|
|
(21), (22) Заявка: 2006130319/04, 14.01.2005
(24) Дата начала отсчета срока действия патента:
14.01.2005
(30) Конвенционный приоритет:
23.01.2004 EP 04100246.0
(43) Дата публикации заявки: 27.02.2008
(46) Опубликовано: 10.12.2009
(56) Список документов, цитированных в отчете о поиске:
ЕР 0719824 А2, 03.07.1996. ЕР 0514784 А1, 25.11.1992. SU 1180061 А, 23.09.1985. US 6225375 B1, 01.05.2007. ЕР 0565184 А1, 13.10.1993. SU 1174279 А, 16.04.1984.
(85) Дата перевода заявки PCT на национальную фазу:
23.08.2006
(86) Заявка PCT:
EP 2005/050140 20050114
(87) Публикация PCT:
WO 2005/071008 20050804
Адрес для переписки:
101000, Москва, М.Златоустинский пер., 10, кв.15, “ЕВРОМАРКПАТ”, пат.пов. И.А.Веселицкой, рег. 11
|
(72) Автор(ы):
БРАЙТЕНШТАЙН Беньямин (CH), ГФРЁРЕР Томас Георг (CH), ВАЛЬДНЕР Рольф (CH), ЛУТЦ Пьерр (CH)
(73) Патентообладатель(и):
ЦИБА СПЕШИАЛТИ КЕМИКЭЛЗ ХОЛДИНГ ИНК. (CH)
|
(54) СПОСОБ ПОЛУЧЕНИЯ ОБРАЗУЮЩИХ МАЛОЕ КОЛИЧЕСТВО ПЫЛИ ГРАНУЛ ИЗ ДОБАВОК К ПОЛИМЕРАМ
(57) Реферат:
Изобретение относится к способу получения образующих малое количество пыли гранул фенольных добавок к полимерам. Гранулобразующие добавки к полимерам смешивают друг с другом, смесь превращают в пригодную для обработки массу и продавливают через канал. Предварительно сформованную нитеобразную экструдированную массу охлаждают и, пока она находится в обрабатываемом состоянии, формуют в гранулы путем раскатывания предварительно сформованного пластичного материала обжимными валиками и формующими валиками, где расстояние между валиками регулируется и наименьшее расстояние определяет размер гранул, или путем штамповки узора, охлаждения и измельчения. Гранулы, которые можно получить этим способом, обладают однородной формой и отличаются превосходными техническими характеристиками при последующей обработке, например, размером частиц, регулируемым в диапазоне от 1,0 до 10,0 мм, насыпной плотностью неуплотненного материала, превышающей 400 г/л, и хорошей сыпучестью. 7 з.п. ф-лы, 3 табл.
Настоящее изобретение относится к способу получения образующих малое количество пыли гранул из добавок к полимерам.
В органические полимеры, в особенности в полиолефины, для облегчения обработки и сохранения используемых характеристик в течение возможно более продолжительного периода времени обычно необходимо прибавлять добавки. Факторы, которые в дополнение к свету и теплу, оказывают вредное воздействие на полимеры, также включают остатки катализаторов, применяющихся при получении. В предшествующем уровне техники описано большое количество классов соединений, которые можно использовать в качестве добавок и стабилизаторов. Вследствие сложности процессов (не все из которых подробно изучены), приводящих к разложению органических полимеров, часто используют смеси множества добавок.
Обычно добавки и смеси добавок находятся в порошкообразной форме, что может являться недостатком, и примеры недостатков включают образование пыли, склонность к отделению и затруднения при дозировании. Поэтому необходимы формы промышленных продуктов, которым не свойственны такие недостатки. Примеры известных методик включают методики агломерирования, например в водной фазе, необязательно с использованием диспергирующих средств, методики смешивания со связующими и уплотнения с использованием гранулирующего пресса.
Во многих случаях полученные промышленные продукты обладают недостатками. Они часто содержат воду или связующие, которые неблагоприятны для включения в полимеры. Поэтому необходимы гранулированные смеси добавок, обладающие хорошими рабочими характеристиками, которые содержат мало связующего или совсем его не содержат. Кроме того, все в большей степени необходимо, чтобы гранулированные смеси добавок удовлетворяли действующим экологическим требованиям, например, образованию малого количества пыли, удерживанию в материале при удалении связующего и т.п.
В заявке на патент US 5240642 описан способ получения гранулированных форм добавок, предназначенных для нейтрализации органических и неорганических кислот и тетракис[3-(3,5-ди-трет-бутил-4-гидроксифенил)-пропионилоксиметил]метана. Этот способ осуществляется в присутствии последнего указанного вещества в расплавленном состоянии, и этот материал равномерно распределяют в порошкообразной массе нейтрализующего кислоту реагента, массу экструдируют, экструдированные нити охлаждают и затем формируют гранулы. Однако полученные гранулы обладают тем недостатком, что они приводят к образованию значительных количеств пыли.
В заявке на Европейский патент 719824 описан способ получения образующих малое количество пыли гранул стеарата кальция, точнее включающий нагрев стеарата кальция или смеси добавок, включающей стеарат кальция и другие добавки к полимеру, экструдирование через пластину, содержащую сопла или отверстия, такие что диаметр сопел или отверстий составляет от 1,0 до 10,0 мм, и последующее формование гранул непосредственно из полученного экструдата, пока он еще находится в пластичном состоянии (так называемая “горячая резка”).
Этот способ также обладает недостатками, поскольку для экструзии необходимо придать массе продукта низкую вязкость путем подвода или отвода тепла, так чтобы масса продукта оставалась пластичной при прохождении через каналы. Это особенно критически важно в случае смесей добавок, которые обладают склонностью к затвердеванию. С другой стороны, для резки нитей продукта при формировании гранул необходима высокая вязкость, чтобы масса продукта не прилипала к режущему устройству. Поэтому необходим улучшенный способ, который позволяет формировать гранулы на последующей стадии, отдельной от экструзии.
Настоящее изобретение основано на способе, в котором для экструзии необходимо небольшое количество каналов или только один канал и гранулы формируются на последующей стадии.
Основа способа, предлагаемого в настоящем изобретении, заключается в применении экструдера, обладающего лишь небольшим количеством каналов, предпочтительно – только одним каналом (отверстием или щелью). Затем выходящую предварительно сформованную пластическую массу раскатывают до толщины, необходимой для гранул, с помощью пары валиков (каландров), направляют на охлаждающую ленту и транспортируют далее. На следующей стадии на полученной пастообразной ленте с помощью формующих валиков штампуют узор, соответствующий размерам гранул. Нижнюю сторону ленты охлаждают, чтобы пластичная масса затвердела. В конце ленты затвердевшую ленту из пасты подвергают предварительному разламыванию на крупные куски, которые затем разламывают на отдельные гранулы в ситовом грануляторе.
Настоящее изобретение относится к технически эффективному способу получения образующих малое количество пыли гранул из добавок к полимерам или смесей добавок к полимерам (смесей), в котором гранулобразующие добавки к полимерам смешивают друг с другом, смесь превращают в пригодную для обработки массу и продавливают через канал и предварительно сформованную нитеобразную экструдированную массу охлаждают и, пока она находится в обрабатываемом состоянии, формуют в гранулы путем раскатывания, штамповки узора, охлаждения и измельчения.
Гранулы, которые можно получить этим способом, обладают однородной формой и отличаются превосходными техническими характеристиками при последующей обработке, в особенности превосходными характеристиками объемного материала, например, размером частиц, регулируемым в диапазоне от 1,0 до 10,0 мм, насыпной плотностью неуплотненного материала, превышающей 400 г/л, хорошей сыпучестью, например, скоростями высыпания, находящимися в диапазоне от 2 до 40 с (в соответствии со стандартом DIN 53492 при измерении tR15 и tR25, измерении скорости высыпания с использованием воронки, обладающей выходным отверстием определенного размера, например, 15 и 25 мм), углами откоса высыпавшегося материала, равными 30-40° в соответствии со стандартом ISO 4324 (DIN ISO 4324), значительной стойкостью к истиранию и отсутствием пыли, например, очень низкими содержаниями пыли при определении с помощью теста Хойбаха, а также хорошей стабильностью при хранении. Поэтому их можно дозировать в органические полимеры, которые необходимо стабилизировать.
При получении гранул малое количество пыли является важным критерием и его определяют с помощью так называемого теста Хойбаха в экспериментальной установке при условиях, сходных с наблюдающимися на практике, исследуемое вещество поддерживают в движении, чтобы определить склонность к образованию пыли на основании выбросов пыли, вызванных истиранием. Используемый прибор изготовлен фирмой Heubach Engineering, Langelsheim (DE). При исследовании исследуемое вещество (масса образца равна 50 г) перемещают со скоростью 30 об./мин, что соответствует круговой скорости, равной примерно 19 см/с, в течение 5 мин в системе образования пыли, обладающей объемом, равным 2,5 л, в которой 3 перегородки расположены в направлении вращения под углом в 45° к стенке кожуха, и поток воздуха, обладающий скоростью, равной 0,32 л/с, осаждает тонкоизмельченные компоненты на фильтре. Предпочтительно, чтобы определенное таким образом содержание тонкоизмельченных частиц не превышало 0,1 мас.%.
В предпочтительном варианте осуществления настоящего изобретения в качестве образующих гранулы добавок к полимерам смешивают друг с другом фенольные добавки к полимерам, обладающие формулой:

в которой независимо друг от друга один из R1 и R2 обозначает водород, заместитель, выбранный из группы, включающей С1-С18алкил, фенил, (C1-С4алкил)1-3фенил, фенил-С1-С3алкил, (С1-С4алкил)1-3фенил-С1-С3алкил, С5-С12циклоалкил и (С1-С4алкил)1-3С5-С12циклоалкил или группу частичной формулы

в которой Ra обозначает водород или заместитель, выбранный из группы, включающей С1-С4алкил, галоген и сульфогруппу;
и другой обозначает заместитель, выбранный из группы, включающей С1-С18алкил, фенил, (С1-С4алкил)1-3фенил, фенил-С1-С3алкил,
(С1-С4алкил)1-3фенил-С1-С3алкил, С5-С12циклоалкил и
(С1-С4алкил)1-3С5-С12циклоалкил или группу частичной формулы (А), в которой
Ra является таким, как определено;
R3 обозначает водород или метил;
m равно 0 или 1; и
n является целым числом, равным от 1 до 4; в которой,
если n равно 1,
то m равно 0 или 1 и Y обозначает
одновалентный заместитель -O-Y1 или -N(-Y2)2, в котором
Y1 обозначает С5-С45алкил, С3-С45алкил, включающий по меньшей мере один атом кислорода, С5-С12циклоалкил, С2-С12алкенил, заместитель частичной формулы
,
в которой Rb обозначает водород, С1-С8алкил, С3-С5алкенил или бензил, заместитель частичной формулы
,
в которой Rc обозначает водород, С1-С24алкил, С5-С12циклоалкил или фенил, заместитель частичной формулы
,
в которой один из Rd и Re обозначает водород или метил и другой обозначает метил, и Rf обозначает водород или С1-С24алкил, заместитель частичной формулы

в которой R1 и R2 являются такими, как определено выше, или заместитель частичной формулы
,
в которой Rg обозначает водород или С1-С24алкил; и
Y2 обозначает гидрокси-С2-С4алкил; или,
если n равно 2,
то m равно 0 или Y обозначает двухвалентную группу частичной формулы
,
в которой x является целым числом, равным от 2 до 20,
,
в которой у является целым числом, равным от 1 до 30,
,
или
,
в которой z равно 0 или является целым числом, равным от 2 до 10; или, если n равно 3, то m равно 0 или Y обозначает трехвалентную группу частичной формулы
,
в которой Rh обозначает С1-С24алкил или фенил, или

или, если n равно 4, то m равно 0 или Y обозначает четырехвалентную группу частичной формулы

Алкильные группы, обладающие цепями разной длины, определенные в описании настоящего изобретения, включают линейные и, если это возможно, разветвленные углеводородные радикалы, предпочтительно -С1-С9алкил, например, метил, этил, изопропил, н-бутил, изобутил, трет-бутил, н-пентил, неопентил, изопентил, н-гексил, 2-этилбутил, 1-метилпентил, 1,3-диметилбутил, н-гептил, 3-гептил, 1-метилгексил, изогептил, н-октил, 2-этилгексил, 1,1,3,3-тетраметилбутил, 1-метилгептил, н-нонил или 1,1,3-триметилгексил, а также С10-С45алкил, предпочтительно – обладающий линейной цепью С10-С45алкил, например, н-децил, н-додецил, н-тетрадецил, н-гексадецил, н-октадецил, эйкозил, гемиэйкозил, докозил или триаконтил, или разветвленный С10-С22алкил, например, 1,1,3-триметилгексил, 1-метилундецил, 2-н-бутил-н-октил, изотридецил, 2-н-гексил-н-децил или 2-н-октил-н-додецил, или их высшие гомологи.
(С1-С4Алкил)1-3фенил обозначает, например, 2- или 4-толил, 2,5- или 2,6-ксилил, мезитил, 2- или 4-этилфенил, 2,4- или 2,6-диэтилфенил, 4-куменил, 2-трет-бутил-6-метилфенил или 2,6-бис-трет-бутил.
Фенил-С1-С3алкил обозначает, например, фенил, связанный с C1-С3алкилом в 1-, 2- или 3-положении, например, 2-фенилэтил, предпочтительно – бензил.
(С1-С4Алкил)1-3фенил-С1-С3алкил представляет собой один из (С1-С4алкил)1-3фенильных радикалов, определенных выше, связанный с C1-С3алкилом в 1-, 2- или 3-положении, например, 2-трет-бутил-6-метилбензил или 2,6-бис-трет-бутилфенил.
С5-С12Циклоалкил обозначает, например, циклопентил или циклогексил.
(С1-С4Алкил)1-3С5-С12циклоалкил представляет собой одну из С5-С12Циклоалкильных групп, определенных выше, замещенных 1-3 С1-С4алкилом, например, 2- или 4-метилциклогексил, 2,6-диметилциклогексил, 2,4,6-триметилциклогексил или 4-трет-бутилциклогексил.
Алкенил обозначает, например, винил, аллил, 2-бутенил, металлил, 2- или 3-гексенил или 3- или 5-деценил.
Кроме того, частичная формула (А), определенная выше, включает следующий изомер положения:

Ra в качестве галогена обозначает бром, йод или, предпочтительно, хлор.
В соединении (I) индекс m равен 0 или one. Если m равно 0, то это определяет непосредственную связь. В другом варианте осуществления настоящего изобретения индексы m и n равны 1. В этом случае Y является одновалентной группой -O-Y1. Такие соединения (I) соответствуют формуле:

Y1 в качестве С3-С45алкила, включающего по меньшей мере один гетероатом -O-, включает С3-С45алкильные группы, указанные выше, предпочтительно – 2-метоксиэтил, 2- или 3-метоксипропил, 2-, 3- или 4-метоксибутил, 2-этоксиэтил, 2- или 3-этоксипропил, 2-, 3- или 4-этоксибутил, 2-н-пропоксиэтил, 2- или 3-н-пропоксипропил, 2-, 3- или 4-н-пропоксибутил, 2-изопропоксиэтил, 2- или 3-изопропоксипропил, 2-, 3- или 4-изопропоксибутил, 2-н-бутоксиэтил, 2- или 3-н-бутоксипропил, 2-, 3- или 4-н-бутоксибутил, 2-трет-бутоксиэтил, 2- или 3-трет-бутоксипропил, 2-, 3- или 4-трет-бутоксибутил и их высшие гомологи, предпочтительно – линейный С5-С18алкил, замещенный метокси-, этокси-, н-пропокси-, изопропокси- или трет-бутоксигруппой.
Rb в группе частичной формулы (А) предпочтительно обозначает водород, аллил, металлил или бензил.
Rc в группе частичной формулы (С) предпочтительно обозначает водород или С1-С4алкил.
Y2 в качестве гидрокси-С2-С4алкила предпочтительно обозначает 2-гидроксиэтил.
Предпочтительные группы соединений (I), в которых m равно 0 и определяет непосредственную связь и n равно 1, соответствуют общим формулам:

и

В этих соединениях один из R1 и R2 обозначает метил или трет-бутил и второй из R1 и R2 обозначает трет-бутил, Y1 обозначает обладающий линейной или разветвленной цепью С10-С22алкил и Y2 обозначает 2-гидроксиэтил.
Другая предпочтительная группа соединений (I), в которой m равно 0, или определяет непосредственную связь и n равно 1, соответствует общей формуле:

в которой Ra обозначает водород или хлор и Y1 обозначает обладающий линейной или разветвленной цепью С10-С22алкил.
В другом предпочтительном варианте осуществления настоящего изобретения смешивают друг с другом в качестве образующих гранулы добавок к полимерам фенольные добавки к полимерам (I), в которых n равно 2 и m равно 0. Y обозначает двухвалентный заместитель, выбранный из числа групп
,
в которой x является целым числом, равным от 2 до 20,
,
в которой у является целым числом, равным от 1 до 30,
,
; и
,
в которой z равно 0 или является целым числом, равным от 2 до 10.
Предпочтительные соединения соответствуют формулам



,
и
в которых R1 обозначает водород или трет-бутил.
Другой предпочтительный вариант осуществления относится к получению соединений (I), в которых n равно 3, m равно 0 и Y обозначает трехвалентную группу

Такое соединение соответствует формуле

Другой предпочтительный вариант осуществления относится к получению соединений (I), в которых n равно 4 и m равно 0. Такое соединение соответствует формуле

В другом предпочтительном варианте осуществления настоящего изобретения в качестве образующих гранулы добавок к полимерам смешивают друг с другом фенольные добавки к полимерам (I), в которых один из R1 и R2 обозначает метил, трет-бутил или группу (А), в которой Ra обозначает водород или хлор и второй из R1 и R2 обозначает трет-бутил;
R3 обозначает водород;
m равно 0 или 1; и
n является целым числом, равным от 1 до 4; в которой, если
n равно 1, то m равно 0 или 1 и Y обозначает одновалентную группу -O-Y1 или
-N(-Y2)2 или
n равно 2, то m равно 0 и Y обозначает двухвалентную группу частичной формулы (D), (Е), (F), (G) или (Н); или
n равно 3, то m равно 0 и Y обозначает трехвалентную группу частичной формулы (K) или (L); или
n равно 4 и m равно 0 и Y обозначает четырехвалентную группу частичной формулы (M).
В особенно предпочтительном варианте осуществления настоящего изобретения в качестве образующих гранулы добавок к полимерам смешивают друг с другом фенольные добавки к полимерам, обладающие формулой:

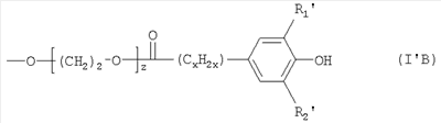
в которой независимо друг от друга один из R1 и R2 обозначает водород или С1-С4алкил и второй обозначает С3-С4алкил; x равно 0 (непосредственная связь) или является целым числом, равным от 1 до 3; и Y обозначает С8-С22алкоксигруппу или группу частичной формулы

или

в которой независимо друг от друга один из R1‘ и R2‘ обозначает водород или С1-С4алкил и второй обозначает С3-С4алкил; х равно 0 (непосредственная связь) или является целым числом, равным от 1 до 3; у является целым числом, равным от 2 до 10, и z является целым числом, равным от 2 до 6.
Указанные ниже дополнительные добавки к полимерам можно смешать с описанными выше гранулообразующими фенольными добавками к полимерам с образованием так называемых смесей:
1. Антиоксиданты
1.1. Алкилированные монофенолы, например, 2,6-ди-трет-бутил-4-метилфенол, 2-бутил-4,6-диметилфенол, 2,6-ди-трет-бутил-4-этилфенол, 2,6-ди-трет-бутил-4-н-бутилфенол, 2,6-ди-трет-бутил-4-изобутилфенол, 2,6-дициклопентил-4-метилфенол, 2-( , -метилциклогексил)-4,6-диметилфенол, 2,6-диоктадецил-4-метилфенол, 2,4,6-трициклогексилфенол, 2,6-ди-трет-бутил-4-метоксиметилфенол, нонилфенолы, боковые цепи которых являются линейными или разветвленными в боковой цепи, например, 2,6-динонил-4-метилфенол, 2,4-диметил-6-(1′-метилундец-1′-ил)фенол, 2,4-диметил-6-(1′-метилгептадец-1′-ил)фенол, 2,4-диметил-6-(1′-метилтридец-1′-ил)фенол и их смеси.
1.2. Алкилтиометилфенолы, например, 2,4-диоктилтиометил-6-трет-бутилфенол, 2,4-диоктилтиометил-6-метилфенол, 2,4-диоктилтиометил-6-этилфенол, 2,6-ди-додецилтиометил-4-нонилфенол.
1.3. Гидрохиноны и алкилированные гидрохиноны, например, 2,6-ди-трет-бутил-4-метоксифенол, 2,5-ди-трет-бутилгидрохинон, 2,5-ди-трет-амилгидрохинон, 2,6-дифенил-4-октадецилоксифенол, 2,6-ди-трет-бутилгидрохинон, 2,5-ди-трет-бутил-4-гидроксианизол, 3,5-ди-трет-бутил-4-гидроксианизол, 3,5-ди-трет-бутил-4-гидроксифенилстеарат, бис(3,5-ди-трет-бутил-4-гидроксифенил)адипат.
1.4. Токоферолы, например, -, -, – или -токоферолы и их смеси (витамин Е).
1.5. Гидроксилированные тиодифениловые простые эфиры, например, 2,2′-тиобис(6-трет-бутил-4-метилфенол), 2,2′-тиобис(4-октилфенол), 4,4′-тиобис(6-трет-бутил-3-метилфенол), 4,4′-тиобис(6-трет-бутил-2-метилфенол), 4,4′-тиобис(3,6-ди-втор-амилфенол), 4,4′-бис(2,6-диметил-4-гидроксифенил)дисульфид.
1.6. Алкилиденбисфенолы, например, 2,2′-метиленбис(6-трет-бутил-4-метилфенол), 2,2′-метиленбис(6-трет-бутил-4-этилфенол), 2,2′-метиленбис[4-метил-6-( -метилциклогексил)фенол], 2,2′-метиленбис(4-метил-6-циклогексилфенол), 2,2′-метиленбис(6-нонил-4-метилфенол), 2,2′-метиленбис(4,6-ди-трет-бутилфенол), 2,2′-этилиденбис(4,6-ди-трет-бутилфенол), 2,2′-этилиденбис(6-трет-бутил-4-изобутилфенол), 2,2′-метиленбис[6-(а-метилбензил)-4-нонилфенол], 2,2′-метиленбис[6-( , -диметилбензил)-4-нонилфенол], 4,4′-метиленбис(2,6-ди-трет-бутилфенол), 4,4′-метиленбис(6-трет-бутил-2-метилфенол), 1,1-бис(5-трет-бутил-4-гидрокси-2-метилфенил)бутан, 2,6-бис(3-трет-бутил-5-метил-2-гидроксибензил)-4-метилфенол, 1,1,3-трис(5-трет-бутил-4-гидрокси-2-метилфенил)бутан, 1,1-бис(5-трет-бутил-4-гидрокси-2-метилфенил)-3-н-додецилмеркаптобутан, этиленгликольбис[3,3-бис(3′-трет-бутил-4′-гидроксифенил)бутират], бис(3-трет-бутил-4-гидрокси-5-метилфенил)дициклопентадиен, бис[2-(3′-трет-бутил-2′-гидрокси-5′-метилбензил)-6-трет-бутил-4-метилфенил]терефталат, 1,1-бис-(3,5-диметил-2-гидроксифенил)бутан, 2,2-бис(3,5-ди-трет-бутил-4-гидроксифенил)пропан, 2,2-бис-(5-трет-бутил-4-гидрокси-2-метилфенил)-4-н-додецилмеркаптобутан, 1,1,5,5-тетра(5-трет-бутил-4-гидрокси-2-метилфенил)пентан.
1.7. O-, N- и S-бензильные соединения, например, 3,5,3′,5′-тетра-трет-бутил-4,4′-дигидроксидибензиловый эфир, октадецил-4-гидрокси-3,5-диметилбензилмеркаптоацетат, тридецил-4-гидрокси-3,5-ди-трет-бутилбензилмеркаптоацетат, трис(3,5-ди-трет-бутил-4-гидроксибензил)амин, бис(4-трет-бутил-3-гидрокси-2,6-диметилбензил)дитиотерефталат, бис(3,5-ди-трет-бутил-4-гидроксибензил)сульфид, изооктил-3,5-ди-трет-бутил-4-гидроксибензилмеркаптоацетат.
1.8. Гидроксибензилированные малонаты, например, диоктадецил-2,2-бис(3,5-ди-трет-бутил-2-гидроксибензил)малонат, диоктадецил-2-(3-трет-бутил-4-гидрокси-5-метилбензил)малонат, дидодецилмеркаптоэтил-2,2-бис(3,5-ди-трет-бутил-4-гидроксибензил)малонат, бис[4-(1,1,3,3-тетраметилбутил)фенил]-2,2-бис(3,5-ди-трет-бутил-4-гидроксибензил)малонат.
1.9. Ароматические гидроксибензильные соединения, например, 1,3,5-трис(3,5-ди-трет-бутил-4-гидроксибензил)-2,4,6-триметилбензол, 1,4-бис(3,5-ди-трет-бутил-4-гидроксибензил)-2,3,5,6-тетраметилбензол, 2,4,6-трис(3,5-ди-трет-бутил-4-гидроксибензил)фенол.
1.10. Триазиновые соединения, например, 2,4-бис(октилмеркапто)-6-(3,5-ди-трет-бутил-4-гидроксианилино)-1,3,5-триазин, 2-октилмеркапто-4,6-бис(3,5-ди-трет-бутил-4-гидроксианилино)-1,3,5-триазин, 2-октилмеркапто-4,6-бис(3,5-ди-трет-бутил-4-гидроксифенокси)-1,3,5-триазин, 2,4,6-трис(3,5-ди-трет-бутил-4-гидроксифенокси)-1,2,3-триазин, 1,3,5-трис(3,5-ди-трет-бутил-4-гидроксибензил)изоцианурат, 1,3,5-трис(4-трет-бутил-3-гидрокси-2,б-диметилбензил)изоцианурат, 2,4,6-трис(3,5-ди-трет-бутил-4-гидроксифенилэтил)-1,3,5-триазин, 1,3,5-трис(3,5-ди-трет-бутил-4-гидроксифенилпропионил)-гексагидро-1,3,5-триазин, 1,3,5-трис(3,5-дициклогексил-4-гидроксибензил)изоцианурат.
1.11. Бензилфосфонаты, например, диметил-2,5-ди-трет-бутил-4-гидроксибензилфосфонат, диэтил-3,5-ди-трет-бутил-4-гидроксибензилфосфонат, диоктадецил-3,5-ди-трет-бутил-4-гидроксибензилфосфонат, диоктадецил-5-трет-бутил-4-гидрокси-3-метилбензилфосфонат, кальциевая соль моноэтилового эфира 3,5-ди-трет-бутил-4-гидроксибензилфосфоновой кислоты.
1.12. Ациламинофенолы, например, 4-гидроксилауранилид, 4-гидроксистеаранилид, октил-N-(3,5-ди-трет-бутил-4-гидроксифенил)карбамат.
1.13. Аскорбиновая кислота (витамин С).
1.14. Аминные антиоксиданты, например, N,N’-диизопропил-п-фенилендиамин, N,N’-ди-втор-бутил-п-фенилендиамин, N,N’-бис(1,4-диметилпентил)-п-фенилендиамин, N,N’-бис(1-этил-3-метилпентил)-п-фенилендиамин, N,N’-бис(1-метилгептил)-п-фенилендиамин, N,N’-дициклогексил-п-фенилендиамин, N,N’-дифенил-п-фенилендиамин, N,N’-бис(2-нафтил)-п-фенилендиамин, N-изопропил-N’-фенил-п-фенилендиамин, N-(1,3-диметилбутил)-N’-фенил-п-фенилендиамин, N-(1-метилгептил)-N’-фенил-п-фенилендиамин, N-циклогексил-N’-фенил-п-фенилендиамин, 4-(п-толуолсульфонамидо)дифениламин, N,N’-диметил-N,N’-ди-втор-бутил-п-фенилендиамин, дифениламин, N-аллилдифениламин, 4-изопропоксидифениламин, N-фенил-1-нафтиламин, N-(4-трет-октилфенил)-1-нафтиламин, N-фенил-2-нафтиламин, октилированный дифениламин, например, п,п’-ди-трет-октилдифениламин, 4-н-бутиламинофенол, 4-бутириламинофенол, 4-нонаноиламинофенол, 4-додеканоиламинофенол, 4-октадеканоиламинофенол, ди(4-метоксифенил)амин, 2,6-ди-трет-бутил-4-диметиламинометилфенол, 2,4′-диаминодифенилметан, 4,4′-диаминодифенилметан, N,N,N’,N’-тетраметил-4,4′-диаминодифенилметан, 1,2-ди[(2-метилфенил)амино]этан, 1,2-дифениламинопропан, о-толилбигуанид, ди[4-(1′,3′-диметилбутил)фенил]амин, трет-октилированный N-фенил-1-нафтиламин, смесь моно- и диалкилированных трет-бутил/трет-октилдифениламинов, смесь моно- и диалкилированных нонилдифениламинов, смесь моно- и диалкилированных додецилдифениламинов, смесь моно- и диалкилированных изопропил/изогексилдифениламинов, смесь моно- и диалкилированных трет-бутилдифениламинов, 2,3-дигидро-3,3-диметил-4Н-1,4-бензотиазин, фенотиазин, смесь моно- и диалкилированных трет-бутил/трет-октилфенотиазинов, смесь моно- и диалкилированных трет-октилфенотиазинов, N-аллилфенотиазин, динонилфенотиазин, монононилфенотиазин, смесь моно- и диалкилированных нонилфенотиазинов, N,N,N’,N’-тетрафенил-1,4-диаминобут-2-ен, N,N-бис(2,2,6,6-тетраметилпиперид-4-ил-гексаметилендиамин, бис(2,2,6,6-тетраметилпиперид-4-ил)себацат, 2,2,6,6-тетраметилпиперидин-4-он, 2,2,6,6-тетраметилпиперидин-4-ол.
1.15. Полифенольные антиоксиданты, например, производные п-крезола и дициклопентадиена, например, ®WINGSTAY L (Goodyear), CAS-No. 68610-51-5.
2. Поглотители УФ-излучения и светостабилизаторы
2.1. 2-(2′-Гидроксифенил)бензотриазолы. например, 2-(2′-гидрокси-5′-метилфенил)-бензотриазол, 2-(3′,5′-ди-трет-бутил-2′-гидроксифенил)-бензотриазол, 2-(5′-трет-бутил-2′-гидроксифенил)-бензотриазол, 2-(2′-гидрокси-5′-(1,1,3,3-тетраметилбутил)-фенил)-бензотриазол, 2-(3′,5′-ди-трет-бутил-2′-гидроксифенил)-5-хлорбензотриазол, 2-(3′-трет-бутил-2′-гидрокси-5′-метилфенил)-5-хлорбензотриазол, 2-(3′-втор-бутил-5′-трет-бутил-2′-гидроксифенил)-бензотриазол, 2-(2′-гидрокси-4′-октилоксифенил)-бензотриазол, 2-(3′,5′-ди-трет-амил-2′-гидроксифенил)-бензотриазол, 2-(3′,5′-бис( , -диметилбензил)-2′-гидроксифенил)-бензотриазол, 2-(3′-трет-бутил-2′-гидрокси-5′-(2-октилоксикарбонилэтил)фенил)-5-хлорбензотриазол, 2-(3′-трет-бутил-5′-[2-(2-этилгексилокси)карбонилэтил]-2′-гидроксифенил)-5-хлорбензотриазол, 2-(3′-трет-бутил-2′-гидрокси-5′-(2-метоксикарбонилэтил)фенил)-5-хлорбензотриазол, 2-(3′-трет-бутил-2′-гидрокси-5′-(2-метоксикарбонилэтил)фенил)-бензотриазол, 2-(3′-трет-бутил-2′-гидрокси-5′-(2-октилоксикарбонилэтил)фенил)-бензотриазол, 2-(3′-трет-бутил-5′-[2-(2-этилгексилокси)карбонилэтил]-2′-гидроксифенил)-бензотриазол, 2-(3′-додецил-2′-гидрокси-5′-метилфенил)-бензотриазол, 2-(3′-трет-бутил-2′-гидрокси-5′-(2-изооктилоксикарбонилэтил)-фенилбензотриазол, 2,2′-метиленбис[4-(1,1,3,3-тетраметилбутил)-6-бензотриазол-2-илфенол]; продукт трансэтерификации 2-[3′-трет-бутил-5′-(2-метоксикарбонилэтил)-2′-гидроксифенил]-2Н-бензотриазола полиэтиленгликолем 300;
,
в котором R=3′-трет-бутил-4′-гидрокси-5′-2Н-бензотриазол-2-илфенил;
2-[2′-гидрокси-3′-( , -диметилбензил)-5′-(1,1,3,3-тетраметилбутил)-фенил]-бензотриазол; 2-[2′-гидрокси-3′-(1,1,3,3-тетраметилбутил)-5′-( , -диметилбензил)-фенил]-бензотриазол.
2.2. 2-Гидроксибензофеноны, например, 4-гидрокси-, 4-метокси-, 4-октилокси-, 4-децилокси-, 4-додецилокси-, 4-бензилокси-, 4,2′,4′-тригидрокси- и 2′-гидрокси-4,4′-диметоксипроизводные.
2.3. Сложные эфиры бензойной кислоты, например, 4-трет-бутилфенилсалицилат, фенилсалицилат, октилфенилсалицилат, дибензоилрезорцин, бис(4-трет-бутилбензоил)резорцин, бензоилрезорцин, 2,4-ди-трет-бутилфенил-3,5-ди-трет-бутил-4-гидроксибензоат, гексадецил-3,5-ди-трет-бутил-4-гидроксибензоат, октадецил-3,5-ди-трет-бутил-4-гидроксибензоат, 2-метил-4,6-ди-трет-бутилфенил-3,5-ди-трет-бутил-4-гидроксибензоат.
2.4. Акрилаты, например, этил- -циано- , -дифенилакрилат или изооктил- -циано- , -дифенилакрилат, метил- -карбметоксициннамат, метил- -циано- -метил-п-метоксициннамат или бутил- -циано- -метил-п-метоксициннамат, метил- -карбметокси-п-метоксициннамат и N-( -карбметокси- -цианвинил)-2-метилиндолин.
2.5. Соединения никеля, например, никелевые комплексы 2,2′-тиобис[4-(1,1,3,3-тетраметилбутил)фенола], например, комплексы состава 1:1 и 1:2, необязательно с дополнительными лигандами, такими как, н-бутиламин, триэтаноламин или N-циклогексилдиэтаноламин, дибутилдитиокарбамат никеля, никелевые соли моноалкиловых сложных эфиров, например, метилового или этилового сложного эфира 4-гидрокси-3,5-ди-трет-бутилбензилфосфоновой кислоты, никелевые комплексы кетоксимов, например, 2-гидрокси-4-метилфенилундецилкетоксима и никелевые комплексы 1-фенил-4-лауроил-5-гидроксипиразола, необязательно с дополнительными лигандами.
2.6. Так называемые стерически затрудненные амины, например, бис(2,2,6,6-тетраметил-4-пиперидил)себацат, бис(2,2,6,6-тетраметил-4-пиперидил)сукцинат, бис(1,2,2,6,6-пентаметил-4-пиперидил)себацат, бис(1-октилокси-2,2,6,6-тетраметил-4-пиперидил)себацат, бис(1,2,2,6,6-пентаметил-4-пиперидил)-н-бутил-3,5-ди-трет-бутил-4-
гидроксибензилмалонат, продукт конденсации 1-(2-гидроксиэтил)-2,2,6,6-тетраметил-4-гидроксипиперидина и янтарной кислоты, линейные или циклические продукты конденсации N,N’-бис(2,2,6,6-тетраметил-4-пиперидил)гексаметилендиамина и 4-трет-октиламино-2,6-дихлор-1,3,5-триазина, трис(2,2,6,6-тетраметил-4-пиперидил)нитрилотриацетат, тетракис(1,2,2,6,6-пентаметилпиперидин-4-ил)-бутан-1,2,3,4-тетракарбоксилат, 1,1′-(1,2-этандиил)бис(3,3,5,5-тетраметилпиперазинон), 4-бензоил-2,2,6,6-тетраметилпиперидин, 4-стеарилокси-2,2,6,6-тетраметилпиперидин, бис(1,2,2,6,6-пентаметилпиперидил)-2-н-бутил-2-(2-гидрокси-3,5-ди-трет-бутилбензил)малонат, 3-н-октил-7,7,9,9-тетраметил-1,3,8-триазаспиро[4.5]декан-2,4-дион, бис(1-октилокси-2,2,6,6-тетраметилпиперидил)себацат, бис(1-октилокси-2,2,6,6-тетраметилпиперидил)сукцинат, линейные или циклические продукты конденсации N,N’-бис(2,2,6,6-тетраметил-4-пиперидил)гексаметилендиамина и 4-морфолино-2,6-дихлор-1,3,5-триазина, продукт конденсации 2-хлор-4,6-ди(4-н-бутиламино-2,2,6,6-тетраметилпиперидил)-1,3,5-триазина и 1,2-бис(3-аминопропиламино)этана, продукт конденсации 2-хлор-4,6-ди(4-н-бутиламино-1,2,2,6,6-пентаметилпиперидил)-1,3,5-триазина и 1,2-бис(3-аминопропил)аминоэтана, 8-ацетил-3-додецил-7,7,9,9-тетраметил-1,3,8-триазаспиро[4.5]декан-2,4-дион, 3-додецил-1-(2,2,6,6-тетраметил-4-пиперидил)пирролидин-2,5-дион, 3-додецил-1-(1,2,2,6,6-пентаметил-4-пиперидил)пирролидин-2,5-дион, смесь 4-гексадецилокси- и 4-стеарилокси-2,2,6,6-тетраметилпиперидинов, продукт конденсации N,N’-бис(2,2,6,6-тетраметил-4-пиперидил)гексаметилендиамина и 4-циклогексиламино-2,6-дихлор-1,3,5-триазина, продукт конденсации 1,2-бис(3-аминопропиламино)этана и 2,4,6-трихлор-1,3,5-триазина и 4-бутиламино-2,2,6,6-тетраметилпиперидина (регистрационный номер CAS No. [136504-96-6]); N-(2,2,6,6-тетраметил-4-пиперидил)-н-додецилсукцинимид, N-(1,2,2,6,6-пентаметил-4-пиперидил)-н-додецилсукцинимид, 2-ундецил-7,7,9,9-тетраметил-1-окса-3,8-диаза-4-оксоспиро[4,5]декан, продукт реакции 7,7,9,9-тетраметил-2-циклоундецил-1-окса-3,8-диаза-4-оксоспиро-[4,5]декана и эпихлоргидрина, 1,1-бис(1,2,2,6,6-пентаметил-4-пиперидилоксикарбонил)-2-(4-метоксифениловый)эфир, N,N’-бисформил-N,N’-бис(2,2,6,6-тетраметил-4-пиперидил)гексаметилендиамин, сложный диэфир 4-метоксиметиленмалоновой кислоты с 1,2,2,6,6-пентаметил-4-гидроксипиперидином, поли[метилпропил-3-окси-4-(2,2,6,6-тетраметил-4-пиперидил)]силоксан, сополимер продукта реакции сополимера малеинового ангидрида и -олефина с 2,2,6,6-тетраметил-4-аминопиперидином или 1,2,2,6,6-пентаметил-4-аминопиперидином.
2.7. Оксамиды, например, 4,4′-диоктилоксиоксанилид, 2,2′-диэтоксиоксанилид, 2,2′-диоктилокси-5,5′-ди-трет-бутилоксанилид, 2,2′-дидодецилокси-5,5′-ди-трет-бутилоксанилид, 2-этокси-2′-этилоксанилид, N,N’-бис(3-диметиламинопропил)оксамид, 2-этокси-5-трет-бутил-2′-этоксанилид и смесь с 2-этокси-2′-этил-5,4′-ди-трет-бутоксанилидом и смеси о- и п-метокси- и о- и п-этоксидизамещенных оксанилидов.
2.8. 2-(2-Гидроксифенил)-1,3,5-триазины, например, 2,4,6-трис(2-гидрокси-4-октилоксифенил)-1,3,5-триазин, 2-(2-гидрокси-4-октилоксифенил)-4,6-бис(2,4-диметилфенил)-1,3,5-триазин, 2-(2,4-дигидроксифенил)-4,6-бис(2,4-диметилфенил)-1,3,5-триазин, 2,4-бис(2-гидрокси-4-пропилоксифенил)-6-(2,4-диметилфенил)-1,3,5-триазин, 2-(2-гидрокси-4-октилоксифенил)-4,6-бис(4-метилфенил)-1,3,5-триазин, 2-(2-гидрокси-4-додецилоксифенил)-4,б-бис(2,4-диметилфенил)-1,3,5-триазин, 2-(2-гидрокси-4-тридецилоксифенил)-4,6-бис(2,4-диметилфенил)-1,3,5-триазин, 2-[2-гидрокси-4-(2-гидрокси-3-бутилоксипропилокси)фенил]-4,6-бис(2,4-диметилфенил)-1,3,5-триазин, 2-[2-гидрокси-4-(2-гидрокси-3-октилоксипропилокси)фенил]-4,6-бис(2,4-диметилфенил)-1,3,5-триазин, 2-[4-(додецилокси/тридецилокси-2-гидроксипропокси)-2-гидроксифенил]-4,6-бис(2,4-диметилфенил)-1,3,5-триазин, 2-[2-гидрокси-4-(2-гидрокси-3-додецилоксипропокси)фенил]-4,6-бис(2,4-диметилфенил)-1,3,5-триазин, 2-(2-гидрокси-4-гексилокси)фенил-4,6-дифенил-1,3,5-триазин, 2-(2-гидрокси-4-метоксифенил)-4,6-дифенил-1,3,5-триазин, 2,4,6-трис[2-гидрокси-4-(3-бутокси-2-гидроксипропокси)фенил]-1,3,5-триазин, 2-(2-гидроксифенил)-4-(4-метоксифенил)-6-фенил-1,3,5-триазин, 2-{2-гидрокси-4-[3-(2-этилгексил-1-окси)-2-гидроксипропилокси]фенил}-4,6-бис(2,4-диметилфенил)-1,3,5-триазин.
3. Дезактиваторы металлов, например, N,N’-дифенилоксамид, N-салицилаль-N’-салицилоилгидразин, N,N’-бис(салицилоил)гидразин, N,N’-бис(3,5-ди-трет-бутил-4-гидроксифенилпропионил)гидразин, 3-салицилоиламино-1,2,4-триазол, бис(бензилиден)оксалилдигидразид, оксанилид, изофталоилдигидразид, себацоилбисфенилгидразид, N,N’-диацетиладипоилдигидразид, N,N’-бис(салицилоил)оксалилдигидразид, N,N’-бис(салицилоил)тиопропионилдигидразид.
4. Фосфиты, фосфины и фосфониты, например, трифенилфосфит, дифенилалкилфосфиты, фенилдиалкилфосфиты, триснонилфенилфосфит, трилаурилфосфит, триоктадецилфосфит, триметилфосфин, три-н-бутилфосфин, трифенилфосфин, дистеарилпентаэритритдифосфит, трис(2,4-ди-трет-бутилфенил)фосфит, диизодецилпентаэритритдифосфит, бис(2,4-ди-трет-бутилфенил)пентаэритритдифосфит, бис(2,6-ди-трет-бутил-4-метилфенил)пентаэритритдифосфит, бисизодецилоксипентаэритритдифосфит, бис(2,4-ди-трет-бутил-6-метилфенил)пентаэритритдифосфит, бис(2,4,6-трис-(трет-бутилфенил)-пентаэритритдифосфит, тристеарилсорбитантрифосфит, тетракис(2,4-ди-трет-бутилфенил) 4,4′-бифенилендифосфонит, 6-изооктилокси-2,4,8,10-тетра-трет-бутил-12H-дибенз[d,g]-1,3,2-диоксафосфоцин, 6-фтор-2,4,8,10-тетра-трет-бутил-12-метилдибенз[d,g]-1,3,2-диоксафосфоцин, бис(2,4-ди-трет-бутил-6-метилфенил)метилфосфит, бис(2,4-ди-трет-бутил-6-метилфенил)этилфосфит, 2,2′,2″-нитрило[триэтилтрис(3,3′,5,5′-тетра-трет-бутил-1,1′-бифенил-2,2′-диил)фосфит], 2-этилгексил(3,3′,5,5′-тетра-трет-бутил-1,1′-бифенил-2,2′-диил)фосфит.
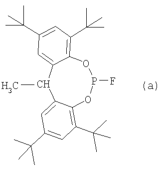
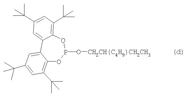
Особенно предпочтительными являются следующие фосфиты:
трис(2,4-ди-трет-бутилфенил)фосфит (Irgafos® 168, Ciba Specialty Chemicals), трис(нонилфенил)фосфит и фосфиты, обладающие структурными формулами (а), (b), (с), (d), (e), (f) и (g):
, 



, 
5. Гидроксиламины, например, N,N-дибензилгидроксиламин, N,N-диэтилгидроксиламин, N,N-диоктилгидроксиламин, N,N-дилаурилгидроксиламин, N,N-дитетрадецилгидроксиламин, N,N-дигексадецилгидроксиламин, N,N-диоктадецилгидроксиламин, N-гексадецил-N-октадецилгидроксиламин, N-гептадецил-N-октадецилгидроксиламин, N,N-диалкилгидроксиламин, полученный из аминов жирных кислот гидрированного животного жира.
6. Нитроны, например, N-бензил- -фенилнитрон, N-этил- -метилнитрон, N-октил- -гептилнитрон, N-лаурил- -ундецилнитрон, N-тетрадецил- -тридецилнитрон, N-гексадецил- -пентадецилнитрон, N-октадецил- -гептадецилнитрон, N-гексадецил- -гептадецилнитрон, N-октадецил- -пентадецилнитрон, N-гептадецил- -гептадецилнитрон, N-октадецил- -гексадецилнитрон и нитроны, полученные из N,N-диалкилгидроксиламина, полученного из аминов жирных кислот гидрированного животного жира.
7. Тиосинергетики, например, дилаурил- и дистеарилтиодипропионаты.
8. Поглотители пероксидов, например, сложные эфиры -тиодипропионовой кислоты, например, лауриловые, стеариловые, миристиловые или тридециловые сложные эфиры, меркаптобензимидазолы, цинковая соль 2-меркаптобензимидазола, дибутилдитиокарбамат цинка, диоктадецилдисульфид, пентаэритриттетракис ( -додецилмеркапто)пропионат.
9. Стабилизаторы полиамидов, например, соли меди в комбинации с йодидами и/или соединениями фосфора и соли двухвалентного марганца.
10. Основные вспомогательные стабилизаторы, например, меламин, поливинилпирролидон, дициандиамид, триаллилцианурат, производные мочевины, производные гидразина, амины, полиамиды, полиуретаны, соли щелочных металлов и щелочноземельных металлов высших жирных кислот, например, стеарат кальция, стеарат цинка, бегенат и стеарат магния, рицинолеат натрия и пальмитат калия, пирокатехинат сурьмы и цинка.
11. Зародышеобразующие агенты, например, неорганические наполнители, например, тальк, оксиды металлов, например, диоксид титана и оксид магния, фосфаты, карбонаты и сульфаты предпочтительно щелочноземельных металлов, органические кислоты, например, одно- и многоосновные карбоновые кислоты и их соли, например, 4-трет-бутилбензойная кислота, адипиновая кислота, дифенилуксусная кислота, сукцинат и бензоат натрия, а также полимерные соединения, например, ионогенные сополимеры (иономеры).
14. Бензофураноны и индолиноны например, описанные в US 4325863; US 4338244; US 5175312; US 5216052; US 5252643; DE-A-4316611; DE-A-4316622; DE-A-4316876; EP-A-0589839 и ЕР-А-0591102 или 3-[4-(2-ацетоксиэтокси)фенил]-5,7-ди-трет-бутилбензофуран-2-он, 5,7-ди-трет-бутил-3-[4-(2-стеароилоксиэтокси)фенил]бензофуран-2-он, 3,3′-бис[5,7-ди-трет-бутил-3-(4-[2-гидроксиэтокси]фенил)бензофуран-2-он], 5,7-ди-трет-бутил-3-(4-этоксифенил)бензофуран-2-он, 3-(4-ацэтокси-3,5 -диметилфенил)-5,7-ди-трет-бутилбензофуран-2-он, 3-(3,5-диметил-4-пивалоилоксифенил)-5,7-ди-трет-бутилбензофуран-2-он, 3-(3,4-диметилфенил)-5,7-ди-трет-бутилбензофуран-2-он, 3-(2,3-диметилфенил)-5,7-ди-трет-бутилбензофуран-2-он.
13. Другие добавки, например, пластификаторы, смазывающие вещества, эмульгаторы, пигменты, агенты, регулирующие текучесть, катализаторы, оптические отбеливатели, антистатические агенты и раздувающие агенты.
Гранулобразующие добавки и смеси добавок, описанные выше, смешивают друг с другом способом, который сам по себе известен, подходящими являются, например, так называемые сдвоенные смесители, двушнековые экструдеры с вращением в одну и противоположные стороны или одношнековые экструдеры, которые пригодны для смешивания, замешивания, включения, пластификации и гомогенизации термопластичных и отверждаемых пластмасс, для диспергирования красителей и для других операций в вязкоэластичной фазе, например, сдвоенном смесителе типов K и M, предпочтительно – сдвоенный смеситель типа PR, которые обеспечивают удельную производительность, равную вплоть до 1 кВт на 1 кг обрабатываемой массы в час. Предпочтительными подходящими аппаратами являются типа PR, выпускающиеся фирмой Buss AG, CH-Pratteln, например, аппараты типов PR 100, 140, 200 или 300. В соответствии с принципом действия сдвоенного смесителя операции перемешивания и замешивания распределяются между множеством небольших элементов, например, замешивающими зубьями и спиральным лопастями. Режим работы является непрерывным или периодическим в зависимости от загрузки. Для работы в непрерывном режиме важно обеспечить непрерывную подачу материала, которую можно выполнить с помощью непрерывных дозирующих устройств для жидкостей, расплавов или порошкообразных или пастообразных материалов.
Превращение смеси в пригодную для обработки массу предпочтительно проводить в сдвоенном смесителе, двушнековом экструдере с вращением в одну и противоположные стороны или одношнековом экструдере с регулированием температуры. При воздействии тепловой и механической (сдвиговой) энергии добавки перемешиваются и перерабатываются в пригодную для обработки массу. Кожух и шнек сдвоенного смесителя можно нагревать по отдельности в множестве зон, например, с использованием нагрева с двойной оболочкой. Предпочтительными являются диапазоны температур от 20 до 300°С. Зону заполнения предпочтительно охлаждать. Выпускному соплу придана специальная форма и в нем имеется небольшое количество каналов, предпочтительно – только один канал. Он может, например, обладать формой нагнетательной головки, вытянутого или щелеобразного сопла, кругового сопла или спирального сопла. Каналы выпускного сопла обладают длиной, равной от примерно 40 до примерно 200 мм, шириной, равной от примерно 6 до примерно 20 мм, или, в случае круговых сопел, диаметром, равным от примерно 20 до примерно 150 мм.
При выходе из выпускного сопла сформованная таким образом нитеобразная экструдированная масса в нежестком состоянии, например, в пластичном или пластично-кристаллическом состоянии, и пригодна для последующего формования. Экструдированная масса обладает вязкостью, равной примерно от 1000 до 50000 кПа·с, предпочтительно – от 1000 до 10000 кПа·с. Экструдированную массу охлаждают до температуры, при которой она еще остается пригодной для обработки. Массу можно выгрузить с помощью пологого лотка, на который можно нанести предохраняющее от прилипания покрытие.
В качестве альтернативы сдвоенным смесителям используют шнековые экструдеры, которые можно снабдить одним или двумя шнеками (одношнековые или многошнековые экструдеры, например, двушнековые экструдеры), шнеки могут обладать одинаковыми или разными витками (оказывающим сдвиговое воздействие и перемешивающими компонентами). Применение сдвоенного смесителя является предпочтительными. Дается ссылка на аппарат, описанный в публикации Handbuch der Kunststoffextrusion, Editors F. Hensen, W. Knappe, H. Potente, Vol.1, 1989, Grundlagen, ISBN: 3-446-14339-4, and Vol.2, 1986, Extrusionsanlagen, ISBN 3-446-14329-7. Аналогичный аппарат можно приобрести у фирм-изготовителей Brabender (DE), Werner & Pfleiderer (DE) или Bühler (CH). Затем, пока она еще находится в обрабатываемом состоянии, охлажденную массу формуют в гранулы путем раскатывания, штамповки узора, охлаждения и измельчения. Для раскатывания используют методику раскатывания, образованную из так называемого каландрирования и известную в производстве пластмассовых пленок. Обычная технология каландрирования включает формование термопластичных масс в бесконечные полосы путем их пропускания по меньшей мере через два валика, так называемые прижимные или обжимные валики.
Методика штамповки, применяющаяся в способе, предлагаемом в настоящем изобретении, отличается от методик каландрирования тем, что после раскатывания еще пластичную предварительно сформованную массу обрабатывают с помощью формующих валиков, обладающих линейным узором. Затем материал штампуют в гранулярную структуру, что необходимо для образования заранее заданных точек разлома для измельчения затвердевших фрагментов полосы продукта.
Во время штамповки транспортировку можно выполнять с помощью непрерывной стальной ленты типа Sandvik, которая снабжена регулируемым приводом и охлаждается водой, распыляемой на нее снизу. Стальная лента обладает шириной, равной от примерно 200 до примерно 1500 мм, и эффективной областью охлаждение длиной, равной от примерно 2 до примерно 16 м.
Раскатывание проводят путем пропускания предварительно сформованного еще пластичного материала через 2 или 3 обжимных валика, расстояние между валиками регулируется и наименьшее расстояние определяет размер гранул. Раскатанный таким образом пластичный материал затем обрабатывается с помощью по меньшей мере одного, предпочтительно – двух или трех валиков, которые штампуют на материале узор. В предпочтительном варианте осуществления эти формующие валики обладают диагональными канавками, ориентированными в противоположных направлениях, или канавками, ориентированными в продольном и поперечном направлениях, которые наносят ромбовидный или квадратный узор на еще пластичную полосу материала.
Имеются по меньшей мере два возможных расположения обжимных валиков (верхнее и нижнее). Если они расположены сверху, то пластический материал, выходящий из выпускного сопла, направляется вверх транспортировочной лентой, транспортировочную ленту можно охлаждать или нагревать. Если они расположены снизу, то пластический материал направляется вниз, вперед по технологической линии от первого обжимного валика.
Обжимные валики и формующие валики можно расположить, как в обычных каландрах, и при необходимости их можно нагреть или, предпочтительно, охладить. Скорость вращения валиков следует согласовать с потоком пасты (для исключения блокировки). Относительно находящейся под ними охлаждающей ленты валики монтируются так, чтобы их оси были наклонены под углом <90° к направлению потока. На валики также можно нанести предохраняющее от прилипания покрытие. Штампованной полосе продукта дают затвердеть на охлаждающей ленте и в конце ленты ее разламывают на крупные куски с помощью дополнительного валика. Полученные фрагменты в ситовом грануляторе, например, Frewitt, типа GLA-ORV-0215 (сито с размером отверстий, равным 4 мм) разламывают по линиям штамповки с образованием гранул. Размер отверстий сита подбирают по размеру гранул. Затем мелкодисперсные частицы или фрагменты меньшего размера отсеивают и отделяют от гранул.
В качестве альтернативы ситовому гранулятору фрагменты, сформованные по линиям штамповки, можно измельчить с образованием гранул необходимого размера на роликовой дробилке или роликовой мельнице. Также возможна комбинация роликовой дробилки или роликовой мельницы с ситовым гранулятором.
Гранулы добавок, основанные на одиночных добавках или смесях добавок, которые можно получить таким способом, пригодны для стабилизации органических полимеров по отношению к термическому, окислительному или вызванному светом разложению. Их можно включать в полимеры, например, термопластичные, предпочтительно – термореактивные пластмассы, например, основанные на полиолефинах, сложных полиэфирах, полиакрилатах, полиуретанах, полиамидах и т.п. способом, который сам по себе известен, с использованием известных методик. Гранулы также пригодны для получения так называемых премиксов.
Приведенные ниже примеры иллюстрируют применение и выполнение способа, предлагаемого в настоящем изобретении:
Пример 1
50 Частей IRGANOX 1010 (пентаэритрит-тетракис[3-(3,5-ди-трет-бутил-4-гидроксифенил)пропионата]) и 50 частей IRGANOX 1098 (N,N’-гексан-1,6-диил-бис[3-(3,5-ди-трет-бутил-4-гидроксифенил)пропионамида]) перемешивают до однородного состояния в смесителе периодического действия. С помощью дозирующего аппарата смесь подают в месильную машину Konti (тип PR100 7D) при объемном дозировании со скоростью 50 кг/ч. В месильной машине поддерживают температуру, равную 100°С (входной патрубок охлаждают до 20°С; температура вала равна 110°С). Температура массы равна 95°С. При скорости вращения вала, равной 45 об/мин (100 об/мин = 150 кг/ч), продукт экструдируют через щелеобразное сопло (размеры 40×6 мм). Нить материала подают с помощью охлаждаемого желоба (20°С) на 2 охлаждаемых (20°С) обжимных валика. Обжимные валики раскатывают нить продукта, находящегося в пластичном состоянии (от 1000 до 10000 кПа·с), в полосу толщиной 2 мм и шириной примерно 10-15 см, которую подают на охлаждаемую металлическую ленту (охлаждающая лента Sandvik; эффективная ширина 250 мм; эффективная длина 4000 мм). Над охлаждающей лентой установлены 2 формующих валика, которые штампуют ромбический узор на еще пластичной полосе продукта. После штамповки штампованная полоса продукта затвердевает на охлаждающей ленте и в конце ленты разламывается на крупные куски.
Штампованные фрагменты в ситовом грануляторе разламываются по линиям штамповки с образованием гранул
Штампованные фрагменты в ситовом грануляторе (типа Frewitt: GLA-ORV-0215; сито с размером отверстий, равным 4 мм) разламываются по линиям штамповки с образованием гранул. Затем мелкодисперсные частицы отсеивают. Гранулы, предлагаемые в настоящем изобретении и полученные таким образом, обладают однородной формой и превосходными характеристиками объемного материала (таблица 1).
| Таблица 1 |
| Размер частицы, наименьшая длина |
1,0 мм |
| Размер частицы, наибольшая длина |
3,0 мм |
| Насыпная плотность неуплотненного материала |
514 г/л |
| Скорость высыпания (tR15/tR25)2) |
9 с/2 с |
| Угол откоса (сопло 15/25 мм)1) |
41°/34° |
| Выброс пыли (5 мин)3) |
0,11% |
| 1)В соответствии с ISO 4324; 2)В соответствии с DIN 53492; 3)По данным теста Хойбаха. |
Пример 2
С помощью дозирующего аппарата 100 частей IRGANOX 1010 подают в месильную машину Konti (тип PR100 7D) при объемном дозировании со скоростью 100 кг/ч. В месильной машине поддерживают температуру, равную 90°С (входной патрубок охлаждают до 20°С; температура вала равна 90°С). Температура массы равна 70°С. При скорости вращения вала, равной 45 об/мин, продукт экструдируют через круговое сопло (диаметр 24 мм). Нить материала подают с помощью охлаждаемого желоба (20°С) на 2 охлаждаемых (20°С) обжимных валика. Обжимные валики раскатывают нить продукта, находящегося в пластичном состоянии (от 1000 до 5000 кПа·с) в полосу толщиной 2 мм и шириной примерно 10-15 см, которую подают на охлаждаемую металлическую ленту (охлаждающая лента Sandvik; эффективная ширина 250 мм; эффективная длина 4000 мм). Над охлаждающей лентой установлены 2 гравировальных валика, которые штампуют ромбический узор на еще пластичной полосе продукта. После штамповки штампованная полоса продукта затвердевает на охлаждающей ленте и в конце ленты разламывается на крупные куски. Штампованные фрагменты в ситовом грануляторе разламываются по линиям штамповки с образованием гранул (типа Frewitt: GLA-ORV-0215; сито с размером отверстий, равным 4 мм). Затем мелкодисперсные частицы отсеивают. Гранулы, предлагаемые в настоящем изобретении полученные таким образом, обладают однородной формой и превосходными характеристиками объемного материала (таблица 2), в особенности в сравнении с использованным порошком.
| Таблица 2 |
| Размер частицы, наименьшая длина |
2,2 мм |
| Размер частицы, наибольшая длина |
5,5 мм |
| Насыпная плотность неуплотненного материала |
534 г/л |
| Скорость высыпания (tR15/tR25)2) |
37 с/3 с |
| Угол откоса (сопло 15/25 мм)1) |
38°/31° |
| Выброс пыли (5 мин)3) |
0,065% |
| 1)В соответствии с ISO 4324; 2)В соответствии с DIN 53492; 3)По данным теста Хойбаха. |
Пример 3
5,2 частей IRGANOX® 1010, 25,8 частей порошкообразного стеарата кальция (стеарат кальция DW®; FACI, IT) и 69 частей TINUVIN® 622 (диметиловый эфир бутандионовой кислоты, сополимер с 4-гидрокси-2,2,6,6-тетраметил-1-пиперидинэтанолом) перемешивают до однородного состояния в смесителе MTI. С помощью дозирующего аппарата смесь подают в месильную машину Konti (тип PR100 7D) при объемном дозировании со скоростью 100 кг/ч. В месильной машине поддерживают температуру, равную 60°С (входной патрубок охлаждают до 20°С; температура вала равна 60°С). Температура массы равна 50°С. При скорости вращения вала, равной 45 об/мин, продукт экструдируют через круговое сопло (диаметр 24 мм). Нить материала подают с помощью охлаждаемого желоба (20°С) на 2 охлаждаемых (20°С) обжимных валика. Обжимные валики раскатывают нить продукта, находящегося в пластичном состоянии (от 1000 до 5000 кПа·с), в полосу толщиной 2 мм и шириной примерно 10-15 см, которую подают на охлаждаемую металлическую ленту (охлаждающая лента Sandvik; эффективная ширина 250 мм; эффективная длина 4000 мм). Над охлаждающей лентой установлены 2 гравировальных валика, которые штампуют ромбический узор на еще пластичной полосе продукта. После штамповки штампованная полоса продукта затвердевает на охлаждающей ленте и в конце ленты разламывается на крупные куски. Штампованные фрагменты в ситовом грануляторе разламываются по линиям штамповки с образованием гранул (типа Frewitt: GLA-ORV-0215; сито с размером отверстий, равным 4 мм). Затем мелкодисперсные частицы отсеивают. Гранулы, предлагаемые в настоящем изобретении и полученные таким образом, обладают однородной формой и превосходными характеристиками объемного материала (таблица 3), в особенности в сравнении с использованным порошком.
| Таблица 3 |
| Размер частицы, наименьшая длина |
3,3 мм |
| Размер частицы, наибольшая длина |
6,6 мм |
| Насыпная плотность неуплотненного материала |
537 г/л |
| Скорость высыпания (tR15/tR25)2) |
40 с/3 с |
| Угол откоса (сопло 15/25 мм)1) |
45°/33° |
| Выброс пыли (5 мин)3) |
0,00% |
| 1)В соответствии с ISO 4324; 2)В соответствии с DIN 53492; 3)По данным теста Хойбаха. |
Формула изобретения
1. Способ получения образующих малое количество пыли гранул фенольных добавок к полимерам, обладающие формулой
 в которой независимо друг от друга один из R1 и R2 обозначает водород или С1-С2алкил и второй обозначает С3-С4алкил; x равно 0 (непосредственная связь) или является целым числом, равным от 1 до 3; и Y обозначает С8-С22алкоксигруппу или группу частичной формулы

 или
 в которой независимо друг от друга один из R1‘ и R2‘ обозначает водород или С1-С4алкил и второй обозначает С3-С4алкил; x равно 0 (непосредственная связь) или является целым числом, равным от 1 до 3; у является целым числом, равным от 2 до 10 и z является целым числом, равным от 2 до 6, отличающийся тем, что гранулобразующие добавки к полимерам смешивают друг с другом, смесь превращают в пригодную для обработки массу и продавливают через канал, и предварительно сформованную нитеобразную экструдированную массу охлаждают и, формуют в гранулы путем раскатывания предварительно сформованного пластичного материала обжимными валиками и формующими валиками, где расстояние между валиками регулируется и наименьшее расстояние определяет размер гранул, штамповки узора, охлаждения и измельчения.
2. Способ по п.1, в котором смесь образующих гранулы добавок к полимерам превращают в пригодную для обработки массу в сдвоенном смесителе с подогревом.
3. Способ по п.1, в котором в пригодную для обработки массу экструдируют из сдвоенного смесителя через круговое сопло или сопло щелеобразной формы и предварительно сформованную нитеобразную массу подвергают последующей обработке.
4. Способ по п.1, в котором пластичную предварительно сформованную массу обрабатывают обжимными валиками, обладающими гладкой и полированной поверхностью, и затем формующими валиками, на которых имеются линии штамповки.
5. Способ по п.4, в котором формующие валики снабжены канавками, образующими линии штамповки.
6. Способ по п.1, в котором транспортировку и охлаждение, и отверждение проводят на непрерывной стальной ленте.
7. Способ по п.1, в котором компоненты образующих гранулы добавок к полимерам загружают в сдвоенный смеситель в жидкой или твердой форме или в расплавленной форме.
8. Способ по п.1, в котором полосу штампованного продукта измельчают до размера гранул в ситовом грануляторе.
|
|