|
|
(21), (22) Заявка: 2006126529/09, 28.01.2005
(24) Дата начала отсчета срока действия патента:
28.01.2005
(30) Конвенционный приоритет:
30.01.2004 FI 20040140
(43) Дата публикации заявки: 10.03.2008
(46) Опубликовано: 27.11.2009
(56) Список документов, цитированных в отчете о поиске:
RU 96110894 А, 27.07.1998. RU 2103805 C1, 27.01.1998. SU 490 A1, 15.09.1924. SU 553726 A1, 05.04.1977. GB 2167256 A, 21.05.1986. US 4337439 A, 29.06.1982. US 4545258 A, 08.12.1985. US 4538122 A, 27.08.1985. WO 91/16760 A1, 31.10.1991. WO 2005038910 A2, 06.05.2004.
(85) Дата перевода заявки PCT на национальную фазу:
30.08.2006
(86) Заявка PCT:
FI 2005/000059 20050128
(87) Публикация PCT:
WO 2005/074124 20050811
Адрес для переписки:
191036, Санкт-Петербург, а/я 24, “НЕВИНПАТ”, пат.пов. А.В.Поликарпову
|
(72) Автор(ы):
КОУККАРИ Ээро (FI), ОЙЛИНКИ Теро (FI), КУРТТИО Паси (FI)
(73) Патентообладатель(и):
Нокиа Корпорейшн (FI)
|
(54) РЕГУЛИРУЮЩАЯ СХЕМА
(57) Реферат:
Изобретение относится к области радиотехники и может быть использовано для регулировки амплитуды радиочастотного сигнала. Техническим результатом является повышение быстродействия, обеспечение высокой скорости регулирования и увеличение диапазона регулирования с возможностью использования на высоких частотах. Регулирующая схема содержит множество выводов для входа и выхода сигнала и согласующий компонент, предназначенный для согласования входа сигнала и выхода сигнала на выводах, по меньшей мере, один блок регулируемого активного сопротивления, включенный между согласующим компонентом и землей и предназначенный для изменения активного сопротивления, по меньшей мере, на одном выводе схемы регулировки амплитуды. Регулирующая схема для регулировки амплитуды сигнала может также содержать множество выводов для входа и выхода сигнала и, по меньшей мере, одну пару блоков регулируемого импеданса. Каждая пара блоков регулируемого импеданса включена между парой выводов для входа и выхода сигнала. Каждый из блоков регулируемого импеданса включен параллельно между линией сигнала и землей. Блоки регулируемого импеданса в каждой паре имеют комплементарные друг другу реактивные сопротивления. 6 н. и 11 з.п. ф-лы, 12 ил.
Область техники
Изобретение относится к регулирующей схеме, предназначенной для регулировки амплитуды сигнала.
Уровень техники
Нелинейный элемент, например усилитель мощности, вносит в сигнал искажения. Для уменьшения искажений, обусловленных усилителями, используют различные средства. Поскольку зависимость искажения амплитуды или фазы усиленного сигнала от амплитуды входного сигнала часто близка к известной функции, искажение компенсируют с помощью компонента, имеющего аналогичные характеристики. Типичные компоненты для предыскажений включают диод, полевой транзистор или биполярный транзистор. Хотя такое решение является простым, оно не обладает точностью. Характеристика одного компонента не может достаточно хорошо скомпенсировать искажения нелинейного элемента, например усилителя мощности. Хотя вышеуказанные компоненты используются для линеаризации характеристики нелинейного элемента, сами такие компоненты также вызывают нелинейность как фазы, так и амплитуды.
Предыскажение амплитуды может быть выполнено с использованием справочных таблиц, которые можно обновлять для достижения адаптации, поскольку на искажения усилителя влияют, например, температура, срок службы усилителя и изменение сигнала, подаваемого в усилитель.
Для оценки искажения вместо справочных таблиц можно использовать многочлен порядка выше первого. Как правило, для хорошей компенсации искажений порядок должен быть, по меньшей мере, пятым или даже седьмым. Однако это радикально увеличивает количество операций умножения.
Применение справочных таблиц и многочленов приводит к наличию сложных, медленных и неидеальных компенсирующим схем, которые вызывают нежелательные задержки в обработке сигнала. К тому же операторы умножения, используемые при решении в виде полинома, трудно реализовать, а кроме того, они вызывают нежелательную задержку. Таким образом, независимо от того, используется ли в действительности линеаризация, усилители мощности не в состоянии линейно усилить сигнал, если изменяется величина мощности поступающего сигнала, что имеет место, например, в системе UMTS (универсальной системе мобильной связи), системе CDMA (системе с многостанционным доступом с кодовым разделением каналов) и системе WCDMA (широкополосной CDMA системе).
Краткое описание изобретения
Целью настоящего изобретения является создание улучшенной регулирующей схемы и улучшенного способа регулировки.
Согласно одному из аспектов настоящего изобретения предлагается регулирующая схема, предназначенная для регулировки амплитуды радиочастотного сигнала, причем регулирующая схема содержит множество выводов для входа и выхода сигнала; согласующий компонент, предназначенный для согласования входа сигнала и выхода сигнала на выводах; и, по меньшей мере, один блок регулируемого активного сопротивления, включенный между согласующим компонентом и землей и предназначенный для изменения активного сопротивления, по меньшей мере, на одном выводе схемы регулировки амплитуды.
Согласно другому аспекту настоящего изобретения предложена регулирующая схема, предназначенная для регулировки амплитуды сигнала, причем регулирующая схема содержит множество выводов для входа и выхода сигнала; и, по меньшей мере, одну пару блоков регулируемого импеданса, причем каждая пара блоков регулируемого импеданса включена между парой выводов для входа и выхода сигнала и каждый из блоков регулируемого импеданса включен параллельно между линией сигнала и землей, а блоки регулируемого импеданса в каждой паре имеют комплементарные друг другу (взаимодополняющие) реактивные сопротивления.
Согласно еще одному аспекту настоящего изобретения предложен способ регулировки амплитуды радиочастотного сигнала в регулирующей схеме, причем регулирующая схема содержит множество выводов для входа и выхода сигнала; согласующий компонент, предназначенный для согласования входа сигнала и выхода сигнала на выводах; и, по меньшей мере, один блок регулируемого активного сопротивления, включенный между согласующим компонентом и землей, и этот способ включает регулировку активного сопротивления, по меньшей мере, на одном выводе схемы регулировки амплитуды посредством, по меньшей мере, одного блока регулируемого активного сопротивления путем изменения импеданса, по меньшей мере, одной пары блоков регулируемого импеданса в каждом блоке регулируемого активного сопротивления.
Согласно еще одному аспекту настоящего изобретения предложен способ регулировки амплитуды сигнала в регулирующей схеме, причем регулирующая схема содержит множество выводов для входа и выхода сигнала; и, по меньшей мере, одну пару блоков регулируемого импеданса, причем каждая пара блоков регулируемого импеданса установлена между парой выводов для входа и выхода сигнала и каждый из блоков регулируемого импеданса включен параллельно между линией сигнала и землей, а способ включает регулировку импеданса регулирующей схемы и поддержание реактивного сопротивления блоков регулируемого импеданса для каждой пары комплементарными по отношению друг к другу в процессе регулировки.
Предпочтительные варианты выполнения настоящего изобретения описаны в зависимых пунктах формулы изобретения.
Регулирующая схема и способ регулировки согласно настоящему изобретению обеспечивают несколько преимуществ. Регулирующая схема является простой и обеспечивает линейную характеристику ослабления/регулировки амплитуды и фазы в широкой полосе частот.
Перечень чертежей
Ниже настоящее изобретение будет описано подробно на примерах предпочтительных вариантов его выполнения со ссылками на сопровождающие чертежи, где:
на фиг.1 показана система радиосвязи;
на фиг.2А показана регулирующая схема с линией передачи;
на фиг.2В показана регулирующая схема с направленным ответвителем;
на фиг.2С показана регулирующая схема с циркулятором;
на фиг.3 показана регулирующая схема между генератором сигналов и нагрузкой;
на фиг.4 показана диаграмма Смита с кривой регулировки для индуктивного импеданса;
на фиг.5 показана диаграмма Смита с кривой регулировки для емкостного импеданса;
на фиг.6 показана диаграмма Смита с кривой регулировки для импедансов при параллельном соединении;
на фиг.7 показана регулировка индуктивного импеданса с помощью емкостных диодов;
на фиг.8 показана регулировка емкостного импеданса с помощью емкостных диодов;
на фиг.9 показана последовательность операций для реализации способа;
на фиг.10 показана последовательность операций для другой реализации способа.
Описание вариантов осуществления настоящего изобретения
Настоящее решение особенно хорошо подходит для передатчика в системе радиосвязи, например в системе стандарта UMTS или WCDMA, но ее применение этим не ограничивается.
Прежде всего, на фиг.1 показана система радиосвязи. Типичная цифровая система радиосвязи включает оборудование 100-104 абонента, по меньшей мере, одну базовую станцию 106 и контроллер 108 базовой станции. Базовую станцию 106 можно также называть узлом В, а контроллер 108 базовой станции можно называть контроллером радиосети. Оборудование 100-104 абонента связывается с базовой станцией 106 с использованием сигналов 110-114. Базовая станция 106 может связываться с контроллером 108 базовой станции посредством цифровой линии 116 связи. Оборудование 100-104 абонента может представлять собой неподвижные терминалы, оборудование пользователя, установленное на транспортном средстве, или портативные мобильные терминалы. Сигналы 110-114 между оборудованием 100-104 абонента и базовой станцией 106 несут цифровую информацию, например речь, данные, или управляющую информацию, сгенерированную абонентами или системой радиосвязи.
На фиг.2А показана регулирующая схема, предназначенная для регулировки амплитуды сигнала. Регулирующая схема на фиг.2А содержит входной вывод 200 и выходной вывод 202. В общем случае, схема может содержать множество выводов для входа и выхода сигналов. Генератор 204 сигнала, который может быть частью передатчика базовой станции или оборудования пользователя, выдает сигнал на выходной вывод 200. Кроме того, схема содержит согласующий компонент 206, который влияет на согласование вход и выход сигнала на выводах 200, 202. Согласующий компонент влияет на импеданс схемы, и поэтому согласующий компонент с различными свойствами может изменить импеданс схемы. Согласующий компонент 206 может быть, например, линией передачи, длина l которой составляет одну четверть длины волны сигнала, то есть l= /4+n /2, где n=0, 1, 2 . Соответственно, фазовый сдвиг (в радианах) в согласующем компоненте также может быть выражен как  = /2+n , где  3,1415926. Импеданс линии передачи может составлять 50 , 75 , 100 , 600 или любую другую желательную величину. Регулирующая схема на фиг.2А включает два блока 208, 210 регулируемого активного сопротивления, включенные между согласующим компонентом 206 и землей и предназначенные для изменения активного сопротивления на входе и выходе 200, 202 схемы регулировки амплитуды. Нагрузка 212, которая может быть нелинейным элементом, например усилителем, может быть соединена с выходом 202. Нелинейность амплитуды, обусловленная нагрузкой 212, может быть скомпенсирована регулирующей схемой.
Вместо линии 206 передачи может использоваться лестничная структура из индуктивностей и емкостей. В этом варианте катушки соединены последовательно, при этом катушка с обеих сторон через конденсатор связана с землей. Выбирая подходящие значения для индуктивностей и емкостей, можно получить заданный фазовый сдвиг  = /2+n .
Каждый из блоков 208, 210 регулируемых активных сопротивлений может содержать много компонентов, соединенных параллельно и/или последовательно, причем, по меньшей мере, некоторые из таких компонентов являются регулируемыми. Компоненты в блоках 208, 210 регулируемого активного сопротивления имеют комплементарные друг другу (взаимодополняющие) реактивные сопротивления. Например, блок 208 регулируемого активного сопротивления может содержать блоки 2080, 2082 регулируемого импеданса, а блок 210 регулируемого активного сопротивления может включать блоки 2100, 2102 регулируемого импеданса. Блок 2080 регулируемого импеданса может быть индуктивным, а блок 2082 регулируемого импеданса может быть емкостным или наоборот. В процессе регулировки блоков 2080, 2082 регулируемого импеданса в блоке 208 регулируемого активного сопротивления их реактивное сопротивление может оставаться противоположным друг другу, а регулировка может изменять только значение активного сопротивления блока 208 регулируемого активного сопротивления. Аналогично, регулировка блоков регулируемого импеданса 2100, 2102, имеющих комплементарные реактивные сопротивления, может изменять активное сопротивление блока 210 регулируемого активного сопротивления.
Один из вариантов выполнения настоящего изобретения может включать обратную связь 214 (показана штриховой линией) с выхода нелинейного элемента 212 к блокам 208, 210 регулируемого активного сопротивления, предназначенную для регулировки блоков 2080, 2082 и 2100, 2102 регулируемого импеданса, но этот признак не является необходимым. Обратная связь может включать преобразователь обратной связи (не показан), который преобразует сигнал с выхода нелинейного элемента 212 в форму, подходящую для блоков 2080, 2082 и 2100, 2102 регулируемого импеданса.
На фиг.2В показан пример, в котором согласующий компонент представляет собой направленный ответвитель 250 с четырьмя выводами 252-258. В этом примере к двум выводом 252, 254 подключены блоки 260, 262 регулируемого активного сопротивления, но в общем случае, по меньшей мере, один вывод связан с блоком регулируемого активного сопротивления.
На фиг.2С показан пример, в котором согласующий компонент представляет собой циркулятор 270 с тремя выводами 272-276. В этом примере вывод 272 связан с блоком 278 регулируемого активного сопротивления. Когда передача происходит от вывода 274 к выводу 276, вывод 276 представляет собой выходной вывод. Любой из других выводов также может быть соединен с блоком регулируемого активного сопротивления.
На фиг.3 показан другой пример регулирующей схемы, предназначенной для регулировки амплитуды сигнала. Регулирующая схема на фиг.3 содержит входной вывод 300 и выходной вывод 302. В общем случае схема может содержать множество выводов для входа и выхода сигнала. Генератор 304 сигналов подает сигнал на входной вывод 300. Параллельно между линией сигнала (линия между выводами 300, 302) и землей включена пара блоков 306, 308 регулируемого импеданса. Земля может быть нулевым потенциалом или любым другим опорным уровнем, относительно которого измеряют сигнал на сигнальной линии. Блок 306 регулируемого импеданса может быть индуктивным, а блок 308 регулируемого импеданса может быть емкостным. В общем случае схема может содержать больше одной пары блоков регулируемого импеданса, так чтобы каждая пара блоков регулируемого импеданса находилась между одной парой входных и выходных выводов. Блоки регулируемого импеданса в каждой паре имеют комплементарные друг другу реактивные сопротивления. Нагрузка 310, которая может быть нелинейным элементом, например усилителем, соединена с выходным выводом 302. Как на фиг.2А, 2В и 2С, каждый блок регулируемого импеданса может содержать множество компонентов, соединенных параллельно и/или последовательно.
Регулирующую схему, описанную на фиг.2А, 2В, 2С и 3, можно считать регулируемым аттенюатором, поскольку изменение ее активного сопротивления ослабляет в желательной степени сигнал на нагрузке.
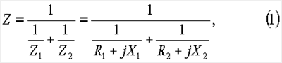
Комплементарные реактивные сопротивления блоков регулируемого импеданса, о которых шла речь в связи с описанием фиг.2А, 2В, 2С и 3, могут быть выражены математически с использованием комплексных чисел, так что импеданс является комплексным значением, причем его действительная часть представляет собой активное сопротивление, а мнимая часть – реактивное сопротивление. Реактивное сопротивление, в свою очередь, обусловлено индуктивностью или емкостью. Импеданс Z параллельного соединения двух блоков с импедансами Z1=R1+jX1 и Z2=R2+jX2 может быть выражен как

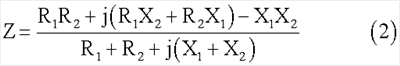
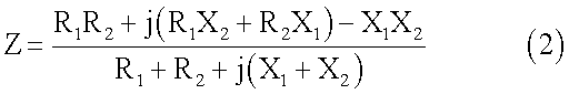
где R1+jX1 – первый блок с импедансом Z1, R2+jX2 – второй блок с импедансом Z1, R1 – активная часть импеданса первого блока регулируемого импеданса, R2 – активная часть импеданса второго блока регулируемого импеданса, X1 – реактивная часть импеданса первого блока регулируемого импеданса, Х2 – реактивная часть импеданса второго блока регулируемого импеданса, a j – мнимая единица. Импеданс Z может быть также выражен как

и может быть действительным, то есть импеданс Z может быть активным сопротивлением, если активная часть R1 и активная часть R2 равны, R1=R2, и если реактивная часть X1 противоположна реактивной части Х2, т.е. X1=-Х2. Когда импеданс Z является чисто резистивным, значения параллельно включенных импедансов Z1, Z2 являются комплексно сопряженными, то есть Z1=R1+jX1, .
На фиг.4 на круговой диаграмме Смита показана кривая 400 для блока 2080 регулируемого импеданса, имеющего индуктивное реактивное сопротивление, в блоке 208 регулируемого активного сопротивления. Эта кривая также аналогична кривой для блока 306 регулируемого импеданса. Значения для блока регулируемого импеданса могут быть выбраны так, чтобы минимальное значение и максимальное значение диапазона регулировки находились на действительной оси диаграммы Смита. Кривая для блока регулируемого импеданса, который не имеет комплементарных реактивных сопротивлений, в этом случае представляет собой на диаграмме Смита дугу, которая находится выше действительной оси.
На фиг.5 показана диаграмма Смита с кривой 500 импеданса для блока 2082 регулируемого импеданса в блоке 208 регулируемого активного сопротивления, имеющем емкостное реактивное сопротивление. Эта кривая также аналогична кривой для блока 308 регулируемого импеданса. Как и на фиг.4, значения для блока регулируемого импеданса могут быть выбраны так, чтобы минимальное значение и максимальное значение диапазона регулировки находились на действительной оси диаграммы Смита. В этом случае кривая для блока регулируемого импеданса, который не имеет комплементарных реактивных сопротивлений, представляет собой на диаграмме Смита дугу, которая находится ниже действительной оси.
На фиг.6 показана диаграмма Смита, имеющая комбинированную кривую 600 импеданса для блока 2080 регулируемого импеданса и блока 2082 регулируемого импеданса в блоке 206 регулируемого активного сопротивления. Эта кривая аналогична кривой для комбинации блока 306 регулируемого импеданса и блока 308 регулируемого импеданса. Поскольку комплементарные реактивные сопротивления (относящиеся к X1 и Х2 в уравнении (2)) противоположны, комбинированный импеданс Z является активным и, следовательно, этому соответствует прямая линия в пределах полного диапазона регулировки.
На фиг.7 показан блок регулируемого импеданса с кривой, аналогичной изображенной на фиг.4. Блок регулируемого импеданса может быть выполнен с использованием пары емкостных диодов 700 с направленными встречно катодами. Однако в общем случае блок регулируемого импеданса может быть реализован с использованием, по меньшей мере, одного емкостного диода. Пара емкостных диодов 700 соединена одним выводом с землей. Регулирующий сигнал, который регулирует импеданс, подается между парой диодов 700. Регулирующий сигнал может быть выражен, например, следующим образом: Vadjustment=Vo-Vc, где Vadjustment – регулирующее напряжение, Vo – постоянное напряжение (например, приблизительно 8В), и Vc – меняющееся напряжение, изменяющее импеданс пары емкостных диодов 700. Другой вывод пары емкостных диодов 700 соединен с землей через индуктивность 702. Этот же вывод пары емкостных диодов 700 соединен также с линией сигнала через части линий 704, 708 передачи и сопротивление 706.
На фиг.8 показан блок регулируемого импеданса с кривой, аналогичной изображенной на фиг.5. Этот блок регулируемого импеданса также может быть реализован с использованием пары емкостных диодов 800 со встречными катодами. Регулирующий сигнал, который регулирует импеданс, подается между парой диодов 800. В этом случае, регулировка может быть выполнена непосредственно с использованием меняющегося напряжения Vc, то есть Vadjustment=Vc. Таким образом, кривые на фиг.4 и 5 изгибаются в противоположном направлении и имеют противоположные друг другу значения реактивных составляющих в любой точке диапазона регулировки. Другой вывод пары емкостных диодов 800 соединен с землей через индуктивность 802. Пара емкостных диодов 800 соединена с линией сигнала через части линий 804, 808 передачи, между которыми включено сопротивление 806, соединенное с землей.
Ниже приведены примеры для частоты 2140 МГц, хотя эти примеры не являются ограничительными. Каждый емкостной диод включает индуктивность 1,5 мГн, а значения компонентов равны:
Например, емкость С емкостного диода может быть выражена как
С=[8.75/(1+Vadjustment/2,3)1,1+1,2] пФ. Для других частот могут использоваться другие значения. Индуктивности 702, 802 используются для заземления по постоянному току. Использование емкостных диодов делает регулирующую схему быстродействующей и таким образом позволяет использовать ее на высоких частотах.
Можно составить регулируемое сопротивление путем параллельного соединения блоков регулируемого импеданса, изображенных на фиг.7 и фиг.8. Регулируемые импедансы могут быть подобраны так, чтобы абсолютные величины реактивных частей были равны, но имели противоположные знаки, что в результате дает прямую линию на диаграмме Смита. Емкостные диоды обеспечивают высокую скорость регулировки, высокое затухание отражения и диапазон регулировки до 5 децибел или даже больше.
На фиг.9 показана последовательность операций для способа регулировки амплитуды сигнала в регулирующей схеме. На шаге 900 проводят регулировку сопротивлений на входе и выходе, по меньшей мере, для одного вывода схемы регулировки амплитуды с помощью, по меньшей мере, одного блока регулируемого активного сопротивления.
На фиг.10 показана другая последовательность операций для способа регулировки амплитуды сигнала в регулирующей схеме. На шаге 1000 регулируют импеданс регулирующей схемы. На шаге 1002 в процессе регулировки реактивные сопротивления блока регулируемого импеданса для каждой пары поддерживают комплементарными друг другу.
Регулируемый сигнал может быть радиочастотным сигналом, который может быть сигналом основной полосы частот или сигналом, модулированным несущей. Частота сигнала может меняться от килогерц до гигагерц.
Хотя настоящее изобретение описано выше на примере со ссылкой на сопровождающие чертежи, понятно, что оно этим не ограничено, но может быть изменено несколькими способами в объеме формулы изобретения.
Формула изобретения
1. Регулирующая схема для регулировки амплитуды радиочастотного сигнала, содержащая: множество выводов для входа и выхода сигналов; согласующий компонент, влияющий на согласование входа сигнала и выхода сигнала на указанном множестве выводов, и, по меньшей мере, один блок регулируемого активного сопротивления, включенный между согласующим компонентом и землей для изменения активного сопротивления, по меньшей мере, на одном выводе из множества выводов.
2. Схема по п.1, в которой, по меньшей мере, один блок регулируемого активного сопротивления содержит, по меньшей мере, пару блоков регулируемого импеданса с комплементарными реактивными сопротивлениями, которые являются регулируемыми.
3. Схема по п.1, в которой, по меньшей мере, один блок регулируемого активного сопротивления содержит пару емкостных диодов.
4. Схема по п.1, в которой согласующий компонент содержит линию передачи.
5. Схема по п.1, в которой согласующий компонент содержит направленный ответвитель.
6. Схема по п.1, в которой согласующий компонент содержит циркулятор.
7. Схема по п.1, в которой имеется обратная связь с выхода нелинейного элемента, по меньшей мере, к одному блоку регулируемого активного сопротивления для регулировки по меньшей мере одного блока регулируемого активного сопротивления согласно сигналу обратной связи.
8. Регулирующая схема для регулировки амплитуды сигнала, содержащая множество выводов для входа и выхода сигнала и, по меньшей мере, одну пару блоков регулируемого импеданса, причем каждая пара блоков регулируемого импеданса включена между парой входных и выходных выводов из указанного множества выводов, при этом каждый из блоков регулируемого импеданса включен параллельно между линией сигнала и землей, и блоки регулируемого импеданса в каждой паре имеют комплементарные друг другу реактивные сопротивления.
9. Схема по п.8, в которой, по меньшей мере, один блок регулируемого импеданса каждой пары имеет противоположные друг другу значения реактивной составляющей в любой точке диапазона регулировки.
10. Схема по п.8, в которой имеется обратная связь с выхода нелинейного элемента, по меньшей мере, к одной паре блоков регулируемого импеданса для регулировки по меньшей мере одной пары блоков регулируемого импеданса согласно сигналу обратной связи.
11. Регулирующая схема для регулировки амплитуды радиочастотного сигнала, содержащая множество выводов для входа и выхода сигнала; согласующее средство для согласования входа сигнала и выхода сигнала на указанном множестве выводов; и, по меньшей мере, одно средство регулировки активного сопротивления, включенное между согласующим средством и землей для изменения активного сопротивления, по меньшей мере, на одном выводе из множества выводов.
12. Регулирующая схема для регулировки амплитуды сигнала, содержащая множество выводов для входа и выхода сигнала и, по меньшей мере, одну пару средств регулировки импеданса, причем каждая пара средств регулировки импеданса включена между парой входных и выходных выводов, при этом каждая пара средств регулировки импеданса включена параллельно между линией сигнала и землей, и средства регулировки импеданса в каждой паре имеют комплементарные друг другу реактивные сопротивления.
13. Способ регулировки амплитуды радиочастотного сигнала в регулирующей схеме, которая содержит множество выводов для входа и выхода сигнала; согласующий компонент, влияющий на согласование входа сигнала и выхода сигнала на указанных выводах, и, по меньшей мере, один блок регулируемого активного сопротивления, включенный между согласующим компонентом и землей, причем этот способ включает регулировку активного сопротивления по меньшей мере на одном выводе из множества выводов схемы регулировки амплитуды посредством по меньшей мере одного блока регулируемого активного сопротивления путем изменения импеданса, по меньшей мере, одной пары блоков регулируемого импеданса в каждом блоке регулировки активного сопротивления.
14. Способ по п.13, дополнительно включающий введение сигнала обратной связи с выхода нелинейного элемента, по меньшей мере, к одному блоку регулируемого активного сопротивления и регулировку, по меньшей мере, одного блока регулируемого активного сопротивления согласно сигналу обратной связи.
15. Способ по п.13, в котором шаг регулировки включает регулировку активного сопротивления, по меньшей мере, с помощью одного блока регулируемого активного сопротивления, причем, по меньшей мере, один блок регулируемого активного сопротивления содержит, по меньшей мере, один емкостной диод.
16. Способ регулировки амплитуды сигнала в регулирующей схеме, содержащей множество выводов для входа и выхода сигнала и, по меньшей мере, одну пару блоков регулируемого импеданса, причем каждая пара блоков регулируемого импеданса установлена между парой входных и выходных выводов и каждый из блоков регулируемого импеданса включен параллельно между линией сигнала и землей, при этом способ включает регулировку импеданса регулирующей схемы и поддержание реактивных сопротивлений блоков регулируемого импеданса для каждой пары комплементарными по отношению друг к другу в процессе регулировки.
17. Способ по п.16, дополнительно включающий введение сигнала обратной связи с выхода нелинейного элемента, по меньшей мере, к одной паре блоков регулируемого импеданса и регулировку, по меньшей мере, одной пары блоков регулируемого импеданса согласно сигналу обратной связи.
РИСУНКИ
|
|