Патент на изобретение №2375678

Published by on




РОССИЙСКАЯ ФЕДЕРАЦИЯ



ФЕДЕРАЛЬНАЯ СЛУЖБА
ПО ИНТЕЛЛЕКТУАЛЬНОЙ СОБСТВЕННОСТИ,
ПАТЕНТАМ И ТОВАРНЫМ ЗНАКАМ
(19) RU (11) 2375678 (13) C1
(51) МПК

G01C19/56 (2006.01)

(12) ОПИСАНИЕ ИЗОБРЕТЕНИЯ К ПАТЕНТУ

Статус: по данным на 17.09.2010 – действует

(21), (22) Заявка: 2008124874/28, 10.06.2008

(24) Дата начала отсчета срока действия патента:

10.06.2008

(46) Опубликовано: 10.12.2009

(56) Список документов, цитированных в отчете о
поиске:
КОВАЛЕВ А.С. Исследование возможности применения пакета COVENTORWARE в задаче проектирования ММГ. Материалы VI конференции молодых ученых, СПб., 2005, с.171, рис.1. ПЕШЕХОНОВ В.Г. и др. Результаты разработки микромеханического гироскопа. XII Санкт-Петербургская международная конференция по интегрированным навигационным системам 23-25 мая 2005, с.268-274, рис.2, 3. RU 2320962 C1, 27.03.2008. US 5783749 A, 21.07.1998.

Адрес для переписки:

197046, Санкт-Петербург, ул.Малая Посадская, 30, заместителю ген.директора по экономике и финансам ОАО “Концерн “ЦНИИ “Электроприбор”, А.Б.Попову

(72) Автор(ы):

Некрасов Яков Анатольевич (RU),
Багаева Светлана Владимировна (RU)

(73) Патентообладатель(и):

Открытое акционерное общество “Концерн “Центральный научно-исследовательский институт “Электроприбор” (RU)

(54) МИКРОМЕХАНИЧЕСКИЙ ГИРОСКОП RR-ТИПА

(57) Реферат:

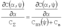
Изобретение относится к области точного приборостроения и может быть использовано в системах управления подвижной массой в микромеханических датчиках различного назначения. Микромеханический гироскоп RR-типа содержит подвижный механический элемент, гребенчатый двигатель, образованный гребенками статоров и ротора, емкостные датчики перемещения подвижного механического элемента по оси первичных колебаний, группу неподвижных электродов, образующих емкостный датчик перемещения подвижной массы вокруг оси вторичных колебаний и имеющих форму секторов или частей секторов, располагаемых на основании на слое диэлектрика. При этом угол сектора электрода выбран так, чтобы максимизировать отношение:

,

где С(,) – зависимость емкости от угла поворота подвижного электрода (полезная составляющая), С – суммарная паразитная емкость, которая является суммой СПЭ() – паразитной емкости под неподвижным электродом и Св – паразитной емкости вывода для распайки. Техническим результатом является повышение точности путем оптимизации площади электродов датчика угла. 3 ил.

Изобретение относится к области точного приборостроения, в частности к микромеханическим системам, и может быть использовано в системах управления подвижной массой в микромеханических датчиках различного назначения.

В настоящее время разработаны и широко используются микромеханические устройства, содержащие подвижный механический элемент, электростатический задатчик силы и датчик перемещения подвижного элемента. Такие микромеханические элементы используются в микромеханических акселерометрах, гироскопах, датчиках давления и т.д.

Предлагаемое устройство относится к приборам, измеряющим угловую скорость, в которых для измерения перемещений подвижной массы (ПМ) или подвижного механического элемента и формирования силовых сигналов используются электростатические датчики, в частности к микромеханическим гироскопам (ММГ).

Для формирования задатчиков силы или момента и датчиков перемещения ПМ в этих устройствах используются разные электродные структуры, позволяющие измерять перемещения ПМ и обеспечивающие формирование сил или моментов, действующих в разных направлениях. В частности в работе [Пешехонов и др. Результаты разработки микромеханического гироскопа. XII Санкт-Петербургская международная конференция по интегрированным навигационным системам 23-25 мая 2005 г., стр.268-274, рис.2,3] приведены ММГ RR-типа и его электродная структура, в которой в качестве подвижного электрода используется ПМ, а группа неподвижных электродов расположена на крышке ММГ. Подвес ПМ в этом ММГ осуществляется с помощью торсионов. Неподвижные электроды образованы симметрично расположенными идентичными частями секторов. Эта электродная структура позволяет измерять перемещения ПМ по оси вторичных колебаний ПМ и формировать моменты вокруг этой же оси. В работе [А.С.Ковалев. Исследование возможности применения пакета COVENTORWARE в задаче проектирования ММГ. Материалы VI конференции молодых ученых, Санкт-Петербург, рис.1, с.171] указывается, что в электродной структуре рассматриваемого ММГ неподвижные электроды U31, U32 (фиг.1) используются как датчики момента (ДМ), а электроды Е11, Е12 – как датчики угла (ДУ). Такой выбор был сделан исходя из того, что чем площадь ДУ больше, тем больше измеряемая емкость и тем выше чувствительность гироскопа. Такое устройство было взято за прототип.

Однако это предположение верно в случае отсутствия (или малой величины по сравнению с полезной емкостью) паразитных емкостей. В реальной конструкции ММГ такое может иметь место, например, при использовании технологии кремний на стекле. Однако при технологии кремний на изоляторе (КНИ) неподвижные электроды располагаются на слое диэлектрика (SiO2), который имеет диэлектрическую проницаемость =3,9, что приводит к тому, что паразитные емкости оказываются в несколько раз больше, чем полезные. В работе [Некрасов Я.А., Беляева Т.А., Беляев Я.В., Багаева С.В. Электрические схемы емкостных датчиков микромеханического гироскопа rr-типа. Научное Приборостроение, 2008, том 18, 1] показано (см. формулу (9)), что отношение изменения полезной емкости к паразитной пропорционально отношению сигнал-шум и, следовательно, может служить критерием точности описанного в этой статье ММГ.

Таким образом, недостатком способа-прототипа является то, что при подобном выборе ДУ не учитывается влияние паразитных емкостей. При выборе конфигурации электродов для ММГ, выполняемого по технологии КНИ, с использованием схемы измерения, приведенной в статьях [Пешехонов и др., Ковалев А.С.], это влияние необходимо учитывать.

Задачей изобретения является повышение точности ММГ. Поставленная задача решается тем, что угол сектора у электрода выбирают так, чтобы максимизировать отношение:

,

где С(,) – зависимость емкости от угла поворота подвижного электрода (полезная составляющая), C – суммарная паразитная емкость, которая является суммой СПЭ() – паразитной емкости под неподвижным электродом и Cв – паразитной емкости вывода для распайки.

На фиг.1 показано расположение электродов по оси вторичных колебаний ММГ, описанное в работе [Ковалев А.С.]. На фиг.1 приняты следующие обозначения:

1 – ДУ,

2 – ДМ.

На фиг.2 приведены графики зависимости значения критерия оптимизации от угла сектора электрода. На фиг.2 приняты следующие обозначения:

3 – зависимость значения критерия оптимизации от угла сектора электрода для случая, когда диаметр ротора ММГ составляет 3 мм,

4 – зависимость значения критерия оптимизации от угла сектора электрода для случая, когда диаметр ротора ММГ составляет 1,5 мм.

На фиг.3 приведены формы электродов с оптимальными углами секторов. На фиг.3 приняты следующие обозначения:

5 – электрод для случая, когда диаметр ротора ММГ составляет 3 мм,

6 – электрод для случая, когда диаметр ротора ММГ составляет 1,5 мм.

Изменение полезной емкости от угла поворота подвижного электрода С(,) может быть найдено по формуле (6) [Некрасов Я.А. и др.]:

,

где – угол поворота подвижного электрода, – диэлектрическая проницаемость, 0 – диэлектрическая постоянная, – половинный угол сектора неподвижного электрода, Rmax, Rmin – внешний и внутренний радиусы сектора соответственно, d – расстояние между электродами.

Паразитная емкость C может быть рассчитана по известной формуле:

,

где (Sэ()+Sв) – сумма площадей неподвижного электрода и вывода для распайки, b – толщина слоя диэлектрика между неподвижным электродом и крышкой, на которой он расположен.

Обозначив искомое соотношение изменения полезной емкости к паразитной как критерий оптимизации

,

получим для электродов устройства-прототипа:

Kr1=0.7·Kr2,

где Kr1 – критерий оптимизации для ДУ, Kr2 – критерий оптимизации для ДМ. Таким образом, можно сделать вывод, что, поскольку критерий оптимизации для ДУ на 30% меньше, чем для ДМ, эта конструкция не оптимальна, и для повышения точности рассматриваемого прототипа целесообразно поменять выбор электродов, т.е. ДМ использовать в качестве ДУ.

В ММГ RR-типа электроды имеют форму секторов [Ashwin Arunkumar Seshia. Integrated Micromechanical Resonant Sensors for Inertial Measurement Systems. – A dissertation for the degree of Doctor of Philosophy, UNIVERSITY of CALIFORNIA at BERKELEY, Fall 2002], [Пешехонов и др.] и располагаются симметрично относительно оси вторичных колебаний. Применение предлагаемого критерия оптимизации позволяет оценить оптимальность выбора конфигурации электродов по оси вторичных колебаний. Он позволяет выбрать оптимальный угол сектора для электродов определенного радиуса.

Это иллюстрируется результатами расчета, показанными на фиг.2, на котором видно, что для ММГ с роторами различных диаметров оптимальные углы секторов различны (для ротора радиусом 3 мм – угол 45°, для ротора радиусом 1,5 мм – 64°). Измерительные электроды для этих случаев имеют вид, показанный на фиг.3.

Таким образом, показано, что предложенная оптимизация площади электродов датчика угла обеспечивает повышение точности ММГ.

Формула изобретения

Микромеханический гироскоп RR-типа, содержащий подвижный механический элемент, гребенчатый двигатель, образованный гребенками статоров и ротора, емкостные датчики перемещения подвижного механического элемента по оси первичных колебаний, группу неподвижных электродов, образующих емкостной датчик перемещения подвижной массы вокруг оси вторичных колебаний и имеющих форму секторов или частей секторов, располагаемых на основании на слое диэлектрика, отличающийся тем, что угол сектора электрода выбран так, чтобы максимизировать отношение:
,
где С(,) – зависимость емкости от угла поворота подвижного электрода (полезная составляющая), С – суммарная паразитная емкость, которая является суммой СПЭ() – паразитной емкости под неподвижным электродом и Св – паразитной емкости вывода для распайки.

РИСУНКИ

Categories: BD_2375000-2375999