|
(21), (22) Заявка: 2008126334/28, 30.06.2008
(24) Дата начала отсчета срока действия патента:
30.06.2008
(46) Опубликовано: 10.12.2009
(56) Список документов, цитированных в отчете о поиске:
RU 2177624 С2, 27.12.2001. RU 2000561 С1, 07.09.1993. RU 2214582 С1, 20.10.2003. Котик М.Г. и др. Летные испытания самолетов. – М.: Машиностроение, 1968, с.70.
Адрес для переписки:
140182, Московская обл., г. Жуковский, ФГУП Летно-исследовательский институт имени М.М. Громова, ОПЛИР
|
(72) Автор(ы):
Пушков Сергей Георгиевич (RU), Ловицкий Лаврентий Лаврентиевич (RU), Малахова Ирина Васильевна (RU), Харин Евгений Григорьевич (RU), Кожурин Владимир Романович (RU)
(73) Патентообладатель(и):
Федеральное государственное унитарное предприятие “Летно-исследовательский институт имени М.М. Громова” (RU)
|
(54) СПОСОБ ОПРЕДЕЛЕНИЯ АЭРОДИНАМИЧЕСКИХ ПОГРЕШНОСТЕЙ ПРИЕМНИКА ВОЗДУШНЫХ ДАВЛЕНИЙ В ЛЕТНЫХ ИСПЫТАНИЯХ ЛЕТАТЕЛЬНОГО АППАРАТА
(57) Реферат:
Изобретение относится к измерительной технике, а именно к измерителям высотно-скоростных параметров (ВСП) полета, и может быть использовано в летных испытаниях летательной техники в части определения и оценки погрешностей измерения ВСП. Способ включает операции измерения воздушных параметров, угловых параметров положения самолета в пространстве, траекторных параметров полета, выполнения испытательных режимов полета летательного аппарата (ЛА) в виде горизонтальных площадок с заданными значениями высоты на дозвуковой скорости в эксплуатационном диапазоне, определения изменения атмосферного давления при изменении геометрической высоты полета, определения истинного давления на высоте полета из уравнения статики атмосферы, атмосферных условий на уровне аэродрома или зондирующего режима полета и относительной высоты полета. Далее производятся определение зависимости погрешности восприятия статического давления приемника воздушных давлений (ПВД) от числа Маха (М) и угла атаки на режимах маловысотного полета; определение зависимости погрешности восприятия статического давления ПВД в полном эксплуатационном диапазоне изменения М; определение погрешности восприятия полного давления ПВД в эксплуатационном диапазоне изменения числа М по значениям полного давления, воспринимаемого ПВД, расчетным (истинным) значениям числа М и статического давления в каждом горизонтальном режиме полета на заданных высотах с противоположными курсами с различными фиксированными значениями скорости (числа М) в эксплуатационном диапазоне высот и скоростей. Для чего на малой высоте по данным измерений полного давления, истинных значений статического давления и числа М определяют зависимость погрешности восприятия полного давления от числа М (в диапазоне изменения чисел М маловысотного полета). На больших высотах определяют истинные значения статического давления и температуры в зондирующих горизонтальных режимах полета с противоположными курсами на малой скорости (числе М) по измеряемым значениям полного давления, температуры торможения и траекторным параметрам с исключением погрешности восприятия полного давления по зависимости, полученной на малой высоте. Для определения погрешности восприятия полного и статического давления в полном эксплуатационном диапазоне высот и скоростей ЛА в каждом режиме определяют воздушную скорость – по траекторным измерениям, истинные значения статического давления и температуры – пересчетом от зондирующего режима. Техническим результатом является повышение точности определения аэродинамических погрешностей приемников воздушных давлений (ПВД). 2 ил.
Изобретение относится к технической физике, измерительной технике и технике воздухоплавания, а именно к измерителям высотно-скоростных параметров (ВСП) полета, и может быть использовано в летных испытаниях летательной техники в части оценки погрешностей измерения ВСП.
На практике проведения летных испытаний авиационной техники используются различные методы и подходы решения задачи определения аэродинамических погрешностей ПВД. Могут быть выделены прямые методы, т.е. сравнением с применением эталонных приемников или самолета-эталона при полете в паре, и косвенные методы – с использованием средств внешнетраекторных измерений и информации о параметрах состояния атмосферы.
В прямых методах аэродинамическая погрешность восприятия давления определяется сравнением давлений, воспринимаемых испытываемым ПВД и измеряемых эталонным средством (см. АС-21-40(0), Measurement of airspeed in light aircraft – certification requirements, 2005). Основной задачей при реализации методов является эталонирование самих эталонных средств.
В методах с использованием эталонных приемников (буксировочного конуса, выносной штанги перед самолетом и т.д.) технические сложности главным образом возникают в связи с необходимостью выноса приемника из зоны аэродинамического влияния самолета. Реализация методов сопряжена с проработкой вопросов установки эталонных средств на самолете, оснащением ЛА специальными технологическими приспособлениями (в особенности при использовании буксируемого конуса).
Ввиду проблематичности полного исключения аэродинамического влияния самолета путем выноса приемника применение методов требует для каждого типа самолета проведения специальных исследований по оценке уровня возмущения давления в области размещения эталонного приемника.
В настоящее время методы с использованием буксируемого конуса широко применяются в летных испытаниях ВС по оценке средств вертикального эшелонирования, а методы с применением носовой штанги – в летных испытаниях ЛА с выходом на большие углы атаки.
Из числа косвенных методов определения аэродинамических погрешностей ПВД известен скоростной способ определения аэродинамических погрешностей восприятия статического давления, заключающийся в измерении воздушной скорости на режимах горизонтального установившегося полета с выдерживанием высоты и скорости при движении с противоположными курсовыми углами, определении истинного числа М, определении аэродинамической погрешности измерения скорости и числа М. (см. М.Г.Котик и др. Летные испытания самолетов. – М.: Машиностроение, 1968, с.70).
Скоростной способ используют и для определения погрешности восприятия статического давления. Однако возможное наличие погрешности восприятия полного давления приемниками полного давления может приводить к существенным ошибкам, величина которых может быть неприемлема для оценки средств вертикального эшелонирования в сертификационных испытаниях воздушных судов.
Известен «Способ определения аэродинамических погрешностей приемников воздушных давлений в летных испытаниях самолета», патент РФ 2177624, МПК G01P 21/00, G01P 5/14, включающий выполнение горизонтальных площадок (ГП) на заданных высотах, скоростях (числах Маха) и углах атаки , измерение текущих значений восприятия статического давления Р, геометрической высоты h, температуры воздуха Т, определение изменения атмосферного давления при изменении геометрической высоты полета, определение зависимости погрешности восприятия статического давления ПВД от числа Маха и угла атаки на режимах маловысотного полета определение зависимости погрешности восприятия статического давления ПВД в полном эксплуатационном диапазоне изменения скорости (числа М) и угла атаки, где P=Р-Рист, прототип.
Данный способ позволяет определять в летных испытаниях только погрешности восприятия статического давления приемниками статического давления. При этом получение достоверного результата предполагает наличие достаточно большого объема экспериментальных данных с вариациями значений М, при выполнении режимов на различных высотах.
Решение для относительной погрешности восприятия статического давления в данном способе находят в рамках определенной структуры зависимости от угла атаки и числа М. При этом допускается отсутствие особенностей в характеристике восприятия статического давления. Принимаемые допущения могут не выполняться, например, при недостаточно жесткой конструкции установки плит статического давления, приводящей к деформации плиты и прилегающей к ней поверхности фюзеляжа при наборе высоты (из-за перепада давления внутри фюзеляжа по отношению к атмосферному).
Технический результат, на достижение которого направлено изобретение, заключается в повышении полноты и точности определения характеристик восприятия давлений ПВД как статического, так и полного в условиях летного эксперимента.
Для достижения названного технического результата в предлагаемом способе, включающем измерение воздушных параметров, угловых параметров положения самолета в пространстве, траекторных параметров полета, выполнение испытательных режимов полета ЛА в виде горизонтальных площадок с заданными значениями высоты h на дозвуковой скорости в эксплуатационном диапазоне, определение изменения атмосферного давления при изменении геометрической высоты полета, определение истинного давления Рист на высоте полета h из уравнения статики атмосферы, атмосферных условий на уровне аэродрома или зондирующего режима полета hз и относительной высоты полета hотн=h-hз, определение зависимости погрешности восприятия статического давления ПВД от числа Маха и угла атаки на режимах маловысотного полета определение зависимости погрешности восприятия статического давления ПВД в полном эксплуатационном диапазоне изменения М (М<1), , дополнительно определяют погрешности восприятия полного давления ПВД в эксплуатационном диапазоне изменения числа М (М<1) по значениям полного давления Pполн.ij, воспринимаемого ПВД, расчетным (истинным) значениям числа Мij и статического давления Рист ij в каждом i-м горизонтальном режиме полета на заданных высотах h, с противоположными курсами с различными j-и фиксированными значениями скорости Vij (числа Мij) в эксплуатационном диапазоне высот и скоростей, для чего на малой высоте h1 по данным измерений полного давления, истинных значений статического давления и числа М определяют зависимость погрешности восприятия полного давления от числа М (в диапазоне изменения чисел М маловысотного полета). На больших высотах hi определяют истинные значения статического давления и температуры в зондирующих горизонтальных режимах полета с противоположными курсами на малой скорости (числе Мj min) по измеряемым значениям полного давления, температуры торможения и траекторным параметрам с исключением погрешности восприятия полного давления по зависимости, полученной на малой высоте, затем для определения погрешности восприятия полного и статического давления в полном эксплуатационном диапазоне высот и скоростей ЛА в каждом режиме определяют воздушную скорость по траекторным измерениям, а истинные значения статического давления и температуры – пересчетом от зондирующего режима.
Это позволяет повысить полноту и точность определения характеристик восприятия давлений ПВД как статического, так и полного в условиях летного эксперимента. Точность повышается за счет уменьшения погрешности определения истинных значений статического давления в зондирующих режимах полета и, как следствие, во всем диапазоне изменения чисел М и углов атаки. Расчет истинного давления способом, указанным в прототипе, выполняется при ряде ограничений, снимаемых в предлагаемом способе.
Предлагаемый способ поясняется чертежами,
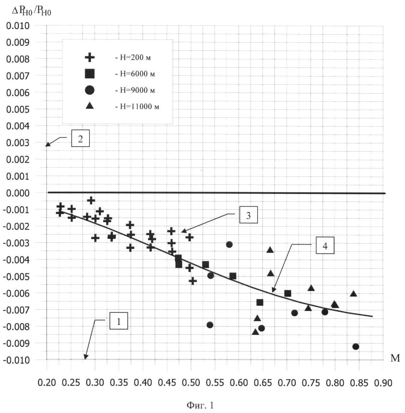
где на фиг.1 приведена относительная погрешность восприятия полного давления ПВД;
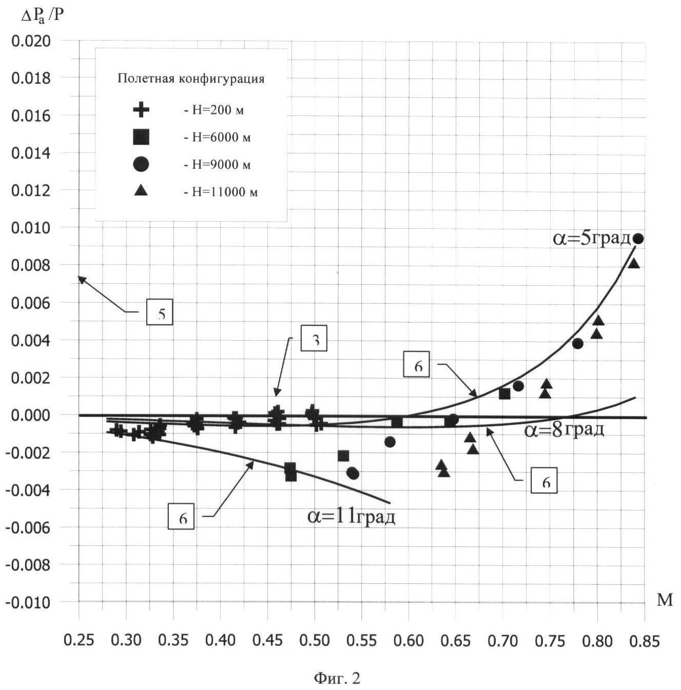
на фиг.2 – относительная погрешность восприятия статического давления ПВД.
Способ осуществляется следующим образом.
Относительная погрешность восприятия статического и полного давления определяется из соотношения

где Р – давление, воспринимаемое ПВД,
Pист – истинное значение давления.
На малой высоте истинное значение статического давления Рст_ист вычисляется по формуле

где Pa – давление на уровне аэродрома на момент выполнения горизонтальных площадок;
Тм – температура наружного воздуха у земли во время выполнения горизонтальных пролетов по данным метеослужбы;
h – разность геометрических высот горизонтальных площадок и уровня стоянки, определяемых с помощью спутниковой навигационной системы;
=0.0065 град/м
Истинное значение полного давления Рп_ист в каждом режиме на малой высоте вычисляется на основе истинных значений статического давления и числа М:

При этом истинное значение числа М определяется по значениям воздушной скорости (полученной по данным измерений составляющих путевой скорости в режимах ГП противоположными курсами) и температуры.
На основании результатов, полученных в ряде режимов на малой высоте с различными значениями числа М, определяем зависимость относительной погрешности восприятия полного давлении от числа М:

Зависимость можно считать однозначной функцией числа М, поскольку влияние угла атаки на характеристику восприятия полного давления приемником полного давления в эксплуатационном диапазоне угла атаки самолета, как правило, является пренебрежимо малой величиной.
Далее на большой высоте hi из ряда режимов ГП противоположными курсами с различными значениями числа Мij выделяем зондирующий режим (с минимальным значением числа М).
На зондирующем режиме
по измеренным значениям полного давления Рполн. определяем истинное полное давление, используя зависимость (4)
Рп_ист(Мmin)=Pполн.(Мmin)×(1-f(Mmin)),
определяем истинное статическое давление Pст_ист(Мmin) из соотношения (3).
На всех выполненных на высоте hi режимах ГП противоположными курсами с различными значениями числа Мij
определяем истинные значения статического давления пересчетом от зондирующего режима на основании соотношения (2)

где h – разность геометрических высот между зондирующей (с минимальным число М) и оставшимися площадками, выполненными на заданной высоте;
Т(Мmin) – температура наружного воздуха на зондирующей площадке;
определяем истинные значения полного давления по значениям истинного статического давления и расчетным истинным значениям числа М на основании соотношения (3).
В результате определяются относительные погрешности восприятия статического и полного давления в эксплуатационном диапазоне изменения числа М и угла атаки.
На чертежах показаны абсолютные барометрические высоты полета Н, для высоты 200 м имеется в виду относительная барометрическая высота.
На фиг.1 показана функциональная зависимость относительной погрешности восприятия полного давления определенная на режимах маловысотного полета при Нотн=200 м (экспериментальные данные обозначены +), а также в полном эксплуатационном диапазоне высот и скоростей (результаты представлены по экспериментальным данным, полученным на высотах Нотн=200 м, Н=6000 м, Н=9000 м, Н=11000 м). Здесь представлены: 1 – значения числа М, 2 – значения относительной аэродинамической погрешности полного давления, 3 – экспериментальные данные, 4 – зависимость 
На фиг.2 показана функциональная зависимость относительной погрешности восприятия статического давления определенная на режимах маловысотного полета (экспериментальные данные получены на Нотн=200 м и обозначены +), а также в полном эксплуатационном диапазоне высот и скоростей (результаты представлены по экспериментальным данным, полученным на высотах Нотн=200 м, Н=6000 м, Н=9000 м, Н=11000 м). Здесь представлены: 5 – значения относительной аэродинамической погрешности статического давления, 6 – зависимость для различных значений угла атаки.
Таким образом, заявленный способ позволяет получить более полную оценку аэродинамических погрешностей ПВД и повысить достоверность определения погрешности статического давления.
Формула изобретения
Способ определения аэродинамических погрешностей приемника воздушных давлений (ПВД) в летных испытаниях летательного аппарата (ЛА), включающий измерение воздушных параметров, угловых параметров положения самолета в пространстве, траекторных параметров полета, выполнение испытательных режимов полета ЛА в виде горизонтальных площадок с заданными значениями высоты h на дозвуковой скорости в эксплуатационном диапазоне, определение изменения атмосферного давления при изменении геометрической высоты полета, определение истинного давления Рист на высоте полета из уравнения статики атмосферы, атмосферных условий на уровне аэродрома или зондирующего режима полета h3 и относительной высоты полета hотн=h-hз, определение зависимости погрешности восприятия статического давления ПВД от числа Маха и угла атаки  на режимах маловысотного полета hотн<500 м, определение зависимости погрешности восприятия статического давления ПВД в полном эксплуатационном диапазоне изменения М (М<1), , отличающийся тем, что дополнительно определяют погрешности восприятия полного давления ПВД в эксплуатационном диапазоне изменения числа М (М<1) по значениям полного давления Рпол.ij, воспринимаемого ПВД, расчетным (истинным) значениям числа Мij и статического давления Рист ij в каждом i-м горизонтальном режиме полета на заданных высотах hi с противоположными курсами с различными j-ми фиксированными значениями скорости Vij (числа Мij) в эксплуатационном диапазоне высот и скоростей, для чего на малой высоте hi по данным измерений полного давления, истинных значений статического давления и числа М определяют зависимость погрешности восприятия полного давления от числа М (в диапазоне изменения чисел М маловысотного полета), на больших высотах hi определяют истинные значения статического давления и температуры в зондирующих горизонтальных режимах полета с противоположными курсами на малой скорости (числе Mj min) по измеряемым значениям полного давления, температуры торможения и траекторным параметрам с исключением погрешности восприятия полного давления по зависимости, полученной на малой высоте, затем для определения погрешности восприятия полного и статического давления в полном эксплуатационном диапазоне высот и скоростей ЛА в каждом режиме определяют: воздушную скорость – по траекторным измерениям, истинные значения статического давления и температуры – пересчетом от зондирующего режима.
РИСУНКИ
|