, His, Met, Orn и аминокислотных единиц общей формулы I
-NH-C(R1)(R2)-C(=O)- (I)
в которой R1 и R2 выбраны из группы, состоящей из водорода, C1-6-алкила, фенила и фенилметила, при этом C1-6-алкил необязательно замещен одним-тремя заместителями, выбранными из галогена, гидроксила, аминогруппы, цианогруппы, нитрогруппы, сульфоногруппы и карбоксильной группы, и фенил и фенилметил необязательно замещен одним-тремя заместителями, выбранными из C1-6-алкила, C2-6-алкенила, галогена, гидроксила, аминогруппы, цианогруппы, нитрогруппы, сульфоногруппы и карбоксильной группы, или R1 и R2 вместе с атомом углерода, с которым они связаны, образуют циклопентильное, циклогексильное или циклогептильное кольцо, например, 2,4-диаминобутановую кислоту и 2,3-диаминопропановую кислоту, при условии, что X не является эксендином-4 или эксендином-3.
Пептид X, кроме того, характеризуется тем, что он эффективен для повышения толерантности к глюкозе у млекопитающего с диабетом.
Кроме того, в заявке PCT/DK 00/00393 охарактеризован новый вариант исходного эксендина, при этом указанный исходный эксендин имеет аминокислотную последовательность, имеющую, по меньшей мере, 90% гомологию с эксендином-4, и при этом указанный вариант снижает уровень глюкозы в крови у млекопитающего, связывается с рецептором GLP-1 и имеет, по меньшей мере, одну модификацию, выбранную из группы, состоящей из (a) одной-пяти делеций в положениях 34-38 и (b) содержит Lys в положении 40, имеющий липофильный заместитель, связанный с эпсилон-аминогруппой указанного лизина.
Фраза «вариант эксендина» означает вариант исходного пептида эксендина, обладающий, по меньшей мере, примерно 90% гомологией, более предпочтительно, по меньшей мере, примерно 95% гомологией с эксендином-4, который обладает активностью эксендина, например снижает уровень глюкозы в крови у млекопитающего и связывается с рецептором GLP-1. В предпочтительном варианте исходный пептид эксендина имеет аминокислотную последовательность, которая отличается пятью аминокислотами, предпочтительно четырьмя аминокислотами, более предпочтительно тремя аминокислотами, еще более предпочтительно двумя аминокислотами и еще более предпочтительно одним аминокислотным остатком от аминокислотной последовательности эксендина-4(1-39). См. заявку PCT/DK 00/00393 для дополнительной информации.
Кроме того, подходящие варианты эксендина-4, его аналоги и производные описаны в следующих источниках информации, каждый из которых отдельно включен в виде ссылки: патенты США No. 6358924, 6344180, 6284725, 6277819, 6271241, 6268343, 6191102, 6051689, 6006753, 5846937, 5670360, 5614492, 5846937, 5545618, 6410508, 6388053, 6384016, 6329336, 6110703, 5846747, 5670360, 5631224, 5424286, WO 98/05351, WO 98/30231, WO 99/07404, WO 99/25727, WO 99/25728 или WO 99/46283. Каждое из указанных соединений может быть стабилизировано согласно данному изобретению, например, воздействием на соединения стабилизирующих условий, указанных в данном описании. Альтернативно такие стабилизированные соединения эксендина-4(1-39) можно получить синтетически, используя синтез по Меррифилду и исходные вещества, которые можно приобрести или легко получить.
Следует понимать, что композиции и соединения согласно изобретению также могут быть предпочтительно в форме амида (NH2) или в форме свободной кислоты (OH) или в форме их соли.
В вариантах, в которых один или несколько стабилизированных соединений эксендина-4(1-39) и родственных молекул используют терапевтически, такое применение обычно будет заключаться во введении одной или нескольких фармацевтически приемлемых композиций, раскрытых в данном описании. В такой композиции можно объединять, по меньшей мере, один эксендин-4, эксендин-3 или их производные, аналоги или варианты вместе с подходящим количеством наполнителя и/или стабилизатора. В одном варианте такой способ заключается во введении композиции (например, в виде депо, жидкого препарата, микросфер или липосом, в/в), чтобы обеспечить дозу примерно от 0,1 пг/кг до 1,000 мг/кг массы тела. Количество композиции для применения будет зависеть от известных параметров, включая возраст, тяжесть заболевания, общую массу тела и другие факторы.
Термин «пептид» в используемом в данном описании смысле представляет собой любое соединение, создаваемое посредством образования амида между карбоксильной группой одной аминокислоты и аминогруппой другой. Амидные связи в пептидах можно называть пептидными связями. Слово пептид обычно применяют по отношению к соединениям, амидные связи в которых образуются между C-1 одной аминокислоты и N-2 другой (иногда называемые эупептидными связями), но пептид включает соединения с остатками, связанными другими амидными связями (иногда называемыми изопептидными связями). Пептиды, имеющие примерно менее 10-20 остатков, также можно называть олигопептидами, а пептиды, имеющие более 20 остатков, называют полипептидами. Полипептиды со специфичными последовательностями из более чем примерно 50 остатков обычно известны как белки. «Природная полипептидная последовательность» в используемом в данном описании смысле относится к полипептидной последовательности, состоящей из природных L-аминокислотных остатков, которая может быть экспрессирована рекомбинантной клеткой-хозяином. Соединениями X в данном описании являются все пептидные последовательности из 40 аминокислотных остатков или меньше.
Термин «GLP-1» в используемом в данном описании смысле включает GLP-1(7-37)-OH, GLP-1(7-37)-NH2, GLP-1(7-36)-OH и GLP-1(7-36)-NH2.
Молекулы являются «родственными» эксендину-4, если они являются его известными аналогами, производными или вариантами, которые указаны в данном описании и описаны в PCT/DK 00/00393, заявке на патент EP 99610043.4 и предварительной заявке на патент США 60/143591. Другие такие молекулы описаны, например, в следующих заявках на патенты США: 6358924, 6344180, 6284725, 6277819, 6271241, 6268343, 6191102, 6051689, 6006753, 5846937, 5670360, 5614492, 5846937, 5545618, 6410508, 6388053, 6384016, 6329336, 6110703, 5846747, 5670360, 5631224, 5424286, WO 98/05351, WO 98/30231, WO 99/07404, WO 99/25727, WO 99/25728 и WO 99/46283.
Термин «агонист» относится к эндогенному веществу или лекарственному средству, которое может взаимодействовать с рецептором и инициировать физиологический или фармакологический ответ, характерный для данного рецептора (сокращение, релаксация, секреция, активация фермента и т.д.).
Термин «антагонист» относится к лекарственному средству или соединению, которое противодействует физиологическим действиям другого. На уровне рецептора антагонист представляет собой химическую единицу, которая противодействует связанным с рецептором ответам, обычно индуцируемым другим биологически активным агентом.
Термин «частичный агонист» относится к агонисту, который не способен индуцировать максимальную активацию популяции рецепторов, независимо от количества применяемого лекарственного средства. «Частичный агонист» может быть назван «агонистом с промежуточным уровнем присущей ему эффективности» в данной ткани. Кроме того, частичный агонист может антагонизировать действие полного агониста, который действует на тот же самый рецептор.
Термин «рецептор» относится к молекуле или полимерной структуре в клетке или на клетке, которая специфично узнает и связывает соединение, действующее в качестве молекулярного мессенджера (нейромедиатор, гормон, лимфокин, лектин, лекарственное средство и т.д.).
Под «вариантом эксендина» согласно данному изобретению следует понимать вариант исходного пептида эксендина, обладающий, по меньшей мере, примерно 90% гомологией с эксендином-4 и наиболее предпочтительно обладающий, по меньшей мере, примерно 95% гомологией с эксендином-4(1-39), который обладает активностью эксендина, например снижает уровень глюкозы в крови млекопитающего и связывается с рецептором GLP-1. Термин «эксендин-4», используемый в данном описании, относится к эксендину-4(1-39), аминокислотная последовательность которого описана в патенте США No. 5424286, SEQ ID NO: 2, и к эксендину-4(1-40), который описан Chen и Drucker в The Journal of Biological Chemistry, vol. 272, No. 7, pp. 4108-15, который отличается только наличием глицина в положении 40 в качестве C-концевого аминокислотного остатка. Гомологию относительно исходного эксендина определяют в виде степени идентичности между двумя последовательностями белка, указывающей на происхождение первой последовательности из второй. Гомологию можно соответствующим образом определить с помощью компьютерных программ, известных в данной области, таких как GAP, представленная в пакете программ GCG (Program Manual for the Wisconsin Package, Version 8, August 1994, Genetics Computer Group, 575 Science Drive, Madison, Wisconsin, USA 53711) (Needleman, S. B. and Wunsch, C. D., (1970), J. Mol. Biol. 48: 443-453). Можно использовать следующие установки для сравнения полипептидных последовательностей: штраф за пробел 3,0 и штраф за удлинение пробела 0,1.
Подразумевается, что «Met(O)» в данном изобретении означает метионинсульфоксид или метионинсульфон.
Подразумевается, что «Trp(O2)» в данном изобретении означает N-формилкинуренин, остаток триптофана, который был подвергнут диокислению.
Термин «соли» включает фармацевтически приемлемые соли, такие как кислотно-аддитивные соли и основные соли. Примерами кислотно-аддитивных солей являются гидрохлоридные соли, соли натрия, гидробромидные соли и т.д. Примерами основных солей являются соли, в которых катион выбран из щелочных металлов, таких как натрий и калий, щелочноземельных металлов, таких как кальций, и ионов аммония +N(R3)3(R4), где R3 и R4 независимо означают необязательно замещенный C1-6-алкил, необязательно замещенный C2-6-алкенил, необязательно замещенный арил или необязательно замещенный гетероарил. Другими примерами фармацевтически приемлемых солей являются, например, соли, описанные в «Remington’s Pharmaceutical Sciences» 17. Ed. Alfonso R. Gennaro (Ed.), Mark Publishing Company, Easton, PA, USA, 1985 и более поздних изданиях и в Encyclopedia of Pharmaceutical Technology.
Однобуквенное и трехбуквенное обозначения аминокислот используют взаимозаменяемо. Например, будет понятно, что Lys и K относятся к лизину, Asp и D относятся к аспарагиновой кислоте, Glu и E относятся к глутаминовой кислоте и т.д. Полное описание обозначений аминокислот можно найти в Alberts, B. et al. in Molecular Biology of the Cell, 2nd Ed. Garland Publishing, Inc. (New York) (1989).
Следующие примеры иллюстрируют, но не ограничивают объем данного изобретения.
ПРИМЕР 1
Стабилизация эксендина-4 и родственных молекул посредством структурной изомеризации и/или окисления
Фармацевтические композиции эксендина-4(1-39) или его варианта, аналога или производного или водные растворы эксендина-4(1-39) или его варианта, аналога или производного можно стабилизировать окислением или функциональной изомеризацией в различных точках последовательности эксендина-4(1-39).
Сохранение эксендина-4(1-39) или его варианта, аналога или производного в водном растворе при температуре примерно от 0°C до 50°C, более предпочтительно примерно от 4°C до комнатной температуры, можно индуцировать структурной перестройкой у остатка 28-L-аспарагинила пептида эксендина-4(1-39). Подходящие водные растворы особым образом не ограничены и могут включать водные фармацевтические композиции, которые могут иметь одну или несколько дополнительных добавок, чтобы облегчить введение пациенту, или чтобы стабилизировать или солюбилизировать эксендин-4(1-39) или его вариант, аналог или производное.
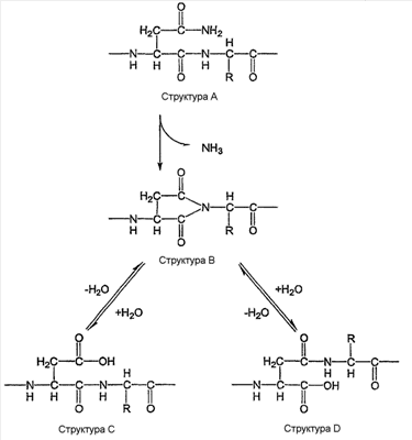
Не привязываясь к теории, на схеме синтеза 1 представлен один из путей синтеза, посредством которого может осуществляться структурная перестройка остатка 28-L-аспарагинила (структура A). Остаток 28-L-аспарагинила подвергается дезаминированию в водных средах с образованием остатка циклического имида, который изображен в виде структуры B. Обратимый гидролиз циклического имида приводит к образованию как остатка L-аспартила (структура C), так и остатка L-изоаспартила (структура D). Каждая реакция гидролиза обратима, так что в водном растворе могут присутствовать один или несколько стабилизированных соединений эксендина, имеющих остаток 28-циклического имида, остаток 28-L-аспартила или остаток 28-L-изоаспартила.
Схема синтеза 1

Продукты окисления образуют посредством инкубации водного раствора соединения эксендина-4(1-39) или эксендина-4(1-39) в присутствии окислителя, такого как дикислород.
Обычно фармацевтические композиции согласно данному изобретению, на которые воздействуют молекулярным дикислородом во время обработки или хранения, чувствительны к окислению остатков 14-метионина или 25-триптофана.
Один, не ограничивающий путь окисления остатка 14-метионина, имеет место при окислении в присутствии молекулярного дикислорода. 14-Метионинсульфоксид получают при взаимодействии эксендина-4(1-39) в водном растворе с половиной эквивалента молекулярного дикислорода. Дальнейшая экспозиция стабилизированного соединения эксендина, имеющего 14-метионинсульфоксид, приводит к образованию 14-метионинсульфона, в котором остаток 14-метионина окислен одним эквивалентом дикислорода.
Остаток 25-триптофана эксендина-4(1-39) или варианта, аналога или производного эксендина-4(1-39) может быть окислен 0,5; 1; 1,5; 2 или более эквивалентами молекулярного дикислорода. Обычные окисленные продукты триптофана включают гидрокситриптофан, N-формилкинуренин, кинуренин и 3-гидроксикинуренин. При обычных условиях хранения или инкубации примерно от 0°C до 25°C, один эквивалент молекулярного дикислорода окисляет остаток 25-триптофана эксендина-4(1-39) или варианта эксендина-4(1-39) с образованием соединения эксендина-4(1-39), имеющего остаток 25-N-формилкинуренина.
ПРИМЕР 2
Синтез соединения 5, 6 и 14 (стабилизированные производные соединения 1)
Соединение 1 (desPro36 эксендин-4(1-39)-K6) имеет структуру, показанную на фиг.1, и его получают, используя методику Меррифилда. Например, см. заявку PCT/DK 00/00393 для более полной информации.
Примерно 458 мг соединения 1 растворяли в 100 мМ NH4HCO3 pH 7,9 до концентрации 10 мг/мл. Раствор инкубировали при 40 C в течение 6 дней, получая примерно 20% соединения 5, 10% соединения 14 и 50% соединения 6.
Стабилизированный продукт соединение 5 и соединение 6 можно очистить препаративной ОФ-ВЭЖХ в режиме изократического элюирования или используя градиент, соответственно. Идентификацию осуществляют по относительному времени удержания в комбинации с аминокислотным секвенированием и ЖХ-МС (ESI+/TOF)
ПРИМЕР 3
Синтез соединения 7 (стабилизированное производное соединения 1)
Примерно 424 мг соединения 1 растворяли в 100 мМ NH4HCO3 pH 7,9 до концентрации 10 мг/мл. Раствор инкубировали при 40°C в течение 5 дней, получая примерно 20% соединения 5, 60% соединения 6. Соединение 6 очищали препаративной ОФ-ВЭЖХ. Получали примерно 100 мг соединения 6 и лиофилизировали. Примерно 100 мг соединения 6 перерастворяли в 100 мМ NaH2PO4-буфере и доводили до pH 5,3 с помощью NaOH до концентрации 5 мг/мл. Раствор инкубировали при 40°C в течение 5 дней, получая примерно 40% соединения 7.
Стабилизированный продукт соединение 7 можно очистить препаративной ОФ-ВЭЖХ в режиме градиентного элюирования. Идентификацию осуществляют по относительному времени удержания в комбинации с ЖХ-МС (ESI+/TOF).
ПРИМЕР 4
Синтез соединений 3 и 4 (стабилизированное производное соединения 1)
Соединение 1 получали, как описано. Его растворяли (10 мг) в 50 мМ цитратном буфере, содержащем 3% (мас./об.) D-маннита, до концентрации 100 мкг/мл. Раствор инкубировали при 25°C в течение, по меньшей мере, 6 дней и воздействовали светом со средней длиной волны 350 нм.
Стабилизированные продукты соединения 3 и 4 можно очистить препаративной ОФ-ВЭЖХ. Идентификацию осуществляют по относительному времени удержания в комбинации с пептидным картированием с использованием ЖХ-МС (ESI+/TOF) продуктов расщепления трипсином и МС/МС плюс регистрация флуоресценции.
ПРИМЕР 5
Синтез соединения 2 (стабилизированное производное соединения 1)
Соединение 1 получали, как описано. Соединение растворяли (100 мг) в 10 мл чистой воды до концентрации 10 мг/мл и экспонировали с H2O2, добавляя 2,3 мл 3,5%
H2O2. Раствор инкубировали при 25°C в течение 1 дня, получая примерно 100% соединения 2.
Стабилизированный продукт соединение 2 можно очистить препаративной ОФ-ВЭЖХ. Идентификацию осуществляли по относительному времени удержания в комбинации с пептидным картированием с использованием ЖХ-МС (ESI+/TOF) продуктов расщепления трипсином и МС/МС плюс регистрация флуоресценции.
ПРИМЕР 6
Пептидный синтез
Пептидный синтез соединения 8. H-His-Gly-Glu-Gly-Thr-Phe-Thr-Ser-Asp-Leu-Ser-Lys-Glu-Met-Glu-Glu-Glu-Ala-Val-Arg-Leu-Phe-Ile-Glu-Trp-Leu-Lys-Asn-Gly-Gly-Pro-Ser-Ser-Gly-Ala-Pro-Pro-Pro-Ser-NH2
([Glu13]эксендин-4-NH2 на TentaGel S-RAM.
Сухую смолу TentaGel S-RAM (0,23 ммоль/г; 1,0 г) помещают в полиэтиленовый сосуд, оборудованный полипропиленовым фильтром для фильтрации, и оставляют набухать в течение двух часов в ДМФА (5 мл). Fmoc-группу удаляют согласно способу, описанному выше, и пептид, соответствующий последовательности, собирают как описано в «Batchwise peptide synthesis on TentaGel S-RAM resins [Due Larsen, B. and Holm, A. (1998) J. Pept. Res. 52, 470]. После завершения синтеза смолу с пептидом промывают ДМФА (3×5 мл, 1 мин каждый раз), ДХМ (3×5 мл, 1 мин каждый раз), диэтиловым эфиром (3×5 мл, 1 мин каждый раз) и сушат в вакууме. Пептид отщепляют от смолы обработкой 95% трифторуксусной кислотой и 5% этандитиолом об./об. при КТ в течение 2 час. Отфильтрованные смолы промывают 95% TFA-водой, фильтраты и промывные воды разбавляют, добавляя воду. Полученную в результате смесь 3 раза экстрагируют эфиром и наконец сушат вымораживанием. Полученный пептид очищают препаративной ВЭЖХ. Обнаружено, что очищенный продукт является гомогенным и чистота, как обнаружено, составляет более 95%. Идентичность пептида подтверждали ES-МС (найденная М.м. 4185,17 и вычисленная 4185,01).
Пептидный синтез соединения 9. H-His-Gly-Glu-Gly-Thr-Phe-Thr-Ser-Asp-Leu-Ser-Lys-Glu-Met-Glu-Glu-Glu-Ala-Val-Arg-Leu-Phe-Ile-Glu-Trp-Leu-Lys-Asp-Gly-Gly-Pro-Ser-Ser-Gly-Ala-Pro-Pro-Pro-Ser-NH2
([Glu13, Asp28]эксендин-4-NH2 на TentaGel S-RAM.
Сухую смолу TentaGel S-RAM (0,23 ммоль/г; 1,0 г) помещают в полиэтиленовый сосуд, оборудованный полипропиленовым фильтром для фильтрации, и оставляют набухать в течение двух часов в ДМФА (5 мл). Fmoc-группу удаляют согласно способу, описанному выше, и пептид, соответствующий последовательности, собирают как описано в «Batchwise peptide synthesis on TentaGel S-RAM resins [Due Larsen, B. and Holm, A. (1998) J. Pept. Res. 52, 470]. После завершения синтеза смолу с пептидом промывают ДМФА (3×5 мл, 1 мин каждый раз), ДХМ (3×5 мл, 1 мин каждый раз), диэтиловым эфиром (3×5 мл, 1 мин каждый раз) и сушат в вакууме. Пептид отщепляют от смолы обработкой 95% трифторуксусной кислотой и 5% этандитиолом об./об. при КТ в течение 2 час. Отфильтрованные смолы промывают 95% TFA-водой, фильтраты и промывные воды разбавляют, добавляя воду. Полученную в результате смесь 3 раза экстрагируют эфиром и наконец сушат вымораживанием. Полученный пептид очищают препаративной ВЭЖХ. Обнаружено, что очищенный продукт является гомогенным, и чистота, как обнаружено, составляет более 95%. Идентичность пептида подтверждали ES-МС (найденная М.м. 4186,25 и вычисленная 4186,18).
Пептидный синтез соединения 10. H-His-Gly-Glu-Gly-Thr-Phe-Thr-Ser-Asp-Leu-Ser-Lys-Gln-Met-Glu-Glu-Glu-Ala-Val-Arg-Leu-Phe-Ile-Glu-Trp-Leu-Lys-Asp-Gly-Gly-Pro-Ser-Ser-Gly-Ala-Pro-Pro-Pro-Ser-NH2
([Asp28]эксендин-4-NH2 на TentaGel S-RAM.
Сухую смолу TentaGel S-RAM (0,23 ммоль/г; 1,0 г) помещают в полиэтиленовый сосуд, оборудованный полипропиленовым фильтром для фильтрации, и оставляют набухать в течение двух часов в ДМФА (5 мл). Fmoc-группу удаляют согласно способу, описанному выше, и пептид, соответствующий последовательности, собирают как описано в «Batchwise peptide synthesis on TentaGel S-RAM resins [Due Larsen, B. and Holm, A. (1998) J. Pept. Res. 52, 470]. После завершения синтеза смолу с пептидом промывают ДМФА (3×5 мл, 1 мин каждый раз), ДХМ (3×5 мл, 1 мин каждый раз), диэтиловым эфиром (3×5 мл, 1 мин каждый раз) и сушат в вакууме. Пептид отщепляют от смолы обработкой 95% трифторуксусной кислотой и 5% этандитиолом об./об. при КТ в течение 2 час. Отфильтрованные смолы промывают 95% TFA-водой, фильтраты и промывные воды разбавляют, добавляя воду. Полученную в результате смесь 3 раза экстрагируют эфиром и наконец сушат вымораживанием. Полученный пептид очищают препаративной ВЭЖХ. Обнаружено, что очищенный продукт является гомогенным, и чистота, как обнаружено, составляет более 95%. Идентичность пептида подтверждали ES-МС (найденная М.м. 4185,38 и вычисленная 4185,01).
Пептидный синтез соединения 11. H-His-Gly-Glu-Gly-Thr-Phe-Thr-Ser-Asp-Leu-Ser-Lys-Glu-Met-Glu-Glu-Glu-Ala-Val-Arg-Leu-Phe-Ile-Glu-Trp-Leu-Lys-Asn-Gly-Gly-Pro-Ser-Ser-Gly-Ala-Pro-Pro-Ser-Lys-Lys-Lys-Lys-Lys-Lys-NH2
(desPro36-[Glu13]эксендин-4-(Lys)6-NH2) на TentaGel S-RAM.
Сухую смолу TentaGel S-RAM (0,23 ммоль/г; 1,0 г) помещают в полиэтиленовый сосуд, оборудованный полипропиленовым фильтром для фильтрации, и оставляют набухать в течение двух часов в ДМФА (5 мл). Fmoc-группу удаляют согласно способу, описанному выше, и пептид, соответствующий последовательности, собирают как описано в «Batchwise peptide synthesis on TentaGel S-RAM resins [Due Larsen, B. and Holm, A. (1998) J. Pept. Res. 52, 470]. После завершения синтеза смолу с пептидом промывают ДМФА (3×5 мл, 1 мин каждый раз), ДХМ (3×5 мл, 1 мин каждый раз), диэтиловым эфиром (3×5 мл, 1 мин каждый раз) и сушат в вакууме. Пептид отщепляют от смолы обработкой 95% трифторуксусной кислотой и 5% этандитиолом об./об. при КТ в течение 2 час. Отфильтрованные смолы промывают 95% TFA-водой, фильтраты и промывные воды разбавляют, добавляя воду. Полученную в результате смесь 3 раза экстрагируют эфиром и наконец сушат вымораживанием. Полученный пептид очищают препаративной ВЭЖХ. Обнаружено, что очищенный продукт является гомогенным, и чистота, как обнаружено, составляет более 95%. Идентичность пептида подтверждали ES-МС (найденная М.м. 4855,72 и вычисленная 4855,52).
Пептидный синтез соединения 12. H-His-Gly-Glu-Gly-Thr-Phe-Thr-Ser-Asp-Leu-Ser-Lys-Gln-Met(O)-Glu-Glu-Glu-Ala-Val-Arg-Leu-Phe-Ile-Glu-Trp-Leu-Lys-Asn-Gly-Gly-Pro-Ser-Ser-Gly-Ala-Pro-Pro-Ser-Lys-Lys-Lys-Lys-Lys-Lys-NH2
(desPro36-[Met(O)14]эксендин-4-(Lys)6-NH2) на TentaGel S-RAM.
Сухую смолу TentaGel S-RAM (0,23 ммоль/г; 1,0 г) помещают в полиэтиленовый сосуд, оборудованный полипропиленовым фильтром для фильтрации, и оставляют набухать в течение двух часов в ДМФА (5 мл). Fmoc-группу удаляют согласно способу, описанному выше, и пептид, соответствующий последовательности, собирают как описано в «Batchwise peptide synthesis on TentaGel S-RAM resins [Due Larsen, B. and Holm, A. (1998) J. Pept. Res. 52, 470]. Метионинсульфоксид включают в виде Fmoc-Met(O)-OH (приобретенный от Bachem) согласно описанным способам связывания [Due Larsen, B. and Holm, A. (1998) J. Pept. Res. 52, 470]. После завершения синтеза смолу с пептидом промывают ДМФА (3×5 мл, 1 мин каждый раз), ДХМ (3×5 мл, 1 мин каждый раз), диэтиловым эфиром (3×5 мл, 1 мин каждый раз) и сушат в вакууме. Пептид отщепляют от смолы обработкой 95% трифторуксусной кислотой и 5% этандитиолом об./об. при КТ в течение 2 час. Отфильтрованные смолы промывают 95% TFA-водой, фильтраты и промывные воды разбавляют, добавляя воду. Полученную в результате смесь 3 раза экстрагируют эфиром и наконец сушат вымораживанием. Полученный пептид очищают препаративной ВЭЖХ. Обнаружено, что очищенный продукт является гомогенным, и чистота, как обнаружено, составляет более 95%. Идентичность пептида подтверждали ES-МС (найденная М.м. 4870,88 и вычисленная 4870,53).
Пептидный синтез соединения 13. H-His-Gly-Glu-Gly-Thr-Phe-Thr-Ser-Asp-Leu-Ser-Lys-Gln-Met(O2)-Glu-Glu-Glu-Ala-Val-Arg-Leu-Phe-Ile-Glu-Trp-Leu-Lys-Asn-Gly-Gly-Pro-Ser-Ser-Gly-Ala-Pro-Pro-Ser-Lys-Lys-Lys-Lys-Lys-Lys-NH2
(desPro36-[Met(O2)14]эксендин-4-(Lys)6-NH2) на TentaGel S-RAM.
Сухую смолу TentaGel S-RAM (0,23 ммоль/г; 1,0 г) помещают в полиэтиленовый сосуд, оборудованный полипропиленовым фильтром для фильтрации, и оставляют набухать в течение двух часов в ДМФА (5 мл). Fmoc-группу удаляют согласно способу, описанному выше, и пептид, соответствующий последовательности, собирают как описано в «Batchwise peptide synthesis on TentaGel S-RAM resins [Due Larsen, B. and Holm, A. (1998) J. Pept. Res. 52, 470]. Метионинсульфон включают в виде Fmoc-Met(O2)-OH (приобретенный от Bachem) согласно описанным способам связывания [Due Larsen, B. and Holm, A. (1998) J. Pept. Res. 52, 470]. После завершения синтеза смолу с пептидом промывают ДМФА (3×5 мл, 1 мин каждый раз), ДХМ (3×5 мл, 1 мин каждый раз), диэтиловым эфиром (3×5 мл, 1 мин каждый раз) и сушат в вакууме. Пептид отщепляют от смолы обработкой 95% трифторуксусной кислотой и 5% этандитиолом об./об. при КТ в течение 2 час. Отфильтрованные смолы промывают 95% TFA-водой, фильтраты и промывные воды разбавляют, добавляя воду. Полученную в результате смесь 3 раза экстрагируют эфиром и наконец сушат вымораживанием. Полученный пептид очищают препаративной ВЭЖХ. Обнаружено, что очищенный продукт является гомогенным, и чистота, как обнаружено, составляет более 95%. Идентичность пептида подтверждали ES-МС (найденная М.м. 4886,68 и вычисленная 4886,53).
Тест на толерантность к пероральной глюкозе (OGTT)
Антидиабетическое действие данных соединений тестировали в тесте на толерантность к пероральной глюкозе (OGTT). Коротко, животные голодали в течение ночи, образцы крови брали из кончика хвоста и измеряли глюкозу в крови. Концентрацию глюкозы (мМ) цельной крови анализировали способом на основе иммобилизованной глюкозоксидазы, используя каплю крови (<5 мкл; Elite Autoanalyser, Bayer, Denmark), следуя руководству производителя. Животных содержали голодными на протяжении теста. Сразу после взятия исходного образца крови (уровень глюкозы в крови натощак) в/б вводили тестируемое соединение или наполнитель. Спустя пятнадцать минут давали пероральную дозу глюкозы ((1 г/кг) Sigma, St. Louis, MO, USA)), растворенную в фосфатном буфере (pH=7,40), и животных возвращали в их клетки для содержания (время=0). Уровни глюкозы в крови (BG) измеряли во временной точке = 30 мин, временной точке = 60 мин и временной точке = 120 мин в случае соединения 1, 8, 9, 10 и 11 и дополнительно во временной точке = 240 мин в случае соединений 1, 2, 5, 6, 7 и 14. Чтобы проанализировать влияние тестируемых соединений на толерантность к пероральной глюкозе для каждой временной точки, рассчитывали абсолютную разницу в BG относительно исходного уровня (BG натощак). Определяли площадь под кривой (AUC) (фиг. 1-8) для всего эксперимента (AUC0-120 мин) или (AUC0-240 мин), используя способ трапеций. Перед началом экспериментальной серии использовали OGTT, чтобы распределить животных по группам из 9-10 животных, проявляющих сходную толерантность к глюкозе во всех группах. Животных, проявляющих чрезмерное отклонение в уровне глюкозы через 30 мин после нагрузки глюкозы (BG>33 ммоль/л), исключали из исследования.
Результаты теста на толерантность к глюкозе
Результаты теста на толерантность к глюкозе показаны на фиг. 1-4. Рассчитанные значения ID50 представлены в таблице 1.
| Основное соединение в тестируемом растворе |
ID50 (нмоль/кг) |
SDr |
| Соединение 1 |
0,049 |
3,8 |
| Соединение 14 |
0,55 |
1,3 |
| Соединение 6 |
0,013 |
19 |
| Соединение 7 |
0,21 |
2,1 |
Таблица 1: показаны ID50, основанные на подгонках кривых и соотношении стандартных отклонений (SDr).
Подгонка данных, полученных после обработки соединением 1, показана на фиг.1. Рассчитанные ID50 и SDr показаны в таблице 1.
Подгонка данных, полученных после обработки соединением 14, показана на фиг.2. Рассчитанные ID50 и SDr показаны в таблице 1.
Подгонка данных, полученных после обработки соединением 6, показана на фиг.3. Рассчитанные ID50 и SDr показаны в таблице 1.
Подгонка данных, полученных после обработки соединением 7, показана на фиг.4. Рассчитанные ID50 и SDr показаны в таблице 1.
В другой серии экспериментов соединение 1, соединение 2 и соединение 5 тестировали как описано выше. Результаты показаны на фиг.5, 6 и 7. Значения ID50 представлены в таблице 2.
| Основное соединение в тестируемом растворе |
ID50 (нмоль/кг) |
SDr |
| Соединение 1 |
0,073 |
4,1 |
| Соединение 5 |
0,043 |
4,1 |
| Соединение 2 |
0,011 |
36 |
Таблица 2: ID50 основаны на подгонках кривых. Расчет соотношения стандартных отклонений (SDr) представлен выше.
Подгонка данных, полученных после обработки соединением 1, показана на фиг.5. Рассчитанные ID50 и SDr показаны в таблице 2.
Подгонка данных, полученных после обработки соединением 5, показана на фиг.6. Рассчитанные ID50 и SDr показаны в таблице 2.
Подгонка данных, полученных после обработки соединением 2, показана на фиг.7. Рассчитанные ID50 и SDr показаны в таблице 1.
В заключение, все указанные выше соединения проявляли антидиабетическое действие за счет значительно повышенной толерантности к глюкозе у мышей db/db, как показано по уменьшению AUC0-120 мин или AUC0-240 мин (показано на фиг. 1-8). Все тестируемые растворы оказывали позитивное действие на толерантность к глюкозе в дозах выше 0,01 нмоль/кг. Таким образом, введение тестируемых соединений давало зависимое от дозы снижение уровня глюкозы в крови после нагрузки глюкозой.
Описанное и заявленное в данном описании изобретение не ограничено объемом конкретных вариантов осуществления изобретения, раскрытых в данном описании, так как данные варианты предназначены для иллюстрации нескольких аспектов изобретения. Подразумевается, что любые эквивалентные варианты входят в объем данного изобретения. Действительно, различные модификации изобретения, кроме тех, которые показаны и описаны в данной заявке, будут очевидными для специалистов в данной области на основании вышеприведенного описания. Также подразумевается, что такие модификации попадают в объем прилагаемой формулы изобретения. В данном описании цитированы различные источники информации, описание которых включено в виде ссылки в полном объеме.
Формула изобретения
1. Фармацевтическая композиция, обладающая активностью эксендина-4(1-39), включающая терапевтически эффективное количество стабилизированного эксендина-4(1-39), содержащего остаток альфа-аспартата (Asp) или бета-аспартата (изоаспартила) или циклического имида в положении, соответствующем остатку Asn в положении 28 эксендина-4, и необязательно (a) i) окисленный остаток метионина в положении, соответствующем положению 14 эксендина-4; и/или ii) окисленный остаток триптофана в положении, соответствующем положению 25 эксендина-4; и/или iii) дезамидированный или гидролизованный Gln в положении, соответствующем положению 13 эксендина-4; и/или (b) одну пептидную последовательность Z из 4-6 аминокислотных остатков Lys, ковалентно связанную пептидной связью со стабилизированным эксендином по С-концевой карбонильной функциональной группе; и/или (c) делецию 0-3 аминокислот в положениях, соответствующих положениям 36-38 эксендина-4, или его фармацевтически приемлемую соль, и фармацевтически приемлемый носитель.
2. Композиция по п.1, где (а) окисленный остаток метионина является метионинилсульфоксидом или метионинилсульфоном; и/или (b) окисленный остаток триптофана содержит окисленную группу 3Н-индол-3-ила; и/или (c) окисленный остаток триптофана является N-формилкинуренином (NFK), 3-гидроксикинуренином (3-OH-KYN), гидрокситриптофаном (HTRP) или кинуренином (KYN); и/или (d) остаток циклического имида представляет собой аспартамид или глютамид.
3. Композиция по п.1, в которой стабилизированное соединение эксендина-4(1-39) содержит любую из следующих последовательностей: des Pro36[Asp28]эксендин-4(1-39), des Pro36[изоAsp28]эксендин-4(1-39), des Pro36[Met(O)14, Asp28]эксендин-4(1-39), des Pro36[Met(O)14, изоAsp28]эксендин-4(1-39), des Pro36[Trp(O2)25, Asp28]эксендин-4(1-39), des Pro36[Trp(O2)25, изоAsp28]эксендин-4(1-39) des Pro36[Met(O)14 Trp(O2)25, Asp28]эксендин-4(1-39), des Pro36[Met(O)14Trp(O2)25, изоAsp28]эксендин-4(1-39), des Pro36[циклический имид28]эксендин-4(1-39), des Pro36[Met(O)14, циклический имид28]эксендин-4(1-39), des Pro36[Met(О)14, Trp(О2)25, циклический имид28]эксендин-4(1-39), [Asp28]эксендин-4(1-39), [изоAsp28]эксендин-4(1-39), [циклический имид28]эксендин-4(1-39), [Glul3,Asp28]экceндин-4(1-39), [Met(O)14, Asp28]эксендин-4(1-39), [Met(O)14, изоAsp28]эксендин-4(1-39), [Met(O)14, циклический имид28]эксендин-4(1-39), [Trp(O2)25, Asp28]эксендин-4(1-39), [Trp(O2)25, изоAsp28]эксендин-4(1-39), [Trp(O2)25, циклический имид28]эксендин-4(1-39), [Met(O)14, Trp(O2)25, Asp28]эксендин-4(1-39), [Met(O)14, Trp(O2)25, изоAsp28]эксендин-4(1-39), [Met(O)14, Trp(O2)25, циклический имид28]эксендин-4(1-39).
4. Композиция по п.3, дополнительно содержащая следующую группу, связанную с С-концом соединения: -Lys6-NH2.
5. Композиция по п.1, в которой стабилизированное соединение эксендина-4(1-39) содержит любую из следующих последовательностей: des Pro36, Pro37, Pro38[Asp28]эксендин-4(1-39)-(Lys)6-NH2, des Pro36, PRO37, PRO38[Trp(O2)25, Asp28]эксендин-4(1-39)-(Lys)6-NH2, des Pro36, Pro37, Рrо38[Меt(О)14, Asp28]экceндин-4(1-39)-(Lys)6-NH2, des Pro36, Pro37, Pro38[Met(O)14, Trp(O2)25, Asp28]эксендин-4(1-39)-(Lys)6-NH2, des Pro36, Pro37, Pro38 [циклический имид28]эксендин4(1-39)-NH2, des Pro36, Pro37, Pro38 [циклический имид28]эксендин-4(1-38)-(Lys)6-NH2, des Pro36, Pro37, Рrо38[Trp(O2)25, циклический имид28]экceндин-4(1-39)-(Lys)6-NH2, или его фармацевтически приемлемая соль.
6. Композиция по п.1, где композиция представлена в виде препарата в форме депо, микросфер, липосом или стабилизированного жидкого препарата.
7. Композиция по п.1, дополнительно содержащая следующую группу, связанную с С-концом соединения: -Lys6-NH2.
8. Композиция по любому из пп.1-7 для применения в терапии для лечения диабета типа 1 или типа 2, синдрома резистентности к инсулину, нарушенной толерантности к глюкозе (IGT), ожирения, расстройств питания, гипергликемии, метаболических расстройств и заболевания желудка, патологических состояний, связанных с повышенными уровнями глюкозы в крови, для регулирования уровней глюкозы в крови, регулирования опустошения желудка, стимулирования высвобождения инсулина.
9. Способ получения композиции по любому из пп.1-7, включающий в себя, по меньшей мере, одну из следующих стадий: (a) получение эксендина-4(1-39) или агониста эксендина; и (b) инкубацию эксендина-4(1-39) или агониста эксендина в условиях, достаточных для введения в него, по меньшей мере, одной из следующих аминокислот или циклического имида: 1) остатка Asn, имеющего дезамидированную боковую цепь, остатка Asn, имеющего гидролизованную боковую цепь, или структурного изомера остатка Asp, где остаток Asn или Asp соответствует положению 28 эксендина-4; и необязательно ii) окисленного остатка метионина, соответствующего положению 14 эксендина-4; и/или iii) окисленного остатка триптофана, соответствующего положению 25 эксендина-4; и/или iv) дезамидированного или гидролизованного Gln, соответствующего положению 13 эксендина-4; и/или v) циклического имида структуры В, определенной в описании.
10. Способ по п.9, дополнительно включающий в себя стадию выявления присутствия или отсутствия, по меньшей мере, одной из аминокислот или циклического имида (i)-(v).
11. Способ по п.9, дополнительно включающий в себя стадию идентификации, по меньшей мере, одной из аминокислот или циклического имида (i)-(v) в композиции.
12. Способ по п.9, в котором условия включают контакт, по меньшей мере, с одним из следующих факторов: водой, нагреванием, светом, металлом, ионами металлов, водяным паром или кислородом.
13. Способ по п.9, в котором условия дополнительно включают контакт примерно при комнатной температуре (25°С).
14. Способ по п.13, в котором условия дополнительно включают контакт с воздухом.
15. Применение композиции по любому из пп.1-7 для получения лекарственного средства для лечения диабета типа 1 или типа 2, синдрома резистентности к инсулину, нарушенной толерантности к глюкозе (IGT), ожирения, расстройств питания, гипергликемии, метаболических расстройств и заболевания желудка, патологических состояний, связанных с повышенными уровнями глюкозы в крови, для регулирования уровней глюкозы в крови, регулирования опустошения желудка, стимулирования высвобождения инсулина.
РИСУНКИ
|
|