Патент на изобретение №2375917
|
|||||||||||||||||||||||||||||||||||||||||||||||||||||||||||||||||||||||||||||||||||||||||||||||||||||||||||||||||||||||||||||||||||||||||||||||||||||||||||||||||||||||||||||||||||||||||||||||||||||||||||||||||||||||||||||||||||||||||||||||||||||||||||||||||||||||||||||||||||||||||||||||||||||||||||||||||||||||||||||||||||||||||||||||||||||||||||||||||||||||||||||||||||||||||||||||||||||||||||||||||||||||||||||||||||||||||||||||||||||||||||||||||||||||||||||||||||||||||||||||||||||||||||||||||||||||||||||||||||||||||||||||||||||||||||||||||||||||||||||||||||||||||||||||||||||||||||||||||||||||||||||||||||||||||||||||||||||||||||||||||||||||||||||||||||||||||||||||||||||||||||||||||||||||||||||||||||||||||||||||||||||||||||||||||||||||||||||||||||||||||||||||||||||||||||||||||||||||||||||||||||||||||||||||||||||||||||||||||||||||||||||||||||||||||||||||||||||||||||||||||||||||||||||||||||||||||||||||||||||||||||||||||||||||||||||||||||||||||||||||||||||||||||||||||||||||||||||||||||||||
(54) СОЕВЫЕ КОМПОЗИЦИИ С УЛУЧШЕННЫМИ ОРГАНОЛЕПТИЧЕСКИМИ СВОЙСТВАМИ И СПОСОБЫ ИХ ПОЛУЧЕНИЯ
(57) Реферат:
Получают композиции из мякоти соевых бобов, содержащие более 30% белка в виде
Настоящая заявка имеет приоритет заявки США Изобретение относится к области питания и пищевых продуктов. Главным образом, изобретение относится к соевым композициям с улучшенными органолептическими свойствами, такими как уменьшенный запах, а также к способам получения и применения таких продуктов. Соевые бобы представляют собой высококачественные белки, полезные для здоровья людей (Hermansen et al., 2003; Bazzano et al., 2001; Food and Drug Administration, 1999). Потребность в соевых бобах для получения соевых продуктов растет медленнее, чем можно было бы ожидать за последние три десятилетия (Wolfe and Cowan, 1975 and SoySource, The United Soybean Board, 1999). Причиной этого является тот факт, что соевые продукты обладают неприятным запахом (McLeod and Ames, 1988 and Freese, 1999). Нежелательный запах сои обычно называют «бобовым». Компоненты, придающие бобовые характеристики сое, обычно связаны с наличием в продукте разнообразных жирных кислот, алифатических карбонильных производных, аминов, спиртов, альдегидов, а также фуранов, образующихся за счет взаимодействия ферментов с различными веществами, обнаруженными в бобах, и их последующего окисления, вызываемого различными механизмами (Wolfe and Cowan, 1975; Sessa and Rackis, 1977). Kobayashi et al. (1995) сделал вывод о том, что основной вклад в запах сырого соевого молока делают (транс, транс)-2,4-нонадиеналь, (транс, транс)-2,4-декадиеналь, гексаналь, 2-пентилфуран, 1-октен-3-он, (транс)-2-ноненаль и (транс, цис)-2,4-нонадиеналь. Наиболее пахучие вещества, выделяющиеся из термообработанного соевого молока, были идентифицированы как (транс, транс)-2,4-декадиеналь и н-гексаналь (Feng, Cornell University Ph. D. Dissertation, 2000). Образование (транс, транс)-2,4-декадиеналя медленно происходит при комнатной температуре (Frankel, 1988), однако скорость реакции увеличивается за счет термической деградации при термообработке соевых бобов (Lin, 2003). Другие вещества, делающие вклад в запах, представляют собой (транс)-4,5-эпокси-(Е)-2-деценаль (образующийся из 2,4 декадиеналя), (транс, цис)-2,6-нонадиеналь, (транс)-2-ноненаль, (транс, транс)-2,4-нонадиеналь, 2,4-нонадиеналь, мальтол, ванилин и Наиболее сильные одоранты, выделяющиеся в изолятах соевого белка, идентифицируются как диметилтрисульфид, (транс, транс)-2,4-декадиеналь, 2-пентил пиридин (транс, транс)-2,4-нонадиеналь, гексаналь, ацетофенон и 1-октен-3-он (Boatright и Lei, 1999). Механизм формирования метантиола и диметилтрисульфида включает свободные радикалы, образующиеся при окислении липидов (Lei и Boatright, 2003), и продукты таких ферментов, как цистеин синтаза (Boatright, 2003, постер 45С-26, IFT ежегодный митинг Chicago). Образование 2-пентилпиридина происходит в результате реакции между 2,4-декадиеналем и аммиаком при комнатной температуре. Свободные аминокислоты, аргинин, лизин, аспарагин и глютамин увеличивают выход 2-пентилпиридина, по-видимому, за счет образования аммиака в ходе переработки соевого белка (Zhou and Boatright, 2000; Kim et al., 1996). Свободные аминокислоты также могут образовывать другие нежелательные продукты. Высокотемпературное взаимодействие аспарагина и глюкозы приводит к образованию акриламида (Jung et al., 2003). Снятие защитной группы аргинина при температуре варки может приводить к образованию мутагенов (Knize at al., 1994). Увеличение количества аргинина в соевых бобах приводит к уменьшению количества После образования одорантов их трудно удалить из соевых компонентов, поскольку они связаны с белками (Franzen and Kinsella, 1974). Качество природных ароматизаторов, добавляемых в сою, также не приводит к положительному результату, поскольку некоторые одоранты связаны с белком. Аффинность связи карбонильных соединений и 2-пентилпиридина с глицининовыми фракциями выше, чем с Текстуры, созданные в результате белок-белкового взаимодействия, могут оказывать более сильное влияние на интенсивность ароматизации, чем на концентрацию одоранта в носу (Weel et al., 2002). Соевые белки могут ухудшать органолептическое качество соевых напитков в результате образования нерастворимых агрегатов и мелового вкусового ощущения (Skarra and Miller, 2002) Среди основных соевых белков глицинины более чувствительны к рН и Са+2-индуцированному понижению растворимости (Yuan, 2002), причем соевые бобы с низким соотношением между глицининами и Цвет оказывает влияние на ощущение свежести и вкуса (Joshi, 2000). Небольшие количества восстанавливающих сахаров и альдегидов, образующихся в результате липидного окисления, реагируют с аминогруппами белков при нагревании с образованием коричневых пигментов по реакции Maillard,s (Kwok et al., 1999). После термообработки соевое молоко с повышенным содержанием альдегидов приобретает темный, менее привлекательный цвет. С другой стороны, липидное окисление в ходе обработки белков приводит к обесцвечиванию желтых пигментов соевого молока (Obata and Matsuura, 1997). Сою рафинируют с целью улучшения вкуса путем экстракции липидов и других компонентов, посредством экстракции спиртом, обработкой ферментами, промывкой белковым творогом, ультрафильтрацией белка и использованием мгновенного испарения. Такие процессы увеличивают стоимость соевых белковых компонентов и обычно уменьшают количество целебных компонентов, являющихся биологически ценными веществами (например, волокна, олигосахариды, изофлавоны, полиненасыщенные жирные кислоты, токоферолы, фосфолипиды, биоактивные пептиды). Технологические подходы, используемые для улучшения органолептических свойств соевых белковых ингредиентов ограничены эффективностью фиксации запаха на соевых белках и условиями, способствующими образованию запаха (рН 8-10). Сою, с отсутствием от одной до трех липоксигеназ 1, 2 и 3, создавали с использованием мутационной селекции с целью уменьшения степени бобового запаха (Hajika at al., 1991). Обонятельный анализ соевого молока и соевой муки, полученной из сои с отсутствием всех трех липоксигеназ, позволил установить пониженное содержание некоторых запахов, но более высокое количество 1-октен-3-ола, чем в случае родственной соевой линии, содержащей все три липогеназы (Hao et al., 2002). Аналогичные содержания 2,4-декадиеналя обнаружены в обезжиренной муке и соевом белковом изоляте, полученном из одной разновидности сои с пониженным содержанием всех трех липоксигеназ и двух других разновидностей сои (Boatright at al., 1998). Соевые продукты, полученные из образцов сои с дефицитом липоксигеназ, обладали улучшенным запахом по сравнению с продуктами из контрольной сои (Wilson, 1996). Соевое молоко, полученное из соевых бобов с дефицитом трех липоксигеназ, воспринималось более горьким, чем контрольное молоко, особенно через 15 месяцев хранения, однако указанное отличие может быть устранено добавлением сахара (Torres-Penaranda и Reitmairer, 2001). Трансгенные модификации были предложены для улучшения вкуса сои в результате уменьшения содержания полиненасыщенных жирных кислот (US Patent 5981781), липоксигеназ (US Patent Appln. 20030074693) и гидропероксидных липаз (US Patent 64444874). Соя, содержащая менее 10% полиненасыщенных жирных кислот и более 75% олеиновой жирной кислоты, приводит к образованию более вкусного масла для обжаривания, чем масло для обжарки с более высоким содержанием полиненасыщенных жирных кислот (Warner et al., 2001). Химические вещества, такие как полифосфаты (US Patent 6355296), используют для ограничения ухудшения вкусовых свойств продукта и улучшения стабильности белка. Другие присадки, такие как галловая кислота (РСТ WO 01/06866) или альдегидоксидаза (Maheshwari et al., 1997), могут использоваться для удаления неприятного запаха. Имеется немного публикаций, касающихся влияния природных генетических вариаций на вкусовые и цветовые признаки сои. Тиобарбитуровые числа для 16 видов сои определяли как меру окисления липидов, и при этом не было обнаружено корреляции с содержанием витамина Е в сое ( Dahuja and Madaan, 2004). Определялись количества 2-пентил пиридина и 2,4-декадиеналя в соевой муке и в соевом белковом изоляте, полученных из трех видов сои (Zhou and Boatright, 1999). Исследовались влияния условий сушки на удаление зеленого пигмента, хлорофилла из сои (Salete et al., 2003; Sinnecker et al., 2002). В течение последних десятилетий ученые показали, что масла, полученные из сои с отсутствием липоксигеназ, не обладают улучшенной окислительной стабильностью. Соевые белки, полученные из липоксигеназных полых соевых бобов, по-прежнему сохраняют значительный неприятный вкус (Maheshwari et al., 1977). Первая стадия производства соевого молока или соевых белковых ингредиентов заключается в лущении (удалении покрытия) соевых бобов с целью получения соевой сердцевины. Гипокотили также могут отделяться от котиледонов. Соевые бобы представляют собой лущеные соевые бобы и могут включать семядоли или не содержать их. Способ получения сердцевин описан, например, в US Patent 5727689. Один из способов лущения включает без конкретных ограничений прокатывание семян между вращающимися в противоположных направлениях роликами или пропусканием через разламывающую мельницу, в результате чего происходит отделение легкой шелухи и остаются соевые бобы. Соевые бобы могут вымачиваться в воде с образованием соевого молока либо расслаиваться и экстрагироваться с помощью гексана, что представляет собой начальную стадию получения обезжиренной соевой муки, концентратов соевого белка, изолятов соевого белка и очищенных белковых фракций. Изобретение предлагает новый способ определения резистентности мякоти соевых бобов к продукции ключевых дурно пахнущих соединений, идентифицированных как 2,4-декадиенал, гексаналь, гексанол и 1-октен-3-ол. Перечисленные соединения выбраны индикаторами степени протекания различных реакций окисления. Гексаналь и гексанол образуются в результате разложения соединений, содержащих гидропероксидную группу (пероксидные группы в положениях 9 и 12 углеродной цепочки жирных кислот) под воздействием гидропероксид липаз и спиртовых дегидрогеназ. 2,4-декадиеналь представляет собой продукт распада, образующийся по липоксигеназному маршруту, об участии в котором гидропероксидных липаз информации не имеется. 1-октен-3-ол образуется в результате действия гидропероксидных липаз на гидропероксидные группы, находящиеся в 10 положении линолевой кислоты. Рассмотренные соединения далее могут реагировать в результате дополнительной переработки с выделением более мощных запахов. Так, например, 2,4-декадиеналь участвует в образовании 2-пентил пиридина, а 1-октен-3-ол принимает участие в образовании 1-октен-3-она. В соответствии с одним из аспектов изобретение предлагает композицию из мякоти соевых бобов, содержащую липоксигеназы 1, 2 и 3, причем композиция содержит более 10% линолевой кислоты от общего содержания жирных кислот и менее 20 мкг от общего 2,4-декадиеналя, плюс гексаналя, плюс гексанола на грамм после мягкого окисления в водной среде. Рассматриваемая композиция может включать липоксигеназы или не содержать их либо включать их любые комбинации и может содержать дезактивированную липоксигеназу. Согласно одному из вариантов композиция содержит липоксигеназу-2. В некоторых вариантах осуществления изобретения рассматриваемая композиция может содержать менее 15 мкг или менее 18 мкг общего 2,4-декадиеналя, плюс гексаналя, плюс гексанола. Согласно другому варианту рассматриваемая композиция может содержать 6-20 мкг, 10-20 мкг или 12-18 мкг общего 2,4-декадиеналя, плюс гексаналя, плюс гексанола. В соответствии с другим вариантом изобретения композиция может содержать менее 4% линоленовой кислоты от общего процентного количества жирных кислот, причем указанное количество может составлять менее 3% или от 1-4% до 2-4%. Согласно другому варианту рассматриваемая композиция по изобретению может содержать менее 2000 мкг на грамм свободного аргинина и/или менее 400 мкг/г свободного аспарагина, включая менее 1800 мкг/грамм свободного аргинина и/или менее 350 мкг/г свободного аспарагина. В некоторых случаях рассматриваемые композиции могут содержать 300-2000 мкг/г свободного аргинина, включая 500-2000, 1200-1800 и 1000-2000 мкг/г свободного аргинина. Согласно некоторым вариантам осуществления изобретения композиция может содержать 50-400 мкг/г свободного аспарагина, включая 100-400, 100-350, 200-400, 300-400 и 250-400 мкг/г свободного аспарагина. В соответствии с еще одним вариантом осуществления изобретения композиция согласно изобретению может характеризоваться цветностью, измеренной значением b* менее 30 или значением L* более 80 согласно выражению CIE-L*а* b*, в которой L* обозначает светлость, а b* обозначает цветовой оттенок по шкале от голубого (-) до желтого (+). Согласно некоторым воплощениям изобретения композиция может характеризоваться цветностью, измеренной значением b* 18-30, 20-30, 25-30 и менее 25. Согласно другому варианту осуществления изобретения композиция может характеризоваться значением L* 80-100, 80-90 и более 90. Иногда композиция согласно изобретению может содержать менее 8 мкг/г 1октен-3-ола после мягкого окисления в водных условиях, включая менее 6 мкг, менее 5 мкг, 1,3-8 мкг, 2-8 мкг, 4-8 мкг. Композиция согласно изобретению также может содержать более 30% белка в виде Согласно другому аспекту изобретения получают композиции из мякоти соевых бобов, содержащие более 30% белка в виде Согласно другому варианту осуществления изобретения полученные композиции содержат менее 4 мкг/г 1-октен-3-ола после мягкого окисления в водных условиях, причем его содержание может составлять менее 3 мкг, 1,3-3 мкг, 1,3-4 мкг и 2-4 мкг. Согласно еще одному варианту рассматриваемая композиция имеет концентрацию линоленовой кислоты 1-14% от общего количества жирных кислот, включая концентрации в интервалах 3-14%, 5-14%, 1,5-12%, 3-12% и 7-14%. Согласно еще одному варианту осуществления изобретения рассматриваемая композиция имеет концентрацию линолевой кислоты 10-60% от общего количества жирных кислот, включая количества в интервалах 10-50%, 10-40%, 15-60%, 20-50% и 20-60%. В некоторых вариантах осуществления изобретения композиции из мякоти соевых бобов могут характеризоваться отсутствием одной или нескольких липоксигеназ. Согласно одному из таких вариантов полученная композиция из соевых бобов может характеризоваться отсутствием липоксигеназы-2. В других вариантах отсутствуют какие-либо комбинации из липоксигеназы-1, липоксигеназы-2 и/или липоксигеназы-3, включая любые две или все три из таких липоксигеназ. Композиция согласно изобретению также может характеризоваться цветовым значением b* менее 30 или цветовым значением L* более 80, измеренным согласно выражению CIE L*а* b*, в котором L* обозначает светлый оттенок, а b* обозначает цветовой оттенок по шкале от голубого (-) до желтого (+). Согласно еще одному варианту осуществления изобретения полученная композиция может содержать 67-69 мг лизина в расчете на грамм белка, может содержать 72-80 мг аргинина на грамм белка и/или может содержать 28-30 мг гистидина на грамм белка. Согласно еще одному аспекту изобретение предлагает способ анализа одорирующих свойств сои, включающий определение содержания, по меньшей мере, одного соединения, выбранного из группы, состоящей из 3,4-декадиеналя, гексанола, гексаналя и 1-октен-3-ола. Согласно одному из вариантов осуществления изобретения такой способ может включать определение уровня содержания соединения, предусматривающий инкубацию смеси из примерно 1 части муки соевого семени и 4 частей воды в течение от 1 до 40 минут и количественное определение содержания, по меньшей мере, одного соединения, выбранного из группы, состоящей из 2,4-декадиеналя, гексанола, гексаналя и 1-октен-3-ола, а также их комбинации с использованием дейтерированных стандартов гексаналя, гексанола и декадиеналя. Соевая мука может быть получена из лущеной сои. Другой аспект изобретения предлагает способ получения соевой разновидности, образующей бобы с пониженными одорирующими свойствами, включающий измерение содержания, по меньшей мере, одного соединения, выбранного из группы, состоящей из 2,4-декадиеналя, гексанола, гексаналя и 1-октен-3-ола и их комбинации, в одной или нескольких разновидностях соевых бобов или соевой мякоти из первой и второй соевой разновидностей, и выбор разновидности, образующей семена с низким содержанием рассматриваемых веществ. Рассматриваемый способ также может включать скрещивание растения выбранной разновидности с другим растением с целью получения потомства и определения содержания, по меньшей мере, одного соединения, выбранного из группы, состоящей из 2,4-декадиеналя, гексанола, гексаналя и 1-октен-3-ола и их комбинации, в одном или нескольких соевых бобах или соевой мякоти из потомства. В соответствии с еще одним аспектом изобретение предлагает способ селекции разновидности сои, устойчивой к загрязнению грибками, включающий селекцию разновидности, содержащей менее 5 мкг 1-октен-3-ола на грамм семени, согласно измерению инкубацией смеси из 1 части муки соевого семени и 4 частей воды в течение 1-40 минут и определения количества 1-октен-3-ола. В соответствии с еще одним аспектом изобретение предлагает семя соевого растения, обозначенного как 0119149, репрезентативное семя которого депонировано в АТСС с депозитарным номером РТА-6197. Кроме этого изобретение предусматривает соевое растение 0119149 или его часть, выращенную из таких семян. Такое растение согласно изобретению может представлять собой трансгенное растение. Согласно другим вариантам осуществления изобретение предусматривает способ выращивания соевого растения из соевого растения 0119149, причем рассматриваемый способ включает стадии: (а) получения потомственного растения из соевого растения 0119149 скрещиванием соевого растения 0119149 со вторым соевым растением, причем образец семени соевого растения 0119149 депонирован в АТСС с каталожным номером РТА-6197; (b) скрещивание потомственного растения с самим собой или вторым растением с целью продуцирования семени потомственного растения последующего поколения; (с) выращивание потомственного растения последующего поколения из семян и скрещивание потомственного растения следующего поколения с самим собой или вторым растением и (d) повторение стадий (b) и (c) на 3-10 поколениях с получением инбредного соевого растения, являющегося производным соевого растения 0119149. Согласно еще одному аспекту изобретение предлагает сою с улучшенными органолептическими свойствами (т.е. сою с улучшенным вкусом, цветом, запахом и ощущениями при разжевывании) после мягкого окисления в водных условиях. Кроме этого предусматривается соя более светлого цвета, предназначенная для улучшения органолептических свойств растения. Также предусматривается соя с низким содержанием аргинина и аспарагина с целью улучшения органолептических свойств растения. Согласно другому варианту осуществления изобретения для улучшения органолептических свойств предусматриваются соевые растения с пониженным содержанием линолевой и линоленовой кислот. Согласно одному из вариантов соевое растение, разработанное с помощью изобретения, может содержать один или несколько трансгенов. Примером может служить ген, обладающий устойчивостью к гербицидам, из которого вырастают гербицидоустойчивые растения, и ген, обеспечивающий устойчивость к действию насекомых. Согласно изобретению, разработаны соевые семена, содержащие липоксигеназы 1, 2 и 3 и более 10% линолевой кислоты, в процентах к общему содержанию жирных кислот, продуцирующих менее 20 мкг 2,4-декадиеналя, гексаналя и гексанола в расчете на грамм измельченных семян после мягкого окисления в водной среде. В соответствии с другим аспектом изобретения обеспечивается соя, содержащая липоксигеназы, включающая менее 40% линоленовой жирной кислоты и более 10% линолевой кислоты в процентах от общего количества жирных кислот, продуцирующая менее 20 мкг суммарного количества 2,4-декадиеналя, гексаналя и гексанола в расчете на грамм измельченных семян после умеренного окисления в водной среде. Некоторые соевые растения также могут продуцировать менее 8 мкг 1-октен-3-ола в расчете на грамм измельченных семян после умеренного окисления в водной среде. В соответствии с еще одним аспектом изобретения может обеспечиваться соя, содержащая менее 2000 мкг свободного аргинина и менее 400 мкг свободного аспарагина на грамм сухих семян и продуцирующая менее 20 мкг/г 2,4-декадиеналя, гексаналя и гексанола в расчете на грамм измельченных соевых бобов после окисления в умеренно водной среде. Те же семена могут продуцировать менее 8 мкг 1-октен-3-ола на грамм измельченных соевых семян после окисления в умеренно водной среде. В соответствии с еще одним аспектом изобретения предлагаются соевые бобы желтого цвета, имеющие В соответствии с еще одним аспектом изобретения предлагается соя, содержащая более 30% белка в виде В соответствии с изобретением предлагается соя, содержащая менее 5000 мкг свободного аргинина, менее 900 мкг свободного аспарагина и более 30% белка в виде Согласно еще одному аспекту изобретения предлагается соя, образующаяся в результате скрещивания первого соевого семени, содержащего более 30% общего белка в виде бета-конглицинина и менее 25% белка в виде глицининов, а также второго соевого семени, продуцирующего менее 20 мкг/г 2,4-декадиеналя, гексаналя и гексанола на грамм измельченной сои после окисления в умеренно водной среде. Согласно другому аспекту изобретения предлагается соя, образующаяся в результате скрещивания первого соевого семени, содержащего менее 4% линоленовой жирной кислоты и более 10% линолевой кислоты в процентах от общего количества жирных кислот и второго соевого семени, содержащего липоксигеназы 1, 2 и 3 и более 10% линолевой кислоты в процентах от общего количества жирных кислот, продуцирующая менее 20 мкг/г 2,4-декадиеналя, гексаналя и гексанола на грамм измельченной сои после окисления в умеренно водной среде. В соответствии с еще одним аспектом изобретения предлагается способ анализа продуцирующего запах свойства видов соевых семян, включающий культивацию смеси из 1 части муки соевых семян и примерно 4 частей воды в течение времени от 1 до 40 минут и количественного определения, по меньшей мере, одного соединения, выбранного из группы, состоящей из 2,4-декадиеналя, гексаналя, гексанола и 1-октен-3-ола, а также комбинаций из двух, трех или четырех таких веществ с использованием дейтерированных стандартов гексаналя, гексанола и декадиеналя. Согласно еще одному аспекту изобретения предлагается способ селекции сои, включающий культивацию смеси из 1 части соевой муки или муки из лущеной сои и 4 частей воды в течение от 1 до 40 минут при комнатной температуре, и количественное определение 2,4-декадиеналя, гексаналя, гексанола и 1-октен-3-ола с использованием дейтерированных стандартов гексаналя, гексанола и декадиеналя с последующим выбором семян из культивационных сред на основании полученных результатов. В соответствии с еще одним аспектом изобретения предлагается соя, содержащая трансген, например гербицидно устойчивый ген, обеспечивающий гербицидную устойчивость, или инсектицидный ген, обеспечивающий устойчивость к действию инсектицидов. Согласно другому аспекту изобретения предлагаются пищевые продукты для потребления людьми, включающие сою, содержащую более 30% белка в виде Предпочтительные варианты осуществления изобретения Изобретение относится к соевым композициям, соевым бобам и производным соевых семян с улучшенными органолептическими свойствами и способам их получения. Соевые композиции согласно изобретению обеспечивают улучшенный вкус, цвет, запах и ощущения после разжевывания. Изобретение также предусматривает способы получения таких композиций и способы определения способности соевой разновидности к продуцированию ключевых запахов, приписываемых 2,4-декадиеналю, гексаналю, гексанолу и 1-октен-3-олу, и использование полученных результатов для их селекции из потомственных популяций. Согласно изобретению надлежащие условия окисления обеспечиваются в том случае, когда 0,5 частей соевой муки смешивают с 2 мл воды или 1 часть соевой муки смешивают с 4 частями воды с целью диспергирования твердых частиц в воде и проведения реакции окисления в течение 1-40 минут при комнатной температуре, причем температура может меняться в интервале 15-40°С. Концентрированная суспензия обеспечивает влияние ферментов, субстратов, свободных радикалов, акцепторов свободных радикалов, ингибиторов ферментов и других факторов на степень запаха. Изобретение предлагает сою, содержащую липоксигеназу и композиции на ее основе, содержащие менее 40% линоленовой жирной кислоты и/или более 10% линолевой кислоты в процентах от общего количества жирных кислот и продуцирующие менее 20 мкг 2,4-декадиеналя (СН3(СН2)4СНСНСНСНСНО, САS No. 25152-84-5), гексаналя (СН3(СН2)4СНО, CFS No. 66-25-1), гексанола (СН3(СН2)5ОН, CAS No. 111-27-3) в расчете на грамм измельченных семян после окисления в мягких водных условиях. Аналогичные соевые бобы также могут продуцировать менее 8 мкг 1-октен-3-ола (СН3(СН2)4СНОНСНСН2, CAS No. 3391-86-4) в расчете на грамм измельченных семян или лущеной соевой муки после окисления в мягких водных условиях. Такие соединения, как 2,4-декадиеналь, гексанол, гексаналь и 1-октен-3-ол, а также их комбинации используют для количественного определения одорирующих свойств сои. Запахи не ограничиваются перечисленными выше соединениями. Другие детектируемые альдегиды, кетоны и спирты могут применяться для измерения одорирующих свойств с использованием способа изобретения. Без конкретных ограничений примеры указанных веществ включают пропаналь, пентеналь, пентаналь, гексеналь, пентенол, гептаналь, гептеналь, бензальдегид, гексадиеналь, гептадиеналь, гептанол, октенол, октеналь, нонаналь, октадиенон, 2 пентилфуран, 2,3-диметилпентаналь, ноненаль, мальтол, деценаль и 2-ундеценаль. Согласно изобретению термин «липоксигеназа» относится к ферменту, катализирующему окисление ненасыщенных жирных кислот кислородом с образованием пероксидов. В литературе термин «липоксигеназа» (ЕС 1.113.11.12) также обозначает липоксидазу и диоксигеназу. Запахи соевого молока и соевых белковых ингредиентов из сои с отсутствием одной, двух или трех липоксигеназ 1, 2 и 3 оценивались другими исследователями. Высокоолеиновая соя характеризуется содержанием менее 4% линолевой кислоты. Некоторые сои с такой особенностью могут продуцировать в сумме менее 20 мкг 2,4-декадиеналя, гексаналя, гексанола на грамм измельченных бобов, что установлено с помощью анализа изобретения, тогда как другие разновидности не попадают в указанный интервал. Согласно изобретению было обнаружено, что можно создать сою, содержащую липоксигеназы 1, 2 и 3, продуцирующие очень низкие уровни запаха и что липоксигеназа-нулевые сои могут не иметь запаха. Помимо композиций с высоким содержанием Одорант 1-октен-3-ол представляет собой продукт расщепления жирных кислот, содержащих гидропероксидную группу при 10 углеродном атоме линолевой кислоты. Согласно изобретению было установлено, что лущение значительно уменьшает склонность соевых композиций к образованию 1-октен-3-ола. Грибковые липоксигеназы и гидропероксидные липазы образуют 1-гидропероксиды и 1-октен-3-ол соответственно (Wurzenberger и Grosch, 1984; Husson et al., 1998). В изобретении обосновано, что соевые растения, образующие малые количества 1-октен-3-ола, проявляют защитные свойства в отношении загрязнения соевой шелухи такими грибками, как Phomopsis (Minor et al., 1995), или содержат компоненты, ингибирующие грибковые липоксигеназы. Органолептические свойства соевых продуктов зависят от содержания глицининов и Цвет соевых ингредиентов и пищевых продуктов, полученных согласно изобретению, может быть улучшен уменьшением содержания образовавшихся альдегидов (например, гексаналя и 2,4-декадиеналя), поскольку в результате реакции между альдегидами и аминами образуются коричневые пигменты. Уменьшение содержания продуктов липидного окисления также может ограничивать окислительное обесцвечивание желтых пигментов, приводящих к снижению белизны цвета конечного продукта. Потенциальная проблема, связанная с малым обесцвечиванием, решается в изобретении в результате селекции сои с низким содержанием желтого пигмента. Изобретение обеспечивает соевые композиции с желтым цветом, измеренным как «величина b*», имеющая значение менее 30, продуцирующие в целом менее 20 мкг 2,4-декадиеналя, гексаналя и гексанола на грамм измельченных семян после окисления в умеренных водных условиях. Величина «b*», используемая для обозначения цвета соевых семян, относится к шкале цветности CIE-L*a*b* (CIE, Colorimetry, Publication 15,2, Второе издание, Вена (1986) с использованием методики Colorflex) и относится к голубизне (отрицательные значения) или желтизне (положительные значения) сои или соевой муки, аналогичным образом Соя дикого типа, коммерческий сорт культурного растения или его гибрид могут скрещиваться традиционными способами селекции растений с соевым растением, семена которого относятся к низкоодорирующему фенотипу с образованием семян, особенностью которых является слабый запах и другие отличительные признаки (например, выход, композиция с высоким содержанием Изобретение также относится к обработанным пищевым продуктам, предназначенным для потребления, полученным из соевых композиций изобретения. Примерами обработанных пищевых продуктов, предназначенных для потребления, могут служить композиции лущеной соевой муки. Без конкретных ограничений примеры таких производных включают кубики, напитки, мякоть, соевый йогурт, заменители сыра, пищевые добавки. Следующие ниже примеры приведены для демонстрации предпочтительных вариантов осуществления изобретения. Специалисту должно быть понятно, что методы, описанные в следующих примерах, адаптированы авторами изобретения для удовлетворительного практического функционирования и, таким образом, могут рассматриваться как предпочтительные способы практической реализации. Однако на основании сказанного выше многим специалистам станет ясно, что в специальных вариантах осуществления изобретения могут быть произведены многочисленные изменения, при этом без нарушения концепции, сущности и области изобретения может быть достигнут похожий или аналогичный результат. Так, может быть понятно, что некоторые химически и физиологически родственные агенты могут быть заменены на агенты, описанные в изобретении, с получением таких же или аналогичных результатов. Предполагается, что все упомянутые заместители и модификации, очевидные для специалистов, соответствуют сущности, области и концепции изобретения, которые определены в прилагаемой формуле изобретения. ПРИМЕР 1 Материалы и методы В приведенном примере описывается аналитический метод изобретения. Цель такого аналитического метода заключается в определении одорирующих свойств различных видов сои. В рассматриваемом методе вначале инициируют проявление выбранных запахов. Измельчение семян в тонкую муку и активация ферментов с использованием воды приводит к появлению запахов. Исследование скорости проявления запахов показало, что при комнатной температуре запахи появляются практически полностью через 20 минут (Таблица 1). Это время является важным фактором для успешного количественного определения пахнущих веществ и оценки одорирующих свойств различных соевых линий. Через 20 минут в систему добавляли дейтерированные суррогаты гексаналя, гексанола и 2,4-декадиеналя с целью обеспечения внутренних стандартов. Реакцию прекращали добавлением сульфата натрия, сразу после чего добавляли смесь 10% метанола:эфир с целью экстракции альдегидов, спиртов и кетонов. Описанный способ не ограничивается использованием перечисленных соединений. Любые другие детектируемые альдегиды, кетоны и спирты могут быть подвергнуты количественному определению, но с более низкой точностью, чем три указанных выше дейтерированных заменителя.
Время анализа для определения указанных компонентов в 175 образцах составило 24 часа. Рассматриваемый метод включал экстракцию и определение с использованием хроматографии/масс-спектрометрии. Количество образца для анализа обычно составляло 0,5 г, но оно может меняться в интервале 0,2-0,7 г. Интервал концентрации запаха в расчете на влажную массу составил 0,2 мкг/г – 120 мкг/г. Приготовление образца из соевой мякоти: Мякоть семени или соевого боба использовали в качестве образца. Примерно 6-12 произвольно отобранных семян или эквивалентную массу кусочков соевой мякоти из образца измельчали на шаровой мельнице при скорости вращения 1200 оборотов в минуту (об/мин) в течение 1 минуты с получением тонкоизмельченной муки. Шаровая мельница для размалывания семян описана в US Patent Pub. 2003/0146313 A1. Использовали такое количество соевой мякоти, чтобы получить примерно 0,5-1,0 г соевой муки к концу измельчения. Свежеразмолотую соевую муку использовали в последующем анализе. Экстракция соевой муки: Свежеразмолотую соевую муку использовали для экстракции ключевых запахов. Примерно 0,5 г (0,48-0,52 г) соевой муки переносили в 20 мл пробирку (VWR TraceCleanTM пробирки, герметизированные прозрачным боросиликатным Тефлоном), снабженную колпачком. Перед заменой колпачка в муку внутри пробирки добавляли деионизированную воду. Содержимое пробирки перемешивали в течение 30 секунд в вихревой мешалке для обеспечения надлежащего гидратирования всей соевой муки в пробирке. Гидратированную соевую муку инкубировали в мягких водных условиях, которые согласно изобретению определяются как инкубация в воде при комнатной температуре (22°С) в течение 20 минут. Через 20 минут в пробирку добавляли 11+0,3 г безводного сульфата натрия, после чего добавляли 10 мл 10% раствора метанол:эфир. 30 микролитров стандартного суррогатного (смесь дейтерированных стандартов гексаналя, гексанола и декадиеналя) спайкового раствора добавляли в пробирку перед повторным надеванием колпачка и встряхивали в течение 30-40 минут в шнековом вибраторе со скоростью вращения 200 об/мин. Через 30-40 минут 1 мл метанол:эфирного экстракта помещали в пробирку пробоотборника (пробирка для пробоотборника 7683 НР). В последующем анализе использовали прибор от VWR. Анализ экстрактов соевой муки: Экстракты соевой муки в среде метанол:эфир дополнительно анализировали на Газовом Хроматографе Agilent 6890 (395 Agilent Technologies, Palo Alto CA 94306), снабженном пробоотборником Agilent 7683 и масс-спектрометре Leco с программным обеспечением LECO Chrom TOF (LECO Corporation, St. Joseph, Michigan 49085). Газовый хроматограф также снабжали 10-метровой хроматографической колонкой DB-WAX или DB1701 c толщиной пленки 0,4 или более и ID 0,18 мм (Agilent Technologies). Метанол (высокой чистоты, фирма ЕМ Science) приобретали у VWR (VWR International West Chester, PA 19380), этиловый эфир (безводный) получали от Mallinckrodt (Mallinckrodt Hazelwood, MO 63042). 2,4-декадиеналь, 85% транс (15% цис), 98% гексаналь, 99% гексанол, 98% 1-октен-3-ол, 99% 2-ундеканон, 97% 2-ноненаль и 99% 2,4-нонадиеналь приобретали у Sigma-Aldrich Company (Saint Louis MO 63103). Дейтерированный D12 гексаналь, D13 гексанол и D2 2,4-декадиеналь получали в лабораторных условиях по методике Lin et al. (1999). При анализе образец объемом 1 микролитр вводили в инжектор газового хроматографа. Для хроматографического анализа образцов использовали следующие параметры: параметры колонки: DB Wax или DB 1701 капилляр 10 м х 0,18 мм, 0,4 мм пленочный инжекционный объем: 1ul инжекционный вкладыш; разделительный/безразделительный вкладыш. Температурная программа: Начальная температура 55°С, нагревание в течение 1 минуты от 40°С до 175°С со скоростью 40°С/мин, выдерживание при 175°С и нагревание от 175 до 240°С со скоростью 35°С/мин, выдерживание в течение 0 минут при исходной температуре: 220°С; тип ввода пробы: импульсы без расщепления с начальным давлением 8 фунт/дюйм2 в течение 1,5 минут. Соотношение расщепления 20:1, газ-носитель: гелий, постоянная скорость потока 1,8 мл/мин. Пролетные параметры температурной поверхности LECO: Температура источника 250°С; температура масс-спектрометра 200°С. Параметры сканирования: 50-250 m/z со скоростью 50 сканов в минуту. Анализ контроля качества: Для каждой группы образцов одновременно проводили слепой опыт и импульсную подачу. Введение импульса проводили расщеплением образцов, подлежащих анализу, на две части. Образец должен быть максимально однородным. Вторую часть дополняли известным количеством гексаналя, 1-октен-3-ола и декадиеналя. Введение проводили во время добавления дейтерированных соединений, следуя описанной выше методике экстракции. Концентрацию обогащенных (spiked) и необогащенных соединений определяли как % регенерации по следующей формуле: где: Сs = концентрация обогащенных образцов в мкг/г влажной массы, С0 = концентрация необогащенных образцов в мкг/г влажной массы, Wts = масса обогащенного образца в г, Хs = количество в микрограммах, введенное в вещество. Слепой метод осуществляли после экстракции без добавления соевой муки. Точность и правильность анализа: Правильность и точность определяли с использованием гомогенного образца соевой муки и импульсным введением образца с известным количеством трех соединений: гексаналя, 1-октен-3-ола и 2,4-декадиеналя. Необогащенные образцы также анализировали с целью определения количеств регенерированного обогащенного соединения. Различные уровни обогащения могут быть определены с помощью стандартного метода сложения с целью определения основы, связанной с систематическими ошибками. Среднее значение сравнивали с известным количеством добавленного материала с целью оценки правильности метода. Точность измерения определяли по стандартному отклонению. Важно отметить, что указанные подходы позволяют измерять лишь дисперсию, поскольку измельчение 40 семян с целью получения однородной соевой муки усредняет вариабельность семян. Больший разброс может иметь место для реального определения из-за изменений при переходе от семени к семени. % регенерации гексаналя составил 83,8%. % регенерации для 1-октен-3-ола составил 93,6%. % регенерации для 2,4-декадиеналя составил 99,3%. Точность определения гексаналя при импульсном методе введения образца оказалась минимальной. Этот факт связан с летучестью гексаналя и с низкими значениями выхода для гексаналя. Высокая степень прецизионности наблюдалась для октен-3-ола и 2,4-декадиеналя. Точность в % относительно стандартного отклонения регенерированных материалов составила 5% для гексаналя и октен-3-ола. Точность определения 2-4 декадиеналя, измеренная в % относительно стандартного отклонения регенерированных значений, составила 1,1%. Изменение количества гомогенного образца в интервале 0,2-0,9 г не оказывает влияния, однако для разных образцов могут возникать проблемы. Эта ситуация не изучалась. Количество образца должно составлять около 0,5 г, если не возникает указанных проблем или при регулировке метода. Интервал обнаружения для всех соединений составляет 0,5-25 микрограммов. Добавление большего числа стандартов к стандартной кривой может расширить указанный интервал. Пример 2 Идентификация и селекция сои, продуцирующей слабый запах Сильные запахи определялись в соевом молоке, полученном из контрольной сои (Vinton 81), сои с отсутствием липоксигеназы-2 (QT-1) и сои с отсутствием липоксигеназы 1, 2 и 3 (IA2025). Соевое молоко получали из каждого вида сои, размачивая желаемые чистые семена в воде в соотношении 1:5 (масса 1 г: 5 мл воды при 25°С в течение восьми часов). После удаления размачивающей воды сою с удвоенной массой относительно исходного значения дренировали и смешивали со свежей дистиллированной водой (удвоенная масса сухой сои) в течение пяти минут. Дополнительное количество дистиллированной воды (7 × массу сухой сои) смешивали с суспензией в течение 2 минут (мин) при 20°С. Суспензию медленно нагревали при температуре 95-98°С в течение 20 минут на водяной бане и фильтровали через грубую плетеную марлю, которую выжимали вручную с получением максимально возможного количества соевого молока. Соевое молоко пастеризовали нагреванием в воде при температуре 85-90°С в течение 10 минут с целью уменьшения микробного загрязнения и хранили при 4°С перед экстракцией запаха для дальнейшего анализа. Пахнущие субстанции экстрагировали из образцов соевого молока. Соевое молоко экстрагировали 0,67 частями FreonTM 113 в течение, по меньшей мере, 30 минут. После удаления экстракта FreonTM 113 водную фазу дополнительно экстрагировали 0,67 частями этилацетата. После сбора этилацетатного экстракта водную фазу отбрасывали. FreonTM и этилацетат фильтровали через сульфат магния с целью удаления максимально возможного количества воды и концентрировали до объема в 1 мл с использованием роторного испарителя Buchi 0,1. Фреоновые экстракты выпаривали при давлении 48 килопаскалей (кПа), а этилацетат выпаривали при давлении 86 кПа. Сильные запахи, продуцированные образцами соевого молока, идентифицировали с использованием GC-ольфактометра (Acree T.E, Analytical Chem. 69:170F-175F, 1997). GC-ольфактометрия представляет собой газовую хроматографию с использованием канала для обнюхивания, в котором мощность химического соединения в качестве одоранта определяется измерением реакции человека на одоранты в потоке воздуха или дыма. Газовый хроматограф Hewlett Packard 6890, снабженный 12 м х 0,32 мм капиллярной колонкой, заполненной кварцем с метилкремнием (толщина пленки = 0,33 мкм), использовали для CharmAnalysisTM (Acree, T.E.; Bamard, J; Cunningham D.G.; Food Chem. 14, 273-286, 1984). Эффлюент содержал гелий (2 мл/мин) в качестве газа-носителя и азот в качестве проверочного газа (около 30 мл/мин). Эффлюент смешивали с воздухом, в котором определяли запахи (20 мл/мин), представляющем собой 99% лабораторный воздух с влажностью 50-75%, и подавали в прибор через трубку из силилированного пирекса диаметром 10 мм. Программа печи GSMS предусматривала начало нагрева через три минуты выдерживания при программированном нагревании в интервале от 35 до 225°С со скоростью 6°С/мин. Дополнительные подробности метода CharmAnalysisTM в соевом молоке приведены в Ph.D. Dissertation, представленной Yu-Wen Feng на факультете магистратуры Корнельского Университета. Обе разновидности сои с отсутствием липоксигеназы-2 (IA2025, QT-1) продуцируют меньшее количество гексаналя, чем контрольные виды (Таблица 2). Соя с отсутствием всех трех липоксигеназ (IA2025) продуцирует наибольшие количества 2,4 декадиеналя и 1-октен-3-она, тогда как соя с отсутствием липоксигеназы 2 (разновидность QT-1) содержит наименьшие количества всех пяти мощных одорантов (Таблица 2). Из полученных результатов следует, что неизвестные композиционные факторы, отличные от липоксигеназы-2, принимают участие в регулировании липидного окисления в сое. Разновидность сои QT-1 идентифицируется как полезный вид для создания разновидностей промышленной сои со слабым запахом, содержащей или не содержащей липоксигеназу-2. Способ примера 1 был разработан для идентификации потомства QT-1 и других соевых линий, продуцирующих малые количества 2,4-декадиеналя, гексаналя, гексанола и 1-октен-3-ола.
В Таблице 3 представлены скрещенные сои, используемые для получения потомства, описанного в изобретении. Для создания таких линий использовали стандартные методы селекции растений.
Пример 3 Демонстрация междугодичной и межлокализационной совместимости характеристик, продуцирующих слабый запах, слабый цвет и низкое содержание свободных аминокислот, в линиях сои, выбранных согласно изобретению В качестве образцов для оценки цвета использовали целые семена. Желаемое количество семян, выбранных из образца, измельчали в Mega-Grinder со скоростью вращения 1200 об/мин в течение 1 минуты с получением соевой муки тонкого помола. Прибор Mega-Grinder для измельчения семян описан в опубликованном патенте US 2003/0146313 А1. Свежемолотую соевую муку использовали для последующего анализа. Цветоизмерительную систему на основе Спектрального колориметра ColorFlex Model 45/0, выпускаемого Hunter labs (Hunter Associates Laboratory Inc, Reston VA, USA), применяли для измерения цвета соевой муки, используя стандартную методику, предложенную производителем. Цвета измеряли в колориметрической шкале CIE-L*a*b* (CIE, Colorimetry, Publicaion 15.2, Second Edition, Vienna, 1986), используя методику ColorFlex. Международная Комиссия по освещенности – сокращенно CIE, от французского названия Commisiion Internationale de l’Eclairage, – представляет собой организацию, занимающуюся международным сотрудничеством и обменом информацией между странами-участницами по всем вопросам, относящимся к науке и практике освещения. Значение L* относится к светлости соевой муки, тогда как величина b* относится к интервалу оттенков от голубого (отрицательные значения) до желтого (положительные значения) соевой муки. В Таблицах 4 и 5 показаны координаты цвета соевой муки из различных линий. Свободные аминокислоты: Нешлифованные образцы хранили в охраняемом (санкционировано APHIS) помещении с регулируемой температурой и влажностью. Образцы измельчали с использованием CAT Mega-Grinder с целью получения соевой муки и полученный материал хранили при 4°С в помещении для хранения семян. Соевую муку экстрагировали 5% ТСА при 4°С в течение ночи, центрифугировали и экстракты хранили при -80°С. Экстракты фильтровали, разбавляли при необходимости и анализировали на свободные аминокислоты методом ОРА. В методе ОРА используют о-фталевый диальдегид (ОРА) для дериватизации образцов перед инжекцией в колонку C18 HPLC с обратной фазой. Дериватизированные, первичные аминокислоты эффективно разделяли по R-группе и количественно определяли с помощью чувствительного флуорометра. Относительное стандартное отклонение в таком методе составляло 3%. Липоксигеназная активность: Образцы измельчали с помощью Mega-Grinder. Каждый свежеразмолотый образец трижды взвешивали (5мг+1) и помещали в специальную лунку объемом 2 мл 96-луночного экстракционного планшета. Образцы экстрагировали 0,1М K2HPO4 (pH 7,0 или рН 9) в течение 1 часа при комнатной температуре. После центрифугирования полученный супернатант использовали для измерения потребления линолевой кислоты (субстрат) с использованием спектрофотометра, после чего в образце определяли общий белок с использованием Bio Rad Protein Dye. Количество липоксигеназных звеньев рассчитывали по изменению оптической плотности при 230 нм в ходе 1-минутной реакции и при использовании коэффициента экстинкции ( Результаты: Одоризирующие характеристики сои сохранялись при выращивании на разнообразных участках (Таблица 4) и в течение нескольких лет (Таблицы 4 и 5). Соевые линии, продуцирующие низкие количества гексаналя, гексанола и 2,4-декадиеналя и 1-октен-3-ола в анализе на запах (описанном ТВ Примере 1), последовательно отличались от линий, продуцирующих большие количества указанных веществ (Таблица 4). Соевые линии, указанные в Таблице 4, сортировали по количеству суммарной продукции гексаналь+гексанол+2,4-декадиеналь. Так, например, линия А-1 в верхней части таблицы продуцирует 18,21+/-4,21 мкг/г трех указанных одорантов в отличие от линии А-8 в нижней части таблицы, которая продуцирует 65,74+/-21,97 мкг/г трех одорантов. Суммарное количество гексаналя и гексанола, продуцированное видами сои одинакового скрещивания (например, кросс А), коррелирует с количествами 2,4 декадиеналя, продуцированными (Таблица 6, R2=0,85), что предполагает аналогичные механизмы и контроль генетическими и композиционными изменениями. Полученные содержания 1-октен-3-ола не зависят от количеств гексаналя, гексанола и 2,4-декадиеналя (Таблица 6, R2=0,01), что свидетельствует о различном механизме образования и контроля. Соевые линии, выращенные на 2-3 участках, продуцирующие низкие содержания 1-октен-3-ола, последовательно отличаются от линий, продуцирующих высокие содержания 1-октен-3-ола. Так, например, линия А-18 продуцирует 4,70+/- мкг/г 1-октен-3-ола, а линия А-12 продуцирует 14,67+/- 2,37 мкг/г 1-октен-3-ола. На основании полученных результатов можно выбрать линии, содержащие комбинации генетических композиций, продуцирующие низкие содержания 1-октен-3-ола и низкие суммарные содержания 2,4 декадиеналя + гексаналя + гексанола (например, линия А-6). Таблица 4А и В: Цвет и запах, продуцированные измельченной соей, полученной из потомства кроссов А, В, С, D и Е, указанных в Таблице 3. Приведенные величины представляют собой средние значения и стандартные отклонения (Stdev) для каждой линии, выращенной на двух или трех участках в 2002 г. (Ames, Iowa; Oxford, Indiana; Gladbrook, Iowa). Потомство кросса В имеет низкое содержание линоленовой кислоты, 2,9+/- 0,4% от общего количества жирных кислот. Все линии характеризуются желтым хилусом. Измельченная соя имеет влажность 8%. Установлены следующие коды цвета: L* (яркость), а* (зеленовато-красный) и b* (голубовато-желтый). Сокращения: Stdev = стандартное отклонение.
С использованием способов и видов сои согласно изобретению можно разработать высокоурожайные, обладающие слабым запахом, слабо окрашенные разновидности. Так, например, линии А-1, А-4 и А-6 дают урожай, составляющий 90, 90,5 и 104% от урожайности промышленного контроля. Наблюдается слабая зависимость или ее отсутствие между липоксигеназными активностями при рН 7 и 9 и образованием смеси 2,4-декадиеналь + гексаналь + гексанол из гидратированной соевой муки (R2<0,35, Таблица 7). Соевые растения, обладающие значительной липоксигеназной активностью при рН 7 и 9 (линия А-1), обладают такими же одорирующими свойствами, что и линия с отсутствием липоксигеназной активности (Линия С-1) (Таблица 5). Доступная для приобретения соя с отсутствием липоксигеназ 1, 2 и 3 (IA2032 урожая 1999г.) также тестировалась на липоксигеназную активность и запах. Липогеназные активности отсутствовали при рН 7 и 9 для тройной липоксигеназа-нулевой соевой муки, при этом в анализе на запах согласно изобретению были обнаружены значительные количества гексаналя (23,3 мкг/г), гексанола (14,9 мкг/г) и 2,4 декадиеналя (5,8 мкг/г). После проведения экспериментов с использованием ингибиторов липоксигеназы был сделан вывод, что, по меньшей мере, одна другая липоксигеназа проявляла активность в рассматриваемой соевой композиции. Белковые ингредиенты светлого цвета высоко ценятся в пищевой промышленности, в особенности в молочных продуктах. Сою выращивали в 2-3 участках для установления возможности селекции сои со слабым цветом. Установлено, что в результате селекции может быть выбрана соя со слабым цветом, что следует из значений b* измельченной сои (высокое значение b* свидетельствует о более желтом и менее голубом оттенках, Таблица 4). Так, например, соя А-2 имеет значение b* 22,16±1,39, а соя А-6 2 имеет значение b* 27,35±2,85 (Таблица 4). Корреляция между значениями b* наблюдалась у соевых линий, выращенных в 2001 и 2002 гг. (R2=0,7, Таблица 7).
Экологические факторы помимо генетических воздействуют на композиции и оказывают влияние на одорирующщие свойства сои. Экологические эффекты становятся очевидными из сравнения одорирующих свойств соевых линий, выращенных за два сезона: 2001 и 2002 гг. Общее содержание системы 2,4-декадиеналь+гексаналь+гексанол для полученных линий составило 12-44 мкг/г в урожае 2001 г. и 17-65 мкг/г в урожае 2002 г. (Таблицы 4 и 5). Свойства сои, ответственные за продукцию 1-октен-3-ола, наиболее чувствительны к действию экологических факторов, о чем свидетельствует потеря корреляции между количествами 1-октен-3-ола, продуцированными одинаковыми линиями, полученными в урожаях 2001 и 2002 гг. (R2=0,07, Таблица 6). В отличие от этого наблюдается корреляция между суммарными количествами 2,4-декадиеналя+гексаналя+гексанола, продуцированными линиями сои в 2001 и 2002 гг. (R2=0,62, Таблица 6). Определяли количества свободного аргинина (Arg) и аспарагина (Asp) в соевом потомстве. Наблюдалась корреляция между количествами свободного аргинина и аспарагина (R2=0,81, Таблица 7), причем общее количество аргинина и аспарагина составляло 353-3300 мкг/г (2001 г.) (Таблица 5). Количество системы свободный аргинин+аспарагин в сое не связано с выбранными одорирующими или цветовыми свойствами сои (R2<0,3, Таблица 7), в связи с чем необходимо проводить анализ на содержание свободных аминокислот для выбора линий, обеспечивающих низкое содержание 2,4-декадиеналя, слабый цвет и низкое содержание свободных аминокислот. Возможность селекции соевых линий с низким содержанием свободных аминокислот подтверждается хорошей корреляцией между значениями количества системы свободный аргинин+аспарагин в линиях, давших урожай за два различных года (R2= 0,8, Таблица 7). Пример 4 Комбинация низких одорирующих свойств с высоким содержанием Источником признака, состоящего в высоком содержании Количественное определение субъединиц соевого белка: Примерно 8 семян измельчали с использованием Mega Grinder (US Patent Pub. 2003/0146313 A1). Каждый образец полученной муки в количестве ~30 мг растворяли в 1,0 мл Laemmli SDS Buffer pH 6,8 и экстрагировали в течение 45-60 минут с помощью 0,1М DTT, используя нутатор (nutator) или многолопастное устройство для встряхивания и перемешивания. Пробирки центрифугировали в течение 3-5 минут. Часть супернатанта переносили в пробирки микроцентрифуги и разбавляли описанным выше буфером с получением 1,2-1,5 мкг/мкл общего белка. Образцы кипятили в течение 3 минут, охлаждали и центрифугировали. Совместно с 15-20 мкг каждого образца загружали готовые 10-20% трис-HCI Criterion гели. Гели подвергали электрофорезу при 180-200 V в 1Х Трис-Глицин-SDS пусковом буфере до того момента, когда трассирующий краситель достигал дна геля, на что уходило около 1,2 часа. Гели фиксировали 30-60 минут в смеси из 40% метанола/10% уксусной кислоты и окрашивали Коллоидным Coomassie Blue G-250; минимальная длительность операции составляла от ночного периода до 3 дней. Для удаления фона гели обесцвечивали с помощью деионизированной воды. Гели проявляли с использованием калиброванного денситометра GS 800. Количественное определение проводили с использованием программы Bio-Rad Quantity One Software. Программное обеспечение использовали для определения относительного количества каждой полосы в фазе образца. Количество глицининовых субъединиц в % и количество бета конглицининовых субъединиц в % выражали в относительных процентах от содержания общего белка в полосе. Общий аминокислотный анализ: Для получения полного профиля свойств образец анализировали тремя методами. Для триптофана требуется основной гидролиз с помощью гидроксида натрия. Для серосодержащих аминокислот требуется окисление пермуравьиной кислотой перед гидролизом с помощью хлористоводородной кислоты. Анализ образцов на содержание других аминокислот проводили в результате прямого кислотного гидролиза с использованием хлористоводородной кислоты. Сразу после гидролиза индивидуальные аминокислоты подвергали количественному определению с использованием автоматического аминокислотного анализатора (Official Methods of Analysis of AOAC INTERNATIONAL, 2000). Зола: Образец помещали в электропечь при 550°С и прокаливали с целью удаления любого летучего органического материала. Оставшийся нелетучий материал количественно определяли методом гравиметрии и рассчитывали процентное содержание золы (Official Methods of Analysis of AOAC INTERNATIONAL, 2000). Углеводы: Общее содержание углеводов рассчитывали с использованием результатов сразу после взвешивания и следующего уравнения: % углеводов = 100% -(% белка + % жира + % влаги + % золы). United States Departament of Agriculture (1973). Определение количества жира экстракцией в аппарате Soxhlet: Образец взвешивали в целлюлозном стакане, содержащем песок или сульфат натрия, предварительно высушивая его с целью удаления влаги. Через образец прокапывали пентан с целью удаления жира. Затем экстракт выпаривали, сушили и взвешивали (Official Methods of Analysis of AOAC INTERNATIONAL, 2000). Определение влаги: Образец сушили в вакуумной печи примерно при 100°С до постоянного веса. Определяли потерю массы и по этому значению определяли процент содержания влаги. Содержание белка: Азотистые соединения в образце восстанавливали в присутствии кипящей серной кислоты и каталитической смеси на основе ртути с образованием аммиака. Кислотный гидролизат подщелачивали. Аммиак отгоняли и остаток титровали стандартной кислотой. Рассчитывали процентное содержание азота и полученный результат переводили в количество белка, используя коэффициент 6,25 (Official Methods of Analysis of AOAC INTERNATIONAL, 2000). Bradstreet, (1965). Kalthoff and Sandell (1948). Результаты: Популяция соевых линий с высоким содержанием Таблицы 8А и В: Характеристики соевого потомства с высоким содержанием бета-конглицинина, собранного в США. Созданная соя также содержит более 30% белка в виде бета-конглицининов и менее 25% в виде глицининов и продуцирует менее 20 мкг/г смеси из 2,4-декадиеналя, гексаналя, гексанола в расчете на грамм соевой муки в анализе на запах согласно методике Примера 1. Анализ на липоксигеназную активность не подходит для идентификации слабоодорирующих линий. Продолжение таблицы 8А Продолжение таблицы 8В Липоксигеназные активности значительно изменяются в случае образцов сои с высоким содержанием Был проведен дополнительный эксперимент, демонстрирующий возможность селекции видов сои, содержащей более 30% Также ожидалось, что органолептические свойства видов сои с высоким содержанием
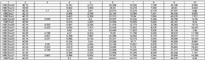
Пример 5 Сравнение запаха и цвета товарных образцов сои с образцами сои, подвергнутыми селекции, согласно изобретению Запах и цвет товарной сои определяли с целью сравнения с запахом и цветом образцов сои согласно изобретению. Некоторые образцы сои продуцировали менее 15,5 мкг/г смеси гексаналя с гексанолом, тогда как другие образцы продуцировали менее 11 мкг/г 2,4-декадиеналя при проведении анализа на запах (Таблица 11). Однако ни один из товарных образцов сои не продуцировал суммарно менее 20 мкг смеси из 2,4-декадиеналя, гексаналя и гексанола в расчете на грамм измельченных семян после окисления в мягких водных условиях. Создавали четыре липоксигеназосодержащих линии согласно изобретению, которые продуцировали менее 20 мкг/г смеси из гексаналя, гексанола и 2,4-декадиеналя в течение двух сезонов (Таблицы 4, 5). Так, например, линия А-1 во время урожаев 2001 и 2002 гг. продуцировала соответственно 18,0 и 18,2 мкг/г смеси из гексаналя, гексанола и 2,4-декадиеналя (Таблицы 4, 5). Созданные согласно изобретению более 20 линий с высоким содержанием Цвет товарных образцов сои изменяется в широком интервале. Так, значение b* меняется в интервале 27-34 (Таблица 11). Установлено, что линии сои согласно изобретению могут иметь значения b* порядка 22 (Таблица 4, Таблица 9). Таблица 11 А и В: Цвет- и запахпродуцирующие свойства собранной товарной сои.
Пример 6 Демонстрация возможности комбинирования признаков, состоящих в продуцировании слабого запаха и низком содержании линоленовой кислоты. В приведенном примере показана возможность комбинирования признаков, состоящих в продуцировании слабого запаха и низком содержании линоленовой кислоты, и дополнительно проанализировано влияние лущения сои на продукцию запаха. Процентное количество соевых жирных кислот, представляющих собой линоленовую кислоту, обычно составляет около 8%. Используя традиционную селекцию, можно создать виды сои, содержащие менее 6% линоленовых кислот и обладающие низким одорирующим свойством (Таблица 12). Образование 1-октен-3-ола не зависит от образования других летучих соединений, количество которых может быть измерено с помощью анализа на запах. Одна из гипотез состоит в том, что грибковые ферменты на поверхности сои являются источником быстрого формирования 1-октен-3-ола в рассматриваемом анализе. Можно предположить, что шелушение семян перед измельчением в муку может уменьшить количество грибковых ферментов в анализе на запах. Целые образцы сои обычно измельчают для получения муки, которая используется в анализе на запах. Контрольное испытание проводили с использованием шести линий сои со слабым запахом и низким содержанием линоленовой кислоты, которые подвергали тщательному лущению. Количество 1-октен-3-ола, образованного из шелушеных семян, составляло половину от соответствующего количества, полученного из целых семян, что подтверждает гипотезу о том, что такие компоненты, как грибки и грибковые ферменты в шелухе, способствуют образованию 1-октен-3-ола (Таблица 13). Липоксигеназонулевые разновидности сои часто продуцируют значительные количества 1-октен-3-ола (Таблица 3). Можно предположить, что липоксигеназы могут играть важную роль в ингибировании роста плесени, и поэтому в отсутствие липоксигеназ плесневые инфекции способствуют присутствию большего количества грибковых ферментов и образованию 1-октен-3-ола. Образцы сои со слабым запахом, содержащие липоксигеназы, идентифицированные скринингом результатов изобретения, проявляют тенденцию к меньшему содержанию 1-октен-3-ола, чем в случае образцов сои с более сильным запахом. Таблица 12 А1-А4: Цвет- и запахпродуцирующие свойства линий сои с низким содержанием линоленовой кислоты. Цветовые коды: L* (светлота), а* (зеленовато-красный) и b* (голубовато-желтый).
Пример 7 Влияние рН на формирование запаха Стандартный анализ на запах согласно изобретению включает добавление соевой муки в воду, в результате чего появляется запах при рН 6,3. Цель следующего эксперимента заключалась в выяснении следующего: способны ли разновидности сои, продуцирующие слабые уровни запаха при данных условиях, также продуцировать низкие уровни запаха при других значениях рН. Запахпродуцирующие свойства коммерческой контрольной сои сравнивали с линией (А-4), продуцирующей слабый запах. Линия А-4 продуцирует низкие количества декадиеналя и гексаналя при рН 3,0, рН 5,5, рН 7 и рН 9,2 (Таблица 14). Полученные результаты подтверждают возможность использования анализа без буфера в качестве способа селекции сои, способной продуцировать слабый запах в широком интервале значений рН. Наибольшие концентрации гексаналя и 2,4-декадиеналя продуцировались при рН 9, т.е. при таком значении рН, при котором образуется минимальное количество 1-октен-3-ола (Таблица 14).
Пример 8 Влияние состава соевого белка на седиментацию соевого молока В данном примере описывается уменьшение образования осадка в соевом молоке, полученном из сои с модифицированным составом белка согласно изобретению. Осадок, содержащий белок, оказывает отрицательное влияние на органолептическое качество соевого молока, поскольку нежелательно ощущать наличие частиц в напитке. Приготовление соевого молока Контрольную сою со слабым запахом (А-4) и сою, содержащую около 39% Образцы соевого молока подвергали термообработке, помещая на 5 минут полипропиленовые пробирки центрифуги емкостью 50 мл на силиконовую баню при 95°С, после чего образцы охлаждали в бане со льдом и затем хранили в холодильнике в течение 30 дней. Со временем в образцах соевого молока образовывался осадок. Количество полученного осадка определяли следующим образом. Осадок на дне центрифужных пробирок диспергировали, наклоняя пробирки назад и вперед. Образцы соевого молока переносили во взвешенную центрифужную пробирку и регистрировали конечную массу. Пробирки помещали в Eppendorf Centrifuge 5804R и центрифугировали в течение 2 минут при скорости вращения 8000 об/мин и температуре 25°С. Супернатант соевого молока сливали и определяли массу оставшегося осадка. Количество осадка выражали в процентах от массы соевого молока (% осадка = 100 х масса осадка/ масса соевого молока). Результаты. Количество осадка в образцах контрольного молока, по меньшей мере, вдвое превышало количество осадка в образцах соевого молока с высоким содержанием
Данные, приведенные в примерах, показывают, что могут быть созданы уникальные композиции, продуцирующие низкие уровни запаха даже в том случае, когда соя содержит липоксигеназы 1, 2 и 3. Также продемонстрирована возможность селекции видов сои, обладающих улучшенными органолептическими свойствами, в том случае, когда селекцию сои проводят с учетом содержания в сое глицининовых белков, свободного аргинина и аспарагина, желтых пигментов и полиненасыщенных жирных кислот, а также количеств одорантов, таких как 2,4-декадиеналь, гексаналь, гексанол и 1-октен-3-ол, продуцированных водными суспензиями измельченной сои. Описанный способ может использоваться для оценки способности сои к продукции 2,4-декадиеналя, гексаналя, гексанола и 1-октен-3-ола и других еще более мощных одорантов в соевых ингредиентах и пищевых продуктах. В таком способе оценки соевых запахов изменение длительности инкубации соевой муки в воде в 1-4 раза позволило установить, что 2,4-декадиеналь быстро образуется в суспензиях при комнатной температуре и что существует возможность селекции видов сои, содержащих липоксигеназы 1, 2 и 3, продуцирующих очень слабые уровни запаха. В примерах также показано, что существует возможность создания эндогенных соевых композиций, содержащих более 30% Пример 9 Дополнительный седиментационный анализ соевых композиций со слабым запахом Методику примера 8 повторяли со следующими изменениями. Использовали контрольный образец товарной сои (AG3302). Перед получением муки сою подвергали лущению и муку просеивали перед добавлением воды. Надосадочную жидкость (соевое молоко) переносили в предварительно взвешенные центрифужные пробирки. Перед термообработкой добавляли сахарозу до конечной концентрации 2,5% (мас./мас.). Образцы хранили в холодильнике в течение 21 дня. Измеряли высоту осадков соевого молока в центрифужных пробирках, после чего образцы центрифугировали в течение 5 минут со скоростью вращения 8000 об/мин. Супернатанты сливали и взвешивали, определяли их рН (все образцы имели рН 6,7) и взвешивали пробирки, содержащие осадок. Для каждого образца рассчитывали процентное содержание влажных соевых осадков (мас.% влажного соевого осадка=100 х масса влажного соевого осадка/(мас. влажного соевого осадка+мас. соевого супернатанта). Полезные эффекты НВС и образцов сои со слабым запахом в отношении уменьшения образования осадка белка проявлялись при использовании шелушенной сои (Таблица 16). НВС соевое молоко содержало в 2,2 раза меньше осадка, чем соя со слабым запахом, и в 7 раз меньше осадка, чем контрольная соя. Наблюдалось неожиданное уменьшение количества осадка в 3,1 раза при использовании сои со слабым запахом в сравнении с контролем. Возможно, что уменьшение образования осадка в случае сои со слабым запахом связано с ограничением свободнорадикального образования и окисления белка. Полученный результат отражает дополнительные благоприятные свойства оптимизированной композиции, объединяющей высокое содержание
Пример 9 Приготовление шелушеной соевой муки и выделенного ингредиента соевого белка Контрольную сою (AG3302) и образцы сои, содержащие более 30% общего белка в виде бета-конглицининов и менее 25% общего белка в виде глицининов, а также менее 2500 микрограмм/г свободного аргинина и аспарагина (DJB2104GOR, EXP319AP) подвергали шелушению с получением муки из шелушеной сои и подвергали дополнительной обработке с целью получения выделенного ингредиента соевого белка, используя указанные ниже стадии.
1. Установление влажности сои на значении 10% и выдержка при комнатной температуре. 2. Дробление сои с помощью дробилки. 3. Шелушение дробленой сои с использованием Aspirator. 4. Кондиционирование дробленых и шелушеных образцов сои при 50-60°С с использованием варочного котла. 5. Расслаивание шелушеной сои с использованием плющильного станка для хлопьев. 6. Экстракция соевых хлопьев гексаном. 7. Десольватация обезжиренной соевой муки с образованием хлопьев. 8. Измельчение хлопьев в муку. 9. Добавление воды в подъемный резервуар и нагревание при 50°С и рН 9,0 с использованием 40% NaOH. Добавление обезжиренной соевой муки и перемешивание. Соотношение между водой и соевой мукой 12/1 (мас./мас.). Экстракция в течение 45 минут. 10. Извлечение растворенного соевого белка из экстракционной суспензии с использованием очищенной от шлама дисковой центрифуги (противодавление 58-60 фунт/дюйм2). 11. Установление в осветленном растворе белка рН 4,5 в результате добавления хлористоводородной кислоты (18%) и проведение реакции в течение 30 минут при 45°С. 12. Извлечение осажденного белка с использованием очищенной от шлама дисковой центрифуги. 13. Двукратная промывка белкового коагулята с использованием подкисленной воды (рН 4,5+/-0,1, 30-35°С). Соотношение между количеством промывной воды и уплотненного влажного твердого материала 6:1 (мас./мас.). Извлечение белкового коагулята с использованием очищенной от шлама дисковой центрифуги после каждой промывки (противодавление, 58-60 фунт/дюйм2). 14. Смешивание промытого коагулята с гидроксидом натрия (30%) с установлением рН 6,8 при использовании 30% NaOH и последующая термообработка при 116°С в течение 7,5 секунд. Установление рН 6,8. 15. Нагревание раствора белка до 45-55°С и сушка распылением с использованием воздуха с температурой на входе 204-215°С и температурой на выходе 82-88°С. 16. Определение индекса растворимости азота ингредиентов изолята соевого белка. Суспендирование части образца в воде при перемешивании при 30°С в течение двух часов. Последующее разбавление водой до известного объема. Центрифугирование части экстрагированного образца и анализ аликвоты на содержание белка. Анализ отдельной части образца на общий белок тем же методом. Количество водорастворимого белка рассчитывали в процентах от содержания общего белка, которое пропорционально количеству водорастворимого азота, выраженному в процентах от общего азота. Результаты: Индекс растворимости азота порошкообразного соевого белка (Таблица 18) прямо пропорционален количеству бета-конглицинина в сое, используемой для получения ингредиентов соевого белка: NSI=1,4716 (% бета-конглицинина)+7,4502; R2=0,9975. Уменьшение содержания нерастворимого белка улучшает органолептическое качество (например, сглаженные, более освежающие вкусовые ощущения при разжевывании) пищевых продуктов, сформированных из ингредиентов соевого белка.
Аминокислотный состав выделенных ингредиентов соевого белка, полученных из сои, не менялся за исключением того, что содержание лизина в ингредиентах с высоким содержанием бета-конглицинина (НВС) оказалось на 6% выше, чем в контрольных образцах.
Пример 10 Получение культурированного соевого продукта из шелушеной соевой муки Лущеную соевую муку получали из товарной сои (AG3302), сои с высоким содержанием бета-конглицинина (DJB2104GOR) и линии сои, продуцирующей слабый запах (03JBK8-25), урожаи которых были собраны в 2004 г. в США. Методы, используемые для получения и тестирования культивированного соевого продукта, включают следующие стадии: 1. Дробление сои с помощью дробилки. 2. Шелушение дробленой сои с использованием Aspirator. 3. Размалывание мякоти соевых бобов (шелушеная соя) за 1 проход через молотковую мельницу и 5 проходов через контактную мельницу. 4. Упаковку лущеной соевой муки в полиэтиленовые пакеты внутри картонного барабана. 5. Определение содержания белка в муке. 6. Добавление лущеной соевой муки (3°С) в воду (3°С) до содержания белка 3,5% (мас.) и перемешивание системы с использованием ручного гомогенизатора в течение 1-2 минут. 7. Нагревание суспензии соевой муки в тарельчатом теплообменнике и инжекцию пара для обработки суспензии при 141°С в течение 3,5 секунд и проведение деаэрации перед охлаждением до 4°С. 8. Фильтрацию термообработанных суспензий с целью удаления волокон с получением соевого молока. 9. Добавление в соевое молоко молочных вкусовых ингредиентов, сахара (3%) и соли (0,2%) и перемешивание смеси с помощью ручного гомогенизатора. 10. Нагревание приправленного соевого молока в тарельчатом теплообменнике и последующую инжекцию для обработки суспензии при 141°С в течение 3,5 секунд и проведение деаэрации перед охлаждением до 4°С с последующей упаковкой в стерильную тару. 11. Взвешивание образцов соевого молока, каждый из которых содержит 2,2% белка, в стерилизованных кварцевых сосудах и нагревание в микроволновой печи в течение 45-60 секунд (температура около 24°С). 12. Добавление в соевое молоко сахара (3,1%), ванильного экстракта (0,4%) и культивированного соевого йогурта (L. Bulgaricus, S. Thermophilis, L. Acidophilis, B. Bifidum, L. Casei, L. Rhamnosus) (8%) и перемешивание системы. 13. Помещение культуры, содержащей соевое молоко, в инкубатор при температуре 43°С и проведение инкубации в течение 4 часов, извлечение и охлаждение в течение ночи (4°С). 14. Измерение рН и вязкости охлажденных образцов и сенсорную оценку 3 опытными экспертами, которые не видели, как готовили образцы. Измерение вязкости с использованием вискозиметра Brookfield cо шпинделем #3 при скорости вращения 20 об/мин. Результаты: Культивированный продукт, полученный из DJB2104GOR, имел приятный вкусовой профиль, имеющий мягкий фруктовый привкус. Продукт, полученный из 03JBK8-25, имел приятный вкусовой профиль, причем сам продукт напоминал сметану или соус. Можно утверждать, что комбинация высокого содержания бета-конглицинина и продукции слабого запаха также способствует созданию приятного соевого молока на основе культурной сои. Пониженная вязкость белкового материала с высоким содержанием бета-конглицинина может способствовать получению продуктов с повышенным содержанием белка при той же консистенции продукта.
Пример 11 Демонстрация комбинации слабого запаха и высокого содержания В примере описывается комбинация низкоодорирующих свойств с высоким содержанием Анализ на белок проводили следующим образом: восемь соевых семян объединяли и измельчали с использованием САТ Mega-Grinder (SOP Asci-01-0002). Измельченные образцы хранили при 4°С. В анализе ~30мг муки из каждого образца взвешивали и помещали в одну лунку 96-луночного 2 мл титрометрического планшета. Белок экстрагировали в течение 1 часа встряхиванием в 1,0 мл 1 Х Laemmli SDS буфере рН 6,8, содержащем 0,1М дитиотреитола (DTT) в качестве релюктанта. После центрифугирования часть каждого экстракта дополнительно разбавляли в SDS буфере с получением 0,2-0,5 мкг/мкл общего белка, нагревали до 90-100°С в течение 10 минут и охлаждали. 1-2 мкг общего белка из каждого образца помещали с использованием 12-канальной пипетки на 26-зонный 15% Т-градиентный Трис/HCl Criterion гель. В две зоны в каждом из гелей помещали стандарты молекулярной массы и использовали родительский контроль. Гели подвергали электрофорезу до тех пор, пока отслеживающий краситель достигал дна геля за ~1,2 часа, после чего в течение ночи образец окрашивали в коллоидном Coomassie Blue G-250, обесцвечивали в DI воде и проявляли с использованием калиброванного денситометра GS800. Количественное определение проводили с использованием программного обеспечения Bio-Rad Quntity OneTM. Программное обеспечение использовали для определения относительного количества каждой полосы в зоне образца. Процентное количество полос субъединиц глицинина и Соевые композиции, продуцирующие слабый запах с высоким содержанием
Gly = кислотные глицинины; ND = не определяли Информация о депонировании Бобы сои 0119149, депонированные Monsanto Technology LLC, указанные выше и перечисленные в формуле изобретения, были получены в соответствии с Будапештским договором с помощью American Type Culture Collection (ATCC), 10801 University Boulevard, Manassas, Va. 10110. Депонированная линия 0119149 также обозначается как «А-4» и На основе приведенного выше описания все композиции и способы, раскрытые и заявленные в настоящем документе, могут быть получены и осуществлены без излишней экспериментальной работы. Хотя в описании представлены предпочтительные варианты композиций и способов согласно изобретению, специалисту в данной области понятно, что возможны различные вариации композиций и способов, а также стадий или последовательности стадий описанного способа, которые не отходят от концепции, существа и объема изобретения. В частности, понятно, что некоторые химически и физиологически родственные агенты могут использоваться вместо агентов, описанных в тексте, и при этом могут быть получены аналогичные результаты. Считается, что такие аналогичные заместители и модификации, известные специалисту в данной области, находятся в рамках концепции, сущности и области изобретения, определенного в прилагаемой формуле изобретения. Литература Ниже приведены ссылки, которые в той или иной степени служат примерами методологических и других деталей, дополняющих те, что уже приведены в описании. U.S. Patent 5777080. U.S. Patent 5981781. U.S. Patent 6171640. U.S. Patent 6171640. U.S. Patent 6171640. U.S. Patent 6355296. U.S. Patent 6444874. U.S. Patent 6653534. U.S. Patent Appln. 20030074693. U.S. Patent Pub. 2003/0146313 Al. Adams et al., J.Nutr., 134:511-516, 2004. Bazzano et al., Arch Intern. Med., 161:2573-2578, 2001. Boatright and Lei, J. Food Sci., 64:667-670, 1999. Boatright et al., JAOCS, 75:1379-1383, 1998. Boatright, JAOCS, 79:317-323, 2002. Bradstreet, In: The Kjeldahl Method for Organic Nitrogen, Academic Press: NY, 1965. Dahuja and Madaan, Sci. FoodAgric., 84:547-550, 2004. Duranti et al., J. Nutr., 134:1334-1339, 2004. Edwin N. Frankel. Page 64-65, Lipid Oxidation; The Oily Press, LTD, Dundee, Scotland, 1988 Food and Drug Administration, Food labeling: Health Claims; Soy Proteins and Coronary Diseases, Federal Register, 64(206):57699-57733, 1999. Franzen and Kinsella, Agric. Food Chem., 22:675-678, 1974. Freese, Successful Farming, 97:7, 1999. Hajika et al., Jpn J. Breed., 41:507-509, 1991. Hao et al. Agricultural Sciences in China, 1:965-971, 2002. Hermansen et al., Advances in Natural Therapy, 20:50-78, 2003. Husson et al., J. Molecular Catalysis B: Enzymatic, 5:159-163, 1998. Joshi, Chemical Innovation, 19-24, 2000. Jung et al., J. FoodSci., 68:1287-1290, 2003. Kalthoff and Sandell, In: Quantitative Inorganic Analysis, MacMillan, NY, 1948. Kirn et al., J. Agric. Food Chem., 44:3906-3908, 1996. Knize et al., Fd Chem. Toxic, 32:55-60, 1994. Knowles and Briggs, In: Introduction to Plant Breeding, Reinhold Publication Corp., NY, 1967. Kobayashi et al., J. Agric. Food Chem., 43:2448-2452, 1995. Kwok et al., J.Food Engineering, 40:15-20, 1999. Lei and Boatright, J. Food Sci., 68:1568-1572, 2003. Lin et al., J.; Agric.Food Chem., 47, 2813-2821, 1999. Lin, Agric. Food Chem., 51:4364-4369, 2003. Maheshwari et al., J. Agric. Food Chem., 45:2488-2494, 1997. Matsumura, Food Chemistry, 83:107-119, 2003. McLeod and Ames, Crit. Rev. Food Sci. Nutr., 27:219-402, 1988. Minor et al., JAOCS, 72:1431-1434, 1995. 0″Keefe et al., J.FoodSci., 56:802-806, 1991. Obata and Matsuura, Nipon Shokuhin Kagaku Kaishi, 44:768-773, 1997. Official Methods of Analysis of AOAC INTERNATIONAL, 17th Ed., Method 982.30, AOAC INTERNATIONAL: Gaithersburg, Maryland, 2000. PCT Appln. WO 01/06866. Rackis, Am. Oil Chem. Soc., 54:468, 1977. Salete et al., J.Agric. Food Chem., 51:1634-1639, 2003. Samoto et al., Biosci. Biotechnol. Biochem., 62:935-940, 1998. Sinnecker et al., J. Agric. Food Chem., 50:3961-3966, 2002. Skarra and Miller, Inform., 13:247-253, 2002. SoySource, The United Soybean Board September 16, 1999. Takahashi et al., Planta., 217:577-586, 2003. Torres-Penaranda and Reitmeirer, J.Food Sci., 66:352-356, 2001. United States Department of Agriculture, Energy Value of Food, Agriculture Handbook No. 74, 2-11,1973. Utsumi et al., In: Food Proteins and Their Applications, Damodaran and Paraf (Eds.), Marcel Dekker, Inc., NY, 1997. Wamer et al. J. Agric. Food Chem., 49:899-905, 2001. Weel et al., J.Agric. Food Chem., 50:5149-5155, 2002. Wilson, In: Lipoxygenase and Lipoxygenase Pathway Enzymes, Piazza (Ed.), 209-225, 1996. Wolfe and Cowan, In: Soybean as a Food Source, CRC Press, Inc., Boca Raton, Florida, 1975. Wurzenberger and Grosch, Biochim. Biophys. Acta, 794:25-30, 1984. Yuan, Agric.Food Chem., 50:4953-4958, 2002. Zhou and Boatright, Food Sci., 64:852-854, 1999. Zhou and Boatright, J.Food Sci., 65:1155-1159, 2000. Zhou et al., J. Food Sci., 67:142-145, 2002.
Формула изобретения
1. Композиция из мякоти соевых бобов, содержащая более 30% белка в виде 2. Композиция по п.1, содержащая менее 2000 мкг/г свободного аргинина и менее 400 мкг/г свободного аспарагина. 3. Композиция по п.1, содержащая менее 4 мкг/г 1-октен-3-ола после мягкого окисления в водных условиях. 4. Композиция по п.1, содержащая менее 20 мкг/г общего 2,4-декадиеналя, плюс гексаналя, плюс гексанола на грамм после окисления в мягких водных условиях. 5. Композиция по п.1, в которой концентрация линоленовой кислоты составляет 1,5-14% от общего содержания жирных кислот. 6. Композиция по п.1, в которой концентрация линолевой кислоты составляет 10-60% от общего содержания жирных кислот. 7. Композиция по п.1, характеризующаяся отсутствием липоксигеназы-2. 8. Композиция по п.1, характеризующаяся отсутствием липоксигеназ. 9. Композиция по п.1, цвет которой характеризуется значением b* менее 30 и значением L* более 80, измеренными с помощью системы CIE*-L*a*b*, в которой L* обозначает яркость, а b* обозначает оттенок по оси от голубого (-) до желтого (+). 10. Композиция по п.1, содержащая 67-69 мг лизина на грамм белка. 11. Композиция по п.1, содержащая 72-80 мг аргинина на грамм белка. 12. Композиция по п.1, содержащая 28-30 мг гистидина на грамм белка. 13. Композиция из мякоти соевых бобов, содержащая более 30% белка в виде 14. Композиция по п.13, характеризующаяся отсутствием липоксигеназы-2. 15. Композиция по п.13, в которой концентрация линоленовой кислоты составляет 1,5-14% от общего количества жирных кислот. 16. Композиция по п.13, в которой концентрация линоленовой кислоты составляет 10-60% от общего количества жирных кислот. 17. Композиция по п.13, характеризующаяся отсутствием липоксигеназ. 18. Композиция по п.13, цвет которой характеризуется значением b* менее 30 и значением L* более 80, измеренными с помощью системы CIE*-L*a*b*, в которой L* обозначает яркость, а b* обозначает оттенок по цветовой оси от голубого (-) до желтого (+). 19. Способ получения композиции из мякоти соевых бобов по п.13, включающий проведение анализа одорирующих свойств сои, который предусматривает определение количества, по меньшей мере, одного соединения, выбранного из группы, состоящей из 2,4-декадиеналя, гексанола, гексаналя и 1-октен-3-ола. 20. Способ по п.19, в котором определение содержания соединения включает инкубацию смеси из около 1.части соевой муки и около 4 частей воды в течение 1-40 мин, при этом количественно определяют содержание, по меньше мере, одного соединения, выбранного из группы, состоящей из 2,4-декадиеналя, гексанола, гексаналя и 1-октен-3-ола и их комбинаций, с использованием дейтерированных стандартов для гексаналя, гексанола и декадиеналя. 21. Способ по п.20, в котором соевую муку получают из лущенной сои.
|
|||||||||||||||||||||||||||||||||||||||||||||||||||||||||||||||||||||||||||||||||||||||||||||||||||||||||||||||||||||||||||||||||||||||||||||||||||||||||||||||||||||||||||||||||||||||||||||||||||||||||||||||||||||||||||||||||||||||||||||||||||||||||||||||||||||||||||||||||||||||||||||||||||||||||||||||||||||||||||||||||||||||||||||||||||||||||||||||||||||||||||||||||||||||||||||||||||||||||||||||||||||||||||||||||||||||||||||||||||||||||||||||||||||||||||||||||||||||||||||||||||||||||||||||||||||||||||||||||||||||||||||||||||||||||||||||||||||||||||||||||||||||||||||||||||||||||||||||||||||||||||||||||||||||||||||||||||||||||||||||||||||||||||||||||||||||||||||||||||||||||||||||||||||||||||||||||||||||||||||||||||||||||||||||||||||||||||||||||||||||||||||||||||||||||||||||||||||||||||||||||||||||||||||||||||||||||||||||||||||||||||||||||||||||||||||||||||||||||||||||||||||||||||||||||||||||||||||||||||||||||||||||||||||||||||||||||||||||||||||||||||||||||||||||||||||||||||||||||||||||

-конглицинина и менее 25% белка в виде глицинина. В одном варианте композиция также содержит менее 5000 мкг/г свободного аргинина и менее 900 мкг/г свободного аспарагина. В другом варианте композиция также содержит менее 20% общего 2,4-декадиеналя, плюс гексаналя, плюс гексанола после мягкого окисления в водных условиях. Полученные композиции обладают улучшенными органолептическими свойствами. 3 н. и 18 з.п. ф-лы, 22 табл.
60/521846 от 9 июля 2004 года, содержание которой полностью включено сюда путем ссылки.
b* значение
менее 30 и продуцирующие менее 20 мкг/г 2,4-декадиеналя, гексаналя и гексанола в расчете на грамм измельченных соевых бобов после окисления в умеренно водной среде. Такие же семена могут продуцировать менее 8 мкг 1-октен-3-ола на грамм измельченных семян после окисления в умеренно водной среде.
‘ (72 кДа), 

=2300 М-1см-1). Концентрацию субстрата, потребляемого в ходе реакции, рассчитывали, подставляя каждое значение в уравнение А=




























