|
|
(21), (22) Заявка: 2006128876/04, 06.01.2005
(24) Дата начала отсчета срока действия патента:
06.01.2005
(30) Конвенционный приоритет:
09.01.2004 US 10/755,083
(43) Дата публикации заявки: 20.02.2008
(46) Опубликовано: 27.11.2009
(56) Список документов, цитированных в отчете о поиске:
US 6197900 A, 06.03.2001. US 6207606 A, 27.03.2001. US 2002143123 A, 03.10.2002. US 5786291 A, 28.07.1998. ЕР 0989141 А, 29.03.2000. MALMBERG ANNELI et al. “Long-chain branched polymerized by metallocene catalysts Et MACROMOLECULES DEC 1 1998, vol.31, nr.24 PAGE(S) 8448-8454 table 1”. RU 2142466 C1, 10.12.1999.
(85) Дата перевода заявки PCT на национальную фазу:
09.08.2006
(86) Заявка PCT:
US 2005/000278 20050106
(87) Публикация PCT:
WO 2005/068519 20050728
Адрес для переписки:
129090, Москва, ул. Б.Спасская, 25, стр.3, ООО “Юридическая фирма Городисский и Партнеры”, пат.пов. Е.Е.Назиной
|
(72) Автор(ы):
ДЖЕНСЕН Майкл Д. (US), МАКДЭНИЕЛ Макс П. (US), МАРТИН Джоэл Л. (US), БЕНХЭМ Элизабет А. (US), МЬЮНИНДЖЕР Рэнди (US), ДЖЕРДИ Гэри (US), СУКХАДИА Ашиш М. (US), ЯНГ Цин (US), ТОРН Мэттью (US)
(73) Патентообладатель(и):
ШЕВРОН ФИЛЛИПС КЕМИКАЛ КОМПАНИ ЛП (US)
|
(54) КОМПОЗИЦИИ КАТАЛИЗАТОРОВ И ПОЛИОЛЕФИНЫ ДЛЯ СФЕР ПРИМЕНЕНИЯ ПОКРЫТИЙ, НАНЕСЕННЫХ ПО СПОСОБУ ЭКСТРУДИРОВАНИЯ
(57) Реферат:
Изобретение относится к области металлорганических композиций, композиций катализаторов полимеризации олефинов, способов полимеризации и сополимеризации олефинов с использованием композиции катализатора и полиолефинов. Описаны композиция катализатора для полимеризации олефинов, содержащая продукт введения в контакт первого металлоценового соединения, второго металлоценового соединения, по меньшей мере, одного химически модифицированного твердого оксида и, по меньшей мере, одного алюминийорганического соединения; смесь связанных между собой веществ; способ получения композиции катализатора; способ полимеризации олефинов, включающий введение в контакт, по меньшей мере, одного типа олефинового мономера и композиции катализатора в условиях проведения полимеризации; полимер этилена, полученный согласно предыдущему способу; изделие, содержащее полимер по предыдущему пункту; изделие, содержащее полимер по пункту, указанному выше, где изделием являются контейнер, посуда, пленка, пленочный продукт, цилиндрический резервуар, топливный бак, труба, геомембраны или вкладыш; применение композиции катализатора по любому из вышеуказанных пунктов в реакции полимеризации олефина; применение смеси связанных между собой веществ по указанному выше пункту в реакции полимеризации олефина; полимер, полученный по способу, указанному выше. Техническим результатом являются новые композиции катализаторов и способы их получения, которые позволяют добиться высокой активности при полимеризации и делают возможным выдерживание свойств полимера в пределах желательных диапазонов технических характеристик. 10 н. и 50 з.п. ф-лы, 14 ил., 6 табл.
Данное изобретение относится к области металлорганических композиций, композиций катализаторов полимеризации олефинов, способов полимеризации и сополимеризации олефинов с использованием композиции катализатора и полиолефинов.
Поиск в целях разработки новых катализаторов полимеризации олефинов, способов активации катализаторов и способов получения и использования катализаторов, которые будут обеспечивать достижение улучшенной каталитической активности и получение полимерных материалов, обладающих заданными свойствами для конкретных вариантов конечного использования, ведется постоянно.
Один тип системы катализатора включает металлоценовые соединения, которые продемонстрировали перспективность в разработке заданных свойств полимера. Однако в разработке катализаторов, которые могут обеспечить получение несерийных полимеров, характеризующихся специфическим набором желательных свойств, сохраняются значительные проблемы. То, что требуется, заключается в новых композициях катализаторов и способах получения композиций катализаторов, которые позволят добиться получения высокой активности при полимеризации и сделают возможным выдерживание свойств полимера в пределах желательных диапазонов технических характеристик.
Данное изобретение включает композиции катализаторов, способы получения композиций катализаторов, способы полимеризации олефинов и этиленовые полимеры и сополимеры. В ходе исследования катализаторов полимеризации олефинов на металлоценовой основе обнаружили то, что получение подходящей комбинации свойств полиолефинов, таких как индекс расплава, плотность, полидисперсность, уровень содержания длинноцепных разветвлений, реологические свойства и тому подобное, обеспечивала система двойного металлоценового катализатора. Например, в одном аспекте катализаторы и способы данного изобретения могут обеспечить получение полиэтиленовых смол при использовании петлевой, суспензионной технологической платформы низкого давления, которая делает возможными использование технологии и получение характеристик свойств, которые являются подходящими для сфер применения покрытий, нанесенных по способу экструдирования.
В одном аспекте настоящее изобретение включает композицию катализатора, содержащую продукт введения в контакт первого металлоценового соединения, второго металлоценового соединения, по меньшей мере, одного химически модифицированного твердого оксида и, по меньшей мере, одного алюминийорганического соединения. В данном аспекте данное изобретение включает смесь связанных между собой веществ, композицию катализатора полимеризации олефинов, способ получения композиции катализатора, способ использования композиции катализатора, новые полимеры и сополимеры этилена и тому подобное, в каждом случае включая первое металлоценовое соединение, второе металлоценовое соединение, по меньшей мере, один химически модифицированный твердый оксид и, по меньшей мере, одно алюминийорганическое соединение.
В еще одном аспекте данное изобретение включает композицию катализатора, содержащую продукт введения в контакт единственного металлоценового соединения, по меньшей мере, одного химически модифицированного твердого оксида и, по меньшей мере, одного алюминийорганического соединения. В данном аспекте данное изобретение включает смесь связанных между собой веществ, композицию катализатора полимеризации олефинов, способ получения композиции катализатора, способ использования композиции катализатора, новые полимеры и сополимеры этилена и тому подобное, в каждом случае включая единственное металлоценовое соединение, по меньшей мере, один химически модифицированный твердый оксид и, по меньшей мере, одно алюминийорганическое соединение.
В одном аспекте настоящее изобретение включает композицию двойного металлоценового катализатора, где первое металлоценовое соединение может включать комплекс, содержащий структуру бис(лиганд, относящийся к циклопентадиенильному типу) и Ti, Zr или Hf; второе металлоценовое соединение может включать комплекс, содержащий структуру бис(лиганд, относящийся к циклопентадиенильному типу) и Ti, Zr или Hf; по меньшей мере, один компонент в виде химически модифицированного твердого оксида; и, по меньшей мере, одно алюминийорганическое соединение. В еще одном аспекте данного изобретения первое металлоценовое соединение может включать анса-металлоцен, и второе металлоценовое соединение может включать анса-металлоцен.
В одном аспекте композиция катализатора настоящего изобретения содержит продукт введения в контакт первого металлоценового соединения, второго металлоценового соединения, по меньшей мере, одного химически модифицированного твердого оксида и, по меньшей мере, одного алюминийорганического соединения, где:
а) первым металлоценовым соединением является анса-металлоцен, описывающийся нижеследующей формулой:
i) (Х1)(Х2)(Х3)(Х4)М1,
где (Х1) и (Х2) совместно представляют собой флуоренил и циклопентадиенил, флуоренил и инденил, или два флуоренила, любой один из которых может являться замещенным, незамещенным, частично насыщенным, или любую их комбинацию; или
ii) рац-(Х1)(Х2)(Х3)(Х4)М1,
где (Х1) и (Х2) совместно представляют собой два инденила, любой один из которых может являться замещенным, незамещенным, частично насыщенным, или любую их комбинацию;
где М1 представляет собой Ti, Zr или Hf;
где (Х1) и (Х2) соединены замещенной или незамещенной мостиковой группой, содержащей:
i) один атом углерода, кремния, германия или олова, связанный как с (Х1), так и с (Х2); или
ii) два соседних атома углерода в цепи, один конец которой связан с (Х1), а другой конец которой связан с (Х2); и
где (Х3); (Х4); каждый заместитель в замещенном циклопентадиениле, замещенном индениле и замещенном флуорениле; и каждый заместитель в замещенной мостиковой группе независимо представляет собой гидрокарбильную группу, алифатическую группу, ароматическую группу, циклическую группу, комбинацию алифатических и циклических групп, группу кислорода, группу серы, группу азота, группу фосфора, группу мышьяка, группу углерода, группу кремния, группу германия, группу олова, группу свинца, группу бора, группу алюминия, неорганическую группу, металлорганическую группу или их замещенное производное, содержащие от 1 до 20 атомов углерода; галогенид; или водород;
b) вторым металлоценовым соединением является анса-металлоцен, описывающийся нижеследующей формулой:
(Х5)(Х6)(Х7)(Х8)М2,
где М2 представляет собой Ti, Zr или Hf;
где (Х5) и (Х6) независимо представляют собой циклопентадиенил или замещенный циклопентадиенил;
где (Х5) и (Х6) соединены замещенной или незамещенной мостиковой группой, содержащей:
i) один атом углерода, кремния, германия или олова, связанный как с (Х5), так и с
(Х6); или
ii) два соседних атома углерода в цепи, один конец которой связан с (Х5), а другой конец которой связан с (Х6); и
где, если (Х5) или (Х6) представляют собой замещенный циклопентадиенил, то тогда замещенный циклопентадиенил является замещенным заместителями в количестве вплоть до четырех в дополнение к мостиковой группе;
где (Х7); (Х8); каждый заместитель в замещенном циклопентадиениле; и каждый заместитель в замещенной мостиковой группе независимо представляет собой гидрокарбильную группу, алифатическую группу, ароматическую группу, циклическую группу, комбинацию алифатических и циклических групп, группу кислорода, группу серы, группу азота, группу фосфора, группу мышьяка, группу углерода, группу кремния, группу германия, группу олова, группу свинца, группу бора, группу алюминия, неорганическую группу, металлорганическую группу или их замещенное производное, содержащие от 1 до 20 атомов углерода; галогенид; или водород; и
с) химически модифицированный твердый оксид включает твердый оксид, подвергнутый обработке электроноакцепторным анионом.
В еще одном аспекте данного изобретения первое металлоценовое соединение может включать анса-металлоцен, описывающийся нижеследующей формулой:
(Х1)(Х2)(Х3)(Х4)М1,
где М1 представляет собой Zr или Hf;
где (Х1) и (Х2) совместно представляют собой флуоренил и циклопентадиенил или два флуоренила, любой один из которых может являться замещенным или незамещенным;
где (Х1) и (Х2) соединены мостиковой группой >CR1 2, >SiR1 2 или -СR1 2CR1 2-, где R1 в каждом случае независимо представляет собой линейную, разветвленную, замещенную или незамещенную гидрокарбильную группу, при этом любая одна из которых содержит от 1 до 20 атомов углерода; галогенид; или водород;
где любой заместитель в (Х1), (Х2) или R1 независимо представляют собой гидрокарбильную группу, группу кислорода, группу серы, группу азота, при этом любая одна из которых содержит от 1 до 20 атомов углерода; или водород; и
где (Х3) и (Х4) независимо представляют собой алкоксид или арилоксид, содержащие от 1 до 20 атомов углерода, галогенид или гидрид.
В еще одном аспекте данного изобретения первое металлоценовое соединение может включать анса-металлоцен, описывающийся нижеследующей формулой:
рац-(Х1)(Х2)(Х3)(Х4)Zr,
где (Х1) и (Х2) совместно представляют собой два инденила, любой один из которых может являться замещенным или незамещенным;
где (Х1) и (Х2) соединены мостиковой группой >CR1 2, >SiR1 2 или -СR1 2CR1 2-, где R1 в каждом случае независимо представляет собой линейную, разветвленную, замещенную или незамещенную гидрокарбильную группу, при этом любая одна из которых содержит от 1 до 20 атомов углерода; или водород;
где любой заместитель в (Х1), (Х2) или R1 независимо представляют собой гидрокарбильную группу, группу кислорода, группу серы, группу азота, при этом любая одна из которых содержит от 1 до 20 атомов углерода; или водород; и
где (Х3) и (Х4) независимо представляют собой алкоксид или арилоксид, содержащие от 1 до 20 атомов углерода, галогенид или гидрид.
В еще одном аспекте данного изобретения второе металлоценовое соединение может включать анса-металлоцен, описывающийся нижеследующей формулой:
(Х5)(Х6)(Х7)(Х8)Zr,
где (Х5) и (Х6) независимо представляют собой циклопентадиенил или замещенный циклопентадиенил;
где (Х5) и (Х6) соединены мостиковой группой >CR2 2, >SiR2 2 или -СR2 2CR2 2-, где R2 в каждом случае независимо представляет собой линейную, разветвленную, замещенную или незамещенную гидрокарбильную группу, при этом любая одна из которых содержит от 1 до 20 атомов углерода; или водород;
где, если (Х5) или (Х6) представляют собой замещенный циклопентадиенил, то тогда замещенный циклопентадиенил является замещенным заместителями в количестве вплоть до четырех в дополнение к мостиковой группе;
где любой заместитель в (Х5), (Х6) или R2 независимо представляют собой гидрокарбильную группу, группу кислорода, группу серы, группу азота, при этом любая одна из которых содержит от 1 до 20 атомов углерода; или водород; и
где (Х7) и (Х8) независимо представляют собой алкоксид или арилоксид, содержащие от 1 до 20 атомов углерода, галогенид или гидрид.
В еще одном аспекте данного изобретения композиция катализатора содержит алюминийорганическое соединение, описывающееся нижеследующей формулой:
Al(X9)n(X10)3-n;
где (Х9) представляет собой гидрокарбил, содержащий от 1 до 20 атомов углерода; (Х10) представляет собой алкоксид или арилоксид, содержащие от 1 до 20 атомов углерода, галогенид или гидрид; а n представляет собой число от 1 до 3, включительно.
В еще одном аспекте данного изобретения композиция катализатора содержит химически модифицированный твердый оксид, включающий твердый оксид, подвергнутый обработке электроноакцепторным анионом, где:
твердым оксидом являются диоксид кремния, оксид алюминия, диоксид кремния-оксид алюминия, фосфат алюминия, гетерополивольфраматы, диоксид титана, диоксид циркония, оксид магния, оксид бора, оксид цинка, их смешанные оксиды или их смеси; и
электроноакцепторным анионом являются фторид, хлорид, бромид, фосфат, трифторметансульфонат, бисульфат, сульфат, фторфосфат, фторсульфат или любая их комбинация. В еще одном аспекте химически модифицированным твердым оксидом, например, могут являться обработанный фторидом оксид алюминия, обработанный хлоридом оксид алюминия, обработанный бромидом оксидом алюминия, обработанный сульфатом оксид алюминия, обработанный фторидом диоксид кремния-оксид алюминия, обработанный хлоридом диоксид кремния-оксид алюминия, обработанный бромидом диоксид кремния-оксид алюминия, обработанный сульфатом диоксид кремния-оксид алюминия, обработанный фторидом диоксид кремния-диоксид циркония, обработанный хлоридом диоксид кремния-диоксид циркония, обработанный бромидом диоксид кремния-диоксид циркония, обработанный сульфатом диоксид кремния-диоксид циркония или любая их комбинация. Кроме того, в еще одном аспекте химически модифицированный твердый оксид дополнительно может содержать металл или ион металла, включающие цинк, никель, ванадий, серебро, медь, галлий, олово, вольфрам, молибден или любую их комбинацию.
В еще одном аспекте данного изобретения композиция катализатора может содержать, по меньшей мере, один химически модифицированный твердый оксид, включающий, по меньшей мере, один твердый оксид, подвергнутый обработке, по меньшей мере, одним электроноакцепторным анионом, где твердый оксид может включать любой оксид, который характеризуется большой площадью удельной поверхности, а электроноакцепторный анион может включать любой анион, который вызывает увеличение кислотности твердого оксида в сопоставлении с твердым оксидом, который не был подвергнут обработке, по меньшей мере, одним электроноакцепторным анионом.
Еще одним аспектом данного изобретения является композиция катализатора, содержащая продукт введения в контакт первого металлоценового соединения, второго металлоценового соединения, по меньшей мере, одного химически модифицированного твердого оксида и, по меньшей мере, одного алюминийорганического соединения, а, кроме того, содержащая необязательный сокатализатор. Без намерения связать себя какой-либо теорией, можно предположить, что сокатализатор, помимо прочего, функционирует в качестве акцептора, удаляющего из композиции катализатора следовые количества воды и кислорода. В данной композиции катализатора можно использовать несколько различных сокатализаторов, в том числе нижеследующее, но не ограничиваясь только им: алюминийорганические соединения, алюмоксаны, цинкорганические соединения, борорганические соединения, ионизирующие ионные соединения, материалы глин или любая их комбинация. Таким образом, необязательным сокатализатором является дополнительное алюминийорганическое соединение, и оно может быть либо тем же самым, что и, по меньшей мере, одно алюминийорганическое соединение композиции катализатора, либо отличным от него.
Кроме того, еще одним аспектом данного изобретения является смесь связанных между собой веществ, содержащая первое металлоценовое соединение, второе металлоценовое соединение, по меньшей мере, один химически модифицированный твердый оксид и, по меньшей мере, одно алюминийорганическое соединение. Еще одним аспектом данного изобретения является способ получения композиции катализатора, включающий введение в контакт первого металлоценового соединения, второго металлоценового соединения, по меньшей мере, одного химически модифицированного твердого оксида и, по меньшей мере, одного алюминийорганического соединения. Еще одним аспектом данного изобретения является способ полимеризации олефинов, включающий введение в контакт, по меньшей мере, одного типа олефинового мономера и композиции катализатора в условиях проведения полимеризации, где композиция катализатора содержит продукт введения в контакт первого металлоценового соединения, второго металлоценового соединения, по меньшей мере, одного химически модифицированного твердого оксида и, по меньшей мере, одного алюминийорганического соединения. В каждом из данных аспектов настоящего изобретения первое металлоценовое соединение, второе металлоценовое соединение, по меньшей мере, один химически модифицированный твердый оксид и, по меньшей мере, одно алюминийорганическое соединение характеризуются следующим образом:
а) первым металлоценовым соединением является анса-металлоцен, описывающийся нижеследующей формулой:
i) (Х1)(Х2)(Х3)(Х4)М1,
где (Х1) и (Х2) совместно представляют собой флуоренил и циклопентадиенил, флуоренил и инденил, или два флуоренила, любой один из которых может являться замещенным, незамещенным, частично насыщенным, или любую их комбинацию; или
ii) рац-(Х1)(Х2)(Х3)(Х4)М1,
где (Х1) и (Х2) совместно представляют собой два инденила, любой один из которых может являться замещенным, незамещенным, частично насыщенным, или любую их комбинацию;
где М1 представляет собой Ti, Zr или Hf;
где (Х1) и (Х2) соединены замещенной или незамещенной мостиковой группой, содержащей:
i) один атом, который является атомом углерода, кремния, германия или олова, связанный как с (Х1), так и с (Х2); или
ii) два соседних атома углерода в цепи, один конец которой связан с (Х1), а другой конец которой связан с (Х2); и
где (Х3); (Х4); каждый заместитель в замещенном циклопентадиениле, замещенном индениле и замещенном флуорениле; и каждый заместитель в замещенной мостиковой группе независимо представляет собой гидрокарбильную группу, алифатическую группу, ароматическую группу, циклическую группу, комбинацию алифатических и циклических групп, группу кислорода, группу серы, группу азота, группу фосфора, группу мышьяка, группу углерода, группу кремния, группу германия, группу олова, группу свинца, группу бора, группу алюминия, неорганическую группу, металлорганическую группу или их замещенное производное, содержащие от 1 до 20 атомов углерода; галогенид; или водород;
b) вторым металлоценовым соединением является анса-металлоцен, описывающийся нижеследующей формулой:
(Х5)(Х6)(Х7)(Х8)М2,
где М2 представляет собой Ti, Zr или Hf;
где (Х5) и (Х6) независимо представляют собой циклопентадиенил или замещенный циклопентадиенил;
где (Х5) и (Х6) соединены замещенной или незамещенной мостиковой группой, содержащей:
i) один атом, который является атомом углерода, кремния, германия или олова, связанный как с (Х5), так и с (Х6); или
ii) два соседних атома углерода в цепи, один конец которой связан с (Х5), а другой конец которой связан с (Х6); и
где, если (Х5) или (Х6) представляют собой замещенный циклопентадиенил, то тогда замещенный циклопентадиенил является замещенным заместителями в количестве вплоть до четырех в дополнение к мостиковой группе;
где (Х7); (Х8); каждый заместитель в замещенном циклопентадиениле; и каждый заместитель в замещенной мостиковой группе независимо представляет собой гидрокарбильную группу, алифатическую группу, ароматическую группу, циклическую группу, комбинацию алифатических и циклических групп, группу кислорода, группу серы, группу азота, группу фосфора, группу мышьяка, группу углерода, группу кремния, группу германия, группу олова, группу свинца, группу бора, группу алюминия, неорганическую группу, металлорганическую группу или их замещенное производное, содержащие от 1 до 20 атомов углерода; галогенид; или водород; и
с) химически модифицированный твердый оксид включает твердый оксид, подвергнутый обработке электроноакцепторным анионом; и
d) алюминийорганическое соединение описывается нижеследующей формулой:
Al(X9)n(X10)3-n;
где (Х9) представляет собой гидрокарбил, содержащий от 1 до 20 атомов углерода; (Х10) представляет собой алкоксид или арилоксид, содержащие от 1 до 20 атомов углерода, галогенид или гидрид; а n представляет собой число от 1 до 3, включительно.
Настоящее изобретение также включает новые полиолефины.
Кроме того, еще одним аспектом данного изобретения является полимер этилена, характеризующийся индексом расплава в диапазоне от 3 до 30 г/10 мин; плотностью в диапазоне от 0,915 до 0,945 г/см3; энергией активации течения Еа в диапазоне от 35 до 45 кДж/моль; показателем полидисперсности (Mw/Mn) в диапазоне от 3 до 15; величиной Mz в диапазоне от 300 до 1500 кг/моль; молекулярной массой Mw в диапазоне от 70 до 200 кг/моль; и количеством длинноцепных разветвлений на 1000 атомов углерода (ДЦР/1000 атомов углерода) в диапазоне от 0,02 до 0,3, в диапазоне молекулярных масс Mw от 100 до 1000 кг/моль.
Еще одним аспектом данного изобретения является полимер этилена, где уровень шейкообразования полимера при скорости технологической линии 300 фут/мин находится в диапазоне от 3 до 8 дюйм/сторона. В еще одном аспекте полимер этилена данного изобретения характеризуется уровнем шейкообразования в диапазоне от 3 до 8 дюйм/сторона при скорости технологической линии 900 фут/мин. Для целей изобретения «шейкообразование» представляет собой искусственный термин, который обозначает уменьшение ширины экструдируемой полимерной пленки от ширины в момент экструдирования до конечной ширины или ширины после вытяжки.
Еще одним аспектом данного изобретения является полимер этилена, где при производительности экструдирования 200 фунт/час давление в экструзионной головке находится в диапазоне от 500 до 2000 фунт/дюйм2. В еще одном аспекте при производительности экструдирования 200 фунт/час полимер этилена данного изобретения характеризуется токовой нагрузкой на двигатель экструдера в диапазоне от 40 до 120 А.
Еще одним аспектом данного изобретения является полимер этилена, где сопротивление раздиру по Элмендорфу ПрН составляет величину, большую или равную 2,1 г/фунт/стопка. В еще одном аспекте полимер этилена данного изобретения характеризуется ударной вязкостью по Спенсеру, большей или равной 0,010 г/фунт/стопка. Еще одним аспектом данного изобретения является полимер этилена, где адгезионная прочность при разрыве под действием внутреннего давления составляет величину, большую или равную 95%. В испытании на адгезионную прочность при разрыве под действием внутреннего давления определяют прочность сцепления между покрытием из пластика и бумажным субстратом, и данное испытание является подходящим для использования в случае адгезии между непористым материалом и пористым материалом.
Еще одним аспектом данного изобретения является полимер этилена, где температура инициирования прилипания в горячем состоянии, при которой прочность прилипания в горячем состоянии развивается до уровня прочности, равной 1 Н/25 мм, составляет величину, меньшую или равную 110°С. В еще одном аспекте полимер этилена данного изобретения характеризуется предельной прочностью при тепловой сварке (ASTM F88), большей или равной 3,5 фунт-сила/дюйм.
Данное изобретение также включает предварительное введение в контакт некоторого или всего количества компонентов катализатора и необязательную предварительную обработку некоторого или всего количества данных компонентов олефиновым соединением перед инициированием реакции полимеризации.
Настоящее изобретение, кроме того, включает способы полимеризации олефинов, включающие введение в контакт, по меньшей мере, одного олефинового мономера и композиции катализатора в условиях проведения полимеризации с получением полимера.
Данное изобретение также включает изделие, которое содержит полимер, полученный при использовании композиции катализатора данного изобретения.
Данные и другие признаки, аспекты, варианты реализации и преимущества настоящего изобретения станут очевидными после ознакомления со следующим далее подробным описанием охарактеризованных признаков.
КРАТКОЕ ОПИСАНИЕ ЧЕРТЕЖЕЙ
Фиг.1 предлагает сравнительные данные по давлению в экструзионной головке для смол настоящего изобретения.
Фиг.2 предлагает сравнительные данные по токовой нагрузке на двигатель экструдера для смол настоящего изобретения.
Фиг.3 иллюстрирует сравнительные данные для уровня шейкообразования (дюймы для одной стороны) при скорости технологической линии 300 фут/мин для смол настоящего изобретения.
Фиг.4 иллюстрирует сравнительные данные для уровня шейкообразования (дюймы для одной стороны) при скорости технологической линии 900 фут/мин для смол настоящего изобретения.
Фиг.5 иллюстрирует сравнительные данные для уровня шейкообразования для одной стороны в зависимости от скорости технологической линии (вытяжки) для смол, полученных при использовании единственного металлоцена, (сверху), смол, полученных при использовании двух металлоценов, А и В (в середине), и смол, полученных при использовании двух металлоценов, С (снизу), настоящего изобретения.
Фиг.6 представляет сравнительные данные по пределу прочности при раздире по Элмендорфу в продольном (ПрН) и поперечном (ПпН) направлениях для смол настоящего изобретения при проведении испытаний с использованием в качестве субстрата бумаги из крафт-целлюлозы. (Вторые) столбцы с более светлым оттенком для каждой смолы представляют собой сопротивление раздиру ПпН.
Фиг.7 представляет сравнительные данные по ударной вязкости по Спенсеру для смол настоящего изобретения при проведении испытаний с использованием в качестве субстрата бумаги из крафт-целлюлозы.
Фиг.8 представляет сравнительные данные по адгезионной прочности при разрыве под действием внутреннего давления для смол настоящего изобретения при проведении испытаний с использованием в качестве субстрата бумаги из крафт-целлюлозы.
Фиг.9 представляет кривые по прочности прилипания в горячем состоянии для смол настоящего изобретения. Для обеспечения четкости визуальной информации продемонстрированы только линии, соединяющие экспериментальные точки для РЕ4517, DC-C-1 и DC-C-2.
Фиг.10 представляет кривые по предельной прочности при тепловой сварке для смол настоящего изобретения. Для обеспечения четкости визуальной информации продемонстрированы только линии, соединяющие экспериментальные точки для РЕ4517, DC-C-1 и DC-C-2.
Фиг.11. Фиг.11(а) иллюстрирует данные по молекулярной массе для смол настоящего изобретения, полученные по результатам анализа по методу SEC-MALS. Фиг.11(b) иллюстрирует уровень содержания длинноцепных разветвлений (количество ДЦР/1000 атомов углерода основной цепи) в зависимости от среднемассовой молекулярной массы согласно определению по методу SEC-MALS.
Фиг.12. Фиг.12(а) иллюстрирует токовую нагрузку на двигатель в зависимости от сдвиговой вязкости при скорости сдвига 100 1/сек для смол настоящего изобретения. Фиг.12(b) демонстрирует графическое представление зависимости падения давления в экструзионной головке от сдвиговой вязкости при скорости сдвига 100 1/сек для смол настоящего изобретения. Как на фиг.12(а), так и на фиг.12(b) сплошные линии представляют собой только линии трендов.
Фиг.13. Фиг.13(а) иллюстрирует зависимость уровня шейкообразования для одной стороны от вязкости при нулевом сдвиге для смол настоящего изобретения. Фиг.13(b) иллюстрирует зависимость уровня шейкообразования для одной стороны от параметра упругого сдвига при 0,03 1/сек. Как на фиг.13(а), так и на фиг.13(b) сплошная линия представляет собой только линию тренда, а символ в форме ромба представляет собой данные для смолы РЕ4517, приведенные для сопоставления.
Фиг.14 демонстрирует максимальную скорость технологической линии в зависимости от вязкости при низкой скорости сдвига при частоте 0,03 1/сек для смол настоящего изобретения. Символ в форме ромба представляет собой данные для смолы РЕ4517, приведенные в порядке сопоставления.
Настоящее изобретение предлагает новые композиции катализаторов, способы получения композиций катализаторов, способы использования композиций катализаторов для полимеризации олефина и полиолефины. В одном аспекте данное изобретение включает систему двойного металлоценового катализатора, которая обеспечивает получение подходящей комбинации свойств полиолефина, таких как индекс расплава, плотность, полидисперсность, уровень содержания длинноцепных разветвлений, реологические свойства и тому подобное. Например, в одном аспекте данного изобретения предлагаются новые полиэтиленовые (ПЭ) смолы, полученные при использовании металлоценового катализатора, которые являются подходящими для сфер применения покрытий, нанесенных по способу экструдирования. В еще одном аспекте смолы ПЭ, получаемые при использовании металлоценового катализатора, синтезируют, например, при использовании технологической платформы на основе петлевого суспензионного реактора низкого давления, обеспечивающей получение свойств смолы, подходящих для сфер применения покрытий, нанесенных по способу экструдирования.
В одном аспекте настоящее изобретение включает композицию катализатора, содержащую продукт введения в контакт первого металлоценового соединения, второго металлоценового соединения, по меньшей мере, одного химически модифицированного твердого оксида и, по меньшей мере, одного алюминийорганического соединения. В еще одном аспекте данное изобретение включает композицию катализатора, содержащую продукт введения в контакт единственного металлоценового соединения, по меньшей мере, одного химически модифицированного твердого оксида и, по меньшей мере, одного алюминийорганического соединения. В обоих данных аспектах данное изобретение включает смесь связанных между собой веществ, композицию катализатора полимеризации олефинов, способ получения композиции катализатора, способ использования композиции катализатора, новые полимеры и сополимеры этилена и тому подобное. В еще одном аспекте данное изобретение включает новые полиолефины.
В одном аспекте настоящее изобретение включает композицию двойного металлоценового катализатора, где первое металлоценовое соединение может включать комплекс, содержащий структуру бис(лиганд, относящийся к циклопентадиенильному типу) и Ti, Zr или Hf; второе металлоценовое соединение может включать комплекс, содержащий структуру бис(лиганд, относящийся к циклопентадиенильному типу) и Ti, Zr или Hf; по меньшей мере, один компонент в виде химически модифицированного твердого оксида; и, по меньшей мере, одно алюминийорганическое соединение. В еще одном аспекте данного изобретения первое металлоценовое соединение может включать анса-металлоцен, и второе металлоценовое соединение может включать анса-металлоцен.
Композиция и компоненты катализатора
Металлоценовые соединения
В одном аспекте настоящее изобретение предлагает композицию катализатора, содержащую первое металлоценовое соединение, второе металлоценовое соединение, по меньшей мере, один химически модифицированный твердый оксид и, по меньшей мере, одно алюминийорганическое соединение. В еще одном аспекте два различных металлоценовых соединения используют, например, в способе полимеризации одновременно с получением полиэтиленовой смолы, обладающей свойствами, которые являются подходящими для использования в сферах применения покрытий, нанесенных по способу экструдирования.
В одном аспекте данного изобретения первое металлоценовое соединение может являться титан-, цирконий- или гафнийсодержащим металлоценовым соединением, где два лиганда, относящиеся к 5-циклопентадиенильному типу, соединены мостиковой группой С1, С2 или Si1, и где любой один представитель, выбираемый из лигандов, относящихся к 5-циклопентадиенильному типу, или мостиковой группы, может являться замещенным или незамещенным. В данном аспекте и в условиях в реакторе, описанных в настоящем документе, композиция катализатора на основе первого металлоценового соединения, по меньшей мере, одного химически модифицированного твердого оксида и, по меньшей мере, одного алюминийорганического соединения обычно обеспечивает получение высокомолекулярной смолы, характеризующейся величиной HLMI (индекса расплава при повышенном напряжении сдвига) (измеренного в соответствии с документом ASTM 1238), меньшей 10 г/10 мин, а в еще одном аспекте обычно обеспечивает получение высокомолекулярной смолы, характеризующейся величиной HLMI, меньшей 2 г/10 мин. Кроме того, в данном аспекте два лиганда, относящихся к 5-циклопентадиенильному типу, соединяются замещенной или незамещенной мостиковой группой («мостиком»), содержащей 1 или 2 соседних анса-атома углерода в цепи или 1 анса-атом кремния, где один конец 2-углеродной цепи связан с одним лигандом, относящимся к 5-циклопентадиенильному типу, а другой конец цепи связан с другим лигандом, относящимся к 5-циклопентадиенильному типу, первого металлоценового соединения. Примеры первых металлоценовых соединений данного типа настоящего изобретения включают нижеследующее, но не ограничиваются только им: флуоренил-мостик-циклопентадиенильное металлоценовое соединение, флуоренил-мостик-инденильное металлоценовое соединение или флуоренил-мостик-флуоренильное металлоценовое соединение, где любой один представитель, выбираемый из лигандов, относящихся к 5-циклопентадиенильному типу, или мостиковой группы, может являться замещенным или незамещенным.
В еще одном аспекте первое металлоценовое соединение может являться, например, титан-, цирконий- или гафнийсодержащим металлоценовым соединением, относящимся к общему типу рац-инденил-мостик-инденильному металлоценовому соединению, где мостиковая группа между двумя 5-инденильными лигандами может представлять собой мостиковую группу С1, С2 или Si1, и где любой один представитель, выбираемый из 5-инденильных лигандов или мостиковой группы, может являться замещенным или незамещенным. В данном аспекте и в условиях в реакторе, описанных в настоящем документе, композиция катализатора на основе первого металлоценового соединения, по меньшей мере, одного химически модифицированного твердого оксида и, по меньшей мере, одного алюминийорганического соединения обычно обеспечивает получение высокомолекулярной смолы, характеризующейся величиной HLMI, меньшей 10, а в еще одном аспекте обычно обеспечивает получение высокомолекулярной смолы, характеризующейся величиной HLMI, меньшей 2. Кроме того, в данном аспекте два 5-инденильных лиганда соединяются замещенной или незамещенной мостиковой группой, содержащей 1 или 2 соседних анса-атома углерода в цепи или 1 анса-атом кремния, где один конец 2-углеродной цепи связан с одним 5-инденильным лигандом, а другой конец цепи связан с другим 5-инденильным лигандом первого металлоценового соединения таким образом, чтобы обеспечить получение рацемического металлоценового соединения.
В еще одном аспекте данного изобретения второе металлоценовое соединение может являться титан-, цирконий- или гафнийсодержащим металлоценовым соединением, относящимся к общему типу циклопентадиенил-мостик-циклопентадиенильного металлоценового соединения, где мостиковая группа между двумя 5-циклопентадиенильными лигандами может представлять собой мостиковую группу С1, С2 или Si1, и где любой один представитель, выбираемый из 5-циклопентадиенильных лигандов или мостиковой группы, может являться замещенным или незамещенным. В данном аспекте и в условиях в реакторе, описанных в настоящем документе, композиция катализатора на основе второго металлоценового соединения, по меньшей мере, одного химически модифицированного твердого оксида и, по меньшей мере, одного алюминийорганического соединения обычно обеспечивает получение низкомолекулярной смолы, характеризующейся величиной MI (индекса расплава), большей 1, а в еще одном аспекте обычно обеспечивает получение низкомолекулярной смолы, характеризующейся величиной MI, большей 20. Кроме того, в данном аспекте два 5-циклопентадиенильных лиганда соединяются замещенной или незамещенной мостиковой группой, содержащей 1 или 2 соседних анса-атома углерода в цепи или 1 анса-атом кремния, связанные с обоими 5-циклопентадиенильными лигандами второго металлоценового соединения.
В одном аспекте композиция катализатора настоящего изобретения содержит продукт введения в контакт первого металлоценового соединения, второго металлоценового соединения, по меньшей мере, одного химически модифицированного твердого оксида и, по меньшей мере, одного алюминийорганического соединения, где:
а) первым металлоценовым соединением является анса-металлоцен, описывающийся нижеследующей формулой:
i) (Х1)(Х2)(Х3)(Х4)М1,
где (Х1) и (Х2) совместно представляют собой флуоренил и циклопентадиенил, флуоренил и инденил, или два флуоренила, любой один из которых может являться замещенным, незамещенным, частично насыщенным, или любую их комбинацию; или
ii) рац-(Х1)(Х2)(Х3)(Х4)М1,
где (Х1) и (Х2) совместно представляют собой два инденила, любой один из которых может являться замещенным, незамещенным, частично насыщенным, или любую их комбинацию;
где М1 представляет собой Ti, Zr или Hf;
где (Х1) и (Х2) соединены замещенной или незамещенной мостиковой группой, содержащей:
i) один атом, который представляет собой атом углерода, кремния, германия или олова, связанный как с (Х1), так и с (Х2); или
ii) два соседних атома углерода в цепи, один конец которой связан с (Х1), а другой конец которой связан с (Х2); и
где (Х3); (Х4); каждый заместитель в замещенном циклопентадиениле, замещенном индениле и замещенном флуорениле; и каждый заместитель в замещенной мостиковой группе независимо представляет собой гидрокарбильную группу, алифатическую группу, ароматическую группу, циклическую группу, комбинацию алифатических и циклических групп, группу кислорода, группу серы, группу азота, группу фосфора, группу мышьяка, группу углерода, группу кремния, группу германия, группу олова, группу свинца, группу бора, группу алюминия, неорганическую группу, металлорганическую группу или их замещенное производное, содержащие от 1 до 20 атомов углерода; галогенид; или водород;
b) вторым металлоценовым соединением является анса-металлоцен, описывающийся нижеследующей формулой:
(Х5)(Х6)(Х7)(Х8)М2,
где М2 представляет собой Ti, Zr или Hf;
где (Х5) и (Х6) независимо представляют собой циклопентадиенил или замещенный циклопентадиенил;
где (Х5) и (Х6) соединены замещенной или незамещенной мостиковой группой, содержащей:
i) один атом, который представляет собой атом углерода, кремния, германия или олова, связанный как с (Х5), так и с (Х6); или
ii) два соседних атома углерода в цепи, один конец которой связан с (Х5), а другой конец которой связан с (Х6); и
где, если (Х5) или (Х6) представляют собой замещенный циклопентадиенил, то тогда замещенный циклопентадиенил является замещенным заместителями в количестве вплоть до четырех в дополнение к мостиковой группе;
где (Х7); (Х8); каждый заместитель в замещенном циклопентадиениле; и каждый заместитель в замещенной мостиковой группе независимо представляет собой гидрокарбильную группу, алифатическую группу, ароматическую группу, циклическую группу, комбинацию алифатических и циклических групп, группу кислорода, группу серы, группу азота, группу фосфора, группу мышьяка, группу углерода, группу кремния, группу германия, группу олова, группу свинца, группу бора, группу алюминия, неорганическую группу, металлорганическую группу или их замещенное производное, содержащие от 1 до 20 атомов углерода; галогенид; или водород; и
с) химически модифицированный твердый оксид включает твердый оксид, подвергнутый обработке электроноакцепторным анионом.
В еще одном аспекте композиция катализатора настоящего изобретения содержит продукт введения в контакт первого металлоценового соединения, второго металлоценового соединения, по меньшей мере, одного химически модифицированного твердого оксида и, по меньшей мере, одного алюминийорганического соединения, где:
а) первым металлоценовым соединением является анса-металлоцен, описывающийся нижеследующей формулой:
i) (Х1)(Х2)(Х3)(Х4)М1,
где (Х1) и (Х2) совместно представляют собой флуоренил и циклопентадиенил, флуоренил и инденил, или два флуоренила, любой один из которых может являться замещенным, незамещенным, частично насыщенным, или любую их комбинацию; или
ii) рац-(Х1)(Х2)(Х3)(Х4)М1,
где (Х1) и (Х2) совместно представляют собой два инденила, любой один из которых может являться замещенным, незамещенным, частично насыщенным, или любую их комбинацию;
где М1 представляет собой Zr или Hf;
где (Х1) и (Х2) соединены мостиковой группой, которая представляет собой >CR1 2, >SiR1 2 или -СR1 2CR1 2-, где R1 в каждом случае независимо представляет собой линейную, разветвленную, замещенную или незамещенную гидрокарбильную группу, при этом любая одна из которых содержит от 1 до 20 атомов углерода; или водород;
где любой заместитель в (Х1), (Х2) или R1 независимо представляют собой гидрокарбильную группу, группу кислорода, группу серы, группу азота, группу фосфора, неорганическую группу, металлорганическую группу, содержащие от 1 до 20 атомов углерода; галогенид; или водород; и
где (Х3) и (Х4) независимо представляют собой алкоксид или арилоксид, содержащие от 1 до 20 атомов углерода, галогенид или гидрид; и
b) вторым металлоценовым соединением является анса-металлоцен, описывающийся нижеследующей формулой:
(Х5)(Х6)(Х7)(Х8)Zr,
где (Х5) и (Х6) независимо представляют собой циклопентадиенил или замещенный циклопентадиенил;
где (Х5) и (Х6) соединены мостиковой группой, которая представляет собой >CR2 2, >SiR2 2 или -СR2 2CR2 2-, где R2 в каждом случае независимо представляет собой линейную, разветвленную, замещенную или незамещенную гидрокарбильную группу, при этом любая одна из которых содержит от 1 до 20 атомов углерода; или водород;
где, если (Х5) или (Х6) представляют собой замещенный циклопентадиенил, то тогда замещенный циклопентадиенил является замещенным заместителями в количестве вплоть до четырех в дополнение к мостиковой группе;
где любой заместитель в (Х5), (Х6) или R2 независимо представляют собой гидрокарбильную группу, группу кислорода, группу серы, группу азота, группу фосфора, неорганическую группу, металлорганическую группу, содержащие от 1 до 20 атомов углерода; галогенид; или водород; и
где (Х7) и (Х8) независимо представляют собой алкоксид, арилоксид или амид, содержащие от 1 до 20 атомов углерода, галогенид или гидрид.
Настоящее изобретение дополнительно включает композиции катализаторов, содержащие различные комбинации металлоценовых соединений, в том числе нижеследующее, но не ограничиваясь только им: по меньшей мере, одно первое металлоценовое соединение в комбинации со вторым металлоценовым соединением, первое металлоценовое соединение в комбинации, по меньшей мере, с одним вторым металлоценовым соединением и любая комбинация более чем одного первого металлоценового соединения и любая комбинация более чем одного второго металлоценового соединения.
В еще одном аспекте композиция катализатора данного изобретения содержит продукт введения в контакт первого металлоценового соединения, второго металлоценового соединения, по меньшей мере, одного химически модифицированного твердого оксида и, по меньшей мере, одного алюминийорганического соединения, где алюминийорганическое соединение описывается нижеследующей формулой:
Al(X9)n(X10)3-n,
где (Х9) представляет собой гидрокарбил, содержащий от 1 до 20 атомов углерода; (Х10) представляет собой алкоксид или арилоксид, содержащие от 1 до 20 атомов углерода, галогенид или гидрид; а n представляет собой число от 1 до 3, включительно.
В еще одном аспекте композиция катализатора данного изобретения содержит продукт введения в контакт первого металлоценового соединения, второго металлоценового соединения, по меньшей мере, одного химически модифицированного твердого оксида и, по меньшей мере, одного алюминийорганического соединения, где химически модифицированный твердый оксид включает твердый оксид, подвергнутый обработке электроноакцепторным анионом, где:
твердым оксидом являются диоксид кремния, оксид алюминия, диоксид кремния-оксид алюминия, фосфат алюминия, гетерополивольфраматы, диоксид титана, диоксид циркония, оксид магния, оксид бора, оксид цинка, их смешанные оксиды или их смеси; и
электроноакцепторным анионом являются фторид, хлорид, бромид, фосфат, трифторметансульфонат, бисульфат, сульфат или любая их комбинация.
Первое металлоценовое соединение
В одном аспекте данного изобретения первое металлоценовое соединение может включать анса-металлоцен, описывающийся нижеследующей формулой:
(Х1)(Х2)(Х3)(Х4)М1,
где М1 представляет собой Zr или Hf;
где (Х1) и (Х2) совместно представляют собой флуоренил и циклопентадиенил или два флуоренила, любой один из которых может являться замещенным или незамещенным;
где (Х1) и (Х2) соединены мостиковой группой, которая представляет собой >CR1 2, >SiR1 2 или -СR1 2CR1 2-, где R1 в каждом случае независимо представляет собой линейную, разветвленную, замещенную или незамещенную гидрокарбильную группу, при этом любая одна из которых содержит от 1 до 20 атомов углерода; галогенид; или водород;
где любой заместитель в (Х1), (Х2) или R1 независимо представляют собой гидрокарбильную группу, группу кислорода, группу серы, группу азота, при этом любая одна из которых содержит от 1 до 20 атомов углерода; или водород; и
где (Х3) и (Х4) независимо представляют собой алкоксид или арилоксид, содержащие от 1 до 20 атомов углерода, галогенид или гидрид.
В еще одном аспекте первое металлоценовое соединение может включать анса-металлоцен, описывающийся нижеследующей формулой:
рац-(Х1)(Х2)(Х3)(Х4)Zr,
где (Х1) и (Х2) совместно представляют собой два инденила, любой один из которых может являться замещенным или незамещенным;
где (Х1) и (Х2) соединены мостиковой группой, которая представляет собой >CR1 2, >SiR1 2 или -СR1 2CR1 2-, где R1 в каждом случае независимо представляет собой линейную, разветвленную, замещенную или незамещенную гидрокарбильную группу, при этом любая одна из которых содержит от 1 до 20 атомов углерода; или водород;
где любой заместитель в (Х1), (Х2) или R1 независимо представляют собой гидрокарбильную группу, группу кислорода, группу серы, группу азота, при этом любая одна из которых содержит от 1 до 20 атомов углерода; или водород; и
где (Х3) и (Х4) независимо представляют собой алкоксид или арилоксид, содержащие от 1 до 20 атомов углерода, галогенид или гидрид.
В еще одном аспекте данного изобретения в условиях в реакторе, описанных в настоящем документе, композиция катализатора на основе первого металлоценового соединения без второго металлоцена, по меньшей мере, одного химически модифицированного твердого оксида и, по меньшей мере, одного алюминийорганического соединения обычно обеспечивает получение высокомолекулярной смолы, характеризующейся величиной HLMI, меньшей 10, а в еще одном аспекте обычно обеспечивает получение смолы, характеризующейся величиной HLMI, меньшей 2.
В еще одном аспекте два лиганда, относящихся к 5-циклопентадиенильному типу, соединяются мостиковой группой С1, С2 или Si1, и где любой один представитель, выбираемый из лигандов, относящихся к 5-циклопентадиенильному типу, или мостиковых групп, может являться замещенным или незамещенным.
В одном аспекте первым металлоценовым соединением является, например, анса-металлоцен, описывающийся нижеследующей формулой:
i) (Х1)(Х2)(Х3)(Х4)М1,
где (Х1) и (Х2) совместно представляют собой флуоренил и циклопентадиенил, флуоренил и инденил, или два флуоренила, любой один из которых может являться замещенным, незамещенным; или
ii) рац-(Х1)(Х2)(Х3)(Х4)М1,
где (Х1) и (Х2) совместно представляют собой два инденила, любой один из которых может являться замещенным или незамещенным;
и где возможные заместители в (Х1) и (Х2) включают водород. Таким образом, (Х1) и (Х2) могут являться частично замещенными тогда, когда это химически возможно, до тех пор, пока лиганд, относящийся к 5-циклопентадиенильному типу, будет оставаться незатронутым. Таким образом, определения (Х1) и (Х2) включают частично насыщенные аналоги, такие как частично насыщенные инденилы и флуоренилы, в том числе нижеследующее, но не ограничиваясь только им: тетрагидроинденилы, тетрагидрофлуоренилы и октагидрофлуоренилы.
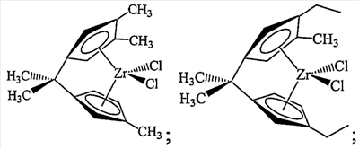
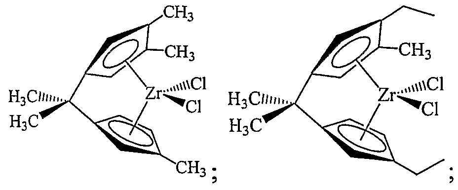
В еще одном аспекте данного изобретения примеры первого металлоценового соединения, которые являются подходящими для использования в композиции катализатора данного изобретения, включают соединение, описывающееся нижеследующей формулой:

;
или любую их комбинацию;
где Е представляет собой С, Si, Ge или Sn; и где R1, R2 и R3 в каждом случае независимо представляют собой Н или гидрокарбильную группу, содержащую от 1 до 20 атомов углерода.
Примеры первого металлоценового соединения данного изобретения включают нижеследующие соединения, но не ограничиваются только ими:



;
или любую их комбинацию.
Примеры первого металлоценового соединения данного изобретения также включают нижеследующие соединения, но не ограничиваются только ими:
дихлорид 2-( 5-циклопентадиенил)-2-( 5-флуорен-9-ил)гекс-5-енциркония (IV), [( 5-C5H4)CCH3(CH2CH2CH=CH2)( 5-9-C13H9)]ZrCl2;
дихлорид 2-( 5-циклопентадиенил)-2-( 5-2,7-ди-трет-бутилфлуорен-9-ил)гекс-5-енциркония (IV), [( 5-C5H4)CCH3(CH2CH2CH=CH2)( 5-9-C13H7-2,7-tBu2)]ZrCl2;
дихлорид 2-( 5-циклопентадиенил)-2-( 5-флуорен-9-ил)гепт-6-енциркония (IV), [( 5-C5H4)CCH3(CH2CH2СН2CH=CH2)( 5-9-C13H9)]ZrCl2;
дихлорид 2-( 5-циклопентадиенил)-2-( 5-2,7-ди-трет-бутилфлуорен-9-ил)гепт-6-енциркония (IV), [( 5-C5H4)CCH3(CH2CH2CH2CH=CH2)( 5-9-C13H7-2,7-tBu2)]ZrCl2;
дихлорид 1-( 5-циклопентадиенил)-1-( 5-флуорен-9-ил)-1-фенилпент-4-енциркония (IV), [( 5-C5H4)C(C6H5)(CH2СН2CH=CH2)( 5-9-C13H9)]ZrCl2;
дихлорид 1-( 5-циклопентадиенил)-1-( 5-2,7-ди-трет-бутилфлуорен-9-ил)-1-фенилпент-4-енциркония (IV), [( 5-C5H4)C(C6H5)(CH2CH2CH=CH2)( 5-9-C13H7-2,7-tBu2)]ZrCl2;
дихлорид 1-( 5-циклопентадиенил)-1-( 5-флуорен-9-ил)-1-фенилгекс-5-енциркония (IV), [( 5-C5H4)C(C6H5)(CH2СН2СН2CH=CH2)( 5-9-C13H9)]ZrCl2;
дихлорид 1-( 5-циклопентадиенил)-1-( 5-2,7-ди-трет-бутилфлуорен-9-ил)-1-фенилгекс-5-енциркония (IV), [( 5-C5H4)C(C6H5)(CH2СН2СН2CH=CH2)( 5-9-C13H7-2,7-tBu2)]ZrCl2;
или любая их комбинация.
В еще одном аспекте примеры первого металлоценового соединения включают нижеследующее, но не ограничиваются только им: рац-С2Н4( 5-Ind)2ZrCl2, рац-Me2Si( 5-Ind)2ZrCl2, Me(октил)Si( 5-Flu)2ZrCl2, рац-Me2Si( 5-2-Me-4-PhInd)2ZrCl2, рац-С2Н4( 5-2-MeInd)2ZrCl2, Me(Ph)Si( 5-Flu)2ZrCl2 или любая их комбинация.
Второе металлоценовое соединение
В одном аспекте данного изобретения второе металлоценовое соединение может включать анса-металлоцен, описывающийся нижеследующей формулой:
(Х5)(Х6)(Х7)(Х8)Zr,
где (Х5) и (Х6) независимо представляют собой циклопентадиенил или замещенный циклопентадиенил;
где (Х5) и (Х6) соединены мостиковой группой, которая представляет собой >CR2 2, >SiR2 2 или -СR2 2CR2 2-, где R2 в каждом случае независимо представляет собой линейную, разветвленную, замещенную или незамещенную гидрокарбильную группу, при этом любая одна из которых содержит от 1 до 20 атомов углерода; или водород;
где, если (Х5) или (Х6) представляют собой замещенный циклопентадиенил, то тогда замещенный циклопентадиенил является замещенным заместителями в количестве вплоть до четырех в дополнение к мостиковой группе;
где любой заместитель в (Х5), (Х6) или R2 независимо представляют собой гидрокарбильную группу, группу кислорода, группу серы, группу азота, при этом любая одна из которых содержит от 1 до 20 атомов углерода; или водород; и
где (Х7) и (Х8) независимо представляют собой алкоксид или арилоксид, содержащие от 1 до 20 атомов углерода, галогенид или гидрид.
В еще одном аспекте данного изобретения в условиях в реакторе, описанных в настоящем документе, композиция катализатора на основе второго металлоценового соединения без первого металлоцена, по меньшей мере, одного химически модифицированного твердого оксида и, по меньшей мере, одного алюминийорганического соединения обычно обеспечивает получение низкомолекулярной смолы, характеризующейся величиной MI, большей 1, а в еще одном аспекте обычно обеспечивает получение смолы, характеризующейся величиной MI, большей 20.
В еще одном аспекте данного изобретения примеры второго металлоценового соединения, которые являются подходящими для использования в композиции катализатора данного изобретения, включают соединение, описывающееся нижеследующей формулой:


или любую их комбинацию; где Е представляет собой С, Si, Ge или Sn; и где R1, R2, R3 и R4 в каждом случае независимо представляют собой Н или гидрокарбильную группу, содержащую от 1 до 20 атомов углерода.
Примеры второго металлоценового соединения данного изобретения включают нижеследующие соединения, но не ограничиваются только ими:



или любую их комбинацию.
В еще одном аспекте данного изобретения примеры второго металлоценового соединения включают нижеследующее, но не ограничиваются только им: рац-Me2Si(3-н-PrCp)2ZrCl2, Me2Si(Me4Cp)2ZrCl2, Me2SiCp2ZrCl2 или любая их комбинация.
Заместители
В одном аспекте данного изобретения металлоценовые соединения могут иметь широкий ассортимент заместителей, содержащих химические фрагменты, либо связанные с самим металлом, как в случае лиганда (Х3), (Х4), (Х7) или (Х8), либо связанные с другой частью молекулы, такие как заместитель в лиганде, относящемся к 5-циклопентадиенильному типу, заместитель в мостиковой группе, связывающей два лиганда, относящихся к 5-циклопентадиенильному типу, и тому подобное.
В данном аспекте (Х3); (Х4); каждый заместитель в замещенном циклопентадиениле, замещенном индениле и замещенном флуорениле; и каждый заместитель в замещенной мостиковой группе независимо может представлять собой, например, гидрокарбильную группу, алифатическую группу, ароматическую группу, циклическую группу, комбинацию алифатических и циклических групп, группу кислорода, группу серы, группу азота, группу фосфора, группу мышьяка, группу углерода, группу кремния, группу германия, группу олова, группу свинца, группу бора, группу алюминия, неорганическую группу, металлорганическую группу или их замещенное производное, содержащие от 1 до 20 атомов углерода; галогенид; или водород; до тех пор, пока данные группы не будут ограничивать активность композиции катализатора. Кроме того, данное описание может включать замещенные, незамещенные, разветвленные, линейные или замещенные гетероатомом аналоги данных фрагментов.
Кроме того, данный перечень включает заместителей, которые могут быть отнесены к более чем одной из данных категорий, такие как бензил. Данный перечень также включает водород, поэтому понятия замещенного инденила и замещенного флуоренила включают частично насыщенные инденилы и флуоренилы, в том числе нижеследующее, но не ограничиваясь только им: тетрагидроинденилы, тетрагидрофлуоренилы и октагидрофлуоренилы.
Примеры каждой из данных замещенных групп включают нижеследующие группы, но не ограничиваются только ими. В каждом примере, представленном далее, если только не будет оговорено другого, R независимо представляет собой алифатическую группу; ароматическую группу; циклическую группу; любую их комбинацию; любое их замещенное производное; в том числе нижеследующее, но не ограничиваясь только им: их галогенид-, алкоксид- или амидзамещенное производное; любое одно из которых содержит от 1 до 20 атомов углерода; или водород. В данные группы включаются также и любые их незамещенные, разветвленные или линейные аналоги.
Примеры алифатических групп в каждом случае включают нижеследующее, но не ограничиваются только им: алкильная группа, циклоалкильная группа, алкенильная группа, циклоалкенильная группа, алкинильная группа, алкадиенильная группа, циклическая группа и тому подобное, и включают все их замещенные, незамещенные, разветвленные и линейные аналоги и производные, в каждом случае содержащие от одного до 20 атомов углерода. Таким образом, алифатические группы включают нижеследующее, но не ограничиваются только им: гидрокарбилы, такие как парафины и алкенилы. Например, алифатические группы, используемые в настоящем изобретении, включают метил, этил, пропил, н-бутил, трет-бутил, втор-бутил, изобутил, амил, изоамил, гексил, циклогексил, гептил, октил, нонил, децил, додецил, 2-этилгексил, пентенил, бутенил и тому подобное.
Примеры ароматических групп в каждом случае включают нижеследующее, но не ограничиваются только им: фенил, нафтил, антраценил и тому подобное, в том числе их замещенные производные, в каждом случае содержащие от 6 до 25 атомов углерода. Замещенные производные ароматических соединений включают нижеследующее, но не ограничиваются только им: толил, ксилил, мезитил и тому подобное, в том числе любое их производное, замещенное гетероатомом.
Примеры циклических групп в каждом случае включают нижеследующее, но не ограничиваются только им: циклопарафины, циклоолефины, циклоацетилены, арены, такие как фенильная, бициклическая группы и тому подобное, в том числе их замещенные производные, в каждом случае содержащие от 3 до 20 атомов углерода. Таким образом, в настоящее изобретение включаются циклические группы, замещенные гетероатомом, такие как фуранил.
В каждом случае алифатическими и циклическими группами являются группы, содержащие алифатическую часть и циклическую часть, примеры которых включают нижеследующее, но не ограничиваются только им: группы, такие как: -(CH2)mC6HqR5-q, где m представляет собой целое число в диапазоне от 1 до 10, q представляет собой целое число в диапазоне от 1 до 5, включительно; (CH2)mC6HqR10-q, где m представляет собой целое число в диапазоне от 1 до 10, q представляет собой целое число в диапазоне от 1 до 10, включительно; и
(CH2)mC5HqR9-q, где m представляет собой целое число в диапазоне от 1 до 10, q представляет собой целое число в диапазоне от 1 до 9, включительно. В каждом случае и согласно приведенному выше определению R независимо представляет собой: алифатическую группу; ароматическую группу; циклическую группу; любую их комбинацию; любое их замещенное производное, в том числе нижеследующее, но не ограничиваясь только им: их галогенид-, алкоксид- или амидзамещенное производное; любое одно из которых содержит от 1 до 20 атомов углерода; или водород. В одном аспекте алифатические и циклические группы включают нижеследующее, но не ограничиваются только им: -CH2C6H5; -CH2C6H4F; -CH2C6H4Cl; -CH2C6H4Br; -CH2C6H4I; -CH2C6H4OMe; -CH2C6H4OEt; -CH2C6H4NH2; -CH2C6H4NMe2; -CH2C6H4NEt2; -CH2CH2C6H5; -CH2CH2C6H4F; -CH2CH2C6H4Cl; -CH2CH2C6H4Br; -CH2CH2C6H4I; -CH2CH2C6H4OMe; -CH2CH2C6H4OEt; -CH2CH2C6H4NH2; -CH2CH2C6H4NMe2; -CH2CH2C6H4NEt2; любой их региоизомер и любое их замещенное производное.
Примеры галогенидов в каждом случае включают фторид, хлорид, бромид и иодид.
В каждом случае группы кислорода представляют собой кислородсодержащие группы, примеры которых включают нижеследующее, но не ограничиваются только им: алкокси- или арилокси-группы (-OR), -OC(O)R, -OC(O)H, -OSiR3, -OPR2, -OAlR2 и тому подобное, в том числе их замещенные производные, где R в каждом случае представляет собой алкил, циклоалкил, арил, аралкил, замещенный алкил, замещенный арил или замещенный аралкил, содержащие от 1 до 20 атомов углерода. Примеры алкокси- или арилокси-групп в виде групп (-OR) включают нижеследующее, но не ограничиваются только им: метокси, этокси, пропокси, бутокси, фенокси, замещенный фенокси и тому подобное.
В каждом случае группы серы представляют собой серосодержащие группы, примеры которых включают нижеследующее, но не ограничиваются только им: -SR, -OSO2R, -OSO2OR, -SCN, -SO2R и тому подобное, в том числе их замещенные производные, где R в каждом случае представляет собой алкил, циклоалкил, арил, аралкил, замещенный алкил, замещенный арил или замещенный аралкил, содержащие от 1 до 20 атомов углерода.
В каждом случае группы азота представляют собой азотсодержащие группы, которые включают нижеследующее, но не ограничиваются только им: -NH2, -NHR,
-NR2, -NO2, -N3 и тому подобное, в том числе их замещенные производные, где R в каждом случае представляет собой алкил, циклоалкил, арил, аралкил, замещенный алкил, замещенный арил или замещенный аралкил, содержащие от 1 до 20 атомов углерода.
В каждом случае группы фосфора представляют собой фосфорсодержащие группы, которые включают нижеследующее, но не ограничиваются только им: -PH2, -PHR, -PR2, -P(O)R2, -P(O)(OR)2 и тому подобное, в том числе их замещенные производные, где R в каждом случае представляет собой алкил, циклоалкил, арил, аралкил, замещенный алкил, замещенный арил или замещенный аралкил, содержащие от 1 до 20 атомов углерода.
В каждом случае группы мышьяка представляют собой мышьяксодержащие группы, которые включают нижеследующее, но не ограничиваются только им: -AsHR, -AsR2, -As(O)R2, -As(OR)2, -As(O)(OR)2 и тому подобное, в том числе их замещенные производные, где R в каждом случае представляет собой алкил, циклоалкил, арил, аралкил, замещенный алкил, замещенный арил или замещенный аралкил, содержащие от 1 до 20 атомов углерода.
В каждом случае группы углерода представляют собой углеродсодержащие группы, которые включают нижеследующее, но не ограничиваются только им: алкилгалогенидные группы, которые включают галогенидзамещенные алкильные группы, содержащие от 1 до 20 атомов углерода, аралкильные группы, содержащие от 1 до 20 атомов углерода, -C(O)H, -C(O)R, -C(O)OR, циано, -C(NR)H, -C(NR)R, -C(NR)OR и тому подобное, в том числе их замещенные производные, где R в каждом случае представляет собой алкил, циклоалкил, арил, аралкил, замещенный алкил, замещенный арил или замещенный аралкил, содержащие от 1 до 20 атомов углерода.
В каждом случае группы кремния представляют собой кремнийсодержащие группы, которые включают нижеследующее, но не ограничиваются только им: силильные группы, такие как алкилсилильные группы, арилсилильные группы, арилалкилсилильные группы, силокси-группы и тому подобное, которые в каждом случае содержат от 1 до 20 атомов углерода. Например, группы кремния включают триметилсилильную и фенилоктилсилильную группы.
В каждом случае группы германия представляют собой германийсодержащие группы, которые включают нижеследующее, но не ограничиваются только им: гермильные группы, такие как алкилгермильные группы, арилгермильные группы, арилалкилгермильные группы, гермилокси-группы и тому подобное, которые в каждом случае содержат от 1 до 20 атомов углерода.
В каждом случае группы олова представляют собой оловосодержащие группы, которые включают нижеследующее, но не ограничиваются только им: станнильные группы, такие как алкилстаннильные группы, арилстаннильные группы, арилалкилстаннильные группы, станнокси- (или «станнилокси-») группы и тому подобное, которые в каждом случае содержат от 1 до 20 атомов углерода. Таким образом, группы олова включают нижеследующее, но не ограничиваются только им: станнокси-группы.
В каждом случае группы свинца представляют собой свинецсодержащие группы, которые включают нижеследующее, но не ограничиваются только им: группы алкилсвинца, группы арилсвинца, группы арилалкилсвинца и тому подобное, которые в каждом случае содержат от 1 до 20 атомов углерода.
В каждом случае группы бора представляют собой борсодержащие группы, которые включают нижеследующее, но не ограничиваются только им: -BR2, -BX2, -BRX, где Х представляет собой моноанионную группу, такую как галогенид, гидрид, алкоксид, алкилтиолат и тому подобное, и где R в каждом случае представляет собой алкил, циклоалкил, арил, аралкил, замещенный алкил, замещенный арил или замещенный аралкил, содержащие от 1 до 20 атомов углерода.
В каждом случае группы алюминия представляют собой алюминийсодержащие группы, которые включают нижеследующее, но не ограничиваются только им: -AlR2, -AlX2, -AlRX, где Х представляет собой моноанионную группу, такую как галогенид, гидрид, алкоксид, алкилтиолат и тому подобное, и где R в каждом случае представляет собой алкил, циклоалкил, арил, аралкил, замещенный алкил, замещенный арил или замещенный аралкил, содержащие от 1 до 20 атомов углерода.
Примеры неорганических групп, которые можно использовать в качестве заместителей для замещенных циклопентадиенилов, замещенных инденилов, замещенных флуоренилов и замещенных боратбензолов, в каждом случае включают нижеследующее, но не ограничиваются только им: -SO2X, -OAlX2, -OSiX3, -OPX2, -SX, -OSO2X, -AsX2, -As(O)X2, -PX2 и тому подобное, где Х представляет собой моноанионную группу, такую как галогенид, гидрид, амид, алкоксид, алкилтиолат и тому подобное, и где любые алкильная, циклоалкильная, арильная, аралкильная, замещенная алкильная, замещенная арильная или замещенная аралкильная группа или заместитель в данных лигандах содержит от 1 до 20 атомов углерода.
Примеры металлорганических групп, которые можно использовать в качестве заместителей в случае замещенных циклопентадиенилов, замещенных инденилов и замещенных флуоренилов, в каждом случае включают нижеследующее, но не ограничиваются только им: борорганические группы, алюминийорганические группы, галлийорганические группы, кремнийорганические группы, германийорганические группы, оловоорганические группы, свинецорганические группы, металлорганические группы на основе переходных металлов и тому подобное, содержащие от 1 до 20 атомов углерода.
В литературе известны многочисленные способы получения металлоценовых соединений, которые можно использовать в данном изобретении. Например, такие способы описываются в патентах США 4939217, 5191132, 5210352, 5347026, 5399636, 5401817, 5420320, 5436305, 5451649, 5496781, 5498581, 5541272, 5554795, 5563284, 5565592, 5571880, 5594078, 5631203, 5631335, 5654454, 5668230, 5705579 и 6509427, каждый из которых во всей своей полноте включается в настоящий документ для справки. Информация о других способах получения металлоценовых соединений, которые можно использовать в данном изобретении, приводится в таких ссылках, как: Köppl, A. Alt, H. G. J. Mol. Catal A. 2001, 165, 23; Kajigaeshi, S.; Kadowaki, T.; Nishida, A.; Fujisaki, S. The Chemical Society of Japan, 1986, 59, 97; Alt, H. G.; Jung, M.; Kehr, G. J. Organomet. Chem.1998, 562, 153-181; и Alt, H. G.; Jung, M. J. Organomet. Chem.1998, 568, 87-112; каждая из которых во всей своей полноте включается в настоящий документ для справки. Кроме того, информация о дополнительных способах получения металлоценовых соединений, которые можно использовать в данном изобретении, приводится в работе: Journal of Organometallic Chemistry, 1996, 522, 39-54, которая во всей своей полноте включается в настоящий документ для справки. Такие способы также описываются и в следующих далее трактатах: Wailes, P. C.; Coutts, R. S. P.; Weigold, H. in Organometallic Chemistry of Titanium, Zirconium, and Hafnium, Academic; New York, 1974; Cardin, D. J.; Lappert, M. F.; and Raston, C. L.; Chemistry of Organo-Zirconium and -Hafnium Compounds; Halstead Press; New York, 1986; каждый из которых во всей своей полноте включается в настоящий документ для справки.
Химически модифицированный твердый оксид
В одном аспекте данное изобретение включает композицию катализатора, содержащую первое металлоценовое соединение, второе металлоценовое соединение, по меньшей мере, один химически модифицированный твердый оксид и, по меньшей мере, одно алюминийорганическое соединение. В еще одном аспекте настоящее изобретение включает композиции катализаторов, содержащие химически модифицированный твердый оксид, который используется в качестве кислотного активатора-носителя и который обычно используют в комбинации с алюминийорганическим соединением.
В одном аспекте данного изобретения композиция катализатора может содержать, по меньшей мере, один химически модифицированный твердый оксид, включающий, по меньшей мере, один твердый оксид, подвергнутый обработке, по меньшей мере, одним электроноакцепторным анионом, где твердый оксид может включать любой оксид, который характеризуется большой площадью удельной поверхности, а электроноакцепторный анион может включать любой анион, который вызывает увеличение кислотности твердого оксида в сопоставлении с твердым оксидом, который не был подвергнут обработке, по меньшей мере, одним электроноакцепторным анионом.
В еще одном аспекте данного изобретения композиция катализатора содержит химически модифицированный твердый оксид, включающий твердый оксид, подвергнутый обработке электроноакцепторным анионом, где:
твердым оксидом являются диоксид кремния, оксид алюминия, диоксид кремния-оксид алюминия, фосфат алюминия, гетерополивольфраматы, диоксид титана, диоксид циркония, оксид магния, оксид бора, оксид цинка, их смешанные оксиды или их смеси; и
электроноакцепторным анионом являются фторид, хлорид, бромид, фосфат, трифторметансульфонат, бисульфат, сульфат, фторфосфат, фторсульфат или любая их комбинация. В еще одном аспекте химически модифицированным твердым оксидом могут являться, например, обработанный фторидом оксид алюминия, обработанный хлоридом оксид алюминия, обработанный бромидом оксид алюминия, обработанный сульфатом оксид алюминия, обработанный фторидом диоксид кремния-оксид алюминия, обработанный хлоридом диоксид кремния-оксид алюминия, обработанный бромидом диоксид кремния-оксид алюминия, обработанный сульфатом диоксид кремния-оксид алюминия, обработанный фторидом диоксид кремния-диоксид циркония, обработанный хлоридом диоксид кремния-диоксид циркония, обработанный бромидом диоксид кремния-диоксид циркония, обработанный сульфатом диоксид кремния-диоксид циркония или любая их комбинация. Кроме того, и в еще одном аспекте химически модифицированный твердый оксид дополнительно может содержать металл или ион металла, которые представляют собой цинк, никель, ванадий, серебро, медь, галлий, олово, вольфрам, молибден или любую их комбинацию.
Химически модифицированный твердый оксид обычно включает продукт введения в контакт, по меньшей мере, одного твердого оксидного соединения и, по меньшей мере, одного источника электроноакцепторного аниона. В одном аспекте твердое оксидное соединение включает неорганический оксид. Твердое оксидное соединение не требуется подвергать прокаливанию перед введением в контакт с источником электроноакцепторного аниона. Продукт введения в контакт можно подвергнуть прокаливанию либо во время, либо после введения твердого оксидного соединения в контакт с источником электроноакцепторного аниона. В данном аспекте твердое оксидное соединение может являться прокаленным или непрокаленным. В еще одном аспекте активатор-носитель может включать продукт введения в контакт, по меньшей мере, одного прокаленного твердого оксидного соединения и, по меньшей мере, одного источника электроноакцепторного аниона.
Химически модифицированный твердый оксид, также называемый активатором-носителем, характеризуется повышенной кислотностью в сопоставлении с соответствующим немодифицированным твердым оксидным соединением. Если провести сравнение с соответствующим немодифицированным твердым оксидом, то химически модифицированный твердый оксид выполняет также функцию и активатора катализатора. Несмотря на то, что химически модифицированный твердый оксид обеспечивает активацию металлоцена и в отсутствие сокатализаторов, в исключении сокатализаторов из композиции катализатора нет никакой необходимости. Функция активации активатора-носителя проявляется в повышенной активности композиции катализатора в целом в сопоставлении с композицией катализатора, содержащей соответствующий немодифицированный твердый оксид. Однако представляется, что химически модифицированный твердый оксид может выполнять функцию активатора даже и в отсутствие алюминийорганического соединения, алюмоксанов, борорганических соединений или ионизирующих ионных соединений.
В одном аспекте химически модифицированный твердый оксид данного изобретения включает материал твердого неорганического оксида, материал смешанного оксида или комбинацию материалов неорганических оксидов, которые подвергли химической обработке электроноакцепторным компонентом и необязательно обработке металлом. Таким образом, твердый оксид данного изобретения включает материалы оксидов, такие как оксид алюминия, их «смешанные оксидные» соединения, такие как диоксид кремния-оксид алюминия, и их комбинации и смеси. Смешанные оксидные соединения, такие как диоксид кремния-оксид алюминия, могут иметь одну или несколько химических фаз, при этом с образованием твердого оксидного соединения с кислородом комбинируется более чем один металл, и они включаются в данное изобретение.
В одном аспекте данного изобретения химически модифицированный твердый оксид дополнительно содержит металл или ион металла, которые представляют собой цинк, никель, ванадий, титан, серебро, медь, галлий, олово, вольфрам, молибден или любую их комбинацию. Примеры химически модифицированных твердых оксидов, которые дополнительно содержат металл или ион металла, включают нижеследующее, но не ограничиваются только им: импрегнированный цинком обработанный хлоридом оксид алюминия, импрегнированный титаном обработанный фторидом оксид алюминия, импрегнированный цинком обработанный фторидом оксид алюминия, импрегнированный цинком обработанный хлоридом диоксид кремния-оксид алюминия, импрегнированный цинком обработанный фторидом диоксид кремния-оксид алюминия, импрегнированный цинком обработанный сульфатом оксид алюминия, обработанный хлоридом алюминат цинка, обработанный фторидом алюминат цинка, обработанный сульфатом алюминат цинка или любая их комбинация.
В еще одном аспекте химически модифицированный твердый оксид данного изобретения включает твердый оксид, характеризующийся относительно высокой пористостью, который демонстрирует поведение кислоты Льюиса или кислоты Бренстеда. Твердый оксид подвергают химической обработке электроноакцепторным компонентом, обычно электроноакцепторным анионом, с получением активатора-носителя. Без намерения связать себя следующим далее утверждением можно предположить, что обработка неорганического оксида электроноакцепторным компонентом увеличивает или повышает кислотность оксида. Таким образом, в одном аспекте активатор-носитель демонстрирует кислотность Льюиса или Бренстеда, которая обычно превышает силу кислоты Льюиса или Бренстеда немодифицированного твердого оксида, или активатор-носитель характеризуется наличием большего количества кислотных центров в сопоставлении с немодифицированным твердым оксидом, или имеют место сразу оба случая. Один способ получения количественных характеристик кислотности материалов химически модифицированных и немодифицированных твердых оксидов заключается в сопоставлении активностей при полимеризации для модифицированных и немодифицированных оксидов при проведении реакций, катализируемых кислотой.
В одном аспекте химически модифицированный твердый оксид включает твердый неорганический оксид, содержащий кислород и, по меньшей мере, один элемент из группы 2, 3, 4, 5, 6, 7, 8, 9, 10, 11, 12, 13, 14 или 15 периодической таблицы или содержащий кислород и, по меньшей мере, один элемент из лантанидных или актинидных элементов. (Смотрите: работы Hawley’s Condensed Chemical Dictionary, 11th Ed., John Wiley & Sons; 1995; Cotton, F. A.; Wilkinson, G.; Murillo; C. A.; and Bochmann; M. Advanced Inorganic Chemistry, 6th Ed., Wiley-Interscience, 1999). Обычно неорганический оксид содержит кислород и, по меньшей мере, один элемент, который представляет собой Al, B, Be, Bi, Cd, Co, Cr, Cu, Fe, Ga, La, Mn, Mo, Ni, Sb, Si, Sn, Sr, Th, Ti, V, W, P, Y, Zn или Zr.
Подходящие примеры твердых оксидных материалов или соединений, которые можно использовать в химически модифицированном твердом оксиде настоящего изобретения, включают нижеследующее, но не ограничиваются только им: Al2O3, B2O3, BeO, Bi2O3, CdO, Co3O4, Cr2O3, СuO, Fe2O3, Ga2O3, La2O3, Mn2O3, MoO3, NiO, P2O5, Sb2O5, SiO2, SnO2, SrO, ThO2, TiO2, V2O5, WO3, Y2O3, ZnO, ZrO2 и тому подобное, в том числе их смешанные оксиды и их комбинации. Примеры смешанных оксидов, которые можно использовать в активаторе-носителе настоящего изобретения, включают нижеследующее, но не ограничиваются только им: диоксид кремния-оксид алюминия, диоксид кремния-диоксид титана, диоксид кремния-диоксид циркония, цеолиты, многие глинистые материалы, оксид алюминия-диоксид титана, оксид алюминия-диоксид циркония, алюминат цинка и тому подобное.
В одном аспекте данного изобретения материал твердого оксида подвергают химической обработке в результате введения его в контакт, по меньшей мере, с одним электроноакцепторным компонентом, обычно с источником электроноакцепторного аниона. Кроме того, материал твердого оксида подвергают необязательной химической обработке ионом металла, после этого прокаливанию с получением содержащего металл или импрегнированного металлом химически модифицированного твердого оксида. В альтернативном варианте материал твердого оксида и источник электроноакцепторного аниона вводят в контакт и подвергают прокаливанию одновременно. Способ, по которому оксид вводят в контакт с электроноакцепторным компонентом, обычно солью или кислотой электроноакцепторного аниона, включает нижеследующее, но не ограничивается только им: желатинирование, совместное желатинирование, импрегнирование одного соединения на другое и тому подобное. Обычно, вслед за любым способом введения в контакт введенную в контакт смесь оксидного соединения, электроноакцепторного аниона и необязательно иона металла подвергают прокаливанию.
Электроноакцепторным компонентом, используемым для обработки оксида, является любой компонент, который после обработки твердого оксида вызывает у него увеличение кислотности Льюиса или Бренстеда. В одном аспекте электроноакцепторным компонентом является электроноакцепторный анион, полученный из соли, кислоты или другого соединения, такого как летучее органическое соединение, которые можно использовать в качестве источника или предшественника данного аниона. Примеры электроноакцепторных анионов включают нижеследующее, но не ограничиваются только им: сульфат, бисульфат, фторид, хлорид, бромид, иодид, фторсульфат, фторборат, фосфат, фторфосфат, трифторацетат, трифторметансульфонат, фторцирконат, фтортитанат, трифторацетат, трифторметансульфонат и тому подобное, в том числе их смеси и комбинации. В дополнение к этому, в настоящем изобретении также можно использовать и другие ионные или неионные соединения, которые используются в качестве источников данных электроноакцепторных анионов.
Если электроноакцепторный компонент будет включать соль электроноакцепторного аниона, то тогда противоионом или катионом в данной соли может являться любой катион, который во время прокаливания делает возможными обращение или разложение соли обратно в кислоту. Факторы, которые определяют пригодность конкретной соли для использования в качестве источника электроноакцепторного аниона, включают нижеследующее, но не ограничиваются только им: растворимость соли в желательном растворителе, отсутствие неблагоприятной реакционной способности катиона, эффекты образования ионной пары между катионом и анионом, гигроскопические свойства, придаваемые соли катионом, и тому подобное и термическая стойкость аниона. Примеры подходящих катионов в соли электроноакцепторного аниона включают нижеследующее, но не ограничиваются только им: аммоний, триалкиламмоний, тетраалкиламмоний, тетраалкилфосфоний, Н+, [H(OEt2)2]+ и тому подобное.
Кроме того, для доведения удельной кислотности активатора-носителя до желательного уровня можно воспользоваться комбинациями одного или нескольких различных электроноакцепторных анионов в различных соотношениях. Комбинации электроноакцепторных компонентов можно вводить в контакт с материалом оксида одновременно или индивидуально и в любом порядке, который обеспечит получение желательной кислотности химически модифицированного твердого оксида. Например, в одном аспекте данного изобретения используют два или более соединения-источника электроноакцепторного аниона на двух или более раздельных стадиях введения в контакт. Таким образом, один пример такого способа, по которому получают химически модифицированный твердый оксид, заключается в нижеследующем: выбранное твердое оксидное соединение или комбинацию оксидных соединений вводят в контакт с первым соединением-источником электроноакцепторного аниона с получением первой смеси, после этого данную первую смесь подвергают прокаливанию, прокаленную первую смесь затем вводят в контакт со вторым соединением-источником электроноакцепторного соединения с получением второй смеси с последующим прокаливанием упомянутой второй смеси с получением модифицированного твердого оксидного соединения. В таком способе первое и второе соединения-источники электроноакцепторного аниона обычно являются неодинаковыми соединениями, хотя они могут являться и одним и тем же соединением.
В одном аспекте изобретения твердый оксидный активатор-носитель (химически модифицированный твердый оксид) можно получать по способу, включающему:
1) введение твердого оксидного соединения в контакт, по меньшей мере, с одним соединением-источником электроноакцепторного аниона с получением первой смеси; и
2) прокаливание первой смеси с получением твердого оксидного активатора-носителя.
В еще одном аспекте данного изобретения твердый оксидный активатор-носитель (химически модифицированный твердый оксид) получают по способу, включающему:
1) введение, по меньшей мере, одного твердого оксидного соединения в контакт с первым соединением-источником электроноакцепторного аниона с получением первой смеси; и
2) прокаливание первой смеси с получением прокаленной первой смеси;
3) введение прокаленной первой смеси в контакт со вторым соединением-источником электроноакцепторного аниона с получением второй смеси; и
4) прокаливание второй смеси с получением твердого оксидного активатора-носителя.
Таким образом, твердый оксидный активатор-носитель иногда просто называют модифицированным твердым оксидным соединением.
Еще один аспект данного изобретения заключается в получении или образовании химически модифицированного твердого оксида в результате введения, по меньшей мере, одного твердого оксида в контакт, по меньшей мере, с одним соединением-источником электроноакцепторного аниона, где, по меньшей мере, одно твердое оксидное соединение подвергают прокаливанию до, во время или после введения в контакт с источником электроноакцепторного аниона, и где имеет место по существу отсутствие алюмоксанов и органоборатов.
В одном аспекте данного изобретения как только твердый оксид будет подвергнут обработке и высушиванию, после этого его можно будет подвергать и прокаливанию. Прокаливание модифицированного твердого оксида в общем случае проводят в атмосфере окружающей среды, обычно в сухой атмосфере окружающей среды, при температуре в диапазоне от 200°С до 900°C и в течение периода времени продолжительностью от 1 минуты до 100 часов. В еще одном аспекте прокаливание проводят при температуре в диапазоне от 300°С до 800°С, а в еще одном аспекте прокаливание проводят при температуре в диапазоне от 400°С до 700°С. В еще одном аспекте прокаливание проводят в течение периода времени продолжительностью от 1 часа до 50 часов, а в еще одном аспекте прокаливание проводят в течение периода времени продолжительностью от 3 часов до 20 часов. В еще одном аспекте прокаливание можно проводить в течение периода времени продолжительностью от 1 до 10 часов при температуре в диапазоне от 350°С до 550°С.
Кроме того, во время прокаливания возможно использование любого типа подходящей окружающей среды. В общем случае прокаливание проводят в окислительной атмосфере, такой как воздух. В альтернативном варианте возможно использование инертной атмосферы, такой как азот или аргон, или восстановительной атмосферы, такой как водород или монооксид углерода.
В еще одном аспекте изобретения твердый оксидный компонент, используемый для получения химически модифицированного твердого оксида, характеризуется объемом пор, превышающим 0,1 куб. см/г. В еще одном аспекте твердый оксидный компонент характеризуется объемом пор, превышающим 0,5 куб. см/г, а в еще одном аспекте превышающим 1,0 куб. см/г. В еще одном аспекте твердый оксидный компонент характеризуется площадью удельной поверхности в диапазоне от 100 до 1000 м2/г. В еще одном аспекте твердый оксидный компонент характеризуется площадью удельной поверхности в диапазоне от 200 до 800 м2/г, а в еще одном аспекте от 250 до 600 м2/г.
Материал твердого оксида можно подвергнуть обработке источником галогенид-иона или сульфат-иона или комбинации анионов и необязательно обработке ионом металла, после этого прокаливанию с получением химически модифицированного твердого оксида в форме твердых частиц. В одном аспекте материал твердого оксида подвергают обработке источником сульфата, называемым агентом обработки сульфатом, источником хлорид-иона, называемым агентом обработки хлоридом, источником фторид-иона, называемым агентом обработки фторидом, или их комбинацией и прокаливанию с получением твердого оксидного активатора. В еще одном аспекте подходящие кислотные активаторы-носители включают нижеследующее, но не ограничиваются только им: обработанный бромидом оксид алюминия; обработанный хлоридом оксид алюминия; обработанный фторидом оксид алюминия; обработанный сульфатом оксид алюминия; обработанный бромидом диоксид кремния-оксид алюминия, обработанный хлоридом диоксид кремния-оксид алюминия; обработанный фторидом диоксид кремния-оксид алюминия; обработанный сульфатом диоксид кремния-оксид алюминия; обработанный бромидом диоксид кремния-диоксид циркония, обработанный хлоридом диоксид кремния-диоксид циркония; обработанный фторидом диоксид кремния-диоксид циркония; обработанный сульфатом диоксид кремния-диоксид циркония; сшитая глина, такая как сшитый монтмориллонит, необязательно подвергнутый обработке фторидом, хлоридом или сульфатом; обработанный фосфатом оксид алюминия или другие алюмофосфаты, необязательно подвергнутые обработке сульфатом, фторидом или хлоридом; или любая их комбинация. Кроме того, любой из активаторов-носителей необязательно можно подвергнуть обработке ионом металла.
В одном аспекте данного изобретения химически модифицированный твердый оксид включает обработанный фторидом твердый оксид в форме твердых частиц, таким образом, источник фторид-иона добавляют к оксиду в результате проведения обработки агентом обработки фторидом. В еще одном аспекте фторид-ион можно добавлять к оксиду в результате формирования суспензии оксида в подходящем растворителе, таком как спирт или вода, включающем нижеследующее, но не ограничивающимся только им: спирты, содержащие от одного до трех атомов углерода, что обуславливается их летучестью и низким поверхностным натяжением. Примеры агентов обработки фторидом, которые можно использовать в данном изобретении, включают нижеследующее, но не ограничиваются только им: фтористоводородная кислота (HF), фторид аммония (NH4F), бифторид аммония (NH4HF2), тетрафторборат аммония (NH4BF4), силикофторид (гексафторсиликат) аммония ((NH4)2SiF6), гексафторфосфат аммония (NH4PF6), их аналоги и их комбинации. Например, в качестве агента обработки фторидом можно воспользоваться бифторидом аммония NH4HF2 вследствие легкости его использования и простоты его доступности.
В еще одном аспекте настоящего изобретения твердый оксид можно подвергнуть обработке агентом обработки фторидом во время проведения стадии прокаливания. Возможно использование любого агента обработки фторидом, способного обеспечить получение полного контакта с твердым оксидом во время проведения стадии прокаливания. Например, в дополнение к данным агентам обработки фторидом, описанным ранее, можно воспользоваться летучими органическими агентами обработки фторидом. Примеры летучих органических агентов обработки фторидом, подходящих для использования в данном аспекте изобретения, включают нижеследующее, но не ограничиваются только им: фреоны, перфторгексан, перфторбензол, фторметан, трифторэтанол и их комбинации. Вместе с твердым оксидом также можно использовать газообразные фтористый водород или сам фтор, при этом обработку фторидом проводят во время прокаливания. Один удобный способ введения твердого оксида в контакт с агентом обработки фторидом заключается в возгонке агента обработки фторидом с его переходом в газовый поток, используемый для ожижения твердого оксида во время проведения прокаливания.
Подобным же образом в еще одном аспекте данного изобретения химически модифицированный твердый оксид может включать обработанный хлоридом твердый оксид в форме твердых частиц, таким образом, источник хлорид-иона добавляют к оксиду в результате проведения обработки агентом обработки хлоридом. Хлорид-ион можно добавлять к оксиду в результате формирования суспензии оксида в подходящем растворителе. В еще одном аспекте настоящего изобретения твердый оксид можно подвергать обработке агентом обработки хлоридом во время проведения стадии прокаливания. Возможно использование любого агента обработки хлоридом, подходящего для использования в качестве источника хлорида и обеспечения полного контакта с оксидом во время проведения стадии прокаливания. Например, возможно использование летучих органических агентов обработки хлоридом. Примеры летучих органических агентов обработки хлоридом, подходящих для использования в данном аспекте изобретения, включают нижеследующее, но не ограничиваются только им: определенные фреоны, перхлорбензол, хлорметан, дихлорметан, хлороформ, четыреххлористый углерод, трихлорэтанол или любая их комбинация. Вместе с твердым оксидом во время прокаливания также можно использовать газообразные хлористый водород или сам хлор. Один удобный способ введения оксида в контакт с агентом обработки хлоридом заключается в возгонке агента обработки хлоридом с его переходом в газовый поток, используемый для ожижения твердого оксида во время проведения прокаливания.
В одном аспекте количество фторид- или хлорид-ионов, имеющихся в наличии перед прокаливанием твердого оксида, в общем случае составляет величину в диапазоне от 2 до 50% (масс.), где массовые проценты получают, исходя из массы твердого оксида, например, диоксида кремния-оксида алюминия, перед проведением прокаливания. В еще одном аспекте количество фторид- или хлорид-ионов, имеющихся в наличии перед проведением прокаливания твердого оксида, находится в диапазоне от 3 до 25% (масс.), а в еще одном аспекте от 4 до 20% (масс.). Сразу после импрегнирования галогенидом подвергнутый обработке галогенидом оксид можно высушивать по любому способу, известному на современном уровне техники, включающему нижеследующее, но не ограничивающемуся только им: фильтрование с отсасыванием с последующим выпариванием, сушка под вакуумом, распылительная сушка и тому подобное, хотя проведение стадии прокаливания можно инициировать также и непосредственно, без высушивания импрегнированного твердого оксида.
Диоксид кремния-оксид алюминия, используемый для получения модифицированного диоксида кремния-оксида алюминия, может характеризоваться объемом пор, превышающим 0,5 куб. см/г. В одном аспекте объем пор может превышать 0,8 куб. см/г, а в еще одном аспекте объем пор может превышать 1,0 куб. см/г. Кроме того, диоксид кремния-оксид алюминия может характеризоваться площадью удельной поверхности, превышающей 100 м2/г. В одном аспекте площадь удельной поверхности превышает 250 м2/г, а в еще одном аспекте площадь удельной поверхности может превышать 350 м2/г. В общем случае диоксид кремния-оксид алюминия данного изобретения характеризуется уровнем содержания оксида алюминия в диапазоне от 5 до 95%. В одном аспекте уровень содержания оксида алюминия в диоксиде кремния-оксиде алюминия может находиться в диапазоне от 5 до 50%, а в еще одном аспекте уровень содержания оксида алюминия в диоксиде кремния-оксиде алюминия может находиться в диапазоне от 8% до 30% оксида алюминия при расчете на массу. В еще одном аспекте твердый оксидный компонент может включать оксид алюминия, не включая диоксида кремния, а в еще одном аспекте твердый оксидный компонент может включать диоксид кремния, не включая оксида алюминия.
Подвергнутый обработке сульфатом твердый оксид содержит сульфат и твердый оксидный компонент, такой как оксид алюминия или диоксид кремния-оксид алюминия, в форме твердых частиц. Кроме того, подвергнутый обработке сульфатом оксид необязательно подвергают обработке ионом металла, так чтобы прокаленный подвергнутый обработке сульфатом оксид содержал бы металл. В одном аспекте подвергнутый обработке сульфатом твердый оксид содержит сульфат и оксид алюминия. В одном аспекте данного изобретения подвергнутый обработке сульфатом оксид алюминия получают по способу, в котором оксид алюминия подвергают обработке источником сульфата, например, нижеследующим, но не ограничиваясь только им: серная кислота или соль серной кислоты, такая как сульфат аммония. В одном аспекте данный способ можно реализовать в результате формирования суспензии оксида алюминия в подходящем растворителе, таком как спирт или вода, в которую добавляют желательную концентрацию агента обработки сульфатом. Подходящие органические растворители включают нижеследующее, но не ограничиваются только им: спирты, содержащие от одного до трех атомов углерода, что обуславливается их летучестью и малостью поверхностного натяжения.
В одном аспекте изобретения количество сульфат-иона, имеющегося в наличии до проведения прокаливания, в общем случае находится в диапазоне от 0,5 массовой части до 100 массовых частей сульфат-иона при расчете на 100 массовых частей твердого оксида. В еще одном аспекте количество сульфат-иона, имеющегося в наличии до проведения прокаливания, в общем случае находится в диапазоне от 1 массовой части до 50 массовых частей сульфат-иона при расчете на 100 массовых частей твердого оксида, а в еще одном аспекте от 5 массовых частей до 30 массовых частей сульфат-иона при расчете на 100 массовых частей твердого оксида. Данные массовые соотношения получены при расчете на массу твердого оксида до проведения прокаливания. Сразу после импрегнирования сульфатом подвергнутый обработке сульфатом оксид можно высушивать по любому способу, известному на современном уровне техники, включающему нижеследующее, но не ограничивающемуся только им: фильтрование с отсасыванием с последующим выпариванием, сушка под вакуумом, распылительная сушка и тому подобное, хотя проведение стадии прокаливания можно инициировать также и непосредственно.
В дополнение к обработке электроноакцепторным компонентом, таким как галогенид- или сульфат-ион, твердый неорганический оксид данного изобретения необязательно можно подвергнуть обработке источником металла, в том числе солями металлов или металлсодержащими соединениями. В одном аспекте изобретения данные соединения можно добавлять к твердому оксиду или импрегнировать на твердый оксид в форме раствора, а после этого в результате прокаливания превращать в металл, нанесенный на носитель. В соответствии с этим, твердый неорганический оксид дополнительно может содержать металл, который представляет собой цинк, титан, никель, ванадий, серебро, медь, галлий, олово, вольфрам, молибден или их комбинацию. Например, для импрегнирования твердого оксида можно использовать цинк, поскольку он позволяет добиться хорошей активности катализатора и низкой стоимости. Твердый оксид можно подвергать обработке солями металлов или металлсодержащими соединениями до, после или во время проведения обработки твердого оксида электроноакцепторным анионом.
Кроме того, возможно использование любого способа импрегнирования металлом материала твердого оксида. Способ, по которому оксид вводят в контакт с источником металла, обычно солью или металлсодержащим соединением, включает нижеследующее, но не ограничивается только им: желатинирование, совместное желатинирование, импрегнирование одного соединения на другое и тому подобное. Вслед за проведением любого способа введения в контакт смесь введенных в контакт оксидного соединения, электроноакцепторного аниона и иона металла обычно подвергают прокаливанию. В альтернативном варианте материал твердого оксида, источник электроноакцепторного аниона и соль металла или металлсодержащее соединение вводят в контакт и подвергают прокаливанию одновременно.
В еще одном аспекте первое металлоценовое соединение, второе металлоценовое соединение или их комбинацию можно предварительно вводить в контакт с олефиновым мономером и алюминийорганическим соединением в течение первого периода времени до введения данной смеси в контакт с химически модифицированным твердым оксидом. Как только смесь предварительного контакта первого металлоценового соединения, второго металлоценового соединения или их комбинации, олефинового мономера, алюминийорганического соединения введут в контакт с химически модифицированным твердым оксидом, то тогда композицию, дополнительно содержащую химически модифицированный твердый оксид, начинают называть смесью «последующего контакта». Перед проведением загрузки в реактор, в котором будут проводить процесс полимеризации, смеси последующего контакта можно дать возможность остаться и дальше в контакте в течение второго периода времени.
В литературе приводятся сведения о различных способах получения твердых оксидных активаторов-носителей, которые можно использовать в данном изобретении. Например, такие способы описываются в патентах США 6107230, 6165929, 6294494, 6300271, 6316553, 6355594, 6376415, 6391816, 6395666, 6524987 и 6548441, каждый из которых во всей своей полноте включается в настоящий документ для справки.
Алюминийорганическое соединение
В одном аспекте данное изобретение включает композицию катализатора, содержащую первое металлоценовое соединение, второе металлоценовое соединение, по меньшей мере, один химически модифицированный твердый оксид и, по меньшей мере, одно алюминийорганическое соединение. Алюминийорганические соединения, которые можно использовать в данном изобретении, включают нижеследующее, но не ограничиваются только им: соединение, описываемое формулой
Al(X9)n(X10)3-n,
где (Х9) представляет собой гидрокарбил, содержащий от 1 до 20 атомов углерода; (Х10) представляет собой алкоксид или арилоксид, при этом любой один из которых содержит от 1 до 20 атомов углерода, галогенид или гидрид; а n представляет собой число от 1 до 3, включительно. В одном аспекте (Х9) представляет собой алкил, содержащий от 1 до 10 атомов углерода. Примеры фрагментов (Х9) включают нижеследующее, но не ограничиваются только им: этил, пропил, н-бутил, втор-бутил, изобутил, гексил и тому подобное. В еще одном аспекте (Х10) независимо может представлять собой фтор или хлор. В еще одном аспекте (Х10) может представлять собой хлор.
В формуле Al(X9)n(X10)3-n n представляет собой число в диапазоне от 1 до 3, включительно, а обычно n равен 3. Значение n не ограничивается целым числом, поэтому данная формула выключает сесквигалогенидные соединения или другие алюминийорганические кластерные соединения.
В общем случае примеры алюминийорганических соединений, которые можно использовать в данном изобретении, включают нижеследующее, но не ограничиваются только им: производные триалкилалюминия, производные диалкилалюминийгалогенида, производные диалкилалюминийалкоксида, производные диалкилалюминийгидрида и их комбинации. Конкретные примеры алюминийорганических соединений, которые являются подходящими для использования в данном изобретении, включают нижеследующее, но не ограничиваются только им: триметилалюминий (ТМА); триэтилалюминий (ТЭА); трипропилалюминий; диэтилалюминийэтоксид; трибутилалюминий; диизобутилалюминийгидрид; триизобутилалюминий; и диэтилалюминийхлорид.
В одном аспекте настоящее изобретение включает предварительное введение анса-металлоцена в контакт, по меньшей мере, с одним алюминийорганическим соединением и олефиновым мономером с образованием смеси предварительного контакта перед введением данной смеси предварительного контакта в контакт с твердым оксидным активатором-носителем с образованием активного катализатора. Если композицию катализатора получают таким образом, то тогда обычно, хотя и необязательно, одну часть алюминийорганического соединения добавляют к смеси предварительного контакта, а другую часть алюминийорганического соединения добавляют к смеси последующего контакта, полученной тогда, когда смесь предварительного контакта вводят в контакт с твердым оксидным активатором. Однако и все алюминийорганическое соединение можно использовать для получения катализатора либо на стадии предварительного контакта, либо на стадии последующего контакта. В альтернативном варианте все компоненты катализатора можно вводить в контакт на одной стадии.
Кроме того, либо на стадии предварительного контакта, либо на стадии последующего контакта возможно использование более чем одного алюминийорганического соединения. Если алюминийорганическое соединение добавляют на нескольких стадиях, то тогда количества алюминийорганического соединения, описанного в настоящем документе, включают совокупное количество алюминийорганического соединения, используемого в смесях как предварительного контакта, так и последующего контакта, и любого дополнительного алюминийорганического соединения, добавленного в полимеризационный реактор. Поэтому совокупные количества алюминийорганических соединений описываются вне зависимости от того, будут ли использовать одно алюминийорганическое соединение или более чем одно алюминийорганическое соединение. В еще одном аспекте триэтилалюминий (ТЭА) или триизобутилалюминий представляют собой типичные алюминийорганические соединения, используемые в данном изобретении.
Необязательный алюмоксановый сокатализатор
В одном аспекте данное изобретение включает композицию катализатора, содержащую первое металлоценовое соединение, второе металлоценовое соединение, по меньшей мере, один химически модифицированный твердый оксид и, по меньшей мере, одно алюминийорганическое соединение. В еще одном аспекте настоящее изобретение предлагает композицию катализатора, содержащую необязательный алюмоксановый сокатализатор в дополнение к данным другим компонентам.
Алюмоксаны также называют поли(гидрокарбилалюминийоксидами) или органоалюмоксанами. Другие компоненты катализатора обычно вводят в контакт с алюмоксаном в растворителе на основе насыщенного углеводородного соединения, хотя возможно использование любого растворителя, который является по существу инертным по отношению к реагентам, промежуточным соединениям и продуктам стадии активации. Композицию катализатора, полученную таким образом, можно составлять по способам, известным специалистам в соответствующей области, включающим фильтрование, но не ограничивающимся только им, или композицию катализатора можно вводить в полимеризационный реактор, не прибегая к выделению.
Алюмоксановым соединением данного изобретения является олигомерное соединение алюминия, где алюмоксановое соединение может включать линейные структуры, циклические структуры или структуры «клетки» или обычно смеси всех трех структур. В данное изобретение включаются циклические алюмоксановые соединения, описываемые формулой:

где
R представляет собой линейный или разветвленный алкил, содержащий от 1 до 10 атомов углерода, а n представляет собой целое число в диапазоне от 3 до 10. Фрагмент (AlRO)n, продемонстрированный в данном случае, также образует повторяющееся звено в линейном алюмоксане. Таким образом, в данное изобретение также включаются линейные алюмоксаны, описываемые формулой:

где
R представляет собой линейный или разветвленный алкил, содержащий от 1 до 10 атомов углерода, а n представляет собой целое число в диапазоне от 1 до 50.
Кроме того, алюмоксаны также могут обладать структурами «клетки», описываемыми формулой Rt 5m+ Rb m- Al4mO3m, где m равен 3 или 4, а =nAl(3)–nO(2)+nO(4); где nAl(3) представляет собой количество трехкоординатных атомов алюминия, nО(2) представляет собой количество двухкоординатных атомов кислорода, nО(4) представляет собой количество 4-координатных атомов кислорода, Rt представляет собой концевую алкильную группу, а Rb представляет собой мостиковую алкильную группу; где R представляет собой линейный или разветвленный алкил, содержащий от 1 до 10 атомов углерода.
Таким образом, алюмоксаны, которые можно использовать в данном изобретении в качестве необязательных сокатализаторов, в общем случае описываются формулами, такими как (R-Al-O)n, R(R-Al-O)nAlR2 и тому подобное, где группа R обычно представляет собой линейный или разветвленный C1-C6 алкил, такой как метил, этил, пропил, бутил, пентил или гексил, где n обычно представляет собой целое число в диапазоне от 1 до 50. В одном варианте реализации алюмоксановые соединения данного изобретения включают нижеследующее, но не ограничиваются только им: метилалюмоксан, этилалюмоксан, н-пропилалюмоксан, изопропилалюмоксан, н-бутилалюмоксан, трет-бутилалюмоксан, втор-бутилалюмоксан, изобутилалюмоксан, 1-пентилалюмоксан, 2-пентилалюмоксан, 3-пентилалюмоксан, изопентилалюмоксан, неопентилалюмоксан или их комбинации.
Несмотря на то, что в настоящее изобретение включаются алюмоксаны, характеризующиеся различными типами групп R, типичными необязательными сокатализаторами, используемыми в композициях катализаторов данного изобретения, являются метилалюмоксан (МАО), этилалюмоксан или изобутилалюмоксан. Данные алюмоксаны получают из триметилалюминия, триэтилалюминия или триизобутилалюминия, соответственно, и их иногда называют поли(метилалюминийоксидом), поли(этилалюминийоксидом) и поли(изобутилалюминийоксидом), соответственно. В объем изобретения также входит использование алюмоксана в комбинации с триалкилалюминием так, как это описывается в патенте США 4794096, который во всей своей полноте включается в настоящий документ для справки.
Настоящее изобретение предусматривает множество значений n в формулах алюмоксанов (R-Al-O)n и R(R-Al-O)nAlR2, а предпочтительно n, по меньшей мере, равен 3. Однако, в зависимости от того, как органоалюмоксан получают, хранят и используют, значение n может быть переменным в пределах индивидуального образца алюмоксана, и в способы и композиции настоящего изобретения включается и такая комбинация органоалюмоксанов.
При получении композиции катализатора данного изобретения, содержащей необязательный алюмоксан, молярное соотношение между алюминием в алюмоксане и металлоценом в композиции обычно находится в диапазоне от 1:10 до 100000:1. В еще одном аспекте молярное соотношение между алюминием в алюмоксане и металлоценом в композиции обычно находится в диапазоне от 5:1 до 15000:1. Количество необязательного алюмоксана, добавленного в зону полимеризации, представляет собой количество в диапазоне от 0,01 мг/л до 1000 мг/л, от 0,1 мг/л до 100 мг/л или от 1 мг/л до приблизительно 50 мг/л.
Органоалюмоксаны можно получать по различным методикам, которые хорошо известны на современном уровне техники. Примеры вариантов получения органоалюмоксанов описываются в патентах США 3242099 и 4808561, каждый из которых во всей своей полноте включается в настоящий документ для справки. Один пример того, как можно получить алюмоксан, представляет собой нижеследующее. Воду, которая растворена в инертном органическом растворителе, можно ввести в реакцию с алюминийалкильным соединением, таким как AlR3, с получением желательного органоалюмоксанового соединения. Без намерения связать себя данным утверждением можно предположить, что данный способ синтеза может позволить получить смесь как линейных, так и циклических алюмоксановых соединений (R-Al-O)n, из которых оба варианта включаются в данное изобретение. В альтернативном варианте органоалюмоксаны можно получать в результате проведения реакции в инертном органическом растворителе между алюминийалкильным соединением, таким как AlR3, и гидратированной солью, такой как гидратированный сульфат меди.
Необязательные цинкорганические сокатализаторы
В одном аспекте данное изобретение включает композицию катализатора, содержащую первое металлоценовое соединение, второе металлоценовое соединение, по меньшей мере, один химически модифицированный твердый оксид и, по меньшей мере, одно алюминийорганическое соединение. В еще одном аспекте настоящее изобретение предлагает композицию катализатора, содержащую необязательный цинкорганический сокатализатор в дополнение к данным другим компонентам.
В одном аспекте композиция катализатора дополнительно содержит необязательный цинкорганический сокатализатор, представляющий собой соединение, описываемое нижеследующей формулой:
Zn(X11)(X12);
где (X11) представляет собой гидрокарбил, содержащий от 1 до 20 атомов углерода; (X12) представляет собой гидрокарбил, алкоксид или арилоксид, содержащие от 1 до 20 атомов углерода, галогенид или гидрид. В еще одном аспекте необязательным цинкорганическим сокатализатором являются диметилцинк, диэтилцинк, дипропилцинк, дибутилцинк, динеопентилцинк, ди(триметилсилилметил)цинк и тому подобное, в том числе любые их комбинации.
Необязательный борорганический сокатализатор
В одном аспекте данное изобретение включает композицию катализатора, содержащую первое металлоценовое соединение, второе металлоценовое соединение, по меньшей мере, один химически модифицированный твердый оксид и, по меньшей мере, одно алюминийорганическое соединение. В еще одном аспекте настоящее изобретение предлагает композицию катализатора, содержащую необязательный борорганический сокатализатор в дополнение к данным другим компонентам.
В одном аспекте борорганическое соединение включает нейтральные соединения бора, соли борной кислоты или их комбинации. Например, борорганические соединения данного изобретения могут включать фторорганическое соединение бора, фторорганоборатное производное или их комбинацию. Возможно использование любых фторорганического соединения бора или фторорганоборатного производного, известных на современном уровне техники. Термин фторорганические соединения бора имеет свое обычное значение, обозначающее нейтральные соединения в виде BY3. Термин фторорганоборатное производное также имеет свое обычное значение, обозначающее моноанионные соли фторорганического соединения бора в виде [катион]+[BY4]–, где Y представляет собой фторированную органическую группу. Для удобства фторорганическое соединение бора и фторорганоборатное производное обычно коллективно называют борорганическими соединениями либо обозначают одним из двух наименований, как того требует контекст.
Примеры фторорганоборатных производных, которые в настоящем изобретении можно использовать в качестве сокатализаторов, включают нижеследующее, но не ограничиваются только им: фторированные арилбораты, такие как тетракис(пентафторфенил)борат N,N-диметиланилиния, тетракис(пентафторфенил)борат трифенилкарбения, тетракис(пентафторфенил)борат лития, тетракис[3,5-бис(трифторметил)фенил]борат N,N-диметиланилиния, тетракис[3,5-бис(трифторметил)фенил]борат трифенилкарбения и тому подобное, в том числе их смеси. Примеры фторорганических соединений бора, которые в настоящем изобретении можно использовать в качестве сокатализаторов, включают нижеследующее, но не ограничиваются только им: трис(пентафторфенил)бор, трис[3,5-бис(трифторметил)фенил]бор и тому подобное, в том числе их смеси.
Несмотря на отсутствие намерения связать себя следующей далее теорией, можно предположить, что данные примеры фторорганоборатных производных и фторорганических соединений бора и родственных им соединений при объединении с металлорганическими соединениями предположительно образуют «слабокоординирующие» анионы, как это описывается в патенте США 5919983, который во всей своей полноте включается в настоящий документ для справки.
В общем случае в данном изобретении возможно использование любого количества борорганического соединения. В одном аспекте молярное соотношение между борорганическим соединением и совокупным количеством первого и второго металлоценовых соединений в композиции находится в диапазоне от 0,1:1 до 10:1. Обычно количество фторорганического соединения бора или фторорганоборатного производного, используемых в качестве сокатализатора для металлоценов, находится в диапазоне от 0,5 моля до 10 молей соединения бора при расчете на совокупное количество объединенных первого и второго металлоценовых соединений. В одном аспекте количество фторорганического соединения бора или фторорганоборатного производного, используемых в качестве сокатализатора для металлоцена, находится в диапазоне от 0,8 моля до 5 молей соединения бора при расчете на совокупное количество молей первого и второго металлоценовых соединений.
Необязательный сокатализатор на основе ионизирующего ионного соединения
В одном аспекте данное изобретение включает композицию катализатора, содержащую первое металлоценовое соединение, второе металлоценовое соединение, по меньшей мере, один химически модифицированный твердый оксид и, по меньшей мере, одно алюминийорганическое соединение. В еще одном аспекте настоящее изобретение предлагает композицию катализатора, содержащую необязательный сокатализатор на основе ионизирующего ионного соединения в дополнение к данным другим компонентам. Примеры ионизирующего ионного соединения описываются в патентах США с номерами 5576259 и 5807938, каждый из которых во всей своей полноте включается в настоящий документ для справки.
Ионизирующим ионным соединением является ионное соединение, которое может функционировать, обеспечивая увеличение активности композиции катализатора. Без намерения связать себя какой-либо теорией, можно предположить, что ионизирующее ионное соединение может обладать способностью вступать в реакцию с первым, вторым или обоими металлоценовыми соединениями и превращать металлоцены в катионные металлоценовые соединения. Опять-таки, без намерения связать себя какой-либо теорией, можно предположить, что ионизирующее ионное соединение может функционировать в качестве ионизирующего соединения в результате полного или частичного извлечения из металлоценов анионного лиганда, возможно не- 5-алкадиенильного лиганда, такого как (Х3), (Х4), (Х7) или (Х8). Однако ионизирующее ионное соединение является активатором вне зависимости от того, будет ли оно ионизировать металоцены, отщеплять лиганд (Х3), (Х4), (Х7) или (Х8) по способу с образованием ионной пары, ослаблять связь металл-(Х3), металл-(Х4), металл-(Х7) или металл-(Х8) в металлоценах, просто координироваться с лигандом (Х3), (Х4), (Х7) или (Х8) или действовать по любым другим механизмам, по которым может проходить активация.
Кроме того, нет никакой необходимости в том, чтобы ионизирующее ионное соединение активировало бы только металлоцены. Функция активации ионизирующего ионного соединения проявляется в увеличенной активности композиции катализатора в целом в сопоставлении с композицией катализатора, содержащей композицию катализатора, которая не содержит какого-либо ионизирующего ионного соединения. Кроме того, нет никакой необходимости в том, чтобы ионизирующее ионное соединение активировало бы как первое, так и второе металлоценовые соединения, точно так же нет никакой необходимости и в том, чтобы оно активировало бы первое металлоценовое соединение и второе металлоценовое соединение в одной и той же степени.
Примеры ионизирующих ионных соединений включают следующие далее соединения, но не ограничиваются только ими: тетракис(п-толил)борат три(н-бутил)аммония, тетракис(м-толил)борат три(н-бутил)аммония, тетракис(2,4-диметил)борат три(н-бутил)аммония, тетракис(3,5-диметилфенил)борат три(н-бутил)аммония, тетракис[3,5-бис(трифторметил)фенил]борат три(н-бутил)аммония, тетракис(пентафторфенил)борат три(н-бутил)аммония, тетракис(п-толил)борат N,N-диметиланилиния, тетракис(м-толил)борат N,N-диметиланилиния, тетракис(2,4-диметилфенил)борат N,N-диметиланилиния, тетракис(3,5-диметилфенил)борат N,N-диметиланилиния, тетракис[3,5-бис(трифторметил)фенил]борат N,N-диметиланилиния, тетракис(пентафторфенил)борат N,N-диметиланилиния, тетракис(п-толил)борат трифенилкарбения, тетракис(м-толил)борат трифенилкарбения, тетракис(2,4-диметилфенил)борат трифенилкарбения, тетракис(3,5-диметилфенил)борат трифенилкарбения, тетракис[3,5-бис(трифторметил)фенил]борат трифенилкарбения, тетракис(пентафторфенил)борат трифенилкарбения, тетракис(п-толил)борат тропилия, тетракис(м-толил)борат тропилия, тетракис(2,4-диметилфенил)борат тропилия, тетракис(3,5-диметилфенил)борат тропилия, тетракис[3,5-бис(трифторметил)фенил]борат тропилия, тетракис(пентафторфенил)борат тропилия, тетракис(пентафторфенил)борат лития, тетракис(фенил)борат лития, тетракис(п-толил)борат лития, тетракис(м-толил)борат лития, тетракис(2,4-диметилфенил)борат лития, тетракис(3,5-диметилфенил)борат лития, тетрафторборат лития, тетракис(пентафторфенил)борат натрия, тетракис(фенил)борат натрия, тетракис(п-толил)борат натрия, тетракис(м-толил)борат натрия, тетракис(2,4-диметилфенил)борат натрия, тетракис(3,5-диметилфенил)борат натрия, тетрафторборат натрия, тетракис(пентафторфенил)борат калия, тетракис(фенил) борат калия, тетракис(п-толил)борат калия, тетракис(м-толил)борат калия, тетракис(2,4-диметилфенил)борат калия, тетракис(3,5-диметилфенил)борат калия, тетрафторборат калия, тетракис(п-толил)алюминат три(н-бутил)аммония, тетракис(м-толил)алюминат три(н-бутил)аммония, тетракис(2,4-диметил)алюминат три(н-бутил)аммония, тетракис(3,5-диметилфенил)алюминат три(н-бутил)аммония, тетракис(пентафторфенил)алюминат три(н-бутил)аммония, тетракис(п-толил)алюминат N,N-диметиланилиния, тетракис(м-толил)алюминат N,N-диметиланилиния, тетракис(2,4-диметилфенил)алюминат N,N-диметиланилиния, тетракис(3,5-диметилфенил)алюминат N,N-диметиланилиния, тетракис(пентафторфенил)алюминат N,N-диметиланилиния, тетракис(п-толил)алюминат трифенилкарбения, тетракис(м-толил)алюминат трифенилкарбения, тетракис(2,4-диметилфенил)алюминат трифенилкарбения, тетракис(3,5-диметилфенил)алюминат трифенилкарбения, тетракис(пентафторфенил)алюминат трифенилкарбения, тетракис(п-толил)алюминат тропилия, тетракис(м-толил)алюминат тропилия, тетракис(2,4-диметилфенил)алюминат тропилия, тетракис(3,5-диметилфенил)алюминат тропилия, тетракис(пентафторфенил)алюминат тропилия, тетракис(пентафторфенил)алюминат лития, тетракис(фенил)алюминат лития, тетракис(п-толил)алюминат лития, тетракис(м-толил)алюминат лития, тетракис(2,4-диметилфенил)алюминат лития, тетракис(3,5-диметилфенил)алюминат лития, тетрафторалюминат лития, тетракис(пентафторфенил)алюминат натрия, тетракис(фенил)алюминат натрия, тетракис(п-толил)алюминат натрия, тетракис(м-толил)алюминат натрия, тетракис(2,4-диметилфенил)алюминат натрия, тетракис(3,5-диметилфенил)алюминат натрия, тетрафторалюминат натрия, тетракис(пентафторфенил)алюминат калия, тетракис(фенил)алюминат калия, тетракис(п-толил)алюминат калия, тетракис(м-толил)алюминат калия, тетракис(2,4-диметилфенил)алюминат калия, тетракис(3,5-диметилфенил)алюминат калия, тетрафторалюминат калия. Однако ионизирующее ионное соединение в настоящем изобретении этим не ограничивается.
Олефиновый мономер
В одном аспекте ненасыщенные реагенты, которые являются подходящими для использования в способах полимеризации вместе с композициями катализаторов и способами данного изобретения, обычно включают олефиновые соединения, содержащие от 2 до 30 атомов углерода на одну молекулу и имеющие, по меньшей мере, одну олефиновую двойную связь. Данное изобретение включает способы гомополимеризации с использованием одного олефина, такого как этилен или пропилен, а также реакции сополимеризации с использованием, по меньшей мере, одного другого олефинового соединения. В одном аспекте реакции сополимеризации этилена сополимеры этилена включают основное количество этилена (>50 мольных процентов) и неосновное количество сомономера (<50 мольных процентов), хотя это и не является необходимым. Сомономеры, которые можно сополимеризовать этиленом, должны содержать от трех до 20 атомов углерода в своей молекулярной цепи.
В данном изобретении возможно использование ациклических, циклических, полициклических, концевых ( ), внутренних, линейных, разветвленных, замещенных, незамещенных, функционализованных и нефункционализованных олефинов. Например, типичные ненасыщенные соединения, которые можно полимеризовать при использовании катализаторов данного изобретения, включают нижеследующее, но не ограничиваются только им: пропилен, 1-бутен, 2-бутен, 3-метил-1-бутен, изобутилен, 1-пентен, 2-пентен, 3-метил-1-пентен, 4-метил-1-пентен, 1-гексен, 2-гексен, 3-гексен, 3-этил-1-гексен, 1-гептен, 2-гептен, 3-гептен, четыре нормальных октена, четыре нормальных нонена, пять нормальных деценов и смеси любых двух или более данных соединений. Полимеризовать так, как это описывается выше, также можно и циклические и бициклические олефины, включающие нижеследующее, но не ограничивающиеся только им: циклопентен, циклогексен, норборнилен, норборнадиен и тому подобное.
Если желательным будет сополимер, то тогда в одном аспекте мономер этилен можно сополимеризовать с сомономером. В еще одном аспекте примеры сомономера включают нижеследующее, но не ограничиваются только им: пропилен, 1-бутен, 2-бутен, 3-метил-1-бутен, изобутилен, 1-пентен, 2-пентен, 3-метил-1-пентен, 4-метил-1-пентен, 1-гексен, 2-гексен, 3-гексен, 3-этил-1-гексен, 1-гептен, 2-гептен, 3-гептен, четыре нормальных октена, четыре нормальных нонена или пять нормальных деценов. В еще одном аспекте сомономером могут являться 1-бутен, 1-пентен, 1-гексен, 1-октен, 1-децен или стирол.
В одном аспекте количество сомономера, введенного в зону реактора для получения сополимера, в общем случае находится в диапазоне от 0,01 до 10 массовых процентов сомономера при расчете на совокупную массу мономера и сомономера. В еще одном аспекте количество сомономера, введенного в зону реактора, находится в диапазоне от 0,01 до 5 массовых процентов сомономера, а в еще одном аспекте от 0,1 до 4 массовых процентов сомономера при расчете на совокупную массу мономера и сомономера. В альтернативном варианте в полученном сополимере возможно использование количества, достаточного для получения описанных выше массовых концентраций.
Без намерения связать себя данной теорией, можно предположить, что в случае использования в качестве реагентов разветвленных, замещенных или функционализованных олефинов стерические препятствия могут помешать прохождению процесса полимеризации и/или замедлить его. Таким образом, разветвленные и/или циклические части (часть) олефина, несколько удаленные от двойной связи углерод-углерод, предположительно не выступают в качестве препятствий прохождению реакции так, как это могут сделать те же самые заместители в олефине, расположенные в большей близости к двойной связи углерод-углерод. В одном аспекте, по меньшей мере, одним реагентом для композиций катализаторов данного изобретения является этилен, так что полимеризации представляют собой либо гомополимеризации, либо сополимеризации с другим ациклическим, циклическим, концевым, внутренним, линейным, разветвленным, замещенным или незамещенным олефином. В дополнение к этому композиции катализаторов данного изобретения можно использовать при полимеризации диолефиновых соединений, в том числе нижеследующего, но не ограничиваясь только им: 1,3-бутадиен, изопрен, 1,4-пентадиен и 1,5-гексадиен.
Получение композиции катализатора
В одном аспекте данное изобретение включает композицию катализатора, содержащую продукт введения в контакт первого металлоценового соединения, второго металлоценового соединения, по меньшей мере, одного химически модифицированного твердого оксида и, по меньшей мере, одного алюминийорганического соединения. В еще одном аспекте данное изобретение включает способы получения композиции катализатора, включающие введение в контакт в любом порядке первого металлоценового соединения, второго металлоценового соединения, по меньшей мере, одного химически модифицированного твердого оксида и, по меньшей мере, одного алюминийорганического соединения. В данном аспекте композицию активного катализатора получают при введении компонентов катализатора в контакт в любых последовательности или порядке.
В еще одном аспекте данного изобретения первое металлоценовое соединение, второе металлоценовое соединение или оба соединения необязательно можно предварительно вводить в контакт с олефиновым мономером, необязательно с полимеризуемым олефиновым мономером, и алюминийорганическим сокатализатором в течение первого периода времени до введения данной смеси предварительного контакта в контакт с химически модифицированным твердым оксидом. В одном аспекте первый период времени для введения в контакт – время предварительного контакта – металлоценовых соединения или соединений, олефинового мономера и алюминийорганического соединения обычно находится в диапазоне периодов времени от 0,1 часа до 24 часов, а период времени в диапазоне от 0,1 до 1 часа является типичным. Типичными являются также и времена предварительного контакта в диапазоне от 10 минут до 30 минут.
В еще одном аспекте данного изобретения как только смесь предварительного контакта первого, второго или обоих металлоценовых соединений, олефинового мономера и алюминийорганического сокатализатора введут в контакт с химически модифицированным твердым оксидом, то тогда данную композицию (дополнительно содержащую химически модифицированный твердый оксид) начинают называть смесью последующего контакта. Обычно перед инициированием процесса полимеризации смеси последующего контакта необязательно можно дать возможность остаться и дальше в контакте в течение второго периода времени – времени последующего контакта. В одном аспекте времена последующего контакта между смесью предварительного контакта и химически модифицированным твердым оксидом могут находиться в диапазоне периодов времени от 0,1 часа до 24 часов. В еще одном аспекте типичными являются времена последующего контакта, например, в диапазоне от 0,1 часа до 1 часа.
В одном аспекте стадию предварительного контакта, стадию последующего контакта или обе стадии могут позволить добиться увеличения производительности по полимеру в сопоставлении с той же самой композицией катализатора, которую получают без предварительного контакта или последующего контакта. Однако для данного изобретения ни стадия предварительного контакта, ни стадия последующего контакта не являются необходимыми.
Смесь последующего контакта можно нагревать при температуре и в течение периода времени, достаточных для возникновения у смеси предварительного контакта и химически модифицированного твердого оксида возможностей для адсорбирования, импрегнирования или взаимодействия таким образом, чтобы часть компонентов смеси предварительного контакта была бы иммобилизована, адсорбирована или осаждена на последнем. Например, смесь последующего контакта можно нагревать до температуры в диапазоне от 0°F до 150°F. Если смесь вообще будут нагревать, то тогда типичными являются температуры в диапазоне от 40°F до 100°F в течение периода времени продолжительностью от 15 минут до 60 минут.
В одном аспекте молярное соотношение между совокупным количеством молей объединенных первого и второго металлоценовых соединений и алюминийорганическим соединением может находиться в диапазоне от 1:1 до 1:10000. В еще одном аспекте молярное соотношение между совокупным количеством молей объединенных первого и второго металлоценовых соединений и алюминийорганическим соединением может находиться в диапазоне от 1:1 до 1:1000, а в еще одном аспекте – от 1:1 до 1:100. Данные молярные соотношения отражают соотношение между совокупным количеством молей объединенных первого и второго металлоценовых соединений и совокупным количеством алюминийорганического соединения как в смеси предварительного контакта, так и в объединенной смеси последующего контакта.
Если будут использовать стадию предварительного контакта, то тогда в общем случае молярное соотношение между олефиновым мономером и совокупным количеством молей объединенных первого и второго металлоценовых соединений в смеси предварительного контакта может находиться в диапазоне от 1:10 до 100000:1 или от 10:1 до 1000:1.
В еще одном аспекте данного изобретения массовое соотношение между химически модифицированным твердым оксидом и алюминийорганическим соединением может находиться в диапазоне от 1:5 до 1000:1. В еще одном аспекте массовое соотношение между химически модифицированным твердым оксидом и алюминийорганическим соединением может находиться в диапазоне от 1:3 до 100:1, а в еще одном аспекте – от 1:1 до 50:1.
В дополнительном аспекте данного изобретения массовое соотношение между объединенными первым и вторым металлоценовыми соединениями и химически модифицированным твердым оксидом может находиться в диапазоне от 1:1 до 1:1000000. В еще одном аспекте данного изобретения массовое соотношение между совокупным количеством молей объединенных первого и второго металлоценовых соединений и химически модифицированным твердым оксидом может находиться в диапазоне от 1:10 до 1:10000, а в еще одном аспекте – от 1:20 до 1:1000.
Один аспект данного изобретения заключается в том, что для получения композиции катализатора, описанной в настоящем документе, алюмоксан не требуется, и именно данный признак делает возможным уменьшение стоимости получения полимера. В соответствии с этим, в одном аспекте в настоящем изобретении возможно использование алюминийорганических соединений, относящихся по типу к AlR3, и химически модифицированного твердого оксида в отсутствие алюмоксанов. Без намерения связать себя какой-либо теорией, можно предположить, что алюминийорганические соединения, по-видимому, не активируют металлоценовый катализатор по тому же самому способу, что и органоалюмоксан.
В дополнение к этому, для получения композиции катализатора данного изобретения не требуется никаких дорогостоящих боратных производных или MgCl2, хотя в композиции катализатора данного изобретения возможно необязательное использование алюмоксанов, борорганических соединений, ионизирующих ионных соединений, цинкорганических соединений, MgCl2 или любой их комбинации. Кроме того, в одном аспекте совместно с первым и вторым металлоценовыми соединениями либо в присутствии, либо в отсутствие химически модифицированного твердого оксида и либо в присутствии, либо в отсутствие алюминийорганических соединений в качестве сокатализаторов возможно использование таких сокатализаторов, как алюмоксаны, борорганические соединения, ионизирующие ионные соединения, цинкорганические соединения или любая их комбинация.
В одном аспекте каталитическая активность катализатора данного изобретения обычно составляет величину, большую либо равную 100 граммам полиэтилена на один грамм химически модифицированного твердого оксида в час (сокращенно обозначаемую гП/(гХМТО·час)). В еще одном аспекте катализатор данного изобретения можно охарактеризовать активностью, большей или равной 250 гП/(гХМТО·час), а в еще одном аспекте – активностью, большей или равной 500 гП/(гХМТО·час). В еще одном аспекте катализатор данного изобретения можно охарактеризовать активностью, большей или равной 1000 гП/(гХМТО·час), а в еще одном аспекте – активностью, большей или равной 2000 гП/(гХМТО·час). Данную активность измеряют в условиях проведения суспензионной полимеризации при использовании в качестве разбавителя изобутана и при температуре полимеризации 90°С и давлении этилена 550 фунт/дюйм2 (изб.). При проведения данных измерений реактор по существу не должен демонстрировать наличия каких-либо признаков образования на стенках отложений, покрытий или других форм обрастания.
Применимость композиции катализатора в способах полимеризации
В таблице 1 представлены некоторые неограничивающие примеры катализаторов и условий получения катализаторов настоящего изобретения. Полимеризации с использованием катализаторов данного изобретения можно проводить по любому способу, известному на современном уровне техники. Такие способы полимеризации включают нижеследующее, но не ограничиваются только им: суспензионные полимеризации, газофазные полимеризации, растворные полимеризации и тому подобное, в том числе их многореакторные комбинации. Таким образом, возможно использование любой зоны полимеризации, известной на современном уровне техники получения этиленсодержащих полимеров. Например, в периодическом способе возможно использование реактора с перемешиванием, или реакцию можно проводить непрерывно в петлевом реакторе или в проточном реакторе с перемешиванием.
После активации катализатора композицию катализатора используют для проведения гомополимеризации этилена или сополимеризации этилена и сомономера. Типичным способом полимеризации является способ суспензионной полимеризации (также известный под наименованием способа получения в форме частиц), который хорошо известен на современном уровне техники и описывается, например, в патенте США 3248179, который во всей своей полноте включается в настоящий документ для справки. Другими способами полимеризации настоящего изобретения в случае суспензионных процессов являются те, в которых используют петлевой реактор, относящийся к типу, описанному в патенте США 3248179, и те, в которых используют множество реакторов с перемешиванием, установленных либо последовательно, либо параллельно, или их комбинации, где условия проведения реакции различны в различных реакторах, что также во всей своей полноте включается в настоящий документ для справки.
Температура полимеризации для данного изобретения обычно находится в диапазоне от 60°С до 280°С, при этом более часто температура реакции полимеризации находится в диапазоне от 70°С до 110°С.
Реакция полимеризации обычно протекает в инертной атмосфере, то есть в атмосфере, по существу не содержащей свободный кислород, и по существу в безводных условиях, таким образом, в отсутствие воды тогда, когда начинается реакция. Поэтому в полимеризационном реакторе обычно используют сухую инертную атмосферу, например, сухой азот или сухой аргон.
Давлением в реакции полимеризации может являться любое давление, которое не оказывает неблагоприятного воздействия на протекание реакции полимеризации, и реакцию обычно проводят при давлении, превышающем давления предварительной обработки. В общем случае давления полимеризации находятся в диапазоне от атмосферного давления до 1000 фунт/дюйм2 (изб.), более часто от 50 фунт/дюйм2 (изб.) до 800 фунт/дюйм2 (изб.). Кроме того, для регулирования молекулярной массы полимера в способе полимеризации данного изобретения возможно использование водорода.
Полимеризации с использованием катализаторов данного изобретения можно проводить по любому способу, известному на современном уровне техники. Такие способы, которые могут обеспечить полимеризацию мономеров с получением полимеров, включают нижеследующее, но не ограничиваются только им: суспензионные полимеризации, газофазные полимеризации, растворные полимеризации и их многореакторные комбинации. Таким образом, возможно использование любой зоны полимеризации, известной на современном уровне техники получения олефинсодержащих полимеров. Например, в периодическом способе возможно использование реактора с перемешиванием, или реакцию можно проводить непрерывно в петлевом реакторе или в проточном реакторе с перемешиванием.
Обычно полимеризации, описанные в настоящем документе, проводят с использованием способа суспензионной полимеризации в петлевой зоне реакции. Подходящие разбавители, используемые в суспензионной полимеризации, хорошо известны на современном уровне техники и включают углеводороды, которые являются жидкостями в условиях проведения реакции. Термин «разбавитель», используемый в данном описании, необязательно обозначает инертный материал, поскольку данный термин обозначает включение соединений и композиций, которые могут вносить свой вклад в способ полимеризации. Примеры углеводородов, которые можно использовать в качестве разбавителей, включают нижеследующее, но не ограничиваются только им: циклогексан, изобутан, н-бутан, пропан, н-пентан, изопентан, неопентан и н-гексан. Обычно в суспензионной полимеризации в качестве разбавителя используют изобутан. Примеры данной технологии приводятся в патентах США 4424341; 4501885; 4613484; 4737280; и 5597892; каждый из которых во всей своей полноте включается в настоящий документ для справки.
В настоящем изобретении предусматриваются различные полимеризационные реакторы. В соответствии с использованием в настоящем документе «полимеризационный реактор» включает любые полимеризационный реактор или систему полимеризационных реакторов, известные на современном уровне техники, которые способны обеспечить полимеризацию олефиновых мономеров с получением гомополимеров или сополимеров настоящего изобретения. Такие реакторы могут включать суспензионные реакторы, газофазные реакторы, растворные реакторы или любую их комбинацию. Газофазные реакторы могут включать реакторы с псевдоожиженным слоем или трубчатые реакторы. Суспензионные реакторы могут включать реакторы с вертикальными контурами петли или реакторы с горизонтальными контурами петли.
Полимеризационные реакторы, подходящие для настоящего изобретения, могут включать, по меньшей мере, одну систему подачи материалов исходного сырья, по меньшей мере, одну систему подачи катализатора или компонентов катализатора, по меньшей мере, одну систему реактора, по меньшей мере, одну систему извлечения полимера или любую подходящую их комбинацию. Реакторы, подходящие для настоящего изобретения, дополнительно могут включать любого одного представителя или комбинацию представителей, выбираемых из системы хранения катализатора, системы экструдирования, системы охлаждения, системы отправления разбавителя на рецикл или системы управления. Такие реакторы могут включать непрерывные отбор и непосредственное отправление на рецикл катализатора, разбавителя и полимера. В общем случае непрерывные способы могут включать непрерывное введение мономера, катализатора и разбавителя в полимеризационный реактор и непрерывное удаление из данного реактора суспензии, содержащей частицы полимера и разбавитель.
Системы полимеризационных реакторов настоящего изобретения могут включать один тип системы реактора или системы нескольких реакторов, включающие два или более типа реакторов, функционирующих при параллельном или последовательном соединении. Системы нескольких реакторов могут включать реакторы, соединенные друг с другом для проведения полимеризации, или реакторы, которые друг с другом не соединены. Полимеризацию с получением полимера можно проводить в одном реакторе при одном наборе условий, а после этого полимер можно переводить во второй реактор для проведения полимеризации при другом наборе условий.
В одном аспекте изобретения система полимеризационного реактора может включать, по меньшей мере, один петлевой суспензионный реактор. Такие реакторы на современном уровне техники известны, и они могут включать реакторы с вертикальным или горизонтальным контурами петли. Такие контуры петли могут включать единственный контур петли или несколько контуров петель. Реакторы с несколькими контурами петель могут включать реакторы как с вертикальными, так и с горизонтальными контурами петель. Суспензионную полимеризацию можно проводить в органическом растворителе, который может обеспечить диспергирование катализатора и полимера. Примеры подходящих растворителей включают бутан, гексан, циклогексан, октан и изобутан. Мономер, растворитель, катализатор и любой сомономер непрерывно подают в петлевой реактор, в котором протекает полимеризация. Полимеризация может протекать при низких температурах и давлениях. Поток продуктов из реактора может быть подвергнут однократному мгновенному испарению для удаления твердой смолы.
В еще одном аспекте данного изобретения полимеризационный реактор может включать, по меньшей мере, один газофазный реактор. В таких системах возможно использование непрерывного потока отправления на рецикл, содержащего один или несколько мономеров, непрерывно прогоняемых в контуре через псевдоожиженный слой в условиях проведения полимеризации в присутствии катализатора. Поток отправления на рецикл можно отбирать из псевдоожиженного слоя и отправлять на рецикл обратно в реактор. В то же самое время из реактора можно отбирать полимерный продукт, а для компенсации заполимеризованного мономера можно добавлять новый или свежий мономер. Такие газофазные реакторы можно включать в способ многостадийной газофазной полимеризации олефинов, в котором олефины полимеризуют в газовой фазе, по меньшей мере, в двух независимых зонах газофазной полимеризации при одновременной подаче во вторую зону полимеризации содержащего катализатор полимера, полученного в первой зоне полимеризации.
В еще одном аспекте изобретения полимеризационный реактор может включать трубчатый реактор. Трубчатые реакторы могут обеспечить получение полимеров при проведении свободно-радикального инициирования или при использовании катализаторов, обычно применяемых для проведения координационной полимеризации. Трубчатые реакторы могут включать несколько зон, в которых проводят добавление свежего мономера, инициаторов или катализаторов. Мономеры можно увлекать потоком инертного газа и вводить в одну зону реактора. Инициаторы, катализаторы и/или компоненты катализаторов можно увлекать газовым потоком и вводить в другую зону реактора. Для проведения полимеризации газовые потоки друг с другом перемешивают. Для обеспечения достижения оптимальных условий проведения реакции полимеризации соответствующим образом можно использовать теплоту и давление.
В еще одном аспекте изобретения полимеризационный реактор может включать растворный полимеризационный реактор. Во время проведения растворной полимеризации мономер вводят в контакт с композицией катализатора при использовании подходящего перемешивания или других способов. Возможно использование носителя, включающего инертный органический разбавитель или избыточный мономер. При желании мономер можно в паровой фазе ввести в контакт с продуктом каталитической реакции в присутствии или в отсутствие жидкого материала. Зону полимеризации выдерживают при температурах и давлениях, которые в результате будут приводить к получению раствора полимера в реакционной среде. Для достижения лучшего регулирования температуры и обеспечения сохранения однородности полимеризационных смесей по всей зоне полимеризации во время полимеризации можно воспользоваться перемешиванием. Для рассеяния выделяющегося тепла полимеризации используют соответствующие средства. Полимеризацию можно провести в периодическом варианте или в непрерывном варианте. Реактор может включать последовательность в виде, по меньшей мере, одного сепаратора, в котором используют высокое давление и низкое давление для выделения желательного полимера.
В дополнительном аспекте изобретения система полимеризационного реактора может включать комбинацию из двух или более реакторов. Получение полимеров в нескольких реакторах может включать несколько стадий, по меньшей мере, в двух раздельных полимеризационных реакторах, соединенных друг с другом при помощи перепускного устройства, делающего возможным перепускание получающихся в результате полимеров из первого полимеризационного реактора во второй реактор. Желательные условия проведения полимеризации в одном из реакторов могут отличаться от рабочих условий в других реакторах. В альтернативном варианте полимеризация в нескольких реакторах может включать проводимое вручную перепускание полимера из одного реактора в последующие реакторы для проведения непрерывной полимеризации. Такие реакторы могут включать любую комбинацию, в том числе нижеследующее, но не ограничиваясь только им: несколько петлевых реакторов, несколько газофазных реакторов, комбинация петлевых и газофазных реакторов, комбинация автоклавных реакторов или растворных реакторов с газофазными или петлевыми реакторами, несколько растворных реакторов или несколько автоклавных реакторов.
После того как полимеры будут получены, их можно будет формовать с получением различных изделий, включающих нижеследующее, но не ограничивающихся только им: бытовые контейнеры, посуда, пленочные продукты, цилиндрические резервуары, топливные баки, трубы, геомембраны и вкладыши. Изготовление данных изделий можно провести при использовании различных способов. Для получения желательных эффектов к полимеру обычно добавляют добавки и модификаторы. В результате использования изобретения, описанного в настоящем документе, изделия, по-видимому, можно изготовить при пониженных затратах при сохранении большинства или всех уникальных свойств полимеров, полученных с использованием металлоценовых катализаторов.
Получение и свойства смолы настоящего изобретения
В таблице 1 представлены некоторые неограничивающие примеры условий получения катализаторов настоящего изобретения. В таблице 2 представлены некоторые неограничивающие примеры катализаторов, условий проведения полимеризации и получающихся в результате свойств смол данного изобретения. В таблице 3 представлены некоторые неограничивающие примеры катализаторов, условий проведения полимеризации и получающихся в результате свойств смол данного изобретения. В таблицах от 4 до 6, на фиг.1-14 и в примерах представлены данные для полиэтиленовых смол, полученных при использовании композиций катализаторов данного изобретения, и для полиэтиленовых смол, полученных при использовании стандартных или сравнительных композиций катализаторов.
В примере 7 представлено описание синтеза смолы. Для данных по оценке смолы, представленных в таблицах 4-6 и примерах, использовали четыре различные системы катализаторов. Как продемонстрировано в таблицах 1 и 2, проводили оценку системы одинарного металлоценового катализатора, и смолы, полученные при использовании данного катализатора, в обозначении снабжали префиксом SC , обозначающим использование одинарного катализатора. В таблицах 1 и 2 также указывается то, что следующие далее три катализатора представляли собой двойные металлоценовые катализаторы, использующие различные пары металлоценовых катализаторов, которые применяли, комбинируя катализаторы в желательных соотношениях в реакторе до полимеризации. Смолы, полученные при использовании данных двойных металлоценовых систем, снабжали префиксами DC-A , DC-B и DC-C , обозначающими использование двойных металлоценовых систем и позволяющими провести различие между тремя системами. Кроме того, сами смолы затем помечали числовыми обозначениями для облегчения идентификации, например, SC-1, SC-2, DC-A-1, DC-B-1 и так далее. В качестве контрольного образца для всех экспериментов использовали коммерчески доступный ПЭНП-ВД – РЕ4517 – от компании Chevron Phillips Chemical Co. LP.
Все смолы, полученные при использовании одинарного металлоценового катализатора, как было показано, в общем случае демонстрировали более высокие давления в экструдере и токовые нагрузки на двигатель в сопоставлении с РЕ4517 при эквивалентных значениях индекса расплава. В противоположность этому, смолы, полученные при использовании двойного металлоценового катализатора, демонстрировали значительно улучшенные характеристики уменьшения вязкости при сдвиге в сопоставлении со смолами, полученными при использовании одинарного металлоценового катализатора, что в результате приводило к получению давлений в экструдере и токовых нагрузок на двигатель, сопоставимыми с тем, что имело место в случае смолы РЕ4517. Шейкообразование и максимально достижимая скорость технологической линии при переработке смол данного изобретения демонстрировали различные отклики. Смолы, полученные при использовании одинарного катализатора, демонстрировали повышенный уровень шейкообразования и ухудшенную способность к вытяжке в сопоставлении с РЕ4517, однако, характеристики как шейкообразования, так и способности к вытяжке значительно улучшались в случае смол, полученных при использовании двойного металлоцена. Одна пара катализаторов, в частности, DC-C-2, приводила к образованию смол, которые демонстрировали эквивалентные или меньшие давления в экструдере и токовые нагрузки на двигатель и уровни шейкообразования при значениях скорости технологической линии, равных как 300 фут/мин, так и 900 фут/мин, которые только ненамного превышали соответствующие значения для РЕ4517. В общем случае максимальные значения скорости технологической линии для данных конкретных смол были меньшими в сопоставлении со случаем РЕ4517, но все еще достаточно высокими (~1000 фут/мин) для того, чтобы в общем случае рассматриваться как рентабельные. Согласно наблюдениям характеристики сопротивления раздиру по Элмендорфу, ударной вязкости по Спенсеру, адгезионной прочности при разрыве под действием внутреннего давления и тепловой сварки (прочности прилипания в горячем состоянии и предельной прочности при тепловой сварке) для всех экспериментальных смол являлись по существу эквивалентными или лучшими в сопоставлении с данными свойствами смолы РЕ4517.
Как описывалось в настоящем документе, было отмечено, что характеристики давления в экструдере и токовой нагрузки на двигатель в общем случае по существу представляют собой функцию одной только вязкости при соответствующей высокой скорости сдвига. В случае смол данного изобретения уровни шейкообразования согласно наблюдениям зависели главным образом от вязкости при нулевом сдвиге или упругости расплава. В дополнение к этому, высокомолекулярные фракция или компонент согласно наблюдениям оказывали влияние на уровни шейкообразования. Кроме того, было отмечено, что технологические параметры при нанесении покрытий по способу экструдирования для данных смол при повышенных температурах можно было обоснованно предсказать, исходя из данных по реологии при намного меньших температурах, что соответствует результатам недавно опубликованных наблюдений. Вытяжка (максимальная скорость технологической линии) согласно наблюдениям слабо зависела от вязкости при низкой скорости сдвига, хотя причины этого хорошо не поняты. Согласно наблюдениям смола РЕ4517 не попадала на те же самые линии трендов для характеристик шейкообразования и вытяжки, что и смолы, полученные в соответствии с настоящим изобретением. Без намерения связать себя какой-либо теорией, можно предположить, что данное наблюдение обуславливалось различиями как в уровне содержания длинноцепных разветвлений, так и в архитектуре длинноцепных разветвлений у данных смол.
Сопоставление смол, полученных при использовании одинарных металлоценовых и двойных металлоценовых катализаторов
В примере 8 приводятся результаты, полученные для одинарных металлоценовых катализаторов, и свойства получающихся в результате смол, которые используют в качестве сравнительной базовой линии для двойных металлоценовых катализаторов и коммерчески доступного контрольного образца ПЭНП-ВД, помеченного как РЕ4517 (от компании Chevron Phillips Chemical Co. LP). Как можно видеть из фиг.1-4, все смолы, полученные при использовании одинарного катализатора, помеченные обозначениями от SC-1 до SC-5, в общем случае демонстрируют более высокие давления в экструдере, токовые нагрузки на двигатель и уровни шейкообразования в сопоставлении с коммерчески доступным контрольным образцом ПЭНП-ВД, помеченным как РЕ4517. Таким образом, несмотря на то, что образцы от SC-1 до SC-3 были подобны образцу РЕ4517 по MI, они демонстрировали почти что в два раза более высокое давление при экструдировании и на 50% более высокую токовую нагрузку на двигатель в сопоставлении со смолой РЕ4517. Уровни шейкообразования для данных смол были более высокими при скорости технологической линии 300 фут/мин, а до достижения скорости технологической линии 900 фут/мин наблюдалось разрушение. Смолы SC-4 и SC-5 характеризовались более высокими значениями MI в сопоставлении с РЕ4517, и в результате давления в экструдере и токовые нагрузки на двигатель у них были более близкими к значениям для РЕ4517. Однако они демонстрировали более высокие уровни шейкообразования при 300 фут/мин. Кроме того, образец SC-4 также демонстрировал разрушение до достижения 900 фут/мин, в то время как образец SC-5 можно было подвергать вытяжке до скорости технологической линии 900 фут/мин, как это можно видеть на фиг.4. Однако при данной более высокой скорости технологической линии у него наблюдалось приблизительно троекратное превышение уровня шейкообразования в сопоставлении с РЕ4517.
В примере 8 представлен детальный анализ для смол, полученных при использовании катализатора SC. Обобщая, можно сказать, что данные результаты свидетельствуют о том, что смолы, полученные при использовании данных конкретных одинарных катализаторов, не обеспечивали достижения оптимального баланса между характеристиками экструдирования и шейкообразования, которые были бы сопоставимы с желательными характеристиками для смолы РЕ4517.
В примере 9 и таблицах 4-6 представлены результаты, полученные для трех различных пар двойных металлоценовых катализаторов, и свойства получающихся в результате смол, и здесь же приведено сопоставление с результатами, полученными для контрольного образца ПЭНП-ВД в виде смолы РЕ4517. Данные смолы, полученные при использовании двойных металлоценов, помимо прочего, демонстрируют уширение молекулярно-массового распределения и улучшение отклика в виде уменьшения вязкости при сдвиге в сопоставлении со смолами, полученными при использовании одинарных металлоценовых катализаторов. Смолы, полученные при использовании двойных металлоценов, несмотря на наличие между ними некоторых различий в общем случае обладали лучшими общими эксплуатационными характеристиками в сопоставлении со смолами, полученными при использовании одинарного катализатора. Например, данные различия иллюстрирует сопоставление данных для смол, полученных при использовании двойного металлоцена, DC-A-1, DC-B-1 и DC-C-1, и данных для смол, полученных при использовании одинарного металлоцена, SC-1, SC-2 и SC-3, которые имели наиболее близкие друг к другу значения MI. В общем случае смолы, полученные при использовании двойного металлоценового катализатора, демонстрировали пониженные давления в экструзионной головке, пониженные токовые нагрузки на двигатель, пониженные уровни шейкообразования и улучшенную способность к вытяжке, как это можно видеть на фиг.1-4, соответственно. Эксплуатационные характеристики двух смол системы С, а именно, смол DC-C-1 и DC-C-2, были в особенности примечательными в сопоставлении со свойствами контрольного образца ПЭНП-ВД в виде смолы РЕ4517. Смола DC-C-1, которая номинально характеризуется тем же самым значением MI, что и РЕ4517, в сопоставлении с РЕ4517 демонстрирует вполне сопоставимые, если не лучшие характеристики давления в экструдере и токовой нагрузки на двигатель и сопоставимый уровень шейкообразования при 300 фут/мин, как это проиллюстрировано на фиг.3. Однако смола DC-C-1 не демонстрировала хорошей способности к вытяжке и рвалась при 600 фут/мин (смотрите таблицу 4). Смола DC-C-2, которая характеризовалась значением MI, более высоким, чем у РЕ4517 (~12 MI), в сопоставлении со смолой РЕ4517 демонстрировала отчетливо меньшее давление в экструдере, меньшую токовую нагрузку на двигатель и вполне сопоставимый уровень шейкообразования при значениях скорости технологической линии, равных как 300 фут/мин, так и 900 фут/мин.
Свойства покрытия, нанесенного по способу экструдирования
Оценки покрытий, нанесенных по способу экструдирования, для смол данного изобретения получали и сопоставляли с оценками для контрольного образца ПЭНП-ВД в виде смолы РЕ4517 и их привели в примере 10.
Как демонстрируют величины предела прочности при раздире по Элмендорфу, проиллюстрированные на фиг.6, экспериментальные смолы, полученные в соответствии с примерами, являлись либо в основном эквивалентными, либо лучшими в том, что касается сопротивления раздиру ПрН и ПпН, в сопоставлении со смолой РЕ4517. Ударная вязкость по Спенсеру на фиг.7 подобным же образом демонстрирует в основном сопоставимые эксплуатационные характеристики для экспериментальных смол и РЕ4517. Адгезионная прочность при разрыве под действием внутреннего давления на фиг.8 демонстрирует некоторую вариативность, но опять-таки никакого очевидного общего тренда либо с плотностью, либо с индексом расплава.
Данные по прочности прилипания в горячем состоянии для экспериментальных смол продемонстрированы на фиг.9. С учетом возможного исключения в виде смолы SC-1, которая представляла собой одну из смол с наибольшей плотностью (0,934 г/см3), полученных в соответствии с данным изобретением, другие экспериментальные смолы демонстрировали характеристики прочности прилипания в горячем состоянии, которые, по-видимому, являлись в основном сопоставимыми с соответствующими величинами для РЕ4517. Данные по предельной прочности при тепловой сварке на фиг.10 иллюстрируют то, что в сопоставлении с соответствующими характеристиками РЕ4517 экспериментальные смолы, в общем и целом, демонстрируют сопоставимые значения температуры инициирования тепловой сварки и прочности при тепловой сварке. Более тщательное сопоставление РЕ4517, DC-C-1 и DC-C-2, кроме того, позволяет продемонстрировать то, что в то время как предельная прочность при тепловой сварке для РЕ4517, по-видимому, характеризуется наличием плато в области приблизительно 3,2 фунт-сила/дюйм, соответствующие характеристики для DC-C-1 и DC-C-2 в общем случае демонстрируют более высокие значения прочности на плато, приблизительно равные 4-4,5 фунт-сила/дюйм.
Молекулярная масса и реологические характеристики
Полученные по методу SEC-MALS данные по абсолютной молекулярной массе, демонстрирующие среднемассовую молекулярную массу (Mw), среднечисленную молекулярную массу (Mn), z-среднюю молекулярную массу (Mz) и молекулярно-массовое распределение (Mw/Mn), представлены в таблице 5. Реологические характеристики для смол данного изобретения, выраженные через параметры эмпирической модели авторов Carreau-Yasuda, представлены в таблице 6. Все экспериментальные смолы, продемонстрированные в таблицах 1, 2 и 3, и контрольный образец ПЭНП-ВД в виде смолы РЕ4517 согласно определению по данным метода SEC-MALS характеризовались различными уровнями содержания длинноцепных разветвлений. В примере 11 детально охарактеризованы молекулярная масса и реологические характеристики смол настоящего изобретения.
Как проиллюстрировано на фиг.11а, смола РЕ4517 характеризовалась наибольшей полидисперсностью в сопоставлении со смолами А, В или С данного изобретения, о чем свидетельствует наличие значительного «вздутия» на высокомолекулярном конце. Все экспериментальные смолы в общем случае демонстрировали намного более узкую полидисперсность, но все также демонстрировали наличие и высокомолекулярного «вздутия». Как проиллюстрировано на фиг.11b, смола РЕ4517 характеризовалась значительно более высоким уровнем содержания длинноцепных разветвлений по диапазону молекулярных масс в сопоставлении со всеми смолами настоящего изобретения. Результаты с фиг.11а и 11b продемонстрировали, что в сопоставлении со смолой РЕ4517 экспериментальные смолы в общем случае: 1) характеризуются более узкой полидисперсностью; 2) характеризуются отсутствием очень высоких краевых значений Mw; и 3) демонстрируют наличие только от одной трети до одной четверти уровня содержания ДЦР.
Дополнительное подтверждение наличия в данных полимерах длинноцепных разветвлений исходит из повышенных значений энергии активации течения Еа, близких к 40 кДж/моль для избранных представительных смол, как это продемонстрировано в таблице 4. Экспериментальные смолы также были охарактеризованы с использованием ядерного магнитного резонанса (ЯМР), и данные результаты, по-видимому, демонстрируют наличие разветвлений, относящихся только к типу Y . В противоположность этому, ПЭНП-ВД, как представляется, характеризуется наличием более сложной архитектуры длинноцепных разветвлений в виде статистически распределенных множественных разветвлений или «древовидной» структуры с наличием разветвлений на разветвлениях, что является результатом использования способа свободно-радикальной полимеризации при высоком давлении. Поэтому различия между различными смолами, полученными в соответствии с настоящим изобретением, и причины наблюдаемых для них различий в эксплуатационных характеристиках, как представляется, в основном обуславливаются различиями в Mw, молекулярно-массовом распределении (ММР) и уровнях содержания длинноцепных разветвлений, а не в типе архитектуры длинноцепных разветвлений.
Токовая нагрузка на двигатель и давление в экструзионной головке
В примере 12 детально описаны характеристики токовой нагрузки на двигатель и давления в экструзионной головке для смол данного изобретения. Токовая нагрузка на двигатель и давление в экструзионной головке предположительно находятся в зависимости от сдвиговой вязкости. Уменьшение токовой нагрузки на двигатель и давления в экструдере рассматривали как функцию измеренной сдвиговой вязкости при скорости сдвига 100 1/сек, и полученные результаты свидетельствуют о наличии достаточно хорошей корреляции между как токовой нагрузкой на двигатель, так и давлением в экструдере, с одной стороны, и сдвиговой вязкостью, с другой стороны, что можно видеть на фиг.12а и 12b, соответственно. В примере 12 представлен детальный анализ данных результатов.
Дополнительное рассмотрение данных с фиг.12 в их связи с четырьмя различными исследованными системами смола/катализатор выявило то, что смолы, полученные при использовании одинарного катализатора, при эквивалентных значениях MI демонстрировали повышенные вязкости при высокой скорости сдвига и, таким образом, повышенные значения токовой нагрузки на двигатель и падения давления. В противоположность этому, смолы, полученные при использовании двойного катализатора, демонстрировали пониженные вязкости при высокой скорости сдвига и, таким образом, пониженные значения токовой нагрузки на двигатель и падения давления. Таким образом, данные с фиг.12 свидетельствуют о том, что предполагаемые характеристики экструдирования, а именно, токовую нагрузку на двигатель и давление в экструзионной головке, можно регулировать, контролируя характеристики вязкости при сдвиговом течении при преобладающих технологических условиях. Таким образом, при заданном значении MI чем более выраженной будет способность к уменьшению вязкости при сдвиге, тем меньшими должны быть ожидаемые значения токовой нагрузки на двигатель и давления в экструзионной головке.
Характеристики шейкообразования
В примере 13 представлен детальный анализ характеристик шейкообразования для смол данного изобретения. Фиг.13а иллюстрирует уровень шейкообразования для одной стороны при 300 фут/мин, что демонстрирует полулогарифмический график зависимости от вязкости при нулевом сдвиге, оцененной так, как это описывается в настоящем документе. На фиг.13b уровень шейкообразования для одной стороны при 300 фут/мин продемонстрирован в виде зависимости от параметра упругого сдвига (ПУС). Все смолы, полученные в соответствии с настоящим изобретением, по-видимому, по существу попадают на одну линию тренда, при этом уровень шейкообразования систематически уменьшается по мере того, как вязкость при нулевом сдвиге увеличивается (фиг.13а), или по мере того, как увеличивается упругость расплава (фиг.13b). В противоположность данному наблюдаемому поведению смола РЕ43517 очевидно выпадает из линии тренда в обоих случаях.
Фиг.5 иллюстрирует уровень шейкообразования в зависимости от увеличивающейся скорости технологической линии или повышения вытяжки и свидетельствует о том, что шейкообразование для всех смол, полученных при использовании одинарного катализатора, от SC-1 до SC-5 демонстрировало неизменность или увеличение уровня шейкообразования при увеличении скорости технологической линии. В противоположность этому, шейкообразование для РЕ4517 и каждой из смол, полученных при использовании двойного металлоцена, за исключением смолы DC-A-3, в общем случае продемонстрировало понижение уровня шейкообразования по мере того, как скорость технологической линии увеличивалась. Данные результаты иллюстрируют то, что системы двойных металлоценов настоящего изобретения позволяли получать такие молекулярные архитектуры смол, которые демонстрировали отклики в виде деформационного упрочнения, подобные тем, что наблюдались для смол ПЭНП-ВД.
В предположении о том, что все смолы настоящего изобретения демонстрируют наличие по существу подобного типа архитектуры ДЦР, описанной в настоящем документе, и, кроме того, только в незначительной степени варьируются по уровню содержания ДЦР (смотрите фиг.11b), представляется, что на различия в характеристиках шейкообразования значительное влияние оказывает фракция с высокими значениями Mw. Таблица 3 иллюстрирует то, что все экспериментальные смолы фактически варьируются в узком диапазоне характеристик молекулярных масс, главным образом характеристик Mw и Mz. Говоря конкретно, z-средняя молекулярная масса Mz при постоянном значении MI, по-видимому, увеличивается при переходе от системы одинарного катализатора SC к системе двойного катализатора DC-A, к системе двойного катализатора DC-B, к системе двойного катализатора DC-С. Данное наблюдение дополнительно следует из сопоставления данных по Mw и Mz в таблице 3 для смол SC-2, DC-A-1, DC-B-1 и DC-C-1, все из которых характеризуются близостью к ~5 MI, и данных с фиг.11а и 11b. Из более тщательного рассмотрения, по-видимому, следует то, что смола DC-C-1, которая демонстрирует самый низкий уровень шейкообразования в числе экспериментальных смол, фактически характеризуется более низким уровнем содержания ДЦР в сопоставлении со случаями DC-A-1 и DC-B-1.
Однако DC-C-1 характеризуется более высоким значением Mz в сопоставлении с другими смолами настоящего изобретения. Поэтому без намерения связывать себя какой-либо теорией, можно предположить возможность того, что смолы настоящего изобретения демонстрируют наблюдаемые различия в шейкообразовании не вследствие различий в типе длинноцепных разветвлений, а вследствие различий во фракциях с повышенными значениями Mw. В противоположность этому, тот факт, что РЕ4517, по-видимому, не следует общим трендам для серий экспериментальных смол в том, что касается шейкообразования (фиг.13а и 13b), можно приписать различиям в уровне содержания, а также типе длинноцепных разветвлений, описанных в настоящем документе.
Способность к вытяжке
Максимальная скорость технологической линии, достижимая для каждой смолы, продемонстрирована на фиг.14 в зависимости от вязкости при низкой скорости сдвига при частоте 0,03 1/сек, как это получали из данных по развертке по динамической частоте при 190°С. В грубом приближении наблюдается тренд в виде уменьшения достижимой максимальной скорости технологической линии при увеличении вязкости при низкой скорости сдвига. Отклик для РЕ4517 отличается от отклика для смол, полученных в соответствии с настоящим изобретением, о чем свидетельствует фиг.14.
Свойства смол
Рассмотрение описанных в настоящем документе таблиц, фигур и примеров позволяет получить нижеследующее дополнительное описание свойств смол данного изобретения.
В соответствии с одним аспектом данного изобретения полимер этилена настоящего изобретения можно охарактеризовать индексом расплава в диапазоне от 3 до 30 г/10 мин; плотностью в диапазоне от 0,915 до 0,945 г/см3; энергией активации течения Еа в диапазоне от 35 до 45 кДж/моль; показателем полидисперсности (Mw/Mn) в диапазоне от 3 до 15; величиной Mz в диапазоне от 300 до 1500 кг/моль; молекулярной массой Mw в диапазоне от 70 до 200 кг/моль; и количеством длинноцепных разветвлений на 1000 атомов углерода (ДЦР/1000 атомов углерода) в диапазоне от 0,02 до 0,3, в диапазоне молекулярных масс Mw от 100 до 1000 кг/моль.
В соответствии с еще одним аспектом данного изобретения полимер этилена настоящего изобретения можно охарактеризовать индексом расплава в диапазоне от 5 до 20 г/10 мин; плотностью в диапазоне от 0,915 до 0,935 г/см3; энергией активации течения Еа в диапазоне от 37 до 43 кДж/моль; показателем полидисперсности (Mw/Mn) в диапазоне от 4 до 12; величиной Mz в диапазоне от 400 до 1200 кг/моль; молекулярной массой Mw в диапазоне от 75 до 150 кг/моль; и количеством длинноцепных разветвлений на 1000 атомов углерода (ДЦР/1000 атомов углерода) в диапазоне от 0,02 до 0,25, в диапазоне молекулярных масс Mw от 100 до 1000 кг/моль.
В соответствии с еще одним аспектом данного изобретения полимер этилена настоящего изобретения можно охарактеризовать индексом расплава в диапазоне от 7 до 15 г/10 мин; плотностью в диапазоне от 0,916 до 0,930 г/см3; энергией активации течения Еа в диапазоне от 38 до 42 кДж/моль; показателем полидисперсности (Mw/Mn) в диапазоне от 5 до 10; величиной Mz в диапазоне от 500 до 1100 кг/моль; молекулярной массой Mw в диапазоне от 80 до 130 кг/моль; и количеством длинноцепных разветвлений на 1000 атомов углерода (ДЦР/1000 атомов углерода) в диапазоне от 0,02 до 0,18, в диапазоне молекулярных масс Mw от 100 до 1000 кг/моль.
В дополнительном аспекте данного изобретения полимер этилена характеризуется уровнем шейкообразования полимера при скорости технологической линии 300 фут/мин в диапазоне от 3 до 8 дюйм/сторона. В еще одном аспекте уровень шейкообразования полимера при скорости технологической линии 300 фут/мин находится в диапазоне от 3 до 6 дюйм/сторона, а в еще одном аспекте уровень шейкообразования полимера при скорости технологической линии 300 фут/мин находится в диапазоне от 3 до 4,5 дюйм/сторона.
В дополнительном аспекте данного изобретения полимер этилена характеризуется параметром упругого сдвига × 1Е3 (ПУС) при 190°С и частоте 0,03 рад/сек в диапазоне от 20 до 500. В еще одном аспекте параметр упругого сдвига × 1Е3 (ПУС) для полимера при 190°С и частоте 0,03 рад/сек находится в диапазоне от 80 до 475, а в еще одном аспекте параметр упругого сдвига × 1Е3 (ПУС) для полимера при 190°С и частоте 0,03 рад/сек находится в диапазоне от 175 до 450.
В еще одном аспекте данного изобретения полимер этилена характеризуется уровнем шейкообразования полимера при скорости технологической линии 900 фут/мин в диапазоне от 3 до 8 дюйм/сторона. В еще одном аспекте уровень шейкообразования полимера при скорости технологической линии 900 фут/мин находится в диапазоне от 3 до 6 дюйм/сторона, а в еще одном аспекте уровень шейкообразования полимера при скорости технологической линии 900 фут/мин находится в диапазоне от 3 до 4,5 дюйм/сторона.
В еще одном аспекте данного изобретения полимер этилена при производительности экструдирования 200 фунт/час характеризуется давлением в экструзионной головке в диапазоне от 500 до 2000 фунт/дюйм2. В еще одном аспекте при производительности экструдирования 200 фунт/час давление в экструзионной головке находится в диапазоне от 600 до 1500 фунт/дюйм2, а в еще одном аспекте при производительности экструдирования 200 фунт/час давление в экструзионной головке находится в диапазоне от 700 до 1300 фунт/дюйм2.
В еще одном дополнительном аспекте данного изобретения при производительности экструдирования 200 фунт/час полимер этилена характеризуется токовой нагрузкой на двигатель экструдера в диапазоне от 40 до 120 А. В еще одном аспекте при производительности экструдирования 200 фунт/час токовая нагрузка на двигатель экструдера находится в диапазоне от 50 до 100 А, а в еще одном аспекте при производительности экструдирования 200 фунт/час токовая нагрузка на двигатель экструдера находится в диапазоне от 60 до 90 А.
В еще одном дополнительном аспекте данного изобретения полимер этилена характеризуется сопротивлением раздиру ПрН по Элмендорфу, большим или равным 2,1 г/фунт/стопка. В еще одном аспекте сопротивление раздиру ПпН по Элмендорфу составляет величину, большую или равную 2,9 г/фунт/стопка.
В еще одном аспекте данного изобретения полимер этилена характеризуется ударной вязкостью по Спенсеру, большей или равной 0,010 г/фунт/стопка.
В еще одном аспекте данного изобретения полимер этилена характеризуется адгезионной прочностью при разрыве под действием внутреннего давления, большей или равной 95%.
В еще одном дополнительном аспекте данного изобретения полимер этилена характеризуется температурой инициирования прилипания в горячем состоянии, при которой прочность прилипания в горячем состоянии развивается до уровня прочности, равной 1 Н/25 мм, меньшей или равной 110°С. В еще одном аспекте температура инициирования прилипания в горячем состоянии, при которой прочность прилипания в горячем состоянии развивается до уровня прочности, равной 1 Н/25 мм, составляет величину, меньшую или равную 120°С.
В еще одном дополнительном аспекте данного изобретения полимер этилена характеризуется предельной прочностью при тепловой сварке, большей или равной 3,5 фунт-сила/дюйм.
Данные результаты иллюстрируют синтез смол при использовании металлоценовых катализаторов, где данные смолы, несмотря на отличие их молекулярных архитектур от случая ПЭНП-ВД по эксплуатационным характеристикам, могут хорошо соответствовать обычно используемым смолам ПЭНП-ВД в сферах применения покрытий, нанесенных по способу экструдирования.
Определения
Для того, чтобы более точно определить термины, используемые в настоящем документе, предлагаются следующие далее определения. В той степени, в которой любые определение или употребление, предусматриваемые в любом документе, включенном в настоящий документ для справки, вступают в конфликт с определением или употреблением, предусматриваемыми в настоящем документе, решающее значение имеют определение или употребление, предусматриваемые в настоящем документе.
Термин «полимер» используется в настоящем документе для обозначения гомополимеров, содержащих звенья этилена, и сополимеров этилена и другого олефинового сомономера. Таким образом, термин «полимер этилена» используется в настоящем документе для обозначения как гомополимеров, так и сополимеров этилена и олефинового сомономера. Полимер также используется в настоящем документе для обозначения гомополимеров и сополимеров любого другого полимеризуемого мономера, описанного в настоящем документе.
Термин «сокатализатор» в настоящем документе в общем случае используется для обозначения алюминийорганических соединений, которые могут составлять один компонент композиции катализатора, но он также относится и к необязательным компонентам композиции катализатора, включающим нижеследующее, но не ограничивающимся только им: алюмоксаны, борорганические соединения, цинкорганические соединения или ионизирующие ионные соединения, описанные в настоящем документе. Термин сокатализатор можно использовать вне зависимости от фактической функции соединения или любого химического механизма, по которому соединение может действовать. В одном аспекте термин сокатализатор используют для того, чтобы отличить данный компонент композиции катализатора от первого и второго металлоценовых соединений.
Термин смесь «предварительного контакта» используется в настоящем документе для описания первой смеси компонентов катализатора, которые вводят в контакт в течение первого периода времени до использования первой смеси для образования смеси «последующего контакта» или второй смеси компонентов катализатора, которые вводят в контакт в течение второго периода времени. Обычно смесь предварительного контакта описывает смесь металлоценового соединения (первого, второго или обоих), олефинового мономера и алюминийорганического соединения до того, как данную смесь введут в контакт с химически модифицированным твердым оксидом и необязательно дополнительным алюминийорганическим соединением. Таким образом «предварительный контакт» описывает компоненты, которые используют для введения в контакт друг с другом, но до введения в контакт с компонентами во второй смеси – смеси последующего контакта. В соответствии с этим, данное изобретение иногда может проводить различие между компонентом, используемым для получения смеси предварительного контакта, и данным компонентом после того, как смесь была получена. Например, в соответствии с данным описанием может оказаться так, что как только алюминийорганическое соединение предварительного контакта будет введено в контакт с металлоценом и олефиновым мономером, оно вступит в реакцию с образованием, по меньшей мере, одного другого химического соединения, вещества или варианта структуры, отличного от четко определенного алюминийорганического соединения, использованного для получения смеси предварительного контакта. В данном случае алюминийорганическое соединение или компонент предварительного контакта описываются включающими алюминийорганическое соединение, которое использовали для получения смеси предварительного контакта.
Подобным же образом термин смесь «последующего контакта» в настоящем документе используют для описания второй смеси компонентов катализатора, которые вводят в контакт в течение второго периода времени, и один компонент которой представляет собой смесь «предварительного контакта» или первую смесь компонентов катализатора, которые вводили в контакт в течение первого периода времени. Обычно термин смесь «последующего контакта» в настоящем документе используют для описания смеси первого металлоценового соединения, первого металлоценового соединения, олефинового мономера, алюминийорганического соединения и химически модифицированного твердого оксида, полученной в результате введения в контакт смеси предварительного контакта, содержащей часть данных компонентов, и любых дополнительных компонентов, добавленных для составления смеси последующего контакта. В общем случае дополнительным компонентом, добавляемым для составления смеси последующего контакта, является химически модифицированный твердый оксид, и необязательно он может включать алюминийорганическое соединение, идентичное или отличное в сопоставлении с алюминийорганическим соединением, используемым для получения смеси предварительного контакта, описанной в настоящем документе. В соответствии с этим в данном изобретении иногда также может быть проведено различие между компонентом, используемым для получения смеси последующего контакта, и данным компонентом после того, как смесь была получена.
Термин металлоцен описывает соединение, содержащее в молекуле два лиганда, относящихся к 5-циклоалкадиенильному типу. Таким образом, металлоцены данного изобретения представляют собой соединенные мостиковыми группами соединения, содержащие структуру бис(лиганд, относящийся к 5-циклопентадиенильному типу), где 5-циклоалкадиенильные части включают циклопентадиенильные лиганды, инденильные лиганды, флуоренильные лиганды и тому подобное, в том числе частично насыщенные или замещенные производные или аналоги любого из данных вариантов. Возможные заместители в данных лигандах включают водород, поэтому описание «их замещенные производные» в данном изобретении включает частично замещенные лиганды, такие как тетрагидроинденил, тетрагидрофлуоренил, октагидрофлуоренил, частично насыщенный инденил, частично насыщенный флуоренил, замещенный частично насыщенный инденил, замещенный частично насыщенный флуоренил и тому подобное. В некоторых контекстах металлоцен называют просто «катализатором», аналогичным образом термин «сокатализатор» используют в настоящем документе для обозначения алюминийорганического соединения.
Термины «композиция катализатора», «смесь катализатора» и тому подобное не зависят от фактического продукта реакции между компонентами смесей, природы активного каталитического центра или судьбы алюминийсодержащего сокатализатора, первого металлоценового соединения, второго металлоценового соединения, любого олефинового мономера, используемых для получения смеси предварительного контакта, или химического модифицированного твердого оксида после объединения данных компонентов. Поэтому термины композиция катализатора, смесь катализатора и тому подобное могут включать как гетерогенные композиции, так и гомогенные композиции.
Термин «гидрокарбил» используют для обозначения группы углеводородного радикала, которая включает нижеследующее, но не ограничивается только им: арил, алкил, циклоалкил, алкенил, циклоалкенил, циклоалкадиенил, алкинил, аралкил, аралкенил, аралкинил и тому подобное, и включает все их замещенные, незамещенные, разветвленные, линейные, замещенные гетероатомом производные.
Термины химически модифицированный твердый оксид, твердый оксидный активатор-носитель, кислотный активатор-носитель, активатор-носитель, модифицированное твердое оксидное соединение или просто активатор и тому подобное используют в настоящем документе для указания на твердый неорганический оксид, характеризующийся относительно высокой пористостью, который демонстрирует поведение кислоты Льюиса или кислоты Бренстеда и который подвергли обработке электроноакцепторным компонентом, обычно анионом, и который подвергли прокаливанию. Электроноакцепторным компонентом обычно является соединение-источник электроноакцепторного аниона. Таким образом, химически модифицированное твердое оксидное соединение включает прокаленный продукт введения в контакт, по меньшей мере, одного твердого оксидного соединения и, по меньшей мере, одного соединения-источника электроноакцепторного аниона. Обычно химически модифицированный твердый оксид включает, по меньшей мере, одно ионизирующее кислотное твердое оксидное соединение. Термины носитель или активатор-носитель не используются для обозначения того, что данные компоненты являются инертными, и данный компонент не нужно воспринимать как инертный компонент композиции катализатора.
Термин температуры инициирования прилипания в горячем состоянии в настоящем документе определяют как температуру, при которой развивается прочность, равная 1 Н/25 мм.
Если только не будет указано другого или если другого не будет требовать контекст, то некоторые сокращения, которые используются в настоящем документе, включают нижеследующее, но не ограничиваются только им: Ind – инденил; Flu – флуоренил; Ср – циклопентадиенил; С2 – этилен; С6 – 1-гексен; iC4 – изобутан; FSA – обработанный фторидом диоксид кремния-оксид алюминия; ХМТО – химически модифицированный твердый оксид.
Несмотря на то, что в практике изобретения или при проведении испытаний в изобретении возможно использование любых способов, устройств и материалов, подобных или эквивалентных тем, что описываются в настоящем документе, в настоящем документе будут описаны типичные способы, устройства и материалы.
Все публикации и патенты, упомянутые в настоящем документе, включаются в настоящий документ для справки в целях описания и охарактеризовывания, например, концепций и методологий, которые описываются в публикациях, которые могут быть использованы в связи с изобретением, описываемым в настоящем документе. Публикации, обсуждавшиеся выше и обсуждающиеся по ходу изложения текста, представлены исключительно в связи с описанием в них, составленным до даты представления на рассмотрение настоящей заявки. Ничто в настоящем документе не должно восприниматься в качестве допущения того, что изобретатели не обладают правом относить такое описание к более ранней дате по отношению к данному изобретению на основании того, что оно относится к изобретению предшествующего уровня техники.
Для любого конкретного соединения, описанного в настоящем документе, любая представленная общая структура также включает все конформационные изомеры, региоизомеры и стереоизомеры, которые могут возникать вследствие наличия конкретного набора заместителей. Общая структура также включает все энантиомеры, диастереомеры и другие оптические изомеры, вне зависимости от наличия у них энантиомерной или рацемической форм, а также смеси стереоизомеров, как того требует контекст.
Настоящее изобретение дополнительно иллюстрируется следующими далее примерами, которые никоим образом не должны восприниматься как накладывающие ограничения на его объем. Наоборот, необходимо отчетливо понимать, что возможным является и обращение к различным другим его аспектам, вариантам реализации, модификациям и эквивалентам, которые после прочтения описания в настоящем документе могут представиться специалисту в соответствующей области не отклоняющимися от духа настоящего изобретения или объема прилагаемой формулы изобретения.
В следующих далее примерах, если только не будет указано другого, синтезы и получения, описанные в настоящем документе, проводили в инертной атмосфере, такой как азот и/или аргон. Растворители приобретали из коммерческих источников и перед использованием их обычно сушили. Если только не указано другого, то реагенты получали из коммерческих источников.
ОБЩИЕ МЕТОДЫ ИСПЫТАНИЙ
Индекс расплава и плотность
Индекс расплава (MI) измеряли в соответствии с документом ASTM D-1238, Condition F (190°C, 2,16 кг). Плотность измеряли при использовании колонок с градиентом плотности в соответствии с документом ASTM D-1505.
Получение реологических характеристик расплава
Образцы в виде гранул подвергали прямому прессованию при 182°С в течение трех минут в совокупности. Образцам давали возможность расплавиться при относительно низком давлении в течение одной минуты, а после этого в течение еще двух минут подвергали воздействию высокого давления формования. Затем формованные образцы закаливали в холодном прессе (при комнатной температуре). Для получения реологических характеристик из формованных пластин высекали диски 2 мм × 25,4 мм диаметром.
Измерения при колебательных сдвиговых воздействиях с небольшими деформациями (10%) проводили при помощи пластометра Rheometrics Scientific, Inc. ARES с использованием геометрии с параллельными плитками при температуре 190°С. В камере для испытаний пластометра создавали атмосферу азота для того, чтобы свести к минимуму деструкцию полимера. Пластометр предварительно нагревали до температуры проведения испытаний в исследовании. После загрузки образца и после достижения теплового равновесия в печи образцы сдавливали между пластинами до толщины 1,6 мм, а избыток удаляли. Между моментом времени, когда образец вставляли между пластинами, и моментом времени, когда начинали развертку по частоте (0,03-100 рад/сек), в совокупности проходило 8,0 минут. После этого данные по комплексной вязкости ( *) в зависимости от частоты ( ) аппроксимировали кривой, подобранной при использовании модифицированной трехпараметрической эмпирической модели авторов Carreau-Yasuda (CY) для получения параметров CY, а именно, вязкости при нулевом сдвиге – 0, характеристического времени релаксации –  и параметра ширины а. Подробную информацию о значении и интерпретации данных трех параметров можно обнаружить в работах C. A. Hieber and H. H. Chiang, Reol. Acta, 28, 321 (1989) и C. A. Hieber and H. H. Chiang, Polym. Eng. Sci., 32, 931 (1992), из которых обе во всей своей полноте, тем самым, включаются в настоящий документ для справки. Для некоторых смол при использовании температурно-временной суперпозиции для данных по динамической частоте, полученных при 150°С, 190°С и 230°С, определяли энергии активации течения (Еа).
Абсолютная молекулярная масса, определенная по методу светорассеяния
Данные по молекулярной массе определяли при использовании метода SEC-MALS, который объединяет методы эксклюзионной хроматографии (SEC) и детектирования многоуглового светорассеяния (MALS). Фотометр для 18-углового измерения рассеянного света DAWN EOS (Wyatt Technology, Санта-Барбара, Калифорния) соединяли с системой PL-210 SEC (Polymer Labs, Великобритания) или системой Waters 150 CV Plus (Milford, Массачусетс) через горячую перепускную линию, термостатируемую при той же самой температуре, что и колонки SEC и их дифференциальный детектор показателя преломления (DRI) (145°C). При установке расхода 0,7 мл/мин подвижную фазу – 1,2,4-трихлорбензол (ТХБ) – элюировали через три колонки 7,5 мм × 300 мм, 20 мкм Mixed A-LS (Polymer Labs). Растворы полиэтилена (ПЭ) с концентрациями ~1,2 мг/мл, в зависимости от образцов, готовили при 150°С в течение 4 часов перед их переносом в емкости для ввода проб SЕC, установленные на карусели, нагретой до 145°С. Для того чтобы получать истинные гомогенные растворы, в случае полимеров с более высокой молекулярной массой необходимы были более продолжительные времена нагревания. В дополнение к получению концентрационной хроматограммы при использовании программного обеспечения Wyatt’s Astra® для каждого ввода пробы также получали и семнадцать хроматограмм светорассеяния при различных углах. На каждом хроматографическом срезе из отрезка, отсекаемого на координатной оси, и наклона графика Дебая получали, соответственно, как абсолютную молекулярную массу (М), так среднеквадратичный (RMS) радиус инерции (Rg). Способы действий в данном методе детально охарактеризованы в работе Wyatt, P. J., Anal. Chim. Acta, 272, 1 (1993), которая, тем самым, во всей своей полноте включается в настоящий документ для справки. Использованным контрольным образцом в виде линейного ПЭ являлся образец линейного полиэтилена высокой плотности с широким ММР (Chevron Phillips Chemical Co.). Из данных результатов рассчитывали и представляли в различных таблицах среднемассовую молекулярную массу (Mw), среднечисленную молекулярную массу (Mn), z-среднюю молекулярную массу (Mz) и молекулярно-массовое распределение (Mw/Mn).
Для определения количества ДЦР в этиленовых полимерах использовали подход авторов Zimm-Stockmayer. Поскольку в методе SEC-MALS измеряют М и Rg на каждом срезе хроматограммы одновременно, в каждом срезе непосредственно можно будет определять индексы разветвления gM в зависимости от М, проводя определение соотношения между среднеквадратичным параметром Rg у разветвленных молекул и соответствующей величиной у линейных молекул при том же самом значении М, как это продемонстрировано в уравнении 1:

где подстрочные индексы br и lin обозначают разветвленные и линейные полимеры, соответственно.
При данном значении gM среднемассовое количество ДЦР на одну молекулу (В w) рассчитывали при использовании уравнения авторов Zimm-Stockmayer, приведенного в уравнении 2, где разветвления предполагались трехфункциональными или Y-образными.

После этого непосредственно при использовании уравнения 3 рассчитывали частоту ДЦР (LCMMi) – количество ДЦР на 1000 атомов С в i-том срезе:

где Mi представляет собой MW (ММ) в i-том срезе. Таким образом, для всего полимера устанавливали распределение по ДЦР (РДЦР) для всего диапазона молекулярно-массового распределения (ММР).
Однако в случае сополимера сначала проводили коррекцию для вклада сомономера в среднеквадратичный радиус инерции (Rg), а затем для определения уровня содержания ДЦР в сополимере использовали уравнения 1, 2, 3.
При известном распределении по SCB (КЦР, коротко-цепным разветвлениям) для всего диапазона ММР сополимера (d(SCB)/d(MW)) для всего диапазона ММР сополимера получали поправочный коэффициент для КЦР, пользуясь, таким образом, уравнением 4:

Профили и уровни содержания ДЦР определяли, делая два предположения по коррекции уровня содержания КЦР, а именно, следующее: 1) профиль КЦР предположительно был неизменным для всего диапазона ММР; и 2) уровень содержания КЦР для всех смол предположительно был одинаковым и равным 10,9 КЦР/1000 атомов углерода.
Оценки для покрытий, нанесенных по способу экструдирования
Оценки для покрытий, нанесенных по способу экструдирования, в случае смол данного изобретения получали при использовании промышленной линии для нанесения покрытий по способу экструдирования GPC (Guardian Packaging Corporation). Данную линию использовали в конфигурации для изготовления монослоя и ее оснащали 4,5-дюймовым однозаходным шнеком, экструдером с L/D 24:1, питающим блоком с переменной геометрией Cloeren и 40-дюймовой экструзионной головкой с внутренним регулированием ширины пленки Cloeren EBR IV. Для всего исследования использовали ширину экструзионной головки 32 дюйма. Зоны гомогенизации в экструдере, трубы, питающий блок и экструзионную головку выдерживали при 610°F, а производительность фиксировали на уровне 200 фунт/час. Интервал вытяжки от экструзионной головки до зажимного валка фиксировали равным 8 дюймам. Охлаждающий валок имел матированную поверхность и выдерживался при температуре 65°F. Скорость технологической линии постадийно увеличивали от 300 фут/мин до 500 фут/мин до 700 фут/мин до 900 фут/мин и затем, в заключение, до 1800 фут/мин для того, чтобы измерить характеристики шейкообразования в определенном диапазоне значений скорости технологической линии и чтобы определить, будут ли возникать надрывы по кромкам, и если будут, то когда смолу в виде покрытия наносили на субстрат из натуральной крафт-бумаги 35#, которую подвергали предварительной обработке при использовании устройства для обработки коронным разрядом Pillar. В стационарных условиях в промежутке между экструдатом и бумагой также размещали «прокладочные листы» из ПЭТФ для того, чтобы получить образцы, у которых экструдат можно было бы аккуратно отделить от субстрата для проведения испытаний с определением массы и мутности покрытия.
Измерения сопротивления раздиру по Элмендорфу и ударной вязкости по Спенсеру
Сопротивление раздиру по Элмендорфу измеряли в соответствии с документом ASTM D-1922 при использовании устройства для проведения испытаний при определении сопротивления раздиру по Элмендорфу Thwing-Albert. Ударную вязкость по Спенсеру измеряли в соответствии с документом ASTM D-3420, Pendulum Impact Resistance of Plastic Film – Procedure B. Испытания при определении как сопротивления раздиру по Элмендорфу, так и ударной вязкости по Спенсеру проводили для целостной структуры (то есть, для полимера, нанесенного в виде покрытия на бумагу), однако, результаты приводили в граммах на один фунт при расчете на стопку только полимерного покрытия для того, чтобы учесть переменность толщины бумажного субстрата.
Испытание на прилипание в горячем состоянии и способность к тепловой сварке
Измерения в испытаниях на прилипание в горячем состоянии проводили в соответствии с документом ASTM F-1921 при использовании устройства для проведения испытаний на прилипание в горячем состоянии J&B. Измерения в испытаниях на способность к тепловой сварке проводили в соответствии с документом ASTM F-88 при использовании машины для тепловой сварки Theller и прибора для измерения деформаций Instron. Испытания на прилипание в горячем состоянии проводили при использовании времени пребывания в перерабатывающей машине 0,5 секунды, времени охлаждения 0,5 секунды, давления тепловой сварки 0,5 Н/мм2 и скорости отдирания 200 мм/сек. Испытания на способность к тепловой сварке проводили при использовании времени пребывания в перерабатывающей машине 0,5 секунды, давления тепловой сварки 30 фунт/дюйм2 и скорости траверсы 20 дюйм/мин.
Адгезионная прочность при разрыве под действием внутреннего давления
В методе проведения испытаний при определении адгезионной прочности при разрыве под действием внутреннего давления определяли прочность сцепления между покрытием из пластика и бумажным субстратом.
Для целей изобретения использовали следующую далее терминологию:
Адгезионная прочность – давление воздуха, необходимое для разрушения образца, имеющего (непроницаемую) сторону с нанесенным покрытием, расположенную не со стороны действия избыточного давления.
Предельная прочность при разрыве под действием внутреннего давления – разрывающее внутреннее давление, необходимое для разрушения образца, имеющего непроницаемую сторону, расположенную со стороны действия избыточного давления.
Прочность сцепления – адгезионная прочность, выраженная в процентах от предельной прочности при разрыве под действием внутреннего давления.
Неудовлетворительная адгезия – пленка легко отделяется от бумаги, образует один пузырь и может разорваться, а может и не разорваться.
Удовлетворительная адгезия – пленка отделяется от бумаги в нескольких точках с образованием множества мелких пузырьков. Создаваемое давление превышает давление случая неудовлетворительной адгезии.
Хорошая адгезия – образуется множество очень мелких пузырьков, и давление значительно увеличивается вплоть до момента разрушения. В данном случае пленка остается зафиксированной на бумаге во множестве мест.
Превосходная адгезия – отсутствует наблюдаемое разделение между пленкой и субстратом. Давление увеличивается вплоть до момента разрушения. В данном случае адгезионная прочность равняется предельной прочности при разрыве под действием внутреннего давления.
В методе проведения испытаний используют аппарат (устройства для проведения испытаний на сцепление Southwick Perkins), изготовленный в компании Southwick Perkins, который оснащается держателем образца для зажима и тепловой сварки образцов для испытаний. С одной стороны бумажного образца с нанесенным покрытием прикладывали давление воздуха и регистрировали как разрушающее внутреннее давление, так и визуальный характер разрушения под действием внутреннего давления.
От бумаги с покрытием, нанесенным по способу экструдирования, шириной, приблизительно равной 30 дюймам, в поперечном направлении для каждого направления испытаний через все полотно отрезали четырехдюймовые полоски. Направление испытаний обозначает сторону покрытия или бумаги, обращенную к источнику давления. Испытания проводили для пяти участков, расположенных через равномерные промежутки по полоске.
Образцы для испытаний кондиционировали при 73,4±3,6°С и относительной влажности 50±5% в течение не менее чем 16 часов перед проведением испытаний.
Методика представляла собой нижеследующее:
1. Давление в линии в устройстве для проведения испытаний доводили до 60 фунт/дюйм2 на датчике давления с левой стороны.
2. Ручку прибора слежения на датчике давления с правой стороны выставляли на ноль. Образцы вставляли в зажимное приспособление и фиксировали при помощи магнитных полосок, а после этого зажимали в требуемом положении. (Давление автоматически увеличивалось вплоть до момента разрушения образца). Отмечали и регистрировали разрушающее внутреннее давление, обозначенное положением ручки прибора слежения.
3. Испытания проводили для пяти участков при расположении поверхности пластика не на стороне действия высокого давления (пластик обращен кверху) и на стороне действия высокого давления (пластик обращен книзу).
4. Данные, полученные для образцов с расположением их поверхностей с нанесенным покрытием из пластика сверху, регистрировали в качестве адгезионной прочности, а те же данные для расположения снизу регистрировали в качестве предельной прочности при разрыве под действием внутреннего давления.
Регистрировали визуальные наблюдения для качества прочности сцепления.
Данные вводили в лабораторную информационно-управляющую систему (ЛИУС) и в соответствии со следующим далее уравнением рассчитывали процент прочности сцепления:
% прочности сцепления = (адгезионная прочность, фунт/дюйм2/ предельная прочность при разрыве под действием внутреннего давления, фунт/дюйм2) × 100.
ПРИМЕР 1
Общие источники и свойства материалов твердых оксидов, используемых при получении химически модифицированных твердых оксидов
Оксид алюминия получали в виде Ketjen grade B от компании Akzo Nobel, он характеризовался объемом пор 1,78 куб. см/г и площадью удельной поверхности
340 м2/г, или Ketjen L, содержащего 95-98% оксида алюминия и 2-5% диоксида кремния, он характеризовался объемом пор 2,00 куб. см/г и площадью удельной поверхности 380 м2/г. 1,6 куб. см/г и площадь удельной поверхности 300 м2/г. Диоксид кремния-оксид алюминия получали в виде MS13-110 от компании W. R. Grace, он характеризовался уровнем содержания оксида алюминия 13% (масс.) и диоксида кремния 87% (масс.) при объеме пор 1,2 куб. см/г и площади удельной поверхности 350 м2/г.
ПРИМЕР 2
Получение активатора-носителя на основе обработанного хлоридом оксида алюминия
Десять мл оксида алюминия Ketjen Grade B прокаливали на воздухе в течение трех часов при 600°С. После проведения данной стадии прокаливания температуру печи уменьшали до 400°С и над слоем оксида алюминия начинали пропускать поток азота, после чего в поток азота впрыскивали и испаряли до поступления на слой оксида алюминия 1,0 мл четыреххлористого углерода. Данная фаза газообразного ССl4 поступала на слой и там вступала в реакцию с оксидом алюминия, позволяя провести обработку поверхности хлоридом. Данный способ обеспечивал получение эквивалента 15,5 ммоль хлорид-иона на один грамм дегидратированного оксида алюминия. После проведения данной обработки хлоридом получающийся в результате оксид алюминия имел белую окраску. Данный активатор-носитель использовали точно так же, как и оксид алюминия, обработанный сульфатом.
ПРИМЕР 3
Получение активатора-носителя на основе обработанного фторидом диоксида кремния-оксида алюминия
Диоксид кремния-оксид алюминия, использованный для получения кислотного активатора-носителя на основе обработанного фторидом диоксида кремния-оксида алюминия, в данном примере получали от компании W. R. Grace в виде марки Grade MS13-110, характеризующейся уровнем содержания оксида алюминия 13%, объемом пор 1,2 куб. см/г и площадью удельной поверхности 400 м2/г. Данный материал подвергали обработке фторидом в результате импрегнирования до достижения начальной влажности при использовании раствора, содержащего бифторид аммония в количестве, достаточном для равенства 10% (масс.) при расчете на массу диоксида кремния-оксида алюминия. Данный импрегнированный материал после этого высушивали в вакуумном сушильном шкафу в течение 8 часов при 100°С. Подвергнутые такой обработке фторидом образцы диоксида кремния-оксида алюминия после этого подвергали прокаливанию следующим образом. 10 граммов оксида алюминия помещали в 1,75-дюймовую кварцевую трубку, снабженную в нижней части диском, полученным в результате спекания кварцевого порошка. В то время, когда на диск наносили диоксид кремния, через диск с линейной скоростью в диапазоне от 1,6 до 1,8 стандартного кубического фута в час продували сухой воздух. Электрическую печь, окружающую кварцевую трубку, использовали для увеличения температуры трубки со скоростью 400°С в час до конечной температуры 950°F. При данной температуре диоксиду кремния-оксиду алюминия давали возможность находиться в течение трех часов в псевдоожиженном состоянии в сухом воздухе. После этого диоксид кремния-оксид алюминия собирали и хранили в сухом азоте и использовали, не допуская попадания в контакт с атмосферой.
ПРИМЕР 4
Получение обработанного сульфатом оксида алюминия
652 г оксида алюминия Ketjen L импрегнировали почти до самого достижения начальной влажности при использовании раствора, содержащего 137 г (NH4)2SO4, растворенного в 1300 мл воды. После этого данную смесь помещали в вакуумный сушильный шкаф и высушивали в течение ночи при 110°С под вакуумом величиной в половину атмосферы, а затем прокаливали в муфельной печи при 300°С в течение 3 часов, после этого в течение 3 часов при 450°С, после чего активированный носитель просеивали через сетку с размером ячейки 80 меш. Носитель после этого активировали на воздухе при 550°С в течение 6 часов, после чего химически модифицированный твердый оксид хранили в атмосфере азота до момента использования.
ПРИМЕР 5
Общий и специфический варианты получения металлоценов
Общие способы
Общие способы получения для формирования первых металлоценовых соединений и вторых металлоценовых соединений можно обнаружить в различных ссылках, в том числе: в патентах США 4939217, 5191132, 5210352, 5347026, 5399636, 5401817, 5420320, 5436305, 5451649, 5496781, 5498581, 5541272, 5554795, 5563284, 5565592, 5571880, 5594078, 5631203, 5631335, 5654454, 5668230, 5705579 и 6509427; в работах Köppl, A. Alt, H. G. J. Mol. Catal A.2001, 165, 23; Kajigaeshi, S.; Kadowaki, T.; Nishida, A.; Fujisaki, S. The Chemical Society of Japan, 1986, 59, 97; Alt, H. G.; Jung, M.; Kehr, G. J. Organomet. Chem.1998, 562, 153-181; Alt, H. G.; Jung, M. J. Organomet. Chem.1998, 568, 87-112; Journal of Organometallic Chemistry, 1996, 522, 39-54; Wailes, P. C.; Coutts, R. S. P.; Weigold, H. in Organometallic Chemistry of Titanium, Zirconium, and Hafnium, Academic; New York, 1974; и Cardin, D. J.; Lappert, M. F.; and Raston, C. L.; Chemistry of Organo-Zirconium and -Hafnium Compounds; Halstead Press; New York, 1986.
Специфические варианты получения
Все манипуляции, включающие использование реагентов и материалов, чувствительных к воздействию воздуха, проводили в атмосфере азота при использовании методик линии Шленка или перчаточного бокса. ТГФ перегоняли для удаления калия. Безводные диэтиловый эфир, метиленхлорид, пентан и толуол получали в компании Fisher Scientific Company и хранили над активированным оксидом алюминия. Все растворители дегазировали и хранили в атмосфере азота. Дихлорметилфенилсилан, хлорид циркония (IV) (99,5%) и н-бутиллитий приобретали в компании Aldrich и использовали без дополнительной очистки. N-октилметилдихлорсилан приобретали в компании Gelest и использовали без дополнительной очистки. Продукты анализировали по методам 1Н ЯМР (300 МГц, CDCl3, с привязкой по пику остаточного CHCl3 в области 7,24 м.д.) или 13С ЯМР (75 МГц, CDCl3, с привязкой по пику в области 77,00 м.д.).
Дифлуорен-9-ил(метил)октилсилан. К флуорену (66,4 г, 400 ммоль), растворенному в ТГФ (500 мл), при -78°С по каплям добавляли BuLi (40 мл, 10 М в гексанах, 400 ммоль). Получающуюся в результате смесь медленно нагревали до комнатной температуры и перемешивали в течение ночи, получая в результате темно-красный раствор. Данный раствор по каплям добавляли к метилоктилдихлорсилану (45,4 г, 200 ммоль) в ТГФ (50 мл) при комнатной температуре в течение периода времени продолжительностью 4 часа. Получающуюся в результате смесь перемешивали при комнатной температуре в течение ночи, закаливали, пользуясь водой, и экстрагировали, используя Et2O (800 мл). Органические слои объединяли, промывали водой, а после этого высушивали над безводным Na2SO4. Удаление растворителя приводило к получению красноватого масла. Масло подвергали очистке с использованием колоночной хроматографии на силикагеле, используя 5-10%-ный (об./об.) CH2Cl2 в гептане. Чистый продукт (46 г, выход 47%) получали в виде твердого вещества желтого цвета. 1Н ЯМР (300 МГц, CDCl3) 7,88 (д, J=7,8 Гц, 4Н), 7,22-7,48 (м, 12Н), 4,14 (с, 2Н), 0,84-1,35 (м, 13Н), 0,55-0,65 (м, 2Н), 0,22-0,33 (м, 2Н), -0,36 (с, 3Н); 13С ЯМР (75 МГц, CDCl3) 145,10, 145,06, 140,79, 140,75, 126,18, 126,14, 125,55, 125,52, 124,34, 124,25, 120,08 (2С), 39,70, 33,24, 31,80, 28,90, 28,77, 23,14, 22,63, 14,10, 11,63, -7,12.
Дихлорид метилоктилсилилбис( 5-флуорен-9-ил)циркония (IV). В 50 мл безводного Et2O растворяли и в атмосфере азота охлаждали до -78°С дифлуорен-9-ил(метил)октилсилан (4,25 г, 8,7 ммоль). К раствору лиганда по каплям добавляли н-BuLi (7 мл, 2,5 М в гексанах, 17,5 ммоль). Получающуюся в результате смесь нагревали до комнатной температуры и перемешивали в течение ночи, получая в результате темно-красный раствор. Данный раствор при 0°С в течение приблизительно 20 мин добавляли к ZrCl4 (2,03 г, 8,7 ммоль), суспендированному в 50 мл пентана. Получающуюся в результате смесь нагревали до комнатной температуры и перемешивали в течение ночи, получая в результате суспензию пурпурного цвета. Твердую фазу собирали в результате фильтрования, промывали пентаном и экстрагировали, используя 200 мл CH2Cl2. Удаление растворителя из экстракта в
CH2Cl2 приводило к получению твердого вещества пурпурного цвета (4,8 г, выход 84,9%). 1Н ЯМР (300 МГц, CDCl3) 7,75-7,9 (м, 8Н), 7,35 (т, J=7,6 Гц, 4Н), 7,01-7,11 (м, 4Н), 2,10-2,20 (м, 2Н), 1,97-2,10 (м, 2Н), 1,76 (квинтет, J=7,2 Гц, 2Н), 1,65 (с, 3Н), 1,30-1,58 (м, 8Н), 0,92 (т, J=6,4 Гц, 3Н); 13С ЯМР (75 МГц, CDCl3) 130,59, 130,34, 128,24, 128,13, 127,75, 127,66, 126,02, 125,99, 125,43, 125,36, 124,61 (не разрешен, 2С), 64,77, 33,65, 31,89, 29,43, 29,19, 22,95, 22,65, 18,26, 14,08, 0,31.
Дихлорид метилфенилсилилбис( 5-флуорен-9-ил)циркония (IV) получали по тому же самому способу, что и описанный выше для дихлорида метилоктилсилилбис( 5-флуорен-9-ил)циркония (IV), но при использовании в качестве исходного силанового материала дихлорметилфенилсилана.
Дихлорид рац-этан-1,2-диилбис( 5-инден-1-ил)циркония (IV) получали в соответствии с работой Yang, Q.; Jensen, M. D. Synlett1996, 2, 147, которая во всей своей полноте включается в настоящий документ для справки.
Рац-Me2Si(2-Me-4-PhInd)2ZrCl2, рац-C2H4(2-MeInd)2ZrCl2, рац-Me2Si(Ind)2ZrCl2, рац-Me2Si(2-MeInd)2ZrCl2, рац-Me2Si(3-н-PrCp)2ZrCl2, Me2Si(Me4Cp)ZrCl2 и Me2SiCp2ZrCl2 приобретали в компании Boulder Scientific и использовали без дополнительной очистки.
ПРИМЕР 6
Общее описание прогонов полимеризаций в таблице 3
Все прогоны полимеризаций проводили в реакторе из нержавеющей стали объемом в один галлон (3,785 литра). В данном реакторе использовали перемешивающее устройство с пневматическим приводом, оснащенное трехлопастной крыльчаткой, и для нее в ходе прогона полимеризации задавали режим эксплуатации при 900 об./мин. Реактор также был заключен в стальную рубашку с линиями подачи, ведущими к теплообменному модулю, который, в свою очередь, был присоединен к охлаждающей воде и линии пара, что позволяло регулировать температуру.
Исходные растворы металлоценовых соединений обычно получали при концентрациях 1 мг металлоцена в 1 мл толуола. Исключениями являлись исходные растворы для позиций 13 и 14 в таблице 3, которые получали в виде исходных растворов при концентрациях 1 мг металлоцена в 1 мл 1М ТИБА (триизобутилалюминия) (в гексанах).
Типичная методика проведения полимеризации представляла собой нижеследующее. Инициирование последовательности загрузки в реактор начинали через открытое загрузочное отверстие при одновременной продувке парообразным изобутаном. Быстро впрыскивали один (1) мл 1М раствора ТИБА в гексанах с последующим добавлением химически модифицированного твердого оксида в количестве, продемонстрированном в таблице 3, за чем следовали исходные растворы обоих металлоценов в количествах, желательных для достижения загрузки, указанной в таблице 3. Загрузочное отверстие закрывали и добавляли количество 1-гексена, указанное в таблице 3, и 2 литра изобутана с одновременным нагнетанием атмосферы азота. Содержимое реактора перемешивали и нагревали до желательной температуры прогона, а после этого вместе с желательным количеством 1-гексена, в случае использования последнего, производили ввод этилена. Регулятор массового расхода позволял быстро увеличивать давление в пределах 50 фунт/дюйм2 желательного давления в прогоне и делал возможным плавное изменение потока этилена до тех пор, пока не достигались указанные уровни давления и температуры. Данные уровни температуры и давления выдерживали в течение времени прогона. По завершении времени прогона подачу потока этилена прекращали и давление в реакторе медленно стравливали. Когда давление и температура становились безопасно низкими, реактор открывали и извлекали гранулированный порошок полимера. Активность указывали в виде граммов полученного полимера на один грамм загруженных либо химически модифицированного твердого оксида, либо переходного металла в час. Представительные экспериментальные данные по использованию изобретения при получении полиэтилена и сополимеров этилена-1-гексена приведены в таблице 3.
ПРИМЕР 7
Синтез смол
Полиэтиленовые смолы настоящего изобретения получали при использовании описанных в настоящем документе систем катализаторов на металлоценовой основе, примеры которых включаются в таблицы 1-3. Смолы, представленные в таблицах 1-2, представляют собой сополимеры этилена и сомономера 1-гексена, которые сополимеризовали в суспензионной петлевой опытно-промышленной установке. Этиленовые сополимеры синтезировали по непрерывному способу получения в форме частиц (также известному под наименованием суспензионного способа) в результате введения катализатора настоящего изобретения в контакт с этиленом и сомономером 1-гексеном. Таким образом, полимеризационную среду и температуру полимеризации выбирали такими, чтобы сополимер получать в форме твердых частиц и извлекать в данной форме. Подробности общей реакции полимеризации представляли собой нижеследующее.
В качестве мономера использовали этилен, который высушивали над активированным оксидом алюминия. В качестве разбавителя использовали изобутан, который дегазировали в результате фракционирования и высушивали над активированным оксидом алюминия.
Общее получение растворов металлоценов осуществляли следующим образом. Количества металлоценов, растворителей и алкилов, продемонстрированные в таблице 1, в атмосфере азота загружали в стальную емкость и разбавляли изобутаном до получения в совокупности массы, равной 40 фунтам. После этого данные растворы катализаторов подавали в аппарат предварительного контакта, описанный далее.
Полимеризационный реактор представлял собой полностью заполненный жидкостью трубчатый петлевой реактор с диаметром 15,2 см, имеющий объем 23 (87 литров) или 27 галлонов. Все количество обработанного фторидом диоксида кремния-оксида алюминия, 0,1%-ного раствора триэтилалюминия в изобутане, раствора или растворов металлоценов, полученных так, как указывалось выше, и часть общего количества разбавителя изобутана подавали в реактор через емкость предварительного контакта (объемом 0,5 или 2,0 литра), в которой перед вводом в зону реакции три ингредиента вступали в контакт друг с другом при комнатной температуре в течение периода времени продолжительностью от 10 до 30 минут. Аппарат предварительного контакта представлял собой перемешиваемый реактор Autoclave Engineers Magnadrive, имеющий объем, равный либо 0,5, либо 2,0 литрам, подачу из которого проводили непосредственно в петлевой реактор. При использовании небольшого потока изобутана через циркуляционный питатель с шаровым клапаном, имеющий объем 0,35 куб. см, в аппарат предварительного контакта так, как указывается в настоящем документе, вводили химически модифицированный твердый оксид (ХМТО). Давление в реакторе составляло 4 МПа (580 фунт/дюйм2). Температуру в реакторе варьировали в диапазоне от 65°С до 110°С, как это указано. Полимеризационный реактор функционировал при времени пребывания 1,25 часа. В стационарных условиях общая скорость подачи изобутана составляла 46 литров в час, скорость подачи этилена составляла 30 фунт/час, а скорость подачи 1-гексена варьировали для регулирования плотности полимерного продукта. Концентрация этилена в разбавителе находилась в диапазоне от 14 до 20 мольных процентов. Концентрации катализаторов в ректоре были таковы, что уровень содержания системы ХМТО обычно находился в диапазоне от 0,001 до 1 массового процента при расчете на массу содержимого реактора. Полимер удаляли из реактора при скорости 25 фунтов в час и извлекали в камеру мгновенного испарения. Для высушивания полимера в атмосфере азота при температуре в диапазоне от 60°С до 80°С использовали сушильный аппарат Vulcan.
Для предотвращения накапливания в реакторе статического электричества обычно добавляли небольшое количество (<5 ч./млн при расчете на количество разбавителя) коммерческого антистатика, продаваемого под наименованием Stadis 450. После этого в отсутствие каких-либо стабилизирующих добавок в результате экструдирования в автономном режиме при использовании двухчервячного экструдера Werner & Pfleidder ZSK-40 из полимерной пыли получали гранулы.
Для получения данных, представленных в таблицах 1-2 и примерах 8-14, использовали четыре различные системы катализаторов. Как продемонстрировано в таблице 1, система первого катализатора представляла собой одинарный металлоценовый катализатор, и смолы, полученные при использовании данного катализатора, снабжали префиксом SC , обозначающим использование одинарного катализатора. В таблицах 1 и 2 также указывается то, что следующие далее три катализатора представляют собой двойные металлоценовые катализаторы, использующие различные пары металлоценовых катализаторов, которые применяли, комбинируя катализаторы в желательных соотношениях в реакторе до полимеризации. Смолы, полученные при использовании данных двойных металлоценовых систем, снабжали префиксами DC-A , DC-B и DC-C , обозначающими использование двойных металлоценовых систем и позволяющими провести различие между тремя системами. Кроме того, сами смолы затем помечали числовыми обозначениями для облегчения идентификации, например, SC-1, SC-2, DC-A-1, DC-B-1 и так далее. В качестве контрольного образца для всех экспериментов использовали коммерчески доступный ПЭНП-ВД – РЕ4517 – от компании Chevron Phillips Chemical Co. LP.
Основные параметры описания, выраженные в индексе расплава и плотности, для всех экспериментальных смол вместе с идентификацией системы катализатора представлены в таблицах 2 и 3. В общем случае у экспериментальных смол плотности находились в диапазоне от 0,918 до 0,925 г/см3, а значения MI находились в диапазоне от 4 г/10 мин до 26 г/10 мин.
ПРИМЕР 8
Смолы, полученные при использовании одинарных металлоценовых катализаторов
Как можно видеть из фиг.1-4, все смолы, полученные при использовании одинарных катализаторов, помеченные символами от SC-1 до SC-5, в общем случае демонстрировали повышенные значения давления в экструдере, токовой нагрузки на двигатель и уровня шейкообразования в сопоставлении с коммерчески доступным контрольным образцом ПЭНП-ВД, помеченным символом РЕ4517 (от компании Chevron Phillips Chemical Co. LP). Таким образом, образцы от SC-1 до SC-3 были подобны смоле РЕ4517 с точки зрения значения MI. Однако они демонстрировали почти что в два раза более высокое давление при экструдировании и на 50% более высокую токовую нагрузку на двигатель в сопоставлении со смолой РЕ4517. Уровни шейкообразования для данных смол были более высокими при скорости технологической линии 300 фут/мин, а до достижения скорости технологической линии 900 фут/мин наблюдалось разрушение. Смолы SC-4 и SC-5 характеризовались более высокими значениями MI в сопоставлении с РЕ4517, и в результате давления в экструдере и токовые нагрузки на двигатель у них были более близкими к значениям для РЕ4517. Однако они демонстрировали более высокие уровни шейкообразования при 300 фут/мин. Кроме того, образец SC-4 также демонстрировал разрушение до достижения 900 фут/мин, в то время как образец SC-5 можно было подвергать вытяжке до скорости технологической линии 900 фут/мин, как это можно видеть на фиг.4. Однако, при данной более высокой скорости технологической линии у него наблюдалось приблизительно троекратное превышение уровня шейкообразования в сопоставлении с РЕ4517.
В то время, как данные, приведенные в графическом представлении на фиг.5, были ограничены скоростью 900 фут/мин, для всех смол была предпринята попытка вытяжки при скорости до 1800 фут/мин, что представляло собой максимально возможный уровень скорости технологической линии для используемой установки. Результаты по уровню шейкообразования при промежуточных скоростях технологической линии (приведенные в графическом представлении на фиг.5) и максимальной скорости технологической линии, достижимой для каждой смолы, в табулированной форме показаны в таблице 2. Данные результаты для группы смол, полученных при использовании одинарных катализаторов, по-видимому, не обнаруживают наличия согласованного тренда. Так, SC-1, SC-2 и SC-3 разрывались до 900 фут/мин, а SC-4 разрывался при 1750 фут/мин, в то время как SC-5 разрывался при 1150 фут/мин. Без намерения связать себя какой-либо теорией, можно предположить, что данные результаты могут отчасти спутаться вследствие наличия небольших различий в уровнях содержания и размерах геля, который присутствовал в переменных количествах во всех данных экспериментальных смолах. Данный гель, который по существу представляет собой полужесткие частицы в расплаве, возможно, способен инициировать надрыв по кромкам при высоких значениях скорости технологической линии, когда толщина завесы расплава уменьшается.
Кроме того, следует отметить, что ни одна из подвергнутых оценке экспериментальных смол не демонстрировала наличия каких-либо колебаний кромок или резонанса при вытяжке экструдата вплоть до соответствующих для них максимальных значений скорости технологической линии. На данное наблюдение следует обратить внимание, поскольку смолы, не являющиеся ПЭНП-ВД, обычно в значительной степени испытывают колебание кромок и резонанс при вытяжке экструдата при повышенных значениях скорости технологической линии. Смотрите, например, работу E. H. Roberts, P. J. Lucchesi and S. J. Kurtz, New Process For The Reduction of Draw Resonance in Melt Embossing and Extrusion Coating , SPE ANTEC Conf. Proc., 104 (1985), которая во всей своей полноте включается в настоящий документ для справки.
Таким образом, данные результаты свидетельствуют о том, что данные конкретные смолы, полученные при использовании одинарных катализаторов, не обеспечивали достижения оптимального баланса между характеристиками экструдирования и шейкообразования, которые были бы сопоставимы с желательными характеристиками для смолы РЕ4517. В одном аспекте они, по-видимому, обнаруживают наличие систематической дилеммы между смолами, характеризующимися низкими значениями MI и демонстрирующими высокие значения давления в экструдере и токовой нагрузки на двигатель при разумном уровне шейкообразования, и смолами, характеризующимися повышенными значениями MI и демонстрирующими пониженные значения давления и токовой нагрузки на двигатель, но при значительно повышенных уровнях шейкообразования.
ПРИМЕР 9
Смолы, полученные при использовании двойных металлоценовых катализаторов
При использовании двойных металлоценовых катализаторов получали смолы, которые, помимо прочего, демонстрировали уширение молекулярно-массового распределения и улучшение отклика в виде уменьшения вязкости при сдвиге при сопоставлении получающихся в результате смол со смолами, полученными при использовании одинарных металлоценовых катализаторов.
В данном примере исследовали три различные пары двойных металлоценовых катализаторов настоящего изобретения, как это описывается в таблице 2. Свойства смол, получающихся в результате использования данных двойных металлоценовых катализаторов, проиллюстрированы на фиг.1-15 и в таблицах 4-6. Смолы, полученные при использовании двойных металлоценов, несмотря на наличие между ними некоторых различий в общем случае обладали лучшими общими эксплуатационными характеристиками в сопоставлении со смолами, полученными при использовании одинарных катализаторов. Например, данные различия иллюстрирует сопоставление данных для смол, полученных при использовании двойного металлоцена, DC-A-1, DC-B-1 и DC-C-1, и данных для смол, полученных при использовании одинарного металлоцена, SC-1, SC-2 и SC-3, которые имели наиболее близкие друг к другу значения MI. В общем случае смолы, полученные при использовании двойного металлоценового катализатора, демонстрировали пониженные давления в экструзионной головке, пониженные токовые нагрузки на двигатель, пониженные уровни шейкообразования и улучшенную способность к вытяжке, как это можно видеть на фиг.1-5, соответственно.
Эксплуатационные характеристики двух смол системы С, а именно, смол DC-C-1 и DC-C-2, были в особенности примечательными в сопоставлении со свойствами контрольного образца ПЭНП-ВД в виде смолы РЕ4517. Смола DC-C-1, которая номинально характеризуется тем же самым значением MI, что и РЕ4517, в сопоставлении с РЕ4517 демонстрирует вполне сопоставимые, если не лучшие характеристики давления в экструдере и токовой нагрузки на двигатель и сопоставимый уровень шейкообразования при 300 фут/мин, как это проиллюстрировано на фиг.1-3. Однако смола DC-C-1 не демонстрировала хорошей способности к вытяжке и рвалась при 600 фут/мин (смотрите таблицу 4). Смола DC-C-2, которая характеризовалась значением MI, более высоким, чем у РЕ4517, (~12 MI), в сопоставлении со смолой РЕ4517 демонстрировала отчетливо меньшее давление в экструдере, меньшую токовую нагрузку на двигатель и вполне сопоставимый уровень шейкообразования при значениях скорости технологической линии, равных как 300 фут/мин, так и 900 фут/мин.
Может быть и так, что небольшая подстройка значения MI у смолы DC-C-2 от ~12 MI вплоть до ~8-10 MI может оказаться обоснованной причиной дополнительного улучшения уровня шейкообразования и приведения его к значению, более близкому к значению для РЕ4517, при сопоставимых характеристиках давления в экструдере и токовой нагрузки на двигатель, что следует из тщательного совместного рассмотрения фиг.1-4. Были сделаны наблюдения того, что в сопоставлении со смолой РЕ4517, которая не разрывалась даже и при максимальной скорости технологической линии 1800 фут/мин, смола DC-C-2 разрывалась при скорости технологической линии 1000 фут/мин. Однако данный признак, предположительно не будет оказывать негативного воздействия на ее коммерческую применимость, поскольку используемые в коммерческой практике значения скорости технологической линии при нанесении покрытия по способу экструдирования обычно находятся в диапазоне 500-900 фут/мин.
ПРИМЕР 10
Свойства покрытия, нанесенного по способу экструдирования
Базовые физические свойства покрытия, нанесенного по способу экструдирования, для всех данных смол, продемонстрированных в таблице 4, подвергали испытаниям и сопоставляли с соответствующими свойствами для контрольного образца ПЭНП-ВД в виде смолы РЕ4517. Результаты данных испытаний представлены следующим образом. Значения предела прочности при раздире по Элмендорфу проиллюстрированы на фиг.6, значения ударной вязкости по Спенсеру проиллюстрированы на фиг.7, значения адгезионной прочности при разрыве под действием внутреннего давления проиллюстрированы на фиг.8, значения прочности прилипания в горячем состоянии проиллюстрированы на фиг.9, а значения предельной прочности при тепловой сварке проиллюстрированы на фиг.10.
Как продемонстрировано на фиг.6, экспериментальные смолы, полученные в соответствии с примерами, в сопоставлении со смолой РЕ4517 являлись либо в основном эквивалентными, либо лучшими в том, что касается сопротивления раздиру ПрН и ПпН. Сопоставление данных с фиг.6 с данными из таблицы 2, по-видимому, не свидетельствует о наличии самой по себе какой-либо очевидной зависимости между способностью к разрыву и плотностью или индексом расплава в рамках или в числе различных исследованных систем.
Ударная вязкость по Спенсеру на фиг.7 подобным же образом демонстрирует в основном сопоставимые эксплуатационные характеристики для экспериментальных смол и РЕ4517. Адгезионная прочность при разрыве под действием внутреннего давления на фиг.8 демонстрирует некоторую вариативность, но опять-таки никакого очевидного общего тренда либо с плотностью, либо с индексом расплава.
Данные по прочности прилипания в горячем состоянии для экспериментальных смол продемонстрированы на фиг.9. С учетом возможного исключения в виде смолы SC-1, которая представляла собой одну из смол с наибольшей плотностью (0,934 г/см3), полученных в соответствии с данным изобретением, другие экспериментальные смолы демонстрировали характеристики прочности прилипания в горячем состоянии, которые, по-видимому, являлись в основном сопоставимыми с соответствующими величинами для РЕ4517. Экспериментальные точки для РЕ4517, DC-C-1 и DC-C-2 соединены линиями для облегчения сопоставления, и они демонстрируют то, что температуры инициирования прилипания в горячем состоянии, определенные как температура, при которой развивается прочность, равная 1 Н/25 мм, по-видимому, являются даже несколько меньшими для DC-C-1 и DC-C-2 в сопоставлении с РЕ4517. Данные по предельной прочности при тепловой сварке на фиг.10 иллюстрируют то, что в сопоставлении с соответствующими характеристиками РЕ4517 экспериментальные смолы в общем и целом демонстрируют сопоставимые значения температуры инициирования тепловой сварки и прочности при тепловой сварке. Более тщательное сопоставление РЕ4517, DC-C-1 и DC-C-2, кроме того, позволяет продемонстрировать то, что в то время, как предельная прочность при тепловой сварке для РЕ4517, по-видимому, характеризуется наличием плато в области приблизительно 3,2 фунт-сила/дюйм, соответствующие характеристики для DC-C-1 и DC-C-2 в общем случае демонстрируют более высокие значения прочности на плато, приблизительно равные 4-4,5 фунт-сила/дюйм.
ПРИМЕР 11
Молекулярная масса и реологические характеристики
Полученные по методу SEC-MALS данные по абсолютной молекулярной массе, демонстрирующие среднемассовую молекулярную массу (Mw), среднечисленную молекулярную массу (Mn), z-среднюю молекулярную массу (Mz) и молекулярно-массовое распределение (Mw/Mn), представлены в таблице 5. Реологические характеристики для смол данного изобретения, выраженные через параметры эмпирической модели авторов Carreau-Yasuda, представлены в таблице 6. Все экспериментальные смолы, продемонстрированные в таблицах 2 и 3, и контрольный образец ПЭНП-ВД в виде смолы РЕ4517 согласно определению по данным метода SEC-MALS характеризовались различными уровнями содержания длинноцепных разветвлений.
Для обеспечения четкости визуальной информации на фиг.11а и 11b, соответственно, продемонстрированы данные метода SEC-MALS по молекулярной массе и длинноцепным разветвлениям только для одной представительной смолы для каждой системы катализатора, а именно, А, В или С, совместно с данными для смолы РЕ4517. Как проиллюстрировано на фиг.11а, смола РЕ4517 характеризовалась наибольшей полидисперсностью в сопоставлении со смолами А, В или С данного изобретения, о чем свидетельствует наличие значительного «вздутия» на высокомолекулярном конце. Все экспериментальные смолы в общем случае демонстрировали намного более узкую полидисперсность, но все также демонстрировали наличие и высокомолекулярного «вздутия». Как проиллюстрировано на фиг.11b, смола РЕ4517 характеризовалась значительно более высоким уровнем содержания длинноцепных разветвлений по диапазону молекулярных масс в сопоставлении со всеми смолами настоящего изобретения. Данные по ДЦР на фиг.11b были неразличимыми ниже Mw<1Е5 г/моль в случае установки для метода SEC-MALS, используемой данном изобретении, вследствие ограничений по разрешению. Таким образом, несмотря на то, что ДЦР во всех полимерах, вероятно, присутствуют и при меньших значениях Mw, наблюдать можно было только край спектра с высокими значениями Mw. На фиг.11b также присутствовал и стандарт в виде линейного ПЭ, у которого, как и ожидалось, уровень содержания ДЦР согласно определению по существу был равен нулю.
Результаты с фиг.11а и 11b продемонстрировали то, что в сопоставлении со смолой РЕ4517 экспериментальные смолы в общем случае: 1) характеризуются более узкой полидисперсностью; 2) характеризуются отсутствием очень высоких краевых значений Mw; и 3) демонстрируют наличие только от одной трети до одной четверти уровня содержания ДЦР.
Дополнительное подтверждение наличия в данных полимерах длинноцепных разветвлений исходит из повышенных значений энергии активации течения Еа, продемонстрированных для избранных представительных смол в таблице 6. Смолы в виде линейного ПЭ в общем случае демонстрируют энергии активации течения в диапазоне 28-33 кДж/моль. Смотрите: работу P. Wood-Adams and S. Costeux, Thermorheological Behavior of Polyethylene: Effects of Microstructure and Long Chain Branching , Macromol.34, 6281-6290 (2001), которая во всей своей полноте включается в настоящий документ для справки. Значения Еа, более близкие к 40 кДж/моль, демонстрируемые избранными смолами в таблице 6, свидетельствуют о наличии длинноцепных разветвлений. Кроме того, РЕ4517 обнаруживает довольно высокое значение Еа ~54 кДж/моль, согласующееся с литературными данными (P. Wood-Adams and S. Costeux, Thermorheological Behavior of Polyethylene: Effects of Microstructure and Long Chain Branching , Macromol.34, 6281-6290 (2001)). Однако, несмотря на то, что повышенные значения Еа, превышающие ~33 кДж/моль, согласованно ассоциировались с наличием длинноцепных разветвлений в противоположность полностью линейному полимеру, связь между определенным значением Еа и типом или уровнем содержания длинноцепных разветвлений все еще четко не установлена.
Экспериментальные смолы также были охарактеризованы с использованием ядерного магнитного резонанса (ЯМР). Данные результаты, по-видимому, демонстрируют наличие разветвлений, относящихся только к типу Y , в литературе также называемых разветвлениями, относящимися к типу 3-лучевых звезд. В противоположность этому, ПЭНП-ВД, как представляется, характеризуется наличием более сложной архитектуры длинноцепных разветвлений в виде статистически распределенных множественных разветвлений или «древовидной» структуры с наличием разветвлений на разветвлениях, что является результатом использования способа свободно-радикальной полимеризации при высоком давлении. Смотрите: работы T. C. B. McLeish, Towards a Molecular Rheology of LDPE , Xth Intl. Cong. Rheo., Sydney, Vol. 2, 115 (1988); F. Beer, G. Capaccio and L. J. Rose, High Molecular Weight Tail and Long-Chain Branching in Low-Density Polyethylenes , J. Appl. Polym. Sci., 80, 2815-2822 (2001); и N. J. Inkson, T. C. B. McLeish, O. G. Harlen and D. J. Groves, Predicting low density polyethylene melt rheology in elongational and shear flows with pom-pom constitutive equations , J. Rheo., 43 (4), 873 (1999); каждая из которых во всей своей полноте включается в настоящий документ для справки. Поэтому различия между различными смолами, полученными в соответствии с настоящим изобретением, и причины наблюдаемых для них различий в эксплуатационных характеристиках, как представляется, в основном обуславливаются различиями в Mw, молекулярно-массовом распределении (ММР) и уровнях содержания длинноцепных разветвлений, а не в типе архитектуры длинноцепных разветвлений.
Специфика архитектуры длинноцепных разветвлений, которая все еще хорошо не понята и хорошо не охарактеризована, как было установлено, для полиэтиленов оказывает влияние на отклик в отношении сдвиговой вязкости и вязкости при растяжении. Смотрите: работы J. Janzen and R. H. Colby, Diagnosing long-chain branching in polyethylenes , J. Mol. Struct., 485-486, 569-584 (1999); R. G. Larson, Combinatorial Rheology of Branched Polymer Melts , Macromol., 34, 4556-4571 (2001); и D. J. Lohse et al., Well-Defined, Model Long Chain Branched Polyethylene. 2. Melt Rheological Behavior , Macromol., 35, 3066-3075 (2002); каждая из которых во всей своей полноте включается в настоящий документ для справки.
ПРИМЕР 12
Токовая нагрузка на двигатель и давление в экструзионной головке
Поскольку течение в экструдере в основном представляет собой сдвиговое течение, разумно было бы ожидать, что характеристики токовой нагрузки на двигатель и давления в экструзионной головке будут являться функциями сдвиговой вязкости. Среднюю скорость сдвига в экструдере оценили равной 100 1/сек. Поэтому токовую нагрузку на двигатель и падение давления в экструдере рассматривали в зависимости от измеренной сдвиговой вязкости при скорости сдвига 100 1/сек, результаты чего продемонстрированы на фиг.12а и 12b, соответственно. Имеет место вполне хорошая корреляция между как токовой нагрузкой на двигатель, так и давлением в экструдере, с одной стороны, и сдвиговой вязкостью, с другой стороны. Сдвиговую вязкость при 100 1/сек получали на основании данных по реологии при 190°С, в то время как нанесение покрытия по способу экструдирования проводили при намного более высоких температурах – при температурах расплава, близких к 320°С. Поэтому следует отметить, что фактические токовая нагрузка на двигатель и давление в экструдере вполне хорошо коррелируют с вязкостью при 190°С, что с очевидностью следует из фиг.12а и 12b. Однако, несмотря на данные температурные различия представляется, что корреляции на фиг.12 могут оказаться следствием того факта, что энергии активации течения для смол с фиг.12а и 12b, полученных в соответствии с данным изобретением, являлись в основном подобными, варьируясь в диапазоне от 38 до 41 кДж/моль в сопоставлении с 54 кДж/моль для РЕ4517. В результате относительное изменение вязкости с температурой в диапазоне от 190°С до 320°С для всех экспериментальных смол предположительно могло быть приблизительно одним и тем же, и поэтому данные по вязкости с фиг.12 при 320°С были бы меньшими в одной и той же степени для каждой смолы. В недавнем сообщении предположили, что может оказаться возможным предсказание определенных вариантов технологического поведения при нанесении покрытия по способу экструдирования в условиях получения при использовании реологических измерений, проводимых при меньших скоростях деформации и при меньших температурах. Смотрите: работу N. Toft and M. Rigdahl, Extrusion Coating with Metallocene-Catalysed Polyethylenes , Int. Poly. Proc., XVII (3), 244-253 (2002); которая во всей своей полноте включается в настоящий документ для справки.
Дополнительное рассмотрение данных с фиг.12 в отношении четырех различных исследованных систем смола/катализатор выявило то, что смолы, полученные при использовании одинарных катализаторов, при эквивалентных значениях MI демонстрировали более высокие вязкости при высоких скоростях сдвига и, таким образом, более высокие токовые нагрузки на двигатель и падения давления. В противоположность этому, смолы, полученные при использовании двойных катализаторов, обнаруживали более низкие вязкости при высоких скоростях сдвига и, таким образом, более низкие токовые нагрузки на двигатель и падения давления. Таким образом, данные с фиг.12 свидетельствуют о том, что ожидаемые характеристики экструдирования, а именно токовую нагрузку на двигатель и давление в экструзионной головке, можно подстраивать, регулируя вязкостные характеристики при сдвиговом течении при преобладающих технологических условиях. Таким образом, чем в большей мере будет проявляться способность к уменьшению вязкости при сдвиге при данном значении MI, тем меньшими должны быть ожидаемые токовая нагрузка на двигатель и давление в экструзионной головке.
ПРИМЕР 13
Характеристики шейкообразования
Фиг.13а иллюстрирует уровень шейкообразования для одной стороны при 300 фут/мин, что демонстрирует полулогарифмический график зависимости от вязкости при нулевом сдвиге, оцененной так, как это описывается в настоящем документе. Таким образом, скорость 300 фут/мин представляла собой наименьшую скорость технологической линии, выбранную потому, что при данной скорости доступными являются данные для всех смол. На фиг.13b уровень шейкообразования для одной стороны при 300 фут/мин продемонстрирован в виде зависимости от параметра упругого сдвига (ПУС) – подходящей меры упругости расплава полимера, который определяли по данным, полученным при развертке по динамической частоте, при частоте 0,03 1/сек в соответствии с методом, описанным в работе A. M. Sukhadia, D. C. Rohlfing, M. B. Johnson and G. L. Wilkes, A Comprehensive Investigation of the Origin of Surface Roughness and Haze in Polyethylene Blown Films , J. Appl. Polym. Sci., 85, 2396-2411 (2002), которая во всей своей полноте включается в настоящий документ для справки. Значения как вязкости при нулевом сдвиге, так и ПУС на фиг.13 получали на основании реологических данных, полученных при 190°С. Все смолы, полученные в соответствии с настоящим изобретением, по-видимому, попадают по существу на одну линию тренда, при этом уровень шейкообразования систематически уменьшается по мере того, как вязкость при нулевом сдвиге увеличивается (фиг.13а), или по мере того, как увеличивается упругость расплава (фиг.13b). В противоположность данному наблюдаемому поведению смола РЕ43517 с очевидностью выпадает из линии тренда в обоих случаях.
Фиг.5 иллюстрирует уровень шейкообразования в зависимости от увеличивающейся скорости технологической линии или повышения вытяжки и свидетельствует о том, что шейкообразование для всех смол, полученных при использовании одинарного катализатора, от SC-1 до SC-5 демонстрировало либо неизменность, либо увеличение уровня шейкообразования при увеличении скорости технологической линии. В противоположность этому, шейкообразование для РЕ4517 и каждой из смол, полученных при использовании двойного металлоцена, за исключением смолы DC-A-3, в общем случае продемонстрировало понижение уровня шейкообразования по мере того, как скорость технологической линии увеличивалась. Данные результаты иллюстрируют то, что системы двойных металлоценов настоящего изобретения позволяли получать такие молекулярные архитектуры смол, которые демонстрировали отклики в виде деформационного упрочнения, подобные тем, что наблюдались для смол ПЭНП-ВД.
Для обычно используемых смол ПЭНП-ВД, таких как РЕ4517, свойство деформационного упрочнения при растяжении хорошо известно. Смотрите: работы K. Xiao, C. Tzoganakis and H. Budman, Modification of Rheological Properties of LDPE for Coating Applications , Ind. Eng. Chem. Res., 39, 4928-4932 (2000); и H. M. Laun, H. Schuch, Transient Elongational Viscosities and Drawability of Polymer Melts , J. Rheo., 33, 119 (1989); из которых обе во всей своей полноте включаются в настоящий документ для справки. Данное деформационное упрочнение вызывает увеличение сопротивления деформации по мере того, как степень вытяжки увеличивается, таким образом, в результате приводя к уменьшению уровня шейкообразования, что отчетливо наблюдается на фиг.5. В предположении о том, что все смолы настоящего изобретения демонстрируют наличие по существу подобного типа архитектуры ДЦР, описанной в настоящем документе, и, кроме того, только в незначительной степени варьируются по уровню содержания ДЦР (смотрите фиг.11b), представляется, что на различия в характеристиках шейкообразования значительное влияние оказывает фракция с высокими значениями Mw. Таблица 5 иллюстрирует то, что все экспериментальные смолы фактически варьируются в узком диапазоне характеристик молекулярных масс, главным образом характеристик Mw и Mz. Говоря конкретно, z-средняя молекулярная масса Mz при постоянном значении MI, по-видимому, увеличивается при переходе от системы одинарного катализатора SC к системе двойного катализатора DC-A, к системе двойного катализатора DC-B, к системе двойного катализатора DC-С. Данное наблюдение дополнительно следует из сопоставления данных по Mw и Mz в таблице 5 для смол SC-2, DC-A-1, DC-B-1 и DC-C-1, все из которых характеризуются близостью к ~5 MI, и данных с фиг.11а и 11b. Из более тщательного рассмотрения, по-видимому, следует то, что смола DC-C-1, которая демонстрировала самый низкий уровень шейкообразования в числе экспериментальных смол, фактически характеризуется более низким уровнем содержания ДЦР в сопоставлении со случаями DC-A-1 и DC-B-1. Однако, DC-C-1 характеризуется более высоким значением Mz в сопоставлении с другими смолами настоящего изобретения. Поэтому без намерения связывать себя какой-либо теорией, можно предположить возможность того, что смолы настоящего изобретения демонстрируют наблюдаемые различия в шейкообразовании не вследствие различий в типе длинноцепных разветвлений, а вследствие различий во фракциях с более высокими значениями Mw. В противоположность этому, тот факт, что РЕ4517, по-видимому, не следует общим трендам для серий экспериментальных смол в том, что касается шейкообразования, (фиг.13а и 13b), можно приписать различиям в уровне содержания, а также типе длинноцепных разветвлений, описанных в настоящем документе.
Общее обоснование возможных различий в архитектуре ДЦР между контрольным образцом ПЭНП-ВД в виде смолы РЕ4517 и смолами настоящего изобретения можно обнаружить в работе C. Gabriel and H. Munstedt, Strain hardening of various polyolefins in uniaxial elongation flow , J. Rheo., 47 (3), 619-630, May/June (2003), которая во всей своей полноте включается в настоящий документ для справки. В работе авторов Gabriel и Munstedt идентифицировали определенные согласованные корреляции между типом способности к деформационному упрочнению, вязкостью при нулевом сдвиге в том, что касается линейных полимеров и потенциально различных архитектур длинноцепных разветвлений. В частности, авторами в работе обнаружено, что линейные полиэтилены (лишенные ДЦР) не демонстрировали наличия деформационного упрочнения и, кроме того, удовлетворяли хорошо установленной зависимости 0~(Mw)3,4. Полиэтилены, характеризующиеся небольшими уровнями содержания ДЦР, демонстрировали способность к деформационному упрочнению, которая либо не зависела от скорости растяжения, либо уменьшалась при увеличении скорости растяжения. Данные полимеры демонстрировали повышенные значения вязкости при нулевом сдвиге в сопоставлении с линейными полимерами, характеризующимися эквивалентной молекулярной массой, что имело место для всех экспериментальных полимеров данной работы. В противоположность этому, ПЭНП-ВД демонстрировал способность к деформационному упрочнению, которая увеличивалась при увеличении скорости растяжения, и данный полимер, как это обычно и имеет место в случае ПЭНП-ВД, демонстрировал вязкость при нулевом сдвиге, которая имела более низкое значение в сопоставлении с линейным ПЭ, характеризующимся той же самой среднемассовой молекулярной массой. РЕ4517 – ПЭНП-ВД, используемый для сопоставления со смолами, полученными в соответствии с данным изобретением, соответствует такому поведению. Поскольку вязкость при растяжении при низких скоростях растяжения приближенно описывается величиной 3 0 (смотрите: работы C. Gabriel and H. Munstedt, Strain hardening of various polyolefins in uniaxial elongation flow , J. Rheo., 47 (3), 619-630, May/June (2003); и H. Munstedt and H. M. Laun, Elongational properties and molecular structure of polyethylene melts , Rheol. Acta, 20 (3), 211, May/June (1981); каждая из которых во всей своей полноте включается в настоящий документ для справки), заявители могут обоснованно предполагать, что вязкость при растяжении у полимеров, полученных в соответствии с данным изобретением, будет иметь тот же самый порядок, что и вязкость при нулевом сдвиге. Другими словами абсциссу на фиг.13а также можно рассматривать и в качестве разумного представления вязкости при растяжении. Таким образом, уровень шейкообразования для смол данного изобретения уменьшался по мере того, как вязкость при растяжении увеличивалась. Кроме того, смола РЕ4517, по-видимому, демонстрировала намного меньший уровень шейкообразования в сопоставлении с экспериментальными смолами при эквивалентной вязкости при растяжении (фиг.13а) вследствие ее более значительной способности к деформационному упрочнению, которая увеличивается при увеличении скорости технологической линии (скорости растяжения). Кроме того, значение высокомолекулярного компонента в увеличении способности к деформационному упрочнению также четко было продемонстрировано в процитированной в настоящем документе работе C. Gabriel and H. Munstedt, J. Rheo., May/June (2003), которая легко могла бы разъяснить различия, наблюдаемые в пределах экспериментальных серий в данном случае.
ПРИМЕР 14
Способность к вытяжке
Максимальная скорость технологической линии, достижимая для каждой смолы, продемонстрирована на фиг.14 в зависимости от вязкости при низкой скорости сдвига при частоте 0,03 1/сек, как это получали из данных по развертке по динамической частоте при 190°С. В грубом приближении наблюдается тренд в виде уменьшения достижимой максимальной скорости технологической линии при увеличении вязкости при низкой скорости сдвига. Обратите внимание на то, что скорость 1800 фут/мин представляла собой максимально возможный уровень скорости технологической линии, и поэтому утрата способности к вытяжке происходила при значениях, превышающих данное. Несмотря на то, что данный конкретный тренд проявляется не особенно сильно, увеличение способности к вытяжке при уменьшении сдвиговой вязкости было отмечено. Смотрите: работу N. Toft and M. Rigdahl, Extrusion coating with Metallocene-Catalysed Polyethylenes , Int. Poly. Proc., XVII (3), 244-253 (2002); которая во всей своей полноте включается в настоящий документ для справки. Отклик для РЕ4517 отличается от отклика для смол, полученных в соответствии с настоящим изобретением, о чем свидетельствует фиг.14.
   
Таблица 4 Сопоставление уровня шейкообразования в зависимости от скорости технологической линии и максимальной скорости технологической линии |
| Идентификатор смолы |
Уровень шейкообразования при 300 фут/мин |
Уровень шейкообразования при 500 фут/мин |
Уровень шейкообразования при 700 фут/мин |
Уровень шейкообразования при 900 фут/мин |
Максимальная скорость технологической линии |
 |
(дюйм/сторона) |
(дюйм/сторона) |
(дюйм/сторона) |
(дюйм/сторона) |
(фут/мин) |
 |
 |
 |
 |
 |
 |
| РЕ4517 |
2,72 |
2,25 |
2,25 |
2,10 |
1800 |
| SC-1 |
5,19 |
5,31 |
– |
– |
500 |
| SC-2 |
5,25 |
5,34 |
5,38 |
– |
700 |
| SC-3 |
5,69 |
5,81 |
5,88 |
– |
700 |
| SC-4 |
5,00 |
4,94 |
– |
– |
1150 |
| SC-5 |
5,60 |
5,57 |
5,93 |
5,63 |
1750 |
| DC-A-1 |
5,00 |
5,06 |
4,93 |
4,84 |
1000 |
| DC-A-2 |
6,43 |
6,50 |
6,25 |
6,19 |
1800 |
| DC-A-3 |
7,38 |
7,94 |
7,81 |
8,00 |
1800 |
| DC-B-1 |
4,38 |
4,25 |
4,06 |
3,89 |
1200 |
| DC-B-2 |
5,31 |
5,09 |
4,56 |
4,50 |
1800 |
| DC-B-3 |
6,44 |
6,31 |
6,13 |
5,75 |
1800 |
| DC-C-1 |
2,80 |
2,70 |
– |
– |
600 |
| DC-C-2 |
3,69 |
3,47 |
3,38 |
3,28 |
1000 |
Таблица 6 Реологические характеристики, демонстрирующие Эта (0) – вязкость при нулевом сдвиге; Тау Эта – характеристическое время релаксации расплава; «а» – параметр ширины; ПУС – параметр упругого сдвига; и Еа – энергию активации течения |
| Идентификатор смолы |
Эта (0) |
Тау Эта |
«а» |
ПУС*1000 |
Еа |
 |
(Па.сек) |
(сек) |
 |
 |
(кДж/моль) |
 |
 |
 |
 |
 |
 |
| РЕ4517 |
3,30Е+03 |
6,66Е-02 |
0,392 |
103 |
54,2 |
| SC-1 |
7,92Е+03 |
3,71Е-02 |
0,249 |
198 |
– |
| SC-2 |
3,52Е+03 |
8,32Е-03 |
0,285 |
110 |
39,9 |
| SC-3 |
2,94Е+03 |
7,12Е-03 |
0,294 |
99 |
38,5 |
| SC-4 |
1,97Е+03 |
4,11Е-03 |
0,286 |
90 |
– |
| SC-5 |
1,53Е+03 |
5,23Е-03 |
0,323 |
71 |
– |
| DC-A-1 |
3,59Е+03 |
2,03Е-02 |
0,278 |
144 |
41,2 |
| DC-A-2 |
1,18Е+03 |
8,43Е-03 |
0,334 |
76 |
– |
| DC-A-3 |
6,18Е+02 |
4,64Е-03 |
0,367 |
47 |
– |
| DC-B-1 |
1,10Е+04 |
3,69Е-02 |
0,174 |
296 |
40,9 |
| DC-B-2 |
2,28Е+03 |
1,10Е-02 |
0,221 |
185 |
– |
| DC-B-3 |
1,07Е+03 |
6,40Е-03 |
0,254 |
131 |
– |
| DC-C-1 |
1,32Е+09 |
2,03Е-04 |
0,033 |
492 |
– |
| DC-C-2 |
1,59Е+06 |
1,46Е-06 |
0,046 |
393 |
– |
Формула изобретения
1. Композиция катализатора для полимеризации олефинов, содержащая продукт введения в контакт первого металлоценового соединения, второго металлоценового соединения, по меньшей мере, одного химически модифицированного твердого оксида и, по меньшей мере, одного алюминийорганического соединения, где: а) первым металлоценовым соединением является анса-металлоцен, описывающийся нижеследующей формулой i) (Х1)(Х2)(Х3)(Х4)М1, где (X1) и (X2) совместно представляют собой флуоренил и циклопентадиенил, флуоренил и инденил, или два флуоренила, любой один из которых может являться замещенным, незамещенным, частично насыщенным, или любую их комбинацию; или ii) рац-(Х1)(Х2)(Х3)(Х4)М1, где (X1) и (X2) совместно представляют собой два инденила, любой один из которых может являться замещенным, незамещенным, частично насыщенным, или любую их комбинацию; где М1 представляет собой Ti, Zr или Hf; где (X1) и (X2) соединены замещенной или незамещенной мостиковой группой, содержащей: i) один атом, который представляет собой атом углерода, кремния, германия или олова, связанный как с (X1), так и с (X2); или ii) два соседних атома углерода в цепи, один конец которой связан с (X1), а другой конец которой связан с (X2); и где (X3); (X4); каждый заместитель в замещенном циклопентадиениле, замещенном индениле и замещенном флуорениле; и каждый заместитель в замещенной мостиковой группе независимо представляет собой гидрокарбильную группу, алифатическую группу, ароматическую группу, циклическую группу, комбинацию алифатических и циклических групп, группу кислорода, группу серы, группу азота, группу фосфора, группу мышьяка, группу углерода, группу кремния, группу германия, группу олова, группу свинца, группу бора, группу алюминия, неорганическую группу, металлорганическую группу или их замещенное производное, содержащие от 1 до 20 атомов углерода; галогенид; или водород; b) вторым металлоценовым соединением является анса-металлоцен, описывающийся нижеследующей формулой (Х5)(Х6)(Х7)(Х8)М2, где М2 представляет собой Ti, Zr или Hf; где (X5) и (X6) независимо представляют собой циклопентадиенил или замещенный циклопентадиенил; где (X5) и (X6) соединены замещенной или незамещенной мостиковой группой, содержащей: i) один атом, который представляет собой атом углерода, кремния, германия или олова, связанный как с (X5), так и с (X6); или ii) два соседних атома углерода в цепи, один конец которой связан с (X5), а другой конец которой связан с (X6); и где, если (X5) или (X6) представляют собой замещенный циклопентадиенил, то тогда замещенный циклопентадиенил является замещенным заместителями в количестве вплоть до четырех в дополнение к мостиковой группе; где (X7); (X8); каждый заместитель в замещенном циклопентадиениле; и каждый заместитель в замещенной мостиковой группе независимо представляет собой гидрокарбильную группу, алифатическую группу, ароматическую группу, циклическую группу, комбинацию алифатических и циклических групп, группу кислорода, группу серы, группу азота, группу фосфора, группу мышьяка, группу углерода, группу кремния, группу германия, группу олова, группу свинца, группу бора, группу алюминия, неорганическую группу, металлорганическую группу или их замещенное производное, содержащие от 1 до 20 атомов углерода; галогенид; или водород; и с) химически модифицированный твердый оксид включает твердый оксид, подвергнутый обработке электроноакцепторным анионом.
2. Композиция катализатора по п.1, где алюминийорганическое соединение описывается нижеследующей формулой Al(X9)n(X10)3-n, где (X9) представляет собой гидрокарбил, содержащий от 1 до 20 атомов углерода; (X10) представляет собой алкоксид или арилоксид, содержащие от 1 до 20 атомов углерода, галогенид или гидрид; а n представляет собой число от 1 до 3, включительно.
3. Композиция катализатора по п.1, где химически модифицированный твердый оксид включает твердый оксид, подвергнутый обработке электроноакцепторным анионом, где: твердым оксидом являются диоксид кремния, оксид алюминия, диоксид кремния-оксид алюминия, фосфат алюминия, гетерополивольфраматы, диоксид титана, диоксид циркония, оксид магния, оксид бора, оксид цинка, их смешанные оксиды или их смеси; и электроноакцепторным анионом являются фторид, хлорид, бромид, фосфат, трифторметансульфонат, бисульфат, сульфат или любая их комбинация.
4. Композиция катализатора по п.1, где: а) первым металлоценовым соединением является анса-металлоцен, описывающийся нижеследующей формулой i) (Х1)(Х2)(Х3)(Х4)М1, где (X1) и (X2) совместно представляют собой флуоренил и циклопентадиенил, флуоренил и инденил, или два флуоренила, любой один из которых может являться замещенным, незамещенным, частично насыщенным, или любую их комбинацию; или ii) рац-(Х1)(Х2)(Х3)(Х4)М1, где (X1) и (X2) совместно представляют собой два инденила, любой один из которых может являться замещенным, незамещенным, частично насыщенным, или любую их комбинацию; где M1 представляет собой Zr или Hf; где (X1) и (X2) соединены мостиковой группой, которая представляет собой >CR1 2, >SiR1 2 или -CR1 2CR1 2-, где R1 в каждом случае независимо представляет собой линейную, разветвленную, замещенную или незамещенную гидрокарбильную группу, при этом любая одна из которых содержит от 1 до 20 атомов углерода; или водород; где любой заместитель в (X1), (X2) или R1 независимо представляют собой гидрокарбильную группу, группу кислорода, группу серы, группу азота, группу фосфора, неорганическую группу, металлорганическую группу, содержащие от 1 до 20 атомов углерода; галогенид; или водород; и где (X3) и (X4) независимо представляют собой алкоксид или арилоксид, содержащие от 1 до 20 атомов углерода, галогенид или гидрид; и b) вторым металлоценовым соединением является анса-металлоцен, описывающийся нижеследующей формулой (Х5)(Х6)(Х7)(Х8)Zr, где (X5) и (X6) независимо представляют собой циклопентадиенил или замещенный циклопентадиенил; где (X5) и (X6) соединены мостиковой группой, которая представляет собой >CR2 2, >SiR2 2 или -CR2 2CR2 2-, где R2 в каждом случае независимо представляет собой линейную, разветвленную, замещенную или незамещенную гидрокарбильную группу, при этом любая одна из которых содержит от 1 до 20 атомов углерода; или водород; где, если (X5) или (X6) представляют собой замещенный циклопентадиенил, то тогда замещенный циклопентадиенил является замещенным заместителями в количестве вплоть до четырех в дополнение к мостиковой группе; где любой заместитель в (X5), (X6) или R2 независимо представляют собой гидрокарбильную группу, группу кислорода, группу серы, группу азота, группу фосфора, неорганическую группу, металлорганическую группу, содержащие от 1 до 20 атомов углерода; галогенид; или водород; и где (X7) и (X8) независимо представляют собой алкоксид, арилоксид или амид, содержащие от 1 до 20 атомов углерода, галогенид или гидрид.
5. Композиция катализатора по п.1, где первым металлоценовым соединением является анса-металлоцен, описывающийся нижеследующей формулой (Х1)(Х2)(Х3)(Х4)М1, где М1 представляет собой Zr или Hf; где (Х1) и (X2) совместно представляют собой флуоренил и циклопентадиенил или два флуоренила, любой один из которых может являться замещенным или незамещенным; где (X1) и (X2) соединены мостиковой группой, которая представляет собой >CR1 2, >SiR1 2 или -CR1 2CR1 2-, где R1 в каждом случае независимо представляет собой линейную, разветвленную, замещенную или незамещенную гидрокарбильную группу, при этом любая одна из которых содержит от 1 до 20 атомов углерода; галогенид; или водород; где любой заместитель в (X1), (X2) или R1 независимо представляют собой гидрокарбильную группу, группу кислорода, группу серы, группу азота, при этом любая одна из которых содержит от 1 до 20 атомов углерода; или водород; и где (X3) и (X4) независимо представляют собой алкоксид или арилоксид, содержащие от 1 до 20 атомов углерода, галогенид или гидрид.
6. Композиция катализатора по п.1, где первым металлоценовым соединением является анса-металлоцен, описывающийся нижеследующей формулой рац-(Х1)(Х2)(Х3)(Х4)Zr, где (X1) и (X2) совместно представляют собой два инденила, любой один из которых может являться замещенным или незамещенным; где (X1) и (X2) соединены мостиковой группой, которая представляет собой >CR1 2, >SiR1 2 или -CR1 2CR1 2-, где R1 в каждом случае независимо представляет собой линейную, разветвленную, замещенную или незамещенную гидрокарбильную группу, при этом любая одна из которых содержит от 1 до 20 атомов углерода; или водород; где любой заместитель в (X1), (X2) или R1 независимо представляют собой гидрокарбильную группу, группу кислорода, группу серы, группу азота, при этом любая одна из которых содержит от 1 до 20 атомов углерода; или водород; и где (X3) и (X4) независимо представляют собой алкоксид или арилоксид, содержащие от 1 до 20 атомов углерода, галогенид или гидрид.
7. Композиция катализатора по п.1, где первым металлоценовым соединением является соединение, описывающееся нижеследующей формулой

 где Е представляет собой С, Si, Ge или Sn; и где R1, R2 и R3 в каждом случае независимо представляют собой Н или гидрокарбильную группу, содержащую от 1 до 20 атомов углерода.
8. Композиция катализатора по п.1, где первое металлоценовое соединение представляет собой
 
9. Композиция катализатора по п.1, где первое металлоценовое соединение представляет собой: дихлорид 2-(з5-циклопентадиенил)-2-(з5-флуорен-9-ил)гекс-5-енциркония (IV), [(з5-C5H4)CCH3(CH2CH2CH=CH2)(з5-9-C13H9)]ZrCl2; дихлорид 2-(з5-циклопентадиенил)-2-(з5-2,7-ди-трет-бутилфлуорен-9-ил)гекс-5-енциркония (IV), [(з5-C5H4)CCH3(CH2CH2CH=CH2)(з5-9-C13H7-2,7-tBu2)]ZrCl2; дихлорид 2-(з5-циклопентадиенил)-2-(з5-флуорен-9-ил)гепт-6-енциркония (IV), [(з5-C5H4)CCH3(CH2CH2CH2CH=CH2)(з5-9-C13H9)]ZrCl2; дихлорид 2-(з5-циклопентадиенил)-2-(з5-2,7-ди-трет-бутилфлуорен-9-ил)гепт-6-енциркония (IV), [(з5-C5H4)CCH3(CH2CH2CH2CH=CH2)(з5-9-С13Н7-2,7-tBu2)]ZrCl2; дихлорид 1-(з5-циклопентадиенил)-1-(з5-флуорен-9-ил)-1-фенилпент-4-енциркония(IV),[(з5-C5H4)C(C6H5)(CH2CH2CH=CH2)(з5-9-C13H9)]ZrCl2; дихлорид 1-(з5-циклопентадиенил)-1-(з5-2,7-ди-трет-бутилфлуорен-9-ил)-1-фенилпент-4-енциркония (IV), [(з5-C5H4)C(C6H5)(CH2CH2CH=CH2)(з5-9-C13H7-2,7-tBu2)]ZrCl2; дихлорид 1-(з5-циклопентадиенил)-1-(з5-флуорен-9-ил)-1-фенилгекс-5-енциркония (IV), [(з5-C5H4)C(C6H5)(CH2CH2CH2CH=CH2)(з5-9-C13H9)]ZrCl2; дихлорид 1-(з5-циклопентадиенил)-1-(з5-2,7-ди-трет-бутилфлуорен-9-ил)-1-фенилгекс-5-енциркония (IV), [(з5-C5H4)C(C6H5)(CH2CH2CH2CH=CH2)(з5-9-С13Н7-2,7-tBu2)]ZrCl2; или любую их комбинацию.
10. Композиция катализатора по п.1, где вторым металлоценовым соединением является анса-металлоцен, описывающийся нижеследующей формулой (Х5)(Х6)(Х7)(Х8)Zr, где (X5) и (X6) независимо представляют собой циклопентадиенил или замещенный циклопентадиенил; где (X5) и (X6) соединены мостиковой группой, которая представляет собой >CR2 2, >SiR2 2 или -CR2 2CR2 2-, где R2 в каждом случае независимо представляет собой линейную, разветвленную, замещенную или незамещенную гидрокарбильную группу, при этом любая одна из которых содержит от 1 до 20 атомов углерода; или водород; где, если (X5) или (X6) представляют собой замещенный циклопентадиенил, то тогда замещенный циклопентадиенил является замещенным заместителями в количестве вплоть до четырех в дополнение к мостиковой группе; где любой заместитель в (X5), (X6) или R2 независимо представляют собой гидрокарбильную группу, группу кислорода, группу серы, группу азота, при этом любая одна из которых содержит от 1 до 20 атомов углерода; или водород; и где (X7) и (X8) независимо представляют собой алкоксид или арилоксид, содержащие от 1 до 20 атомов углерода, галогенид или гидрид.
11. Композиция катализатора по п.1, где вторым металлоценовым соединением является соединение, описывающееся нижеследующей формулой

 где Е представляет собой С, Si, Ge или Sn; и где R1, R2, R3 и R4 в каждом случае независимо представляют собой Н или гидрокарбильную группу, содержащую от 1 до 20 атомов углерода.
12. Композиция катализатора по п.1, где второе металлоценовое соединение представляет собой

13. Композиция катализатора по п.1, где a) первое металлоценовое соединение представляет собой рац-С2Н4(з5-Ind)2ZrCl2, рац-Me2Si(з5-Ind)2ZrCl2, Me(октил)Si(з5-Flu)2ZrCl2, рац-Me2Si(з5-2-Me-4-PhInd)2ZrCl2, рац-C2H4(з5-2-MeInd)2ZrCl2, Me(Ph)Si(з5-Flu)2ZrCl2 или любую их комбинацию; b) второе металлоценовое соединение представляет собой рац-Me2Si(з5-3-н-PrCp)2ZrCl2, Me2Si(з5-Me4Cp)2ZrCl2, Me2Si(з5-Cp)2ZrCl2 или любую их комбинацию; c) химически модифицированным твердым оксидом являются обработанный фторидом оксид алюминия, обработанный хлоридом оксид алюминия, обработанный сульфатом оксид алюминия, обработанный фторидом диоксид кремния-оксид алюминия или любая их комбинация; и d) алюминийорганическим соединением являются триэтилалюминий или триизобутилалюминий.
14. Композиция катализатора по п.1, где химически модифицированным твердым оксидом являются обработанный фторидом оксид алюминия, обработанный хлоридом оксид алюминия, обработанный бромидом оксидом алюминия, обработанный сульфатом оксид алюминия, обработанный фторидом диоксид кремния-оксид алюминия, обработанный хлоридом диоксид кремния-оксид алюминия, обработанный бромидом диоксид кремния-оксид алюминия, обработанный сульфатом диоксид кремния-оксид алюминия, обработанный фторидом диоксид кремния-диоксид циркония, обработанный хлоридом диоксид кремния-диоксид циркония, обработанный бромидом диоксид кремния-диоксид циркония, обработанный сульфатом диоксид кремния-диоксид циркония или любая их комбинация.
15. Композиция катализатора по п.1, где химически модифицированный твердый оксид дополнительно содержит металл или ион металла, которыми являются цинк, никель, ванадий, серебро, медь, галлий, олово, вольфрам, молибден или любая их комбинация.
16. Композиция катализатора по п.1, где химически модифицированный твердый оксид дополнительно содержит металл или ион металла и является импрегнированным цинком обработанным хлоридом оксидом алюминия, импрегнированным цинком обработанным фторидом оксидом алюминия, импрегнированным цинком обработанным хлоридом диоксидом кремния-оксидом алюминия, импрегнированным цинком обработанным фторидом диоксидом кремния-оксидом алюминия, импрегнированным цинком обработанным сульфатом оксидом алюминия или любой их комбинацией.
17. Композиция катализатора по п.1, где массовое соотношение между алюминийорганическим соединением и химически модифицированным твердым оксидом находится в диапазоне от 10:1 до 1:1000.
18. Композиция катализатора по п.1, где алюминийорганическим соединением являются триметилалюминий, триэтилалюминий, три-н-пропилалюминий, диэтилалюминийэтоксид, три-н-бутилалюминий, диизобутилалюминийгидрид, триизобутилалюминий, диэтилалюминийхлорид или любая их комбинация.
19. Композиция катализатора по п.1, дополнительно содержащая необязательный сокатализатор, содержащий, по меньшей мере, один алюмоксан, по меньшей мере, одно цинкорганическое соединение, по меньшей мере, одно борорганическое соединение, по меньшей мере, одно ионизирующее ионное соединение или любую их комбинацию.
20. Композиция катализатора по п.1, дополнительно содержащая необязательный сокатализатор, содержащий, по меньшей мере, одно алюмоксановое соединение, где алюмоксан включает циклический алюмоксан, описываемый формулой
 где R представляет собой линейный или разветвленный алкил, содержащий от 1 до 10 атомов углерода, а n представляет собой целое число в диапазоне от 3 до 10; линейный алюмоксан, описываемый формулой
 где R представляет собой линейный или разветвленный алкил, содержащий от 1 до 10 атомов углерода, а n представляет собой целое число в диапазоне от 1 до 50; алюмоксан со структурой «клетки», описываемый формулой Rt 5m+бRb m-бAl4mO3m, где m равен 3 или 4, а б=nAl(3)-nO(2)+nO(4); где nAl(3) представляет собой количество трехкоординатных атомов алюминия, nO(2) представляет собой количество двухкоординатных атомов кислорода, nO(4) представляет собой количество 4-координатных атомов кислорода, Rt представляет собой концевую алкильную группу, a Rb представляет собой мостиковую алкильную группу; где R представляет собой линейный или разветвленный алкил, содержащий от 1 до 10 атомов углерода; или любую их комбинацию.
21. Композиция катализатора по п.20, где молярное соотношение между алюминием в алюмоксане и объединенными первым металлоценовым соединением и вторым металлоценовым соединением в композиции катализатора находится в диапазоне от 1:10 до 100000:1.
22. Композиция катализатора по п.20, где алюмоксановым соединением являются метилалюмоксан, этилалюмоксан, н-пропилалюмоксан, изопропилалюмоксан, н-бутилалюмоксан, трет-бутилалюмоксан, втор-бутилалюмоксан, изобутилалюмоксан, 1-пентилалюмоксан, 2-пентилалюмоксан, 3-пентилалюмоксан, изопентилалюмоксан, неопентилалюмоксан или их комбинация.
23. Композиция катализатора по п.1, дополнительно содержащая необязательный сокатализатор, содержащий, по меньшей мере, одно цинкорганическое соединение, где цинкорганическое соединение описывается нижеследующей формулой Zn(X13)(X14) где (X13) представляет собой гидрокарбил, содержащий от 1 до 20 атомов углерода; (X14) представляет собой гидрокарбил, алкоксид или арилоксид, содержащие от 1 до 20 атомов углерода, галогенид или гидрид.
24. Композиция катализатора по п.1, дополнительно содержащая необязательный сокатализатор, содержащий, по меньшей мере, одно цинкорганическое соединение, где цинкорганическим соединением являются диметилцинк, диэтилцинк, дипропилцинк, дибутилцинк, динеопентилцинк, ди(триметилсилилметил)цинк или любая их комбинация.
25. Композиция катализатора по п.1, дополнительно содержащая необязательный сокатализатор, содержащий, по меньшей мере, одно борорганическое соединение, где борорганическим соединением являются трис(пентафторфенил)бор, трис[3,5-бис(трифторметил)фенил]бор, тетракис(пентафторфенил)борат N,N-диметиланилиния, тетракис(пентафторфенил)борат трифенилкарбения, тетракис(пентафторфенил)борат лития, тетракис[3,5-бис(трифторметил)фенил] борат N,N-диметиланилиния, тетракис[3,5-бис(трифторметил)фенил] борат трифенилкарбения или их комбинация.
26. Композиция катализатора по п.25, где молярное соотношение между борорганическим соединением и объединенными первым металлоценовым соединением и вторым металлоценовым соединением в композиции катализатора находится в диапазоне от 0,1:1 до 10:1.
27. Композиция катализатора по п.1, дополнительно содержащая необязательный сокатализатор, содержащий, по меньшей мере, одно ионизирующее ионное соединение, где ионизирующим ионным соединением являются тетракис(п-толил)борат три(н-бутил)аммония, тетракис(м-толил)борат три(н-бутил)аммония, тетракис(2,4-диметил)борат три(н-бутил)аммония, тетракис(3,5-диметилфенил)борат три(н-бутил)аммония, тетракис[3,5-бис(трифторметил)фенил]борат три(н-бутил)аммония, тетракис(пентафторфенил)борат три(н-бутил)аммония, тетракис(п-толил)борат N,N-диметиланилиния, тетракис(м-толил)борат N,N-диметиланилиния, тетракис(2,4-диметилфенил)борат N,N-диметиланилиния, тетракис(3,5-диметилфенил)борат N,N-диметиланилиния, тетракис[3,5-бис(трифторметил)фенил]борат N,N-диметиланилиния, тетракис(пентафторфенил)борат N,N-диметиланилиния, тетракис(п-толил)борат трифенилкарбения, тетракис(м-толил)борат трифенилкарбения, тетракис(2,4-диметилфенил)борат трифенилкарбения, тетракис(3,5-диметилфенил)борат трифенилкарбения, тетракис[3,5-бис(трифторметил)фенил] борат трифенилкарбения, тетракис(пентафторфенил)борат трифенилкарбения, тетракис(п-толил)борат тропилия, тетракис(м-толил)борат тропилия, тетракис(2,4-диметилфенил)борат тропилия, тетракис(3,5-диметилфенил)борат тропилия, тетракис[3,5-бис(трифторметил)фенил]борат тропилия, тетракис(пентафторфенил)борат тропилия, тетракис(пентафторфенил)борат лития, тетракис(фенил)борат лития, тетракис(п-толил)борат лития, тетракис(м-толил)борат лития, тетракис(2,4-диметилфенил)борат лития, тетракис(3,5-диметилфенил)борат лития, тетрафторборат лития, тетракис(пентафторфенил)борат натрия, тетракис(фенил)борат натрия, тетракис(п-толил)борат натрия, тетракис(м-толил)борат натрия, тетракис(2,4-диметилфенил)борат натрия, тетракис(3,5-диметилфенил)борат натрия, тетрафторборат натрия, тетракис(пентафторфенил)борат калия, тетракис(фенил)борат калия, тетракис(п-толил)борат калия, тетракис(м-толил)борат калия, тетракис(2,4-диметилфенил)борат калия, тетракис(3,5-диметилфенил)борат калия, тетрафторборат калия, тетракис(п-толил)алюминат три(н-бутил)аммония, тетракис(м-толил)алюминат три(н-бутил)аммония, тетракис(2,4-диметил)алюминат три(н-бутил)аммония, тетракис(3,5-диметилфенил)алюминат три(н-бутил)аммония, тетракис(пентафторфенил)алюминат три(н-бутил)аммония, тетракис(п-толил)алюминат N,N-диметиланилиния, тетракис(м-толил)алюминат N,N-диметиланилиния, тетракис(2,4-диметилфенил)алюминат N,N-диметиланилиния, тетракис(3,5-диметилфенил)алюминат N,N-диметиланилиния, тетракис(пентафторфенил)алюминат N,N-диметиланилиния, тетракис(п-толил)алюминат трифенилкарбения, тетракис(м-толил)алюминат трифенилкарбения, тетракис(2,4-диметилфенил)алюминат трифенилкарбения, тетракис(3,5-диметилфенил)алюминат трифенилкарбения, тетракис(пентафторфенил)алюминат трифенилкарбения, тетракис(п-толил)алюминат тропилия, тетракис(м-толил)алюминат тропилия, тетракис(2,4-диметилфенил)алюминат тропилия, тетракис(3,5-диметилфенил)алюминат тропилия, тетракис(пентафторфенил)алюминат тропилия, тетракис(пентафторфенил)алюминат лития, тетракис(фенил)алюминат лития, тетракис(п-толил)алюминат лития, тетракис(м-толил)алюминат лития, тетракис(2,4-диметилфенил)алюминат лития, тетракис(3,5-диметилфенил)алюминат лития, тетрафторалюминат лития, тетракис(пентафторфенил)алюминат натрия, тетракис(фенил)алюминат натрия, тетракис(п-толил)алюминат натрия, тетракис(м-толил)алюминат натрия, тетракис(2,4-диметилфенил)алюминат натрия, тетракис(3,5-диметилфенил)алюминат натрия, тетрафторалюминат натрия, тетракис(пентафторфенил)алюминат калия, тетракис(фенил)алюминат калия, тетракис(п-толил)алюминат калия, тетракис(м-толил)алюминат калия, тетракис(2,4-диметилфенил)алюминат калия, тетракис(3,5-диметилфенил)алюминат калия, тетрафторалюминат калия или любая их комбинация.
28. Смесь связанных между собой веществ для полимеризации олефинов, содержащая первое металлоценовое соединение, второе металлоценовое соединение, по меньшей мере, один химически модифицированный твердый оксид и, по меньшей мере, одно алюминийорганическое соединение, где: а) первым металлоценовым соединением является анса-металлоцен, описывающийся нижеследующей формулой i) (Х1)(Х2)(Х3)(Х4)М1, где (X1) и (X2) совместно представляют собой флуоренил и циклопентадиенил, флуоренил и инденил, или два флуоренила, любой один из которых может являться замещенным, незамещенным, частично насыщенным, или любую их комбинацию; или ii) рац-(Х1)(Х2)(Х3)(Х4)М1, где (X1) и (X2) совместно представляют собой два инденила, любой один из которых может являться замещенным, незамещенным, частично насыщенным, или любую их комбинацию; где М1 представляет собой Ti, Zr или Hf; где (X1) и (X2) соединены замещенной или незамещенной мостиковой группой, содержащей: i) один атом, который является атомом углерода, кремния, германия или олова, связанный как с (X1), так и с (X2); или ii) два соседних атома углерода в цепи, один конец которой связан с (X1), а другой конец которой связан с (X2); и где (X3); (X4); каждый заместитель в замещенном циклопентадиениле, замещенном индениле и замещенном флуорениле; и каждый заместитель в замещенной мостиковой группе независимо представляет собой гидрокарбильную группу, алифатическую группу, ароматическую группу, циклическую группу, комбинацию алифатических и циклических групп, группу кислорода, группу серы, группу азота, группу фосфора, группу мышьяка, группу углерода, группу кремния, группу германия, группу олова, группу свинца, группу бора, группу алюминия, неорганическую группу, металлорганическую группу или их замещенное производное, содержащие от 1 до 20 атомов углерода; галогенид; или водород; b) вторым металлоценовым соединением является анса-металлоцен, описывающийся нижеследующей формулой (Х5)(Х6)(Х7)(Х8)М2, где М2 представляет собой Ti, Zr или Hf; где (X5) и (X6) независимо представляют собой циклопентадиенил или замещенный циклопентадиенил; где (X5) и (X6) соединены замещенной или незамещенной мостиковой группой, содержащей: i) один атом, который является атомом углерода, кремния, германия или олова, связанный как с (X5), так и с (X6); или ii) два соседних атома углерода в цепи, один конец которой связан с (X5), а другой конец которой связан с (X6); и где, если (X5) или (X6) представляют собой замещенный циклопентадиенил, то тогда замещенный циклопентадиенил является замещенным заместителями в количестве вплоть до четырех в дополнение к мостиковой группе; где (X7); (X8); каждый заместитель в замещенном циклопентадиениле; и каждый заместитель в замещенной мостиковой группе независимо представляет собой гидрокарбильную группу, алифатическую группу, ароматическую группу, циклическую группу, комбинацию алифатических и циклических групп, группу кислорода, группу серы, группу азота, группу фосфора, группу мышьяка, группу углерода, группу кремния, группу германия, группу олова, группу свинца, группу бора, группу алюминия, неорганическую группу, металлорганическую группу или их замещенное производное, содержащие от 1 до 20 атомов углерода; галогенид; или водород; и c) химически модифицированный твердый оксид включает твердый оксид, подвергнутый обработке электроноакцепторным анионом; и d) алюминийорганическое соединение описывается нижеследующей формулой Al(X9)n(X10)3-n, где (X9) представляет собой гидрокарбил, содержащий от 1 до 20 атомов углерода; (X10) представляет собой алкоксид или арилоксид, содержащие от 1 до 20 атомов углерода, галогенид или гидрид; а n представляет собой число от 1 до 3, включительно.
29. Способ получения композиции катализатора, включающий введение в контакт первого металлоценового соединения, второго металлоценового соединения, по меньшей мере, одного химически модифицированного твердого оксида и, по меньшей мере, одного алюминийорганического соединения, где: а) первым металлоценовым соединением является анса-металлоцен, описывающийся нижеследующей формулой i) (Х1)(Х2)(Х3)(Х4)М1, где (X1) и (X2) совместно представляют собой флуоренил и циклопентадиенил, флуоренил и инденил, или два флуоренила, любой один из которых может являться замещенным, незамещенным, частично насыщенным, или любую их комбинацию; или ii) рац-(Х1)(Х2)(Х3)(Х4)М1, где (X1) и (X2) совместно представляют собой два инденила, любой один из которых может являться замещенным, незамещенным, частично насыщенным, или любую их комбинацию; где М1 представляет собой Ti, Zr или Hf; где (X1) и (X2) соединены замещенной или незамещенной мостиковой группой, содержащей: i) один атом, который является атомом углерода, кремния, германия или олова, связанный как с (X1), так и с (X2); или ii) два соседних атома углерода в цепи, один конец которой связан с (X1), а другой конец которой связан с (X2); и где (X3); (X4); каждый заместитель в замещенном циклопентадиениле, замещенном индениле и замещенном флуорениле; и каждый заместитель в замещенной мостиковой группе независимо представляет собой гидрокарбильную группу, алифатическую группу, ароматическую группу, циклическую группу, комбинацию алифатических и циклических групп, группу кислорода, группу серы, группу азота, группу фосфора, группу мышьяка, группу углерода, группу кремния, группу германия, группу олова, группу свинца, группу бора, группу алюминия, неорганическую группу, металлорганическую группу или их замещенное производное, содержащие от 1 до 20 атомов углерода; галогенид; или водород; b) вторым металлоценовым соединением является анса-металлоцен, описывающийся нижеследующей формулой (Х5)(Х6)(Х7)(Х8)М2, где М представляет собой Ti, Zr или Hf; где (X5) и (X6) независимо представляют собой циклопентадиенил или замещенный циклопентадиенил; где (X5) и (X6) соединены замещенной или незамещенной мостиковой группой, содержащей: i) один атом, который является атомом углерода, кремния, германия или олова, связанный как с (X5), так и с (X6); или ii) два соседних атома углерода в цепи, один конец которой связан с (X5), а другой конец которой связан с (X6); и где, если (X5) или (X6) представляют собой замещенный циклопентадиенил, то тогда замещенный циклопентадиенил является замещенным заместителями в количестве вплоть до четырех в дополнение к мостиковой группе; где (X7); (X8); каждый заместитель в замещенном циклопентадиениле; и каждый заместитель в замещенной мостиковой группе независимо представляет собой гидрокарбильную группу, алифатическую группу, ароматическую группу, циклическую группу, комбинацию алифатических и циклических групп, группу кислорода, группу серы, группу азота, группу фосфора, группу мышьяка, группу углерода, группу кремния, группу германия, группу олова, группу свинца, группу бора, группу алюминия, неорганическую группу, металлорганическую группу или их замещенное производное, содержащие от 1 до 20 атомов углерода; галогенид; или водород; и c) химически модифицированный твердый оксид включает твердый оксид, подвергнутый обработке электроноакцепторным анионом; и d) алюминийорганическое соединение описывается нижеследующей формулой Al(X9)n(X10)3-n, где (X9) представляет собой гидрокарбил, содержащий от 1 до 20 атомов углерода; (X10) представляет собой алкоксид или арилоксид, содержащие от 1 до 20 атомов углерода, галогенид или гидрид; а n представляет собой число от 1 до 3, включительно.
30. Способ полимеризации олефинов, включающий введение в контакт, по меньшей мере, одного типа олефинового мономера и композиции катализатора в условиях проведения полимеризации, где композиция катализатора содержит продукт введения в контакт первого металлоценового соединения, второго металлоценового соединения, по меньшей мере, одного химически модифицированного твердого оксида и, по меньшей мере, одного алюминийорганического соединения, где: а) первым металлоценовым соединением является анса-металлоцен, описывающийся нижеследующей формулой i) (Х1)(Х2)(Х3)(Х4)М1, где (X1) и (X2) совместно представляют собой флуоренил и циклопентадиенил, флуоренил и инденил, или два флуоренила, любой один из которых может являться замещенным, незамещенным, частично насыщенным, или любую их комбинацию; или ii) рац-(Х1)(Х2)(Х3)(Х4)М1, где (X1) и (X2) совместно представляют собой два инденила, любой один из которых может являться замещенным, незамещенным, частично насыщенным, или любую их комбинацию; где М1 представляет собой Ti, Zr или Hf; где (X1) и (X2) соединены замещенной или незамещенной мостиковой группой, содержащей: i) один атом, который является атомом углерода, кремния, германия или олова, связанный как с (X1), так и с (X2); или ii) два соседних атома углерода в цепи, один конец которой связан с (X1), а другой конец которой связан с (X2); и где (X3); (X4); каждый заместитель в замещенном циклопентадиениле, замещенном индениле и замещенном флуорениле; и каждый заместитель в замещенной мостиковой группе независимо представляет собой гидрокарбильную группу, алифатическую группу, ароматическую группу, циклическую группу, комбинацию алифатических и циклических групп, группу кислорода, группу серы, группу азота, группу фосфора, группу мышьяка, группу углерода, группу кремния, группу германия, группу олова, группу свинца, группу бора, группу алюминия, неорганическую группу, металлорганическую группу или их замещенное производное, содержащие от 1 до 20 атомов углерода; галогенид; или водород; b) вторым металлоценовым соединением является анса-металлоцен, описывающийся нижеследующей формулой (Х5)(Х6)(Х7)(Х8)М2, где М2 представляет собой Ti, Zr или Hf; где (X5) и (X6) независимо представляют собой циклопентадиенил или замещенный циклопентадиенил; где (X5) и (X6) соединены замещенной или незамещенной мостиковой группой, содержащей: i) один атом, который является атомом углерода, кремния, германия или олова, связанный как с (X5), так и с (X6); или ii) два соседних атома углерода в цепи, один конец которой связан с (X5), а другой конец которой связан с (X6); и где, если (X5) или (X6) представляют собой замещенный циклопентадиенил, то тогда замещенный циклопентадиенил является замещенным заместителями в количестве вплоть до четырех в дополнение к мостиковой группе; где (X7); (X8); каждый заместитель в замещенном циклопентадиениле; и каждый заместитель в замещенной мостиковой группе независимо представляет собой гидрокарбильную группу, алифатическую группу, ароматическую группу, циклическую группу, комбинацию алифатических и циклических групп, группу кислорода, группу серы, группу азота, группу фосфора, группу мышьяка, группу углерода, группу кремния, группу германия, группу олова, группу свинца, группу бора, группу алюминия, неорганическую группу, металлорганическую группу или их замещенное производное, содержащие от 1 до 20 атомов углерода; галогенид; или водород; и c) химически модифицированный твердый оксид включает твердый оксид, подвергнутый обработке электроноакцепторным анионом; и d) алюминийорганическое соединение описывается нижеследующей формулой Al(X9)n(X10)3-n, где (X9) представляет собой гидрокарбил, содержащий от 1 до 20 атомов углерода; (X10) представляет собой алкоксид или арилоксид, содержащие от 1 до 20 атомов углерода, галогенид или гидрид; а n представляет собой число от 1 до 3, включительно.
31. Полимер этилена, полученный согласно способу по п.30, отличающийся индексом расплава в диапазоне от 3 до 30 г/10 мин; плотностью в диапазоне от 0,915 до 0,945 г/см3; энергией активации течения Еа в диапазоне от 35 до 45 кДж/моль; показателем полидисперсности (Mw/Mn) в диапазоне от 3 до 15; величиной Mz в диапазоне от 300 до 1500 кг/моль; молекулярной массой Mw в диапазоне от 70 до 200 кг/моль; и количеством длинноцепных разветвлений на 1000 атомов углерода (ДЦР/1000 атомов углерода) в диапазоне от 0,02 до 0,3, в диапазоне молекулярных масс Mw от 100 до 1000 кг/моль.
32. Полимер по п.31, где индекс расплава находится в диапазоне от 5 до 20 г/10 мин; плотность находится в диапазоне от 0,915 до 0,935 г/см3; энергия активации течения Еа находится в диапазоне от 37 до 43 кДж/моль; показатель полидисперсности (Mw/Mn) находится в диапазоне от 4 до 12; величина Mz находится в диапазоне от 400 до 1200 кг/моль; молекулярная масса Mw находится в диапазоне от 75 до 150 кг/моль; и количество длинноцепных разветвлений на 1000 атомов углерода (ДЦР/1000 атомов углерода) находится в диапазоне от 0,02 до 0,25, в диапазоне молекулярных масс Mw от 100 до 1000 кг/моль.
33. Полимер по п.31, где индекс расплава находится в диапазоне от 7 до 15 г/10 мин; плотность находится в диапазоне от 0,916 до 0,930 г/см3; энергия активации течения Еа находится в диапазоне от 38 до 42 кДж/моль; показатель полидисперсности (Mw/Mn) находится в диапазоне от 5 до 10; величина Mz находится в диапазоне от 500 до 1100 кг/моль; молекулярная масса Mw находится в диапазоне от 80 до 130 кг/моль; и количество длинноцепных разветвлений на 1000 атомов углерода (ДЦР/1000 атомов углерода) находится в диапазоне от 0,02 до 0,18, в диапазоне молекулярных масс Mw от 100 до 1000 кг/моль.
34. Полимер по п.31, где полимер дополнительно отличается параметром упругого сдвига × 1Е3 (ПУС) при 190°С и частоте 0,03 рад/с в диапазоне от 20 до 500.
35. Полимер по п.31, где полимер дополнительно отличается параметром упругого сдвига × 1Е3 (ПУС) при 190°С и частоте 0,03 рад/с в диапазоне от 80 до 475.
36. Полимер по п.31, где полимер дополнительно отличается параметром упругого сдвига × 1Е3 (ПУС) при 190°С и частоте 0,03 рад/с в диапазоне от 175 до 450.
37. Полимер по п.31, где полимер дополнительно отличается уровнем шейкообразования полимера при скорости технологической линии 300 фут/мин в диапазоне от 3 до 8 дюйм/сторона.
38. Полимер по п.31, где полимер дополнительно отличается уровнем шейкообразования полимера при скорости технологической линии 300 фут/мин в диапазоне от 3 до 6 дюйм/сторона.
39. Полимер по п.31, где полимер дополнительно отличается уровнем шейкообразования полимера при скорости технологической линии 300 фут/мин в диапазоне от 3 до 4,5 дюйм/сторона.
40. Полимер по п.31, где полимер дополнительно отличается уровнем шейкообразования полимера при скорости технологической линии 900 фут/мин в диапазоне от 3 до 8 дюйм/сторона.
41. Полимер по п.31, где полимер дополнительно отличается уровнем шейкообразования полимера при скорости технологической линии 900 фут/мин в диапазоне от 3 до 6 дюйм/сторона.
42. Полимер по п.31, где полимер дополнительно отличается уровнем шейкообразования полимера при скорости технологической линии 900 фут/мин в диапазоне от 3 до 4,5 дюйм/сторона.
43. Полимер по п.31, где полимер дополнительно отличается давлением в экструзионной головке при производительности экструдирования 200 фунт/ч в диапазоне от 500 до 2000 фунт/дюйм2.
44. Полимер по п.31, где полимер дополнительно отличается давлением в экструзионной головке при производительности экструдирования 200 фунт/ч в диапазоне от 600 до 1500 фунт/дюйм2.
45. Полимер по п.31, где полимер дополнительно отличается давлением в экструзионной головке при производительности экструдирования 200 фунт/ч в диапазоне от 700 до 1300 фунт/дюйм2.
46. Полимер по п.31, где полимер дополнительно отличается токовой нагрузкой на двигатель экструдера при производительности экструдирования 200 фунт/ч в диапазоне от 40 до 120 А.
47. Полимер по п.31, где полимер дополнительно отличается токовой нагрузкой на двигатель экструдера при производительности экструдирования 200 фунт/ч в диапазоне от 50 до 100 А.
48. Полимер по п.31, где полимер дополнительно отличается токовой нагрузкой на двигатель экструдера при производительности экструдирования 200 фунт/ч в диапазоне от 60 до 90 А.
49. Полимер по п.31, где полимер дополнительно отличается сопротивлением раздиру ПрН по Элмендорфу, большим или равным 2,1 г/фунт/стопка.
50. Полимер по п.31, где полимер дополнительно отличается сопротивлением раздиру ПпН по Элмендорфу, большим или равным 2,9 г/фунт/стопка.
51. Полимер по п.31, где полимер дополнительно отличается ударной вязкостью по Спенсеру, большей или равной 0,0 10 г/фунт/стопка.
52. Полимер по п.31, где полимер дополнительно отличается адгезионной прочностью при разрыве под действием внутреннего давления, большей или равной 95%.
53. Полимер по п.31, где полимер дополнительно отличается температурой инициирования прилипания в горячем состоянии, при которой прочность прилипания в горячем состоянии развивается до уровня прочности, равной 1 н/25 мм, меньшей или равной 110°С.
54. Полимер по п.31, где полимер дополнительно отличается температурой инициирования прилипания в горячем состоянии, при которой прочность прилипания в горячем состоянии развивается до уровня прочности, равной 1 н/25 мм, меньшей или равной 120°С.
55. Полимер по п.31, где полимер дополнительно отличается предельной прочностью при тепловой сварке, большей или равной 3,5 фунт-сила/дюйм.
56. Изделие, содержащее полимер по п.31.
57. Изделие, содержащее полимер по п.31, где изделием являются контейнер, посуда, пленка, пленочный продукт, цилиндрический резервуар, топливный бак, труба, геомембраны или вкладыш.
58. Применение композиции катализатора по любому из пп.1 и 2 в реакции полимеризации олефина.
59. Применение смеси связанных между собой веществ по п.28 в реакции полимеризации олефина.
60. Полимер, полученный по способу по п.30.
РИСУНКИ
|
|