|
(21), (22) Заявка: 2008130314/28, 22.07.2008
(24) Дата начала отсчета срока действия патента:
22.07.2008
(46) Опубликовано: 10.12.2009
(56) Список документов, цитированных в отчете о поиске:
RU 2240546 C1, 20.11.2004. RU 2240545 C1, 20.11.2004. RU 2187098 C2, 10.08.2002. JP 11258190 A, 24.09.1999. JP 56063245 A, 29.05.1981.
Адрес для переписки:
392000, г.Тамбов, Советская, 106, ТГТУ, патентный отдел
|
(72) Автор(ы):
Голощапов Андрей Александрович (RU), Жданова Ирина Александровна (RU), Шалаева Наталия Львовна (RU), Чичев Сергей Иванович (RU), Глинкин Евгений Иванович (RU)
(73) Патентообладатель(и):
Государственное образовательное учреждение Высшего профессионального образования “Тамбовский государственный технический университет” ГОУ ВПО “ТГТУ” (RU)
|
(54) СПОСОБ И УСТРОЙСТВО ОПРЕДЕЛЕНИЯ ВЛАЖНОСТИ ДРЕВЕСИНЫ ПО ИМПУЛЬСНОЙ ДИНАМИЧЕСКОЙ ХАРАКТЕРИСТИКЕ
(57) Реферат:
В способе определения влажности древесины по импульсной динамической характеристике согласно изобретению прикладывают напряжение на измерительную ячейку и определяют влажность по предельному току. Предельный ток определяют за фиксированный интервал времени прямо пропорционально измеряемому напряжению на линейном участке импульсной динамической характеристики измерительной ячейки, состоящей из последовательно включенных влажного материала и эталонной емкости, а определяют влажность по калибровочной характеристике. Устройство для определения влажности древесины согласно изобретению состоит из измерительной ячейки, включающей в себя последовательно соединенные исследуемый материал и эталонную емкость, эталонного сопротивления и индикатора напряжения. Дополнительно в устройство введен операционный усилитель с избыточным коэффициентом усиления, в отрицательную обратную связь которого включена измерительная ячейка по схеме интегратора, к прямому входу подключено опорное напряжение через эталонное сопротивление, а к выходу – индикатор напряжения. Изобретение обеспечивает повышение метрологической эффективности, а именно точности измерений, за счет устранения нелинейности. 2 н. и 1 з.п. ф-лы, 5 ил., 1 табл.
Предлагаемое изобретение относится к измерительной технике, в частности к измерению влажности капиллярно-пористых материалов.
Известен способ [см. кн. Берлинер М.А. Измерение влажности. – М.: Энергия, 1973, с.52-54], заключающийся в осуществлении контакта с образцом с помощью четырех электродов, расположенных вдоль линии, на фиксированном расстоянии друг от друга. Через внешние электроды пропускают постоянный ток, а между внутренними измеряют напряжение, по которым определяют удельное объемное сопротивление материала и влажность. Устройство данного способа содержит четырехзондовую ячейку в виде делителя напряжения.
Недостатками этих способа и устройства являются низкая точность измерений вследствие зависимости электрического сопротивления пробы материала от пропускаемого тока, электроды должны быть удалены от всех поверхностей материала, кроме исследуемой, среда должна быть полубесконечной.
Известен способ [см. патент РФ 2187098, G01N 27/04, 2002. Бюл. 22], заключающийся в измерении диффузионной проводимости по вольтамперной характеристике (ВАХ). Для этого измеряют электрические характеристики пробы материала в диапазоне 10-29% на напряжении 5-10 В. Устройство для реализации данного способа включает в себя измерительную ячейку, состоящую из последовательно соединенных исследуемого материала и эталонного сопротивления и индикатора напряжения.
Недостатками данных способа и устройства являются низкая точность из-за наличия динамической и методической погрешности.
За прототип принят способ [см. патент РФ 2240546, G01N 27/04, 2004. Бюл. 32], заключающийся в том, что регистрируют время сравнения текущей амплитуды с пороговым значением и измеряют второе напряжение в кратный момент времени от первоначального времени, по двум напряжениям и моментам времени находят диффузионный ток в образце как отношение амплитуды установившегося потенциала к постоянной времени, по которым определяют влажность. Устройство для реализации данного способа состоит из измерительной ячейки, включающей в себя последовательно соединенные исследуемый материал и эталонную емкость, эталонного сопротивления и индикатора напряжения.
Недостатками прототипов являются низкая точность, вызванная наличием нелинейности импульсной динамической характеристики.
Технической задачей способа и устройства являются повышение метрологической эффективности, а именно точности измерений, за счет устранения нелинейности.
Поставленная техническая задача достигается следующим образом.
1. В способе определения влажности древесины по импульсной динамической характеристике, заключающемся в том, что осуществляют контакт с образцом с помощью двух электродов, расположенных вдоль линии, перпендикулярной волокнам образца, на фиксированном расстоянии друг от друга, прикладывают напряжение на измерительную ячейку и определяют влажность по предельному току, в отличие от прототипа предельный ток определяют за фиксированный интервал времени прямо пропорционально измеряемому напряжению на линейном участке импульсной динамической характеристики измерительной ячейки, состоящей из последовательно включенных влажного материала и эталонной емкости, и определяют влажность по калибровочной характеристике.
2. В способе по п.1 в отличие от прототипа калибровочной характеристикой служит функция нормированной влажности с произвольной константой тока структуры сухого материала, которую определяют в процессе измерения предельных токов на двух эталонах, соответствующих нижней и верхней границам измеряемого диапазона.
3. В устройство для определения влажности древесины по импульсной динамической характеристике, состоящее из измерительной ячейки, включающей в себя последовательно соединенные исследуемый материал и эталонную емкость, эталонного сопротивления и индикатора напряжения, в отличие от прототипа дополнительно введен операционный усилитель с избыточным коэффициентом усиления, в отрицательную обратную связь которого включена измерительная ячейка по схеме интегратора, к прямому входу подключено опорное напряжение через эталонное сопротивление, а к выходу – индикатор напряжения.
Сущность предлагаемых способа и устройства поясняется на фиг.1-5.
Предлагаемый способ включает 2 этапа:
измерение предельного тока исследуемого образца;
калибровка на эталонных материалах для определения действительных значений влажности.
1. Влажность древесины определяют за счет измерения предельного тока исследуемого образца. Для этого осуществляют контакт с образцом с помощью двух электродов, расположенных вдоль линии, перпендикулярной волокнам образца, на фиксированном расстоянии друг от друга. Прикладывают напряжение на измерительную ячейку (фиг.1,б) и определяют влажность по предельному току Iп. Определяют предельный ток Iп в образце за фиксированный интервал времени 0 (фиг.1, а) прямо пропорционально измеряемому напряжению U на линейном участке импульсной динамической характеристики измерительной ячейки, состоящей из последовательно включенных влажного материала 1 и эталонной емкости 2 (фиг.2, а). Устройство для определения влажности древесины по импульсной динамической характеристике состоит из измерительной ячейки, включающей в себя последовательно соединенные исследуемый материал 1 и эталонную емкость 2, индикатора напряжения 3, операционного усилителя (ОУ) 4 с избыточным коэффициентом усиления   и эталонного сопротивления 5. Измерительная ячейка организует вместе с ОУ 4 интегратор, для этого эталонную емкость 2 размещают между выходом ОУ 4, являющимся выходом устройства, и инверсным входом ОУ 4, а исследуемый материал 1 размещают между нулевым и инверсным входами ОУ 4. Эталонное сопротивление 5 подключают между опорным напряжением U0 и прямым входом ОУ 4. Индикатор напряжения 3 служит для измерения амплитуды U на выходе устройства (фиг.2, а).
Экспериментальная зависимость U(t)=U динамического процесса (фиг.1, а) от приложенного напряжения (фиг.1, б) на измерительную ячейку изменяется по линейному закону за счет избыточного усиления ОУ 4

Из фиг.1, а следует, что предельный ток Iп=Е/Т для линейной зависимости U( ) служит ее углом наклона и является постоянной величиной (фиг.1, в) во времени.
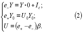
Докажем зависимость (1), для чего заменим структурную схему (фиг.2, а) схемой замещения (фиг.2, б) и составим по правилам Кирхгофа систему уравнений для неизвестных узлов с потенциалами е–, е+ и U:

Для избыточного усиления ОУ 4 потенциалы равны

Используя зависимость (3), приведем систему (2) к виду

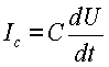
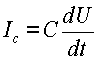
с учетом тока , где С – эталонная емкость измерительной ячейки.
Введем постоянную времени Т=С/Y измерительной ячейки

Разделим переменные интегрирования и проинтегрируем по частям уравнение

и после подстановки пределов получим исследуемую динамическую характеристику U(U0, t):

откуда и следует зависимость (1).
Избыточность усиления   обеспечивает линейность характеристики (5) и ее параметров , таким образом, зависимость (1) примет вид

а предельный ток равен отношению

При фиксированном времени 0 измерения = 0 зависимость (6) примет вид

следовательно, предельный ток Iп на линейной динамической характеристике пропорционален измеряемому напряжению U за фиксированный интервал 0 времени.
2. По аналогии с ВАХ полупроводников [П.24, формула (2.75), Кн.1. Микроэлектроника. Физические основы функционирования. – М.: Высшая школа, 1987, С.81]

влажностная характеристика древесины выглядит следующим образом:

Параметр является произвольной константой тока структуры сухого материала, а параметр W0i – функцией нормированной влажности, компенсирующей неопределенность константы.
Из формулы (8) следует зависимость влаги W от предельного тока Iп:

Неизвестную функцию W0i можно найти из сопоставления формулы (9) с эквивалентом W0i влажностной характеристики (фиг.3, 1) с информативными параметрами W0 и IS.

где Ii=Iпi предельный ток для (i)-й влажности.
Из уравнений (9) и (10) зависимость W0i (фиг.3, 3) можно выразить через информативные параметры W0 и IS эквивалентной кривой 1 (фиг.3).

Калибровка на эталонах границ диапазона служит для расчета информативных параметров W0 и IS для оптимизации экспериментальной статической (11) характеристики (фиг.3, 3) относительно эквивалентной влажностной зависимости (фиг.3, 1).
При калибровке измеряют значения предельного тока Iпi=Ii в нижней и Iпi+1=Ii+1, в верхней границах нормируемого диапазона влажности на эталонных материалах с известной влажностью Wi0 и Wi+10 (фиг.3). Алгоритм расчета информативных параметров W0 и Is находят по формуле (11) из системы двух уравнений для первого (i)-го и второго (i+1)-го измерений.
Решая систему уравнений (11), находим значения информативных параметров тока IS сухого материала

и нормированной влажности W0

где принято решение 
Полученные параметры W0 и IS однозначно определяют функцию нормированной влажности (11), поэтому их принимают за информативные параметры (фиг.3, 1a, 1б) и строят калибровочную кривую (фиг.3, 3).
Определяют влажность в (j)-м эксперименте. Для этого находят предельный ток Iпj=Ij исследуемого материала 1 по линейной зависимости (7), по калибровочной функции (11) нормированной влажности (фиг.4, 3) определяют значение W0j и по функции (9) W(W0i) в нормированном диапазоне калибровки {Wi,Wi+1} определяют действительную влажность Wj (фиг.4, 1).
Докажем эффективность калибровки.
Относительные отклонения от эксперимента 1 без калибровки (фиг.4, 3) и после калибровки 2 (фиг.4,1) вычисляются соответственно по формулам:
, .
где Wэ – действительное значение влажности, принятое за эталон,
W0j– влажность, рассчитанная без калибровки,
Wj – влажность, рассчитанная с калибровкой.
Метрологическая эффективность по влажности определяется отношением погрешностей 1 к 2 до и после калибровки:
= 1/ 2.
Числовые значения относительных отклонений 1 (фиг.5, 1) и 2(фиг.5, 2) изменяются соответственно 500÷2500% и 2.5÷6.5%, т.е. предлагаемые решения повышают точность после калибровки минимум на два порядка.
Докажем эффективность по линейности.
Для пассивного делителя напряжения без условия (3) первое уравнение системы (2) имеет вид:

Пассивному делителю соответствуют условия и T=RC=C/Y, после подстановки которых в выражение (14) получим дифференциальное уравнение первого порядка:

Решением уравнения (15) служит экспоненциальная характеристика в неявном виде:

Оценим нелинейность характеристики (16) относительно линейного эквивалента (6) предлагаемого решения, для этого помножим и поделим выражение (16) на T и и с учетом (6) запишем:

где нелинейность имеет вид

Из выражения (17) определим методическую погрешность известных решений:

которая в предлагаемых решениях отсутствует из-за единичной константы =1, а для прототипа является нелинейной функцией (18) с неявной зависимостью измеряемого напряжения U. В реальных условиях , тогда нелинейность (18) можно представить как

Зависимости (m) и (m)no формулам (20) и (19) сведены в таблицу для .
| m |
0 |
0.1 |
0.2 |
0.3 |
0.4 |
0.5 |
0.6 |
0.7 |
0.8 |
0.9 |
1 |
 |
1 |
0.952 |
0.906 |
0.86 |
0.82 |
0.79 |
0.75 |
0.72 |
0.69 |
0.66 |
0.63 |
,% |
-10n+2 |
-852 |
-353 |
-188 |
-106 |
-57 |
-25 |
-2.7 |
14 |
27 |
37 |
Из таблицы следует, что =1 при m=0, что возможно только при избыточном усилении. При m=1 нелинейность в 0.63 раза ниже нормы, а при m=0.5 в 0.79 раза ниже регламента. На практике для пассивного делителя 0.5 изменяется от влажности, а методическая погрешность изменяется от -57% до 37%, т.е. фактически на 100%, что приводит к неопределенности измерений как предельного тока, так и влажности образца при линеаризации импульсных динамических характеристик известных решений.
Таким образом, определение предельного тока по линейной характеристике за счет избыточности усиления и калибровка функции нормированной влажности с произвольной константой тока структуры сухого материала позволяют в отличие от известных решений устранить неопределенность измерений тока и влажности образца за счет исключения методической погрешности, учитывая нелинейность импульсной динамической характеристики. Это повышает точность измерения предельного тока и влажности, что в итоге повышает метрологическую эффективность определения влажности капиллярно-пористых материалов.
Формула изобретения
1. Способ определения влажности древесины по импульсной динамической характеристике, заключающийся в том, что осуществляют контакт с образцом с помощью двух электродов, расположенных вдоль линии, перпендикулярной волокнам образца, на фиксированном расстоянии друг от друга, прикладывают напряжение на измерительную ячейку и определяют влажность по предельному току, отличающийся тем, что предельный ток определяют за фиксированный интервал времени прямо пропорционально измеряемому напряжению на линейном участке импульсной динамической характеристики измерительной ячейки, состоящей из последовательно включенных влажного материала и эталонной емкости, и определяют влажность по калибровочной характеристике.
2. Способ по п.1, отличающийся тем, что калибровочной характеристикой служит функция нормированной влажности с произвольной константой тока структуры сухого материала, которую определяют в процессе измерения предельных токов на двух эталонах, соответствующих нижней и верхней границам измеряемого диапазона.
3. Устройство для определения влажности древесины по импульсной динамической характеристике, состоящее из измерительной ячейки, включающей в себя последовательно соединенные исследуемый материал и эталонную емкость, эталонного сопротивления и индикатора напряжения, отличающееся тем, что дополнительно введен операционный усилитель с избыточным коэффициентом усиления, в отрицательную обратную связь которого включена измерительная ячейка по схеме интегратора, к прямому входу подключено опорное напряжение через эталонное сопротивление, а к выходу – индикатор напряжения.
РИСУНКИ
|