|
|
(21), (22) Заявка: 2008109429/02, 11.03.2008
(24) Дата начала отсчета срока действия патента:
11.03.2008
(46) Опубликовано: 10.12.2009
(56) Список документов, цитированных в отчете о поиске:
RU 2310151 С2, 10.11.2007. RU 2184921 С2, 10.07.2002. RU 2184926 С2, 10.07.2002. US 5248114 A, 28.09.1993. FR 2694626 A1, 11.02.1994. EP 0529796 A1, 03.03.1993.
Адрес для переписки:
300001, г.Тула, ул. Щегловская засека, ГУП “Конструкторское бюро приборостроения”
|
(72) Автор(ы):
Морозов Владимир Иванович (RU), Чуканов Михаил Николаевич (RU), Ухабова Ольга Николаевна (RU)
(73) Патентообладатель(и):
Государственное унитарное предприятие “Конструкторское бюро приборостроения” (RU)
|
(54) СПОСОБ НАВЕДЕНИЯ ВРАЩАЮЩЕЙСЯ РАКЕТЫ С РЕЛЕЙНЫМ ПРИВОДОМ РУЛЕВОГО ОРГАНА И СИСТЕМА ДЛЯ ЕГО ОСУЩЕСТВЛЕНИЯ
(57) Реферат:
Изобретение относится к области разработки систем наведения (СН) ракет. Технический результат – повышение точности наведения одноканальной вращающейся ракеты с релейным двухпозиционным приводом рулевого органа (ПРО). Способ включает формирование модулированного излучения на пусковом устройстве, прием излучения на ракете и выработку сигналов управления в вертикальной и горизонтальной плоскостях. Осуществляют модуляцию этих сигналов периодическими по углу ( ) крена ракеты релейными трехпозиционными сигналами С( ) и S( ), сдвинутыми относительно друг друга на угол /2. Осуществляют формирование сигнала линеаризации, синфазного с периодическими по углу крена сигналами, в зависимости от где 0 – частота сигнала линеаризации, – частота вращения ракеты по крену. Осуществляют суммирование промодулированных сигналов управления и сигнала линеаризации, формирование релейного двухпозиционного сигнала посредством определения знака этой суммы и преобразование полученного релейного сигнала управления в отклонение ПРО. При этом сигнал линеаризации формируют по условию n=2 или n=4 в зависимости от величины произведения времени запаздывания ПРО на . 2 н.п. ф-лы, 5 ил.
Изобретение относится к области разработки систем наведения (СН) ракет и может быть использовано в комплексах ПТУР и ЗУР.
Одной из задач, решаемых при разработке СН вращающихся по углу крена ракет, является повышение точности их наведения на цель.
Известен способ наведения вращающейся ракеты, реализованный в устройстве формирования релейных сигналов управления (патент RU 2184921, МПК7 F41G 7/00, F42B 15/01, 03.04.00), включающий формирование модулированного излучения на пусковом устройстве, прием излучения на ракете и выработку сигналов управления в вертикальной и горизонтальной плоскостях, модуляцию этих сигналов периодическими по углу крена ракеты сигналами, формирование сигнала линеаризации, синфазного с периодическими по углу крена сигналами, по условию n=3, причем 
где 0 – частота сигнала линеаризации, – частота вращения ракеты по крену, суммирование промодулированных сигналов управления и сигнала линеаризации, формирование релейного двухпозиционного сигнала посредством определения знака этой суммы, преобразование полученного релейного сигнала управления в отклонение рулевого органа.
СН, реализующая этот способ (патент RU 2184921, МПК7 F41G 7/00, F42B 15/01, 03.04.00), включает источник излучения (ИИ) на пусковом устройстве, оптически связанный с ним приемник излучения (ПИ) на ракете, формирователи сигналов управления в вертикальной (ФСУВ) и в горизонтальной (ФСУГ) плоскостях, входы которых соединены с выходом ПИ, а выходы соединены с первыми входами соответственно первого и второго модуляторов, суммирующий усилитель (СУ), первый и второй входы которого соединены соответственно с выходами первого и второго модуляторов, гироскопический датчик угла крена ракеты (ГДУК), первый выход которого соединен со вторым входом первого модулятора, а второй выход соединен со вторым входом второго модулятора, причем сигналы с первого и второго выходов ГДУК являются релейными трехпозиционными, сдвинутыми относительно друг друга на угол /2, формирователь сигнала линеаризации (ФСЛ), вход которого соединен со вторым выходом ГДУК, логическое устройство (ЛУ), вход которого соединен со вторым выходом ГДУК, третий модулятор, первый вход которого соединен с выходом ФСЛ, второй вход соединен с выходом ЛУ, а выход соединен с третьим входом СУ, двухпозиционный релейный элемент (РЭ), вход которого соединен с выходом СУ, а также привод рулевого органа (ПРО), вход которого соединен с выходом двухпозиционного РЭ.
Недостатком данного способа и СН является то, что реализуемое соотношение n частоты сигнала линеаризации ПРО (соответственно частоты формируемого одноканального релейного сигнала управления ПРО) и частоты вращения ракеты по крену постоянно и не зависит от изменения характеристик ракеты и ПРО в течение полетного времени. Сигнал управления ПРО в этой СН в течение всего полета ракеты формируется на утроенной частоте вращения по крену.
Наиболее близким к предлагаемому является способ наведения вращающейся ракеты с релейным ПРО (патент RU 2310151, МПК F41G 7/00 (2006.01), F42B 15/01 (2006.01), 20.12.05), включающий формирование модулированного излучения на пусковом устройстве, прием излучения на ракете и выработку сигналов управления в вертикальной и горизонтальной плоскостях, модуляцию этих сигналов периодическими по углу крена ракеты сигналами, формирование сигнала линеаризации, синфазного с периодическими по углу крена сигналами, по условию n=3 до момента включения маршевого двигателя ракеты и после его выключения, а во время работы маршевого двигателя по условию n=2, причем ,
где 0 – частота сигнала линеаризации, – частота вращения ракеты по крену, суммирование промодулированных сигналов управления и сигнала линеаризации, формирование релейного двухпозиционного сигнала посредством определения знака этой суммы, преобразование полученного релейного сигнала управления в отклонение рулевого органа.
СН, реализующая этот способ (патент RU 2310151, МПК F41G 7/00 (2006.01), F42B 15/01 (2006.01), 20.12.05), включает ИИ на пусковом устройстве, оптически связанный с ним ПИ, ФСУВ и ФСУГ, входы которых соединены с выходом ПИ, а выходы соединены с первыми входами соответственно первого и второго модуляторов, СУ, первый и второй входы которого соединены соответственно с выходами первого и второго модуляторов, ГДУК, первый выход которого соединен со вторым входом первого модулятора, а второй выход соединен со вторым входом второго модулятора, входом ФСЛ, входом первого ЛУ и первым входом второго ЛУ, источник временного сигнала (ИВС), выход которого соединен со вторым входом второго ЛУ, третий модулятор, первый вход которого соединен с выходом ФСЛ, второй вход соединен с выходом первого ЛУ, третий вход соединен с выходом второго ЛУ, а выход соединен с третьим входом СУ, двухпозиционный РЭ, вход которого соединен с выходом СУ, а также ПРО, вход которого соединен с выходом двухпозиционного РЭ, причем сигналы с первого и второго выходов ГДУК являются релейными трехпозиционными, сдвинутыми относительно друг друга на угол /2.
СН работает следующим образом. ПИ на ракете принимает модулированное излучение, формируемое ИИ на пусковом устройстве. Сигналы линейных рассогласований hy, hz между положением ракеты и осью луча с выходов ФСУВ и ФСУГ преобразуются из измерительной системы координат (СК), ориентированной относительно земли, во вращающуюся, связанную с ракетой, СК путем их модуляции релейными трехпозиционными, сдвинутыми относительно друг друга на угол /2 сигналами С( ), S( ) с выходов ГДУК.
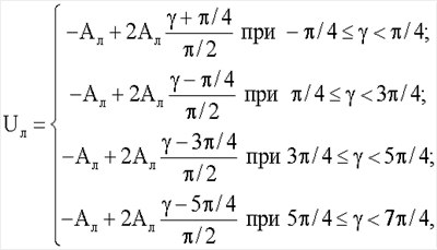
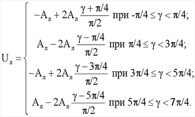
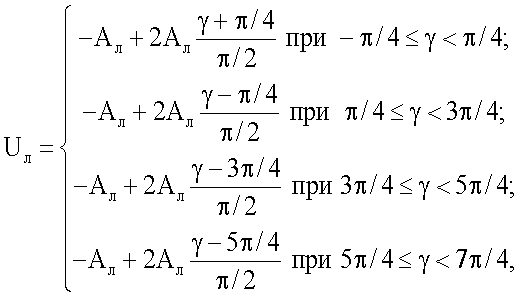
ФСЛ на основе информации с ГДУК реализует на каждом периоде вращения ракеты по углу крена пилообразный сигнал Uл вида (n=4):

где Ал – амплитуда сигнала Uл.
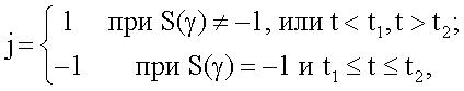
Первое ЛУ обеспечивает инверсию исходного сигнала линеаризации Uл на четверти оборота вращения ракеты по углу крена согласно зависимости:

Второе ЛУ, управляемое не только сигналом со второго выхода ГДУК, но и сигналом с выхода ИВС, формирует сигнал в соответствии с зависимостью:

где t1 – момент времени, связанный с включением маршевого двигателя (МД);
t2 – момент времени, связанный с выключением МД.
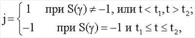
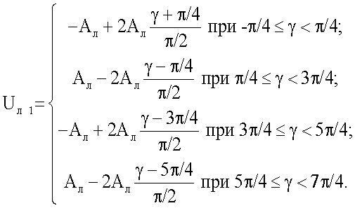
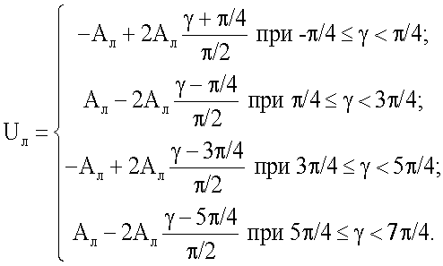
Скорректированный сигнал линеаризации Uл1=ijUл с выхода третьего модулятора имеет вид:
при t1 и t>t2 (условие n=3)

при t1 t t2 (условие n=2):

После суммирования промодулированных рассогласований со скорректированным сигналом линеаризации на СУ и определения знака суммы двухпозиционным РЭ результирующий выходной сигнал управления
V=sign(hyC( )+hzS( )+Uл1),
поступающий на одноканальный релейный ПРО ракеты, является двухпозиционным релейным, обеспечивающим управление на основе широтно-импульсной модуляции (ШИМ). В течение времени t1 и t>t2 (на участках излета) этот сигнал формируется на утроенной частоте вращения ракеты по крену, а в течение времени t1 t t2 (на участке работы МД) – на удвоенной.
ПРО осуществляет отработку этого сигнала, т.е. перекладку рулей в соответствии с изменением его знака. Вращающаяся по углу крена ракета демодулирует отклонение рулей , в результате чего в каждой из плоскостей создается управляющий момент, соответствующий исходным линейным рассогласованиям hy, hz.
Известный способ и реализующая его СН применяются для ракет с высокой начальной скоростью и последующим включением МД на среднем участке полета. Этот способ наиболее эффективен при низком быстродействии ПРО, поскольку формирование сигнала линеаризации по условию n=2 и n=3 не приводит к ухудшению точности, которое может возникать при n>3 из-за искажений релейного сигнала управления при его отработке ПРО.
Если же быстродействие ПРО позволяет отрабатывать сигнал управления без искажений при n>3, то целесообразно формировать управляющий сигнал на более высокой частоте (например, по условию n=4) для уменьшения амплитуды методических помех в колебательной составляющей углов атаки и скольжения ракеты, что объясняется следующим.
В сигнале управления ПРО помимо полезной (несущей информацию об отклонениях ракеты от оси луча) составляющей на частоте вращения ракеты по углу крена содержатся (из-за релейности сигнала) высшие гармоники частоты вращения, являющиеся методическими помехами. С точки зрения динамических свойств, планер ракеты представляется передаточной функцией колебательного звена с постоянной времени, обратно пропорциональной частоте собственных колебаний ракеты (А.А.Лебедев, В.А.Карабанов. «Динамика систем управления беспилотными летательными аппаратами». М.: «Машиностроение», 1965, с.113, зависимость 2.124, с.108, зависимость 2.93), т.е. является фильтром, подавляющим частоты, превышающие частоту собственных колебаний ракеты, в том числе частоту 0.
Эти методические помехи, не будучи полностью подавлены планером, присутствуют в углах атаки и скольжения в виде высокочастотных колебаний, амплитуда которых уменьшается при увеличении частоты сигнала управления (параметра n).
Недостатком данного способа и СН является то, что при формировании сигнала линеаризации по условиям n=2 и n=3 на отдельных участках полета ракеты возможно увеличение амплитуды колебательных составляющих ее углов атаки и скольжения, ухудшающее условия поражения целей и в некоторой степени снижающее продольную скорость ракеты вследствие возрастания лобового сопротивления.
Формирование управляющего сигнала на более высокой частоте, например, по условию n=4 (с целью уменьшения амплитуды методических помех) может также не являться оптимальным на всем участке полета, а допустимо лишь на тех участках, где ПРО отрабатывает такой сигнал без искажений. Условием правильной отработки сигнала ПРО является то, что его фазовое запаздывание , определяемое по зависимости
,
где – время запаздывания ПРО, не превосходит некое пороговое значение.
Фазовое запаздывание ПРО может быть практически постоянным на протяжении всего полета (как указано в описании ближайшего аналога) или переменным в случае, если частота вращения ракеты по крену не пропорциональна ее продольной скорости.
Задачей предлагаемого изобретения является обеспечение в течение всего полета высокой точности наведения одноканальной вращающейся ракеты с релейным двухпозиционным ПРО, фазовое запаздывание которого существенно переменно, при одновременной минимизации амплитуды колебательных составляющих ее углов атаки и скольжения.
Для решения поставленной задачи на различных участках полета необходимо формирование вида сигнала линеаризации (соответственно релейного сигнала управления) с таким соотношением n, при котором оптимально линеаризуется ПРО с точки зрения его работы с минимальными искажениями и снижается влияние методических помех на качество процессов наведения.
Поставленная задача решается за счет того, что по сравнению с известным способом наведения вращающейся ракеты с релейным ПРО, включающим формирование модулированного излучения на пусковом устройстве, прием излучения на ракете и выработку сигналов управления в вертикальной и горизонтальной плоскостях, модуляцию этих сигналов периодическими по углу крена ракеты релейными трехпозиционными сигналами С( ) и S( ), сдвинутыми относительно друг друга на угол /2, формирование сигнала линеаризации, синфазного с периодическими по углу крена сигналами, суммирование промодулированных сигналов управления и сигнала линеаризации, формирование релейного двухпозиционного сигнала посредством определения знака этой суммы и преобразование полученного релейного сигнала управления в отклонение рулевого органа, в предлагаемом способе сигнал линеаризации формируют по условию n=2, причем ,
где 0 – частота сигнала линеаризации, – частота вращения ракеты по крену, в случае, если
,
где – время запаздывания привода рулевого органа, и по условию n=4 в случае, если

при этом момент времени t0 изменения значения n с условия n=2 на условие n=4 устанавливают по зависимости

или в ближайший после времени t0 момент времени , соответствующий переключению сигнала С( ) с отрицательного уровня на нулевой уровень.
Этот момент времени определяется по зависимости

где – период вращения ракеты по углу крена,
при указанном переключении сигнала С( ).
Сущность способа заключается в том, что изменение вида сигнала линеаризации производят по времени или не только по времени, но и по углу крена, причем момент переключения устанавливают таким образом, чтобы на половине периода вращения ракеты однократно реализовывалась дополнительная команда вверх, что обеспечивается переключением при переходе сигнала С( ) с отрицательного уровня на нулевой уровень. Фактически на этой половине периода сигнал линеаризации соответствует условию n=3, описанному в ближайшем аналоге. Реализация дополнительной команды вверх является приоритетной, поскольку ракета летит в условиях близости подстилающей поверхности.
При произвольной фазе переключения может возникать сбой в команде управления случайного характера, а в случае переключения по другим фронтам сигнала С( ) дополнительная команда будет реализовываться вниз, вправо или влево (что менее предпочтительно, чем вверх).
В СН, реализующую предлагаемый способ, включающую ИИ на пусковом устройстве, оптически связанный с ним ПИ, формирователи сигналов управления в вертикальной ФСУВ и горизонтальной ФСУГ плоскостях, входы которых соединены с выходом ПИ, а выходы соединены с первыми входами соответственно первого и второго модуляторов, СУ, первый и второй входы которого соединены соответственно с выходами первого и второго модуляторов, ГДУК, первый выход которого соединен со вторым входом первого модулятора, а второй выход соединен со вторым входом второго модулятора, входом ФСЛ и первым входом ЛУ, причем сигналы с первого и второго выходов ГДУК являются релейными трехпозиционными, сдвинутыми относительно друг друга на угол /2, третий модулятор, первый вход которого соединен с выходом ФСЛ, второй вход соединен с выходом ЛУ, а выход соединен с третьим входом СУ, двухпозиционный РЭ, вход которого соединен с выходом СУ, ПРО, вход которого соединен с выходом двухпозиционного РЭ, а также ИВС, введены инвертирующий усилитель (ИУ), вход которого соединен со вторым выходом ГДУК, второй СУ, первый вход которого соединен с первым выходом ГДУК, а второй вход соединен с выходом ИУ, логический инвертор (ЛИ), вход которого соединен с выходом ИВС, RS-триггер, синхронизируемый фронтом, первый S-вход которого соединен с выходом ИВС, второй R-вход соединен с выходом ЛИ, третий С-вход синхронизации соединен с выходом второго СУ, а выход соединен со вторым входом ЛУ.
Предлагаемое изобретение поясняется графическим материалом.
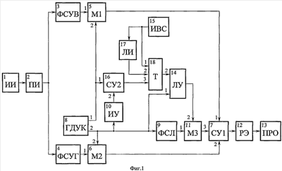
Структура предлагаемой СН приведена на фиг.1, где 1 – ИИ, 2 – ПИ, 3 – ФСУВ, 4 – ФСУГ, 5 – первый модулятор (M1), 6 – второй модулятор (М2), 7 – первый СУ (СУ1), 8 – ГДУК, 9 – ФСЛ, 10 – ИУ, 11 – третий модулятор (М3), 12 – двухпозиционный РЭ, 13 – релейный ПРО, 14 – ЛУ, 15 – ИВС, 16 – второй СУ (СУ2), 17 – ЛИ, 18 – RS-триггер (Т), синхронизируемый фронтом.
На фиг.2 представлены сигналы с выходов элементов предлагаемой СН, поясняющие ее работу.
Входной релейный сигнал управления ПРО V и его выходной сигнал в предлагаемой СН при значениях фазового запаздывания 0,15 (27°) и 0,22 (40°) представлены на фиг.3 для условия n=2 и на фиг.4 для условия n=4 (на обоих чертежах при величинах команд hy/Ал=0,3; hz/Aл=0).
На фиг.5 представлены возможные зависимости частоты вращения по крену, временного и фазового запаздывания ПРО от полетного времени t, а также реализуемого соотношения n для предлагаемого способа наведения.
Предлагаемая СН (фиг.1) работает следующим образом.
ПИ 2 на ракете принимает модулированное излучение, формируемое ИИ 1 на пусковом устройстве. Сигналы линейных рассогласований hy, hz между положением ракеты и осью луча с выходов ФСУВ 3 и ФСУГ 4 преобразуются из измерительной СК, ориентированной относительно земли, во вращающуюся, связанную с ракетой СК путем их модуляции на модуляторах 5, 6 релейными трехпозиционными, сдвинутыми относительно друг друга на угол /2 сигналами С( ), S( ) с выходов ГДУК 8.
Сигнал с выхода ИВС 15 jИВС (фиг.2) в момент времени t0, априорно установленный по зависимости (1), переключается с логического уровня «0» на логический уровень «1», а по окончании времени функционирования (оно устанавливается в аппаратуре равным максимально возможному полетному времени ракеты) устанавливается в «0».
Этот сигнал поступает на первый S-вход RS-триггера 18, а на второй R-вход RS-триггера 18 поступает этот же сигнал, логически проинвертированный на ЛИ 17 (сигнал jЛИ на фиг.2).
На третий С-вход RS-триггера 18 поступает двухуровневый сигнал синхронизации, передний фронт которого совпадает с переключением сигнала С( ) с ГДУК 8 с отрицательного уровня на нулевой уровень. Сигнал синхронизации jСУ2 получен как разность сигналов С( ) и S( ) с выходов ГДУК 8 с помощью СУ2 16 и ИУ 10. Для того чтобы уровни сигнала с выхода СУ2 16 составляли «0» и «1», на этом сумматоре производится дополнительное суммирование указанной разности с сигналом, равным «1», и нормировка его с коэффициентом 0,5.
Сигнал jT с выхода RS-триггера 18 (фиг.2) равен «0» до момента времени и «1» после этого момента:

т.е. однократное переключение триггера происходит после времени t0 в соответствии с зависимостью (2) при ближайшем переднем фронте сигнала синхронизации. По окончании работы аппаратуры выходной сигнал RS-триггера 18 возвращается в исходное положение (поскольку происходит изменение сигнала на его S-входе и R-входе), что обеспечивает возможность многократного пуска аппаратуры.
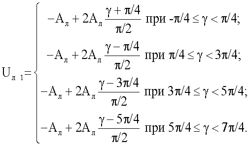
ФСЛ 9 на основе информации с ГДУК 8 реализует на каждом периоде вращения ракеты по углу крена пилообразный сигнал Uл вида (условие n=2):

Выходной сигнал jЛУ ЛУ 14 (фиг.2) формируется согласно зависимости:

Сигнал jЛУ при обеспечивает инверсию исходного сигнала линеаризации Uл на 2-х четвертях оборота вращения ракеты по углу крена, а при оставляет сигнал линеаризации без изменения.
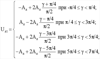
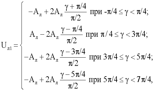
В результате скорректированный сигнал линеаризации Uл1=jЛУ Uл с выхода третьего модулятора 11 (фиг.2) имеет вид:
при (условие n=2)

при (условие n=4)

После суммирования промодулированных рассогласований со скорректированным сигналом линеаризации на первом СУ 7 и определения знака суммы двухпозиционным РЭ 12 результирующий выходной сигнал
V=sign(hyC( )+hzS( )+Uл1),
поступающий на одноканальный релейный ПРО 13 ракеты, является двухпозиционным релейным, обеспечивающим управление на основе ШИМ и в течение времени формируется на удвоенной частоте вращения ракеты по крену, а в течение времени – на учетверенной.
ПРО 13 осуществляет отработку этого сигнала, т.е. перекладку рулей в соответствии с изменением его знака. Вращающаяся по углу крена ракета демодулирует отклонение рулей , в результате чего в каждой из плоскостей создается управляющий момент, соответствующий исходным линейным рассогласованиям hy, hz и возвращающий ракету к оси луча.
Представленные на фиг.3, 4 выходные сигналы ПРО свидетельствуют, что для условия n=2 входной сигнал управления ПРО V отрабатывается без искажений как при значениях фазового запаздывания 0,15 (27°), так и 0,22 (40°). Для условия n=4 при значении фазового запаздывания 0,22 (40°) возникают амплитудные и фазовые искажения выходного сигнала ПРО, неизбежно ухудшающие точность наведения. Исходя из этого установлено пороговое значение (0,17 0,20) или 31 36°, по достижении которого производят переключение с условия n=2 на условие n=4 (или с условия n=4 на условие n=2) согласно зависимости (1).
На фиг.5 приведены типовые характеристики ракеты с начальной закруткой по углу крена: ее частота вращения по крену, временное и фазовое запаздывание ПРО от полетного времени t, а также реализуемое согласно предложенному способу соотношение n. Как видно, фазовое запаздывание ПРО постоянно лишь начиная с некоторого момента времени, а до этого момента оно существенно переменно и больше (в той степени, насколько частота вращения больше ее аэродинамической составляющей). Для ракет с такими характеристиками соотношение n изменяется со значения 2 на значение 4 приблизительно на 1,5 с полета.
В качестве RS-триггера и логического инвертора могут быть использованы схемы, представленные в книге У.Титце, К.Шенк. «Полупроводниковая схемотехника». – М.: “Мир”, 1983, с.117,107.
В качестве остальных элементов СН могут быть использованы устройства, представленные в ближайшем аналоге.
Преимуществом предлагаемого способа и реализующей его СН является повышение точности наведения ракет с релейным ПРО с переменным фазовым запаздыванием (например, в ракетах со стартовой закруткой на начальном участке полета оно больше, чем на последующем) за счет формирования команд управления, оптимальных в течение всего времени полета, а именно на удвоенной частоте вращения ракеты по крену, когда фазовое запаздывание ПРО больше заданного порогового значения, и на учетверенной частоте вращения, когда фазовое запаздывание ПРО меньше порогового значения.
Качество наведения повышается посредством:
– улучшения условия работы ПРО при его большом фазовом запаздывании за счет уменьшения количества переключений уровней релейного сигнала управления на периоде вращения, сформированного на более низкой – удвоенной – частоте вращения по крену;
– уменьшение амплитуды колебательных составляющих углов атаки и скольжения на других участках полета за счет формирования сигнала на более высокой – учетверенной – частоте вращения по крену.
Применение предлагаемого способа и СН позволяет обеспечить высокую точность наведения вращающихся по углу крена одноканальных ракет с релейными ПРО с переменным фазовым запаздыванием.
Формула изобретения
1. Способ наведения вращающейся ракеты с релейным приводом рулевого органа, включающий формирование модулированного излучения на пусковом устройстве, прием излучения на ракете и выработку сигналов управления в вертикальной и горизонтальной плоскостях, модуляцию этих сигналов периодическими по углу крена ракеты релейными трехпозиционными сигналами С( ) и S( ), сдвинутыми друг относительно друга на угол /2, формирование сигнала линеаризации, синфазного с периодическими по углу крена сигналами, суммирование промодулированных сигналов управления и сигнала линеаризации, формирование релейного двухпозиционного сигнала посредством определения знака этой суммы и преобразование полученного релейного сигнала управления в отклонение рулевого органа, отличающийся тем, что сигнал линеаризации формируют по условию n=2, причем где – частота сигнала линеаризации, – частота вращения ракеты по крену, в случае, если
 где – время запаздывания привода рулевого органа, и по условию n=4 в случае, если
 при этом моменты времени t0 изменения значения n с условия n=2 на условие n=4 устанавливают по зависимости или в ближайший момент времени после времени t0, соответствующий переключению сигнала С( ) с отрицательного уровня на нулевой уровень.
2. Система наведения вращающейся ракеты с релейным приводом рулевого органа, включающая источник излучения на пусковом устройстве, оптически связанный с ним приемник излучения, формирователи сигналов управления в вертикальной и горизонтальной плоскостях, входы которых соединены с выходом приемника излучения, а выходы соединены с первыми входами соответственно первого и второго модуляторов, суммирующий усилитель, первый и второй входы которого соединены соответственно с выходами первого и второго модуляторов, гироскопический датчик угла крена, первый выход которого соединен со вторым входом первого модулятора, а второй выход соединен со вторым входом второго модулятора, входом формирователя сигнала линеаризации и первым входом логического устройства, причем сигналы с первого и второго выходов гироскопического датчика угла крена являются релейными трехпозиционными, сдвинутыми друг относительно друга на угол /2, третий модулятор, первый вход которого соединен с выходом формирователя сигнала линеаризации, второй вход соединен с выходом логического устройства, а выход соединен с третьим входом суммирующего усилителя, двухпозиционный релейный элемент, вход которого соединен с выходом суммирующего усилителя, привод рулевого органа, вход которого соединен с выходом двухпозиционного релейного элемента, а также источник временного сигнала, отличающаяся тем, что в нее введены инвертирующий усилитель, вход которого соединен со вторым выходом гироскопического датчика угла крена, второй суммирующий усилитель, первый вход которого соединен с первым выходом гироскопического датчика угла крена, а второй вход соединен с выходом инвертирующего усилителя, логический инвертор, вход которого соединен с выходом источника временного сигнала, RS-триггер, синхронизируемый фронтом, первый S-вход которого соединен с выходом источника временного сигнала, второй R-вход соединен с выходом логического инвертора, третий С-вход синхронизации соединен с выходом второго суммирующего усилителя, а выход соединен со вторым входом логического устройства.
РИСУНКИ
|
|