|
|
(21), (22) Заявка: 2008133917/09, 18.08.2008
(24) Дата начала отсчета срока действия патента:
18.08.2008
(46) Опубликовано: 27.11.2009
(56) Список документов, цитированных в отчете о поиске:
RU 2271058 С1, 27.02.2006. RU 2155420 С1, 27.08.2000. RU 2099282 С1, 20.12.1997. RU 2234176 С2, 10.08.2004. WO 2005043681 А1, 12.05.2005. JP 2001111288 А, 20.04.2001. US 6299716 В1, 09.10.2001. US 4480256 А, 30.10.1984.
Адрес для переписки:
443010, г.Самара, ул. Л. Толстого, 23, ГОУ ВПО “Поволжский государственный университет телекоммуникаций и информатики” (ГОУВПО ПГУТИ)
|
(72) Автор(ы):
Вороной Андрей Андреевич (RU), Неганов Вячеслав Александрович (RU), Табаков Дмитрий Петрович (RU)
(73) Патентообладатель(и):
Государственное образовательное учреждение высшего профессионального образования “Поволжский государственный университет телекоммуникаций и информатики” (RU)
|
(54) КОНФОРМНОЕ ПОКРЫТИЕ ОБЪЕКТОВ, МАЛО ОТРАЖАЮЩЕЕ ЭЛЕКТРОМАГНИТНЫЕ ВОЛНЫ, И СПОСОБ ЕГО ИЗГОТОВЛЕНИЯ
(57) Реферат:
Изобретение относится к области радиотехники, в частности к малоотражающим конформным покрытиям объектов для снижения их радиолокационной видимости в диапазоне миллиметровых, сантиметровых и дециметровых электромагнитных волн (ЭМВ). Техническим результатом изобретения является уменьшение коээфициента отражения электромагнитной волны от покрытия в широкой полосе частот. Малоотражающее покрытие состоит из трех слоев: первый слой, лежащий непосредственно на защищаемом объекте, – поглотитель, выполненный из радиопоглощающего материала, второй и третий слои представляют собой взаимно ортогональные трехмерные решетки в виде одинаково ориентированных разомкнутых металлических плоских колец, внедренных в диэлектрик с относительной диэлектрической проницаемостью , при этом зазоры колец ориентированы со стороны поглотителя. Способ формирования трехмерных решеток заключается в предварительном создании двухмерных решеток из одинаковых резонансных разомкнутых металлических плоских колец, расположенных на линии, соединяющей их центры на одной из поверхностей защищаемого объекта. Зазоры в разомкнутых кольцах ориентированы перпендикулярно к одному из ребер поверхности прямого диэлектрического параллелепипеда, на которой сформирована двухмерная решетка. 2 н. и 1 з.п. ф-лы, 3 ил.
Изобретение относится к малоотражающим покрытиям и может быть использовано в наземной, наводной, авиационной и космической технике, а также в объектах и устройствах бытового назначения для уменьшения радиолокационной заметности объектов.
Известен поглотитель электромагнитных волн RU 2119216 C1 [1], который может быть использован для создания малоотражающих покрытий для снижения радиолокационной видимости объектов в диапазоне миллиметровых, сантиметровых и дециметровых электромагнитных волн.
Известен также поглотитель интерференционного типа, который состоит из слоя диэлектрика толщиной , двух взаимно перпендикулярных дипольных решеток, расположенных на внешней поверхности и настроенных на волны 3,2 см, а также двух аналогичных решеток, расположенных в диэлектрическом слое на удалении в 0,25 от металлической подложки и настроенных на волны 1,6 см.
Данный поглотитель имеет КО по полю до 16% между двумя точками согласования на волнах 1,6 и 3,2 см в полосе длин волн 1,4-4,25 см [2].
Наиболее близким к предлагаемому техническому решению задачи является поглотитель электромагнитных волн RU 2119216С1 [1], ввиду того, что он может быть использован для создания малоотражающих покрытий для снижения радиолокационной видимости объектов в диапазоне миллиметровых, сантиметровых и дециметровых электромагнитных волн.
Однако данный поглотитель имеет сложную структуру, т.к. она представляет собой многослойное покрытие (причем слои переменной толщины) и двухмерные решетки и имеет достаточно узкую полосу частот, в которой будут наблюдаться малые коэффициенты отражения ЭМВ.
Техническим результатом изобретения является уменьшение коэффициента отражения электромагнитной волны от покрытия в широкой полосе частот.
Указанный технический результат достигается тем, что конформное покрытие объектов, малоотражающее электромагнитные волны (ЭМВ), включает три слоя: первый слой – поглотитель, два последующих слоя представляют собой решетки из резонансных элементов в диэлектриках, трехмерные решетки во втором и третьих слоях диэлектрика образованы разомкнутыми плоскими кольцами во взаимно ортогональных плоскостях, совпадающих с направлением падения волны, а зазоры разомкнутых колец ориентированы к поглотителю.
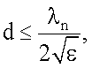
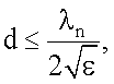
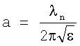
Конформное покрытие объектов средний радиус а металлических разомкнутых плоских колец во втором и третьих слоях диэлектрика с угловой длиной разрывов менее 90° и расстояние между соседними центрами разомкнутых колец d определяются из соотношений:
, 
где n – центральная длина волны диапазона ЭМВ, падающих на защищаемый объект, – относительная диэлектрическая проницаемость диэлектрика во втором и третьем слоях.
На фиг.1 показано конформное покрытие объектов, малоотражающее электромагнитные волны, для снижения радиолокационной видимости объектов и увеличения его широкополосности: структура малоотражающего покрытия (а) и прямой диэлектрический параллелепипед с решеткой в виде одинаково ориентированных разомкнутых плоских колец на одной из его поверхностей для создания 2 и 3 слоев поглощающего покрытия со взаимно ортогональными трехмерными решетками (б); 1 – поглотитель; А, Б, В, Г – обозначение граней прямого параллелепипеда; 2 – слой, составленный из вертикально склеенных диэлектрических параллелепипедов; 3 – слой, составленный из горизонтально склеенных диэлектрических параллелепипедов (б). На фиг.2 показана рассчитанная нами амплитудная диаграмма направленности в азимутальной плоскости дифрагированного поля плоской ЭМВ Н-поляризации (вектор перпендикулярен плоскости разомкнутого кольца). На фиг.3 показано металлическое разомкнутое кольцо, расположенное в азимутальной плоскости в воздухе, сплошной линией показана геометрия плоского кольца, стрелкой указано направление падения плоской ЭМВ.
Малоотражающее покрытие состоит из трех слоев. Первый слой представляет собой поглотитель, выполненный из радиопоглощающего материала, в следующих двух диэлектрических слоях формируются трехмерные решетки из резонансных элементов в виде разомкнутых колец во взаимно ортогональных плоскостях, совпадающих с направлением падения волны, а зазоры разомкнутых колец ориентированы со стороны поглотителя.
По отношению к поглотителю [1], в котором применяется система замкнутых колец, образующих двухмерные решетки, используются решетки из разомкнутых колец, поэтому предлагаемое малоотражающее покрытие является более широкополосным. Другим важным преимуществом предлагаемого покрытия по отношению к [1] является то обстоятельство, что используются разомкнутые кольца, которые в отличие от замкнутых изотропных переизлучателей являются неизотропными переизлучателями электромагнитной мощности.
Ориентация зазоров разомкнутых колец с обратной стороны падения волны по отношению к поглотителю выбрана из тех соображений, что происходит перераспределение максимума электромагнитной мощности в сторону поглощающего слоя.
При такой ориентации разрыва дифрагированное поле направляется в область поглотителя и за счет этого уменьшается коэффициент отражения ЭМВ от покрытия.
Для доказательства утверждения широкополосности малоотражающего покрытия проведены расчеты амплитудной диаграммы направленности в азимутальной плоскости для случая 2 а/ =1.15 и показано, что характер кривой меняется незначительно. Расчет амплитудной диаграмы направленности осуществлен методом сингулярных интегральных уравнений, разработанным проф. В.А.Негановым [3]. Для сравнения, метод сингулярных интегральных уравнений в случае замкнутого кольца (которые предлагаются в [1]) дает при а/ =1/4 отражение от него примерно 1,5 раза больше по сравнению с отражением от ориентированного разомкнутого кольца.
Для устранения зависимости коэффициента отражения от поляризации волны в третьем слое поглощающего покрытия (фиг.3) вводится трехмерная решетка из разомкнутых колец, повернутых на 90° в меридиональной плоскости к разомкнутым кольцам первой решетки во втором слое поглощающего покрытия, при этом ориентация разрывов в кольцах остается по отношению к поглотителю. Коэффициент отражения покрытия с двумя такими взаимно перпендикулярными решетками практически не зависит от угла поляризации падающей на него волны.
В качестве поглощающего слоя может быть использовано, например, покрытие, включающее в себя в качестве полимерного связующего синтетический клей “Элатон” на основе латекса и в качестве магнитного наполнителя – порошкообразный феррит или карбонильное железо при соотношении компонентов, мас.%: синтетический клей “Элатон” на основе латекса 80-20, порошкообразный феррит или карбонильное железо 20-80 [4].
Известен способ изготовления малоотражающего покрытия для электромагнитных волн, включающий несколько слоев из различных пластмасс и формирование на одной из их поверхностей двухмерных решеток резонансных элементов [1]. Однако этот способ дает технологию изготовления только двухмерных решеток.
Техническим результатом изобретения является возможность создания форм малоотражающих покрытий конформных поверхностей защищаемых объектов и технология изготовления трехмерных решеток из резонансных разомкнутых плоских колец.
Указанный технический результат достигается тем, что способ создания конформного покрытия объектов, малоотражающего электромагнитные волны, включает нанесение трех слоев: первый слой из поглотителя непосредственно на защищаемом объекте, второй и третий слои из диэлектриков с решетками со взаимно перпендикулярными ориентациями резонансных элементов. При формировании трехмерных решеток во втором и третьем слоях предварительно созданы одинаковые гибкие диэлектрические прямые параллелепипеды с ширинами, равными длине между соседними центрами разомкнутых колец, высотами не менее диаметра плоских колец. Длины параллелепипедов определены размерами защищаемого объекта на одной из граней прямых диэлектрических параллелепипедов, определяющих высоту второго и третьего слоев. Изготовлены двухмерные решетки из разомкнутых плоских металлических колец с одинаковой перпендикулярной ориентацией разрывов по отношению к одному из ребер этих граней. При создании второго слоя грани этих гибких параллелепипедов с двухмерными решетками последовательно приклеены в горизонтальных плоскостях к противоположным граням по отношению к граням с двухмерными решетками следующего прямого диэлектрического параллелепипеда с одновременным приклеиванием перпендикулярной грани прямого диэлектрического параллелепипеда к слою поглотителя, так чтобы ориентация разрывов в кольцах были направлены к поглотителю. При создании третьего слоя гибкие диэлектрические прямые параллелепипеды точно так же последовательно склеены между собой в вертикальных областях и одновременно приклеены к поверхности второго слоя.
Способ реализуется следующим образом.
На первом этапе на поверхность защищаемого объекта наносится слой поглощающего материала (первый слой в покрытии). На втором этапе создаются двухмерные решетки в виде разомкнутых плоских колец, расположенных на линии, соединяющей их центры на одной из поверхностей (грань А на фиг.1, б) одинаковых гибких прямых диэлектрических параллелепипедов с перпендикулярной ориентацией зазоров колец по отношению к ребру параллелепипеда, определяющих толщины второго и третьего слоев, и с ширинами, равными длине между соседними центрами разомкнутых колец. Длины прямых параллелепипедов определяются размерами защищаемого объекта. Для создания второго слоя покрытия прямые диэлектрические параллелепипеды склеивают в горизонтальных плоскостях, причем поверхность (грань А на фиг.1, б) с двухмерной решеткой из разомкнутых колец приклеивается к противоположной поверхности (грани В на фиг.1, б), свободной от разомкнутых колец другого параллелепипеда. Для создания формы покрытия конформной поверхности защищаемого объект необходимо сначала приклеить один гибкий прямой диэлектрический параллелепипед к слою из радиопоглощающего материала, так чтобы плоскости разомкнутых колец были перпендикулярны поверхности из радиопоглощающего материала, и зазоры ориентированы к этой поверхности. Далее одновременно приклеиваются две поверхности (грани) следующего гибкого прямого диэлектрического параллелепипеда с поверхностями приклеенного параллелепипеда и радиопоглощающего материала. Противоположную поверхность (грань) приклеиваемого параллелепипеда по отношению к двухмерной решетке (грань В на фиг.1, б) склеивают с поверхностью (гранью) с двухмерной решеткой приклеенного прямого параллелепипеда, а перпендикулярную поверхность (грань) по отношению к поверхности (грани) с решеткой (грань Г на фиг.1, б) к поверхности из радиопоглощающего материала (слой 1). Операция повторяется, пока полностью не покрывается поверхность поглотителя. На третьем этапе аналогично создают третий слой поглощающего покрытия, т.е. гибкие прямые диэлектрические параллелепипеды последовательно склеиваются в вертикальных плоскостях и одновременно приклеиваются ко второму слою. В результате в третьем и втором слоях малоотражающего покрытия формируются взаимно перпендикулярные трехмерные решетки из разомкнутых колец с ориентацией зазоров к поглотителю.
Литература
1. Борзенко Г.П., Ткачев Н.А. Поглотитель электромагнитных волн и способ его изготовления. – 9611654/09. Заяв. 1996.08.13. (РФ). Опубл. 1998.09.20. (статус: по данным на 17.09.2007 – прекратил действие). Патент RU 2119216 С1.
2. Великанов В.Д. и др. Радиотехнические системы в ракетной технике. – М.: Воениздат, 1974.
3. Неганов В.А., Нефедов Е.И., Яровой Г.Л. Электродинамические методы проектирования устройств СВЧ и антенн. Учебное пособие для вузов. / Под. ред. Неганова В.А. – М.: Радио и связь 2002. – 416 с.
4. Шабанов С.Г. Радиопоглощающее покрытие, способ получения и управления его свойствами и устройство для дистанционного измерения отражательных свойств покрытий на объектах в свч диапазоне радиоволн. 2155420 С1. – 2000.08.27.
Формула изобретения
1. Конформное покрытие объектов, мало отражающее электромагнитные волны в виде трех слоев, первый слой – поглотитель, два последующих слоя – решетки из резонансных элементов в диэлектриках, отличающееся тем, что трехмерные решетки во втором и третьих слоях диэлектрика образованы разомкнутыми плоскими кольцами во взаимно ортогональных плоскостях, совпадающих с направлением падения волны, а зазоры разомкнутых колец ориентированы к поглотителю.
2. Конформное покрытие объектов по п.1, отличающееся тем, что средний радиус а металлических разомкнутых плоских колец с угловой длиной разрывов менее 90° и расстояние между соседними центрами разомкнутых колец d определены из соотношений:
,  где n – центральная длина волны диапазона ЭМВ, падающих на защищаемый объект, – относительная диэлектрическая проницаемость диэлектрика во втором и третьем слоях.
3. Способ создания конформного покрытия объектов, мало отражающего электромагнитные волны, включающий нанесение трех слоев: первый слой из поглотителя непосредственно на защищаемом объекте, второй и третий слои из диэлектриков с решетками со взаимно перпендикулярными ориентациями резонансных элементов, отличающийся тем, что при формировании трехмерных решеток во втором и третьем слоях предварительно созданы одинаковые гибкие диэлектрические прямые параллелепипеды с ширинами, равными длине между соседними центрами разомкнутых колец, высотами не менее диаметра плоских колец, длины параллелепипедов определены размерами защищаемого объекта на одной из граней прямых диэлектрических параллелепипедов, определяющих высоту второго и третьего слоев, изготовлены двухмерные решетки из разомкнутых плоских металлических колец с одинаковой перпендикулярной ориентацией разрывов по отношению к одному из ребер этих граней, при создании второго слоя грани этих гибких параллелепипедов с двухмерными решетками последовательно приклеены в горизонтальных плоскостях к противоположным граням по отношению к граням с двухмерными решетками следующего прямого диэлектрического параллелепипеда с одновременным приклеиванием перпендикулярной грани прямого диэлектрического параллелепипеда к слою поглотителя так, чтобы ориентация разрывов в кольцах была направлена к поглотителю, при создании третьего слоя гибкие диэлектрические прямые параллелепипеды точно также последовательно склеены между собой в вертикальных областях и одновременно приклеены к поверхности второго слоя.
РИСУНКИ
|
|