Патент на изобретение №2375370
|
||||||||||||||||||||||||||||||||||||||||||||||||||||||||||||||||||||||||||||||||||||||
(54) ЭФИРЫ КРЕМНИЯ И СПОСОБ ИХ ПОЛУЧЕНИЯ
(57) Реферат:
Изобретение относится к простым эфирам кремния, имеющим общую формулу (I), способу их получения и использования в качестве компонента катализаторов для полимеризации олефинов. Техническая задача – получение простых эфиров кремния, которые могут использоваться в качестве внешнего электронодонорного компонента для получения полимеров, имеющих высокую изотактичность, с высоким выходом. Предложены эфиры кремния общей формулы (I), где группы R1-R10 имеют значения, приведенные в описании. 3 н. и 11 з.п. ф-лы, 2 табл.
Область техники, к которой относится изобретение Изобретение относится к новым эфирам кремния, способу их получения и применения в качестве компонентов катализаторов для полимеризации олефинов. В процессах полимеризации или сополимеризации олефинов, в частности в полимеризации или сополимеризации пропилена, каталитические системы, включающие эфиры кремния в качестве внешнего электронодонорного компонента, показывают хорошую чувствительность к водороду и могут использоваться для получения полимеров, имеющих высокую изотактичность, с высоким выходом. Уровень техники Катализаторы для полимеризации или сополимеризации олефинов хорошо известны в литературе. Эти катализаторы обычно включают в себя переходный металл как активный компонент, как правило, содержащий магний, титан и галоген в качестве основных составляющих; компонент сокатализатора, обычно алюмоорганическое соединение, и внешний электронодонорный компонент, обычно кремнийорганическое соединение. При стереоселективной полимеризации олефинов, особенно стереоселективной полимеризации пропилена, если не используется внешний электронодонорный компонент, применение большинства этих катализаторов приводит к полимеру с более низкой изотактичностью, обычно ниже 90%, так, что они не могут применяться в производстве в промышленных масштабах. Поэтому добавление внешнего электронодонорного компонента часто является необходимым. К настоящему времени типы внешних электронодонорных соединений прошли развитие от использовавшихся первоначально бензоатов до распространенных в настоящее время органосилоксанов. Например, WO 00/63261 описывает внешние электронодонорные соединения, пригодные для полимеризации олефинов, например соединения кремния общей формулы R11 R12 и R13 независимо друг от друга представляют собой C1-C18 гидрокарбильные заместители C1-C18, которые могут содержать гетероатом. Предпочтительными являются те соединения кремния, в которых а равно 1, b равно 1, с равно 2, по меньшей мере, один из R11 и R12 выбирают из группы, состоящей из разветвленного алкила, алкенила, алкилена, циклоалкила или арила, содержащих от 3 до 10 атомов углерода и, необязательно, содержащих гетероатом, a R13 представляет собой алкил C1-С10, особенно метил, например, циклогексилметилдиметоксисилан. Также предпочтительными являются те соединения кремния, в которых а равно 0, с равно 3, R12 является разветвленным алкилом или циклоалкилом, необязательно, содержащим гетероатом, а R13 является метилом, например, циклогексилтриметоксисилан и т.п. Отмечено, что среди соединений кремния, имеющих общую формулу R11 Раскрытие изобретения Одной из задач настоящего изобретения является получение эфиров кремния, имеющих общую формулу
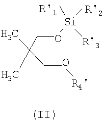
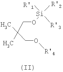
где R1-R4, которые одинаковые или отличаются друг от друга, представляют собой линейный или разветвленный, алифатический, алициклический или ароматический гидрокарбил C1-C20, группы R5-R10, которые одинаковые или отличаются друг от друга, представляют собой водород, галоген, линейный или разветвленный алифатический, ациклический или ароматический гидрокарбил C1-C20, а группы R1-R10 необязательно содержат один или более гетероатомов, выбранных из группы, состоящей из азота, кислорода, серы, кремния, фосфора и атома галогена, заменяющих атом(ы) углерода, атом(ы) водорода или оба, при этом: когда все R1-R3 представляют собой метил, то R4 не является 2-(3-метил-2-бутен-1-ил)циклопропан-1-илом; когда группа R1R2R3Si представляет собой трет-бутилдиметилсилил или трет-бутилдифенилсилил, то R4 не является бензилом; когда R9 и R10 представляют собой водород, каждая из групп R5-R8 представляет собой метил или водород, и R4 является линейным или разветвленным C1-C4 алкилом, то R1-R3 не являются одновременно метилом или этилом; когда и R9 и R10 являются метилом, все R5-R10 представляют собой водород, R4 представляет собой C1-С3 линейный или разветвленный алкил, то R1-R3 не являются одновременно этилом. В одном варианте изобретения в эфирах кремния с общей формулой (I) группы R1-R4, которые одинаковые или отличаются друг от друга, представляют собой линейный или разветвленный, алифатический, алициклический или ароматический гидрокарбил C1-С10, и группы R5-R10, которые одинаковые или отличаются друг от друга, представляют собой водород, галоген, или линейный или разветвленный, алифатический, алициклический или ароматический гидрокарбил C1-С10. В другом варианте изобретения в эфирах кремния с общей формулой (I), группы R1-R4, которые одинаковые или отличаются друг от друга, представляют собой метил, этил, н-пропил, изо-пропил, н-бутил, изо-бутил, трет-бутил, фенил или бензил, группы R5-R8 представляют собой атом водорода, а группы R9 и R10 представляют собой независимо линейный или разветвленный, алифатический, алициклический или ароматический гидрокарбил C1-С10. Согласно другому варианту осуществления изобретения эфиры кремния имеют общую формулу (II)
в которой R1‘-R4‘ группы, которые одинаковые или отличаются друг от друга, представляют собой линейный или разветвленный C1-C5 алкил, фенил или бензил, при этом: когда R1‘R2‘R3‘Si представляет трет-бутилдиметилсилил или трет-бутилдифенилсилил, то R4‘ не является бензилом, и когда R4‘ представляет собой C1-С3 линейный или разветвленный алкил, то R1‘, R2‘ и R3‘ не являются одновременно этилом. Предпочтительно в вышеупомянутой общей формуле (II) R3‘ и R4‘ группы являются независимо метилом, этилом, н-пропилом, изо-пропилом, н-бутилом, изо-бутилом или трет-бутилом. Более предпочтительно в вышеупомянутой общей формуле (II) группы R1‘ и R2‘ являются метилом, а R3‘ и R4‘ группы независимо друг от друга представляют собой метил, этил, или трет-бутил. Наиболее предпочтительно R4‘ группа является метилом или этилом. Примеры эфиров кремния формулы (I) включают следующие соединения, но не ограничиваются этим списком: 2,2-диметил-1-метокси-3-[(триметилсилил)окси]пропан; 2,2-диметил-1-метокси-3-[(трифенилсилил)окси]пропан; 2,2-диметил-1-метокси-3-[(этилдиметилсилил)окси]пропан; 2,2-диметил-1-метокси-3-[(диметилпропилсилил)окси]пропан; 2,2-диметил-1-метокси-3-[(трет-бутилдиметилсилил)окси]пропан; 2,2-диметил-1-метокси-3-[(н-бутилдиметилсилил)окси]пропан; 2,2-диметил-1-метокси-3-[(диметилбензилсилил)окси]пропан; 2,2-диметил-1-метокси-3-[(диметилфенэтилсилил)окси]пропан; 2,2-диметил-1-метокси-3-[(диметилфенилсилил)окси]пропан; 2,2-диметил-1-метокси-3-[(диметилтолилсилил)окси]пропан; 2,2-диметил-1-этокси-3-[(триметилсилил)окси]пропан; 2,2-диметил-1-этокси-3-[(триэтилсилил)окси]пропан; 2,2-диметил-1-этокси-3-[(трифенилсилил)окси]пропан; 2,2-диметил-1-этокси-3-[(этилдиметилсилил)окси]пропан; 2,2-диметил-1-этокси-3-[(диметилпропилсилил)окси]пропан; 2,2-диметил-1-этокси-3-[(трет-бутилдиметилсилил)окси]пропан; 2,2-диметил-1 -этокси-3-[(н-бутилдиметилсилил)окси]пропан; 2,2-диметил-1-этокси-3-[(диметилбензилсилил)окси]пропан; 2,2-диметил-1-этокси-3-[(диметилфенэтилсилил)окси]пропан; 2,2-диметил-1-этокси-3-[(диметилфенилсилил)окси]пропан; 2,2-диметил-1-этокси-3-[(диметилтолилсилил)окси]пропан; 2,2-диметил-1-пропокси-3-[(триметилсилил)окси]пропан; 2,2-диметил-1-пропокси-3-[(триэтилсилил)окси]пропан; 2,2-диметил-1-пропокси-3-[(трифенилсилил)окси]пропан; 2,2-диметил-1-пропокси-3-[(этилдиметилсилил)окси]пропан; 2,2-диметил-1-пропокси-3-[(диметилпропилсилил)окси]пропан; 2,2-диметил-1-пропокси-3-[(трет-бутилдиметилсилил)окси]пропан; 2,2-диметил-1-пропокси-3-[(н-бутилдиметилсилил)окси]пропан; 2,2-диметил-1-пропокси-3-[(диметилбензилсилил)окси]пропан; 2,2-диметил-1-пропокси-3-[(диметилфенэтилсилил)окси]пропан; 2,2-диметил-1-пропокси-3-[(диметилфенилсилил)окси]пропан; 2,2-диметил-1-пропокси-3-[(диметилтолилсилил)окси]пропан; 2,2-ди-н-пропил-1-метокси-3-[(триметилсилил)окси]пропан; 2,2-ди-изо-бутил-1-метокси-3-[(триметилсилил)окси]пропан; 2,2-ди-изо-бутил-1-метокси-3-[(триэтилсилил)окси]пропан; 2,2-ди-изо-бутил-1-метокси-3-[(трифенилсилил)окси]пропан; 2,2-ди-изо-бутил-1-метокси-3-[(этилдиметилсилил)окси]пропан; 2,2-ди-изо-бутил-1-метокси-3-[(диметилпропилсилил)окси]пропан; 2,2-ди-изо-бутил-1-метокси-3-[(трет-бутилдиметилсилил)окси]пропан; 2,2-ди-изо-бутил-1-метокси-3-[(н-бутилдиметилсилил)окси]пропан; 2,2-ди-изо-бутил-1-метокси-3-[(диметилбензилсилил)окси]пропан; 2,2-ди-изо-бутил-1-метокси-3-[(диметилфенэтилсилил)окси]пропан; 2,2-ди-изо-бутил-1-метокси-3-[(диметилфенилсилил)окси]пропан; 2,2-ди-изо-бутил-1-метокси-3-[(диметилтолилсилил)окси]пропан; 2,2-ди-н-бутил-1-метокси-3-[(триметилсилил)окси]пропан; 2,2-ди-н-бутил-1-метокси-3-[(триэтилсилил)окси]пропан; 2,2-ди-н-бутил-1-метокси-3-[(трифенилсилил)окси]пропан; 2,2-ди-н-бутил-1-метокси-3-[(этилдиметилсилил)окси]пропан; 2,2-ди-н-бутил-1-метокси-3-[(диметилпропилсилил)окси]пропан; 2,2-ди-н-бутил-1-метокси-3-[(трет-бутилдиметилсилил)окси]пропан; 2,2-ди-н-бутил-1-метокси-3-[(н-бутилдиметилсилил)окси]пропан; 2,2-ди-н-бутил-1-метокси-3-[(диметилбензилсилил)окси]пропан; 2,2-ди-н-бутил-1-метокси-3-[(диметилфенэтилсилил)окси]пропан; 2,2-ди-н-бутил-1-метокси-3-[(диметилфенилсилил)окси]пропан; 2,2-ди-н-бутил-1-метокси-3-[(диметилтолилсилил)окси]пропан; 2,2-ди-изо-бутил-1-этокси-3-[(триметилсилил)окси]пропан; 2,2-ди-изо-бутил-1-этокси-3-[(триэтилсилил)окси]пропан; 2,2-ди-изо-бутил-1-этокси-3-[(трифенилсилил)окси]пропан; 2,2-ди-изо-бутил-1-этокси-3-[(этилдиметилсилил)окси]пропан; 2,2-ди-изо-бутил-1-этокси-3-[(диметилпрописилил)окси]пропан; 2,2-ди-изо-бутил-1-этокси-3-[(трет-бутилдиметилсилил)окси]пропан; 2,2-ди-изо-бутил-1-этокси-3-[(н-бутилдиметилсилил)окси]пропан; 2,2-ди-изо-бутил-1-этокси-3-[(диметилбензилсилил)окси]пропан; 2,2-ди-изо-бутил-1-этокси-3-[(диметилфенэтилсилил)окси]пропан; 2,2-ди-изо-бутил-1-этокси-3-[(диметилфенилсилил)окси]пропан; 2,2-ди-изо-бутил-1-этокси-3-[(диметилтолилсилил)окси]пропан; 2,2-ди-изо-бутил-1-пропокси-3-[(триметилсилил)окси]пропан; 2,2-ди-изо-бутил-1-пропокси-3-[(триэтилсилил)окси]пропан; 2,2-ди-изо-бутил-1-пропокси-3-[(трифенилсилил)окси]пропан; 2,2-ди-изо-бутил-1-пропокси-3-[(этилдиметилсилил)окси]пропан; 2,2-ди-изо-бутил-1-пропокси-3-[(диметилпропилсилил)окси]пропан; 2,2-ди-изо-бутил-1-пропокси-3-[(трет-бутилдиметилсилил)окси]пропан; 2,2-ди-изо-бутил-1-пропокси-3-[(н-бутилдиметилсилил)окси]пропан; 2,2-ди-изо-бутил-1-пропокси-3-[(диметилбензилсилил)окси]пропан; 2,2-ди-изо-бутил-1-пропокси-3-(диметилфенэтилсилил)окси]пропан; 2,2-ди-изо-бутил-1-пропокси-3-[(диметилфенилсилил)окси]пропан; 2,2-ди-изо-бутил-1 -пропокси-3-[(диметилтолилсилил)окси]пропан; 2,2-дибензил-1-метокси-3-[(триметилсилил)окси]пропан; 2,2-дибензил-1-метокси-3-[(триэтилсилил)окси]пропан; 2,2-дибензил-1-метокси-3-[(трифенилсилил)окси]пропан; 2,2-дибензил-1-метокси-3-[(этилдиметилсилил)окси]пропан; 2,2-дибензил-1-метокси-3-[(диметилпропилсилил)окси]пропан; 2,2-дибензил-1-метокси-3-[(трет-бутилдиметилсилил)окси] пропан; 2,2-дибензил-1-метокси-3-[(н-бутилдиметилсилил)окси]пропан; 2,2-дибензил-1-метокси-3-[(диметилбензилсилил)окси]пропан; 2,2-дибензил-1-метокси-3-[(диметилфенэтилсилил)окси]пропан; 2,2-дибензил-1 -метокси-3 -[(диметилфенилсилил)окси]пропан; 2,2-дибензил-1 -метокси-3-[(диметилтолилсилил)окси]пропан; 2,2-дибензил-1-этокси-3-[(триметилсилил)окси]пропан; 2,2-дибензил-1-этокси-3-[(триэтилсилил)окси]пропан; 2,2-дибензил-1-этокси-3-[(трифенилсилил)окси]пропан; 2,2-дибензил-1-этокси-3-[(этилдиметилсилил)окси]пропан; 2,2-дибензил-1-этокси-3-[(диметилпропилсилил)окси]пропан; 2,2-дибензил-1-этокси-3-[(трет-бутилдиметилсилил)окси]пропан; 2,2-дибензил-1-этокси-3-[(н-бутилдиметилсилил)окси]пропан; 2,2-дибензил-1-этокси-3-[(диметилбензилсилил)окси]пропан; 2,2-дибензил-1-этокси-3-[(диметилфенэтилсилил)окси]пропан; 2,2-дибензил-1-этокси-3-[(диметилфенилсилил)окси]пропан; 2,2-дибензил-1-этокси-3-[(диметилтолилсилил)окси]пропан; 2,2-дибензил-1-пропокси-3-[(триметилсилил)окси]пропан; 2,2-дибензил-1-пропокси-3-[(триэтилсилил)окси]пропан; 2,2-дибензил-1-пропокси-3-[(трифенилсилил)окси]пропан; 2,2-дибензил-1-пропокси-3-[(этилдиметилсилил)окси]пропан; 2,2-дибензил-1-пропокси-3-[(диметилпропилсилил)окси]пропан; 2,2-дибензил-1-пропокси-3-[(трет-бутилдиметилсилил)окси]пропан; 2,2-дибензил-1-пропокси-3-[(н-бутилдиметилсилил)окси]пропан; 2,2-дибензил-1-пропокси-3-[(диметилбензилсилил)окси]пропан; 2,2-дибензил-1-пропокси-3-[(диметилфенэтилсилил)окси]пропан; 2,2-дибензил-1-пропокси-3-[(диметилфенилсилил)окси]пропан; 2,2-дибензил-1-пропокси-3-[(диметилтолилсилил)окси]пропан. Примеры предпочтительной группы эфиров кремния формулы (I) включают в себя: 2,2-диметил-1-метокси-3-[(триметилсилил)окси]пропан; 2,2-диметил-1-метокси-3-[(этилдиметилсилил)окси]пропан; 2,2-диметил-1-метокси-3-[(трет-бутилдиметилсилил)окси]пропан; 2,2-диметил-1-этокси-3-[(триметилсилил)окси]пропан; 2,2-диметил-1-этокси-3-[(этилдиметилсилил)окси]пропан; 2,2-диметил-1-этокси-3-[(трет-бутилдиметилсилил)окси]пропан; 2,2-диметил-1-метокси-3-[(диметилфенилсилил)окси]пропан; 2,2-дибензил-1-метокси-3-[(триметилсилил)окси]пропан; 2,2-дибензил-1-метокси-3-[(трет-бутилдиметилсилил)окси]пропан; 2,2-ди-изо-бутил-1-метокси-3-[(триметилсилил)окси]пропан; 2,2-ди-н-бутил-1-метокси-3-[(триметилсилил)окси]пропан; 2,2-ди-н-бутил-1-метокси-3-[(трет-бутилдиметилсилил)окси]пропан; 2,2-ди-н-бутил-1-метокси-3-[(триэтилсилил)окси]пропан; 2,2-ди-н-пропил-1-метокси-3-[(триметилсилил)окси]пропан. Для получения эфиров кремния вышеупомянутой формулы (I) можно использовать много способов, и они составляют другой аспект изобретения. Например, соединение формулы (III)
в котором группа R4 представляет собой линейный или разветвленный, алифатический, алициклический или ароматический гидрокарбил C1-C20; группы R5-R10, которые одинаковые или отличаются друг от друга, представляют водород, галоген, или линейный или разветвленный, алифатический, алициклический или ароматический гидрокарбил C1-C20; группы R4-R10 необязательно содержат один или более гетероатомов, выбранных из группы, состоящей из азота, кислорода, серы, кремния, фосфора и атома галогена, замещающих атом(ы) углерода, атом(ы) водорода, или оба, может реагировать с тригидрокарбилсилилирующим агентом, который может вводить группу – SiR1R2R3, в которой заместители R1-R3 одинаковые или отличаются друг от друга, представляют линейный или разветвленный, алифатический, алициклический или ароматический гидрокарбил C1-C20, и группы R1-R3 могут необязательно содержать один или более гетероатомов, выбранных из группы, состоящей из азота, кислорода, серы, кремния, фосфора и атома галогена, замещающих атом(ы) углерода, атом(ы) водорода, или оба, в апротонном инертном растворителе и, если нужно, в присутствии основания, с образованием соответствующего эфира кремния формулы (I), при этом эквивалентное отношение соединения формулы (III) и тригидрокарбилсилилирующего агента находится в диапазоне от 1:1 до 1:1,2. Согласно варианту изобретения в вышеупомянутом способе получения, тригидрокарбилсилилгалогенид используется как тригидрокарбилсилилирующий агент, реакция силилирующего агента с соединением формулы (III) осуществляется в присутствии основания, и исходные вещества загружаются в таком количестве, что молярное отношение соединение формулы (III) : тригидрокарбилсилилгалогенид : основание находится в диапазоне 1:1-1,2:1-1,2. Используемое основание может быть выбрано из группы, состоящей из неорганических оснований и органических оснований, таких как Na, K, NaOH, KOH, NaH, KH, CaH2, Na2CO3, K2CO3, NH3, Et3N, Me3H, Bu3H, пиридин, имидазол, 4-диметиламинопиридин, и их смеси. Предпочтительными являются органические основания, такие как Et3N, имидазол и 4-диметиламинопиридин. Согласно другому варианту изобретения в вышеупомянутом способе получения в качестве силилирующего агента используют гексагидрокарбилдисилазан и исходные вещества загружают в таком количестве, что молярное отношение соединения формулы (III) к гексагидрокарбилдисилазану находится в диапазоне 1:0,5-0,6. Апротонный инертный растворитель может быть выбран из группы, состоящей из амидов, галогенуглеводородов, углеводородов и простых эфиров, а именно дихлорометана, хлороформа, бензола, толуола, н-гексана, циклогексана, петролейного эфира, диэтилового эфира, тетрагидрофурана, метил(трет-бутил)ового эфира, N,N-диметилформамида и их смеси, дихлорометан является предпочтительным. Тригидрокарбилсилилирующий агент может быть выбран из группы, состоящей из тригидрокарбилсилилгалогенидов и гексагидрокарбилдисилазанов, таких как триметилсилилхлорид, этилдиметилсилилхлорид, трет-бутилдиметилсилилхлорид, триэтилсилилхлорид, диметилфенилсилилхлорид, н-бутилдиметилсилилхлорид, бензилдиметилсилилхлорид и гексаметилдисилазан. Реакция обычно осуществляется при температуре от -20°С до 100°С, предпочтительно при более низкой температуре, более предпочтительно при температуре от -5°С до комнатной температуры. Соединения формулы (III) доступны или могут быть синтезированы известным способом. Например, данные соединения могут быть получены моноэтерификацией пропандиолов галоалканами. Более точно, способ может включать стадию получения моноэфира пропандиола путем этерификации галоалканом в присутствии растворителя и в присутствии основания с образованием 3-дигидрокарбилокси-1-пропанола, где используемый растворитель может быть выбран из группы, состоящей из тетрагидрофурана, диметилсульфоксида, диэтилового эфира, N,N-диметилформамида; алифатических углеводородов, таких как пентан, гексан и гептан, и ароматических углеводородов, таких как бензол и толуол; где используемым основанием могут быть гидриды, гидроксиды или карбонаты щелочных металлов или щелочноземельных металлов, такие как NaH, KH, CaH2, NaOH, KOH, Са(ОН)2, Na2CO3, K3CO3 или подобные. Среди этих оснований NaH и NaOH более предпочтительны. Кроме того, предпочтительно постепенно добавлять основание в реакционную смесь после добавления диола, галоалкана и растворителя; и где мольное отношение основания к пропандиолам находится в диапазоне от 0,5:1 до 1,5:1, предпочтительно от 0,8:1 до 1,2:1, и мольное отношение галоалкана к пропандиолам находится в диапазоне от 1:1 до 10:1, предпочтительно от 1:1 до 2,5:1. Изобретение также относится к способу полимеризации олефинов, в котором эфир кремния согласно изобретению используется как внешний донор электронов. В предпочтительном воплощении упомянутым способом является гомополимеризация или сополимеризация пропилена. Способы для полимеризации олефинов, их режимы и количества внешних электронодонорных соединений известны специалистам. Примеры Следующие далее примеры описывают изобретение, но ни в коем случае не ограничивают его. Методы исследования 1. Изотактичность полимера измерялась методом извлечения гептаном (экстракция в кипящем гептане в течение 6 часов), осуществленным по следующей методике: 2 г высушенного образца полимера экстрагировали кипящим гептаном в экстракторе в течение 6 часов, затем остаток сушили до постоянной массы, и отношение массы оставшегося полимера (г) к массе исходного образца 2 г принимали за изотактичность. 2. Индекс расплава полимера (ИР) измерен согласно ASTM D 1238-99. Некоторые промежуточные вещества, используемые в Примерах, получали следующим образом. Получение 2,2-диметил-3-метокси-1-пропанола В реактор загружали 34,4 г 2,2-диметил-1,3-пропандиола и 150 мл безводного ТГФ, потом медленно добавляли при перемешивании 11,3 г NaH. После добавления реакционную смесь кипятили с обратным холодильником в течение одного часа. Затем добавляли по капле раствор 51,1 г йодистого метила в 300 мл ТГФ и после завершения прикапывания осуществляли реакцию в течение дальнейших 6 часов. ТГФ удаляли дистилляцией. Остаток разбавляли 50 мл воды, экстрагировали трижды с 3×50 мл диэтилового эфира. Объединенный (диэтил)эфирный экстракт сушили над безводным сульфатом магния. После фильтрации над сульфатом магния диэтиловый эфир упаривали и остаток перегоняли под вакуумом. Собирали 27,7 г бесцветной и прозрачной жидкости 2,2-диметил-3-метокси-1-пропанола (выход 71%) как фракцию, кипящую при 86-88°С/71 мм рт.ст. 1H-NMR (CDCl3/TMS, 300 МГц) Получение 2,2-диметил-3-этокси-1-пропанола Бесцветный и прозрачный 2,2-диметил-3-этокси-1-пропанол в виде фракции, кипящей при 83°С/37 мм рт.ст., был получен из 2,2-диметил-3-пропандиола и йодистого этила по методике, описанной для получения 2,2-диметил-3-метокси-1-пропанола. 1H-NMR (CDCl3/TMS, 300 МГц) Получение 2,2-дибензил-3-метокси-1-пропанола 2,2-Дибензил-3-метокси-1-пропанол 1 был получен из 2,2-дибензил-1,3-пропандиола и йодистого метила по той же методике, что описана выше. 1H-NMR (CDCl3/TMS) Получение 2,2-ди-изо-бутил-3-метокси-1-пропанола 2,2-Ди-изо-бутил-3-метокси-1-пропанол был получен из 2,2-ди-изо-бутил-1,3-пропандиола и йодистого метила по вышеописанной методике. 1H-NMR (CDCl/TMS) Получение 2,2-ди-н-бутил-3-метокси-1 -пропанола 2,2-Ди-н-бутил-3-метокси-1-пропанол был получен из 2,2-ди-н-бутил-1,3-пропандиола и йодистого метила по вышеописанной методике. 1H-NMR (CDCl3/TMS) Получение 2,2-ди-н-пропил-3-метокси-1-пропанола 2,2-Ди-н-пропил-3-метокси-1-пропанол был получен из 2,2-ди-н-пропил-1,3-пропандиола и йодистого метила по вышеописанной методике. 1H-NMR (CDC13/TMS) Пример 1. Получение 2,2-диметил-1-метокси-3-[(триметилсилил)окси]пропана 1 г 2,2-диметил-3-метокси-1-пропанола растворяли в 20 мл дихлорметана. Полученный раствор охлаждали на водяной бане со льдом до температуры ниже 5°С, после этого добавляли 1,65 мл триэтиламина. После перемешивания смеси в течение 5 минут к реакционной смеси добавляли по капле 1,29 мл триметилсилилхлорида, смесь перемешивали на водяной бане со льдом в течение последующих 2 часов, а потом при комнатной температуре в течение еще одного часа. Реакционную смесь промывали водой, органический слой отделяли и затем сушили над безводным сульфатом натрия. После фильтрации фильтрат концентрировали с образованием 1,33 г концентрата. Сырой продукт очищали на хроматографической колонке, используя петролейный эфир как элюент. Получали бесцветное чистое соединение. 1H-NMR (CDCl3/TMS) Пример 2. Получение 2,2-диметил-1-метокси-3-[(этилдиметилсилил) окси]пропана По методике, описанной в Примере 1, 2,2-диметил-1-метокси-3-[(этилдиметилсилил)окси]пропан был получен из промежуточного соединения 2,2-диметил-3-метокси-1-пропанола и этилдиметилсилилхлорида в качестве реагента. 1H-NMR (CDCl3/TMS) Пример 3. Получение 2,2-диметил-1-метокси-3-[(трет-бутилдиметилсилил)окси]пропана 1 г 2,2-диметил-3-метокси-1-пропанола предварительно смешивали с 10 мл N,N-диметилформамида, после этого добавляли 0,29 г имидазола. Смесь охлаждали на водяной бане со льдом, после чего добавляли 1,65 мл триэтиламина. После перемешивания в течение 5 минут медленно добавляли к реакционной смеси 1,65 г трет-бутилдиметилсилилхлорида в 10 мл N,N-диэтилформамида, и смесь перемешивали на бане воды со льдом в течение дальнейших 4 часов. Реакционную смесь разбавляли 10 мл воды и дважды экстрагировали дихлорметаном порциями по 20 мл. Объединенный дихлорметановый экстракт сушили над безводным сульфатом натрия. После фильтрации фильтрат упаривали досуха с образованием 1,78 г концентрата 2,2-диметил-1-метокси-3-[(трет-бутилдиметилсилил)окси]пропана. Сырой продукт очищали на хроматографической колонке, используя петролейный эфир как элюент.Получали бесцветное чистое соединение. 1H-NMR (CDCl3/TMS) Пример 4. Получение 2,2-диметил-1-метокси-3-[(диметилфенилсилил)окси]пропана По методике, описанной в Примере 1, 2,2-диметил-1-метокси-3-[(диметилфенилсилил)окси]пропан получали из промежуточного продукта 2,2-диметил-3-метокси-1-пропанола и реактива диметилфенилсилилхлорида. 1H-NMR (CDCl3/TMS) Пример 5. Получение 2,2-диметил-1-этокси-3-(триметилсилил)окси]пропана По методике, описанной в Примере 1, 2,2-диметил-1-этокси-3-[(триметилсилил)окси]пропан получали из промежуточного продукта 2,2-диметил-3-этокси-1-пропанола и реактива триметилсилилхлорида. 1H-NMR (CDCl3/TMS) Пример 6. Получение 2,2-диметил-1-этокси-3-[(трет-бутилдиметилсилил)окси]пропана По методике, описанной в Примере 3, 2,2-диметил-1-этокси-3-[(трет-бутилдиметилсилил)окси]пропан получали из промежуточного продукта 2,2-диметил-3-этокси-1-пропанола и реактива трет-бутилдиметилсилилхлорида. 1H-NMR (CDC13/TMS) Пример 7. Получение 2,2-дибензил-1-метокси-3-[(триметилсилил)окси]пропана По методике, описанной в Примере 1, 2,2-дибензил-1-метокси-3-[(триметилсилил)окси]пропан получали из промежуточного продукта 2,2-дибензил-3-метокси-1-пропанола и реактива триметилсилилхлорида. 1H-NMR (CDCl3/TMS) Пример 8. Получение 2,2-дибензил-1-метокси-3-[(трет-бутилдиметилсилил)окси]пропана 4,16 ммоль 2,2-дибензил-3-метокси-1-пропанола растворяли в 10 мл N,N-диэтилформамида и затем добавляли 0,14 г (2,08 ммоль) имидазола. Раствор охлаждали на водяной бане со льдом ниже 5°С и после этого добавляли 0,87 мл (6,24 ммоль) триэтиламина. После перемешивания в течение 5 минут к реакционной смеси медленно добавляли раствор 0,88 г (5,82 ммоль) трет-бутилдиметилсилилхлорида в 10 мл N,N-диметилформамида и смесь перемешивали на водяной бане со льдом в течение 2 часов, потом при комнатной температуре в течение еще 1 часа. Реакционную смесь растворяли в 10 мл воды и экстрагировали 30 мл дихлорометана. Органический слой отделяли, дважды промывали порциями по 20 мл воды и сушили над безводным сульфатом натрия. После фильтрации фильтрат концентрировали, с образованием 2,2-дибензил-1-метокси-3-[(трет-бутилдиметилсилил)окси]пропана. 1H-NMR (CDC13/TMS) Пример 9. Получение 2,2-ди-изо-бутил-1-метокси-3-[(триметилсилил)окси]пропана По методике, описанной в Примере 1, 2,2-ди-изо-бутил-1-метокси-3-[(триметилсилил)окси]пропан был получен из промежуточного соединения 2,2-ди-изо-бутил-3-метокси-1-пропанола и реактива триметилсилилхлорида. 1H-NMR (CDCl3/TMS) Пример 10. Получение 2,2-ди-н-бутил-1-метокси-3-[(триметилсилил)окси]пропана По методике, описанной в Примере 1, 2,2-ди-н-бутил-1-метокси-3-[(триметилсилил)окси]пропан был получен из промежуточного соединения 2,2-ди-н-бутил-3-метокси-1-пропанола и реактива триметилсилилхлорида. 1H-NMR (CDC13/TMS) Пример 11. Получение 2,2-ди-н-бутил-1-метокси-3-[(трет-бутилдиметилсилил)окси]- пропана По методике, описанной в Примере 8, 2,2-ди-н-бутил-1-метокси-3-[(трет-бутилдиметилсилил)окси]пропан был получен из промежуточного соединения 2,2-ди-н-бутил-3-метокси-1-пропанола и реактива трет-бутилдиметилсилилхлорида. 1H-NMR (CDCl3/TMS) CH2O). Пример 12. Получение 2,2-ди-н-бутил-1-метокси-3-[(триэтилсилил)окси]пропана По методике, описанной в Примере 1, 2,2-ди-н-бутил-1-метокси-3-[(триэтилсилил)окси]пропан был получен из промежуточного соединения 2,2-ди-н-бутил-3-метокси-1-пропанола и реактива триэтилсилилхлорида. 1H-NMR (CDCl3/TMS) CH2O). Пример 13. Получение 2,2-ди-н-пропил-1-метокси-3-[(триметилсилил)окси]пропана По методике, описанной в Примере 1, 2,2-ди-н-пропил-1-метокси-3-[(триметилсилил)окси]пропан был получен из промежуточного соединения 2,2-ди-н-пропил-3-метокси-1-пропанола и реактива триметилсилилхлорида. 1H-NMR (CDCl3/TMS) Примеры 14-21 и Сравнительный Пример 1 Получение твердого титансодержащего компонента катализатора В реактор, полностью заполненный азотом высокой чистоты, добавляли последовательно 4,8 г двухлористого магния, 95 мл толуола, 4 мл эпихлоргидрина и 12,5 мл трибутилфосфата. Смесь нагревали при перемешивании до 50°С и выдерживали при этой температуре в течение 2,5 часов, в результате этого твердые вещества полностью растворялись. Затем добавляли 1,4 г фталевого ангидрида и перемешивали реакционную смесь при этой температуре в течение еще одного часа. Реакционную смесь охлаждали до температуры ниже -25°С и добавляли по капле в течение часа 56 мл TiCl4, после этого температуру медленно повысили до 80°С. Постепенно во время нагревания осаждалось твердое вещество. К реакционной смеси добавляли 6 ммоль ди-н-бутилфталата и реакцию поддерживали при данной температуре при перемешивании в течение часа. После фильтрования использовали 70 мл толуола для промывания осадка. Промывание повторяли дважды. К полученному твердому осадку добавляли 60 мл толуола и 40 мл TiCl4 при 100°С в течение 2 часов и после удаления маточного раствора осадок снова обрабатывали с 60 мл толуола и 40 мл TiCl4 при 100°С в течение 2 часов. После удаления маточного раствора осадок трижды промывали 60 мл кипящего толуола, потом дважды промывали 60 мл кипящего гексана, дважды промывали 60 мл гексана при комнатной температуре, в результате получали твердый титансодержащий компонент катализатора. Эксперименты по полимеризации пропилена В 5 л автоклав из нержавеющей стали, объем которого был тщательно продут газообразным пропиленом, добавляли 2,5 ммоль AlEt3, 0,1 ммоль эфиров кремния, полученных в вышеприведенных Примерах, или известного циклогексилметилдиметоксисилана, 10 мг твердого титансодержащего компонента катализатора, полученного, как описано выше, и 1 л водорода, после чего вводили 2,3 л жидкого пропилена. Реактор нагревали до 70°С и поддерживали эту температуру постоянной в течение 1 часа. После снижения температуры и сброса давления удаляли порошок полипропиленовой (ПП) смолы. Результаты полимеризации представлены в Таблице 1.
Пример 22 и Сравнительный Пример 2 Эксперименты по полимеризации пропилена были выполнены согласно вышеописанной методике полимеризации, за исключением количества газообразного водорода, которое было изменено до 4 л. Результаты полимеризации обобщены в Таблице 2. Результаты, полученные в Примере 15, а также в Сравнительном Примере 1, представлены в Таблице 2 для сравнения.
Из результатов Таблиц 1 и 2 можно заметить, что, когда эфиры кремния согласно настоящему изобретению используются как внешний электронодонорный компонент катализатора для полимеризации олефина, активность катализатора полимеризации и изотактичность полученного полимерного продукта являются удовлетворительными. Кроме того, при одинаковом количестве газообразного водорода полимеризация с использованием эфиров кремния согласно изобретению дает полимеры, имеющие более высокий индекс расплава, чем полимеризация с применением силановых соединений, обычно используемых в уровне техники, и по мере увеличения количества газообразного водорода индекс расплава увеличивается более значительно. Эти результаты убедительно показывают, что, когда эфиры кремния согласно изобретению используются как внешний электронодонорный компонент катализатора для полимеризации олефина, катализатор показывает хорошую чувствительность к водороду, и это облегчает разработку различных сортов полимеров. Целью изобретения является разработка новых внешних электронодонорных соединений, полезных в полимеризации пропилена. Принято считать, что (тригидрокарбил)гидрокарбилоксисиланы не являются хорошими внешними донорами электронов для полимеризации олефина и не пригодны для увеличения изотактичности полиолефинового продукта. Однако изобретатели установили, что, при использовании предпочтительных эфиров кремния в настоящем изобретении, заменяющих циклогексилметилдиметоксисилан, известный из уровня техники как внешний электронный донор в полимеризации олефина, настоящий катализатор сохраняет свою высокую каталитическую активность, показывает хорошую чувствительность к водороду, а полученный полипропилен имеет высокую изотактичность. Эти результаты показывают, что эфиры кремния данного изобретения представляют собой класс высоко эффективных внешних электронодонорных соединений. Хотя изобретение было описано с помощью конкретных воплощений и примеров, дальнейшие модификации и альтернативные воплощения различных аспектов изобретения будут очевидны для квалифицированных специалистов, принимая во внимание это описание. Соответственно, описание должно рассматриваться только как иллюстративное и его целью является показать способ осуществления изобретения.
Формула изобретения
1. Эфир кремния, имеющий общую формулу (I): 2. Эфир кремния формулы (I) по п.1, в котором R1-R4 группы, которые одинаковые или отличаются друг от друга, представляют собой метил, этил, н-пропил, изопропил, н-бутил, изобутил, трет-бутил, фенил или бензил, группы R5-R8 являются атомом водорода, и группы как R9, так и R10, независимо представляют собой С1-С10 линейный или разветвленный, алифатический, алициклический или ароматический гидрокарбил. 3. Эфир кремния по п.1, имеющий общую формулу (II): 4. Эфир кремния по п.3, в котором группы R3‘ и R4‘ представляют собой независимо метил, этил, н-пропил, изо-пропил, н-бутил, изо-бутил или трет-бутил. 5. Эфир кремния по п.3, в котором группы R1‘ и R2‘ представляют собой метил, а группы R’3 и R4‘ независимо друг от друга представляют собой метил, этил, или трет-бутил. 6. Эфир кремния по п.5, в котором группа R4‘ представляет собой метил или этил. 7. Эфир кремния по п.1, выбранный из группы, состоящей из: 8. Способ получения эфира кремния по п.1, включающий: 9. Способ по п.8, в котором апротонный инертный растворитель выбран из группы, состоящей из дихлорометана, хлороформа, бензола, толуола, н-гексана, циклогексана, петролейного эфира, диэтилового эфира, тетрагидрофурана, метил-трет-бутилового эфира, N,N-диэтилформамида, и их смеси. 10. Способ по п.8, в котором в качестве тригидрокарбилсилилирующего агента используют тригидрокарбилсилилгалогенид, реакцию силилирующего агента и соединения формулы (III) осуществляют в присутствии основания, и исходные вещества берут в таких количествах, что молярное отношение соединение формулы (III): тригидрокарбилсилилгалогенид: основание находится в диапазоне 1:1-1,2:1-1,2. 11. Способ по п.10, в котором основание выбрано из группы, состоящей из Na, K, NaOH, КОН, NaH, KH, CaH2, Na2CO3, K2CO3, NH3, Et3N, Me3N, Bu3N, пиридина, имидазола, 4-диметиламинопиридина и их смеси. 12. Способ по п.8, в котором в качестве силилирующего агента используют гексагидрокарбилдисилазан и исходные вещества берут в таком количестве, что молярное соотношение между количеством соединения формулы (III) и количеством гексагидрокарбилдисилазана находится в диапазоне 1:0,5-0,6. 13. Способ полимеризации олефинов, в котором в качестве внешнего электронодонорного соединения используют эфир кремния по п.1. 14. Способ по п.13, в котором упомянутая полимеризация является гомополимеризацией или сополимеризацией пропилена.
|
||||||||||||||||||||||||||||||||||||||||||||||||||||||||||||||||||||||||||||||||||||||


aR12


(ppm): 0.91(s, 6H, 2СН3), 2.77(t, 1H, ОН), 3.25(s, 2Н, -CH2O-), 3.34(s, 3H, ОСН3), 3.44(d, 2H, -CH2O-).

