Патент на изобретение №2375824
|
||||||||||||||||||||||||||
(54) СПОСОБ АДАПТИВНОГО ПОМЕХОУСТОЙЧИВОГО КОДИРОВАНИЯ
(57) Реферат:
Изобретение относится к области техники связи. Способ передачи информации с использованием адаптивного помехоустойчивого кодирования заключается в том, что на передающей стороне исходную информацию кодируют помехоустойчивым кодом, далее помехоустойчивый код передают в канал связи, на приемной стороне помехоустойчивый код декодируют с обнаружением и исправлением ошибок в зависимости от корректирующей способности выбранного кода, по результатам декодирования помехоустойчивого кода оценивают качество канала связи и выбирают переменные параметры помехоустойчивого кода, обеспечивающие заданную вероятность правильного приема помехоустойчивого кода, и далее эти параметры помехоустойчивого кода сообщают на передающую сторону, причем на приемной стороне по результатам декодирования помехоустойчивого кода рассчитывают начальную величину избыточности помехоустойчивого кода, обеспечивающую заданную вероятность правильного приема помехоустойчивого кода, оценивают вероятность правильного приема помехоустойчивого кода с выбранными параметрами, вычисляют величину отклонения полученной вероятности правильного приема помехоустойчивого кода от заданной вероятности правильного приема кода и в зависимости от величины этого отклонения корректируют величину избыточности помехоустойчивого кода, которую передают на передающую сторону, где формируют помехоустойчивый код с полученной избыточностью. Технический результат – повышение помехоустойчивости информации. 1 з.п. ф-лы.
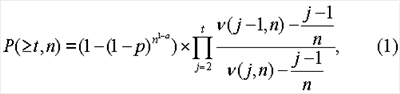
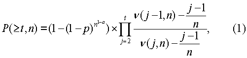
Изобретение относится к области техники связи и может быть использовано для адаптивного помехоустойчивого кодирования информации в каналах связи различного качества. Адаптивным помехоустойчивым кодированием называется кодирование информации помехоустойчивым кодом, параметры которого автоматически и целенаправленно изменяются при изменении качества канала связи. В отличие от обычного помехоустойчивого кодирования адаптивное помехоустойчивое кодирование обеспечивает необходимую вероятность доведения сообщения при минимальной избыточности кода. Адаптивное помехоустойчивое кодирование позволяет достигнуть более высокой скорости передачи информации за счет рационального использования избыточности кода при различных состояниях канала связи. Наиболее эффективно адаптивное помехоустойчивое кодирование используется в условиях интенсивного информационного обмена в нестационарных каналах связи низкого качества. В коротковолновых радиолиниях с многопараметрической адаптацией, например, изменение такого параметра радиолинии, как скорость передачи в канале связи, приводит к скачкообразному изменению качества приема сообщений. Связано это с тем, что скорость передачи может выбираться только из заранее определенного ряда скоростей: 150, 300, 600, 1200, 2400, 4800, 9600 бит/с и так далее. С другой стороны, за счет изменения избыточности кода возможно плавное изменение качества приема сообщения. Только совместное изменение скорости передачи и избыточности помехоустойчивого кода позволяет обеспечить плавное изменение пропускной способности канала связи в большом диапазоне необходимых значений. Большинство реальных каналов связи, особенно радиоканалов, многократно меняет свое физическое состояние в течение суток. Это приводит к неопределенности в описании модели ошибок канала связи. В такой ситуации только сложные многопараметрические модели канала, типа марковских моделей канала связи, достаточно точно описывают распределение ошибок. Предлагаемый способ адаптивного помехоустойчивого кодирования позволяет обеспечить необходимую вероятность доведения сообщения в условиях неопределенности в описании модели используемого канала связи. Известен способ передачи информации с использованием адаптивного помехоустойчивого кодирования, в соответствии с которым на передающей стороне осуществляют непрерывный контроль за состоянием канала связи (например, за уровнем шумов, помехами и так далее). Результаты контроля качества канала связи используются для выбора наилучших помехоустойчивых кодов, при этом используются две схемы кодирования информации: в первой из них осуществляют кодирование информации с помощью циклического помехоустойчивого кода с обнаружением ошибок, а во второй – с помощью кода с исправлением ошибок. Далее выбранный помехоустойчивый код передают в канал связи. На приемной стороне помехоустойчивый код декодируют с обнаружением или исправлением ошибок в зависимости от используемого кода (Пат. Недостатком этого способа является невысокая помехоустойчивость принимаемой информации, обусловленная тем, что решения о выборе помехоустойчивого кода и алгоритма его декодирования принимают на передающей стороне канала связи. Качество канала связи на передающей стороне может отличаться от качества канала на приемной стороне (особенно в каналах связи большой протяженности), что приводит к неоптимальному приему информации, защищенной помехоустойчивым кодом. Известен также способ адаптивного помехоустойчивого кодирования, при котором по результатам контроля качества канала связи выбирают помехоустойчивый код с переменными параметрами, которым на передающей стороне кодируют исходную информацию. Далее информацию, защищенную помехоустойчивым кодом, передают в канал связи. На приемной стороне помехоустойчивый код декодируют с обнаружением и исправлением ошибок в зависимости от корректирующей способности выбранного кода (Габе И.Р., Лебедев Ю.М., Опаринский П.П., Семенович Д.И. Использование адаптивных блоковых корректирующих кодов в информационных каналах с помехами. Вопросы радиоэлектроники. Сер. ОВР, вып.14, 1990, стр.25). Недостаток известного способа заключается в снижении помехоустойчивости и скорости передачи информации, так как для оценки качества канала передают специальные служебные сигналы с заранее известной структурой, что увеличивает избыточность передаваемой информации без увеличения корректирующей способности кода. Наиболее близким к предлагаемому способу (прототип) является способ адаптивного помехоустойчивого кодирования, при котором на передающей стороне исходную информацию кодируют помехоустойчивым кодом с переменными параметрами. Далее помехоустойчивый код передают в канал связи. На приемной стороне помехоустойчивый код декодируют с обнаружением и исправлением ошибок в зависимости от корректирующей способности выбранного кода. По результатам декодирования помехоустойчивого кода оценивают качество канала связи и выбирают переменные параметры помехоустойчивого кода, обеспечивающие заданную вероятность правильного приема помехоустойчивого кода, и далее эти параметры помехоустойчивого кода сообщают на передающую сторону (Патент РФ Недостаток способа заключается в снижении помехоустойчивости принимаемой информации из-за невысокой точности оценки качества канала связи, поскольку качество канала связи оценивается всего по двум параметрам: средней вероятности ошибки на бит и коэффициенту группирования, а для более точного описания распределения ошибок в реальных каналах связи может потребоваться значительно большее число параметров. Например, марковские модели ошибок реальных каналов связи могут описываться тремя и более параметрами. Цель изобретения – повышение помехоустойчивости принимаемой информации независимо от модели канала связи за счет того, что при выборе оптимальных параметров помехоустойчивого кода помимо качества канала связи учитывают также величину отклонения вероятности правильного приема помехоустойчивого кода от заданной вероятности правильного приема кода. Для достижения цели предложен способ адаптивного помехоустойчивого кодирования, при котором на передающей стороне исходную информацию кодируют помехоустойчивым кодом с переменными параметрами. Далее помехоустойчивый код передают в канал связи. На приемной стороне помехоустойчивый код декодируют с обнаружением и исправлением ошибок в зависимости от корректирующей способности выбранного кода. По результатам декодирования помехоустойчивого кода оценивают качество канала связи и выбирают переменные параметры помехоустойчивого кода, обеспечивающие заданную вероятность правильного приема помехоустойчивого кода, и далее эти параметры помехоустойчивого кода сообщают на передающую сторону. Новым является то, что на приемной стороне по результатам декодирования помехоустойчивого кода оценивают также вероятность правильного приема помехоустойчивого кода. Затем вычисляют величину отклонения полученной вероятности правильного приема помехоустойчивого кода от заданной вероятности правильного приема кода и, в зависимости от величины этого отклонения, увеличивают или уменьшают избыточность помехоустойчивого кода. Причем вероятность правильного приема помехоустойчивого кода оценивают по результатам декодирования помехоустойчивого кода в скользящем окне приема. Предлагаемый способ адаптивного помехоустойчивого кодирования реализуется следующим образом. На передающей стороне формируют помехоустойчивый код, например каскадный помехоустойчивый код, внешним кодом которого является код Рида-Соломона, а внутренним – двоичный код Боуза-Чоудхури-Хоквинхема (БЧХ-коды). Для этого на передающей стороне исходное сообщение объемом k m-ичных (m>1) символов вначале кодируют m-ичным помехоустойчивым кодом Рида-Соломона. Код Рида-Соломона является внешним кодом или кодом первой ступени помехоустойчивого каскадного кода. В результате кодирования информации получают кодовое слово кода Рида-Соломона (n, k), информационная длина которого равна k, a блоковая – n символов. Далее информацию кодируют двоичным кодом БЧХ. Код БЧХ является внутренним кодом или кодом второй ступени помехоустойчивого каскадного кода. Код БЧХ имеет параметры: n1 – блоковая длина кода, k1 – информационная длина кода. Исходной информацией для каждого слова двоичного кода БЧХ являются символы кода Рида-Соломона, рассматриваемые как последовательность двоичных символов. В результате кодирования кодом БЧХ будет получено n двоичных слов кода БЧХ (n1, k1), которые далее с выхода передающей стороны передают в канал связи. В начале работы на передающей стороне канала связи информацию кодируют с помощью помехоустойчивого каскадного кода, параметры которого могут изменяться. Наиболее просто с точки зрения аппаратной и программной реализации могут изменяться параметры внешнего кода помехоустойчивого каскадного кода или кода Рида-Соломона: информационная k и блоковая n длины кода. Эти параметры определяют избыточность каскадного кода и, значит, его минимальное кодовое расстояние и помехоустойчивость. Далее символы каскадного кода, преобразованные в сигналы, поступают в канал связи. В канале связи под воздействием помех передаваемые сигналы искажаются. Это может привести к тому, что каскадный код будет принят с ошибками. На приемной стороне осуществляют декодирование каскадного кода. Каскадный код, поступающий на вход приемника, содержит n слов внутреннего кода каскадного кода. Декодирование каскадного кода начинают с декодирования слов внутреннего кода каскадного кода с обнаружением и исправлением ошибок. В результате декодирования слов внутреннего кода каскадного кода получают символы внешнего кода каскадного кода. Если количество принятых символов внешнего кода каскадного кода достаточно для декодирования внешнего кода, осуществляют декодирование внешнего кода каскадного кода с исправлением ошибок и стираний. По результатам декодирования кода будем оценивать качество канала связи. В ситуации неопределенности в описании канала связи сначала приближенно оценим качество канала двумя параметрами: средней вероятностью ошибки на бит в канале связи и коэффициентом группирования ошибок. При декодировании внутреннего кода каскадного кода несложно определить количество слов внутреннего кода m, принятых без ошибок. Оценка для вероятности безошибочного приема слов внутреннего кода P1(0) записывается в виде
где Р3(0) – вероятность трансформации кодового слова с нулем ошибок, N – общее число принятых слов внутреннего кода. Вероятность трансформации кодового слова с нулем ошибок оценивается формулой P3(0)= при этом коэффициент Вероятности безошибочного приема слов внутреннего кода помехоустойчивого каскадного кода P1(0) позволяют вычислить параметры, характеризующие качество канала связи. Для канала связи с группированием ошибок согласно модифицированной модели канала Пуртова вероятность t и более ошибок (t где p – средняя вероятность ошибки на бит в канале связи, а – коэффициент группирования ошибок (0 Вероятность искажения кодовой комбинации
Для канала с группированием ошибок вероятность безошибочного приема слов внутреннего кода помехоустойчивого каскадного кода P1(0) записывают в виде
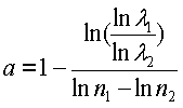
Из последней формулы при наличии статистики безошибочного приема слов для двух различных длин блоков символов n1 и n2 (например, для блоков с длиной, равной длине слова внутреннего кода n1=n, и длиной, равной двойной длине этих слов n2=2×n) можно записать два уравнения, позволяющие определить оба параметра канала связи с группированием ошибок р и а
где
Из двух последних формул параметры, характеризующие качество канала связи, запишутся в виде
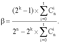
Затем определяют вероятности правильного приема, стирания и трансформации слов внутреннего кода помехоустойчивого каскадного кода. Для канала с группирующимися ошибками, в частности канала, соответствующего модифицированной модели канала Пуртова, вероятность правильного приема Рnn символов внешнего кода каскадного кода при исправлении внутренним кодом t ошибок будет равна Pnn=1-P(j где P(j Вероятность стирания Рcm символов внешнего кода каскадного кода при обнаружении внутренним кодом s (s где коэффициент трансформаций
Вероятность трансформации Рmр символов внешнего кода каскадного кода запишется в виде Pmp=1-Pnn-Pcm. Далее осуществляют выбор переменных параметров помехоустойчивого каскадного кода, обеспечивающих необходимую вероятность правильного приема помехоустойчивого каскадного кода. Известна формула, связывающая вероятность правильного приема помехоустойчивого каскадного кода с вероятностями правильного приема, стирания и трансформации символов внешнего кода помехоустойчивого каскадного кода (Мериминский И.А. Сравнительный анализ помехоустойчивости двух каскадных кодов методом моделирования на ЭВМ. Техника средств связи. Сер. ТРС, 1986, вып.6, стр.13). Вероятность правильного приема Р1 помехоустойчивого каскадного кода записывается в виде
где число ошибок t, исправляемых внешним кодом помехоустойчивого каскадного кода, выражается формулой Считая информационную длину каскадного кода k постоянной, по формуле (2) рассчитывают величину минимальной избыточности каскадного кода r=n-k, обеспечивающую вероятность правильного приема P1 помехоустойчивого каскадного кода не менее заданной величины. К сожалению, распределение ошибок реального канала связи, который, как правило, является нестационарным каналом может существенно отличаться от распределения ошибок используемой двухпараметрической модели Пуртова. Точное определение в режиме реального времени параметров сложной многопараметрической модели ошибок канала связи может вызвать существенные затруднения как вычислительного характера, так и связанные с недостатком информации о распределении ошибок по результатам декодирования кода. В силу этого оценки качества канала связи по двухпараметрической модели канала, а, следовательно, и полученная на их основе величина избыточности каскадного кода r могут содержать большую погрешность. Поэтому полученную величину избыточности каскадного кода r используют лишь в качестве первого приближения для вычисления более точных оценок. Уточнение полученной величины избыточности каскадного кода r проводят в зависимости от величины отклонения вероятности правильного приема каскадного кода от заданного значения. Для этого сначала оценивают вероятность правильного приема каскадного кода в скользящем окне приема. Допустим, что в скользящем окне приема длины m помехоустойчивых каскадных кодов по результатам декодирования кодов было определено, что m1 кодов принято правильно, тогда оценка вероятности правильного приема кода запишется в виде
Уточненную оценку для величины избыточности каскадного кода r будем вычислять по формуле
где Рnnз – необходимая вероятность правильного приема каскадного кода, При реализации предлагаемого способа немаловажное значение имеет рациональный выбор величины Далее по каналу обратной связи величина избыточности r1 каскадного кода сообщается на передающую сторону. На передающей стороне формируют новый каскадный код с избыточностью, равной r1. Затем этот каскадный код передают на приемную сторону. В предлагаемом изобретении за счет оценки качества канала связи по результатам декодирования кода, определения начальной величины избыточности кода и последующей коррекции избыточности помехоустойчивого кода в зависимости от величины отклонения вероятности правильного приема кода от заданной величины обеспечивается более высокая достоверность оценки избыточности кода в условиях неопределенности в описании модели ошибок используемого канала связи. Для оценки качества приема слов внутреннего кода помехоустойчивого каскадного кода и вероятности правильного приема кода используется информация, которую получают при декодировании этого кода, и при этом затрачивается незначительное число дополнительных операций и оборудования, что упрощает программную или аппаратную реализацию предлагаемого способа. Достигаемым техническим результатом способа адаптивного помехоустойчивого кодирования является увеличение помехоустойчивости принимаемой информации.
Формула изобретения
1. Способ передачи информации с использованием адаптивного помехоустойчивого кодирования, заключающийся в том, что на передающей стороне исходную информацию кодируют помехоустойчивым кодом с переменными параметрами, далее помехоустойчивый код передают в канал связи, на приемной стороне помехоустойчивый код декодируют с обнаружением и исправлением ошибок в зависимости от корректирующей способности выбранного кода, по результатам декодирования помехоустойчивого кода оценивают качество канала связи и выбирают переменные параметры помехоустойчивого кода, обеспечивающие заданную вероятность правильного приема помехоустойчивого кода, и далее эти параметры помехоустойчивого кода сообщают на передающую сторону, отличающийся тем, что на приемной стороне по результатам декодирования помехоустойчивого кода рассчитывают начальную величину избыточности помехоустойчивого кода, обеспечивающую заданную вероятность правильного приема помехоустойчивого кода, оценивают вероятность правильного приема помехоустойчивого кода с выбранными параметрами, вычисляют величину отклонения полученной вероятности правильного приема помехоустойчивого кода от заданной вероятности правильного приема кода и в зависимости от величины этого отклонения корректируют величину избыточности помехоустойчивого кода, которую передают на передающую сторону, где формируют помехоустойчивый код с полученной избыточностью. 2. Способ по п.1, отличающийся тем, что вероятность правильного приема помехоустойчивого кода оценивают по результатам декодирования помехоустойчивого кода в скользящем окне приема.
|
||||||||||||||||||||||||||

6044485 США, МПК 7 G06F 11/10, опубл. 2000).
(0)·P1(0),
и поскольку обычно n-k>>1, то величиной вероятности трансформации с допустимой погрешностью можно пренебречь.
2) в блоке длины n бит выражается формулой (Самойлов В.М. Обобщенная аналитическая модель канала с групповым распределением ошибок. Вопросы радиоэлектроники, сер. ОВР, вып.6, 1990, стр.151)

а


,
1=P1(0),




, обозначение INT(q) для некоторого числа q означает ближайшее целое, не превосходящее q.

– коэффициент пропорциональности, показывающий влияние отклонения вероятности правильного приема каскадного кода на избыточность кода.
100 при длине скользящего окна m=100 каскадных кодов.