|
|
(21), (22) Заявка: 2007108540/04, 08.08.2005
(24) Дата начала отсчета срока действия патента:
08.08.2005
(30) Конвенционный приоритет:
11.08.2004 US 10/916,147
(43) Дата публикации заявки: 20.09.2008
(46) Опубликовано: 27.11.2009
(56) Список документов, цитированных в отчете о поиске:
US 4853146 А, 01.08.1989. US 2002/0082178 A, 27.06.2002. US 6472358 A, 29.10.2002. US 2002/0193278 A, 19.12.2002. RU 2096444 С1, 20.11.1997.
(85) Дата перевода заявки PCT на национальную фазу:
12.03.2007
(86) Заявка PCT:
US 2005/028215 20050808
(87) Публикация PCT:
WO 2006/020608 20060223
Адрес для переписки:
129090, Москва, ул. Б.Спасская, 25, стр.3, ООО “Юридическая фирма Городисский и Партнеры”, пат.пов. Е.Е.Назиной
|
(72) Автор(ы):
АХМЕД Фахим У. (US), ТРАИСТАРУ Н. Камелия (US)
(73) Патентообладатель(и):
ДЕЛАВАЛЬ ХОЛДИНГ АБ (SE)
|
(54) НЕХЛОРИРОВАННОЕ МНОГОФУНКЦИОНАЛЬНОЕ КИСЛОТНОЕ МОЮЩЕЕ СРЕДСТВО И СПОСОБ ЕГО ПРИМЕНЕНИЯ
(57) Реферат:
Изобретение относится к кислотным моющим составам готовых к применению растворов, которые имеют рН в диапазоне 0,1-5,5 и содержат приблизительно 0,00003-0,0075% масс. (жирный алкил)-1,3-аминопропана или его соль, имеющего общую формулу R-NH-CH2CH2CH2NH2, где R представляет собой (С4-С22)-алкильную группу. В качестве кислоты указанные составы предпочтительно содержат (С1-С16)-алкилсульфоновую кислоту. Кроме того, состав может содержать кислотоактивный или резистентный к кислоте фермент. Изобретение также относится к способам применения этих составов. Способ очистки поверхности включает стадию нанесения состава на поверхность. Способ очистки системы, подлежащей чистке на месте (без разбора оборудования), включает контактирование поверхностей системы с составом. Способ снижения пенообразования состава включает добавление системы ПАВ. Технический результат – многофункциональное моющее средство, способное очистить, дезинфицировать и удалить отложения с поверхностей, для применения на загрязненных поверхностях, в особенности поверхностях, загрязненных молочными отложениями и отложениями других пищевых продуктов. 6 н. и 42 з.п. ф-лы, 22 табл., 4 ил.
Область техники
Настоящее изобретение, в общем, относится к концентрированным кислотным моющим составам и способам применения состава либо в виде концентрата, либо в виде разбавленного раствора, готового к применению, для чистки, санитарной обработки и удаления отложений с загрязненной поверхности. В частности, кислотные моющие составы по данному изобретению содержат (жирный алкил)-1,3-диаминопропан или его соль и необязательно (низший алкил)сульфоновую кислоту.
Предшествующий уровень техники
Адекватная очистка поверхности, предназначенной для приготовления пищевых продуктов, является необходимостью для обеспечения безвредности пищевых продуктов, поставляемых потребителю. Это требование особенно справедливо для молочной промышленности, заводов по производству и переработке пищевых продуктов, включая заводы по производству продуктов питания и напитков, и, особенно, в области, связанной с транспортировкой молока. Свежее молоко должно охлаждаться и подвергаться искусственному охлаждению сразу после его получения от коров, чтобы предотвратить порчу молока. Поэтому системы трубопроводных линий, по которым транспортируют поток молока, должны подвергаться чистке, по крайней мере, дважды после каждого доения, чтобы удалить молочные отложения, с тем чтобы предотвратить загрязнение порций свежего молока, поступающего в линии во время последующих операций доения.
Как видно из Фиг.1, молочный жир имеет в своем составе алкилтриглицериды с широким распределением по длине их алкильных цепей. Длины цепей, помеченные
“:1”, “:2” или “:3”, представляют углеродную цепь, содержащую одну, две или три ненасыщенные углерод-углеродные связи, соответственно. Низшие углеродные цепи (т.е. C8 и ниже) обычно растворимы в воде. Однако высшие углеродные цепи (т.е. C10 и выше) являются лишь слаборастворимыми или нерастворимы в воде. Поэтому для того, чтобы очистить поверхность, загрязненную молочным жиром, для удаления жиров, имеющих низшие углеродные цепи, можно использовать обычную теплую воду, тогда как для удаления жиров, имеющих высшие углеродные цепи, требуется помощь некоторого моющего средства.
Помимо молочного жира, молоко также содержит различные растворимые минеральные вещества (такие как соединения кальция) и белки (такие как казеин и молочная сыворотка). Молочные белки при повышенных температурах имеют тенденцию денатурировать и прочно, слоями, прилипать к поверхностям. Эти слои денатурированного молочного белка с трудом поддаются удалению. Растворимые минеральные вещества могут соединяться с молочными белками, образуя налет (осадок), также называемый молочным камнем. Молочный камень обычно нерастворим в обычной водопроводной воде и щелочных системах, но растворим в кислых условиях. Обычно для удаления этих молочных отложений использовались кислые растворы неорганических кислот и органических кислот.
Даже если молочный жир, молочный белок и молочный камень удаляют с поверхности, остаточные микроорганизмы могут все же присутствовать на поверхности. Поэтому требуется проведение некоторой санитарной обработки с целью снижения уровня популяций микроорганизмов до безопасных уровней, установленных постановлениями органа общественного здравоохранения, или до безопасных уровней, установленных и подтвержденных практическим путем. Санированная поверхность является, согласно инструкциям Управления по охране окружающей среды (EPA), результатом двойной первоначальной очищающей обработки и последующей санитарной обработки, приводящей к снижению популяции на, по крайней мере, 99,999% (5-log снижение) для данного микроорганизма. Для того чтобы продукт был сертифицирован в соответствии с Европейским стандартным способом EN 1040 как дезинфицирующее средство или антисептическое средство, этот продукт должен демонстрировать, по крайней мере, 99,999% уменьшение (105 уменьшение) Pseudomonas aeruginosa (ATCC 15442, CIP 103467) и Staphylococcus auerus (ATCC 6538, CIP 483) при 20°C в течение времени контакта 5 мин при рекомендуемой для продукта концентрации его применения. Аналогично для продукта, подлежащего сертификации в соответствии с Европейским стандартным способом EN 1276 как дезинфицирующее средство для поверхностей соприкосновения с пищевыми продуктами, этот продукт должен демонстрировать, по крайней мере, 99,999% снижение (105 снижение) в количестве жизнеспособных микроорганизмов Pseudomonas aeruginosa (ATCC 15442, CIP 103467), Escherichia coli (ATCC 6538, CIP 54127), Staphylococcus auerus (ATCC 6538, CIP 483) и Enterococcus hirae (ATCC 10541, CIP 5855) при 20°C в течение времени контакта 5 мин при рекомендуемой для него концентрации применения в смоделированных чистых условиях (0,3 г/л бычьего альбумина) или загрязненных условиях (3 г/л бычьего альбумина).
Присутствие на поверхности загрязняющего налета, как следствие отложения остатков пищевого продукта, может ингибировать санитарные (дезинфицирующие) обработки, действуя как физический барьер, который защищает микроорганизмы, находящиеся внутри загрязняющего слоя, от биоцида, или путем инактивирования санитарных обработок прямым химическим взаимодействием. Полный способ очистки должен включать все три элемента очистки (мойку, дезинфекцию и удаление отложений с загрязненных поверхностей), чтобы обеспечить санитарно-гигиеническую среду для всех поверхностей обработки пищевых продуктов, особенно поверхностей обработки (транспортировки) молока.
Технология очистки в пищевой промышленности была традиционно эмпирической. Например, большинство молочных хозяйств используют способ очистки на месте без разборки оборудования (CIP), включающий промывку загрязненных поверхностей оборудования струей моющего раствора(ов). Например, оборудование промывают теплой (110-120°F) водой с последующей горячей мойкой, используя хлорированное щелочное моющее средство, при 160-175°F, и, наконец, холодным кислым ополаскиванием, используя состав на основе неорганической кислоты, как, например, составы на основе фосфорной кислоты, серной кислоты и азотной кислоты.
Гипохлорит- или хлорсодержащие отбеливатели являются эффективными для деградации белка путем окислительного расщепления и гидролиза пептидной связи. Однако использование хлорированных моющих растворов на предприятиях пищевой промышленности не лишено проблем. Постоянное беспокойство вызывает как коррозия, так и разрушение полимерных прокладок (уплотнений), шлангов и устройств. Концентрации хлора, применяемые на начальной стадии для оптимального удаления белковой пленки, должны составлять, по крайней мере, 75 ч/млн, и предпочтительно, по крайней мере, 100 ч/млн (см. международную публикацию WO 99/47631). При концентрациях применяемого хлора меньше чем 50 ч/млн удаление белоксодержащего загрязнения осложняется из-за образования нерастворимых липких (адгезивных) хлорсодержащих белков (см. Journal of Dairy Science, 53(2), 248-251, 1970). В странах Скандинавии молочные фермеры способны достигать премиального ценообразования для молока, полученного при помощи оборудования, которое не очищают хлорированными моющими продуктами.
Кроме того, концентрации хлора трудно поддерживать или аналитически различать в моющих растворах. Эффективность хлора в удалении белкового загрязнения уменьшается, когда температура и рН раствора снижаются. Кроме того, хлор может взаимодействовать с органическими веществами с образованием канцерогенных хлоруглеродов, таких как хлорметан, ди- и трихлорметан и хлорэтан.
Существует реальная и большая потребность в данной области техники в разработке не содержащего хлора кислотного моющего состава, способного очистить, дезинфицировать и удалить отложения с поверхностей, служащих для приготовления пищевых продуктов, и особенно доильных систем. Кроме того, существует потребность в моющем составе, с помощью которого можно выполнить все три очищающие операции (чистку, санитарную обработку и удаление отложений с загрязненных поверхностей) путем одностадийного цикла мойки.
Краткое изложение существа изобретения
Настоящее изобретение позволяет преодолеть вышеупомянутые проблемы и предлагает многофункциональный ( все в одном ) концентрированный жидкий моющий состав, который способен очистить, дезинфицировать и удалить отложения с загрязненных поверхностей в одну стадию с помощью одного моющего средства. Составы по данному изобретению содержат (жирный алкил)-1,3-диаминопропан или его соль, имеющий общую формулу R-NH-CH2CH2CH2NH2, где R представляет собой замещенную или незамещенную, прямую или разветвленную, насыщенную или ненасыщенную (C4-C22)алкильную группу, в кислотной матрице. Предпочтительно, чтобы группа R как можно ближе соответствовала по числу С распределению жирных алкильных групп отложения, подлежащего очистке. Предпочтительно (жирный алкил)-1,3-диаминопропан получают из природных источников, таких как кокос, соя, твердый животный жир или олео-источников. Предпочтительные соли алкилдиаминопропанов включают ацетатные соли, полученные in situ путем присоединения уксусной кислоты к алкилдиаминопропану.
Заявляемое моющее средство обеспечивает набор функциональных возможностей: очистку, санитарную обработку (дезинфекцию) и удаление отложений с загрязненных поверхностей, в одном составе. Предпочтительные варианты моющего состава также включают смесь неорганических и органических кислот, которые обеспечивают удаление отложений с загрязненных поверхностей и дезинфицирующее действие. Типичные неорганические и органические кислоты описаны более подробно ниже. Кроме того, для усиления дезинфицирующего воздействия моющего состава предпочтительно включение в его рецептуру дезинфицирующих средств. Кроме того, предпочтительно включение в его рецептуру одного или нескольких дополнительных компонентов, таких как поверхностно-активные вещества, одного или нескольких секвестрантов, структурообразователей и хелатообразователей. Кроме того, для дополнительного повышения очищающих (эксплуатационных) характеристик моющего средства особенно может быть предпочтительно включение в его состав некоторого количества (низший алкил)сульфоновой кислоты (такой как метансульфоновая кислота).
Моющий концентрат может быть разбавлен водой с получением раствора, готового к применению (далее, раствор для применения). Предпочтительно концентрат разбавляют при массовом соотношении от приблизительно 1:10 до 1:300 и более предпочтительно от приблизительно 1:100 до 1:250. Типичный раствор для применения, выраженный в единицах объема концентрата на общий объем раствора, составляет приблизительно 0,3-1,0 унция/галлон. pH концентрированного моющего состава меньше чем приблизительно 4, предпочтительно в диапазоне приблизительно 0,1-4, более предпочтительно в диапазоне приблизительно 0,75-3,5 и наиболее предпочтительно в диапазоне приблизительно 1,0-2,5. Предпочтительно pH разбавленного раствора для применения находится в диапазоне приблизительно 0,1-6,0 и более предпочтительно в диапазоне приблизительно 2,0-5,5.
Моющее средство на основе диаминопропана может также содержать кислотоактивные или резистентные к кислоте ферменты, которые обеспечивают дополнительные функциональные возможности для очистки. Предпочтительные ферменты для использования в настоящем изобретении демонстрируют высокий уровень активности в диапазонах рН, отмеченных выше. Типичные кислотоактивные или резистентные к кислоте ферменты представляют собой ферменты, выбранные из группы, состоящей из кислотоактивных или устойчивых в кислоте ферментов протеазного типа, кислотных липолаз, липаз, устойчивых в кислоте амилаз, целлюлаз, кислотной пероксидазы и их комбинаций.
Поскольку заявляемые моющие средства предполагаются для использования в CIP системах, то пенообразование, вызываемое детергентом, нежелательно и должно быть минимизировано по возможности в большей степени. В применениях, где вспенивание не вызывает беспокойства, могут быть использованы поверхностно-активные вещества с обильным пенообразованием. Однако предпочтительные моющие составы содержат поверхностно-активное вещество с низким пенообразованием или смесь поверхностно-активных веществ, которая имеет тенденцию быстро осаждать пену. Как рассматривается более подробно ниже, было обнаружено синергетическое действие от использования, по крайней мере, двух различных поверхностно-активных веществ. Вспенивание, вызываемое некоторыми детергентами, содержащими смесь из двух поверхностно-активных веществ, может быть значительно меньше, чем вспенивание в детергентах, использующих только одно из двух индивидуальных поверхностно-активных веществ. Следовательно, настоящее изобретение предлагает способ снижения пенообразования кислотного детергента путем добавления к моющему составу (жирный алкил)-1,3-диаминопропана или его соли.
Детергенты по данному изобретению используют для очистки поверхностей оборудования на заводах по производству пищевых продуктов и напитков и поверхностей, предназначенных для приготовления пищи, в частности поверхностей, загрязненных молочными отложениями. Способы очистки по данному изобретению обычно включают получение моющего концентрата, как описано выше, и нанесение его на поверхность. Предпочтительно моющий концентрат разбавляют до его нанесения на поверхность с получением раствора, готового к применению. Заявляемые детергенты в особенности подходят для применения с циркуляционными системами очистки (т.е. CIP системы) для заводов (установок) по производству пищевых продуктов и напитков, особенно систем, связанных с обработкой (транспортировкой) молока.
Краткое описание чертежей
Фиг.1 – диаграмма, представляющая распределение углеродных цепей алкильных групп молочного жира.
Фиг.2 – диаграмма, демонстрирующая распределение углеродных цепей алкильных групп молочного жира наряду с распределением углеродных цепей алкильных групп композиций на основе алкилдиаминопропанов различной природы.
Фиг.3 – график, иллюстрирующий синергетическое действие двух предпочтительных поверхностно-активных веществ в снижении пенообразования, вызываемого детергентом.
Фиг.4 – график, иллюстрирующий синергетическое действие двух дополнительных предпочтительных поверхностно-активных веществ в снижении пенообразования, вызываемого детергентом.
Подробное описание предпочтительного варианта осуществления
Нижеследующие примеры представляют предпочтительные моющие составы и способы их получения и применения в соответствии с данным изобретением. Следует иметь в виду, однако, что эти примеры приводятся только в качестве иллюстрации и их не следует рассматривать как ограничение общего объема данного изобретения.
Методика очистки
Многие из нижеследующих примеров включают оценку очищающего действия кислотных детергентов по данному изобретению. Эффективности очищающего действия образцов детергентов по данному изобретению сравнивают с эффективностями очищающего действия образцов коммерчески доступных хлорщелочных детергентов. В этих тестах очистки 304 панели из нержавеющей стали, пластика или стекла размером 3″×6″×0,0037″, имеющие 1/4” отверстие на одном конце, сначала моют стиральным хлорщелочным порошком, промывают водой и протирают ксилолом, затем изопропанолом с последующей сушкой в сушильном шкафу (100-110°C в течение 10-15 мин), гарантируя тем самым полное испарение растворителей. Панели подвешивают в сушильном шкафу с помощью крючка из жесткой проволоки, продетого в отверстие панели, так, чтобы панели не имели контакта с сушильным шкафом или другими элементами, расположенными внутри сушильного шкафа. Затем высушенные панели извлекают из сушильного шкафа и дают возможность охладиться в течение, по крайней мере, 20 мин. Далее с панелями манипулируют с осторожностью с тем, чтобы исключить контакт с источниками загрязнения, и регистрируют первоначальную массу каждой панели с точностью до 0,1 мг.
Затем сгущенное молоко выливают в лабораторный стакан объемом 1 л с эквивалентным объемом деионизированной воды и смесь перемешивают до образования гомогенной смеси. До трех панелей помещают в молоко, устанавливая конец без отверстия на дне стакана и прислоняя другой конец панели к боковой стороне стакана. Приблизительно 7/8 панели погружают в молоко. Панелям предоставляют возможность находиться в молоке в течение 15 мин и затем предоставляют возможность стечь (сушат) на воздухе на протяжении 5 мин. Затем каждую панель промывают 50 мл синтетической жесткой воды, 400 ч/млн, предварительно нагретой до 90-100°F. При этом принимаются меры, чтобы панель была тщательно промыта (промывочной водой) со всех загрязненных сторон. Промывочной воде дают возможность стечь с каждой панели и затем панели подвешивают в сушильном шкафу для сушки при 40°С. Затем панели извлекают из сушильного шкафа и охлаждают в течение, по крайней мере, 15 мин. После охлаждения панели взвешивают и каждую массу регистрируют с точностью до 0,1 мг. Цикл, включающий грязеотложение (отложение молочного загрязнения), промывание, сушку и взвешивание, осуществляют, в целом, пять раз для каждой панели или до тех пор пока масса загрязнения не составит величину в диапазоне 10-15 мг.
Затем загрязненные панели промывают в стакане объемом 1 л, используя моющие средства по изобретению и контрольные продукты. Приблизительно 800 мл синтетической жесткой воды (жесткость воды, полученной AOAC методом, 23,5 грана/галлон, 400 ч/млн) помещают в стакан вместе с заранее установленным количеством детергента. Все испытываемые детергенты и все жидкие контроли используют при 0,5% масс. (т.е. концентрация 5 г/л), тогда как стиральный хлорсодержащий щелочной порошок используют при 0,2% масс. (концентрация 2 г/л). Моющий раствор нагревают, используя горячую плиту, до температуры 60°C, если не оговорено иначе. В некоторых промывочных циклах используют мойку в жестких условиях, снижая температуру мойки до ниже 60°C и/или время промывки до меньше чем 8 мин.
Каждую испытуемую панель сначала погружают в моющий раствор на 8 мин при перемешивании с помощью магнитной мешалки. После мойки каждую панель извлекают из ванны с моющим раствором и сразу промывают в водопроводной воде в течение приблизительно 5 секунд. Затем панель подвешивают в 40°C сушильном шкафу для сушки на протяжении периода времени приблизительно 15 мин. Панель извлекают из сушильного шкафа, охлаждают на воздухе в течение приблизительно 30 мин и затем повторно взвешивают. Затем массу панели после цикла мойки сравнивают с его загрязненной массой до цикла мойки, чтобы определить процент удаленного загрязнения. Каждое испытание мойки осуществляют трижды и их результаты усредняют, получая процент удаленного загрязняющего отложения.
Кислотные моющие составы
Жидкие составы по данному изобретению являются кислыми и содержат органическую или неорганическую кислоту или одновременно обе. Кислоты могут представлять собой любые органические или неорганические кислоты, известные специалистам в данной области, однако предпочтительно использование смеси слабой и сильной органических кислот (т.е. лимонной кислоты и метансульфоновой кислоты) и слабой и сильной неорганических кислот (т.е. азотной, серной и фосфорной кислоты) или любой такой комбинации. Комбинация лимонной и фосфорной кислоты и метансульфоновой кислоты неожиданно приводит к увеличению моющей эффективности.
Предпочтительные органические кислоты включают слабые (C1-С4)карбоновые кислоты. Типичные слабые карбоновые кислоты включают уксусную кислоту, оксиуксусную кислоту, пропионовую кислоту, оксипропионовую кислоту, -кетопропионовую кислоту, лимонную кислоту, масляную кислоту, миндальную кислоту, валериановую кислоту, янтарную кислоту, винную кислоту, яблочную кислоту, щавелевую кислоту, фумаровую кислоту, адипиновую кислоту или их смеси.
Дополнительные предпочтительные органические кислоты для использования в моющих составах по данному изобретению включают лимонную кислоту, малеиновую кислоту, сорбиновую кислоту, бензойную кислоту, янтарную кислоту, глутаровую кислоту, адипиновую кислоту, -оксикислоты, такие как гликолевая кислота и молочная кислота, этилендиаминтетрауксусную кислоту (EDTA), фосфоновую кислоту, октилфосфоновую кислоту, акриловую кислоту, полиакриловую кислоту, аспарагиновую кислоту, полиаспарагиновую кислоту, п-оксибензойные кислоты и их комбинации. Особенно предпочтительной является лимонная кислота.
Другие предпочтительные органические кислоты, подходящие для использования в составах заявляемых детергентов, представляют собой иминоуксусные кислоты, имеющие общую формулу

где R1 выбран из группы, состоящей из -(СН2)nСООН, H, алкила, алкиларила, арила, -(CH2)nCOOH, -CH[(CH2)nCOOH]2 и -CH(COOH)-(CH2)nCOOH, где n равно 1-8;
R2 выбран из группы, состоящей из -(CH2)nCOOH, -CH[(CH2)nCOOH]2, -CH(COOH)-(CH2)nCOOH и -(CH2)nCOOH, -CH[(CH2)nCOOH]2 и -CH(COOH)-CH2COOH, где n равно 1-8. Могут быть также использованы смеси таких кислот.
Кроме того, дополнительными предпочтительными органическими кислотами являются органические кислоты, имеющие общую формулу R1-SO3H, где R1 представляет собой C1-C16 алкильную группу.
Предпочтительные неорганические кислоты включают минеральные кислоты, такие как серная кислота, азотная кислота, фосфорная кислота, сульфаминовая кислота, хлористоводородная кислота и их смеси. Сульфаминовые кислоты и фосфорные кислоты также являются полезными для удаления отложений с загрязненных поверхностей.
Предпочтительно заявляемые моющие составы содержат совместимые с гидротропом кислоты в концентрации, достаточной для получения растворов, готовых к применению, имеющих рН в диапазоне приблизительно 0,1-6, более предпочтительно приблизительно 0,15-5 и наиболее предпочтительно приблизительно 0,2-3. Термин “гидротропсовместимая кислота” означает, что используемая кислота совместима с гидротропом, используемым в составе, не вызывая значительной деградации или нестабильности гидротропа или кислоты. Типичные гидротропсовместимые кислоты включают лимонную кислоту, фосфорную кислоту, метансульфоновую кислоту и сульфаминовую кислоту. Фосфорная кислота является особенно благоприятной для использования кислотой, поскольку она, к тому же, привносит некоторые гидротропные свойства для растворения неионных поверхностно-активных веществ, которые могут быть включены в состав детергентов. Фосфорная кислота и сульфаминовая кислота, к тому же, имеют особое преимущество в случае использования для очистки молочных трубопроводных линий, так как они имеют тенденцию растворять молочный камень.
Предпочтительные составы по данному изобретению содержат приблизительно 1-80% масс. кислоты (либо органической, неорганической, либо смеси обеих), более предпочтительно приблизительно 5-70% масс., еще более предпочтительно приблизительно 10-60% масс. и наиболее предпочтительно приблизительно 15-50% масс. Если не оговорено особо, все массовые проценты, выраженные здесь, представлены, исходя из массы состава, в целом.
В испытаниях, представленных в таблице 1, сначала были испытаны на моющую эффективность некоторые кислотные моющие составы (имеющие значение рН меньше чем 3), поскольку кислые условия являются необходимым условием для удаления отложений с поверхности. Эти составы обеспечивали умеренную очистку от молочного загрязнения, однако, контроль, хлорщелочной детергент, каждый раз превосходил кислотные составы.
Таблица 1 Кислотные моющие составы |
| Компоненты/состав |
1 |
2 |
3 |
4 |
5 |
6 |
7 |
8 |
9 |
10 |
| Деионизированная вода |
59 |
62 |
63 |
59 |
39 |
40 |
42 |
41 |
40 |
36 |
| Безводная лимонная кислота |
10 |
10 |
10 |
10 |
20 |
20 |
20 |
20 |
20 |
20 |
| Фосфорная кислота (75%) |
10 |
10 |
10 |
10 |
20 |
20 |
20 |
20 |
20 |
20 |
| Сульфаминовая кислота |
0 |
0 |
0 |
0 |
0 |
0 |
5 |
5 |
5 |
0 |
| Серная кислота |
0 |
0 |
0 |
0 |
0 |
0 |
0 |
0 |
0 |
5 |
| Тритон DF-12 (неионное поверхностно-активное вещество) |
1 |
1 |
0 |
1 |
1 |
0 |
1 |
2 |
3 |
3 |
| Каприновая/каприловая кислота (40/60) |
2 |
2 |
2 |
0 |
2 |
2 |
2 |
2 |
2 |
2 |
| Пропиленгликоль |
2 |
2 |
2 |
2 |
2 |
2 |
2 |
2 |
2 |
2 |
| Октилсульфонат натрия |
10 |
10 |
10 |
10 |
10 |
10 |
10 |
10 |
10 |
14 |
 |
Одна фаза, прозрачная жидкость |
– |
– |
Одна фаза, прозрачная жидкость |
Прозрачная жидкость |
– |
Прозрачная жидкость |
Прозрачная жидкость |
Прозрачная жидкость |
Прозрачная жидкость |
| рН: 5 г/л (400 ч/млн, °C) |
2,78 (52)/2,80 (54)/2,77 (53) |
2,82 (55) |
2,77(53) |
2,77(53) |
2,37 (52)/2,46 (61,65) |
2,37(53) |
2,33 (59)/2,34 (66) |
2,33(56) |
2,34(55) |
2,25 (58) |
| Режим очистки |
| Рабочая концентрация, г/л |
5 г/л |
5 г/л |
5 г/л |
5 г/л |
5 г/л |
5 г/л |
5 г/л |
5 г/л |
5 г/л |
5 г/л |
| Температура мойки, °C |
56/57/58 |
57 |
55 |
56 |
56/60/71 |
55 |
60/71 |
61 |
59 |
59 |
| Очистка от молочного загрязнения/400 ч/млн, % |
79/83/73 |
94 |
97 |
86 |
89/84/88 |
96 |
85/86 |
87 |
90 |
77 |
| Контроль – стиральный хлорщелочной порошок @ 2 г/л, % |
96/99/100 |
100 |
100 |
100 |
100/94 |
100 |
94 |
94 |
94 |
94 |
| Средняя масса (нагрузка) молочного загрязнения, мг |
7/19 |
24 |
24 |
19 |
13/39/29 |
24 |
40 |
28 |
30 |
31 |
| Нагрузка молочного загрязнения согласно контролю, мг |
11/20 |
26 |
24 |
20 |
20/26 |
24 |
26 |
26 |
26 |
26 |
Кислотоактивные и резистентные к кислоте ферменты
Принимая во внимание результаты испытаний кислотных детергентов, далее были тестированы подобные составы с использованием кислотоактивных или резистентных к кислоте ферментов, чтобы выяснить, может ли при этом возрасти моющая способность (моющая эксплуатационная характеристика) кислотных композиций. Ферменты дают ряд преимуществ для использования в моющих средствах, заключающихся, главным образом, в том, что они обеспечивают моющую функцию при более низких температурах, не оказывают коррозионного воздействия на оборудование из нержавеющей стали, относительно стабильны в условиях жесткой воды и являются биодеградирующими. Ферменты обладают высокой хемоселективностью и работают очень эффективно, если эксплуатационные условия системы, рН и температура могут быть приведены в соответствие с рН и температурой фермента, при которых данный фермент имеет максимальную активность. Поэтому для настоящего изобретения важным является идентификация кислотоактивных или резистентных к кислоте протеазных ферментов, которые были бы эффективны против загрязнений молочными белками и, кроме того, были бы стабильны в органических и неорганических кислотах, которые используют для санитарной обработки и удаления отложений с загрязненных поверхностей.
Типичной кислотной протеазой, подходящей для использования с детергентами по данному изобретению, является кислотная грибковая протеаза AFP 2000 от Genencor, которую получают из выбранного штамма Aspergillus niger. Активность протеазы AFP 2000 составляет приблизительно 2000 SAPU/г (спектрометрическая единица кислотной протеазы на грамм). Одна SAPU в условиях анализа обычно освобождает один мкмоль тирозина в минуту. Этот кислотный фермент имеет молекулярную массу приблизительно 43 кДа и также включает побочные активности амилазы, полуцеллюлазы и пектиназы. Диапазон рН активности для AFP 2000 находится в пределах от приблизительно 2,5 до 6,0, с оптимальной активностью при приблизительно pH 3,0. Протеаза AFP 2000 является эффективной в диапазоне температур приблизительно 45-55°C (113-131°F), с оптимальной эффективностью действия при приблизительно 48°C (118°F).
Другой типичной кислотной протеазой является Genencor GC 106, которая представляет собой кислотный протеолитический фермент, характеризующийся своей способностью гидролизовать белки в условиях низких рН. GC 106 получают в результате направленного брожения выбранного штамма Aspergillus niger. Активность протеазы GC 106 составляет приблизительно 1000 SAPU/г. Диапазон рН активности для протеазы GC 106 находится в диапазоне рН от приблизительно 2,5 до 6,0, с оптимальной активностью в диапазоне pH от приблизительно 2,5 до 3,5. Протеаза GC 106 наиболее эффективна при температурах вплоть до приблизительно 55°С (131°F), с оптимальной эффективностью действия при 45-50°C (113-122°F).
Валидаза AFP от Valley Research, South Bend, Indiana, представляет собой пищевого качества стабильный в кислоте протеолитический фермент, полученный в результате направленного брожения Aspergillus niger. Этот продукт характеризуется способностью гидролизовать белки в кислых средах. Валидаза AFP 2000 (в форме порошка) имеет активность 2000 SAPU/г и Валидаза AFP 1000 (жидкая форма) имеет активность 1000 SAPU/г. Диапазон рН активности для Валидазы AFP находится в диапазоне рН от приблизительно 2,5 до 6,0, причем рН от приблизительно 2,5 до 3,5 является оптимальным. Валидаза AFP эффективна при температурах вплоть до приблизительно 55°C и оптимально в диапазоне приблизительно 45-50°C.
Следующим предпочтительным устойчивым в кислоте протеалитическим ферментом является грибковая протеаза, полученная Solvay Enzymes посредством направленного брожения Aspergillus oryzae var, имеющая активность от приблизительно 20000 до приблизительно 750000 HUT/г. HUT активность определяют согласно методу AF92/2, опубликованному Novo Nordisk A/S, Дания. HUT представляет собой количество фермента, которое образует гидролизат при 40°C и pH 4,7 на протяжении 30 мин в результате ферментативного разложения денатурированного гемоглобина, эквивалентный по оптической плотности при 275 нм раствору 1,10 мкг/мл тирозина в 0,006 н. HCl (оптическая плотность 0,0084). Субстрат, денатурированный гемоглобин, подвергают разложению ферментом в 0,5 M ацетатном буфере при заданных условиях. Неразложившийся гемоглобин осаждают трихлоруксусной кислотой и измеряют оптическую плотность гидролизата в супернатанте при 275 нм.
Предпочтительная доза протеолитического фермента для заявляемых составов составляет приблизительно 200-4000 HUT/л, более предпочтительно приблизительно 500-3000 HUT/л и наиболее предпочтительно 650-2000 HUT/л.
Кислотная липолаза или липаза может быть также использована в комбинации с кислотной протеазой. Вализада грибковая липаза 8000 от Valley Research представляет собой очищенный, пищевого качества порошок липазы, полученный из выбранного штамма Rhizopus orzaye (ATCC 1996), и характеризуется своей способностью гидролизовать триглицериды. Вализада грибковая липаза 8000 имеет активность 8000 LU/г, является эффективной вплоть до температуры приблизительно 50°C, причем температура приблизительно 40°C является оптимальной. Валидаза грибковая липаза 8000 является очень стабильной в широком диапазоне рН, от приблизительно 2,0 до 10,0, причем рН приблизительно 6,5 является оптимальным.
Другой предпочтительной липазой для использования в настоящем изобретении является дрожжевая липаза от Bio-Cat, Troy, VA, полученная из дрожжевой Candida rugosa. Этот фермент представляет собой пищевого качества неспецифическую липазу, обычно используемую для модификации липидов. Дрожжевая липаза, согласно стандартизации, имеет активность приблизительно 200000 FIP/г и имеет широкую активность при рН в диапазоне приблизительно 4-8 и температурах приблизительно 20-60°C. Одну единицу ферментативной активности определяют как количество стандартного препарата липазы (Fungi Lipase-International FIP standard), который освобождает эквивалент 1 мкмоль жирной кислоты из оливкового масла в минуту в предписанных условиях анализа. Специфическую активность выражают в Международных FIP единицах на 1 мг препарата фермента.
В заявляемых составах также могут быть использованы устойчивые к кислоте ферменты-амилазы. Эти ферменты включают -амилазы Bacillus amyloliquefaciens, имеющие активность от приблизительно 300000 до 1500000 MWU/г, и, в особенности, Tenase-1200, Tenase L-1200 и Tenase L-340 от Solvay Enzymes, Inc.
Другими резистентными к кислоте ферментами, подходящими для кислотных моющих составов по данному изобретению, являются Fungamyl амилаза, Novocor AD липаза, ферменты целлюлазы, такие как Celluzyme, Carezyme, Cellucast; Guardzyme пероксидаза, все доступные от Novo Nordisk A/S, Дания.
Моющие составы могут содержать вплоть до приблизительно 20% масс. фермента, предпочтительно приблизительно 0,5-10% масс. и более предпочтительно приблизительно 1-8% масс. Предпочтительные ферменты выбирают из группы, состоящей из кислотной протеазы, кислотной липазы, кислотной амилазы, кислотной пероксидазы и их комбинаций.
В таблицах 2-2c приведены ферментсодержащие кислотные детергенты согласно данному изобретению. Моющая способность ряда составов значительно улучшена по сравнению с простыми кислотными детергентами таблицы 1.
Таблица 2 Ферментсодержащие кислотные детергенты |
| Компоненты/состав |
11 |
12 |
13 |
14 |
15 |
| Деионизированная вода |
62 |
86 |
62 |
83,33 |
82,33 |
| Безводная лимонная кислота |
15 |
– |
30 |
10 |
10 |
| Фосфорная кислота (75%) |
6 |
– |
– |
4 |
4 |
| Сульфаминовая кислота |
– |
8 |
– |
2,67 |
2,67 |
| Тритон DF-12 (неионное поверхностно-активное вещество) |
1 |
– |
– |
– |
1 |
| Каприновая/каприловая кислота (40/60) |
– |
– |
2 |
– |
– |
| Октилсульфонат натрия |
10 |
– |
– |
– |
– |
| Валлидаза AFP 1000 SAPU(L) |
6 |
6 |
6 |
6 |
6 |
| рН: 5 г/л (400 ч/млн, °C) |
2,92 (57) |
2,94 (57) |
2,82 (57) |
2,86 (55) |
2,89 (57) |
| Режим очистки |
| Рабочая концентрация, г/л |
5 г/л |
5 г/л |
5 г/л |
5 г/л |
5 г/л |
| Температура мойки, °C |
55 |
57 |
57 |
55 |
57 |
| Очистка от молочного загрязнения/400 ч/млн, % |
84 |
86 |
84 |
86 |
93 |
| Контроль – стиральный хлорщелочной порошок @ 2 г/л, % |
92 |
92 |
92 |
92 |
92 |
| Средняя нагрузка молочного загрязнения, мг |
23 |
24 |
20 |
19 |
19 |
| Нагрузка молочного загрязнения согласно контролю, мг |
26 |
23 |
23 |
23 |
23 |
Таблица 2а Ферментсодержащие кислотные детергенты |
| Компоненты/Состав |
16 |
17 |
18 |
| Деионизированная вода |
23 |
33 |
62 |
| Безводная лимонная кислота |
20 |
20 |
10 |
| Фосфорная кислота (75%) |
20 |
20 |
10 |
| Сульфаминовая кислота |
0 |
0 |
0 |
| Серная кислота |
0 |
0 |
0 |
| Тритон DF-12 (неионное поверхностно-активное вещество) |
2 |
2 |
1 |
| Каприновая/каприловая кислота (40/60) |
10 |
5 |
2 |
| Пропиленгликоль |
2 |
2 |
2 |
| Октилсульфонат натрия |
18 |
13 |
10 |
| Валлидаза AFP 2000 SAPU(P) |
5 |
5 |
3 |
| Валлидаза AFP 1000 SAPU(L) |
– |
– |
– |
| рН: неразб. (°C) |
1,17 (21) |
1,12 (20) |
1,28 (20) |
| рН: 2 г/л (деионизированная вода, °C) |
– |
2,57 (22) |
– |
| рН: 5 г/л (деионизированная вода, °C) |
– |
– |
2,47 (21) |
| рН: 2 г/л (400 ч/млн, °C) |
2,95 (23) |
2,80 (22) |
– |
| рН: 5 г/л (400 ч/млн, °C) |
– |
– |
2,70 (22) |
| рН: 1 г/л (400 ч/млн, °C) |
3,96 (53) |
– |
– |
| рН: 2 г/л (400 ч/млн, °C) |
3,04 (53)/2,99 (49) |
3,00 (52)/2,98 (56) |
– |
| рН: 5 г/л (400 ч/млн, °C) |
– |
– |
2,84 (55)/2,75 (53) |
| Режим очистки |
– |
– |
2,78 (52) |
| Рабочая концентрация, г/л |
l г/л 2 г/л |
2 г/л |
5 г/л |
| Температура мойки, °C |
55 |
55/56 |
57/55C/57 |
Очистка от молочного загрязнения/400 ч/млн, % |
44, 75, 80 |
95, 32 |
94, 47, 77 |
| Контроль – динамат @ 2 г/л, % |
90% |
97%, 99% |
97%, 99%, 100% |
| Средняя нагрузка молочного загрязнения, мг |
– |
11 |
13 |
| Нагрузка молочного загрязнения согласно контролю, мг |
– |
11 |
11 |
Таблица 2а Ферментсодержащие кислотные детергенты (продолжение) |
| Компоненты/Состав |
19 |
20 |
21 |
22 |
| Деионизированная вода |
28 |
59 |
64 |
39 |
| Безводная лимонная кислота |
20 |
10 |
10 |
20 |
| Фосфорная кислота (75%) |
20 |
10 |
10 |
20 |
| Сульфаминовая кислота |
0 |
0 |
0 |
0 |
| Серная кислота |
0 |
0 |
0 |
0 |
| Тритон DF-12 (неионное поверхностно-активное вещество) |
2 |
1 |
1 |
1 |
| Каприновая/каприловая кислота (40/60) |
5 |
2 |
0 |
2 |
| Пропиленгликоль |
2 |
2 |
2 |
2 |
| Октилсульфонат натрия |
13 |
10 |
10 |
10 |
| Валлидаза AFP 2000 SAPU(P) |
– |
– |
3 |
– |
| Валлидаза AFP 1000 SAPU(L) |
10 |
6 |
– |
6 |
| рН: неразб. (°C) |
– |
– |
– |
– |
| рН: 2 г/л (деионизированная вода, °C) |
– |
– |
– |
– |
| рН: 5 г/л (деионизированная вода, °C) |
– |
– |
– |
– |
| рН: 2 г/л (400 ч/млн, °C) |
2,80 (22) |
– |
– |
– |
| рН: 5 г/л (400 ч/млн, °C) |
– |
– |
– |
– |
| рН: 1 г/л (400 ч/млн, °C) |
– |
– |
– |
– |
| рН: 2 г/л (400 ч/млн, °C) |
3,05(54)/2,96 |
– |
– |
– |
| рН: 5 г/л (400 ч/млн, °C) |
– |
 |
2,78(59) |
2,40(53) |
| Режим очистки |
– |
 |
– |
– |
| Рабочая концентрация, г/л |
2 г/л |
 |
5 г/л |
5 г/л |
| Температура мойки, °C |
57/55 |
 |
54 |
56 |
| Очистка от молочного загрязнения/400 ч/млн, % |
79,68 |
 |
86 |
92 |
| Контроль – динамат @ 2 г/л, % |
96,99 |
 |
100 |
100 |
| Средняя нагрузка молочного загрязнения, мг |
8 |
 |
20 |
16 |
| Нагрузка молочного загрязнения согласно контролю, мг |
11 |
 |
20 |
20 |
Таблица 2b Ферментсодержащие кислотные детергенты |
| Компоненты/Состав |
23 |
24 |
25 |
26 |
27 |
28 |
29 |
30 |
| Деионизированная вода |
32 |
32 |
57 |
57 |
57 |
57 |
62 |
62 |
| Безводная лимонная кислота |
10 |
10 |
15 |
10 |
5 |
15 |
5 |
10 |
| Фосфорная кислота (75%) |
10 |
10 |
5 |
10 |
15 |
5 |
10 |
5 |
| Тритон DF-12 (неионное поверхностно-активное вещество) |
1 |
1 |
1 |
1 |
1 |
1 |
1 |
1 |
| Каприновая/каприловая кислота (40/60) |
2 |
2 |
2 |
2 |
2 |
2 |
2 |
2 |
| Октилсульфонат натрия |
– |
– |
– |
12 |
13,5 |
12 |
13,5 |
13,5 |
| Ксилолсульфонат натрия |
35 |
35 |
36 |
– |
– |
– |
– |
– |
| CaCl2 |
2 |
2 |
2 |
2 |
2 |
2 |
2 |
2 |
| Пропиленгликоль |
2 |
2 |
2 |
2 |
2 |
2 |
2 |
2 |
| Валлидаза AFP 1000 SAPU(L) |
6 |
6 |
6 |
6 |
6 |
6 |
6 |
6 |
| рН: 5 г/л (400 ч/млн, °C) |
2,84 (53) |
2,70 (52) |
3,01 (53) |
2,84 (52) |
2,71 (52) |
3,00 (54) |
3,00 (53) |
3,20 (53) |
| Рабочая концентрация, г/л |
5 г/л |
5 г/л |
5 г/л |
5 г/л |
5 г/л |
5 г/л |
5 г/л |
5 г/л |
| Температура мойки, °C |
55 |
55 |
55 |
55 |
55 |
55 |
55 |
55 |
| Очистка молочного загрязнения/400 ч/млн, % |
79 |
84 |
64 |
74 |
87 |
70 |
77 |
58 |
| Средняя нагрузка молочного загрязнения, мг |
35 |
31 |
34 |
35 |
35 |
34 |
32 |
30 |
| Нагрузка молочного загрязнения согласно контролю, мг |
– |
– |
– |
– |
– |
– |
– |
– |
Таблица 2с Ферментсодержащие кислотные детергенты |
| Компоненты/Состав |
31 |
32 |
33 |
34 |
35 |
36 |
37 |
38 |
39 |
40 |
| Деионизированная вода |
73 |
74 |
73 |
74 |
73 |
73 |
68 |
74 |
69 |
75 |
| Сульфаминовая кислота |
5 |
5 |
5 |
5 |
5 |
0 |
5 |
5 |
0 |
0 |
| Бронопал |
0 |
0 |
2 |
2 |
0 |
0 |
2 |
2 |
0 |
0 |
| Безводная лимонная кислота |
5 |
5 |
5 |
5 |
5 |
10 |
5 |
5 |
5 |
5 |
| Фосфорная кислота (75%) |
15 |
12 |
15 |
15 |
15 |
15 |
15 |
15 |
20 |
20 |
| Глутаральдегид (50%) |
0 |
0 |
0 |
0 |
2 |
2 |
0 |
0 |
2 |
2 |
| Тритон DF-12 (неионное поверхностно-активное вещество) |
1 |
0 |
1 |
0 |
1 |
0 |
1 |
1 |
1 |
1 |
| Каприновая/каприловая кислота (40/60) |
2 |
2 |
0 |
0 |
0 |
0 |
0 |
0 |
0 |
0 |
| Октилсульфонат натрия |
– |
– |
– |
– |
– |
– |
4 |
4 |
3 |
3 |
| Валлидаза AFP 1000 SAPU(L) |
6 |
6 |
6 |
6 |
6 |
6 |
6 |
0 |
6 |
0 |
| рН: 5 г/л (400 ч/млн, °C) |
2,45 (55) |
2,45 (55) |
3,09 (56) |
2,45 (55) |
2,54 (54) |
2,66 (55) |
2,33 (55) |
2,31 (56) |
2,47 (55) |
2,41 (56) |
| Рабочая концентрация, г/л |
5 г/л |
5 г/л |
5 г/л |
5 г/л |
5 г/л |
5 г/л |
5 г/л |
5 г/л |
5 г/л |
5 г/л |
| Температура мойки, °C |
56 |
56 |
57 |
57 |
56 |
56 |
56 |
56 |
56 |
56 |
| Очистка молочного загрязнения/400 ч/млн, % |
88 |
86 |
93 |
92 |
96 |
100 |
85 |
86 |
97 |
87 |
| Контроль – динамат @ 2 г/л, % |
– |
– |
– |
– |
– |
– |
97 |
97 |
97 |
97 |
| Средняя нагрузка молочного загрязнения, мг |
22 |
22 |
21 |
21 |
25 |
20 |
17 |
19 |
17 |
16 |
| Нагрузка молочного загрязнения согласно контролю, мг |
– |
– |
 |
– |
– |
– |
18 |
18 |
18 |
18 |
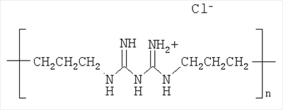
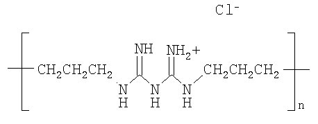
Составы на основе (С12-С20)жирный алкил-1,3-диаминопропанов
(Жирный алкил)-1,3-диаминопропан, также известный как алкил-1,3-пропилендиамин и алкил-1,3-триметилендиамин, обычно представляют формулой
R-NH-CH2CH2CH2NH2
где R представляет собой (C4-C22)жирный алкильный радикал и более предпочтительно (C8-C18)-жирный алкильный радикал.
Как показано в нижеследующих испытаниях, было обнаружено, что добавление к моющим составам некоторого количества (жирный алкил)-1,3-диаминопропана улучшает очищающие рабочие характеристики детергента при очистке поверхности от молочного загрязнения и, в особенности, при удалении белковой пленки. Кроме того, была установлена связь между распределением углеродных цепей алкильных групп составов на основе диаминопропана и моющей эффективностью детергента при очистке поверхности от молочного загрязнения. Таблица 3 представляет распределение углеродных цепей алкильных групп для ряда составов на основе диаминопропана в сравнении с распределением углеродных цепей алкилов в молочном жире. Это сравнение также иллюстрируется на Фиг.2 для нескольких выбранных составов на основе диаминопропана. Было обнаружено, что чем ближе распределение углеродных цепей алкилов состава на основе диаминопропана к распределению углеродных цепей алкилов молочного жира, тем более эффективен этот состав при очистке поверхностей от молочных загрязнений. Поэтому наиболее предпочтительными алкил-1,3-диаминопропанами являются алкил-1,3-диаминопропаны, чье распределение углеродных цепей алкильных групп наиболее близко соответствует распределению углеродных цепей алкильных групп молочного жира.
Таблица 3 Распределение углеродных цепей алкильных групп молочного жира/белка и (жирный алкил)-1,3-диаминопропана |
| Распределение углеродных цепей алкилов (% масс.) |
 |
С4 |
C6 |
C8 |
C10 |
C12 |
C14 |
C14:l |
C16 |
C16:l |
Суммa C16 |
C18 |
C18:l |
C18:2 |
C18:3 |
Суммa C18 |
Теоретическое совпадение |
| Углеродная цепь алкила молочного жира |
2,8 |
2,3 |
1,1 |
3 |
2,9 |
8,9 |
0,7 |
24 |
1,8 |
25,8 |
13 |
29,6 |
2,1 |
0,5 |
45 |
 |
| Duomeen C (кокосовый алкил) |
 |
 |
6 |
7 |
51 |
19 |
 |
9 |
 |
9 |
2 |
6 |
 |
 |
8 |
Нет |
| Duomeen CD (кокосовый алкил) |
 |
 |
1 |
5 |
54 |
21 |
 |
11 |
 |
11 |
4 |
5 |
 |
 |
9 |
Нет |
| Duomeen О (олеоалкил) |
 |
 |
 |
 |
0,5 |
1,5 |
0,5 |
4 |
4 |
8 |
17 |
69 |
4 |
 |
89,5 |
Пограничное состояние да |
| Duomeen OL (олеоалкил) |
 |
 |
 |
 |
0,5 |
1,5 |
0,5 |
5 |
5 |
10 |
8 |
77 |
3 |
 |
88 |
Пограничное состояние да |
| Duomeen S (соевый алкил) |
 |
 |
 |
 |
 |
0,2 |
 |
12 |
0,2 |
12,2 |
19 |
60 |
3 |
 |
82 |
Пограничное состояние да |
| Duomeen T (талловый алкил) |
 |
 |
 |
 |
 |
3 |
0,5 |
29 |
2 |
31 |
25 |
38 |
1,5 |
 |
64,5 |
Да |
| Duomac T (талловые алкилдиацетаты) |
 |
 |
 |
 |
 |
3 |
0,5 |
29 |
2 |
31 |
25 |
38 |
1,5 |
 |
64,5 |
Да |
| Genamin TAP 100 D (талловый алкил) |
 |
 |
 |
 |
 |
3 |
 |
29 |
 |
29 |
63 |
 |
 |
 |
63 |
Да |
| Genamin SHP 100 (стеарилалкил) |
 |
 |
 |
 |
 |
3 |
 |
29 |
 |
29 |
63 |
 |
 |
 |
63 |
Да |
| Genamin LAP 100 D (лауроалкил) |
 |
 |
 |
4 |
72 |
21 |
 |
4 |
 |
4 |
 |
 |
 |
 |
 |
Нет |
| Genamin OLP 100 (олеоалкил) |
 |
 |
 |
 |
2 |
3 |
 |
18 |
 |
18 |
76 |
 |
 |
 |
76 |
Да |
Распределение углеродных цепей алкильных групп в молочном жире и молочном белке варьируется от С4 до С18, причем тремя основными компонентами являются C14 (9%), С16 (26%) и C18 (45%). Если нанести графически распределение углеродных цепей алкильных групп молочного загрязнения наряду с распределением углеродных цепей алкильных групп различных композиций диаминопропана, то, как видно на Фиг.2, кокосовая группа выходит за пределы распределения составляющих молока, тогда как разновидности (жирный алкил)-1,3-диаминопропанов олео-, соевого и таллового происхождения очень хорошо соответствуют распределению молочного загрязнения. Исходя из этого инструментально полученного совпадения, было сделано предположение, что эти совместимые 1,3-диаминопропановые вещества могут быть высокоэффективны для очистки поверхности от отложений молочного жира/белка. Данные по очистке, полученные в лаборатории, подтвердили теоретический прогноз. 1,3-Диаминопропан кокосового происхождения и его соответствующая ацетатная соль производят очистку с удовлетворительным результатом, однако 1,3-диаминопропаны, полученные из таких источников растительного происхождения, как соя, олео и твердый талловый жир, и их ацетатные соли, как было показано, существенно больше улучшают очищающие рабочие характеристики детергента.
Было обнаружено, что даже при добавлении в относительно небольших количествах детергенты обеспечивают превосходную очистку, по эффективности даже превосходя хлорщелочные детергенты уже при температуре 40°C. Предпочтительно количество алкил-1,3-диаминопропана, присутствующего в кислотных моющих составах, варьируется в диапазоне 0,01-15% масс. алкил-1,3-диаминопропана, более предпочтительно приблизительно 0,075-10% масс., еще более предпочтительно приблизительно 0,10-8% масс. и наиболее предпочтительно приблизительно 0,15-6% масс.
(Жирный алкил)-1,3-диаминопропаны могут использоваться в виде аминов, или они могут быть превращены в диаминовые соли посредством реакции с короткоцепочечными карбоновыми кислотами, такими как муравьиная, уксусная, или с любыми другими органическими кислотами. Особенно предпочтительны моно- и диацетатные соли (жирный алкил)-1,3-диаминопропанов (в одиночку или в комбинации). Моно- и диацетатные соли получают in situ смешением аминов с контролируемыми количествами уксусной кислоты до добавления любых других компонентов.
Предпочтительные композиции диаминопропанов коммерчески доступны от Akzo Nobel под названием DUOMEEN. Семейство DUOMEEN включает Duomeen® С (кокосовый алкил), Duomeen® CD (дистиллированный кокосовый алкил), Duomeen® S (соевый алкил), Duomeen® SV (соевый алкил растительного происхождения), Duomeen® О (олеоалкил), Duomeen® OL (олеоалкил), Duomeen® T (талловый алкил). Эти композиции также доступны в виде ацетатных солей, нейтрального продукта, полученного с уксусной кислотой, как например, Duomac® T (талловый алкил диацетатные соли) и Armohib® B-101. Дополнительные композиции диаминопропанов доступны от Clariant под названием GENAMIN и включают Genamin® OLP 100 (олеилпропилендиамин), Genamin® TAP 100 (талловый алкилпропилендиамин), Genamin® TAP 100 D (талловый алкилпропилендиамин, дистиллированный), Genamin® LAP 100 (лаурилпропилендиамин). Другие дополнительные композиции диаминопропанов доступны от Corsicana Technologies под названием CORSAMINE, такие как Corsamine® DC (кокосовый алкил), Corsamine® DO (олеилалкил) и Corsamine® DT (талловый алкил).
Таблица 4 демонстрирует моющую эффективность моющих составов, содержащих как кислотные ферменты, так и композиции (жирный алкил)-диаминопропанов. Как следует из данных таблицы, эти составы являются высокоэффективными для очистки поверхности от молочных загрязнений.
Таблица 4 Моющие составы, содержащие фермент и (жирный алкил)диаминопропан |
| Компоненты/Состав |
41 |
42 |
43 |
44 |
45 |
46 |
47 |
48 |
49 |
50 |
51 |
52 |
53 |
54 |
| Деионизированная вода |
73 |
74 |
70 |
71 |
74 |
77 |
71 |
71 |
72 |
73 |
74 |
75 |
1 |
77 |
| Duomeen CD |
2 |
2 |
2 |
2 |
2 |
2 |
2 |
1 |
1 |
1 |
1 |
1 |
1 |
1 |
| Уксусная кислота |
– |
– |
2 |
1 |
1 |
1 |
1 |
2 |
2 |
2 |
2 |
2 |
2 |
2 |
| Сульфаминовая кислота |
5 |
5 |
5 |
5 |
5 |
5 |
0 |
5 |
5 |
5 |
5 |
5 |
5 |
5 |
| Безводная лимонная кислота |
5 |
5 |
5 |
5 |
5 |
5 |
5 |
5 |
5 |
5 |
5 |
5 |
5 |
5 |
| Фосфорная кислота |
15 |
15 |
15 |
15 |
15 |
15 |
20 |
15 |
15 |
15 |
15 |
15 |
15 |
15 |
| Тритон DF-12 (неионное поверхностно-активное вещество) |
1 |
1 |
1 |
1 |
1 |
1 |
1 |
1 |
1 |
1 |
1 |
1 |
1 |
1 |
| Валлидаза AFP 1000 SAPU (L) |
6 |
6 |
6 |
6 |
3 |
0 |
6 |
6 |
5 |
4 |
3 |
2 |
1 |
0 |
| рН: неразб. |
– |
– |
1,07 |
1,02 |
– |
– |
1,18 |
– |
– |
– |
– |
– |
– |
– |
| рН: 5 г/л (400 ч/млн, °C) |
2,52 (56) |
2,53 (55) |
2,41 (54) |
2,44 (56) |
2,42 (56) |
2,38 (56) |
2,52 (55) |
2,31 (55) |
2,31 (55) |
2,32 (57) |
2,32 (56) |
2,33 (56) |
2,33 (58) |
2,33 (58) |
| Рабочая концентрация, г/л |
5 г/л |
5 г/л |
5 г/л |
5 г/л |
5 г/л |
5 г/л |
5 г/л |
5 г/л |
5 г/л |
5 г/л |
5 г/л |
5 г/л |
5 г/л |
5 г/л |
| Температура мойки, °C |
58 |
56 |
54 |
56/58 |
57 |
57 |
55 |
55 |
55 |
57 |
56 |
57 |
56 |
56 |
| Очистка от молочного загрязнения/400 ч/млн, % |
100 |
98 |
94 |
96/92 |
92 |
92 |
95 |
92 |
93 |
90 |
92 |
88 |
90 |
88 |
| Контроль – стиральный хлорщелочной порошок @ 2 г/л, % |
– |
– |
92 |
92/97 |
97 |
97 |
92 |
95 |
95 |
95 |
95 |
95 |
95 |
95 |
| Средняя нагрузка молочного загрязнения, мг |
24 |
24 |
28 |
27/21 |
19 |
24 |
25 |
26 |
29 |
22 |
24 |
23 |
26 |
26 |
| Нагрузка молочного загрязнения согласно контролю, мг |
– |
– |
25 |
25/18 |
18 |
18 |
25 |
32 |
32 |
32 |
32 |
32 |
32 |
32 |
Поверхностно-активные вещества
Поверхностно-активные вещества являются важными компонентами для моющих средств, поскольку они придают им полезные свойства, такие как смачивание, уменьшение поверхностного натяжения и содействие очистке. Однако многие поверхностно-активные вещества имеют тенденцию к пенообразованию при взбалтывании. В CIP системах, для которых желательно обеспечение мойки по возможности за более короткий период времени, чрезмерная и длительно сохраняемая пена крайне нежелательна. CIP системы особенно склонны к пенообразованию вследствие взбалтывания и воздействия порции добавляемых моющих средств. Кроме того, белковые отложения, в общем, по своей природе имеют тенденцию к генерированию пены. Поэтому в контексте этих систем важно подобрать поверхностно-активные вещества, которые являются беспенными средствами или обладают очень низким пенообразованием.
Предпочтительные поверхностно-активные вещества, используемые в моющих составах по данному изобретению, включают анионные, неионные, катионные, амфотерные и цвиттерионные поверхностно-активные вещества или их смеси и являются стабильными в сильнокислых условиях и в присутствии окислителей, таких как кислородсодержащий отбеливатель и особенно отбеливатель на основе пероксидов и перкислот. Особенно предпочтительные водорастворимые органические анионные поверхностно-активные вещества включают аминоксидные, фосфиноксидные, сульфоксидные сульфонатные, сульфатные и бетаиновые поверхностно-активные вещества. Один особенно предпочтительный класс анионных поверхностно-активных веществ включает прямой или разветвленный моно- и/или ди-(C8-C14)алкилдифенилоксид моно- и/или дисульфонатов щелочных металлов, доступные от Dow Chemical Company под названием DOWFAX. Другие предпочтительные анионные поверхностно-активные вещества включают первичные алкилсульфаты, алкилсульфонаты, арилалкилсульфонаты и вторичные алкилсульфонаты. Типичные анионные поверхностно-активные вещества включают
(C10-C18)-алкилсульфонаты натрия, такие как додецилсульфонат натрия, алкилсульфонаты натрия, такие как гексадецил-1-сульфонат натрия, и (C12-C18)-алкилбензолсульфонаты натрия, такие как додецилбензолсульфонат натрия. Кроме того, можно использовать соответствующие калиевые соли вышеупомянутых соединений.
Неионные поверхностно-активные вещества имеют тенденцию снижать поверхностное натяжение детергентов, повышать смачиваемость поверхности, подвергаемой очистке, и способствуют растворению отложений в заявляемых моющих средствах. Предпочтительные неионные поверхностно-активные вещества включают блокированные или неблокированные поли-низший алкоксилированные высшие спирты или их простые эфирные производные, в которых алкильная спиртовая или простая эфирная группа содержит от 9 до 18 углеродных атомов и число молей низшего алкиленоксида (2 или 3 атома углерода) составляет от 3 до 12.
Типичные алкил-алкоксилированные спирты или простые эфиры, подходящие для использования в настоящем изобретении, включают водорастворимые или диспергируемые неионные поверхностно-активные вещества от BASF под названием PLURAFAC (алкоксилаты жирных спиртов) и LUTENOL (этоксилаты жирных спиртов). Эти поверхностно-активные вещества обычно включают продукт реакции высшего спирта линейной структуры и смеси пропилен- и этиленоксидов. Конкретные примеры включают (C13-C15)жирный спирт, конденсированный с 6 молями этиленоксида и 3 молями пропиленоксида, и (C13-C15) жирный спирт, конденсированный с 7 молями пропиленоксида и 4 молями этиленоксида.
Предпочтительные поверхностно-активные вещества PLURAFAC включают Plurafac® LF-303 (полигликолевый простой эфир), Plurafac® LF-305 (C8-C14-алкильная цепь), Plurafac® S-305LF, Plurafac® SLF-18B (C6-C10-этоксилированный спирт линейной структуры), Plurafac® SLF-18B45, Plurafac® LF-4030. Другие типичные неионные поверхностно-активные вещества включают неионные поверхностно-активные вещества от Shell Chemical Company под названием NEODOL. Эти поверхностно-активные вещества представляют собой продукты конденсации смеси высших жирных спиртов, имеющих в среднем от 12 до 15 атомов углерода, с приблизительно 6-7 молями этиленоксида. Другие дополнительные типичные неионные поверхностно-активные вещества включают неионные поверхностно-активные вещества от Union Carbide под названиями TERGITOL и TPITON и обладающие низким пенообразованием биодеградируемые алкоксилированные жирные спирты линейной структуры от BASF под названием POLY-TERGENT.
Другие типичные поверхностно-активные вещества, которые могут быть использованы в настоящем изобретении, представляют собой алкилполисахаридные поверхностно-активные вещества, имеющие гидрофобную группу, содержащую приблизительно 8-20 атомов углерода. Предпочтительно эти поверхностно-активные вещества имеют в своей структуре от приблизительно 10 до 16 атомов углерода (наиболее предпочтительно приблизительно 12-14) и приблизительно 1,5-10 сахаридных единиц (т.е. фруктозил-, глюкозил- и галактозил-единиц и их смесей). Предпочтительные алкилполисахаридные поверхностно-активные вещества для использования в настоящем изобретении включают поверхностно-активные вещества на основе алкилполиглюкозида от Henkel Corporation под названием APG. Эти APG поверхностно-активные вещества характеризуются общей формулой (CnH2n+1)O(C6H10O5)xH.
Катионные поверхностно-активные вещества для использования в настоящем изобретении включают катионные поверхностно-активные вещества, содержащие гидрофильные части, характеризуемые наличием аминогрупп или группы четвертичного аммония, которые приобретают положительный заряд при растворении в заявляемых детергентах. Предпочтительные поверхностно-активные вещества на основе четвертичного аммония представляют собой соли четвертичного аммония, включая диалкилдиметиламмоний хлориды и триалкилметиламмоний хлориды, где алкильные группы содержат приблизительно 10-22 атомов углерода, и которые получают из длинноцепочечных жирных кислот, таких как жирные кислоты гидрогенизированного таллового жира, жирные кислоты кокосового масла, олео-жирные кислоты, жирные кислоты соевого масла. Типичные соли четвертичного аммония включают диталлодиметиламмонийхлорид и диталлометиламмонийхлорид. В качестве катионного поверхностно-активного вещества в заявляемых моющих средствах могут быть также использованы соли первичных, вторичных и третичных жирных аминов. Предпочтительно алкильные группы таких аминов содержат приблизительно 10-22 атомов углерода и они могут быть замещенными или незамещенными. Особенно предпочтительными являются вторичные и третичные амины, причем третичные амины наиболее предпочтительны. Типичные амины включают стеарамидопропилдиметиламин, диэтиламиноэтилстеарамид, диметилстеарамин, миристиламин и этоксилированный стеариламин. Предпочтительно аминные соли выбирают из группы, состоящей из аминных солей галогена, ацетата, фосфата, нитрата, цитрата, лактата и алкилсульфатов.
Амфотерные поверхностно-активные вещества для использования в настоящем изобретении включают амфотерные поверхностно-активные вещества, в общих чертах описанные как производные алифатических вторичных и третичных аминов, в которых алифатический радикал представляет собой прямую или разветвленную цепь и где один из алифатических радикалов содержит приблизительно 6-18 атомов углерода и другой из алифатических радикалов содержит анионную гидрофильную группу, такую как карбоксилат, сульфонат, сульфат, фосфат или фосфонат. Типичные амфотерные поверхностно-активные вещества включают 3-дециламинопропионат натрия, 3-дециламинопропансульфонат натрия, лаурилсаркозинат натрия и N-алкилтаурины, такие как N-алкилтаурины, получаемые из додециламина и изетионата натрия.
Цвиттерионные поверхностно-активные вещества для использования в настоящем изобретении включают цвиттерионные поверхностно-активные вещества, полученные из алифатических соединений четвертичного аммония, фосфония и сульфония, в которых алифатические радикалы представляют собой прямые или разветвленные цепи, и где, по крайней мере, одна из алифатических групп содержит приблизительно 8-18 атомов углерода и одна анионная группа выбрана из карбоксилата, сульфоната, сульфата, фосфата или фосфоната.
Предпочтительно, чтобы составы по данному изобретению включали приблизительно 0-15% масс. поверхностно-активного вещества, более предпочтительно приблизительно 0,10-15% масс., еще более предпочтительно приблизительно 0,50-10% масс., еще более предпочтительно приблизительно 1,0-8% масс. и наиболее предпочтительно приблизительно 2-6% масс. В заявляемых моющих составах могут также использоваться смеси двух или большего числа поверхностно-активных веществ, и как раскрывается ниже, такие системы, содержащие смеси различных поверхностно-активных веществ, являются предпочтительными.
В таблице 5 приводятся несколько моющих составов на основе диаминопропанов, содержащих различные предпочтительные поверхностно-активные вещества.
Таблица 5 Моющие составы на основе (жирный алкил)диаминопропанов с добавленным поверхностно-активным веществом(ами) |
| Компонент/составы |
55 |
56 |
57 |
58 |
59 |
60 |
61 |
62 |
63 |
64 |
65 |
66 |
67 |
| Деионизированная вода |
38 |
27 |
46,5 |
48 |
45 |
46 |
46 |
48 |
48 |
48 |
47 |
47 |
47 |
| Уксусная кислота |
– |
– |
1,5 |
– |
1 |
1 |
1 |
– |
– |
– |
– |
– |
– |
| Duomeen Т |
– |
– |
– |
2 |
– |
– |
– |
– |
– |
– |
– |
– |
– |
| Duomeen О |
– |
– |
3 |
– |
– |
– |
– |
– |
– |
– |
– |
– |
– |
| Duomeen S |
– |
– |
– |
‘ |
2 |
2 |
2 |
– |
– |
– |
– |
– |
– |
| Plurafac SLF-18B |
2 |
2 |
– |
– |
– |
– |
– |
– |
– |
– |
– |
– |
– |
| Plurafac LF-303 |
– |
– |
– |
2 |
2 |
1 |
– |
– |
2 |
– |
– |
3 |
– |
| Plurafac S-305LF |
– |
– |
– |
– |
– |
– |
1 |
– |
– |
– |
3 |
– |
– |
| Plurafac LF-305 |
– |
– |
– |
– |
– |
– |
– |
2 |
– |
2 |
– |
– |
3 |
| Plurafac LF-4030 |
– |
– |
3 |
– |
– |
2 |
2 |
– |
– |
– |
– |
– |
– |
| Безводная лимонная кислота |
3 |
3 |
3 |
3 |
3 |
3 |
3 |
3 |
3 |
3 |
3 |
3 |
3 |
| Фосфорная кислота (85%) |
43 |
43 |
43 |
43 |
43 |
43 |
43 |
43 |
43 |
43 |
43 |
43 |
43 |
| Октилсульфонат натрия |
9 |
21 |
– |
– |
– |
, |
– |
– |
– |
– |
– |
– |
– |
| Гидросульфат натрия |
5 |
2 |
– |
– |
2 |
2 |
2 |
2 |
2 |
2 |
2 |
2 |
2 |
| Ventocil P (20%) |
– |
2 |
– |
2 |
2 |
2 |
2 |
2 |
2 |
2 |
2 |
2 |
2 |
| Фаза/однородность (гомогенность) |
1 фаза |
1 фаза |
1 фаза |
2 фазы |
2 фазы |
2 фазы |
2 фазы |
2 фазы |
1 фаза |
1 фаза |
2 фазы |
1 фаза |
1 фаза |
| Очищающая (эксплуатационная) характеристика, % |
99,3 |
98,3 |
99,7 |
99,3 |
98,6 |
98,7 |
99,1 |
– |
– |
– |
– |
– |
– |
| Бактерицидная эффективность |
Pseudomonas (0,5% 5 log) |
P |
P |
P |
– |
– |
– |
– |
– |
– |
– |
– |
– |
– |
Staph. Aureus (0,5% 5 log) |
1% |
2% |
2% |
– |
– |
– |
– |
– |
– |
– |
– |
– |
– |
Испытание на вспенивание моющего средства (Молочная трубопроводная линия-CIP система очистки)
Вспенивание детергента является проблемой, особенно для систем, в которых важно осуществление быстрых очищающих и промывочных циклов, в частности, для CIP систем, для которых моечные циклы составляют приблизительно 6-8 мин. Был осуществлен ряд испытаний с целью оптимизации уровня пенистости, связанного с моющими составами (т.е. достижение по возможности максимального снижения уровня пенистости).
Испытания на вспенивание проводили в динамической среде, используя откалиброванную 500 см3 высокую склянку для промывки газов (скруббер), снабженную стеклянным фильтром из фриттованного стекла для распределения газа и пробкой (Corning 31770 F-34 Series), измеритель потока (F&P Precision Bore Flowrator Tube #01-150/S-51801), и воздушный насос 5KH32EG115X модели GE. Гибким шлангом соединяют выходное отверстие воздушного насоса через трубку измерителя потока с входным отверстием трубки стеклянного фильтра для распределения газа. Получают моющий раствор и 100 мл декантируют в откалиброванную склянку для промывки газов и закрывают пробкой. Воздушный насос устанавливают на скорость потока 2,0 л/мин и запускают на 15 секунд. Регистрируют начальный чистый объем пены (общий объем минус объем жидкости). Измерения проводят периодически до тех пор, пока не будет достигнуто разрушение пены.
Испытания проводят, используя как жесткую воду (HD) 400 ч/млн, так и деионизированную воду (DIW). Вначале испытывают целый ряд систем с одним и двумя поверхностно-активными веществами. Эти результаты представлены в таблицах 6-8. Используемый здесь DNMC означает высоту динамической пены, измеряемой в мл в динамических условиях измерения.
Таблица 6 Моющие составы на основе (жирный алкил)диаминопропанов с одним и двумя поверхностно-активными веществами |
| Компоненты |
68 |
69 |
70 |
71 |
72 |
73 |
74 |
75 |
76 |
| Деионизированная вода |
43 |
43 |
43 |
43 |
43 |
43 |
43 |
43 |
43 |
| Уксусная кислота |
1 |
1 |
1 |
1 |
1 |
1 |
1 |
1 |
1 |
| Duomeen S |
1 |
1 |
1 |
1 |
1 |
1 |
1 |
1 |
1 |
| Plurafac LF-303 |
– |
– |
– |
– |
– |
2 |
– |
– |
– |
| Triton DF-12 |
– |
– |
2 |
– |
– |
– |
– |
2 |
– |
| Tergitol MDS-42 |
– |
– |
– |
2 |
– |
– |
– |
– |
2 |
| Plurafac LF-4030 |
– |
– |
– |
– |
– |
– |
– |
– |
– |
| Plurafac SLF-18B |
– |
– |
– |
– |
2 |
– |
– |
– |
– |
| Plurafac LF-305 |
4 |
– |
2 |
2 |
2 |
2 |
2 |
– |
– |
| Plurafac S-305LF |
– |
4 |
– |
– |
– |
– |
2 |
2 |
2 |
| Безводная лимонная кислота |
3 |
3 |
3 |
3 |
3 |
3 |
3 |
3 |
3 |
| Фосфорная кислота (85%) |
43 |
43 |
43 |
43 |
43 |
43 |
43 |
43 |
43 |
| Октилсульфонат натрия |
– |
– |
– |
– |
– |
– |
– |
– |
– |
| Молочная кислота |
5 |
5 |
5 |
5 |
5 |
5 |
5 |
5 |
5 |
Однородность (гомогенность)- Начальная |
Прозрачный |
Прозрачный |
Прозрачный |
Прозрачный |
Прозрачный |
Прозрачный |
Прозрачный |
Прозрачный |
Прозрачный |
| Два дня/окружающая среда |
Прозрачный |
Флокулированный осадок |
Замутненный |
Флокулированный осадок |
Прозрачный |
Флокулированный осадок |
Замутненный |
Флокулированный осадок |
Флокулированный осадок |
| Очистка %, 4 мин/40°С/контроль |
– |
– |
– |
– |
– |
– |
– |
– |
98,0/36,6 |
| Объем пены +300 мл, 40°С |
| DNMC-деионизированная вода (0-5 мин) |
230-40 |
180-10 |
240-40 |
240-40 |
300-50 |
290-60 |
300-30 |
280-20 |
330-10 |
 |
340-50 |
400-0 |
430-30 |
430-40 |
390-60 |
390-110 |
410-40 |
400-20 |
390-0/4,3 |
| DNMC-жесткая вода (0-5 мин) |
250-50 |
230-3,5 |
250-40 |
280-40 |
330-70 |
310-40 |
330-40 |
340-30 |
370-0/3,3 |
 |
330-60 |
340-4,3 |
420-50 |
400-30 |
340-150 |
290-50 |
420-30 |
410-20 |
350-0/3,5 |
Таблица 6 Моющие составы на основе (жирный алкил)диаминопропанов с одним и двумя поверхностно-активными веществами (продолжение) |
| Компоненты |
85 |
86 |
87 |
88 |
89 |
90 |
91 |
92 |
| Деионизированная вода |
42 |
43 |
43 |
43 |
43 |
43 |
43 |
43 |
| Уксусная кислота |
1 |
1 |
1 |
1 |
1 |
1 |
1 |
1 |
| Duomeen S |
1 |
1 |
1 |
1 |
1 |
1 |
1 |
,1 |
| Plurafac LF-303 |
2 |
2 |
– |
– |
– |
2 |
– |
– |
| Triton DF-12 |
2 |
– |
2 |
– |
– |
– |
2 |
– |
| Tergitol MDS-42 |
– |
2 |
2 |
– |
– |
– |
– |
2 |
| Plurafac LF-4030 |
– |
– |
– |
2 |
– |
– |
– |
– |
| Plurafac SLF-18B |
– |
– |
– |
2 |
4 |
2 |
2 |
2 |
| Plurafac LF-305 |
– |
– |
– |
– |
– |
– |
– |
– |
| Plurafac S-305LF |
– |
– |
– |
– |
– |
– |
– |
– |
| Безводная лимонная кислота |
3 |
3 |
3 |
3 |
3 |
3 |
3 |
3 |
| Фосфорная кислота (85%) |
43 |
43 |
43 |
43 |
43 |
43 |
43 |
43 |
| Октилсульфонат натрия |
– |
– |
– |
– |
– |
– |
– |
– |
| Молочная кислота |
5 |
5 |
5 |
5 |
5 |
5 |
5 |
5 |
Однородность- Начальная |
Прозрачный |
Прозрачный |
Прозрачный |
Прозрачный |
Прозрачный |
Прозрачный |
Прозрачный |
Прозрачный |
| Два дня/окружающая среда |
Замутненный |
Флокулированный осадок |
Замутненный |
Прозрачный |
Прозрачный |
Флокулированный осадок |
Прозрачный |
Замутненный |
| Очистка %, 4 мин/40°С/контроль |
– |
95,8/36,6 |
– |
– |
– |
– |
– |
– |
| Объем пены +300 мл, 40°С |
| DNMC-Деионизированная вода (0-5 мин) |
350-50 |
340-3,5 |
420-40 |
380-190 |
400-360 |
280-130 |
290-30 |
280-200 |
 |
310-40 |
230-3,0 |
310-30 |
300-150 |
300-200 |
220-90 |
280-30 |
240-190 |
| DNMC-жесткая вода (0-5 мин) |
380-20 |
350-2,0 |
420-20 |
370-160 |
360-300 |
310-50 |
310-40 |
260-170 |
 |
380-96 |
260-2,0 |
310-30 |
320-140 |
300-180 |
230-40 |
260-40 |
230-120 |
Таблица 7 Моющие составы на основе (жирный алкил)диаминопропанов с одним поверхностно-активным веществом |
| Компоненты/Составы |
93 |
94 |
95 |
96 |
97 |
98 |
99 |
100 |
101 |
| Деионизированная вода |
50 |
48 |
47 |
45 |
44 |
42,5 |
46 |
43 |
46,5 |
| Уксусная кислота |
– |
– |
1 |
1 |
1 |
1,5 |
– |
1 |
1,5 |
| Duomeen CD |
– |
– |
– |
– |
– |
– |
– |
– |
– |
| Duomeen О |
– |
– |
2 |
2 |
2 |
3 |
– |
– |
3 |
| Duomac T (диацетаты) |
2 |
2 |
– |
– |
– |
– |
3 |
3 |
– |
| Plurafac SLF-18B45 |
– |
2 |
– |
– |
– |
– |
– |
– |
– |
| Октансульфонат натрия |
– |
– |
– |
– |
– |
– |
– |
– |
– |
| Лимонная кислота (безводная) |
3 |
3 |
3 |
3 |
3 |
3 |
3 |
3 |
3 |
| Фосфорная кислота (85%) |
43 |
43 |
43 |
43 |
43 |
43 |
43 |
43 |
43 |
| Бисульфат натрия |
– |
2 |
2 |
2 |
2 |
2 |
– |
2 |
– |
| Ventocil P |
2 |
2 |
2 |
2 |
2 |
2 |
2 |
2 |
– |
| Plurafac LF-4030 |
– |
– |
– |
2 |
3 |
3 |
3 |
3 |
3 |
| Очистка, % (8 мин @ 60°С) |
99,5 |
98,8 |
99,9 |
99,7 |
98,9 |
99,7 |
99,5 |
99,8 |
99,7 |
| Пена, мл, 40°С (0-20 мин), DIW-деионизированная вода |
245-224 |
249-125 |
300-285 |
155-140 |
150-140 |
195-175 |
155-110 |
145-130 |
320-185 |
| Пена, мл, 40°С (0-20 мин), DIW |
260-225 |
230-195 |
320-310 |
225-200 |
200-195 |
220-190 |
220-130 |
155-130 |
320-185 |
| Пена, мл, 22°С (0-20 мин), DIW |
200-175 |
225-175 |
235-220 |
145-125 |
185-150 |
185-150 |
150-125 |
145-125 |
315-220 |
| Пена, мл, 22°С (0-20 мин), DIW |
200-180 |
210-165 |
280-275 |
175-160 |
225-180 |
215-180 |
190-150 |
165-135 |
295-200 |
Таблица 8 Оценка детергентов на основе (жирный алкил)диаминопропанов с противовспенивающими неионными поверхностно-активными веществами |
| Компоненты/Составы |
102 |
103 |
104 |
105 |
106 |
107 |
108 |
109 |
110 |
111 |
112 |
113 |
| Деионизированная вода |
45 |
45 |
48 |
48 |
45 |
45 |
45 |
45 |
45 |
45 |
45 |
45 |
| Уксусная кислота |
1 |
1 |
– |
– |
1 |
1 |
1 |
1 |
1 |
1 |
1 |
1 |
| Duomeen CD |
2 |
2 |
– |
– |
– |
– |
– |
– |
– |
– |
– |
– |
| Duomac T (Диацетаты) |
– |
– |
2 |
2 |
– |
– |
– |
– |
– |
– |
– |
– |
| Duomeen О |
– |
– |
– |
– |
2 |
2 |
– |
– |
– |
– |
– |
– |
| Duomeen OL |
– |
– |
– |
– |
– |
– |
2 |
2 |
– |
– |
– |
– |
| Duomeen S |
– |
– |
– |
– |
– |
– |
– |
– |
2 |
2 |
– |
– |
| Duomeen Т |
– |
– |
– |
– |
– |
– |
– |
– |
– |
– |
2 |
2 |
| Plurafac LF-303 |
2 |
– |
2 |
– |
2 |
– |
2 |
– |
2 |
– |
2 |
– |
| Plurafac S-305 LF |
– |
2 |
– |
2 |
– |
2 |
– |
2 |
– |
2 |
– |
2 |
| Лимонная кислота (безводная) |
3 |
3 |
3 |
3 |
3 |
3 |
3 |
3 |
3 |
3 |
3 |
3 |
| Фосфорная кислота (85%) |
43 |
43 |
43 |
43 |
43 |
43 |
43 |
43 |
43 |
43 |
43 |
43 |
| Бисульфат натрия |
2 |
2 |
– |
– |
2 |
2 |
2 |
2 |
2 |
– |
2 |
– |
| Ventocil P |
2 |
2 |
2 |
2 |
2 |
2 |
2 |
2 |
2 |
2 |
2 |
– |
| Динам.(D.)Пена, мл, 40°С (0-5 мин), DIW |
880-820 |
860-820 |
860-460 |
860-450 |
890-850 |
870-820 |
900-860 |
890-850 |
870-830 |
770-720 |
870-810 |
880-840 |
Исходя из вышеприведенных результатов, было отмечено, что для некоторых из моющих составов, использующих систему из двух поверхностно-активных веществ, вспенивание оказывается меньше, чем в случае систем, использующих одно поверхностно-активное вещество, с любым из двух указанных поверхностно-активных компонентов. Этот принцип был проверен, и удивительно и неожиданно было обнаружено, что синергетическое противовспенивающее действие достигается при использовании двух неионных поверхностно-активных веществ.
На Фиг.3 и 4 представлены типичные системы с использованием двух поверхностно-активных веществ, которые демонстрируют, что пена не только действительно исчезает за более короткое общее время, но и осаждение первоначальной пены происходит гораздо быстрее. На Фиг.3 представлены три типичных моющих состава: состав, содержащий 4% Plurafac® LF-303, состав, содержащий 4% Plurafac® S305 LF, и состав, содержащий 2% как первого, так и последнего. В испытании на динамическое вспенивание при температуре 40°C, используя 0,5% концентрацию детергента в жесткой воде, время уменьшения пены в случае использования системы с двумя поверхностно-активными веществами составляет почти половину времени, необходимого для снижения пены в случае детергентов с любым (из двух) одним поверхностно-активным веществом. Испытание, представленное на Фиг.4, почти идентично испытанию, представленному на Фиг.3, за исключением того, что Plurafac® S305-LF заменен на Tergitol® MDS-42. В этом испытании время уменьшения пены для системы с двумя поверхностно-активными веществами более чем наполовину короче по сравнению с детергентами и с одним поверхностно-активным веществом. Следовательно, синергизм снижения пены развивается, когда в кислотных детергентах использовали смесь двух поверхностно-активных веществ.
В таблицах 9-10 приводятся несколько предпочтительных детергентов с двумя поверхностно-активными веществами в соответствии с настоящим изобретением.
Кроме того, некоторые составы, указанные в таблице 10, содержат (низший алкан)сульфоновую кислоту, метансульфоновую кислоту, CH3SO3H. Метансульфоновая кислота является сильной органической кислотой (pKa=-1,9), характеризуемой чрезвычайно высокой способностью сольватировать различные тяжелые металлы. Было обнаружено, что добавление метансульфоновой кислоты в моющий состав значительно улучшает моющие (очищающие) рабочие характеристики детергента, в особенности, в устранении с поверхности белковых пленок. Метансульфоновая кислота и ее соли металлов хорошо растворимы в воде и менее коррозионны, чем другие сильные неорганические кислоты. Метансульфокислота биодеградируема и регенерируема. Метансульфоновая кислота обычно менее токсична, чем фторборная кислота и кремнефтористоводородная кислота.
Метансульфоновая кислота в водном растворе способствует растворению солей металлов и поверхностно-активных веществ и имеет слабую тенденцию к окислению органических соединений.
Другие сульфоновые кислоты с углеродной цепью, представляющей собой низший (С1-С16)алкил, могут быть использованы в заявляемых моющих составах. Помимо метансульфоновой кислоты, другие предпочтительные низший алкилсульфоновые кислоты включают этансульфоновую кислоту, пропансульфоновую кислоту и бутансульфоновую кислоту.
Предпочтительно кислотные моющие составы по данному изобретению содержат приблизительно 0-40% масс. низший алкилсульфоновой кислоты, более предпочтительно приблизительно 1-30% масс., еще более предпочтительно приблизительно 2-25% масс. и наиболее предпочтительно приблизительно 5-20% масс.
Таблица 9 Моющие составы на основе (жирный алкил)диаминопропанов с двумя поверхностно-активными веществами |
| Компоненты/Составы |
114 |
115 |
116 |
117 |
118 |
119 |
120 |
121 |
122 |
123 |
124 |
125 |
| Деионизированная вода |
37 |
37 |
37,5 |
37,5 |
36,5 |
36,5 |
36 |
36 |
37,5 |
37 |
36,5 |
36 |
| Уксусная кислота |
1 |
1 |
1 |
1 |
1 |
1 |
1 |
1 |
1 |
1 |
1 |
1 |
| Duomeen S |
1 |
1 |
0,5 |
0,5 |
1,5 |
1,5 |
2 |
2 |
0,5 |
1 |
1,5 |
2 |
| Plurafac LF-303 |
2 |
2 |
2 |
2 |
2 |
2 |
2 |
2 |
– |
– |
– |
– |
| Tergitol MDS-42 |
2 |
– |
2 |
– |
2 |
– |
2 |
– |
2 |
2 |
2 |
2 |
| Plurafac S-305LF |
– |
2 |
– |
2 |
– |
2 |
– |
2 |
2 |
2 |
2 |
2 |
| Безводная лимонная кислота |
4 |
4 |
4 |
4 |
4 |
4 |
4 |
4 |
4 |
4 |
4 |
4 |
| Фосфорная кислота (85%) |
50 |
50 |
50 |
50 |
50 |
50 |
50 |
50 |
50 |
50 |
50 |
50 |
| Молочная кислота |
3 |
3 |
3 |
3 |
3 |
3 |
3 |
3 |
3 |
3 |
3 |
3 |
| Однородность-Начальная |
Прозрачный |
Прозрачный |
Прозрачный |
Прозрачный |
Прозрачный |
Прозрачный |
Прозрачный |
Прозрачный |
Прозрачный |
Прозрачный |
Прозрачный |
Прозрачный |
| Два дня/Т окружающей среды |
Прозрачный |
Прозрачный |
Прозрачный |
Прозрачный |
Прозрачный |
Прозрачный |
Прозрачный |
Прозрачный |
Прозрачный |
Прозрачный |
Прозрачный |
Прозрачный |
 |
 |
 |
 |
 |
 |
 |
 |
 |
 |
 |
 |
 |
Таблица 9а Моющие составы на основе (жирный алкил)диаминопропанов с двумя поверхностно-активными веществами |
| Компоненты/Составы |
126 |
127 |
128 |
129 |
130 |
131 |
132 |
133 |
134 |
| Деионизированная вода |
43 |
43 |
43 |
43 |
43 |
43 |
43 |
43 |
43 |
| Уксусная кислота |
1 |
1 |
1 |
1 |
1 |
1 |
1 |
1 |
1 |
| Duomeen S |
1 |
1 |
2 |
2 |
1,5 |
1,5 |
2 |
1 |
1 |
| Plurafac LF-303 |
1 |
3 |
2 |
1 |
1,5 |
2 |
1,5 |
2 |
4 |
| Tergitol MDS-42 |
3 |
1 |
1 |
2 |
2 |
1,5 |
1,5 |
2 |
– |
| Plurafac S-30LF |
– |
– |
– |
– |
– |
– |
– |
– |
– |
| Безводная лимонная кислота |
3 |
3 |
3 |
3 |
3 |
3 |
3 |
3 |
3 |
| Фосфорная кислота (85%) |
43 |
43 |
43 |
43 |
43 |
43 |
43 |
43 |
43 |
| Молочная кислота |
5 |
5 |
5 |
5 |
5 |
5 |
5 |
5 |
5 |
| Однородность-Начальная |
1 фаза |
1 фаза |
1 фаза |
1 фаза |
1 фаза |
1 фаза |
1 фаза |
1 фаза |
1 фаза |
| Однородность-Два дня |
Замутненный |
Пленка на поверхности |
Пленка на поверхности |
Пленка на поверхности |
Пленка на поверхности |
Пленка на поверхности |
Пленка на поверхности |
Пленка на поверхности |
Пленка на поверхности |
| Объем пены + 300 мл, 40°С |
– |
– |
– |
– |
– |
– |
– |
– |
– |
| DNMC-DI вода (0-5 мин), конечное время в мин указывает на момент полного исчезновения пены |
190-10 |
140-0/3,50 |
220-10 |
250-0/1,66 |
38086 |
38106 |
290-20 |
340-0/3,45 |
160-30 |
| 190-20 |
150-10 |
– |
230-0/1,50 |
– |
– |
– |
230-0/3,00 |
220-20 |
| 240-30 |
150-0/2,33 |
190-20 |
150-0/1,00 |
170-20 |
210-30 |
240-20 |
230-0/2,83 |
– |
| – |
– |
– |
160-0/1,00 |
– |
– |
– |
– |
– |
| DNMC-HD вода (0-5 мин), конечное время в мин указывает на момент полного исчезновения пены |
200-0/3,00 |
200-0/2,50 ‘ |
310-30 |
280-0/3,00 |
250,0/3,00 |
250-0/4,00 |
310-40 |
350-0/2,00 |
190-20 |
| 190-0/2,50 |
280-0/3,50 |
– |
– |
270-0/3,00 |
– |
– |
260-0/2,00 |
240-20 |
| 210-0/2,70 |
210-0/2,00 |
240-20 |
210-0/1,75 |
190-0/1,50 |
190-0 |
220-40 |
200-30 |
– |
| – |
– |
– |
– |
190-0/2,33 |
– |
– |
– |
– |
Таблица 10 Моющие средства на основе (жирный алкил)диаминопропанов с двумя поверхностно-активными веществами |
| Компоненты/Ряд составов |
135 |
136 |
137 |
138 |
139 |
140 |
| Деионизированная вода |
23,85 |
27,1 |
31,1 |
33,35 |
21,85 |
27,1 |
| Уксусная кислота |
1 |
0,25 |
0,25 |
0,25 |
1 |
0,25 |
| Genamin TAP 100D |
– |
– |
– |
– |
– |
– |
| Genamin OLP |
0,15 |
0,15 |
0,15 |
0,15 |
0,15 |
0,15 |
| Plurafac LF-303 |
1,5 |
1 |
1 |
1 |
1,5 |
1 |
| Plurafac SLF-18B |
– |
– |
– |
– |
– |
– |
| Plurafac S-305LF |
– |
– |
– |
– |
0 |
0 |
| Plurafac LF-305 |
0 |
0 |
1,5 |
1,5 |
– |
– |
| Plurafac LF-18B45 |
1,5 |
1,5 |
0 |
0 |
1,5 |
1,5 |
| Безводная лимонная кислота |
3 |
0 |
0 |
0 |
3 |
0 |
| Фосфорная кислота (75%) пищевого качества |
35 |
30 |
30 |
30 |
35 |
30 |
| Ксилолсульфонат натрия (40%) |
28 |
32 |
24 |
22 |
30 |
32 |
| Метансульфоновая кислота (70%) |
0 |
5 |
8 |
8 |
0 |
5 |
| Каприновая/каприловая кислота (40/60) |
3 |
3 |
1 |
0,75 |
3 |
3 |
| Пропиленгликоль – технический сорт |
3 |
0 |
0 |
0 |
3 |
0 |
Гликолевая кислота (оксиуксусная кислота) |
0 |
0 |
3 |
3 |
0 |
0 |
| Однородность продукта |
– |
– |
– |
– |
Прозрачный |
Прозрачный |
| рН: неразбавл. |
– |
– |
– |
– |
– |
– |
| Удельный вес (23,6°С), г/мл |
– |
– |
– |
– |
– |
– |
Таблица 10 Моющие средства на основе (жирный алкил)диаминопропанов с двумя поверхностно-активными веществами (продолжение) |
| Компоненты/Ряд составов |
141 |
142 |
143 |
144 |
145 |
146 |
| Деионизированная вода |
25,1 |
21,35 |
28,1 |
29,6 |
30,1 |
32,6 |
| Уксусная кислота |
0,25 |
0,25 |
0,25 |
0,25 |
0,25 |
0,25 |
| Genamin TAP 100D |
– |
– |
0,15 |
0,15 |
0,15 |
0,15 |
| Genamin OLP |
0,15 |
0,15 |
– |
– |
– |
– |
| Plurafac LF-303 |
1 |
1 |
1 |
1 |
1 |
1 |
| Plurafac SLF-18B |
– |
– |
1,5 |
1,5 |
1,5 |
1,5 |
| Plurafac S-305LF |
1,5 |
1,5 |
– |
– |
– |
– |
| Plurafac LF-305 |
– |
– |
– |
– |
– |
– |
| Plurafac LF-18B45 |
0 |
0 |
– |
– |
– |
– |
| Безводная лимонная кислота |
0 |
0 |
0 |
0 |
0 |
0 |
| Фосфорная кислота (75%) пищевого качества |
30 |
36 |
30 |
26 |
22 |
18 |
| Ксилолсульфонат натрия (40%) |
30 |
28 |
31 |
32 |
34 |
34 |
| Метансульфоновая |
8 |
8 |
5 |
6,5 |
8 |
9,5 |
| кислота (70%) |
 |
 |
 |
 |
 |
 |
| Каприновая/ каприловая кислота (40/60) |
1 |
0,75 |
3 |
3 |
3 |
3 |
| Пропиленгликоль – технический сорт |
0 |
0 |
0 |
0 |
0 |
0 |
| Гликолевая кислота (оксиуксусная кислота) |
3 |
3 |
– |
– |
– |
– |
| Однородность продукта |
Прозрачный |
Прозрачный |
Прозрачный |
Прозрачный |
Прозрачный |
Прозрачный |
| рН: неразбавл. |
– |
– |
0,45 |
0,31 |
0,32 |
0,18 |
| Удельный вес (23,6°С), г/мл |
– |
– |
1,187 |
1,197 |
1,182 |
1,238 |
Антимикробные испытания
Как отмечалось выше, как многофункциональные моющие средства составы по данному изобретению предпочтительно имеют противомикробную функциональность. В пищевой промышленности, в особенности молочной промышленности, большое значение уделяется санитарной обработке оборудования, предназначенного для транспортировки (загрузки) пищевых продуктов с тем, чтобы избежать накопления (размножения) потенциально вредных разновидностей микробов, таких как грамположительные и грамотрицательные бактерии (например, Pseudomonas aeruginosa, Escherichia coli, Staphylococcus aureus и Enterococcus hirae), которые могут загрязнять (заражать) молочный продукт.
Противомикробные органические кислоты являются предпочтительными дезинфицирующими средствами для использования в настоящем изобретении. Типичные противомикробные органические кислоты включают додецилбензолсульфоновую кислоту, нафталинсульфоновую кислоту, бензойную кислоту и короткоцепочечные жирные кислоты (такие как октановая кислота, декановая кислота, нонановая кислота), сульфированная олеиновая кислота, салициловая кислота и -оксикислоты (такие как молочная кислота и гликолевая кислота). Используемый здесь термин “короткоцепочечные жирные кислоты” относится к жирным кислотам, обычно имеющим от приблизительно 4-15 атомов углерода, предпочтительно приблизительно 6-12 атомов углерода и более предпочтительно приблизительно 8-10 атомов углерода. В различных предпочтительных вариантах используют смесь C8-C9 жирных кислот и C10-C12 жирных кислот. Дополнительные типичные короткоцепочечные жирные кислоты включают октановую кислоту (каприловую кислоту, C8-алкильный радикал), декановую кислоту (каприновая кислота, C10-алкильный радикал) и их смеси. Особенно предпочтительная смесь каприловой и каприновой кислот представляет собой 58/40 смесь, соответственно, которая также включает небольшие количества гексановой кислоты согласно Cognis Oleochemicals, производимой под названием EMERY 658.
Традиционные антибактериальные средства, подобные хлорфенолам (например, п-хлор-м-ксиленол (PCMX) и 2,4,4-трихлор-2-гидроксидифениловый эфир (Trichlosan)) и хлоргексидину, могут быть использованы в настоящем изобретении. Предпочтительные бактерицидные средства, используемые в заявляемых моющих средствах, также включают нетоксичные биодеградируемые одноатомные спирты, выбранные многоатомные спирты, ароматические и алифатические спирты. Предпочтительные одноатомные спирты выбирают из группы, состоящей из изопропилового, метилового, этилового, пропилового, изопропилового, н-бутилового, изобутилового, трет-бутилового, бензилового и аллилового спиртов и их смесей. Предпочтительные многоатомные спирты выбирают из группы, состоящей из пропиленгликоля, 1,3-пропандиола, 1,2-бутандиола, полиэтиленгликоля 400, глицерина и 1,4-бутандиола и их смесей.
В качестве антимикробных средств могут быть использованы не содержащие хлора отбеливатели, такие как кислородсодержащие отбеливающие вещества. Предпочтительные кислородсодержащие отбеливающие вещества включают органические и неорганические перкислородные отбеливатели и перкислоты, такие как гидропероксид, активированные гидропероксиды, подобно перуксусной кислоте, активированный перборат натрия с активатором, триацетилэтилендиамином (TAED); персульфаты щелочных металлов и перкарбонаты щелочных металлов. Используемый здесь термин “перкислородное соединение относится к любому соединению, имеющему формулу, включающую структуру -O-O-. Предпочтительные пероксикислоты для использования в настоящем изобретении имеют общую структуру R-COOOH, где R представляет собой C1-C18 замещенный или незамещенный, насыщенный или ненасыщенный, прямой, разветвленный или циклический алифатический алкил или ароматическую группу. Группы – заместители R могут включать -OH, -COOH или гетероатом (-O-, -S- и т.д.) – содержащие части до тех пор, пока они не оказывают существенного воздействия на антимикробные свойства составов. Особенно предпочтительные пероксикислоты выбирают из группы, состоящей из перокси-жирных кислот, моноперокси- или дипероксидикарбоновых кислот, пероксиароматических кислот, перуксусной кислоты и пербензойной кислоты. Как правило, эти типы дезинфицирующих средств проявляют наибольшее антибактериальное действие при более высоких температурах мойки.
Бронопол (2-бром-2-нитро-1,3-пропандиол), структура которого представлена ниже, представляет собой водорастворимый антимикробный консервант широкого спектра действия, который особенно эффективен против Pseudomonas aeruginosa.

Бронопол представляет собой формальдегид-высвобождающее средство, которое разлагается до формальдегида и соединений брома в нейтральных и щелочных рН условиях.
Другие предпочтительные антимикробные соединения включают некоторые продукты бигуанида, в особенности, поли(гексаметиленбигуанид) гидрохлорид (PHMB), хлоргексидин диацетат (СНА) и хлоргексидин диглюконат (CHG). Эти соединения являются высокоэффективными бактерицидными средствами широкого спектра действия, и они доступны от Avecia под названием VENTOCIL. Общие химические структуры для PHMB и CHG представлены ниже.

где nср = 12,
поли(гексаметиленбигуанид) гидрохлорид (PHMB)

хлоргексидин диглюконат (CHG)
Особенно предпочтительные бигуанидные составы для использования в качестве бактерицидных средств в соответствии с настоящим изобретением включают катионные составы, содержащие приблизительно 20% масс. PHMB, имеющие pH приблизительно 4,0-5,0, и составы, содержащие приблизительно 20% масс. CHG, имеющие pH приблизительно 5,5-7,0.
Неорганические соли, такие как хлорид натрия (NaCl), бикарбонат натрия (NaHCO3), нитрат натрия (NaNO3), нитрит натрия (NaNO2), бисульфит натрия (NaHSO3), сульфит натрия (Na2SO3), бисульфат натрия (NaHSO4), могут быть использованы в качестве противомикробных средств индивидуально или в комбинации с другими антимикробными средствами.
Для повышения бактерицидной активности и улучшения моющей рабочей характеристики в составы могут быть добавлены хелатообразователи. Типичные хелатообразователи включают этилендиаминтетрауксусную кислоту (EDTA), натриевую этилендиаминтетраацетатную соль (Na4-EDTA), фосфоновую кислоту, октилфосфоновую кислоту, акриловую кислоту, полиакриловую кислоту, аспарагиновую кислоту, салициловую кислоту, янтарную кислоту, винную кислоту, аскорбиновую кислоту, бензойную кислоту, бензоат натрия, п-оксибензойные кислоты и соответствующие сложные эфирные производные (парабаны).
Антибактериальная эффективность может быть дополнительно повышена, используя традиционные консерванты, такие как глутаральдегид (Ucarcide) и соединения четвертичного аммония.
Заявляемые моющие составы, описанные здесь, предпочтительно содержат вплоть до приблизительно 20% масс. антимикробного средства, более предпочтительно приблизительно 0,5-10% масс, еще более предпочтительно приблизительно 1-8% масс. и наиболее предпочтительно приблизительно 1,5-6% масс.
Таблица 11 иллюстрирует два состава в соответствии с настоящим изобретением: состав, содержащий антимикробное средство (смесь каприновой/каприловой кислот и пропиленгликоля), и состав без антимикробного средства и сравнивает эффективность очистки от молочного загрязнения каждым составом при различных температурах мойки и концентрациях. Оба состава обеспечивают превосходную очистку при мойках, осуществляемых при более высокой температуре.
Таблица 11 Сравнение между моющими средствами на основе (жирный алкил)диаминопропанов с и без дезинфицирующего состава |
| Компоненты/ряд составов |
147 |
148 |
 |
| Деионизированная вода |
21,85 |
66,6 |
| Уксусная кислота |
1 |
0,25 |
| Genamin OLP 100 |
0,15 |
0,15 |
| Plurafac LF-303 |
1,5 |
1 |
| Plurafac SLF-18B |
1,5 |
2 |
| Безводная лимонная кислота |
3 |
– |
| Фосфорная кислота (75%) Пищевое качество |
35 |
15 |
| Натрийксилолсульфонат (40%) |
30 |
– |
| Метансульфоновая кислота (70%) |
– |
15 |
| Каприновая/каприловая кислота (40/60) |
3 |
– |
| Пропиленгликоль |
3 |
– |
| Режим очистки/жесткая вода 400 ч/млн |
| Очистка молочного загрязнения, %; пленочное отложение: более высокое число = более хорошая очистка |
 |
% об/об |
25°C/8 мин |
30°C/8 мин |
40°C/8 мин |
60°C/8 мин |
| Сравниваемые продукты |
Концентрация |
Очистка |
Образование пленки |
Очистка |
Образование пленки |
Очистка |
Образование пленки |
Очистка |
Образование пленки |
| 147 |
0,40% |
38 |
1 |
44 |
1 |
77 |
1,5 |
98 |
3,5 |
| 148 |
0,50% |
70 |
1,5 |
75 |
2 |
90 |
2,5 |
97 |
4 |
| 0,40% |
67 |
1 |
69 |
1,5 |
88 |
2,5 |
96 |
4 |
| 0,30% |
59 |
1 |
71 |
2 |
86 |
2,5 |
90 |
2,5 |
| 0,25% |
53 |
1 |
64 |
2 |
86 |
2 |
92 |
2,5 |
Испытания бактерицидной эффективности
В нижеследующих примерах бактерицидную эффективность нескольких моющих составов, полученных в соответствии с настоящим изобретением, определяют согласно Basic Bactericidal Activity – Европейскому стандарту EN 1040 и Bactericidal Activity of Chemical Disinfectants and Antiseptics used in Food, Industrial, Domestic, and Industrial Areas – Европейскому стандарту EN 1276.
Европейский стандарт EN 1040 предлагает способ испытания с использованием суспензии бактерий для установления, удовлетворяет ли испытуемое химическое дезинфицирующее средство или антисептик определенным минимальным антимикробным критериям при использовании его при рекомендованной концентрации. Этот стандарт, в основном, ориентирован на сельскохозяйственную продукцию. Если продукт удовлетворяет минимальным требованиям испытания для регулятивных целей, то считают, что он обладает бактерицидной функциональностью. Продукт может демонстрировать 105 уменьшение (5 log уменьшение, т.е. на 99,999% уменьшение) в количестве жизнеспособных микроорганизмов для Pseudomonas aeruginosa (ATCC 15442) и Staphylococcus aureus (ATCC 6538).
В этом тесте суспензию бактерий добавляют к полученному образцу моющего состава, подлежащего испытанию. Смесь выдерживают при 20°C. По истечении заданного периода времени контакта (5 мин) отбирают аликвоту и в этой порции сразу нейтрализуют или подавляют бактерицидное действие известным обоснованным способом (т.е. методом разведения-нейтрализации). Используемая нейтрализующая композиция включает 3 г лецитина, 30 г полисорбата, 80,5 г тиосульфата натрия, 1 г хлоргидрата L-гистидина, 30 г сапонина, QS (достаточное количество) дистиллированной воды до 500 мл, 10 мл 0,25M фосфатного буфера и достаточное количество дистиллированной воды до 1000 мл.
В таблицах 12-21 представлены результаты теста EN 1040 для ряда различных составов, полученных согласно данному изобретению. Важно отметить, что тест EN 1040 осуществляют при 20°C, тогда как на практике моющие составы обычно используют при более высоких температурах (предпочтительно приблизительно 60°C). Поэтому даже если моющий состав не проходит тест EN 1040, он может все же дать 5 log уменьшение по количеству жизнеспособных микроорганизмов при использовании его при более высоких температурах.
Таблица 12 Данные по очищающей характеристике и бактерицидной активности моющих средств |
| Компоненты/ряд составов |
151 |
152 |
153 |
154 |
| Деионизированная вода |
37,85 |
36,85 |
36,85 |
36,85 |
| Уксусная кислота |
1 |
1 |
1 |
1 |
| Duomeen SV |
0,15 |
0,15 |
0,15 |
0,15 |
| Plurafac LF-303 |
1,5 |
1,5 |
1,5 |
1,5 |
| Plurafac S305-LF |
1,5 |
1,5 |
1,5 |
1,5 |
| Безводная лимонная кислота |
3 |
3 |
3 |
3 |
| Фосфорная кислота (75%) |
55 |
55 |
55 |
55 |
| Азотная кислота (70%) |
– |
– |
– |
– |
| NaHSO4 |
– |
– |
– |
– |
| Ventocil P (20%) |
– |
– |
– |
– |
| Молочная кислота |
– |
1 |
– |
– |
| Гликолевая кислота |
– |
– |
1 |
– |
| Натриевая соль полиаспарагиновой кислоты |
– |
– |
– |
1 |
| Бронопол |
– |
– |
– |
– |
 |
| Однородность продукта |
Прозрачная фаза |
Прозрачная фаза |
Прозрачная фаза |
Прозрачная фаза |
| рН: неразб.(°C) |
0,91 (27,1) |
0,95 (27,6) |
0,97 (26,6) |
0,93 (27,5) |
| Удельный вес, г/мл |
1,307 |
1,31 |
1,312 |
1,312 |
| Режим очистки |
| Рабочая концентрация, г/л |
5 г/л |
5 г/л |
5 г/л |
5 г/л |
| Температура мойки, °С |
60 |
61 |
61 |
61 |
| Очистка молочного загрязнения/жесткая вода (HW) 400 ч/млн, % |
96 |
98 |
97 |
97 |
| Контроль – стиральный хлорщелочной порошок @ 2 г/л, % |
95 |
95 |
95 |
95 |
| Отчет испытания EN 1040 на бактериальную активность |
| Pseudomonas Aeruginosa |
Уменьшение |
Уменьшение |
Уменьшение |
Уменьшение |
| Рабочая концентрация -0,5% |
<0,6×104 |
<0,6×104 |
>1,3×105 |
>1,3×105 |
| Рабочая концентрация -1,0% |
<0,8×104 |
<0,6×104 |
>1,3×105 |
>1,3×105 |
| Рабочая концентрация -2,0% |
>1,1×105 |
>1,1×105 |
>1,3×105 |
>1,3×105 |
| Staphylococcus aureus |
Уменьшение |
Уменьшение |
Уменьшение |
Уменьшение |
| Рабочая концентрация -0,5% |
<0,9×104 |
<0,9×104 |
<0,8×104 |
<0,8×104 |
| Рабочая концентрация -1,0% |
<0,9×104 |
<0,9×104 |
<0,8×104 |
<0,8×104 |
| Рабочая концентрация -2,0% |
<0,9×104 |
<0,9×104 |
<0,8×104 |
<0,8×104 |
Оценка пенообразования – Молочная трубопроводная линия |
Приемлемый |
Приемлемый |
Приемлемый |
Приемлемый |
Таблица 12 Данные по очищающей характеристике и бактерицидной активности моющих средств |
| Компоненты/ряд составов |
155 |
156 |
157 |
158 |
| Деионизированная вода |
36,85 |
30,85 |
36,85 |
34,85 |
| Уксусная кислота |
1 |
1 |
1 |
1 |
| Duomeen SV |
0,15 |
0,15 |
0,15 |
0,15 |
| Plurafac LF-303 |
1,5 |
1,5 |
1,5 |
1,5 |
| Plurafac S305-LF |
1,5 |
1,5 |
1,5 |
1,5 |
| Безводная лимонная кислота |
3 |
3 |
3 |
3 |
| Фосфорная кислота (75%) |
55 |
55 |
55 |
55 |
| Азотная кислота (70%) |
– |
– |
1 |
– |
| NaHSO4 |
– |
– |
– |
3 |
| Ventocil P (20%) |
– |
7 |
– |
– |
| Молочная кислота |
– |
– |
– |
– |
| Гликолевая кислота |
– |
– |
– |
– |
| Натриевая соль полиаспарагиновой кислоты |
– |
– |
– |
– |
| Бронопол |
1 |
– |
– |
– |
 |
| Однородность продукта |
Прозрачная фаза |
Прозрачная фаза |
Прозрачная фаза |
Прозрачная фаза |
| рН: неразб. (°C) |
0,74 (23,7) |
0,76 (24,8) |
0,77 (24,5) |
0,74 (23,9) |
| Удельный вес, г/мл |
1,317 |
1,313 |
1,314 |
1,341 |
| Режим очистки |
| Рабочая концентрация, г/л |
5 г/л |
5 г/л |
5 г/л |
5 г/л |
| Температура мойки, °С |
61 |
61 |
60 |
61 |
| Очистка молочного загрязнения/жесткая вода 400 ч/млн, % |
97 |
99 |
96 |
98 |
| Контроль – стиральный хлорщелочной порошок @ 2 г/л, % |
95 |
95 |
95 |
95 |
| Отчет испытания EN 1040 на бактериальную активность |
| Pseudomonas Aeruginosa |
Уменьшение |
Уменьшение |
Уменьшение |
Уменьшение |
| Рабочая концентрация -0,5% |
<0,8×104 |
>1,9×105 |
>1,9×105 |
>0,8×104 |
| Рабочая концентрация -1,0% |
<0,8×104 |
>1,9×105 |
>1,9×105 |
>1,5×105 |
| Рабочая концентрация -2,0% |
>1,5×105 |
>1,9×105 |
>1,9×105 |
>1,5×105 |
| Staphylococcus аureus |
Уменьшение |
Уменьшение |
Уменьшение |
Уменьшение |
| Рабочая концентрация -0,5% |
<0,8×104 |
<0,6×104 |
<0,6×104 |
<0,8×104 |
| Рабочая концентрация -1,0% |
<0,8×104 |
<0,6×104 |
<0,6×104 |
<0,8×104 |
| Рабочая концентрация -2,0% |
<0,8×104 |
<0,6×104 |
<0,6×104 |
<0,8×104 |
Оценка пенообразования – Молочная трубопроводная линия |
Приемлемый |
Приемлемый |
Приемлемый |
Приемлемый |
Таблица 13 Данные очищающей характеристики и бактерицидной активности моющих средств |
| Компоненты/ряд составов |
159 |
160 |
161 |
| Деионизированная вода |
36,85 (34,85) |
36,85 (43,85) |
30,85 (27,85) |
| Уксусная кислота |
1 |
1 |
1 |
| Duomeen О |
– |
– |
– |
| Duomeen SV |
0,15 |
0,15 |
0,15 |
| Plurafac SLF-18B |
– |
– |
– |
| Plurafac LF-4030 (Defoamer) |
– |
– |
– |
| Plurafac LF-303 |
1,5 |
1,5 |
1,5 |
| Plurafac S305-LF |
1,5 |
1,5 |
1,5 |
| Безводная лимонная кислота |
3 |
3 |
3 |
| Фосфорная кислота (75%) |
55 |
55 |
55 |
| Октансульфонат натрия (30%) |
– |
– |
– |
| NaHSO4 |
– |
– |
– |
| Ventocil P (20%) |
– |
– |
7,00 (10,00) |
| Гликолевая кислота |
1,00 (3,00) |
– |
– |
| Азотная кислота (70%) |
– |
1,00 (3,00) |
– |
| рН: неразб. (°C) |
0,97 (0,82) |
0,93 (0,95) |
0,76 (0,82) |
| Удельный вес, г/мл |
1,310 (1,321) |
1,312 (1,318) |
1,313 (1,315) |
| Режим очистки |
| Рабочая концентрация, г/л |
5 г/л |
5 г/л |
5 г/л |
Температура мойки, С |
60 (61) |
60 (61) |
60 (61) |
| Очистка молочного загрязнения/жесткая вода 400 ч/млн, % |
99 (96) |
97 (97) |
99 (97) |
| Контроль – стиральный хлорщелочной порошок @ 2 г/л, % |
98 (95) |
98 (95) |
98 (95) |
| Отчет испытания EN 1040 на бактериальную активность |
| Pseudomonas Aeruginosa |
Уменьшение |
Уменьшение |
Уменьшение |
| Рабочая концентрация -0,5% |
<1,3 (1,8)×105 |
<1,3 (1,3)×105 |
<1,9 (1,3)×105 |
| Рабочая концентрация -1,0% |
<1,3 (1,8)×105 |
<1,3 (1,3)×105 |
<1,9 (1,3)×105 |
| Рабочая концентрация -2,0% |
<1,3 (1,8)×105 |
<1,3 (1,3)×105 |
<1,9 (1,3)×105 |
| Staphylococcus aureus |
Уменьшение |
Уменьшение |
Уменьшение |
| Рабочая концентрация -0,5% |
<0,8 (0,7)×104 |
<0,8 (0,7)×104 |
<0,6 (0,7)×104 |
| Рабочая концентрация -1,0% |
<0,8 (0,7)×104 |
<0,8 (0,7)×104 |
<0,6 (0,7)×104 |
| Рабочая концентрация -2,0% |
<0,8 (0,7)×104 |
<0,8 (0,7)×104 |
<0,6 (0,7)×104 |
Оценка пенообразования- Молочная трубопроводная линия |
Приемлемый |
Приемлемый |
Приемлемый |
Таблица 13 Данные очищающей характеристики и бактерицидной активности моющих средств (продолжение) |
| Компоненты/ряд составов |
162 |
163 |
164 |
165 |
| Деионизированная вода |
36,85 (35,85) |
38 |
27 |
48,5 |
| Уксусная кислота |
1 |
– |
– |
1,5 |
| Duomeen О |
– |
– |
– |
3 |
| Duomeen SV |
0,15 |
– |
– |
– |
| Plurafac SLF-18B |
– |
2 |
2 |
– |
| Plurafac LF-4030 (Defoamer) |
– |
– |
– |
3 |
| Plurafac LF-303 |
1,5 |
– |
– |
– |
| Plurafac S305-LF |
1,5 |
– |
– |
– |
| Безводная лимонная кислота |
3 |
3 |
3 |
3 |
| Фосфорная кислота (75%) |
55 |
43 |
43 |
43 |
| Октансульфонат натрия (30%) |
– |
9 |
21 |
– |
| NaHSO4 |
– |
5 |
2 |
– |
| Ventocil P (20%) |
– |
– |
2 |
– |
| Гликолевая кислота |
– |
– |
– |
– |
| Азотная кислота (70%) |
1,00 (2,00) |
– |
– |
– |
| рН: неразб. (°C) |
0,77 (0,78) |
– |
– |
 |
| Удельный вес, г/мл |
1,312 (1,318) |
– |
– |
– |
| Режим очистки |
| Рабочая концентрация, г/л |
5 г/л |
5 г/л |
5 г/л |
5 г/л |
| Температура мойки, °С |
60 (61) |
61 |
61 |
61 |
| Очистка молочного загрязнения/жесткая вода 400 ч/млн, % |
96 (96) |
99 |
98 |
100 |
| Контроль – стиральный хлорщелочной порошок @ 2 г/л, % |
98 (95) |
98 |
98 |
98 |
| Отчет испытания EN 1040 на бактериальную активность |
| Pseudomonas Aeruginosa |
Уменьшение |
Уменьшение |
Уменьшение |
Уменьшение |
| Рабочая концентрация -0,5% |
<1,9 (1,8)×105 |
>1,5×105 |
>1,5×105 |
>1,3×105 |
| Рабочая концентрация -1,0% |
<1,9 (1,8)×105 |
>1,5×105 |
>1,5×105 |
>1,3×105 |
| Рабочая концентрация -2,0% |
<1,9 (1,8)×105 |
>1,5×105 |
>1,5×105 |
>1,3×105 |
| Staphylococcus aureus |
Уменьшение |
Уменьшение |
Уменьшение |
Уменьшение |
| Рабочая концентрация-0,5% |
<0,6 (0,7)×104 |
<0,5×105 |
<0,6×104 |
<0,6×104 |
| Рабочая концентрация-1,0% |
<0,6 (0,7)×104 |
>1,2×105 |
0,3×105 |
1,2×104 |
| Рабочая концентрация-2,0% |
<0,6 (0,7)×104 |
>1,2×105 |
>1,2×105 |
>1,2×105 |
Оценка пенообразования- Молочная трубопроводная линия |
Приемлемый |
– |
– |
Приемлемый |
Таблица 14 Данные очищающей характеристики и бактерицидной активности моющих средств |
| Компоненты/состав |
166 |
167 |
168 |
169 |
170 |
171 |
172 |
173 |
174 |
175 |
176 |
177 |
| Деионизированная вода |
38 |
20 |
18,85 |
38,35 |
38,35 |
18,85 |
19,85 |
33,35 |
38,35 |
36,85 (35,85) |
36,85 (35,85) |
27 |
| Уксусная кислота |
– |
– |
1 |
1 |
1 |
1 |
1 |
1 |
1 |
1 |
1 |
– |
| Duomeen 0 |
– |
– |
– |
– |
– |
– |
– |
– |
– |
– |
– |
– |
| Duomeen SV |
– |
– |
0,15 |
0,15 |
0,15 |
0,15 |
0,15 |
0,15 |
0,15 |
0,15 |
0,15 |
– |
| Plurafac SLF-18B |
2 |
3 |
– |
– |
3 |
3 |
2 |
3 |
2 |
– |
– |
2 |
| Plurafac LF-303 |
– |
– |
1,5 |
1,5 |
– |
– |
– |
– |
– |
1,5 |
1,5 |
– |
| Plurafac S305-LF |
– |
– |
1,5 |
1,5 |
– |
– |
– |
– |
– |
1,5 |
1,5 |
– |
| Безводная лимонная кислота |
3 |
3 |
3 |
3 |
3 |
3 |
3 |
3 |
3 |
3 |
3 |
3 |
| Фосфорная кислота (75%) |
43 |
43 |
43 |
43 |
43 |
43 |
43 |
43 |
43 |
55 |
55 |
43 |
| Октансульфонат натрия (30%) |
9 |
– |
– |
– |
– |
– |
– |
– |
– |
– |
– |
21 |
| Натрийксилолсульфонат (40%) |
– |
26 |
26 |
– |
– |
26 |
26 |
– |
– |
– |
– |
– |
| Серная кислота (98%) |
– |
– |
– |
1 |
10 |
– |
– |
15 |
10 |
– |
– |
– |
| NaHSO4 |
5 |
5 |
5 |
– |
– |
5 |
5 |
– |
– |
– |
– |
2 |
| Ventocil P (20%) |
– |
– |
– |
– |
– |
– |
– |
– |
– |
– |
– |
2 |
| Гликолевая кислота |
– |
– |
– |
1,5 |
1,5 |
– |
– |
1,5 |
1,5 |
– |
– |
– |
| Азотная кислота (70%) |
– |
– |
– |
– |
– |
– |
– |
– |
– |
1,00 (2,00) |
1,00 (2,00) |
– |
| Однородность продукта |
Прозрачный |
Прозрачный/ Замутненный |
Прозрачный |
Прозрачный |
Замутненный |
Замутненный/ Пленка на поверхности |
Прозрачный |
Замутненный |
Замутненный/ Пленка на поверхности |
Прозрачный |
Прозрачный |
Прозрачный |
| рН: неразб. (°C) |
– |
0,83 |
0,82 |
0,63 |
0,69 |
0,66 |
0,61 |
0,61 |
0,54 |
0,77 (0,78) |
0,77 (0,78) |
– |
| Удельный вес, г/мл |
1,28 |
1,3322 |
1,3479 |
1,3277 |
1,3271 |
1,3464 |
1,3464 |
1,3708 |
1,3263 |
1,312 (1,318) |
1,312 (1,318) |
1,26 |
| Режим очистки |
| Рабочая концентрация, г/л |
5 г/л |
5 г/л |
5 г/л |
5 г/л |
5 г/л |
5 г/л |
5 г/л |
5 г/л |
5 г/л |
5 г/л |
5 г/л |
5 г/л |
| Температура мойки, °С |
61 |
60 |
60 |
60 |
60 |
60 |
60 |
60 |
60 |
60 (61) |
60 (61) |
61 |
| Очистка молочного загрязнения/жесткая вода 400 ч/млн, % |
99 |
93(99) |
93(98) |
94(96) |
97 |
99 |
96 |
97 |
97 |
96 (96) |
96 (96) |
98 |
| Контроль – стиральный хлорщелочной порошок @ 2 г/л, % |
98 |
98 |
98 |
98 |
98 |
98 |
98 |
98 |
98 |
98 (95) |
98 (95) |
98 |
| Отчет испытания EN 1040 на бактериальную активность |
| Pseudomonas аeruginosa |
Уменьшение |
| Рабочая концентрация – 0,5% |
>1,5×105 |
>1,3×105 |
>1,3×105 |
>1,3×105 |
>1,3×105 |
>1,3×105 |
>1,3×105 |
>1,3×105 |
>1,3×105 |
>1,9(1,8)×105 |
>1,9 (1,8)×105 |
>1,5×105 |
| Рабочая концентрация – 1,0% |
>1,5×105 |
>1,3×105 |
>1,3×105 |
>1,3×105 |
>1,3×105 |
>1,3×105 |
>1,3×105 |
>1,3×105 |
>1,3×105 |
>1,9(1,8)×105 |
>1,9 (1,8)×105 |
>1,5×105 |
| Рабочая концентрация – 2,0% |
>1,5×105 |
>1,3×105 |
>1,3×105 |
>1,3×105 |
>1,3×105 |
>1,3×105 |
>1,3×105 |
>1,3×105 |
>1,3×105 |
>1,9 (1,8)×105 |
>1,9 (1,8)×105 |
>1,5×105 |
| Staphylococcus Aureus |
Уменьшение |
| Рабочая концентрация – 0,5% |
<0,5×105 |
0,11×105 |
<0,06×105 |
<0,06×105 |
<0,07×105 |
<0,06×105 |
<0,06×105 |
<0,07×105 |
<0,07×105 |
<0,06 (0,7) x104 |
>1,3 (>1,3) ×105 |
<0,06×105 |
| Рабочая концентрация – 1,0% |
>1,2×105 |
>1,2×105 |
>1,2×105 |
0,21×105 |
0,24×105 |
>1,2×l05 |
0,3×105 |
0,3×105 |
0,30×1 05 |
<0,06 (0,7) ×l04 |
>1,3 (>1,3) ×105 |
0,30×105 |
| Рабочая концентрация – 2,0% |
>1,2×105 |
>1,2×105 |
>1,0×105 |
>1,3×105 |
>1,3×10s |
>1,2×105 |
0,2×105 |
1,1×105 |
>1,3×10s |
<0,06 (0,7) ×104 |
>1,3 (>1,3) ×105 |
>1,2×105 |
| Оценка пенообразования |
Недопустимый |
Приемлемый |
Приемлемый |
Приемлемый |
Приемлемый |
Приемлемый |
Приемлемый |
Приемлемый |
Приемлемый |
Приемлемый |
Приемлемый |
Недопустимый |
Таблица 15 Данные очищающей характеристики и бактерицидной активности моющих средств |
| Компоненты/состав |
178 |
179 |
180 |
181 |
182 |
183 |
184 |
185 |
186 |
187 |
188 |
| Деионизированная вода |
45 |
44 |
42,5 |
46 |
43 |
48,5 |
50 |
38 |
45 |
48 |
47 |
| Уксусная кислота |
1 |
1 |
1,5 |
– |
1 |
1,5 |
– |
– |
1 |
– |
1 |
| Duomac Т (диацетаты) |
– |
– |
– |
3 |
3 |
– |
2 |
– |
– |
2 |
– |
| Plurafac SLF-18B |
– |
– |
– |
– |
– |
– |
– |
2 |
2 |
2 |
 |
| Plurafac LF-4030 (противовспенивающее средство) |
2 |
3 |
3 |
3 |
3 |
3 |
– |
– |
– |
– |
– |
| Безводная лимонная кислота |
3 |
3 |
3 |
3 |
3 |
3 |
3 |
3 |
3 |
3 |
3 |
| Фосфорная кислота (75%) |
43 |
43 |
43 |
43 |
43 |
43 |
43 |
43 |
43 |
43 |
43 |
| Натрийоктансульфонат (30%) |
– |
– |
– |
– |
– |
– |
– |
9 |
– |
– |
– |
| NaHSO4 |
2 |
2 |
2 |
 |
2 |
– |
– |
5 |
2 |
2 |
2 |
| Ventocil P (20%) |
2 |
2 |
2 |
2 |
2 |
– |
2 |
– |
2 |
2 |
2 |
| Режим очистки |
| Рабочая концентрация, г/л |
5 г/л |
5 г/л |
5 г/л |
5 г/л |
5 г/л |
5 г/л |
5 г/л |
5 г/л |
5 г/л |
 |
5 г/л |
| Температура мойки, °С |
61 |
61 |
61 |
61 |
61 |
61 |
61 |
61 |
61 |
61 |
60 |
| Очистка молочного загрязнения/жесткая вода 400 ч/млн, % |
100 |
99 |
100 |
100 |
100 |
100 |
100 |
99 |
99 |
99 |
100 |
| Контроль – стиральный хлорщелочной порошок @ 2 г/л, % |
98 |
98 |
98 |
98 |
98 |
98 |
98 |
98 |
98 |
98 |
98 |
| Отчет испытания EN 1040 на бактериальную активность |
| Pseudomonas Aeruginosa |
Уменьшение |
Уменьшение |
Уменьшение |
Уменьшение |
Уменьшение |
Уменьшение |
Уменьшение |
Уменьшение |
Уменьшение |
Уменьшение |
Уменьшение |
| Рабочая концентрация – 0,5% |
>1,3×105 |
>1,3×105 |
>1,3×105 |
>1,3×105 |
>1,3×105 |
>1,3×105 |
>1,0×105 |
>1,5×105 |
>1,5×105 |
>1,3×105 |
>1,3×105 |
| Рабочая концентрация – 1,0% |
>1,3×105 |
>1,3×105 |
>1,3×105 |
>1,3×105 |
>1,3×105 |
>1,3×105 |
>1,0×105 |
>1,5×105 |
>1,5×105 |
>1,3×105 |
>1,3×105 |
| Рабочая концентрация – 2,0% |
>1,3×105 |
>1,3×105 |
>1,3×105 |
>1,3×105 |
>1,3×105 |
>1,3×105 |
>1,0×105 |
>1,5×105 |
>1,5×105 |
>1,3×105 |
>1,3×105 |
| Staphylococcus Aureus |
Уменьшение |
Уменьшение |
Уменьшение |
Уменьшение |
Уменьшение |
Уменьшение |
Уменьшение |
Уменьшение |
Уменьшение |
Уменьшение |
Уменьшение |
| Рабочая концентрация – 0,5% |
<0,8×104 |
<0,7×104 |
<0,7×104 |
<0,7×104 |
<0,6×104 |
<0,6×104 |
<0,9×104 |
<0,5×105 |
<0,6×104 |
>1,3×104 |
>1,3×104 |
| Рабочая концентрация – 1,0% |
<0,8×104 |
<0,7×104 |
<0,7×104 |
<0,7×104 |
<0,6×104 |
1,2×104 |
<0,9×104 |
>1,2×105 |
<0,6×104 |
>1,3×104 |
>1,3×104 |
| Рабочая концентрация – 2,0% |
<0,8×104 |
<0,7×104 |
<0,7×104 |
<0,7×104 |
<0,6×104 |
>1,2×105 |
<0,9×104 |
>1,2×105 |
<0,6×104 |
>1,3×104 |
>1,3×104 |
Оценка пенообразования- Молочная трубопроводная линия |
Недопустимый |
Недопустимый |
– |
– |
– |
– |
– |
Недопустимый |
– |
Недопустимый |
Недопустимый |
Таблица 16 Данные очищающей характеристики и бактерицидной активности моющих средств |
| Компоненты/состав |
189 |
190 |
191 |
192 |
193 |
194 |
| Деионизированная вода |
41,85 |
51,85 |
42,85 |
23,85 |
23,85 |
 |
| Уксусная кислота |
1 |
1 |
1 |
1 |
1 |
1 |
| Duomeen SV |
0,15 |
0,15 |
0,15 |
0,15 |
0,15 |
0,15 |
| Plurafac SLF-18B |
1,5 |
1,5 |
1,5 |
2 |
2 |
2 |
| Plurafac LF-303 |
1,5 |
1,5 |
1,5 |
1 |
1 |
1 |
| Безводная лимонная кислота |
3 |
3 |
3 |
3 |
3 |
3 |
| Фосфорная кислота (75%) |
35 |
35 |
35 |
35 |
35 |
35 |
| Пропиленгликоль |
3 |
3 |
3 |
3 |
3 |
3 |
| Натрийксилолсульфонат (40%) |
– |
– |
– |
26 |
26 |
26 |
| NaHSO4 |
10 |
– |
10 |
5 |
5 |
– |
| Triameen Y12D |
3 |
3 |
2 |
– |
– |
– |
| Однородность продукта |
Прозрачный |
Прозрачный |
Прозрачный |
Прозрачный |
Прозрачный |
Прозрачный |
| Температура мойки, °С/минуты |
40/8 |
40/8 |
40/8 |
40/8 |
40/8 |
40/8 |
| Очистка молочного загрязнения/жесткая вода 400 ч/млн, % (пленка) |
85/82 (+4/3) |
94 (+5) |
83(+3) |
82 (+l)/7l (+2)/81 (+l) |
88 (+3)/82 (+3) |
92 (+5) |
| Контроль – стиральный хлорщелочной порошок @ 2 г/л, % (ср. 3) |
62/61 (станд./станд.) |
62/61 (станд./станд.) |
62/61 (станд./станд.) |
62/61 (станд./станд.) |
62/61 (станд./станд.) |
62/61 (станд./станд.) |
| Pseudomonas Aeruginosa |
Уменьшение |
Уменьшение |
Уменьшение |
Уменьшение |
Уменьшение |
Уменьшение |
| Рабочая концентрация – 0,5% |
>1,6×105 |
>1,6×105 |
>1,6×105 |
>1,2×105 |
>1,5×105 |
>1,5×105 |
| Рабочая концентрация – 1,0% |
>1,6×105 |
>1,6×105 |
>1,6×105 |
>1,2×105 |
>1,5×105 |
>1,5×105 |
| Рабочая концентрация – 2,0% |
>1,6×105 |
>1,6×105 |
>1,6×105 |
>1,2×105 |
>1,5×105 |
>1,5×105 |
| Staphylococcus Aureus |
Уменьшение |
Уменьшение |
Уменьшение |
Уменьшение |
Уменьшение |
Уменьшение |
| Рабочая концентрация – 0,5% |
<0,8×104 |
<0,7×104 |
<0,8×104 |
<0,7×104 |
<0,57×104 |
<0,57×104 |
| Рабочая концентрация – 1,0% |
<0,8×104 |
<0,7×104 |
<0,8×104 |
<0,7×104 |
0,71×105 |
<0,57×104 |
| Рабочая концентрация – 2,0% |
<0,8×104 |
<0,7×104 |
<0,8×104 |
0,7×104 |
1,1×105 |
>1,1×105 |
Оценка пенообразования- Молочная трубопроводная линия |
Приемлемый |
Приемлемый |
Приемлемый |
Приемлемый |
Приемлемый |
Приемлемый |
Таблица 17 Данные очищающей характеристики и бактерицидной активности моющих средств (продолжение) |
| Компоненты/ряд составов |
195 |
196 |
197 |
198 |
199 |
200 |
201 |
| Деионизированная вода |
26,85 |
20,85 |
15,85 |
18,85 |
24,85 |
23,85 |
31,85 |
| Уксусная кислота |
1 |
1 |
1 |
1 |
1 |
1 |
1 |
| Duomeen SV |
0,15 |
0,15 |
0,15 |
0,15 |
0,15 |
0,15 |
0,15 |
| Plurafac SLF-18B |
2 |
2 |
2 |
2 |
2 |
2 |
2 |
| Plurafac LF-303 |
1 |
1 |
1 |
1 |
1 |
1 |
1 |
| Безводная лимонная кислота |
– |
3 |
3 |
3 |
3 |
3 |
3 |
| Фосфорная кислота (75%) |
35 |
43 |
43 |
43 |
35 |
35 |
20 |
| Пропиленгликоль |
3 |
3 |
3 |
3 |
3 |
3 |
3 |
| Натрийксилолсульфонат (40%) |
26 |
26 |
26 |
26 |
28 |
28 |
30 |
| NaHSO4 |
5 |
– |
5 |
5 |
– |
– |
– |
| Сульфаминовая кислота |
– |
– |
5 |
– |
– |
– |
5 |
| Каприновая/каприловая кислота (40/60) |
– |
– |
– |
– |
2 |
3 |
3 |
| Однородность продукта |
Прозрачный |
Прозрачный |
Прозрачный |
Прозрачный |
Прозрачный |
Прозрачный |
Прозрачный |
| Температура мойки, °С/минуты |
40/8 |
40/8 |
40/8 |
40/8 |
40/8 |
40/8 |
40/8 |
| Очистка молочного загрязнения/жесткая вода 400 ч/млн, % (пленка) |
68 (+4)/82 (+2) |
87 (+5)/96 (+4) |
75(+2) |
81 (+2) |
68 (+4)/82(+2) |
87 (+5)/96(+4) |
75 (+2) |
| Контроль – стиральный хлорщелочной порошок @ 2 г/л, % (ср. 3) |
62/61 (станд./станд.) |
62/61 (станд./станд.) |
62/61 (станд./станд.) |
62/61 (станд./станд.) |
62/61 (станд./станд.) |
62/61 (станд./станд.) |
62/61 (станд./станд.) |
| Pseudomonas Aeruginosa |
Уменьшение |
Уменьшение |
Уменьшение |
Уменьшение |
Уменьшение |
Уменьшение |
Уменьшение |
| Рабочая концентрация – 0,5% |
>1,2×105 |
>1,5×105 |
>1,5×105 |
>1,2×105 |
>1,5×105 |
>1,5×105 |
>1,3×105 |
| Рабочая концентрация – 1,0% |
>1,2×105 |
>1,5×105 |
>1,5×105 |
>1,2×105 |
>1,5×105 |
>1,5×105 |
>1,3×105 |
| Рабочая концентрация – 2,0% |
>1,2×105 |
>1,5×105 |
>1,5×105 |
>1,2×105 |
>1,5×105 |
>1,5×105 |
>1,3×105 |
| Staphylococcus aureus |
Уменьшение |
Уменьшение |
Уменьшение |
Уменьшение |
Уменьшение |
Уменьшение |
Уменьшение |
| Рабочая концентрация – 0,5% |
<0,7×104 |
<0,57×104 |
<0,57×104 |
<0,7×104 |
0,64×105 |
>1,9×105 |
>1,9×105 |
| Рабочая концентрация – 1,0% |
<0,7×104 |
0,85×104 |
0,71×105 |
0,28×105 |
>1,9×105 |
>1,9×105 |
>1,9×105 |
| Рабочая концентрация – 2,0% |
>1,4×105 |
>1,1×105 |
>1,1×105 |
0,11×105 |
>1,9×105 |
>1,9×105 |
>1,9×105 |
| Оценка пенообразования – Молочная трубопроводная линия |
Приемлемый |
Приемлемый |
Приемлемый |
Приемлемый |
Приемлемый |
Приемлемый |
Приемлемый |
Таблица 18 Данные очищающей характеристики и бактерицидной активности моющих средств |
| Компоненты/ряд составов |
202 |
203 |
204 |
205 |
206 |
207 |
| Деионизированная вода |
33,1 |
20,6 |
34,85 |
34,85 |
27,85 |
35,85 |
| Уксусная кислота |
0,25 |
0,25 |
1 |
1 |
1 |
1 |
| Duomeen S/SV |
– |
– |
0,15 |
0,15 |
0,15 |
0,15 |
| Duomeen Т |
0,15 |
0,15 |
– |
– |
– |
– |
| Plurafac LF-303 |
1 |
1 |
1,5 |
1,5 |
1,5 |
1,5 |
| Plurafac S305-LF |
– |
– |
1,5 |
1,5 |
1,5 |
1,5 |
| Plurafac SLF-18B |
1 |
1 |
– |
– |
– |
– |
| Безводная лимонная кислота |
0 |
3 |
3 |
3 |
3 |
3 |
Фосфорная кислота (75%) Пищевое качество |
16 |
20 |
55 |
55 |
55 |
55 |
| Азотная кислота (70%) |
– |
– |
 |
– |
– |
2 |
| Ventocil P (20%) |
– |
– |
– |
– |
10 |
– |
| Гликолевая кислота |
– |
– |
3 |
– |
– |
– |
| Натриевая соль полиаспарагиновой кислоты (40%) |
– |
– |
– |
3 |
– |
– |
| Натрийксилолсульфонат (40%) |
35,5 |
36 |
– |
– |
– |
– |
| Метансульфоновая кислота (70%) |
10 |
15 |
– |
– |
– |
– |
| Жирная кислота 658 Emery |
3 |
3 |
– |
– |
– |
– |
| Однородность продукта |
Прозрачный |
Прозрачный |
Прозрачная фаза |
Прозрачная фаза |
Прозрачная фаза |
Прозрачная фаза |
| рН: неразб. (°C)/мойка рН @ жесткая вода 400 ч/млн |
0,32 |
0,18 |
0,82 (25,0)/1,94 |
0,95 (25,6)71,94 |
0,82 (26,0)/1,96 |
0,78 (24,7)/1,91 |
| Удельный вес (23,6°С), г/мл |
1,182 |
1,238 |
1,321 |
1,318 |
1,315 |
1,318 |
| Характеристика очистки, рабочая концентрация 5 г/л |
| Температура мойки, 60°С/8 мин |
– |
97,85 |
– |
– |
– |
– |
| Температура мойки, 40°С/8 мин |
71,3 |
79,11 |
– |
– |
– |
: |
| Рабочая концентрация, г/л |
– |
– |
5 г/л |
5 г/л |
5 г/л |
5 г/л |
| Температура мойки, °С |
– |
– |
60 |
61 |
61 |
60 |
| Очистка молочного загрязнения/жесткая вода 400 ч/млн, % |
– |
– |
96 |
97 |
97 |
96 |
| Контроль – стиральный хлорщелочной порошок @ 2 г/л, % |
– |
– |
95 |
95 |
95 |
95 |
| Бактериальная активность – Отчет испытания EN 1040 |
| Pseudomonas Aeruginosa |
Уменьшение |
Уменьшение |
Уменьшение |
Уменьшение |
Уменьшение |
Уменьшение |
| Рабочая концентрация – 0,5% |
>1,3×105 |
>1,3×105 |
>1,8×105 |
>1,3×105 |
>1,3×105 |
>1,8×105 |
| Рабочая концентрация – 1,0% |
>1,3×105 |
>1,3×105 |
>1,8×105 |
>1,3×105 |
>1,3×105 |
>1,8×105 |
| Рабочая концентрация – 2,0% |
>1,3×105 |
>1,3×105 |
>1,8×105 |
>1,3×105 |
>1,3×105 |
>1,8×105 |
| Staphylococcus aureus |
Уменьшение |
Уменьшение |
Уменьшение |
Уменьшение |
Уменьшение |
Уменьшение |
| Рабочая концентрация – 0,5% |
>1,9×105 |
>1,3×105 |
<0,7×104 |
<0,7×104 |
<0,7×104 |
<0,7×104 |
| Рабочая концентрация – 1,0% |
>1,9×105 |
>1,9×105 |
<0,7×104 |
<0,7×104 |
<0,7×104 |
<0,7×104 |
| Рабочая концентрация – 2,0% |
>1,9×105 |
>1,9×105 |
<0,7×104 |
<0,7×104 |
<0,7×104 |
<0,7×104 |
Оценка пенообразования – Молочная трубопроводная линия |
Приемлемый |
Приемлемый |
Приемлемый |
Приемлемый |
Приемлемый |
Приемлемый |
Таблица 19 Данные очищающей характеристики и бактерицидной активности моющих средств |
| Компоненты/ряд составов |
208 |
209 |
210 |
211 |
212 |
| Деионизированная вода |
17,9985 |
18,8485 |
16,8485 |
36,85 |
26,85 |
| Уксусная кислота |
– |
1 |
1 |
1 |
1 |
| Duomeen S/SV |
– |
0,15 |
0,15 |
0,15 |
0,15 |
| Plurafac LF-303 |
– |
1,5 |
– |
1 |
1,5 |
| Plurafac S305-LF |
– |
1,5 |
– |
– |
– |
| Plurafac SLF-18B |
3 |
– |
3 |
2 |
1,5 |
| Безводная лимонная кислота |
3 |
3 |
3 |
– |
– |
| Безводная лимонная кислота |
– |
– |
– |
3 |
3 |
Фосфорная кислота (75%) Пищевое качество |
43 |
43 |
43 |
20 |
33 |
| Натрийксилолсульфонат (40%) |
28 |
26 |
28 |
26 |
0 |
| Бисульфат натрия – Качество животного корма |
5 |
5 |
5 |
0 |
– |
| Каприновая/каприловая кислота (40/60) |
– |
– |
– |
2 |
0 |
| Гликолевая кислота |
– |
– |
– |
– |
– |
| Сульфаминовая кислота |
– |
– |
– |
5 |
0 |
| Пропиленгликоль |
– |
– |
– |
3 |
3 |
| FD&C Желтый #5 Краситель |
0,0015 |
0,0015 |
0,0015 |
0 |
0 |
| Однородность продукта |
Прозрачный/ разделенный |
Прозрачная фаза |
Прозрачный/ разделенный |
Прозрачный |
Прозрачный |
| рН: неразб. (°C)/рН мойки @ жесткая вода 400 ч/млн |
0,82(25,6)/1,94 |
0,82(26,0)/1,96 |
0,78(24,7)/1,91 |
– |
– |
| Удельный вес (23,6°С), г/мл |
1,3322 |
1,3479 |
1,3464 |
– |
– |
| Режим очистки, рабочая концентрация 5 г/л |
| Температура мойки, 60°С/8 мин |
97 (-3) |
96 (-l) |
96 (-2) |
– |
– |
| Температура мойки, 60°С/4 мин |
90 (-3) |
96 (-2) |
94 (-l) |
– |
– |
| Температура мойки, 40°С/8 мин |
66 (-4) |
74 (-2) |
80 (-1) |
– |
– |
| Температура мойки, 40°С/4 мин |
61 (-4) |
59 (-3) |
70 (-2) |
– |
– |
| Бактерицидная активность – Отчет испытания EN 1040 |
| Pseudomonas Aeruginosa |
Уменьшение |
Уменьшение |
Уменьшение |
Уменьшение |
Уменьшение |
| Рабочая концентрация – 0,5% |
>1,3×105 |
>1,3×105 |
>1,8×105 |
>1,3×105 |
>1,3×105 |
| Рабочая концентрация – 1,0% |
>1,3×105 |
>1,3×105 |
>1,8×105 |
>1,3×105 |
>1,3×105 |
| Рабочая концентрация – 2,0% |
>1,3×105 |
>1,3×105 |
>1,8×105 |
>1,3×105 |
>1,3×105 |
| Staphylococcus aureus |
Уменьшение |
Уменьшение |
Уменьшение |
Уменьшение |
Уменьшение |
| Рабочая концентрация – 0,5% |
9,11×1O5 |
<0,06×105 |
<0,06×105 |
0,94×104 |
0,94×104 |
| Рабочая концентрация – 1,0% |
>1,2×105 |
>1,2(1,0)x10s |
>1,2×105 |
>1,9×105 |
>1,9×105 |
| Рабочая концентрация – 2,0% |
>1,2×105 |
>1,2(1,0)xl05 |
>1,2×105 |
>1,9×105 |
>1,9×105 |
Оценка пенообразования – Молочная трубопроводная линия |
Приемлемый |
Приемлемый |
Приемлемый |
Приемлемый |
Приемлемый |
Таблица 20 Данные очищающей характеристики и бактерицидной активности моющих средств |
| Компоненты/ряд составов |
213 |
214 |
215 |
216 |
| Деионизированная вода |
66,6 |
68,6 |
60,85 |
60 |
| Уксусная кислота |
0,25 |
0,25 |
1 |
0 |
| Duomeen S/SV |
– |
– |
0,15 |
0 |
| Duomeen Т |
0,15 |
0,15 |
– |
– |
| Plurafac LF-303 |
1 |
1 |
1,5 |
1,5 |
| Plurafac SLF-18B |
2 |
1 |
1,5 |
1,5 |
| Фосфорная кислота (75%) пищевого качества |
15 |
11 |
20 |
20 |
| Метансульфоновая кислота |
15 |
18 |
15 |
15 |
| Каприновая/каприловая кислота (40/60) |
0 |
0 |
0 |
2 |
| Однородность продукта |
Прозрачный |
Прозрачный |
Прозрачный |
Прозрачный |
| рН: неразб. (°C)/рН мойки @ жесткая вода 400 ч/млн |
0,28 |
0,24 |
– |
– |
| Удельный вес (23,6°С), г/мл |
1,129 |
1,121 |
– |
– |
| Режим очистки, рабочая концентрация 5 г/л |
| Температура мойки, 40°С/8 мин |
90,89 |
88,62 |
– |
– |
| Pseudomonas Aeruginosa |
Уменьшение |
Уменьшение |
Уменьшение |
Уменьшение |
| Рабочая концентрация – 0,5% |
>1,3×105 |
>1,3×105 |
>1,3×105 |
>1,3×105 |
| Рабочая концентрация – 1,0% |
>1,3×105 |
>1,3×105 |
>1,3×105 |
>1,3×105 |
| Рабочая концентрация – 2,0% |
>1,3×105 |
>1,3×105 |
>1,3×105 |
>1,3×105 |
| Staphylococcus Aureus |
Уменьшение |
Уменьшение |
Уменьшение |
Уменьшение |
| Рабочая концентрация – 0,5% |
>1,9×105 |
>1,9×105 |
>1,9×105 |
<0,94×105 |
| Рабочая концентрация – 1,0% |
>1,9×105 |
>1,9×105 |
>1,9×105 |
>1,9×105 |
| Рабочая концентрация – 2,0% |
>1,9×105 |
>1,9×105 |
>1,9×105 |
>1,9×105 |
Оценка пенообразования – Молочная трубопроводная линия |
Приемлемый |
Приемлемый |
Приемлемый |
Приемлемый |
Таблица 21 Данные очищающей характеристики и бактерицидной активности моющих средств |
| Компоненты |
217 |
218 |
219 |
| Деионизированная вода |
21,85 |
25,85 |
26,35 |
| Уксусная кислота |
1,00 |
1,00 |
1,00 |
| Duomeen SV |
0,15 |
– |
– |
| Genamin OLP 100 |
– |
0,15 |
0,15 |
| Пропиленгликоль |
3,00 |
3,00 |
3,00 |
| Plurafac LF 303 |
1,50 |
1,50 |
1,50 |
| Лимонная кислота, безводная |
3,00 |
3,00 |
3,00 |
| Фосфорная кислота 75% |
35,00 |
35,00 |
35,00 |
| Натрийксилолсульфонат 40% |
30,00 |
25,00 |
25,00 |
| Еmery 658 |
3,00 |
1,00 |
1,00 |
| Plurafac 18B-45 |
1,50 |
1,50 |
1,50 |
| Гликолевая кислота |
– |
3,00 |
2,50 |
| рН: неразб. (22,2°C) |
0,74 |
0,74 |
0,74 |
| Удельный вес (21,2°С), г/мл |
1,257 |
1,257 |
1,257 |
| Режим очистки |
| Температура мойки, 60°С/8 мин |
97 |
97 |
94 |
| Данные подавления бактерицидной активности (AOAC Test #960.09) |
| Escherichia Coli |
Уменьшение |
Уменьшение |
Уменьшение |
| Рабочая концентрация – 0,5% |
>7 log |
>7 log |
>7 log |
| Staphylococcus Aureus |
Уменьшение |
Уменьшение |
Уменьшение |
| Рабочая концентрация – 0,5% |
>7 log |
>7 log |
>7 log |
| Объем пены, мл |
| DNMC-Деионизированная вода |
| 0,00 мин |
290 |
455 |
415 |
| 0,25 мин |
70 |
260 |
150 |
| 0,50 мин |
30 |
55 |
40 |
| 1,00 мин |
20 |
35 |
10 |
| 5,00 мин |
0 |
0 |
0 |
| DNMC-Жесткая вода |
 |
 |
 |
| 0,00 мин |
200 |
375 |
300 |
| 0,25 мин |
20 |
70 |
65 |
| 0,50 мин |
10 |
25 |
15 |
| 1,00 мин |
0 |
15 |
10 |
| 5,00 мин |
0 |
0 |
0 |
Еще одним, более строгим стандартом для оценки бактерицидной активности химических дезинфицирующих средств и антисептиков является Европейский стандарт EN 1276. Этот стандарт обычно применяют для следующих областей: (a) обработка (переработка), распространение и розничная продажа пищевых продуктов животного происхождения (молоко и молочные продукты, мясо и мясные продукты, рыба, дары моря, и производная продукция, яйца и яичные продукты, корма для животных); (b) обработка (переработка), распространение и розничная продажа пищевых продуктов растительного происхождения (напитки, фрукты, овощи и их производные, мука, помол и выпечка, корма для животных); (c) области общественного пользования и бытового назначения (оборудование предприятий общественного питания, площади общественного пользования, школы, детские дошкольные учреждения, магазины, спортивные залы, контейнеры для сбора мусора, отели, жилые помещения, нелечебные помещения медицинских учреждений, офисы; (d) другие промышленные применения (упаковочный материал, биотехнологические дрожжи, белки, ферменты, фармацевтический препарат, косметические изделия (средства) и гигиено-косметические средства, текстильные изделия, космическая промышленность, промышленность средств вычислительной техники).
Для продукта, который подлежит сертификации согласно этому тесту, продукт должен удовлетворять следующим минимальным критериям. При разбавлении в жесткой воде при 20°C и при длительности воздействия на протяжении 5 мин, в чистых условиях (0,3 г/л бычьего альбумина) или загрязненных условиях (3 г/л бычьего альбумина), продукт должен демонстрировать 105 уменьшение (5 log уменьшение, т.е. 99,999% уменьшение) в количестве жизнеспособных микроорганизмов для четырех выбранных эталонных штаммов: Pseudomonas aeruginosa (АТСС 15442), Staphylococcus aureus (ATCC 6538), Escherichia coli (ATCC 10536) и Enterococcus hirae (ATCC 10541).
При проведении этого испытания суспензию бактерий добавляют к полученному образцу моющего состава, подлежащего испытанию. Смесь выдерживают при 20°C. По истечении заданного времени контакта (5 мин) отбирают аликвоту и в этой порции сразу нейтрализуют или подавляют бактерицидное действие известным способом (т.е. методом разведения-нейтрализации). Используемая нейтрализующая композиция включает 3 г лецитина, 30 г полисорбата 80, 5 г тиосульфата натрия, 1 г хлоргидрата L-гистидина, 30 г сапонина, достаточное количество дистиллированной воды до 500 мл, 10 мл 0,25M фосфатного буфера и достаточное количество дистиллированной воды до 1000 мл.
Испытывают два различных моющих состава (составы 136 и 139 из таблицы 10) в различных условиях испытаний. Результаты приводятся в таблице 22.
Таблица 22 Уменьшение микроорганизмов при испытании согласно Европейскому стандарту EN 1276 |
| Состав 139 @ 40°С – чистые условия (0,3 г/л бычьего альбумина), уменьшение числа бактерий |
| Концентрация (об./об.) |
0,3% |
0,4% |
0,5% |
1,0% |
2,0% |
| Pseudomonas aeruginosa |
>1,7×105 |
>1,7×105 |
>1,7×105 |
>1,7×105 |
>1,7×105 |
| Staphylococcus aureus |
>1,2×105 |
>1,2×105 |
>1,2×105 |
>1,2×105 |
>1,2×105 |
| Escherichia coli |
>1,0×105 |
>1,0×105 |
>1,0×105 |
>1,0×105 |
>1,0×105 |
| Enterococcus hirae |
6,6×103 |
2,6×104 |
>1,4×105 |
>1,4×105 |
>1,4×105 |
| Состав 139 @ 40°С – загрязненные условия (3,0 г/л бычьего альбумина), уменьшение числа бактерий |
| Концентрация (об./об.) |
0,3% |
0,4% |
0,5% |
1,0% |
2,0% |
| Pseudomonas aeruginosa |
>1,3×105 |
>1,3×105 |
>1,3×105 |
>1,3×105 |
>1,3×105 |
| Staphylococcus aureus |
<7,0×103 |
4,4×104 |
>1,4×105 |
>1,4×105 |
>1,4×105 |
| Escherichia coli |
>1,1×105 |
>1,1×105 |
>1,1×105 |
>1,1×105 |
>1,1×105 |
| Enterococcus hirae |
<6,6×103 |
1,1×104 |
>1,3×105 |
>1,3×105 |
>1,3×105 |
| Состав 139 @ 40°С – загрязненные условия (10 г/л восстановленного молока), уменьшение числа бактерий |
| Концентрация (об./об.) |
0,3% |
0,4% |
0,5% |
1,0% |
2,0% |
| Pseudomonas aeruginosa |
>1,4×105 |
>1,4×105 |
>1,4×105 |
>1,4×105 |
>1,4×105 |
| Staphylococcus aureus |
<5,0×103 |
3,3×104 |
>1,0×105 |
>1,0×105 |
>1,0×105 |
| Escherichia coli |
>1,7×105 |
>1,7×105 |
>1,7×105 |
>1,7×105 |
>1,7×105 |
| Enterococcus hirae |
<9,0×103 |
5,3×104 |
>1,8×105 |
>1,8×105 |
>1,8×105 |
| Состав 139 @ 20°С – загрязненные условия (3,0 г/л бычьего альбумина), уменьшение числа бактерий |
| Концентрация (об./об.) |
0,3% |
0,4% |
0,5% |
1,0% |
2,0% |
| Pseudomonas aeruginosa |
>1,6×105 |
>2,0×105 |
>2,0×105 |
>2,0×105 |
>2,0×105 |
| Staphylococcus aureus |
<1,6×103 |
2,6×104 |
>1,2×105 |
>1,2×105 |
>1,2×105 |
| Escherichia coli |
<8,0×103 |
>1,6×105 |
>1,6×105 |
>1,6×105 |
>1,6×105 |
| Enterococcus hirae |
<5,6×103 |
<5,6×103 |
<5,6×103 |
>1,1×105 |
>1,1×105 |
| Состав 139 @ 20°С – чистые условия (0,3 г/л бычьего альбумина), уменьшение числа бактерий |
| Концентрация (об./об.) |
0,3% |
0,4% |
0,5% |
1,0% |
2,0% |
| Pseudomonas aeruginosa |
>1,1×105 |
>1,1×105 |
>1,1×105 |
>1,1×105 |
>1,1×105 |
| Staphylococcus aureus |
>1,5×105 |
>1,5×105 |
>1,5×105 |
>1,5×105 |
>1,5×105 |
| Escherichia coli |
>1,7×105 |
>1,7×105 |
>1,7×105 |
>1,7×105 |
>1,7×105 |
| Enterococcus hirae |
<6,6×103 |
<6,6×103 |
7,7×104 |
1,3×105 |
1,3×105 |
| Состав 136 @ 20°С – загрязненные условия (3,0 г/л бычьего альбумина), уменьшение числа бактерий |
| Концентрация (об./об.) |
0,3% |
0,4% |
0,5% |
1,0% |
1,5% |
| Pseudomonas aeruginosa |
3,7×104 |
>1,6×105 |
>1,6×105 |
>1,6×105 |
>1,6×105 |
| Staphylococcus aureus |
<5,6×103 |
<5,6xl03 |
>1,1×105 |
>1,1×105 |
>1,1×105 |
| Escherichia coli |
<5,7×103 |
2,9×104 |
>1,1×105 |
>1,1×105 |
>1,1×105 |
| Enterococcus hirae |
<6,3×103 |
<6,3×103 |
<6,3×103 |
1,3×105 |
1,3×105 |
Секвестранты, структурообразователи и хелатообразователи
Секвестранты, структурообразователи и хелатообразователи используют в моющих составах для смягчения или обработки воды и предотвращения образования осадков или других солей. Как правило, секвестранты образуют комплекс или координируют с ионами металлов, обычно имеющимися в технической воде, и тем самым не допускают взаимодействия ионов металлов, мешающего функционированию моющих компонентов в составе.
Водорастворимые структурообразующие компоненты и секвестранты улучшают очищающую рабочую характеристику моющих средств в условиях жесткой воды. Предпочтительные структурообразователи включают соли щелочных металлов, в особенности, полифосфаты щелочных металлов, такие как пирофосфаты щелочных металлов (например, тетранатрий или тетракалий пирофосфаты), триполифосфаты щелочных металлов (например, триполифосфат натрия или калия, либо безводный, либо гидратированный), метафосфаты щелочных металлов (например, гексаметафосфаты натрия или калия) и ортофосфаты щелочных металлов (например, тринатрий или трикалий ортофосфат).
В предлагаемых моющих составах могут быть также использованы структурообразующие соли, которые представляют собой соли неорганических и органических кислот нефосфатной природы. Предпочтительные неорганические нефосфатные структурообразующие соли выбирают из группы, состоящей из боратов, карбонатов и бикарбонатов щелочных металлов, и нерастворимых в воде алюминосиликатов и цеолитов, как кристаллических, так и аморфных. Типичные неорганические нефосфатные структурообразующие соли включают тетраборат натрия, карбонат натрия, бикарбонат натрия, сесквикарбонат натрия, карбонат калия, бикарбонат калия и цеолиты натрия и калия. Предпочтительные органические нефосфатные соли структурообразователя и секвестранта включают соли щелочных металлов поликарбоновой кислоты и нитрилуксусной кислоты. Типичные неорганические нефосфатные структурообразующие соли включают мононатрий, динатрий и тринатрий цитрат и тетранатрий этилендиаминтетрауксусной кислоты (EDTA-Na4). Могут быть также использованы смеси полифосфатов щелочных металлов и обычные органические и/или неорганические структурообразующие соли.
Предпочтительно добавлять любые полифосфатные соли структурообразователя с вспомогательным структурообразователем, таким как поликарбоксилатная соль щелочных металлов (т.е. соли щелочных металлов лимонной кислоты и винной кислоты). Натриевые соли лимонной кислоты являются предпочтительными.
Необязательно, наряду с солями структурообразователя используют низкомолекулярные несшитые полиакрилаты, имеющие молекулярные массы приблизительно 1000-100000, более предпочтительно приблизительно 2000-80000 и наиболее предпочтительно приблизительно 4500. Особенно предпочтительны водорастворимые соли гомополимеров акриловой и метакриловой кислот. Водорастворимые соли могут представлять собой соль щелочных металлов, такую как соль калия или натрия, соль аммония или соль замещенного аммония. Соль может находиться в частично или полностью нейтрализованной форме. Типичные низкомолекулярные несшитые полиакрилаты доступны от Rohm и Hass под торговым названием ACUSOL. Особенно предпочтителен Acusol® 445N, который имеет молекулярную массу приблизительно 4500.
В качестве несшитого полиакрилата может быть также использована смесь гомополимера акриловой кислоты и сополимера малеиновый ангидрид/олефин. Сополимер можно получить из замещенного или незамещенного малеинового ангидрида и низшего олефина взамен всего или части циклического ангидрида. Предпочтительно мономер, малеиновый ангидрид, имеет общую формулу

где R3 и R4 независимо выбраны из группы, состоящей из H, (C1-C4)алкила, фенила, (C1-C4)алкилфенила и фенил(C1-C4) алкилена. Низший олефиновый компонент представляет собой предпочтительно (C1-C4)олефин, такой как этилен, пропилен, изопропилен, бутилен или изобутилен. Эти сополимеры имеют молекулярные массы в диапазоне приблизительно 1000-100000 и предпочтительно приблизительно 1000-15000. Особенно предпочтителен Acusol® 460N, который имеет молекулярную массу приблизительно 15000. Другие типичные сополимеры включают Sokalan© CP 45 от BASF, который представляет собой частично нейтрализованный сополимер натриевой соли метакриловой кислоты и малеинового ангидрида, и Sokalan® CP5, который представляет собой полностью нейтрализованную соль. Эти водорастворимые несшитые полиакрилатные полимеры, либо каждый в отдельности, либо в комбинации, предпочтительно составляют 0-10% масс. моющего состава.
Функциональные возможности структурообразующего компонента могут также обеспечиваться смесью органических поликарбоновых кислот, таких как лимонная кислота, полиакриловая кислота, сополимер акриловая/малеиновая кислота, этилендиаминтетрауксусная кислота (EDTA), полиаспарагиновая кислота, нитрилтрехуксусная кислота (NTA) и полифосфоновая кислота.
Заявляемые составы обычно содержат 0-30% масс. структурообразующего компонента или секвестранта, более предпочтительно приблизительно 1-25% масс. и наиболее предпочтительно приблизительно 2-15% масс.
Предпочтительно для регулирования жесткости воды в моющих составах использовать хелатообразователь или смеси средств. Хелатообразователи могут присутствовать при уровне приблизительно 0-10% масс. и предпочтительно приблизительно 0,01-5% масс. Предпочтительные хелатообразователи включают фосфонатные хелатообразователи, такие как этан-1-гидроксидифосфонаты щелочных металлов (HEDP), полиалкиленфосфонат и аминофосфонатные соединения, такие как аминотриметиленфосфоновая кислота (ATMP), нитрилтриметиленфосфонаты (NTP), этилендиаминтетраметиленфосфонаты и диэтилентриаминпентаметиленфосфонаты (DTPMP). Фосфонатные соединения могут присутствовать либо в кислотной форме, либо в виде солей. Особенно предпочтительными фосфонатными хелатообразователями являются диэтилентриаминпентаметиленфосфонат (DTPMP) и этан-1-гидроксидифосфонат (HEDP), и они коммерчески доступны от Monsanto под названием DEQUEST. Типичный биодеградируемый хелатообразователь для использования в заявляемых моющих составах представляет собой этилендиамин-N,N-диянтарную кислоту или ее соли щелочных и щелочноземельных металлов.
Другой тип предпочтительных хелатообразователей для использования в настоящем изобретении включает аминокарбоксилаты, такие как этилендиаминтетрауксусная кислота (EDTA), диэтилентриаминпентауксусная кислота (DTPA) и пропилендиаминтетрауксусная кислота (PDTA) либо в кислотной форме, либо в виде соответствующих солей щелочных и щелочноземельных металлов (т.е. EDTA-Na4). Дополнительные предпочтительные карбоксилатные хелатообразователи включают салициловую кислоту, аспарагиновую кислоту, глутаминовую кислоту, глицин, малоновую кислоту, полиаспарагиновую кислоту, цитраты, акрилаты, полиакрилаты или их смеси.
Гидротропы или солюбилизирующие/связующие средства
Гидротропы или солюбилизирующие средства можно использовать в кислотных моющих составах для солюбилизации короткоцепочечных жирных кислот и других диспергируемых органических веществ, таких как неионные поверхностно-активные вещества, в растворе в диапазоне температур. Гидротропный компонент или солюбилизатор представляет собой предпочтительно неионное или анионное вещество. Предпочтительные анионные поверхностно-активные вещества включают алкансульфонаты, такие как алкансульфонаты и дисульфонаты щелочных металлов, алкилсульфаты, линейный алкилбензол- или нафталинсульфонаты, -олефинсульфонаты, вторичные алкансульфонаты, алкоксисульфаты или алкоксисульфонаты, алкилфосфаты или фосфонаты, диалкаилсульфосукцинаты, сложные эфиры диалкилсульфоянтарной кислоты и сложные эфиры сахаров, такие как сложные эфиры сорбита и (C8-C10)алкилглюкозиды. В применениях, где допустимо образование некоторой пены, могут быть использованы даже гидротропы с обильным пенообразованием, такие как производные C8-, C10-, C12-алкилсульфонатов.
Дополнительные предпочтительные гидротропные средства включают арилсульфонаты, такие как арилсульфонаты и дисульфонаты щелочных металлов, ксилолсульфонат натрия, кумолсульфонат натрия, нафталинсульфонат натрия, толуолсульфонат натрия и бензолсульфонат натрия. Особенно предпочтительной является смесь 1-октансульфоната натрия и 1,2-октандисульфоната натрия.
В качестве дополнительного преимущества некоторые из вышеуказанных гидротропов или связующих веществ независимо демонстрируют бактерицидную активность при низких рН. Это, конечно, увеличивает эффективность настоящего изобретения, но не является основным критерием, используемым при выборе соответствующего связующего вещества. Поскольку именно присутствие жирных кислот и -оксикислот в протонированном нейтральном состоянии обеспечивает основную биоцидную активность, то связующее вещество следует выбирать не из-за проявляемой им независимой антимикробной активности, а по причине его способности обеспечить эффективное взаимодействие между, по существу, нерастворимыми жирными кислотами и микроорганизмами, наличие которых регулируют составы по данному изобретению. Кроме того, было обнаружено, что фосфорная кислота солюбилизирует диспергируемые органические вещества, такие как неионные поверхностно-активные вещества.
В концентрированных моющих составах гидротропы предпочтительно присутствуют при уровне приблизительно 0-50% масс., более предпочтительно приблизительно 5-45% масс. и наиболее предпочтительно приблизительно 8-40% масс.
Пеногашение и противовспенивающее средство
В применениях, для которых необходимо устранить чрезмерное пенообразование (т.е. CIP системы), может быть использовано противовспенивающее средство или пеногаситель для того, чтобы способствовать снижению пенообразования, обусловленного основным поверхностно-активным веществом, или быстрому разрушению образовавшейся пены. Предпочтительные противовспенивающие средства включают соединения, полученные конденсацией гидрофильной алкиленоксидной группы с алифатическим или алкилароматическим гидрофобным соединением. Типичные противовспенивающие средства включают полиэтиленоксидные конденсаты спиртов или алкилфенолов (например, продукты конденсации спиртов или алкилфенолов, имеющих алкильную группу, содержащую от приблизительно 5 до приблизительно 15 атомов углерода, в конфигурации прямой цепи или разветвленной цепи) с этиленоксидом. Этиленоксид предпочтительно присутствует в количествах приблизительно 10-60 молей этиленоксида на моль спирта или алкилфенола. Алкил-заместители в таких соединениях могут быть получены из полимеризованного пропилена, бутилена, изобутилена и диизобутилена.
Дополнительные предпочтительные противовспенивающие средства включают алкилфосфатные сложные эфиры, такие как моно-, ди- и триалкилфосфатные сложные эфиры. Такие фосфатные сложные эфиры обычно получают из (C8-C12) алифатических спиртов линейной структуры. Очередным типом предпочтительных антипенных присадок являются сложные эфиры алкилфосфорных кислот, имеющих общую формулу

где R5 и R6 представляют собой, независимо, (С12-C20)алкильную или этоксилированную алкильную часть. Сложные эфиры алкилфосфорных кислот обычно присутствуют в моющих составах при уровне приблизительно 0-1,3% масс. и более предпочтительно приблизительно 0,20-1,0% масс. Другие дополнительные предпочтительные противовспенивающие средства включают алкоксилаты спиртов, поставляемые под торговым названием DEHYPON, SYNPERONIC и DOWFAX. В моющих составах могут быть также использованы силиконовые противовспенивающие средства, включая алкилированные полисилоксаны, такие как полидиметилсилоксаны, полидиэтилсилоксаны, полидибутилсилоксаны, фенилметилсилоксаны, диметилсиланированный диоксид кремния, триметилсиланированный диоксид кремния. Эти силиконовые средства предпочтительно присутствуют при уровне приблизительно 0-2% масс. и более предпочтительно приблизительно 0,20-1,5% масс.
Как правило, составы по данному изобретению содержат приблизительно 0,0-20% масс. противовспенивающего средства, более предпочтительно приблизительно 0,2-15% масс. и наиболее предпочтительно приблизительно 1-10% масс.
Другие компоненты
Баланс заявляемого моющего средства (т.е. для получения 100% масс.) представляет вода, предпочтительно деионизированная вода. Органические растворители, такие как спирты, гликоли, полиэтиленгликоли, полипропиленгликоли, могут быть использованы для неводной системы или в комбинации с водой для водной системы. Однако другие компоненты, такие как отдушка/ароматизирующее средство, консерванты, красители, растворители, буферы, стабилизаторы, акцепторы радикалов, грязеподхватывающие (суспендирующие) агенты; вещества, ингибирующие рост кристаллов; грязеотталкивающие агенты, диспергирующие агенты, красящие вещества и пигменты, могут быть включены при условии, что они стабильны в сильнокислой среде.
Формула изобретения
1. Жидкий моющий состав готового к применению раствора, содержащий кислоту, выбранную из группы, состоящей из неорганических кислот, органических кислот и их смесей; и приблизительно 0,00003-0,0075 мас.% (жирный алкил)-1,3-диаминопропана или его соль, имеющий общую формулу R-NH-CH2CH2CH2NH2, где R представляет собой (C4-C22)- алкильную группу, причем указанный состав имеет рН в диапазоне 0,1-5,5.
2. Состав по п.1, где R представляет собой замещенную или незамещенную, прямую или разветвленную, и насыщенную или ненасыщенную алкильную группу.
3. Состав по п.1, где указанный (жирный алкил)-1,3-диаминопропан получают из природных источников, таких как кокосовое масло, соевое масло, твердый талловый жир или олеоисточник.
4. Состав по п.1, где указанный состав содержит ацетатную соль (жирный алкил)-1,3-диаминопропана, полученную добавлением уксусной кислоты к указанному (жирный алкил)-1,3-диаминопропану.
5. Состав по п.1, где указанная органическая кислота имеет общую формулу R’-SO3H, где R’ представляет собой (С1-С16)-алкильную группу.
6. Состав по п.1, дополнительно содержащий систему поверхностно-активных веществ.
7. Состав по п.6, где указанная система поверхностно-активных веществ выбрана из группы, состоящей из анионных, неионных, катионных, амфотерных и цвиттерионных поверхностно-активных веществ и их смесей.
8. Состав по п.7, где указанная система поверхностно-активных веществ включает алкоксилированный жирный спирт линейной структуры.
9. Состав по п.7, где указанная система поверхностно-активных веществ включает этоксилированный и пропоксилированный жирный спирт линейной структуры или его производный простой эфир.
10. Состав по п.1, где указанный состав включает систему поверхностно-активных веществ, содержащую, по крайней мере, два различных поверхностно-активных вещества.
11. Состав по п.1, где указанный состав дополнительно содержит антимикробное средство или смесь антимикробных средств.
12. Состав по п.11, где указанное антимикробное средство выбрано из группы, состоящей из (С4-С15)жирных кислот, хлорфенолов, одно- и многоатомных спиртов, ароматических и алифатических спиртов, -оксикислот, хлоргексидина и его солей, пероксидов, надкислот, 2-бром-2-нитро-1,3-пропандиола, соединений бигуанида, антимикробных неорганических солей, хелатообразователей, глутаральдегида, соединений четвертичного аммония и их комбинаций.
13. Состав по п.12, где указанное антимикробное средство представляет собой алифатическую (С6-С12)жирную кислоту.
14. Состав по п.12, где указанное антимикробное средство выбрано из группы, состоящей из гликолевой и молочной кислот.
15. Состав по п.1, где указанная неорганическая кислота является неорганической кислотой, выбранной из группы, состоящей из фосфорной, азотной, хлористоводородной, серной и сульфаминовой кислот и их смесей.
16. Состав по п.1, где указанный состав содержит вплоть до приблизительно 40 мас.% органической кислоты или смесей органических кислот, и эта указанная органическая кислота или смесь органических кислот включает (С1-С16)алкилсульфоновую кислоту.
17. Состав по п.1, где указанная органическая кислота выбрана из группы, состоящей из лимонной кислоты, метансульфоновой кислоты, этансульфоновой кислоты, пропансульфоновой кислоты, бутансульфоновой кислоты, уксусной кислоты, оксиуксусной кислоты, пропионовой кислоты, оксипропионовой кислоты, -кетопропионовой кислоты, масляной кислоты, миндальной кислоты, валериановой кислоты, янтарной кислоты, винной кислоты, яблочной кислоты, щавелевой кислоты, фумаровой кислоты, адипиновой кислоты, малеиновой кислоты, сорбиновой кислоты, бензойной кислоты, глутаровой кислоты, -оксикислоты, этилендиаминтетрауксусной кислоты (EDTA), фосфоновой кислоты, октилфосфоновой кислоты, акриловой кислоты, полиакриловой кислоты, аспарагиновой кислоты, полиаспарагиновой кислоты, п-оксибензойных кислот, иминоуксусных кислот и их смесей.
18. Состав по п.1, где указанный состав дополнительно содержит вплоть до 20 мас.% кислотоактивного или устойчивого к кислоте фермента или смеси ферментов.
19. Состав по п.18, где указанный фермент выбран из группы, состоящей из кислотоактивных или устойчивых к кислоте протеазных ферментов, кислотных липолаз, липаз, резистентных к кислоте амилаз, целлюлаз, кислотных пероксидаз и их комбинаций.
20. Состав по п.1, где указанный состав дополнительно содержит приблизительно 0-50 мас.% гидротропного агента.
21. Состав по п.20, где указанный гидротропный агент выбран из группы, состоящей из алкансульфонатов, алкандисульфонатов, арилсульфонатов, арилдисульфонатов, -олефинсульфонатов, вторичных алкансульфонатов, алкилсульфатов, алкоксисульфатов, алкоксисульфонатов, алкилфосфатов, алкилфосфонатов, диалкилсульфосукцинатов, сложных эфиров диалкилсульфоянтарной кислоты, сложных эфиров сахаров и их комбинаций.
22. Состав по п.1, где указанный состав дополнительно содержит один или несколько компонентов, выбранных из группы, состоящей из секвестрантов, структурообразователей и хелатообразователей.
23. Состав по п.22, где указанный структурообразователь выбран из группы, состоящей из полифосфатов щелочных металлов, нерастворимых в воде кристаллических и аморфных алюминосиликатов, кристаллических и аморфных цеолитов, поликарбоновых и нитрилуксусных кислот и их солей щелочных металлов, несшитых полиакрилатов и их солей, и их комбинаций.
24. Состав по п.22, где указанный хелатообразователь выбран из группы, состоящей из фосфонатных хелатообразователей, аминофосфонатных соединений, аминокарбоксилатных соединений, цитратов, акрилатов, полиакрилатов, EDTA-Na4 и их смесей.
25. Состав по п.1, где указанный состав имеет рН в диапазоне приблизительно 2,0-5,5.
26. Состав по п.1, где указанный состав содержит приблизительно 0,00003-0,005 мас.% указанного (жирный алкил)-1,3-диаминопропана или его соли.
27. Состав по п.1, где указанный состав способен очистить, дезинфицировать и удалить отложения с поверхностей, загрязненных отложениями пищевых продуктов, в одну стадию.
28. Кислотный моющий состав готового к применению раствора, содержащий кислотоактивный или устойчивый к кислоте фермент и приблизительно 0,00003-0,0075 мас.% (жирный алкил)-1,3-диаминопропан или его соль, имеющий общую формулу R-NH-CH2CH2CH2NH2, где R представляет собой (С4-С22)-алкильную группу, причем указанный состав имеет рН в диапазоне 0,1-5,5.
29. Состав по п.28, где указанный фермент выбран из группы, состоящей из кислотоактивных или устойчивых в кислоте протеазных ферментов, кислотных липолаз, липаз, устойчивых в кислоте амилаз, целлюлаз, кислотных пероксидаз и их комбинаций.
30. Состав по п.28, где указанный состав дополнительно содержит антимикробное средство или смесь антимикробных средств.
31. Состав по п.28, где указанный состав имеет рН в диапазоне 2,0-5,5.
32. Состав по п.28, где указанный состав дополнительно содержит вплоть до 40 мас.% (С1-С16)алкилсульфоновой кислоты.
33. Состав по п.28, где указанный состав содержит приблизительно 0,00003-0,005 мас.% указанного (жирный алкил)-1,3-диаминопропана или его соли.
34. Кислотный моющий состав готового к применению раствора, содержащий приблизительно 0,00003-0,0075 мас.% (жирный алкил)-1,3-диаминопропан или его соль, имеющий общую формулу R-NH-СН2СН2СH2NН2, где R представляет собой (С4-С22)-алкильную группу, и (C1-С16)алкилсульфоновую кислоту, причем указанный состав имеет рН в диапазоне 0,1-5,5.
35. Состав по п.34, где алкилсульфоновая кислота представляет собой метансульфоновую кислоту.
36. Состав по п.34, где указанный состав содержит вплоть до 40 мас.% метансульфоновой кислоты.
37. Способ очистки поверхности, включающий стадию нанесения состава по п.1 на указанную поверхность.
38. Способ по п.37, где указанная поверхность представляет собой поверхность системы, связанной с транспортировкой молока, завода по производству пищевых продуктов или оборудования для производства пищевых продуктов или напитков.
39. Способ по п.37, где указанная поверхность представляет собой поверхность системы, подлежащей чистке на месте (без разбора оборудования).
40. Способ по п.37, где указанная поверхность загрязнена остатками пищевых продуктов, молока или напитков до указанной стадии нанесения моющего состава на поверхность.
41. Способ снижения пенообразования кислотного моющего состава готового к применению раствора, содержащего приблизительно 0,00003-0,0075 мас.% (жирный алкил)-1,3-диаминопропан или его соль, имеющий общую формулу R-NH-CH2CH2CH2NH2, где R представляет собой (С4-С22)-алкильную группу, где указанный способ включает добавление системы поверхностно-активных веществ, содержащей, по крайней мере, два различных поверхностно-активных вещества, к указанному моющему составу, причем указанный состав имеет рН в диапазоне 0,1-5,5.
42. Способ по п.41, где указанные поверхностно-активные вещества индивидуально выбраны из группы, состоящей анионных, неионных, катионных, амфотерных и цвиттерионных поверхностно-активных веществ и их смесей.
43. Способ по п.42, где указанное поверхностно-активное вещество индивидуально выбрано из группы, состоящей из аминоксидов, фосфиноксидов, сульфоксидов, сульфонатов, сульфатов, бетаинов, первичных алкилсульфатов, алкилсульфонатов, арилалкилсульфонатов, вторичных алкилсульфонатов, поли-низших алкоксилированных высших спиртов и простых эфиров, алкоксилированных жирных спиртов линейной структуры, алкилполисахаридов, соединений четвертичного аммония, солей первичных, вторичных и третичных жирных аминов и их комбинаций.
44. Способ очистки системы, подлежащей чистке на месте (без разбора оборудования), включающий контактирования поверхностей указанной системы с жидким моющим составом готового к применению раствора, содержащим кислоту, выбранную из группы, состоящей из неорганических кислот, органических кислот и их смесей; и приблизительно 0,00003-0,0075 мас.% (жирный алкил)-1,3-диаминопропан или его соль, имеющий общую формулу R-NH-CH2CH2CH2NH2, где R представляет собой (С4-С22)- алкильную группу, причем указанный состав имеет рН в диапазоне 0,1-5,5.
45. Способ по п.44, где указанная система, подлежащая чистке на месте, представляет собой систему, связанную с транспортировкой молока, завода по производству пищевых продуктов или оборудования для производства пищевых продуктов или напитков.
46. Способ по п.44, где указанный способ приводит к очистке, дезинфекции и удалению отложений с поверхностей указанной системы, подлежащей чистке на месте, в одностадийном цикле отмывки.
47. Способ по п.44, где указанный (жирный алкил)-1,3-диаминопропан получают из природных источников, таких как кокосовое масло, соевое масло, твердый талловый жир или олеоисточник.
48. Способ по п.44, где указанная органическая кислота имеет общую формулу R’-SO3H, где R’ представляет собой (С1-С16)-алкильную группу.
РИСУНКИ
|
|