|
|
(21), (22) Заявка: 2006126061/04, 14.12.2004
(24) Дата начала отсчета срока действия патента:
14.12.2004
(30) Конвенционный приоритет:
20.12.2003 DE 10360154.6 30.01.2004 US 60/539,961 27.05.2004 DE 102004026026.5
(43) Дата публикации заявки: 10.02.2008
(46) Опубликовано: 10.12.2009
(56) Список документов, цитированных в отчете о поиске:
HADDE, MARK ET AL: “Synthesis and reactivity of hexahiropyrrologuinoli-nes” TETRAHEDRON, 2001, vol. 57, стр.5615-5624. KATRITZKY, ALAN ET AL: ” Synthesis of 4-(dialkilammo)tetrahidroquinolines”, Journal of organicl chemistry, 1995, vol. 60, с.3993-4001. YAUN MA ET AL: “Lanthanide Chloride Catalyzed imino Diels Alder reaction” Journal of organiclchemistry, 1999, vol. 64, стр.6462-6467. ANNUNZIATA, RITA ET AL, “Polyethylenglycol-supported 4-Alkylthio-substited aniline-a useful starting material for synthesis of imines and tetrahydrois-quinolines”, EUR. JOURNAL OF ORG. CHEMISTRY, 2002, 7, стр.1184-1190. WO 02/078639 А, 10.10.2002. RU 2048466 С1, 20.11.1995.
(85) Дата перевода заявки PCT на национальную фазу:
20.07.2006
(86) Заявка PCT:
EP 2004/014205 20041214
(87) Публикация PCT:
WO 2005/063735 20050714
Адрес для переписки:
101000, Москва, М.Златоустинский пер., 10, кв.15, “ЕВРОМАРКПАТ”, пат.пов. И.А.Веселицкой, рег. 11
|
(72) Автор(ы):
Кай ШИМАНН (DE), Ульрих ЭМДЕ (DE), Дирк ФИНЗИНГЕР (DE), Иоганнес ГЛАЙТЦ (DE), Хельмут РОЙБОЛЬД (DE), Франк ЦЕНКЕ (DE)
(73) Патентообладатель(и):
МЕРК ПАТЕНТ ГМБХ (DE)
|
(54) ПРОИЗВОДНЫЕ 2-(ГЕТЕРО)АРИЛ-ЗАМЕЩЕННЫХ ТЕТРАГИДРОХИНОЛИНОВ
(57) Реферат:
Изобретение относится к соединениям формулы I 
в которой W, R, R1, R2, R3, R4, R5, R6 и R7 принимают значения, указанные в п.1 формулы изобретения, а также к способу получения этих соединений, лекарственному средству на их основе, предназначенному для лечения болезней, на которые может повлиять ингибирование, регулирование и/или модуляция митотического двигательного белка Eg5, к смеси и применению данных соединений для приготовления лекарственного средства. Технический результат: получены и описаны новые соединения, которые могут найти свое применение в лечении опухолей. 10 н. и 20 з.п. ф-лы, 3 табл., 25 ил.
Текст описания приведен в факсимильном виде.                                                                                                                                                                                                                                     
Формула изобретения
1. Соединения формулы I
 в которой W представляет собой СН или N, R1, R2, R3, независимо друг от друга, представляют собой Н, А, арил, гетероарил, Hal, -(CY2)n-SA, -(CY2)n-SCF3, -(CY2)n-SCN, -(CY2)n-CF3, -(CY2)n-ОСF3, циклоалкил, -SСН3, -SCN, -СF3, -ОСF3, -ОА, -(CY2)n-OH, -(CY2)n-CO2R, -(CY2)n-CN, -(CY2)n-Hal, -(CY2)n-NR2, (CY2)n-OA, (CY2)n-OCOA, -SCF3, (CY2)n-CONR2, -(CY2)n-NHCOA, -(CY2)n-NHSO2A, SF5, Si(СН3)3, СО-(СY2)n-СН3, -(СY2)n-N-пирролидон, CH(CH2)nNRCOOR, CHNRCOOR, NCO, CH(CH2)nCOOR, NCOOR, CH(CH2)nOH, N(CH2)nOH, CHNH2, CH(CH2)nNR2, CH(CH2)nNR2, C(OH)R, CHNCOR, СН(СН2)n-арил, СН(СН2)n-гетероарил, CH(CH2)nR1, N(CH2)nCOOR, СН(СН2)nХ(СН2)n-арил, СН(СН2)nХ(СН2)n-гетероарил, N(CH2)nCONR2, XCONR(CH2)nNR2, N[(CH2)nXCOOR]CO(CH2)n-арил, N[(СН2)nХR]СО(СН2)n-арил, N[(CH2)nXR]CO(CH2)nX-арил, N[(CH2)nXR]SO2(CH2)n-арил, N[(CH2)nNRCOOR]CO(CH2)n-арил, N[(CH2)nNR2]CO(CH2)n-арил, N[(CH2)nNR2]CO(CH2)nNR-арил, N[(CH2)nNR2]SO2(CH2)n-арил, N[(CH2)nXR]CO(CH2)n-гетероарил, N[(CH2)nXR]CO(CH2)nX-гетероарил, N[(CH2)nXR]SO2(CH2)n-гетероарил, N[(CH2)nNRCOOR]CO(CH2)n-гетероарил, N[(CH2)nNR2]CO(CH2)n-гетероарил, N[(CH2)nNR2]CO(CH2)nNR-гетероарил, N[(CH2)nNR2]SO2(CH2)n-гетероарил, O(CH2)nNR2, X(CH2)nNR2, NCO(CH2)nNR2, R1 и R2 вместе также представляют собой -N-C(CF3)=N-, -N-CR=N-, -N-N-N-, Y представляет собой Н, A, Hal, А представляет собой алкил или циклоалкил, в котором один или более Н атомов могут быть заменены на Hal, Hal представляет собой F, Cl, Вr или I, R представляет собой Н или А, в случае геминальных радикалов R вместе также -(СН2)5-, -(СН2)4– или -(СН2)2-Х-(СН2)2, или -(CH2)2-Z-(CH2)n, R4, R5, независимо друг от друга, представляют собой Н или незамещенный или моно- или поли-OR-, NO2-, Hal-, СF3-, ОСF3-, CN-, NR2– или SR-, арил- или гетероарил-замещенный N-пирролидоновый радикал, -X-(CH2)2OR, -Х-СО(СН2)nСН3, -X-(CH2)2NR2, R1, S-арил, O-арил, СН2Si(СН3)3, или вместе представляют собой -X(CR2)2-, -Х-(СR2)3-, -Х-(СНСН2OR)(СН2)2-, -X-(CHCH2NR2)(CH2)2-, -X(CH2)2NR2, -(СR2)3-, -(CR2)4-, -CR=CR-CR=CR-, -XCHQ(CR2)2-, -XCHQCR2-, R-N-(C=X)-N-R, -XC[(CH2)nOR]2CH2CH2-, X представляет собой О, S или NR, Q представляет собой СН2Наl, СНО, CORa, CH2Ra, CH2OCORa, CH2NCOR1, CH2N(R1)2, CH2OR1, CH2OCON(R1)2, CH2OCOOR1, CH2NHCON(R1)2, CH2NHCOOR1, Ra представляет собой
 
 
 
 
 
 
 
 
 OR, NHR2, NR2, NR(CH2)n-арил, NR(CH2)nOR, COOR, N-пирролидоновый радикал, OCOR, NR(CH2)nNR2, N[(CH2)nNR2]CO(CH2)n-арил, N[(CH2)nNHCOOR]CO-арил, R1, N[CH2(CH2)nOR]2, NR(CH2)nNCOOR, X(CH2)nX(CH2)nXR, NR(CH2)nX(CH2)nOH, NR(CH2)nO(CH2)nOH, (CH2)nCOOR, O(CO)NR(CH2)nOR, O(CO)(CH2)nNR2, NR(CH2)nNR2, N[(CH2)nNR2]CO(CH2)n-арил, N[(CH2)nXR]CO(CH2)n-арил, N[(СН2)nХR]СО(СН2)n-гетероарил, N[(CH2)nNR2]CO(CH2)n-гетероарил, N[(CH2)nNR2]CO(CH2)nR1, N(R)(CH2)nN(R)COOR, XCOO(CH2)nNR2, OSO2A, OSO2CF3, OSO2Ar, OCONR2, OCH2(CH2)nNR2, Z представляет собой СН2, X, CHCONH2, CH(CH2)nNRCOOR, CHNRCOOR, NCO, CH(CH2)nCOOR, NCOOR, CH(CH2)nOH, N(CH2)nOH, CHNH2, CH(CH2)nNR2, CH(CH2)nNR2, C(OH)R, CHNCOR, СН(СН2)n-арил, СН(СН2)n-гетероарил, CH(CH2)nR1, N(CH2)nCOOR, СН(СН2)nХ(СН2)n-арил, СН(СН2)nХ(СН2)n-гетероарил, N(CH2)nCONR2, XCONR(CH2)nNR2, N[(СН2)nХСООR]СО(СН2)n-арил, N[(СН2)nХR]СО(СН2)n-арил, N[(СН2)nХR]СО(СН2)nХ-арил, N[(CH2)nXR]SO2(CH2)n-арил, N[(CH2)nNRCOOR]CO(CH2)n-арил, N[(CH2)nNR2]CO(CH2)n-арил, N[(CH2)nNR2]CO(CH2)nNR-арил, N[(CH2)nNR2]SO2(CH2)n-арил, N[(CH2)nXR]CO(CH2)n-гетероарил, N[(CH2)nXR]CO(CH2)nX-гетероарил, N[(CH2)nXR]SO2(CH2)n-гетероарил, N[(CH2)nNRCOOR]CO(CH2)n-гетероарил, N[(CH2)nNR2]CO(CH2)n-гетероарил, N[(CH2)nNR2]CO(CH2)nNR-гетероарил, N[(СН2)nNR2]SO2(СН2)n-гетероарил, O(CH2)nNR2, X(CH2)nNR2, NCO(CH2)nNR2, R6 представляет собой арил или гетероарил, каждый из которых является незамещенным или моно- или полизамещенным арилом или гетероарилом, каждый из которых может быть замещен группами Hal, NO2, CN, A, OR, OCOR, COR, NR2, СF3, ОСF3, ОСН(СF3)2, или группами Hal, NO2, CN, OR, A, -(CY2)n-OR, -OCOR, -(CY2)n-CO2R, -(CY2)n-CN, -NCOR, -COR или -(CY2)n-NR2, R7 представляет собой (C=O)-R, (C=O)-NR2, (C=O)-OR, H или А, m представляет собой 0, 1 или 2 и n представляет собой 0, 1, 2, 3, 4, 5, 6 или 7, и их фармацевтически приемлемые производные, сольваты, таутомеры, соли и стереоизомеры, включая их смеси во всех соотношениях, за исключением 5-Фенил-3,4,4а,5,6,10b-гексагидро-2Н-пиран[3,2-с]хинолина, 7-Хлор-5-фенил-3,4,4а,5,6,10b-гексагидро-2Н-пиран[3,2-с]хинолина, 9-Хлор-5-фенил-3,4,4а,5,6,10b-гексагидро-2Н-пиран[3,2-с]хинолина, 7-Метил-5-фенил-3,4,4а,5,6,10b-гексагидро-2Н-пиран[3,2-с]хинолина, 5-Фенил-3,4,4а,5,6,10b-гексагидро-2Н-пиран[3,2-с]хинолин-7-ола, 9-Метокси-5-фенил-3,4,4а,5,6,10b-гексагидро-2Н-пиран[3,2-с]хинолина, 10-Хлор-5-фенил-3,4,4а,5,6,10b-гексагидро-2Н-пиран[3,2-с]хинолина, 9,10-Дихлор-5-фенил-3,4,4а,5,6,10b-гексагидро-2Н-пиран[3,2-с]хинолина, 8-Хлор-5-фенил-3,4,4а,5,6,10b-гексагидро-2Н-пиран[3,2-с]хинолина, 8,9-Дихлор-5-фенил-3,4,4а,5,6,10b-гексагидро-2Н-пиран[3,2-с]хинолина, 4-Фенил-2,3,3а,4,5,9b-гексагидрофуро [3,2-с]хинолина, 8-Метокси-4-фенил-2,3,3а,4,5,9b-гексагидрофуро [3,2-с]хинолина, 6-Метил-4-фенил-2,3,3а,4,5,9b-гексагидрофуро [3,2-с]хинолина, 4-Фенил-2,3,3а,4,5,9b-гексагидрофуро [3,2-с]хинолин-6-ола, 8-Хлор-4-фенил-2,3,3а,4,5,9b-гексагидрофуро [3,2-с]хинолина, 8-Нитро-4-фенил-2,3,3а,4,5,9b-гексагидрофуро [3,2-с]хинолина, 1-(2-Фенил-1,2,3,4-тетрагидрохинолин-4-ил)пирролидин-2-она, 3,3-Диметил-2-фенил-1,2,3,4-тетрагидрохинолина, 4-Бензилокси-3,3-диметил-2-фенил-1,2,3,4-тетрагидрохинолина, 4-Метокси-2-фенил-1,2,3,4-тетрагидрохинолина, 2-(4-Фторфенил)-4-метокси-1,2,3,4-тетрагидрохинолина, 2-Фуран-2-ил-4-метокси-1,2,3,4-тетрагидрохинолина, 1-(3-Пентил-2-п-толил-1,2,3,4-тетрагидрохинолин-4-ил)пирролидин-2-она, и 1-(1-Метил-2-фенил-1,2,3,4-тетрагидрохинолин-4-ил)пирролидин-2-она.
2. Соединения по п.1, в которых R1 представляет собой А, СF3, ОСF3, SA, SCN, CH2CN, -ОСОА, Hal, SCF3, трет-бутил, -СН(СН3)СН2СН3, изопропил, этил или метил.
3. Соединения по п.1, в которых R2 представляет собой F или Н.
4. Соединения по п.1, в которых R3 представляет собой F или Н.
5. Соединения по п.1, в которых R4 предпочтительно представляет собой одну из следующих групп, если R5 представляет собой Н:
или  Х и R принимают значения, указанные в п.1.
6. Соединения по п.1, в которых R5 представляет собой Н.
7. Соединения по п.1, в которых R5, вместе с R4, принимает одно из следующих значений:
, , , , или , в которых X, R и Ra принимают значения, указанные в п.1.
8. Соединения по п.1, в которых R6 представляет собой фенил, 2-, 3- или 4-пиридил, пиримидил, фурил или тиенил, каждый из которых является незамещенным или моно- или полизамещенным групами Hal, CN, NO2, ОН, СF3, ОСН(СF3)2, ОСОСН3 или А.
9. Соединения по п.1, в которых R6 представляет собой одну из следующих групп:
, , , , ,
, , , , , ,
, , , , ,
, , , ,
, , , , .
10. Соединения по п.1, в которых R7 представляет собой Н.
11. Соединения по п.1 суб-формул IA-ID:



 в которых R, R1, R2, R3, R4, R5, R6, R7 и Х принимают значения, указанные в п.1 и R8 представляет собой Н, CH2OR или CH2NR2.
12. Соединения по п.1 суб-формул А и В:
  в которых R1, R2, R3, R4, R5, R6, R7 принимают значения, указанные в п.1, и их рацемат или другие смеси энантиомеров.
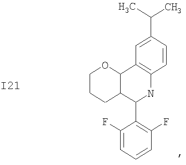
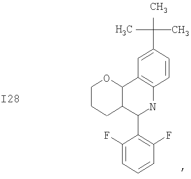
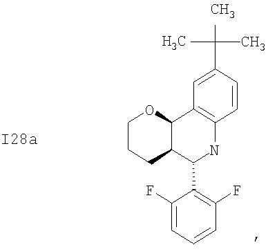
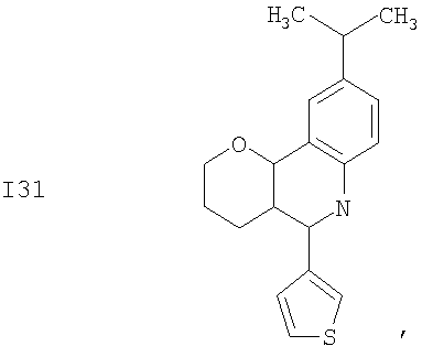
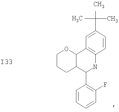
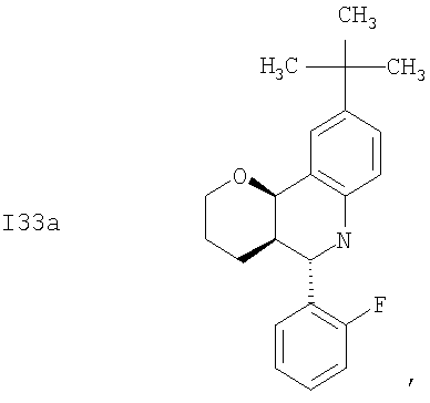
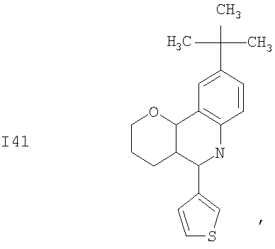
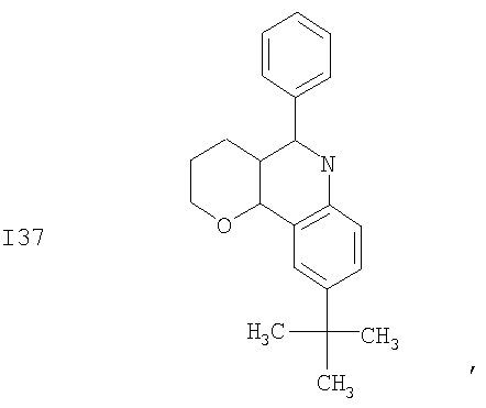
13. Соединения суб-формул I1-I45а:










































































14. Способ получения соединений формулы I по пп.1-13 и их фармацевтически приемлемых производных, солей, сольватов, таутомеров и стереоизомеров, отличающийся тем, что соединение формулы II
 в которой R1, R2 и R3 принимают значения, указанные в п.1, вводят в реакцию с соединением формулы III
 в которой R6 принимает значения, указанные в п.1, и с соединением формулы IV, его изомером с двойной связью (Е изомером) или их смесями
 в которой R4 и R5 принимают значения, указанные в п.1, и, если необходимо, радикал R7, который представляет собой Н, превращают в радикал R7, который принимает значение, отличающееся от Н, и/или, если необходимо, основание или кислоту формулы I превращают в одну из ее солей.
15. Способ по п.14, отличающийся тем, что реакцию выполняют в присутствии протонной кислоты или кислоты Льюиса.
16. Способ по п.14, отличающийся тем, что реакцию выполняют в присутствии трифторуксусной кислоты, гексафторизопропанола, висмута (III) хлорида, иттербия (III) трифлата, скандия (III) трифлата или церия (IV) аммония нитрата.
17. Лекарственные средства, предназначенные для лечения болезней, на которые может повлиять ингибирование, регулирование и/или модуляция митотического двигательного белка Eg5, включающие по крайней мере одно соединение формулы I по пп.1-13 и/или его фармацевтически приемлемые производные, соли, сольваты, таутомеры и стереоизомеры, включая их смеси во всех соотношениях, и необязательно наполнители и/или вспомогательные вещества.
18. Смесь, содержащая одно или более соединений формулы I и определенное количество одного или более соединений формулы V, их аналогов и/или их метаболитов
 в которой Y’ и Z’ каждый, независимо друг от друга, представляет собой О или N, R9 и R10 каждый, независимо друг от друга, представляют собой Н, ОН, галоген, OC1-10-алкил, ОСF3, NO2 или NH2, n представляет собой целое число между 2 и 6 включительно, и R8 и R11 каждый, независимо друг от друга, находится в мета- или пара-положении, и выбраны из группы:
   и
  
19. Смесь по п.18, в которой используемое соединение формулы V представляет собой пентамидин или его соли.
20. Применение соединений по пп.1-13 и их фармацевтически приемлемых производных, солей, сольватов, таутомеров и стереоизомеров, включая их смеси во всех соотношениях, или смеси по п.18, для приготовления лекарственного средства для лечения болезней, на которые может влиять ингибирование, регулирование и/или модуляция митотического двигательного белка Eg5.
21. Применение соединения по пп.1-13 или смеси по п.18, для приготовления лекарственного средства для лечения и профилактики опухолевых болезней.
22. Применение по п.21, в котором опухолевые болезни связаны с опухолью из группы опухолей чешуйчатого эпителия, мочевого пузыря, желудка, почек, головы и шеи, пищевода, шейки матки, щитовидной железы, кишечника, печени, мозга, простаты, мочеполового тракта, лимфатической системы, желудка, гортани и/или легкого.
23. Применение по п.22, в котором опухоль выбрана из группы, которая включает моноцитарный лейкоз, аденокарциному легкого, мелкоклеточные карциномы легкого, рак поджелудочной железы, глиобластомы и карциному молочной железы и карциному кишечника.
24. Применение по п.21, в котором опухолевые болезни, которые необходимо лечить, представляют собой опухоли кровеносной и иммунной системы.
25. Применение по п.24, в котором опухоль происходит из группы, которая включает острую миелотическую лейкемию, хроническую миелотическую лейкемию, острую лимфатическую лейкемию и/или хроническую лимфатическую лейкемию.
26. Применение соединений по пп.1-13 и/или их физиологически приемлемых солей и сольватов для приготовления лекарственного средства для лечения опухолей в комбинации с терапевтически эффективным количеством одного или более соединений формулы V, их аналогов и/или их метаболитов
 в которой Y’ и Z’ каждый, независимо друг от друга, представляет собой О или N, R9 и R10 каждый, независимо друг от друга, представляют собой Н, ОН, галоген, ОС1-10алкил, ОСF3, NO2 или NH2, n представляет собой целое число между 2 и 6 включительно, и R8 и R11 каждый находится, независимо друг от друга, предпочтительно в мета- или пара-положении, и выбраны из группы:
   и
   где соединения формулы I и соединения формулы V, их аналоги и/или их метаболиты вводят одновременно или в пределах 14 дней один от другого в количествах, которые являются достаточными для того, чтобы ингибировать рост опухоли или других гиперпролиферативных клеток.
27. Применение по п.26, где используемое соединение формулы V представляет собой пентамидин или его соли.
28. Применение соединений формулы I по пп.1-13 и/или их физиологически приемлемых производных, солей и сольватов для приготовления лекарственного средства для лечения опухолей, в котором терапевтически эффективное количество соединения формулы I применяют в комбинации с радиотерапией и соединением из группы, которая включает: 1) модулятор эстрогенового рецептора, 2) модулятор андрогенового рецептора, 3) модулятор ретиноидного рецептора, 4) цитотоксический агент, 5) антипролиферативный агент, 6) ингибитор фенил-протеин-трансферазы, 7) ингибитор HMG-CoA редуктазы, 8) ингибитор ВИЧ протеазы, 9) ингибитор обратной транскриптазы и 10) другие ингибиторы ангиогенеза.
29. Соединения формулы I,
 в которых Q представляет собой CH2Ra, и Ra принимает одно из следующих значений: NHR2, NR2, NR(CH2)nарил, NR(CH2)nOR, COOR, N-пирролидоновый радикал, OCOR, NR(CH2)nNR2, N[(CH2)nNR2]CO(CH2)nарил, N[(CH2)nNHCOOR]COарил, R1, N[CH2(CH2)nOR]2, NR(CH2)nNCOOR, X(CH2)nX(CH2)nXR, NR(CH2)nX(CH2)nOH, NR(CH2)nO(CH2)nOH, (CH2)nCOOR, O(CO)NR(CH2)nOR, O(CO)(CH2)nNR2, NR(CH2)nNR2, N[(CH2)nNR2]CO(CH2)nарил, N[(CH2)nXR]CO(CH2)nарил, N[(СН2)nХR]СО(СН2)nгетероарил, N[(CH2)nNR2]CO(CH2)nгетероарил, N[(CH2)nNR2]CO(CH2)nR1, N(R)(CH2)nN(R)COOR, XCOO(CH2)nNR2, OSO2A, OSO2CF3, OSO2Ar, OCONR2 или OCH2(CH2)nNR.
30. Соединение формулы
 и его фармацевтически приемлемые производные, сольваты, таутомеры, соли и стереоизомеры, включая их смеси в любых соотношениях.
РИСУНКИ
|
|