|
|
(21), (22) Заявка: 2007134427/09, 17.02.2005
(24) Дата начала отсчета срока действия патента:
17.02.2005
(43) Дата публикации заявки: 27.03.2009
(46) Опубликовано: 27.11.2009
(56) Список документов, цитированных в отчете о поиске:
US 2003/0124976 A1, 03.07.2003. RU 2199820 C2, 27.02.2003. RU 2195771 C2, 27.02.2003. RU 2190937 C2, 10.10.2002. RU 2233032 C2, 20.07.2004. US 2004/02666339 A1, 30.12.2004. WO 2004/102891 A1, 27.05.2004. US 2004/0208258 A1, 21.10.2004. WO 2004/040833 A1, 13.05.2004.
(85) Дата перевода заявки PCT на национальную фазу:
17.09.2007
(86) Заявка PCT:
SE 2005/000227 20050217
(87) Публикация PCT:
WO 2006/088400 20060824
Адрес для переписки:
129090, Москва, ул. Б.Спасская, 25, стр.3, ООО “Юридическая фирма Городисский и Партнеры”, пат.пов. Ю.Д.Кузнецову, рег. 595
|
(72) Автор(ы):
ЛАРССОН Петер (SE), ХУ Жун (CN), ЧЖАН Чжан (CN)
(73) Патентообладатель(и):
ТЕЛЕФОНАКТИЕБОЛАГЕТ ЛМ ЭРИКССОН (ПАБЛ) (SE)
|
(54) СПОСОБ И УСТРОЙСТВО ДЛЯ СОВМЕСТНОЙ РЕТРАНСЛЯЦИИ
(57) Реферат:
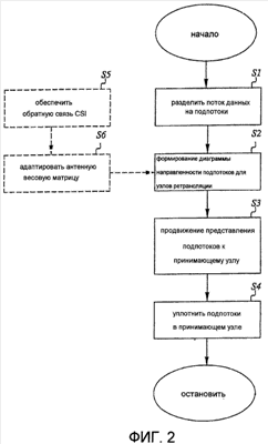
Изобретение относится к к системам связи, в частности, к использованию ретрансляции в системах связи. Технический результат – уменьшение потерь в тракте передачи между объектами связи. Для этого в способе ретрансляции в беспроводной системе связи, содержащей передающий узел со множественными антеннами для связи, по меньшей мере, с одним принимающим узлом, по меньшей мере, через два узла радиорелейных линий, поток данных в передающем узле разбивается (S1), по меньшей мере, на два подпотока данных, каждый из которых образуется пучком и передается (S2) по первой линии связи к соответствующему из узлов радиорелейных линий; впоследствии, по меньшей мере, одно восстанавливаемое представление каждого принятого подпотока продвигается (S3) по второй линии данных к принимающему узлу от двух узлов радиорелейных линий; и наконец, принятые и декодированные представления уплотняются (S4) для образования выходного сигнала в принимающем узле, соответствующем первоначальному потоку данных. 5 н. и 25 з.п. ф-лы, 9 ил.
ОБЛАСТЬ ТЕХНИКИ, К КОТОРОЙ ОТНОСИТСЯ ИЗОБРЕТЕНИЕ
Данное изобретение относится, в общем, к системам связи и, в частности, к использованию ретрансляции в таких системах.
УРОВЕНЬ ТЕХНИКИ
Ожидается, что будущие беспроводные и/или сотовые системы либо потребуют увеличенного покрытия, поддержки более высоких скоростей передачи данных либо их комбинации. Кроме того, ожидается, что стоимостный аспект построения и поддержания этой системы будет играть важную роль в будущем. Поскольку скорости передачи данных и/или расстояния связи увеличиваются, также необходимо рассматривать проблему увеличенного потребления батареи.
Одним аспектом является оценка топологии, используемой в существующих системах, так как на протяжении трех поколений сотовых сетей было незначительное изменение топологии. Например, хорошо известно, что множественные скачкообразные перестройки частоты, будучи примером другой топологии связи, предлагают возможности значительно уменьшенной потери в тракте передачи между объектами связи(ретрансляции), что будет полезно пользователю. Далее будет обсуждаться другой тип топологии, который рассматривает ретрансляцию двух скачков, комбинированную с аспектами усовершенствованных антенных систем. Это область исследования, хотя и в ранней стадии ее развития, которая использует кооперацию между множественными станциями как общий знаменатель. В недавней исследовательской литературе она именуется несколькими названиями, такими как совместное разнесение, совместное кодирование, виртуальные массивы антенн и т.д. Хороший общий обзор по схемам совместной связи дан в [1]. Общие выгоды кооперации между станциями в беспроводной связи могут быть суммированы как более высокие скорости передачи данных, уменьшенное нарушение радиосвязи (из-за некоторых форм разнесения), увеличенный срок жизни батареи и расширенное покрытие (например, для сотовых систем).
Сначала обсуждается область усовершенствованных антенн и впоследствии рассматривается состояние уровня техники относительно совместной ретрансляции.
Усовершенствованные антенны и пространственное кодирование
Способы повышения эффективности системы в системе сотовой связи являются очень активной областью исследования. Одним таким способом является применение множественных антенн в базовых станциях (BS) и, тем самым, обеспечение ценных коэффициентов усиления при разнесенном приеме, которые ослабляют любые канальные флуктуации, наложенные затуханием. В нисходящей линии связи (от BS к мобильной станции (MS)) может применяться так называемое разнесение передачи, а в восходящей линии связи (от MS к BS) может использоваться разнесение приемников. Конечно, MS может быть также оборудована множественными антеннами, но MS обычно ограничена в пространстве (которое по существу ограничивает число антенн в MS) и, следовательно, решение BS часто является предпочтительным. Существует множество хорошо известных схем как для разнесения приемников, так и для разнесения передатчиков. Для разнесения приемников может попользоваться разнесение выбора, комбинирование максимального отношения или комбинирование подавления помех. Для более новой области разнесения передачи возможные варианты включают в себя разнесение задержки, разнесение Alamouti, разнесение, основанное на когерентном комбинировании.
Разнесение передачи, в частности, разнесение Alamouti, принадлежит классу схем кодирования, которые часто обозначаются кодированием интервала (STC). В схемах STC обычно предполагается, что передатчик оборудован множественными антеннами, тогда как приемник имеет только одну или альтернативно множественные антенны. Передаваемые сигналы затем кодируются по множественным антеннам передачи и иногда также во временной области. Со множественными антеннами как на стороне передатчика, так и на стороне приемника канал часто обозначается каналом со многими входами и многими выходами (MIMO). Канал MIMO может использоваться в основном для двух оснований: либо для повышения разнесения, т.е. обеспечения более надежного канала при канальных флуктуациях, либо для так называемого пространственного уплотнения, т.е. обеспечения множества параллельных и уплотненных подканалов MIMO. Выгода пространственного уплотнения состоит в том, что доступна исключительно высокая эффективность спектра. Уровень техники по связи MIMO дан в [2].
Повторители: Другим хорошо известным способом для повышения эффективности системы является использование повторителей в областях, где покрытие плохое. Основной операцией для повторителя является принятие радиосигнала, его усиление и его повторная передача. Повторители могут использовать одну и ту же частоту для приема и передачи или по выбору сдвигать частоту передачи для увеличенной изоляции выхода-входа, избегающей риска для обратной связи и колебаний.
Совместная ретрансляция (иначе называемая массивами виртуальных антенн). Традиционно ранее упомянутые повторители являются довольно неинтеллектуальными. Однако относительно недавно идея совместной ретрансляции более интеллектуальными повторителями (или ретрансляторами) получила некоторый интерес. Идея состоит в том, что ретрансляторы могут сотрудничать в продвижении сигнала от передатчика к приемнику или множественным приемникам [3]. Это сотрудничество может, например, включать в себя аспекты когерентного объединения, STC (например, разнесение Alamouti), и иметь регенеративную (декодировать и продвинуть данные) или нерегенеративную (усилить и продвинуть данные) природу. Число скачков (обычно) ограничено двумя скачками, т.е. одним скачком для станции (станций) ретрансляции и одним скачком для принимающей станции.
Есть один специальный и интересный тип совместной ретрансляции (или массивов виртуальных антенн), когда используется MIMO. Это было широко исследовано Dohler и другими, например, в [4], [5] и [6].
Схема Dohler, согласно известному уровню техники, основана на том, что суперпозиция множественных сигналов подпотоков передается к приемнику от ретранслятора по множественным каналам, но это не является оптимальным решением в том смысле, что более высокая пропускная способность могла бы быть достигнута при заданной вложенной мощности (или энергии). Также остается совершенно не затронутым аспект того, как выбрать ретранслятор. Кроме того, аспект того, как назначить мощность среди различных реле эффективным образом, не был адресован в схеме Dohler, т.е. все рассматриваемые ретрансляторы имеют равную мощность [5], [6].
РАСКРЫТИЕ ИЗОБРЕТЕНИЯ
Задачей данного изобретения является обеспечение усовершенствованной схемы ретрансляции в системе связи.
Конкретной задачей является осуществление усовершенствованной совместной ретрансляции в системе связи.
Конкретной задачей является осуществление способа для пространственного уплотнения с усовершенствованной эффективностью спектра.
Другой конкретной задачей является осуществление способа для распределения мощности между передатчиком и ретранслятором с уменьшенным потреблением мощности.
Еще одной конкретной задачей является осуществление способа для распределения мощности между передатчиком и ретранслятором для уменьшения генерируемых помех.
Другой конкретной задачей является осуществление совместной ретрансляции с увеличенной общей пропускной способностью системы.
Эти и другие задачи достигаются способом и устройствами в соответствии с прилагаемой формулой изобретения.
Кратко, данное изобретение предусматривает разделение потока данных на множество подпотоков данных, формирование диаграммы направленности каждого соответствующего подпотока данных для соответствующего ретранслятора и продвижение этих подпотоков данных ортогонально к принимающему блоку.
Более конкретно, изобретение предусматривает осуществление обратной связи информации состояния канала, посредством чего мощность передачи и/или скорость передачи битов для каждого подпотока данных может быть настроена для обеспечения оптимальной передачи содержания информации.
Преимущества данного изобретения включают в себя:
высокую эффективность спектра;
уменьшенное потребление мощности из-за эффективного распределения мощности между передатчиком и ретранслятором;
уменьшенную генерацию помех из-за эффективного распределения мощности между передатчиком и ретранслятором;
увеличенную общую пропускную способность системы.
КРАТКОЕ ОПИСАНИЕ ЧЕРТЕЖЕЙ
Изобретение, вместе с его дополнительными задачами и преимуществами, может быть понято посредством ссылки на следующее описание, взятое в сочетании с сопутствующими чертежами, на которых
фиг.1 является схематичной иллюстрацией системы согласно изобретению;
фиг.2 является схематичной блок-схемой варианта осуществления способа согласно изобретению;
фиг.3 является схематичной иллюстрацией части конкретного варианта осуществления изобретения;
фиг.4 является схематичной иллюстрацией другого конкретного варианта осуществления способа согласно изобретению;
фиг.5 является схематичной иллюстрацией другого конкретного варианта осуществления способа согласно изобретению;
фиг.6 является схематичной иллюстрацией варианта осуществления системы согласно изобретению;
фиг.7 является диаграммой, иллюстрирующей выгоды изобретения по сравнению с известным уровнем техники.
фиг.8 является схематичной иллюстрацией пространственного распределения узлов ретрансляции согласно изобретению;
фиг.9 является схематичной иллюстрацией другого пространственного распределения узлов ретрансляции согласно изобретению.
ПОДРОБНОЕ ОПИСАНИЕ
Часто используемые сокращения соответствуют следующему:
BS базовая станция,
CSI информация состояния канала,
MAI помехи множественного доступа,
MS мобильная станция,
MIMO система со многими входами и многими выходами,
SNR отношение сигнал-шум,
STC кодирование интервала.
Данное изобретение адресуется к специальной архитектуре ретрансляторов, которая относится к совместной ретрансляции, также называемой массивами виртуальных антенн, совместным разнесением и т.д. [1]. В некотором смысле совместная ретрансляция может рассматриваться как вырожденный случай скачкообразной перестройки частоты, включающей только два скачка, но в то же время обобщенный на и учитывающий параллельные пути, а также обработку сигналов, подлежащую использованию. Кроме того, совместная ретрансляция может использовать различные формы ретранслируемой информации, такие как (нерегенеративная) функциональность базового повторителя или (регенеративная) «декодировать и продвинуть», как делается традиционно в сетях со скачкообразной перестройкой частоты.
Базовой идеей данного изобретения является то, что передатчик, оборудованный множественными антеннами и имеющий множественные MIMO-подпотоки, формирует диаграмму направленности одного или нескольких MIMO-подпотоков для каждого из множества узлов ретрансляции, и каждый узел ретрансляции способен декодировать подпоток перед продвижением детектированных данных к принимающему узлу по каналу, являющемуся по существу ортогональным по отношению к другим каналам ретрансляторов. Это сделано возможным посредством адаптации весовой матрицы антенны передатчика к каналам различных ретрансляторов.
Базовый вариант осуществления способа согласно данному изобретению будет описан со ссылкой на систему фиг.1. Модельная система содержит передающий узел Тх со множественными антеннами, три узла RS1, RS2, RS3 ретрансляции и принимающий узел Rx. В этом общем варианте осуществления узлы ретрансляции и приемник, каждые, имеют одну антенну, однако изобретение не ограничено этим общим вариантом осуществления.
Со ссылкой на фиг.1 и фиг.2, в некоторой точке во времени, передатчик Тх принимает поток данных или сигнал для передачи к приемнику Rx. Этот поток данных разделяют или разбивают S1 на множество подпотоков данных, для которых затем формируют диаграмму направленности и которые передают S2 по меньшей мере к двум узлам ретрансляции.
Принцип разбиения потока данных и передачи каждого подпотока данных к соответствующему ретранслятору иллюстрирован на фиг.3. Соответственно, поток данных разделяется (также известный как демультиплексированный) на три подпотока, каждый из которых передается к соответствующему узлу ретрансляции. На фиг.1 показаны три подпотока данных, для которых сформирована диаграмма направленности, к каждому соответствующему узлу ретрансляции.
Впоследствии каждый из узлов ретрансляции продвигает S3 восстанавливаемое или декодируемое или свободное от потерь представление принятого подпотока данных к принимающему узлу, который принимает и комбинирует или уплотняет S4 принятые представления в выходной сигнал, соответствующий потоку данных, возникающему в передающем узле.
Согласно изобретению подпотоки данных передаются к соответствующему ретранслятору (или соответствующей антенне ретранслятора, или альтернативно к группе антенн с постобработкой, которая разделяет множественные потока данных, если ретранслятор имеет множественные антенны), посредством чего различные части сигнала перемещаются параллельно, но различными путями в сети. Следовательно, то, что приемник принимает, является множеством представлений различных подпотоков первоначального сигнала. Комбинирование этих подпотоков через демодуляцию индивидуальных подпотоков с последующим уплотнением подпотоков является достаточно простой операцией, отчетливо отличающейся от известного уровня техники [3-6], когда приемник должен одновременно декодировать множество сигналов, каждый из которых является суперпозицией первоначальных сигналов (соответствующих подпотокам).
Согласно конкретному варианту осуществления способа согласно изобретению, со ссылкой на фиг.2, соответствующие узлы ретрансляции обеспечивают информацию S5 состояния канала для передающего узла. Информация состояния канала содержит информацию относительно по меньшей мере одной из первой и второй линии связи. На основе принятой информации состояния канала передатчик настраивает свою весовую матрицу.
Конкретный вариант осуществления изобретения будет описан со ссылкой на систему, показанную на фиг.4. Эта система содержит передающий узел Тх, снабженный множеством антенн, множеством узлов RS1, RS2 RSK ретрансляции и принимающим блоком Rx.
Согласно этому варианту осуществления приемник Rx и каждый ретранслятор RS1, RS2 RSK снабжены одной единственной антенной. Однако равным образом возможно для приемника и ретрансляторов иметь множественные антенны, как будет описано со ссылкой на другой конкретный вариант осуществления.
Передающий узел Тх посылает поток данных, преобразованный в параллельные модулированные и кодированные подпотоки Т, через весовую матрицу А. Задачей матрицы А является обеспечение того, чтобы подпотоки данных, посланные к соответствующему узлу ретрансляции по первой линии связи, можно было декодировать. Когда узел ретрансляции принимает подпоток, он декодируется, усиливается и продвигается к принимающему узлу, т.е. осуществляется регенеративная ретрансляция. Однако идея изобретения не ограничена регенеративной ретрансляцией; она также могла бы быть расширена, например, на нерегенеративную ретрансляцию, при которой каждый подпоток приспособлен иметь достаточное качество для декодирования или восстановления в приемнике. Поскольку различные подпотоки продвигаются, они посылаются по ортогональным каналам по второй линии связи. Канализирование может осуществляться, например, в частотной, кодовой или временной области. Матрица А задается через (логическую) обратную связь от ретрансляторов, указанных на фиг.4. Для задания А могут быть использованы различные хорошо известные весовые схемы формирования диаграммы направленности.
Далее, основная идея изобретения дополняется схемой управления мощностью. С этой целью вывод производительности осуществляется и используется как руководство при конструировании схемы управления мощностью. Кроме того, изобретение также дополняется правилами для выбора узлов ретрансляции как вторичный результат этого вывода. Этот вывод следует ниже.
Принятый сигнал R(RS) в узлах ретрансляции соответствует варианту осуществления.

где Т – сигнал, подлежащий передаче, А – весовая матрица передачи, Н – канальная матрица для первой линии связи, N – комплексный вектор гауссовского шума в узлах ретрансляции с дисперсией 2 1k. Термин «шум» может также включать в себя термины помех, которые моделируются как комплексные гауссовские случайные переменные. Отметим, что хотя это написано в матрично-векторной форме, невозможно для каждого узла ретрансляции наблюдать полный вектор приема. Общая доступная ширина полосы частот разделена здесь на (k+1) частей, где k – число узлов ретрансляции.
Канальная матрица Н может быть декомпозирована в матрицу А коэффициентов усиления тракта передачи средней амплитуды и Rayleigh матрицу замирания согласно

где и предполагается (т.е. для простоты здесь в выводе), что элементы в Х являются комплексными гауссовскими случайными переменными с дисперсией единица.
Мы выбираем весовую матрицу W на основе стремления к нулю как

Этот выбор необязательно является оптимумом и даже не всегда возможен в зависимости от инвертируемости реализации матрицы X, но он является асимптотически допустимой аппроксимацией, когда число передающих антенн в передатчике велико.
Также отметим, что можно альтернативно использовать подход QR-декомпозиции в передатчике для посылки различных сигналов к различным ретрансляторам, например, согласно [7]. Другой версией, которая могла бы быть потенциально использована, является w=x, но она приводит к утечке интерференции между подпотоками и, следовательно, скорость каждого подпотока нуждается в адаптации к заданному отношению сигнал-шум. Также могут использоваться и другие схемы, приводящие к допустимой утечке между передачами MISO, и изобретение в сущности не ограничено любым конкретным способом весовых матриц, таким как схема w=x-1, для достижения по существу ортогональных подпотоков в ретрансляторах.
Тогда результирующий принятый сигнал будет следующим:

Это означает, что SNR в каждом ретрансляторе равно (хорошо аппроксимируется как)

где P1k – средняя мощность, относящаяся к Х и Т как

(Мы собираемся определить P1k, которое затем может быть использовано для определения дисперсии элемента в Т. Однако, если мы предполагаем большое число антенн (и ретрансляторов), то так что излученная мощность для подпотока также достаточно хорошо относится к величине мощности перед весовой матрицей W. Если оказывается, что Х является унитарной матрицей (хотя обычно это не так), то излученная мощность P1k точно пропорциональна мощности для элемента k в Т.
SNR в приемнике равно

где G2k – коэффициент усиления тракта передачи от k-го ретранслятора к приемнику, P2k – мощность передачи в k-м ретрансляторе, 2 2k – мощность шума в k-м приемном канале в приемнике.
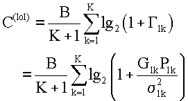
Теперь мы хотим оптимизировать агрегированную емкость Shannon no k ретрансляторам.
Сначала мы требуем, чтобы скорости были идентичными для первой и второй линии связи k-го ретранслятора, т.е.

Причиной равных скоростей является то, что то, что принято ретранслятором, могло бы быть послано. Если скорости не равны, то слишком много информации может быть принято по первой линии связи или вторая линия связи может переполнить емкость и, следовательно, потратить ценные ресурсы мощности.
Общая емкость (в b/Hz/s) тогда равна

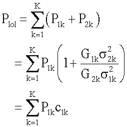
Емкость будет максимизирована при ограничении агрегированной мощности, включающем как передатчик, так и ретрансляторы. Это необходимо, так как имеется связь скорости между первой и второй линии связи для каждого ретранслятора. Общей мощностью является Pl0l, и может быть записана как

Сделаем подстановку (вспомогательной переменной), т.е. член мощности 1k=P1kc1k, что дает

с эквивалентным шумом

и с эквивалентным ограничением мощности

Формулировка этой задачи указывает, что задача попадает в классическую задачу наполнения водой параллельных каналов гауссовского шума, т.е. что она говорит нам назначить больше мощности трактам передачи ретранслятора, имеющего наименьший эквивалентный шум. Как в классической задаче наполнения водой, также может случиться то, что общая мощность не назначена всем ретрансляторам, т.е. один или несколько ретрансляторов, имеющих наихудший эквивалентный шум, не используются. Поскольку эквивалентный шум будет отличаться между ретрансляторами, каждый тракт передачи ретранслятора будет поддерживать различные скорости передачи. Если скорости различаются и длительности передачи фиксированы, то количество информации, посланной по каждому тракту передачи ретранслятора, будет различаться. Следовательно, передатчик может взять пакет более высокого уровня и расщепить его на меньшие пакеты различных длин и послать их по различным трактам передачи ретранслятора.
Хотя вышеупомянутый режим работы и процедура распределения мощности были выведены для фиксированной ширины полосы частот, расщепленной на К+1 частей, другим предположением может быть то, что, с практической точки зрения, имеется бесконечная (или по меньшей мере очень большая) ширина полосы частот для использования для второй линии связи. Это предположение могло бы использоваться, например, если вторая линия связи работала на очень высокой частоте, где полосам частот часто назначена большая часть спектра. Например, это имеет место в нелицензированных полосах спектра при 5,8 ГГц, 24 ГГц и 60 ГГц. Выгода этого состоит в том, что К+1 коэффициент нормализации в емкости канала исчезает и предлагает значительно увеличенную емкость. Это предположение может быть мотивировано посредством того, что полоса высоких частот является подходящей для операции короткого диапазона, из-за присущих ей высоких потерь тракта передачи, и менее подходящей для первой линии связи, которая предпочтительно выбирает операцию длинного диапазона.
Грубая процедура выбора ретранслятора упорядочивает все ретрансляторы по увеличению эквивалентного шума. Затем выбирается подмножество (из всех ретрансляторов), содержащее k ретрансляторов, имеющих наименьший эквивалентный шум. Согласно вышеприведенным уравнениям затем определяются мощность и скорости. После этого можно остановиться или продолжать итеративно, пока не найдено оптимальное множество узлов ретрансляции.
Одним аспектом, который необходимо рассмотреть, является влияние SNR на число ретрансляторов. Предположим, что мы начинаем с k ретрансляторами и обнаруживаем, что подмножеству узлов не назначено никакой мощности. Если мы удалим эти узлы, то величина BW для каждого ретранслятора может быть увеличена, и, следовательно, SNR будет модифицировано. С этим модифицированным SNR можно заново исследовать эквивалентный шум и распределить мощность посредством наполнения водой. Этот процесс может быть выполнен итеративно для нахождения оптимального числа ретрансляторов, либо посредством удаления наихудшей станции на каждом шаге, либо с использованием подхода «разделяй и властвуй».
Эта процедура могла бы быть выполненной в отправителе (например, в базовой станции) со знанием коэффициентов усиления тракта передачи от BS к ретрансляторам и от ретрансляторов к приемнику (например, MS).
Конкретный вариант осуществления согласно изобретению включает в себя (логическую) обратную связь информации состояния канала (CSI) от каждого из узлов ретрансляции обратно к передающему узлу. Обратная связь может, однако, иметь другой путь, например, через принимающий узел, или CSI ретранслятора может быть вычислена приемником. Обратная связь обеспечивает информацию относительно состояния канала между узлом ретрансляции и принимающим узлом. Следовательно, передающий узел, на основе обратной связи, может настроить мощность передачи и/или скорость передачи битов каждого подпотока для оптимизации переданного содержания информации. Кроме того, обратная связь может быть использована для уравновешивания мощности и/или скорости передачи битов между двумя линиями связи, т.е. между передающим узлом и узла ретрансляции, и между узлом ретрансляции и принимающим узлом.
Обычно предполагается, что информацией состояния канала (CSI) являются комплексными коэффициентами усиления амплитуды, обозначенными h для скалярных величин, h для векторов, Н для матриц. Для случая формирования диаграммы направленности фазовая информация является необходимой. Однако для второй линии связи между узлом ретрансляции и принимающим узлом модуль коэффициента усиления амплитуды, т.е. |h|, является более уместным. Для одной и той же линии связи также можно использовать коэффициент усиления канала g, т.е. g=|h|2. Другими словами, можно использовать полную CSI в передатчике, но для этого конкретного случая можно охватить меньше информации для второй линии связи. Однако для случая со множественными антеннами, по меньшей мере для одного из множества узлов ретрансляции или принимающего узла, фаза является важной и необходима полная информация CSI, включающая в себя фазовую информацию.
Согласно другому конкретному варианту осуществления изобретения передающий узел и узлы ретрансляции распределяют мощность таким образом, что пропускные способности каналов связи, т.е. SNR, подобны или идентичны на первой и второй линии связи для каждого узла ретрансляции. Возможно, общая мощность передающего узла и узлов ретрансляции может управляться вместе (например, агрегированным ограничением мощности как для антенн передающего узла, так и узлов ретрансляции) для максимизации пропускной способности узла канала. Управляющая петля, в основном, включает в себя посылку информации CSI от узлов ретрансляции к передающему узлу. Если передающим узлом является BS, то линии связи могут быть достаточно стабильными и дают возможность осуществлять достаточно медленную скорость обратной связи.
Кроме того, качество в приемнике предпочтительно также включено в петлю обратной связи. Следовательно, как ретранслятор и мощность передатчика, так и весовая матрица передачи передатчиком адаптируется при изменении каналов. Кроме того, скорости передачи данных (в соединении с распределением мощности) могут быть назначены для каждого параллельного подпотока в соответствии с характеристиками линий связи таким образом, что полная пропускная способность максимизируется. Кроме показанных функций в сети существуют дополнительные функции поддержки, например поддержка для мобильного приемника, обеспечивающие то, что «оптимальные» ретрансляторы выбираются при перемещении приемника. Следовательно, дополнительные тракты передачи управления существуют для управления дополнительными функциями.
Согласно другому конкретному варианту осуществления способа данного изобретения CSI дополнительно используется для выбора более или менее оптимальной подгруппы из множества узлов ретрансляции. Это может выполняться на основе максимизации некоторых критериев, например ожидаемой пропускной способности для системы. После этого для подпотоков может быть сформирована диаграмма направленности для выбранной подгруппы узлов ретрансляции.
На фиг.5 архитектура системы, показанная на фиг.4, была обобщена для содержания узлов RS1, RS2, RSK ретрансляции со множественными антеннами, множественными принимающими узлами Rx и принимающими узлами, содержащими множественные антенны. Ранее описанные варианты осуществления могут быть применены к этой конкретной системе.
Для ситуации, когда узел ретрансляции содержит множественные антенны, узел ретрансляции может быть адаптирован к функции согласно следующему:
прием на одной антенне и продвижение на множественных антеннах;
прием на множественные антенны и продвижение на одной антенне;
прием на множественные антенны и продвижение на множественных антеннах;
прием на одной антенне и продвижение на одной антенне.
При приеме со множественными антеннами в ретрансляторе принятые сигналы разделяются в ретрансляторе. Это может быть достигнуто посредством использования весовой матрицы Bk, когда сигналы от каждой антенны вместе с весовым процессом формируют столько параллельных в сущности свободных от помех сигнальных представлений подпотоков, сколько послано к ретранслятору. Если используется регенеративная ретрансляция, то сигнальные представления каждого подпотока декодируются и в последующем кодируются (например, включая модуляцию и прямое исправление ошибок, хорошо известное в беспроводной связи) перед передачей каждого подпотока на ортогональных каналах по направлению к приемнику. Если используется нерегенеративная ретрансляция, то в сущности свободные от помех сигнальные представления подпотоков просто посылаются на ортогональных каналах по направлению к приемнику.
Вариант осуществления системы 10, дающей возможность усовершенствованного управления мощностью с внешней петлей, показан на фиг.6. Система 10 содержит передающий узел Тх со множественными антеннами, по меньшей мере двумя узлами R1, R2 ретрансляции и принимающим узлом Rx.
Далее, система 10 содержит разделяющий блок 11 для разделения потока данных на множественные подпотоки данных, блок 12 формирования диаграммы направленности для формирования диаграммы направленности и передачи каждого подпотока по первой линии связи к соответствующему из узлов R ретрансляции, принимающим блокам 13, 23 для приема и продвижения представлений каждого подпотока по второй линии связи к принимающему узлу Rx, принимающему блоку 14 для приема и уплотнения представлений в выходной сигнал, и необязательные блоки 15, 25 обратной связи для обеспечения информации состояния канала (CSI) для первой и второй линий связи для каждого узла R ретрансляции и принимающего узла Rx для передающего узла Тх.
В иллюстрированном варианте осуществления различные средства 10-15 организованы в соответствии с передающим узлом Тх, двумя узлами R1, R2 ретрансляции и принимающим узлом Rx. Однако подразумевается, что некоторые из этих различных средств могут быть расположены в других узлах или реализованы в одном и том же узле. Подобным же образом подразумевается, что узлы ретрансляции могут иметь множественные антенны и что там могут быть обеспечены множественные принимающие узлы Rx.
Сравнение между известным уровнем техники согласно [6] и изобретением иллюстрировано диаграммой на фиг.7. Подробности сравнения дополнительно описаны в Приложении. Диаграмма показывает емкость канала как функцию от числа ретрансляторов в системе. Как ясно показано, данное изобретение обеспечивает явное улучшение по сравнению с известным уровнем техники.
Фиг.8 иллюстрирует, как узлы ретрансляции могут быть пространственно распределены в системе, здесь примерно присоединенной к полюсам лампы. Также показано, как канал и диапазоны передачи организованы для различных узлов ретрансляции. Видно, что покрытия ретрансляторов в сущности для ортогональных каналов являются перекрывающимися. Также показано, что канал может быть повторно использован много раз в пределах одной и той же соты, такой как канал «q» на фиг.6. Каналы могут быть конечно пространственно повторно использованы между сотами. Ретрансляторы могут быть присоединены не только к мачтам освещения, но также к домам, мачтам и т.д.
Области с перекрывающимся покрытием могут также быть организованы различными способами, показанными на фиг.9. Выгода для Топологии А по сравнению с Топологией В состоит в том, что качество связи ретранслятора будет в основном лучше благодаря близости ретрансляторов. Топология В, однако, имеет то преимущество, что кластеры ретрансляторов могут быть заменены единственным объектом ретрансляции, имеющим то же самое число антенн. Кабели, оптические волокна или даже беспроводные линии связи короткого диапазона могут тогда соединять антенны.
Хотя данное изобретение описано в контексте ретрансляции, приемник может в дополнение к одному или нескольким подпотокам ретрансляции принимать прямой сигнал, представляющий дополнительный подпоток, от передатчика, который не проходит через какой-нибудь ретранслятор. Этот прямой сигнал рассматривается как сигнал от подпотоков ретрансляции и, следовательно, уплотняется вместе с другими подпотоками в приемнике.
Хотя данное изобретение описано в контексте сети с двумя скачками, также можно использовать изобретение последовательно. Другими словами, поток данных может быть разделен на множественные подпотоки данных, для которых сформирована диаграмма направленности и которые передают к соответствующему узлу ретрансляции, который продвигает декодированную или в сущности свободную от помех версию подпотоков, которые он принял. Впоследствии по меньшей мере один из подпотоков дополнительно разделяется по меньшей мере на два подпотока и передается по соответствующему тракту передачи.
В итоге, преимущества данного изобретения включают в себя:
высокую эффективность спектра посредством пространственного уплотнения;
низкое потребление мощности посредством эффективного распределения мощности между передатчиком и ретрансляторами;
низкое потребление мощности посредством эффективного выбора одного или нескольких ретрансляторов, предлагающих хорошие условия связи;
уменьшение генерации помех посредством эффективного распределения мощности между передатчиком и ретрансляторами. Уменьшенная генерация помех имеет вторичную выгоду в том, что она может увеличить полную пропускную способность системы. (Проблемой для традиционных MIMO являются помехи множественного доступа (MAI) от других сот. Благодаря этому MAI уменьшены, выгоды MIMO могут обнаружить себя в большей степени);
уменьшение генерации помех посредством эффективного выбора одного или нескольких ретрансляторов, предлагающих хорошие условия связи.
Специалистам в данной области техники будет ясно, что различные модификации и изменения могут быть сделаны для данного изобретения не выходя за рамки его объема, который задан прилагаемой формулой изобретения.
Литература
1. J.N.Laneman, “Cooperative Diversity in Wireless Networks: Algorithms and Architectures”, Ph.D.Thesis, Massachusetts Institute of Technology, Cambridge, MA, August 2002.
2. A.Goldsmith, S.A.Jafar, N.Jindal, S.Vishwanath, “Capacity Limits of MIMO”, Channels”, in IEEE Journal on Selected Areas In Communications, June 2003.
3. Dohler Mischa (GB); Aghvami Abdol Hamid (GB); Said Fatin (GB); Ghorashi Seyed Ali (GB), patent WO 03003672, “Improvements in or Relating to Electronic Data Communication Systems”, Priority date 28/6 2001.
4. M.Dohler, J.Dominguez, H.Aghvami, “Link Capacity Analysis of Virtual Antenna Arrays” in Proceedings VTC Fall 2002, Vancouver, Canada, Sept. 2002.
5. M.Dohler, A.Gkelias, H.Aghvami, “2-Hop Distributed MIMO Communication System”, IEEE Electronics Letters, Vol.39, No.18, Sept.2003, pp.1350-1351.
6. M.Dohler, A.Gkelias, H.Aghvami, “A Resource Allocation Strategy for Distributed MIMO Multi-Hop Communication Systems”, IEEE Communications Letter, Vol.8, No.2, Feb.2004, pp.99-101.
7. G.Ginis and J.M.Cioffi, “A multiuser precoding scheme achieving crosstalk cancellation with application to DSL systems”, in Proc.34th Asllomar Conr. Signals, Systems and Computers, vol.2, 2000, pp.1627-1631.
ПРИЛОЖЕНИЕ: СРАВНЕНИЕ ЭФФЕКТИВНОСТИ МЕЖДУ СХЕМОЙ ИЗОБРЕТЕНИЯ И СХЕМОЙ DOHLER
Со всеми ретрансляторами, помещенными в середину между передатчиком и приемником, в то время как все они находятся в одной линии, расстояние от передатчика до приемника нормализовано на 1; пропускная способность для схемы этого изобретения может быть выражена следующим образом:

где В – общая ширина полосы частот, К – число ретрансляторов, Plol – мощность ограничения, – коэффициент затухания, – мощность шума. Пропускная способность для схемы Dohler может быть выражена следующим образом:


где n1 и n2 – соответственно, число антенн передатчика и ретрансляторов. Для схемы Dohler, пожалуйста, обратитесь к уравнению (4) и (5) в [5].
Для справедливого сравнения между двумя схемами, n1=n2=K, таким образом, уравнение (2) становится следующим:

При сравнении уравнения (3) с уравнением (1) можно видеть, что является независимым от К, тогда как является зависимым от К. Из фиг.7 можно видеть, что имеется заметный выигрыш для изобретения над схемой Dohler, если К>1.
Формула изобретения
1. Способ применения ретрансляции в беспроводной системе связи, содержащей передающий узел со множественными антеннами для связи, по меньшей мере, с одним принимающим узлом, по меньшей мере, через два узла ретрансляции, отличающийся тем, что разделяют (S1) поток данных в передающем узле, по меньшей мере, на два подпотока данных; формируют диаграмму направленности и передают (S2) каждый упомянутый подпоток данных по первой линии связи к соответствующему из упомянутых, по меньшей мере, двух узлов ретрансляции; продвигают (S3), по меньшей мере, одно восстанавливаемое представление его принятого подпотока по второй линии связи, по меньшей мере, к одному принимающему узлу от каждого из упомянутых, по меньшей мере, двух узлов ретрансляции; и уплотняют (S4) принятые и декодированные восстанавливаемые/свободные от потерь представления каждого подпотока для образования выходного сигнала в упомянутом, по меньшей мере, одном принимающем узле, соответствующем потоку данных.
2. Способ по п.1, отличающийся обеспечением (S5) информации состояния канала, по меньшей мере, для одной из упомянутых первой и второй линий связи, связанных с каждым соответствующим узлом ретрансляции в передающем узле.
3. Способ по п.2, отличающийся тем, что упомянутая информация состояния канала для второй линии связи содержит величину усиления по амплитуде.
4. Способ по п.2, отличающийся тем, что упомянутая информация состояния канала для первой линии связи содержит фазовую информацию.
5. Способ по п.2, отличающийся обеспечением (S5) упомянутой информации состояния канала для обеих из упомянутых первой и второй линий связи.
6. Способ по п.2 или 4, отличающийся адаптацией (S6) весовой матрицы для передающего узла на основе, по меньшей мере, принятой информации состояния канала для первой линии связи для каждого узла ретрансляции.
7. Способ по п.1, отличающийся тем, что, по меньшей мере, один из упомянутых, по меньшей мере, двух узлов ретрансляции содержит множественные антенны.
8. Способ по п.7, отличающийся передачей (S2) отдельных подпотоков, по меньшей мере, к двум из множественных антенн упомянутого, по меньшей мере, одного из упомянутых, по меньшей мере, двух узлов ретрансляции.
9. Способ по п.7, отличающийся передачей (S2) равного числа или меньшего числа подпотоков, чем число множественных антенных элементов упомянутого, по меньшей мере, одного из упомянутых, по меньшей мере, двух узлов ретрансляции, и отдельных подпотоков через совместное взвешивание принятых сигналов.
10. Способ по п.1, отличающийся тем, что упомянутая система связи содержит множественные принимающие узлы.
11. Способ по п.10, отличающийся тем, что, по меньшей мере, один из упомянутых множественных принимающих узлов содержит множественные антенны.
12. Способ по п.1, отличающийся упомянутыми, по меньшей мере, двумя узлами ретрансляции, продвигающими их соответствующее, по меньшей мере, одно представление их принятых подпотоков по ортогональным каналам к принимающему узлу.
13. Способ по п.5, отличающийся распределением допустимой мощности передачи среди антенн передатчика и ретрансляторов на основе принятой информации состояния канала для упомянутых первой и второй линий связи.
14. Способ по п.2, отличающийся распределением допустимой мощности передачи к подпотокам и, по меньшей мере, к двум узлам ретрансляции на основе принятой информации состояния канала, по меньшей мере, для одной из упомянутых первой и второй линий связи.
15. Способ по п.2, отличающийся распределением скоростей передачи данных к каждому подпотоку данных на основе принятой информации состояния канала, по меньшей мере, для одной из упомянутых первой и второй линий связи.
16. Способ по п.14 или 15, отличающийся совместным распределением доступной мощности передачи к подпотокам и упомянутым, по меньшей мере, двум узлам ретрансляции и скоростей передачи данных к каждому подпотоку данных.
17. Способ по п.2, отличающийся выбором, по меньшей мере, одной станции ретрансляции, которая максимизирует объективную меру работы.
18. Способ по п.17, отличающийся упомянутой объективной мерой работы, содержащей меру работы линии связи согласно или производительности, или пропускной способности канала.
19. Способ по любому из пп.13, 14, 15 и 17, отличающийся совместным выбором и распределением любой комбинации мощности передачи, скоростей передачи данных и станций ретрансляции на основе принятой информации состояния канала, по меньшей мере, для одной из упомянутых первой и второй линий связи.
20. Система (10) связи, содержащая, по меньшей мере, один передающий узел (Тх), способный передавать поток данных, по меньшей мере, к одному принимающему узлу (Rx) по меньшей мере через два узла (R1; R2) ретрансляции, отличающийся средством (11) для разделения потока данных в передающем узле на множественные подпотоки данных; средством (12) для формирования диаграммы направленности и передачи каждого из упомянутых подпотоков данных по первой линии связи к соответствующему из упомянутых, по меньшей мере, двух узлов (R1; R2) ретрансляции; и средством (13; 23) для приема и продвижения восстанавливаемых представлений каждого упомянутого подпотока данных по второй линии связи к принимающему узлу (Rx); средством (14) для приема и уплотнения упомянутых восстанавливаемых представлений каждого упомянутого подпотока данных в выходной сигнал, соответствующий потоку данных передачи.
21. Система (10) по п.20, отличающаяся дополнительным средством (15; 25) для обеспечения информации состояния канала (CSI), касающейся, по меньшей мере, одной из упомянутых первой и второй линий связи для каждого соответствующего узла (R1; R2) ретрансляции и принимающего узла (Rx) для передающего узла (Тх).
22. Система по п.21, отличающаяся дополнительным средством для адаптации антенной весовой матрицы на основе обеспеченной информации состояния канала для упомянутой первой линии связи.
23. Система по п.21, отличающаяся средством для распределения доступной мощности передачи среди подпотоков и ретрансляторов на основе принятой информации состояния канала, по меньшей мере, для одной из упомянутых первой и второй линий связи.
24. Система по п.21, отличающаяся средством для распределения доступной мощности передачи к подпотокам и, по меньшей мере, к двум узлам ретрансляции на основе принятой информации состояния канала, по меньшей мере, для одной из упомянутых первой и второй линий связи.
25. Система по п.21, отличающаяся средством для распределения скоростей передачи данных к каждому подпотоку данных на основе принятой информации состояния канала.
26. Система по п.24 или 25, отличающаяся средством для совместного распределения доступной мощности передачи к множественным антеннам передатчика и упомянутым, по меньшей мере, двум узлам ретрансляции и скоростей передачи данных для каждого подпотока данных.
27. Передающий узел (Тх), способный передавать поток данных, по меньшей мере, к одному принимающему узлу (Rx), по меньшей мере, через два узла (R1; R2) ретрансляции, отличающийся средством (11) для разделения потока данных, по меньшей мере, на два подпотока данных; средством (12) для формирования диаграммы направленности и передачи каждого из упомянутых, по меньшей мере, двух подпотоков данных по первой линии связи к соответствующему из упомянутых, по меньшей мере, двух узлов ретрансляции.
28. Передающий узел (Тх) по п.27, отличающийся средством для приема информации состояния канала, касающейся, по меньшей мере, одной из первой линии связи, по меньшей мере, к двум узлам (R) ретрансляции и второй линии связи между узлами ретрансляции и принимающим узлом (Rx); средством для адаптации антенной весовой матрицы на основе принятой информации состояния канала для первой линии связи.
29. Узел (R1; R2) ретрансляции для применения ретрансляции в беспроводной системе связи, причем упомянутая система содержит передающий узел (Тх) со множественными антеннами, осуществляющими связь, по меньшей мере, с одним принимающим узлом (Rx), по меньшей мере, через два узла ретрансляции, отличающийся средством (13; 23) для продвижения восстанавливаемого представления принятого подпотока по второй линии связи, по меньшей мере, к одному принимающему узлу (Rx); и средством (15; 25) для обеспечения информации состояния канала, по меньшей мере, для одной из упомянутых первой и второй линий связи для передающего узла (Тх).
30. Принимающий узел (Rx), способный принимать разделенный поток данных от передающего узла (Тх) со множественными антеннами по первой линии связи по меньшей мере через два узла (R1; R2) ретрансляции, отличающийся средством (14) для приема восстанавливаемых представлений, по меньшей мере, одного подпотока данных по второй линии связи от каждого из, по меньшей мере, из двух узлов (R1; R2) ретрансляции и для уплотнения принятых и декодированных восстанавливаемых представлений для образования выходного сигнала, соответствующего потоку данных в передающем узле.
РИСУНКИ
|
|