|
|
(21), (22) Заявка: 2006135393/12, 07.04.2005
(24) Дата начала отсчета срока действия патента:
07.04.2005
(30) Конвенционный приоритет:
09.04.2004 EP 04101478.8
(43) Дата публикации заявки: 20.04.2008
(46) Опубликовано: 10.12.2009
(56) Список документов, цитированных в отчете о поиске:
ЕР 1275588 А1, 15.01.2003. ЕР 1332969 А1, 06.08.2003. ЕР 1172301 А1, 16.01.2002. RU 2157330 С2, 10.10.2000. US 5975414 А, 02.11.1999.
(85) Дата перевода заявки PCT на национальную фазу:
06.10.2006
(86) Заявка PCT:
EP 2005/051560 20050407
(87) Публикация PCT:
WO 2005/097605 20051020
Адрес для переписки:
129090, Москва, ул. Б.Спасская, 25, стр.3, ООО “Юридическая фирма Городисский и Партнеры”, пат.пов. С.А.Дорофееву, рег. 146
|
(72) Автор(ы):
ФОНТАНАЦЦИ Паоло (IT)
(73) Патентообладатель(и):
ТЕТРА ЛАВАЛЬ ХОЛДИНГЗ ЭНД ФАЙНЭНС С.А. (CH)
|
(54) УПАКОВКА С ЩИПЦОВЫМ ВЕРХОМ ДЛЯ РАЗЛИВАЕМЫХ ПИЩЕВЫХ ПРОДУКТОВ И СПОСОБ ПРИДАНИЯ ЕЙ ЖЕЛАЕМЫХ РАЗМЕРОВ
(57) Реферат:
Способ получения упаковки с щипцовым верхом для разливаемых пищевых продуктов реализуется тем, что упаковку получают сгибанием и запечатыванием листового упаковочного материала, имеющего многослойную структуру со слоем материала, непроницаемого для кислорода. При этом упаковка содержит щипцовую верхнюю часть, включающую в себя переднюю и заднюю наклонные верхние стенки, соединенные вместе в верхнем поперечном шве, и пару боковых верхних стенок, соединяющих соответствующие боковые края передней и задней наклонных верхних стенок и полученных сгибанием соответствующих частей листового упаковочного материала по заранее установленным линиям сгиба, очерчивающих ряд панелей. При этом указанный способ содержит стадию определения положения и протяженности линий сгиба, предназначенных для образования щипцовой верхней части упаковки, посредством нанесения линий в листовом упаковочном материале. Причем определяют первую поперечную линию сгиба, очерчивающую верхний поперечный шов. Также определяют вторую поперечную линию сгиба, расположенную на расстоянии от первой поперечной линии сгиба и образующую горизонтальные углы щипцовой верхней части. Определяют ряд продольных линий сгиба, очерчивающих вместе с первой и второй поперечными линиями сгиба пару первых зон, определяющих боковые верхние стенки, и пару вторых зон, определяющих переднюю и заднюю наклонные верхние стенки. Определяют ряд внутренних линий сгиба, которые расположены в пределах каждой первой зоны. Причем способ также содержит стадию определения положения и протяженности внутренних линий сгиба, которые расположены в пределах каждой первой зоны, посредством геометрических соотношений, полученных с учетом того, что получающиеся в результате панели должны быть повернуты в виде жестких тел во время образования указанных боковых стенок вокруг их соответствующих внутренних линий сгиба, которые расположены в пределах каждой первой зоны. Группа изобретений также относится к листовому упаковочному материалу и к упаковке, изготовленной вышеуказанным способом. Предложенная группа изобретений обеспечивает получение упаковки без нанесения какого- либо ущерба ее целостности, обеспечивая таким образом высокий уровень защиты для пищевых продуктов, а также высокий уровень надежности для пользователей и обеспечивая получение упаковки, имеющей большое разнообразии форм и размеров упаковки. 3 н. и 2 з.п. ф-лы, 8 ил.
Область техники
Настоящее изобретение относится к упаковке с щипцовым верхом для разливаемых пищевых продуктов.
Предпосылки к созданию изобретения
Как известно, многие разливаемые пищевые продукты, например фруктовые соки, молоко ультравысокой температурной обработки, вино, томатный соус и т.д., продают в упаковках, изготовленных из стерилизованного упаковочного материала.
Упаковочный материал имеет многослойную структуру, содержащую слой волокнистого материала, например бумаги, покрытый с обеих сторон слоями термосвариваемой пластмассы, например полиэтилена; в случае асептических упаковок для продуктов длительного хранения, например молока, ультравысокой температурной обработки упаковочный материал, кроме того, содержит слой непроницаемого для кислорода материала, например алюминиевой фольги, который наложен на слой термосвариваемой пластмассы и, в свою очередь, покрыт другим слоем термосвариваемой пластмассы, по существу определяющим внутреннюю поверхность упаковки, соприкасающуюся с пищевым продуктом.
Типичными примерами таких упаковок является упаковка в форме параллелепипеда для жидких или разливаемых пищевых продуктов, известная как Tetra Brik Aseptic (зарегистрированный товарный знак), и так называемая упаковка с «щипцовым верхом», общеизвестная под торговым наименованием Tetra Rex (зарегистрированный товарный знак) и имеющая щипцовую верхнюю часть, которая образована двумя наклонными или покатыми стенками, соединенными вместе в верхнем поперечном шве.
Вышеуказанные упаковки могут быть образованы из непрерывной трубы, полученной сгибанием и продольным запечатыванием ленточного упаковочного материала; ленту упаковочного материала стерилизуют на самой упаковочной машине, например, нанесением химического стерилизующего средства, как например раствора перекиси водорода, который после операции стерилизации удаляют с поверхностей упаковочного материала, например, испаряя при нагревании. Ленту упаковочного материала, стерилизованную таким образом, сохраняют в закрытой стерильной среде и продольно сгибают и запечатывают для образования вертикальной трубы.
Трубу наполняют стерилизованным или стерильно обработанным продуктом, запечатывают и разрезают в равноудаленных друг от друга поперечных сечениях для получения подушкообразных упаковок, которые затем механически формуют для образования готовых упаковок.
Известны два основных типа наполнительно-формовочных машин с подачей в них упаковочной ленты; первым и более распространенным типом машины является машина, имеющая две пары зажимов с возвратно-поступательным движением; к числу машин этого типа относятся, например, машины серии ТВ/21, ТВА/19 и ТВА/21 и упаковочные машины Tetra Pak AЗ, изготавливаемые Tetra Pak Carton Ambient FD в LUND (Швеция), Ruben Rausings gata и Tetra Pak Carton Ambient S.p.A в Modena (Италия), Via Delfini I. Вторым типом упаковочной машины с подачей в нее упаковочной ленты является машина с бесконечными цепями, в которой формующие и запечатывающие устройства поддерживаются не зажимами с возвратно-поступательным движением, а двумя обращенными друг к другу бесконечными цепями. Одним примером машины этого рода является упаковочная машина ТВА/22, также изготавливаемая Tetra Pak Carton Ambient S.p.A.
Чтобы можно было сгибать ленточный упаковочный материал как во время первоначального сгибания, так и во время окончательного формования, на упаковочном материале на производственной линии образуют так называемый «фальцевальный рисунок».
С другой стороны, упаковочный материал может быть разрезан на заготовки, которые формуют в упаковки на формовочной оправке, и получаемые упаковки наполняют пищевым продуктом и запечатывают.
В частности, после формования на формовочных оправках незаконченные упаковки имеют форму открытого сверху параллелепипеда; щипцовую верхнюю часть получают сдавливанием друг к другу противоположных боковых стенок верхней части незаконченных упаковок для того, чтобы стянуть верхние края других стенок, которые затем запечатывают вместе для образования поперечного шва.
Формованные упаковки вышеуказанного типа могут быть подвергнуты дальнейшим стадиям обработки, например нанесению повторно закрываемого устройства для открывания.
Упаковки с щипцовым верхом очень удобно использовать в сочетании с повторно закрываемыми устройствами для открывания, потому что наклонные верхние стенки шире, чем соответствующие плоские части параллелепипеда, и, следовательно, дают возможность применять более крупные устройства для открывания, например, снабженные навинчивающимися колпачками или т.п.
В упаковочной промышленности ощущается потребность в непрерывных усовершенствованиях, в частности в отношении возможности видоизменения формы и размеров упаковок с щипцовым верхом, при этом обеспечивая правильное сгибание упаковочного материала. Эта потребность проистекает из требований рынка в отношении изменений эстетического внешнего вида упаковок и из необходимости обеспечить выливание пищевого продукта любого вида с отсутствием явления, общеизвестного как «булькание», т.е. прерывистого выходящего потока продукта из упаковки, характеризующегося чередующимися фазами стесненного потока и заметного сильного потока с возможным расплескиванием продукта.
Что касается последнего момента, то следует отметить, что различные пищевые продукты могут иметь разную вязкость и, следовательно, нуждаются в разной высоте щипцовой верхней части для обеспечения надлежащего выливания.
Сущность изобретения
Задачей настоящего изобретения является создание упаковки с щипцовым верхом, которая дает возможность очень простым и дешевым образом удовлетворить вышеупомянутую потребность.
Эта задача решается посредством упаковки с щипцовым верхом по п.1 формулы изобретения.
Другой задачей настоящего изобретения является разработка способа для придания желаемых размеров упаковкам различных форм с щипцовым верхом, при этом обеспечивая надлежащее сгибание упаковочного материала.
Эта задача решается посредством способа по п.5 формулы изобретения.
Краткое описание чертежей
В качестве примера будут описаны два предпочтительных неограничивающих варианта осуществления настоящего изобретения со ссылкой на сопровождающие чертежи, на которых:
фиг. 1 – перспективный вид упаковки с щипцовым верхом согласно настоящему изобретению;
фиг. 2 – перспективный вид в большем масштабе верхней части упаковки на фиг. 1;
фиг. 3 и 4 – разные перспективные виды подушкообразной упаковки; представляющей собой полуфабрикат для изготовления упаковки на фиг. 1;
фиг. 5 – перспективный вид в большем масштабе верхней части подушкообразной упаковки на фиг. 3 и 4 во время сгибания;
фиг. 6 – листовой упаковочный материал, снабженный фальцевальным рисунком для изготовления упаковки на фиг. 1;
фиг. 7 – вид в большем масштабе части листового упаковочного материала на фиг. 6; и
фиг. 8 – перспективный вид другого варианта выполнения упаковки с щипцовым верхом согласно настоящему изобретению.
Наилучший вариант осуществления изобретения
На фиг. 1 позицией 1 обозначена упаковка с щипцовым верхом для пищевых продуктов согласно настоящему изобретению.
Упаковка 1 изготовлена из листового упаковочного материала 2 (фиг. 6) – далее «материал 2» – и, по существу, содержит основную часть 3 в форме параллелепипеда и щипцовую верхнюю часть 4, ограничивающую сверху основную часть 3.
В частности, материал 2 определяет точную длину упаковочного материала, который используется для изготовления одной упаковки 1 и имеет многослойную структуру ранее описанного типа.
Основная часть 3 имеет предпочтительно квадратную стенку 5 основания, переднюю стенку 6, заднюю стенку 7 и пару боковых стенок 8, 9.
Щипцовая верхняя часть 4 содержит переднюю наклонную верхнюю стенку 10, снабженную устройством 24 для открывания (фиг. 1), и заднюю наклонную верхнюю стенку 11, соединенную с передней наклонной верхней стенкой 10 в верхнем поперечном шве 12 упаковки 1.
Щипцовая верхняя часть 4, кроме того, содержит пару верхних боковых клапанов 13, 14, примыкающих к соответствующим боковым концевым частям 12а, 12b верхнего поперечного шва 12 и согнутых вне верхнего объема упаковки, имеющегося для пищевого продукта, чтобы определять соответствующие треугольные боковые верхние стенки 18, 19, проходящие вдоль протяженности соответствующих боковых стенок 8, 9.
Каждый боковой клапан 13, 14 имеет один край, определенный соответствующим боковым краем 15 передней наклонной верхней стенки 10, и другой край, образованный соответствующей боковой концевой частью 12а, 12b верхнего поперечного шва 12 и загнутый на соответствующий боковой край 16 задней наклонной верхней стенки 11.
Боковые клапаны 13, 14 загнуты на соответствующие треугольные верхние части 20 боковых стенок 8, 9; верхние части 20 выполнены плоскими и, по существу, находятся в одной плоскости или слегка наклонены внутрь относительно соответствующих боковых стенок 8, 9, как это лучше объясняется далее.
Для лучшего понимания формы упаковки рассмотрим теперь фиг. 3-7.
Упаковка 1 может быть изготовлена с использованием непрерывной трубы (не показана) из упаковочного материала, которая получена сгибанием и продольным запечатыванием ленточного упаковочного материала, определенного многократными отрезками материала 2 (фиг. 6). Точнее, крайнюю часть 21 материала 2 накладывают на противоположную крайнюю часть 22 и запечатывают для получения продольного шва 23, который проходит, по существу, вдоль вертикальной центральной линии задней стенки 7 готовой упаковки 1.
Затем трубу поперечно запечатывают с постоянными интервалами для образования поперечных швов и после этого разрезают вдоль таких поперечных швов для образования так называемых подушкообразных упаковок (не показаны), которые могут быть посредством множества конечных стадий фальцовки преобразованы в готовые упаковки 1.
Как известно, подушкообразная упаковка имеет основную часть в форме параллелепипеда и противоположные клиновидные концевые части, сходящиеся от основной части к соответствующим поперечным швам.
На фиг. 3, 4 и 5 показана промежуточная упаковка 26, которая получена из подушкообразной упаковки сплющиванием одной из клиновидных концевых частей.
В частности, промежуточная упаковка 26 содержит основную часть 28 в форме параллелепипеда, ограниченную стенкой основания и четырьмя боковыми стенками, соответствующими стенкам 5, 6, 7, 8, 9 основной части 3 готовой упаковки 1, и верхнюю клиновидную концевую часть 29, предназначенную для образования щипцовой верхней части 4 в готовой упаковке 1 и сужающуюся от основной части 28 к верхнему поперечному шву 12.
Конкретнее, верхняя клиновидная концевая часть 29 определяет переднюю и заднюю наклонные верхние стенки 10, 11 готовой упаковки 1 и снабжена боковыми клапанами 13, 14, выступающими от противоположных краев передней и задней наклонных верхних стенок 10, 11, и, как объяснялось выше, выполненными с возможностью сгибания на соответствующие верхние части 20 боковых стенок 8, 9.
С другой стороны, промежуточная упаковка 26 может быть изготовлена из заготовок упаковочного материала, каждая из которых соответствует отрезку материала 2; заготовки формуют в упаковки на формовочных оправках (не показаны), и получаемые в результате упаковки наполняют пищевым продуктом и запечатывают.
Материал 2 (фиг.6) содержит фальцевальный рисунок 30, т.е. множество линий ослабления, полученных посредством фальцевальных цилиндров и образующих линии сгиба (фальцевальные линии), по которым сгибают материал во время формования и конечных стадий фальцовки.
Фальцевальный рисунок 30 известным образом содержит четыре поперечные линии сгиба 31, 32, 33, 34; линии 31, 32 расположены вблизи поперечных краев материала 2 и очерчивают соответствующие верхний и нижний поперечные участки запечатывания 31а, 32а; линии 33, 34 образуют горизонтальные углы щипцовой верхней части 4 и стенки 5 основания и для ясности показаны также на фиг. 1, 3, 4 и 5.
Кроме того, фальцевальный рисунок 30 известным образом содержит четыре продольные линии сгиба 35, 36, 37, 38, образующие боковые углы упаковки 1 и проходящие между поперечными линиями сгиба 33 и 34, а также множество линий сгиба 40 на участке, находящемся между линией 34 и нижним поперечным участком запечатывания 32а, которые предназначены для образования нижних боковых клапанов (известны и не показаны) промежуточной упаковки 26, выполненные с возможностью сгибания и сплющивания для получения стенки 5 основания. Линии 40 имеют известное расположение и подробно не описываются.
Продольные линии сгиба 35, 36 расположены вблизи соответствующих боковых крайних частей 21, 22, в то время как продольные линии сгиба 37, 38 расположены между линиями 35 и 36.
Для ясности передняя стенка 6 упаковки 1 очерчена линиями 37 и 38, задняя стенка 7 очерчена линиями 35 и 36, боковая стенка 8 очерчена линиями 35 и 37, и боковая стенка 9 очерчена линиями 36 и 38.
Фальцевальный рисунок 30 (фиг. 5 и 6), кроме того, содержит множество дополнительных линий сгиба на участке, находящемся между поперечными линиями сгиба 31 и 33. Такие дополнительные линии сгиба включают в себя четыре, по существу, продольные линии сгиба 42, 43, 44, 45, определяющие боковые углы передней наклонной верхней стенки 10 и задней наклонной верхней стенки 11 и исходящие из точек пересечения 35а, 36а, 37а, 38а линии 33 с каждой из продольных линий 35, 36, 37, 38. В показанных примерах линии 42, 43, 44 и 45 слегка наклонены для образования стенок 10, 11 трапецеидальной формы, сужающихся вверх, но они могли быть совершенно продольными, т.е. образующими продолжения продольных линий 35, 36, 37, 38.
Линии 42, 44, часть верхнего поперечного участка запечатывания 31а, находящаяся между линиями 42 и 44, и часть линии 33, находящаяся между точками пересечения 35а и 37а, ограничивают клапанную зону 46, определяющую боковой клапан 13 и верхнюю часть 20 боковой стенки 8. Аналогично этому линии 43, 45, часть верхнего поперечного участка запечатывания 31а, находящаяся между линиями 43 и 45, и часть линии 33, находящаяся между точками пересечения 36а и 38а, ограничивают клапанную зону 47, определяющую боковой клапан 14 и верхнюю часть боковой стенки 9. Кроме того, продольные линии сгиба 42, 43, 44, 45, поперечная линия сгиба 33 и верхний поперечный участок запечатывания 31а ограничивают две другие зоны 48, 49, каждая из которых расположена между зонами 46, 47 и определяет соответственно переднюю и заднюю наклонные верхние стенки 10, 11.
Фальцевальный рисунок 37, кроме того, содержит в каждой клапанной зоне 46, 47 пару наклонных линий сгиба 50, 52 и 52, 53 соответственно, исходящих из точек 35а, 37а и 36а, 38а соответственно и соединенных в точке 31b и 31с соответственно на линии сгиба 31, образуя равнобедренный треугольник с частью линии 33, находящейся между точками 35а, 37а и 36а, 38а соответственно.
Линии 50, 51 и соответственно линии 52, 53 определяют боковые наружные пределы боковых клапанов 13, 14.
Три дополнительные линии сгиба, обозначенные как 54, 55, 56 для клапанной зоны 46 и соответственно как 57, 58, 59 для клапанной зоны 47, простираются от точек 35а, 37а, 31b и соответственно от точек 36а, 38а, 31с к промежуточной точке, расположенной внутри соответствующего равнобедренного треугольника и обозначенной как 60 для клапанной зоны 46 и соответственно как 61 для клапанной зоны 47.
Линии сгиба 54, 55 и соответственно линии сгиба 57, 58 проходят симметрично относительно соответствующего продолжения линии сгиба 56 и соответственно линии сгиба 59.
Линии 54, 55 клапанной зоны 46 проходят между промежуточной точкой 60 и соответствующими точками 35а, 37а и сверху ограничивают верхнюю часть 20 боковой стенки 8. Аналогично этому линии 57, 58 клапанной зоны 47 проходят между промежуточной точкой 61 и соответствующими точками 36а, 38а и сверху ограничивают верхнюю часть 20 боковой стенки 9.
Фальцевальный рисунок 37, кроме того, в каждой клапанной зоне 46, 47 содержит сплошную ломаную линию 65, 66, т.е. ломаную линию без прерывания, пересекающую соответствующую линию сгиба 50, 52 и проходящую между соответствующей промежуточной точкой 60, 61 и соответствующей точкой пересечения поперечной линии сгиба 31 с продольной линией сгиба 42, 43. В частности, каждая сплошная ломаная линия сгиба 65, 66 разделена соответствующей линией сгиба 50, 52 на две части 67, 68, образующие между собой углы, близкие к 180°, но отличающиеся от 180°. Части 67, 68 проходят от соответствующей линии сгиба 50, 52 соответственно к поперечной линии сгиба 31а и к соответствующей промежуточной точке 60, 61.
Вышеупомянутые линии сгиба в каждой клапанной зоне 46, 47 очерчивают ряд панелей треугольной формы А, B, C, D, E, F, G, выполненных с возможностью сгибания согласно заранее установленной последовательности, описанной ниже.
В частности, в клапанной зоне 46 панель А очерчена линиями сгиба 31, 44 и 51; панель В очерчена линиями сгиба 51, 55 и 56; панель С очерчена линиями сгиба 33, 54 и 55 и определяет верхнюю часть 20 боковой стенки 8; панель D очерчена линией сгиба 56, частью 68 линии сгиба 65 и частью линии сгиба 50, находящейся между линиями сгиба 65 и 31; панель Е очерчена линией сгиба 54, частью 68 линии сгиба 65 и частью линии сгиба 50, находящейся между линией сгиба 65 и точкой 35а; панель F очерчена линией сгиба 31, частью 67 линии сгиба 65 и частью линии сгиба 50, находящейся между линией сгиба 65 и линией сгиба 31; и панель G очерчена линией сгиба 42, частью 67 линии сгиба 65 и частью линии сгиба 50, находящейся между линией сгиба 65 и точкой 35а.
То же самое определение панелей A, B, C, D, E, F, G может быть совершенно аналогичным образом применено к клапанной зоне 47, и оно не будет повторяться, так как клапанные зоны 46 и 47 являются симметричными относительно оси, проходящей между продольными линиями сгиба 37, 38 и параллельно им.
Во время формования каждой клапанной зоны 46, 47 панели Е и В сгибают на панель С так, чтобы панель F была наложена на панель G, а панель А закрывала всю остальную часть клапанной зоны 46, 47 для определения соответствующей боковой верхней стенки 18, 19.
Согласно важному аспекту настоящего изобретения фальцевальный рисунок 30 в каждой клапанной зоне 46, 47 материала 2 выполнен таким образом, чтобы образование боковых верхних стенок 18, 19 осуществлялось посредством поворотов соответствующих панелей A, B, C, D, E, F, G в виде жестких тел вокруг их соответствующих линий сгиба (50, 51, 54, 55, 56, 65 – для клапанной зоны 46 и 52, 53, 57, 58, 59, 66 – для клапанной зоны 47).
Следует отметить, что в данном описании изобретения и его формуле выражение «поворот панелей в виде жестких тел» не исключает небольшие деформации упаковочного материала из-за его толщины, в частности происходящие во время перекрытия панелей.
Конкретнее, фальцевальный рисунок 30 в каждой клапанной зоне 46, 47 материала 2 получают посредством:
– выбора величины верхнего угла , образованного вдоль каждой боковой верхней стенки 18, 19 упаковки 1 между ее противоположными краями, сходящимися к верхнему поперечному шву 12;
– выбора длины l передней наклонной верхней стенки 10, измеренной в направлении поперек верхнего поперечного шва 12, и
– определения положения и протяженности каждой линии сгиба 50, 51, 52, 53, 54, 55, 56, 57, 58, 59, 65, 66 для каждой клапанной зоны 46, 47 так, чтобы образование каждой боковой верхней стенки 18, 19 осуществлялось посредством поворотов соответствующих панелей A, B, C, D, E, F, G в виде жестких тел вокруг их соответствующих указанных линий сгиба.
Вследствие того, что каждая боковая верхняя стенка 18, 19 определяется панелью А соответствующей клапанной зоны 46, 47, угол , следовательно, также образован каждой линией сгиба 44, 45 с соответствующей частью линии сгиба 31, расположенной внутри соответствующей клапанной зоны 46, 47.
Как установил заявитель, используя простые геометрические формулы, объясняемые далее, вышеупомянутые стадии дают возможность создавать различные фальцевальные рисунки в клапанных зонах 46, 47 с получением в результате разных форм щипцовой верхней части 4.
Для простоты часть последующего описания будет относиться только к клапанной зоне 47, а также к фиг. 2 и 7, при этом аналогичные соображения в равной степени вполне применимы к клапанной зоне 45 и поэтому не будут повторяться.
В частности, положение и протяженность линий сгиба 52, 53 могут быть установлены посредством определения угла , образованного такими линиями 52, 53 с частью линии сгиба 33, находящейся между точками 36а и 38а.
Угол может быть вычислен как функция длины l посредством следующей формулы:
= arctg
в которой «с» обозначает ширину упаковки 1, которая является заданной величиной и соответствует расстоянию между линиями сгиба 36 и 38 или 35 и 37.
Угол позволяет образовывать линии сгиба 52, 53, которые начинаются от соответствующих точек 36а, 38а и определяют равные стороны равнобедренного треугольника, чья третья сторона представлена частью линии сгиба 33, находящейся между точками 36а и 38а.
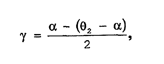
Положение и протяженность линий сгиба 57, 58, 59 и положение промежуточной точки 61 могут быть установлены посредством определения угла 2, образованного линиями 57, 58 с соответствующими линиями сгиба 52, 53.
Угол 2 может быть вычислен посредством следующей формулы:
2 = 
в которой обозначает угол, образованный между каждой линией сгиба 43, 45 и соответствующей линией сгиба 52, 53, в то время как 1 обозначает угол, образованный каждой линией сгиба 43, 45 с частью линии сгиба 33, находящейся между точками 36а и 38а, после завершения формования щипцовой верхней части 4 и наложения панели А на панель С.
Конкретнее, углы и 1 могут быть вычислены следующим образом:
= 180°- – ,
учитывая, что является также углом, образованным каждой линией сгиба 43, 45 с соответствующей частью линии сгиба 33, расположенной снаружи клапанной зоны 47 и начинающейся от соответствующих точек 36а, 38а

в которой l1 обозначает длину линий сгиба 43, 45 и может быть вычислена как функция длины l и верхнего угла по следующей формуле:

Формула для вычисления 1 выведена с учетом того, что после формования щипцовой верхней части 4 линия сгиба 45 определяет гипотенузу прямоугольного треугольника, чьи катеты определяются отрезком, проходящим от верхней вершины боковой верхней стенки 9 к средней точке части линии сгиба 33, находящейся между точками 36а и 38а, и половиной такой части линии сгиба 33, примыкающей к гипотенузе.
Угол 2 дает возможность образовывать линии сгиба 57, 58, 59 и определять их точку пересечения 61.
Знание углов 2, , 1 дает возможность вычислять угол 1, образованный линиями сгиба 57, 58 с частью линии сгиба 33, находящейся между точками 36а и 38а:
1 = 2 + ( 1 – )
Углы и дают возможность образовывать линии сгиба 43 и 45.
Точка пересечения между линиями сгиба 52 и 66 может быть определена вычислением угла , образованного частью 67 линии 66 с частью линии сгиба 31, находящейся между линиями сгиба 43 и 59.
В частности, угол является функцией угла 2, который образован линией сгиба 45 с линией сгиба 43 после завершения формования щипцовой верхней части 4 и наложения панели А на все другие панели.
Угол может быть вычислен следующим образом:

где угол 2 может быть определен по формуле

Следовательно, угол может быть вычислен по следующей формуле:

Зная угол , можно изобразить часть 67 линии сгиба 66 и определить положение точки пересечения между линиями сгиба 52 и 66. Часть 68 линии сгиба 66 может быть получена соединением вышеуказанной точки пересечения с промежуточной точкой 61.
На фиг. 8 показан другой пример упаковки с щипцовым верхом, обозначенной в целом позицией 1′ и получаемой согласно вышеописанному способу посредством изменения величин верхнего угла и длины l наклонной верхней стенки 10.
Преимущества упаковок 1 и 1′ согласно настоящему изобретению будут ясны из предшествующего описания.
В частности, просто принимая условие, что образование боковых верхних стенок 18, 19 упаковок 1, 1′ достигается посредством поворотов панелей А, B, C, D, E, F, G листового упаковочного материала 2 в виде жестких тел вокруг их соответствующих линий сгиба, можно видоизменять размер и форму щипцовой верхней части 4, при этом обеспечивая надлежащее сгибание упаковочного материала и правильного закрывания упаковки.
Кроме того, благодаря тому, что сгибание различных частей (панелей А, B, C, D, E, F, G упаковочного материала 2) упаковочного материала 2 достигается посредством поворотов и, следовательно, без соответствующих деформаций и вызванных ими напряжений, то во время этих стадий формования не подвергается риску целостность алюминиевого слоя, который является намного менее гибким, чем другие слои упаковочного материала.
Ясно, что в описанных и показанных упаковках 1, 1′ могут быть сделаны изменения, однако, не выходящие за пределы сопровождающей формулы изобретения.
В частности, как будет понятно, основная часть 3 упаковок 1, 1′, находящаяся между краями 21, 22 и линиями сгиба 31, 32, может иметь любую форму выполнения.
Кроме того, в каждой клапанной зоне 46, 47 часть 68 линии сгиба 65, 66 может быть определена, по меньшей мере, частично двумя параллельными линиями, имеющими соответствующие концы, сходящиеся в одну линию по направлению к соответствующей промежуточной точке 60, 61. Таким образом, в зоне части 68 линий сгиба 65, 66 уменьшается деформация упаковочного материала вследствие толщины панелей, наложенных друг на друга.
Формула изобретения
1. Способ получения упаковки (1, 1′) с щипцовым верхом для разливаемых пищевых продуктов, полученной сгибанием и запечатыванием листового упаковочного материала (2), имеющего многослойную структуру с по меньшей мере слоем непроницаемого для кислорода материала, при этом упаковка (1, 1′) содержит щипцовую верхнюю часть (4), включающую в себя переднюю и заднюю наклонные верхние стенки (10, 11), соединенные вместе в верхнем поперечном шве (12), и пару боковых верхних стенок (18, 19), соединяющих соответствующие боковые края (15, 16) передней и задней наклонных верхних стенок (10, 11) и полученных сгибанием соответствующих частей (46, 47) листового упаковочного материала (2) по заранее установленным линиям сгиба (31, 33, 42, 44, 50, 51, 54, 55, 56, 65; 31, 33, 43, 45, 52, 53, 57, 58, 59, 66), очерчивающих ряд панелей (А, В, С, D, Е, F, G), где указанный способ содержит стадию определения положения и протяженности линий сгиба (31, 33, 42, 44, 50, 51, 54, 55, 56, 65; 31, 33, 43, 45, 52, 53, 57, 58, 59, 66) посредством нанесения линий в части листового упаковочного материала (2), предназначенной для образования щипцовой верхней части (4) упаковки (1, 1′): первой поперечной линии сгиба (31), очерчивающей верхний поперечный шов (12); второй поперечной линии сгиба (33), образующей горизонтальные углы щипцовой верхней части (4) и расположенной на расстоянии от первой поперечной линии сгиба (31); ряда продольных линий сгиба (42, 43, 44, 45), очерчивающих вместе с первой и второй поперечными линиями сгиба (31, 33) пару первых зон (46; 47), определяющих боковые верхние стенки (18, 19), и пару вторых зон (48, 49), определяющих переднюю и заднюю наклонные верхние стенки (10, 11), и ряда внутренних линий сгиба (50, 51, 54, 55, 56, 65; 52, 53, 57, 58, 59, 66), которые расположены в пределах каждой первой зоны (46, 47); отличающийся тем, что способ содержит следующие стадии: определения положения и протяженности внутренних линий сгиба (50, 51, 54, 55, 56, 65; 52, 53, 57, 58, 59, 66), которые расположены в пределах каждой первой зоны (46, 47), посредством геометрических соотношений, полученных с учетом того, что получающиеся в результате панели (А, В, С, D, Е, F, G) должны быть повернуты в виде жестких тел во время образования указанных боковых стенок (18, 19) вокруг их соответствующих внутренних линий сгиба (50, 51, 54, 55, 56, 65; 52, 53, 57, 58, 59, 66) которые расположены в пределах каждой первой зоны (46, 47).
2. Способ по п.1, отличающийся тем, что стадию определения положения и протяженности линий сгиба (31, 33, 42, 44, 50, 51, 54, 55, 56, 65; 31, 33, 43, 45, 52, 53, 57, 58, 59, 66) осуществляют на стадии выбора желаемых величин, по меньшей мере, верхнего угла ( ), образованного вдоль каждой боковой верхней стенки (18, 19) между ее противоположными краями, сходящимися к верхнему поперечному шву (12), и длины (1) одной из передней и задней наклонных верхних стенок (10,11) в направлении поперек верхнего поперечного шва (12); помещают вторую поперечную линию сгиба (33) на расстоянии от первой поперечной линии сгиба (31), равном указанной выбранной длине (1); образуют продольные линии сгиба (42, 43, 44, 45) с соответствующими частями второй поперечной линии сгиба (33), внешними к первым зонам (46, 47), соответствующие углы, равные выбранному верхнему углу ( ); при этом внутренние линии сгиба содержат для каждой первой зоны (46; 47) пару первых наклонных линий сгиба (50, 51; 52, 53), соединенных в первой поперечной линии сгиба (31) и образующих равнобедренный треугольник с указанной второй поперечной линией сгиба (33), причем стадия нанесения внутренних линий сгиба в каждой первой зоне (46, 47) содержит стадию вычисления угла ( ), образованного каждой первой наклонной линией сгиба (50, 51; 52, 53) с частью второй поперечной линией сгиба (33), определяющей сторону указанного равнобедренного треугольника, используя формулу:
 в которой «с» обозначает ширину образуемой упаковки; причем внутренние линии сгиба содержат для каждой первой зоны (46; 47) три вторые наклонные линии сгиба (54, 55, 56, 57, 58, 59), проходящие от промежуточной точки (60; 61), расположенной в пределах равнобедренного треугольника, к его соответствующей вершине, при этом в указанном способе стадия нанесения внутренних линий сгиба содержит стадию вычисления угла ( 2), образованного вторыми наклонными линиями (54, 55, 56; 57, 58, 59) с соответствующими первыми наклонными линиями сгиба (50, 51; 52, 53), используя формулу:
 в которой обозначает угол, образованный между каждой продольной линией сгиба (42, 43, 44, 45) и соседней первой наклонной линией сгиба (50, 51, 52, 53), в то время как 1 обозначает угол, образованный каждой продольной линией сгиба (42, 43, 44, 45) с частью второй поперечной линией сгиба (33), определяющей сторону указанного равнобедренного треугольника, после завершения формования щипцовой верхней части (4).
3. Способ по п.2, отличающийся тем, что внутренние линии сгиба содержат для каждой первой зоны (46; 47) третью наклонную линию сгиба (65; 66), проходящую от промежуточной точки (60; 61) к первой поперечной линии сгиба (31), пересекающую одну (50; 52) из первых наклонных линий сгиба (50, 51; 52, 53) и разделенную одной из первых наклонных линий сгиба (50; 52) на первую и вторую части (67, 68), образующие между собой углы, отличающиеся от 180°, и расположенные соответственно снаружи и внутри указанного равнобедренного треугольника, при этом стадия нанесения указанных внутренних линий сгиба содержит стадию вычисления угла ( ), образованного первой частью (67) третьей наклонной линией сгиба (65; 66) с частью поперечной линии сгиба (31), расположенной внутри каждой первой зоны (46; 47), используя формулу:
 в которой l1 обозначает длину продольных линий сгиба (42, 43, 44, 45).
4. Листовой упаковочный материал (2), выполненный с возможностью сгибания по заранее установленным линиям сгиба (31, 33, 42, 44, 50, 51, 54, 55, 56, 65; 31, 33, 43, 45, 52, 53, 57, 58, 59, 66) и запечатывания для изготовления упаковки (1, 1′) с щипцовым верхом для разливаемых пищевых продуктов, отличающийся тем, что указанные линии сгиба (31, 33, 42, 44, 50, 51, 54, 55, 56, 65; 31, 33, 43, 45, 52, 53, 57, 58, 59, 66) выполнены с размерами согласно способу по любому из пп.1-3.
5. Упаковка (1, 1′) с щипцовым верхом для разливаемых пищевых продуктов, изготовленная способом по любому из пп.1-3.
РИСУНКИ
|
|