|
|
(21), (22) Заявка: 2008106382/04, 18.02.2008
(24) Дата начала отсчета срока действия патента:
18.02.2008
(46) Опубликовано: 10.12.2009
(56) Список документов, цитированных в отчете о поиске:
ДЖЕМИЛЕВ У.М. И ДР. Изв. АН. Сер. Хим., 2, 1992, с.386-391. RU 2160269 C1, 10.12.2000. RU 2313531 C1, 10.12.2000. RU 2295532 C1, 20.03.2007. RU 2295530 C1, 20.03.2007. US 5030741 A, 09.07.1991. NEGISHE E. ET AL. Tetrahedron Lett., 39, 1998, p.2503.
Адрес для переписки:
450075, Республика Башкортостан, г.Уфа, просп. Октября, 141, ИНК РАН, патентная группа
|
(72) Автор(ы):
Джемилев Усеин Меметович (RU), Дьяконов Владимир Анатольевич (RU), Тимерханов Рустам Камилевич (RU), Ибрагимов Асхат Габдрахманович (RU), Халилов Леонард Мухибович (RU)
(73) Патентообладатель(и):
ИНСТИТУТ НЕФТЕХИМИИ И КАТАЛИЗА РОССИЙСКОЙ АКАДЕМИИ НАУК (RU)
|
(54) СПОСОБ СОВМЕСТНОГО ПОЛУЧЕНИЯ 3-ЭТИЛ-3-АЛЮМИНАПЕНТАЦИКЛО-[12.5.1.02,13.04,12.015,19]-ИКОЗА-4,16-ДИЕНА И 3-ЭТИЛ-3-АЛЮМИНАПЕНТАЦИКЛО-[12.5.1.02,13.04,12.015,19]-ИКОЗА-4,17-ДИЕНА
(57) Реферат:
Изобретение относится к области органического синтеза, в частности к способу получения новых алюминийорганических соединений, которые могут найти применение в качестве компоненты каталитических систем в процессах олиго- и полимеризации олефиновых, диеновых и ацетиленовых углеводородов, а также в тонком органическом и металлоорганическом синтезах. Описывается способ совместного получения региоизомерных 3-этил-3-алюминапентацикло[12.5.1.02,13.04,12.015,19]-икоза-4,16-диена (1) и 3-этил-3-алюминапентацикло[12.5.1.02,13.04,12.015,19]-икоза-4,17-диена (2) взаимодействием циклонона-1,2-диена и дициклопентадиена с этилалюминийдихлоридом в присутствии металлического магния и катализатора цирконацендихлорида в атмосфере аргона при комнатной температуре в тетрагидрофуране в течение 8-12 часов. Предложенный способ позволяет получить новые алюминийорганические соединения (1) и (2) с высоким выходом, в целом составляющим 74-92%, которые могут найти широкое применение в химической промышленности. 1 табл.
Изобретение относится к способам получения новых алюминийорганических соединений (АОС), конкретно к способу получения региоизомерных 3-этил-3-алюминапентацикло-[12.5.1.02,13.04,12.015,19] -икоза-4,16-диена и 3-этил -3-алюминапентацикло[12.5.1.02,13.04,12.015,19]-икоза-4,17-диена общей формулы (1) и (2).

Указанные соединения могут найти применение в качестве компоненты каталитических систем в процессах олигомеризации и полимеризации олефинов и диеновых углеводородов, а также в тонком, промышленном органическом и металлоорганическом синтезе.
Известен способ (У.М.Джемилев, А.Г.Ибрагимов, А.П.Золотарев, Л.М.Халилов, Р.Р.Муслухов. Синтез и превращения металлоциклов. Синтез полициклических алюмациклопентанов с участием ( 5-C5H5)2ZrCl2. Изв. АН. Сер. хим., 2, 1992, с.386-391) получения непредельного трициклического соединения, а именно 3-этил-3-алюматрицикло[5.2.1.02,6] дец-8-ена (3) взаимодействием норборнена с AlEt3 в присутствии катализатора Cp2ZrCl2 в углеводородных растворителях или без растворителя при температуре ~20°С за 12-14 часов по схеме:

Известным способом не могут быть получены непредельные региоизомерные пентациклические алюминийорганические соединения (1) и (2).
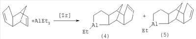
Известен способ (У.М.Джемилев, А.Г.Ибрагимов, А.П.Золотарев, Л.М.Халилов, Р.Р.Муслухов. Синтез и превращения металлоциклов. Синтез полициклических алюмациклопентанов с участием ( 5-C5H5)2ZrCl2. Изв. АН. Сер. хим., 2, 1992, с.386-391) получения смеси непредельных региоизомерных тетрациклических алиминийорганических соединений, а именно 3-этил-3-алюматетрацикло[5.5.1.02,6.08,12] тридец-9-ена (4) и 3-этил-3-aлюмaтeтpaциклo[5.5.1.02,6.08,12] тpидeц-10-eнa (5) взаимодействием дициклопентадиена с А1Еt3 в присутствии катализатора Cp2ZrCl2 в углеводородных растворителях или без растворителя при температуре ~20°С за 12-14 часов по схеме:

Известный способ не позволяет синтезировать непредельные региоизомерные пентациклические алюминийорганические соединения (1) и (2).
Таким образом, в литературе отсутствуют сведения по получению региоизомерных 3-этил-3-алюминапентацикло-[12.5.1.02,13.04,12.015,19]-икоза-4,16-диена и 3-этил-3-алюминапентацикло-[12.5.1.02,13.04,12.015,19]-икоза-4,17-диена общей формулы (1) и (2).
Предлагается новый способ региоселективного синтеза региоизомерных 3-этил-3-алюминапентацикло-[12.5.1.02,13.04,12.015,19]-икоза-4,16-диена и 3-этил-3-алюминапентацикло-[12.5.1.02,13.04,12.015,19]-икоза4,17-диена общей формулы (1) и (2).
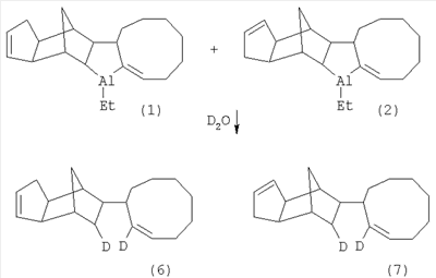
Сущность способа заключается во взаимодействии эквимольной смеси циклонона-1,2-диена и дициклопентадиена с этилалюминийдихлоридом (EtAlCl2) и металлическим магнием (порошок) в присутствии катализатора цирконацендихлорида (Cp2ZrCl2), взятых в мольном соотношении циклонона-1,2-диeн: дициклoпeнтaдиeн:EtAlCl2: Mg: Cp2ZrCl2=10:10:(10-14):(10-14):(0.8-1.2), предпочтительно 10:10:12:12:1. Реакцию проводят в атмосфере аргона при комнатной температуре (~20°С) и атмосферном давлении. Время реакции 8-12 часов, выход целевого продукта 74-92%. В качестве растворителя необходимо использовать тетрагидрофуран (ТГФ), в других эфирных растворителях (эфир, диоксан) выход целевых продуктов (1) и (2) значительно снижается. Реакция протекает по схеме:

Реакция сопровождается выделением эквимольного количества MgCl2. Целевые продукты (1) и (2) образуются только лишь с участием циклонона-1,2-диена, дициклопентадиена, EtAlCl2 и Mg (акцептор галогенид-ионов) с участием катализатора Cp2ZrCl2. В присутствии других диенов или соединений алюминия (например, Е13А1, изо-Вu3Al, изо-Вu2АlCl, изо-Bu2AlH), или других комплексов переходных металлов (например, Zr(acac)4, Cp2TiC2, Pd(acac)2, Ni(acac)2, Fе(асас)3) целевые продукты (1) и (2) не образуются.
Проведение реакции в присутствии катализатора Cp2ZrCl2 больше 12 мол. % по отношению к циклонона-1,2-диену не приводит к существенному увеличению выхода целевых продуктов (1) и (2). Использование в реакции катализатора Cp2ZrCl2 менее 8 мол. % снижает выход АОС (1) и (2), что связано со снижением каталитически активных центров в реакционной массе. Опыты проводили при комнатной температуре ~20°С. При более высокой температуре (например, 50°С) увеличивается содержание продуктов уплотнения, при меньшей температуре (например, 0°С) снижается скорость реакции.
Изменение соотношения исходных реагентов в сторону увеличения содержания EtAlCl2 или Mg по отношению к циклонона-1,2-диену не приводит к значительному повышению выхода целевых продуктов (1) и (2). Снижение количества EtAlCl2 или Mg по отношению к циклонона-1,2-диену уменьшает выход региоизомерных АОС (1) и (2).
Существенные отличия предлагаемого способа:
1. Предлагаемый способ базируется на использовании в качестве исходных реагентов циклонона-1,2-диена, дициклопентадиена, этилалюминий-дихлорида и металлического магния в качестве акцептора галогенид-ионов. Реакция идет в среде эфирного растворителя (ТГФ). В известном способе в качестве исходных реагентов применяются дициклопентадиен и триэтилалюминий. Реакция идет в алифатических растворителях или без растворителя.
Предлагаемый способ обладает следующими преимуществами:
1. Способ позволяет получать региоизомерные 3-этил-3-
алюминапентацикло[12.5.1.02,13.04,12.015,19]-икоза-4,16-диен и 3-этил-3- алюминапентацикло[12.5.1.02,13.04,12.015,19]-икоза-4,17-диен общей формулы (1) и (2), синтез которых в литературе не описан.
Способ поясняется следующими примерами:
ПРИМЕР 1. В стеклянный реактор, установленный на магнитной мешалке в атмосфере аргона помещают 4 мл тетрагидрофурана (ТГФ), 1 ммоль Cp2ZrCl2, 10 ммолей дициклопентадиена, 12 мг-ат. Mg (порошок) и при температуре ~0°С 12 ммолей EtAlCl2. При комнатной температуре по каплям в течение 3 часов добавляют раствор 10 ммолей циклонона-1,2-диена в 6 мл ТГФ и перемешивают при комнатной температуре еще 7 часов. Получают региоизомерные 3-этил-3-алюминапентацикло- [12.5.1.02,13.04,12.015,19]-икоза-4,16-диен и 3-этил-3-алюминапентацикло-[12.5.1.02,13.04,12.015,19]-икоза-4,17-диен общей формулы (1) и (2) в соотношении ~ 1:1 с общим выходом 84%. Выход целевых продуктов определяли по продуктам гидролиза. При дейтеролизе региоизомерных АОС (1) и (2) образуются, соответственно, 9-дейтеро-8-(2-дейтеро-2-циклононенил)трицикло[5.2.1.02,6]-дец-3-ен (6) 9-дейтеро-8-(2-дейтеро-2-циклононенил)трицикло[5.2.1.02,6]-дец-4-ен (7) в соотношении ~1:1.

Спектральные характеристики продуктов дейтеролиза (6) и (7).
Спектр ЯМР 1Н (CDCl3, , м.д.) 9-дейтеро-8-(2-дейтеро-2-циклононенил)трицикло[5.2.1.02,6]-дец-3-ена (b): 25.01, 25.12, 25.45, 26.15, 28.86, 31.94, 33.27, 37.02 (т, JCD=19 Гц), 39.40, 42.31, 42.80, 44.04, 47.57, 49.15, 51.82, 129.15, 130.49 (т, JCD=24.5 Гц), 132.00, 132.08.
Спектр ЯМР 13С( , м.д.) 9-дейтеро-8-(2-дейтеро-2-циклононенил) трицикло[5.2.1.02,6]-дец-4-ена (7): 25.01, 25.12, 25.49, 26.15, 28.86, 31.94, 33.27, 37.14 (т, JCD=19.05 Гц), 39.29, 41.42, 42.31, 43.89, 46.75, 51.32, 129.15, 132.00, 130.47 (т, JCD=24.5 Гц), 132.2.
Другие примеры, подтверждающие способ, приведены в таблице.
 п/п |
Мольное соотношение циклонона-1,2-диен: дициклопентадиен: EtAlCl2:Mg:Cp2ZrCl2, ммоль |
Время реакции, час |
Общий выход (1)и(2), % |
| 1 |
10:10:12:12:1 |
10 |
84 |
| 2 |
10:10:14:12:1 |
10 |
86 |
| 3 |
10:10:10:12:1 |
10 |
77 |
| 4 |
10:10:12:14:1 |
10 |
85 |
| 5 |
10:10:12:10:1 |
10 |
79 |
| 6 |
10:10:12:12:1.2 |
10 |
92 |
| 7 |
10:10:12:12:0.8 |
10 |
74 |
| 8 |
10:10:12:12:1 |
12 |
88 |
| 9 |
10:10:12:12:1 |
8 |
78 |
Все опыты проводили при комнатной температуре (~20°С) в тетрагидрофуране. В других эфирных растворителях (эфир, диоксан) выход целевых продуктов (1) и (2) значительно снижается.
Формула изобретения
Способ совместного получения региоизомерных 3-этил-3-алюминапентацикло[12.5.1.02,13.04,12.015,19] икоза-4,16-диена и 3-этил-3-алюминапентацикло[12.5.1.02,13.04,12.015,19]-икоза-4,17-диена общей формулы (1) и (2)
 характеризующийся тем, что циклонона-1,2-диен и дициклопентадиен взаимодействуют с этилалюминийдихлоридом (EtAlCl2) и металлическим магнием в присутствии катализатора цирконацендихлорида (Cp2ZrCl2) в мольном соотношении циклонона-1,2-диен:дициклопентадиен:EtAlCl2:Mg:Cp2ZrCl2=10:10:10-14:10-14:0,8-1,2 в атмосфере аргона при температуре 20°С и нормальном давлении в тетрагидрофуране в течение 8-12 ч.
|
|