Патент на изобретение №2374310
|
||||||||||||||||||||||||||||||||||||||||||||||||||||||||||||||||||||||||||||||||||||||||||
(54) ПЛАСТИЧНАЯ СМАЗКА
(57) Реферат:
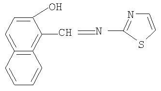
Использование: для узлов трения машин и механизмов. Сущность: смазка содержит, в мас.%: синтетическое масло 3-18, 2-гидрокси-1-нафталь-2′-аминотиазол формулы:
1-12, смазка ЦИАТИМ-221 остальное. Используется синтетическое масло на основе эфира пентаэритрита и жирных кислот фракции С6-С10, в частности смазочное масло Б-3В. Технический результат – повышение противоизносных и нагрузочных характеристик. 1 з.п. ф-лы, 1 табл.
Изобретение относится к смазочным материалам и может быть использовано в области машино- и приборостроения для смазки узлов трения машин и механизмов. Известна высокотемпературная пластичная смазка ЦИАТИМ-221 на основе полиорганосилоксановой жидкости 132-25, загущенной кальциевым мылом стеариновой кислоты с добавлением церизина-80 и пакета присадок /ГОСТ 9433-80/. Смазка обладает хорошими вязкостно-температурными характеристиками. Однако трибометрические свойства у нее низкие и недостаточен температурный предел работоспособности. Известна также смазка «Силкон» на основе ЦИАТИМ-221 с добавлением эфира и комплекса меди /патент РФ Техническим результатом изобретения является повышение противоизносных и нагрузочных характеристик смазки, что приводит к расширению области применения и увеличению ресурса работы узлов трения машин и механизмов. Технический результат достигается тем, что смазка на основе ЦИАТИМ-221 и добавок содержит в качестве добавок синтетическое масло на основе эфира пентаэритрита и жирных кислот фракции С6-С10 и присадку – 2-гидрокси-1-нафталь-2′-аминотиазол формулы:
при следующих соотношениях компонентов, мас.%: синтетическое масло – 3-18 2-гидрокси-1-нафталь-2′-аминотиазол – 1-12 ЦИАТИМ-221 – остальное. В качестве масла на основе эфира пентаэритрита и жирных кислот фракции С6-С10 может быть использовано, например, смазочное масло Б-3В /ТУ 38-101285-85, изготовитель ЗАО «Завод имени Шаумяна»/. Изобретение обладает изобретательским уровнем, так как 2-гидрокси-1-нафталь-2′-аминотиазол не описан в литературе и, как следствие, не известно использование его в смазочных композициях для улучшения смазочных характеристик. Смазку (силкон-5) готовят, например, получением концентрата при нагревании до 70-80°С и интенсивном перемешивании масла, например Б-3В, и присадки. Для получения пластичной смазки в смазку ЦИАТИМ-221 добавляют нагретый до 60-70°С концентрат при интенсивном перемешивании. Ниже приведен пример получения 2-гидрокси-1-нафталь-2′-аминотиазола. К раствору 1,72 г (0,001 молей) 2-гидрокси-1-нафтальдегида в 20 мл этанола прибавляли раствор 1 г (0,01 моль) 2-аминотиазола в 10 мл этанола. Смесь кипятили в течение часа на водяной бане. Выпавший по охлаждении осадок отфильтровывали и промывали 2 раза по 5 мл этанолом. Желтые кристаллы, Тпл.=164-165°С. Выход 2,21 г (87%). Найдено, %: С 66.10, Н 4.01, N 11.21, для C14H10N2OS, вычислено, %: С 66.12, Н 3.96, N 11.02 1Н ЯМР (300 МГц), 9.20 (1Н, с, CH=N), 12.30 (1Н, с, ОН). ИК спектр, 1673 ш.ср. (ОН), 1606 с (CH=N). Противоизносные свойства определяли на четырехшариковой машине трения по ГОСТ 9490-75. Температуру каплепадения определяли по ГОСТ 6793-53. Данные испытаний смазки с использованием в качестве масла масла Б-3В приведены в таблице. Для сравнения в таблице под номером состава 2 приведены данные испытаний для смазочной композиции «Силкон» /патент РФ
Как видно из данных таблицы, при часовых испытаниях критическая нагрузка увеличивается в 2,1-3 раза по сравнению с прототипом (смазка «СИЛКОН») и в 3-4,3 раза по сравнению с ЦИАТИМ-221, а диаметр пятна износа уменьшается до 1,4-4,4 раза по сравнению со смазкой «СИЛКОН» и в 2,2-6,8 раз по сравнению с ЦИАТИМ-221. При этом температура каплепадения повышается на 10-100°С по сравнению со смазкой «СИЛКОН» и на 40-130°С по сравнению с ЦИАТИМ-221. Таким образом, смазка (силкон-5) обладает улучшенными смазочными характеристиками.
Формула изобретения
1. Пластичная смазка на основе ЦИАТИМ-221 и добавок, отличающаяся тем, что в качестве добавок она содержит синтетическое масло на основе эфира пентаэритрита и жирных кислот фракции С6-С10 и 2-гидрокси-1-нафталь-2′-аминотиазол формулы
2. Пластичная смазка по п.1, отличающаяся тем, что в качестве масла на основе эфира пентаэритрита и жирных кислот фракции С6-С10 она содержит смазочное масло Б-3В.
|
||||||||||||||||||||||||||||||||||||||||||||||||||||||||||||||||||||||||||||||||||||||||||


2119533, С07М 161/00, 1998 г./, обладающая хорошими вязкостно-температурными смазочными характеристиками. Однако она имеет недостаточно высокие смазочные свойства.
, м.д. (CDCI3): 6.97-7.50 (8Н, м, САr-Н),
см-1 (вазелиновое масло):