|
|
(21), (22) Заявка: 2008100385/04, 09.01.2008
(24) Дата начала отсчета срока действия патента:
09.01.2008
(43) Дата публикации заявки: 20.07.2009
(46) Опубликовано: 27.11.2009
(56) Список документов, цитированных в отчете о поиске:
RU 2168518 C2, 10.06.2001. US 2005261451 A1, 24.11.2005. US 2006030723 A1, 09.02.2006. US 2005014916 A1, 20.01.2005.
Адрес для переписки:
117218, Москва, ул. Кржижановского, 16, корп.1, ОАО “СИБУР Холдинг”, старшему исполнительному вице-президенту
|
(72) Автор(ы):
Афанасьев Владимир Владимирович (RU), Низовцев Алексей Вадимович (RU), Долгина Татьяна Модестовна (RU), Беспалова Наталья Борисовна (RU)
(73) Патентообладатель(и):
Открытое акционерное общество “СИБУР Холдинг” (RU)
|
(54) РУТЕНИЕВЫЙ КАТАЛИЗАТОР ПОЛИМЕРИЗАЦИИ ДИЦИКЛОПЕНТАДИЕНА И СПОСОБ ЕГО ПОЛУЧЕНИЯ (ВАРИАНТЫ)
(57) Реферат:
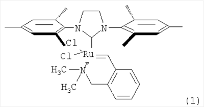
Изобретение относится к металлоорганической химии, в частности к способу получения карбенового комплекса рутения и способу метатезисной полимеризации дициклопентадиена. Катализатор метатезисной полимеризации дициклопентадиена представляет собой (1,3-бис-(2,4,6-триметилфенил)-2-имидазолидинилиден)дихлоро
(о-N,N-диметиламино-метилфенилметилен)рутений формулы (1). Способ получения катализатора заключается в том, что катализатор Граббса второго поколения подвергают взаимодействию с 2-(N,N-диметиламинометил)стиролом в толуоле при нагревании в инертной атмосфере. В другом варианте способ получения катализатора состоит том, что катализатор Граббса первого поколения последовательно в одном реакторе подвергают взаимодействию с 1,3-бис-(2,4,6-триметилфенил)-2-трихлорометилимидазолидином, а затем с 2-(N,N-диметиламинометил)стиролом в толуоле при нагревании в инертной атмосфере. Способ метатезисной полимеризации дициклопентадиена характеризуется тем, что полимеризацию осуществляют с использованием заявленного катализатора при соотношении мономер:катализатор от 75000:1 до 100000:1. Изобретение позволяет получать полимер с высокими механическими свойствами при меньших затратах за счет снижения расхода катализатора. 4 н.п.ф-лы.

Изобретение относится к металлоорганической химии, в частности к способу получения карбенового комплекса рутения, который является катализатором полимеризации циклических олефинов, в частности дициклопентадиена (ДЦПД). Среди множества известных катализаторов метатезиса олефинов – карбеновых комплексов рутения – только небольшое число применимо для полимеризации циклических олефинов, включая дициклопентадиен (ДЦПД) [Coordination Chemistry Reviews 251 (2007) 765-794]. Наиболее простыми и коммерчески доступными являются катализаторы Граббса первого и второго поколения:
 
Высокая активность этих катализаторов затрудняет их применение в полимеризации ДЦПД, так как частицы катализатора покрываются слоем образовавшегося полимера с формированием микрокапсул, что препятствует растворению катализатора в мономере. Предварительное растворение катализатора в инертном растворителе снижает показатели качества полимера – полидициклопентадиена (ПДЦПД). Карбеновые комплексы рутения с замедленной активацией позволяют осуществить полимеризацию ДЦПД при полном растворении катализатора в мономере. Наиболее близким по свойствам к заявленному катализатору является ряд структур с контролируемой каталитической активностью, опубликованных Р.Граббсом и запатентованных Калифорнийским Технологическим институтом (Caltech) как катализаторы полимеризации ДЦПД (US 2005261451, 2005-11-24):
    
В представленных катализаторах замедленная активация катализаторов осуществляется за счет взаимодействия хелатирующего лиганда (L) с рутениевым карбеновым центром, что замедляет координацию молекулы мономера по кратной связи с активным центром катализатора. Каталитические свойства карбеновых комплексов рутения могут варьироваться электронными и стерическими эффектами лиганда L. Процесс активации катализатора представлен на Схеме 1:

Стадия I является более медленной по сравнению со стадией II и определяет скорость полимеризации.
Недостатком существующих катализаторов является их большой расход и, как следствие, высокая себестоимость получения полидициклопентадиена.
В патенте (US 2005261451 2005-11-24) представлена схема синтеза ряда структур с контролируемой каталитической активностью, основанная на катализаторе Граббса второго поколения (Гр II), для Iв, Iг или на пиридиновом комплексе катализатора Граббса (Гр III) для Iа, Iб (Схема 2):

ГрII или ГрIII обрабатывается хелатирующим олефином в хлористом метилене при комнатной температуре или нагревании. Способ получения ГрIII основан на обработке ГрII пиридином [M.S.Sanford, J.A.Love, R.H.Grubbs Organometallics 2001, 20, 5314-5318]. Получение ГрIII как основы для синтеза катализаторов усложняет процесс, добавляется новая стадия и теряется около 15% рутения. Недостатком способа по патенту (US 2005261451) является низкий выход целевого продукта, который составляет от 50 до 65%, исходя из ГрI. Это обусловлено многостадийностью синтеза и несовершенством методики – использования хлорида меди для удаления трициклогексилфосфина и растворителя – хлористого метилена, не позволяющего в обычных условиях поднять температуру реакционной смеси выше 40°С. Кроме того, хлористый метилен содержит примеси, снижающие выход конечного продукта.
Задача, решаемая заявленным изобретением, заключается в разработке эффективного катализатора метатезисной полимеризации с раскрытием цикла дициклопентадиена (ДЦПД), способа его получения, а также способа полимеризации ДЦПД. В соответствии с поставленной задачей объектом изобретения является катализатор метатезисной полимеризации дициклопентадиена с раскрытием цикла – (1,3-бис-(2.4,6-триметилфенил)-2-имидазолидинилиден)дихлоро(о-N,N-диметиламинометилфенилметилен)рутений, имеющий формулу:

Структура и чистота полученного соединения подтверждена методом ЯМР:
NMR 1Н (300 МГц CD2Cl2) 1.75 (6Н, с); 2.33 (18Н, ушир. д); 4.01 (6Н, ушир. с); 6.63 (1Н, д, J 7.6 Гц); 6.94 м. (5Н); 7.11 (1Н, т, J 7.6 Гц); 7.43 (1Н, т, J 7.6 Гц); 18.58 с. (1Н).
Объектом изобретения является также способ получения катализатора (Н), заключающийся в том, что катализатор Граббса II (второго поколения) подвергают взаимодействию с 2-(N,N-диметиламинометил) стиролом в толуоле при нагревании.
В другом варианте способ получения катализатора (Н) заключается в том, что катализатор Граббса I (первого поколения) последовательно в одном реакторе подвергают взаимодействию с 1,3-бис-(2,4,6-триметилфенил)-2-трихлорометилимидазолидином – хлороформенным аддуктом дигидроимидазола Н2IМеsССl3, а затем без выделения промежуточного продукта (катализатора Граббса II) с 2-(N,N-диметиламинометил)стиролом при нагревании в толуоле.
Технический результат, достигаемый при осуществлении любого из этих способов, состоит в увеличении выхода продукта, достигаемого использованием 2-(N,N-диметиламинометил)стирола, а также толуола в качестве растворителя не разрушающего катализатор, что позволяет использовать более высокую температуру проведения реакции и приводит к повышению выхода целевого продукта до 83 и 79% соответственно.
Кроме того, при осуществлении синтеза катализатора по второму варианту повышение выхода целевого продукта достигается также за счет проведения двух стадий процесса (получения катализатора Граббса II и целевого продукта) в одном реакторе без выделения катализатора Граббса II. Это позволяет повысить выход целевого продукта до 79% за счет исключения потерь на выделении катализатора Граббса II и способствует упрощению процесса. Для известной ранее схемы выход катализаторов второго поколения находится в пределах от 50 до 65% в пересчете на ГрI.
Еще одним объектом изобретения является способ метатезисной полимеризации дициклопентадиена с раскрытием цикла, заключающийся в том, что полимеризацию осуществляют с использованием катализатора – (1,3-бис-(2,4,6-триметилфенил)-2-имидазолидинилиден)дихлоро(о-N,N-диметиламинометилфенилметилен)рутения, имеющего формулу (Н), при мольном соотношении мономер:катализатор от 50000:1 до 60000:1.
Технический результат состоит в снижении расхода катализатора для получения полидициклопентадиена с высокими механическими характеристиками. Заявленный катализатор превосходит катализаторы, раскрытые в патенте (US 2005261451), и позволяет получать полидициклопентадиен с высокими потребительскими свойствами при мольном соотношении мономер:катализатор 75000:1, в то время как для известных катализаторов данное соотношение составляет 30000:1 и 40000:1.
Кроме того, заявленный катализатор растворим в мономере при комнатной температуре и не требует использования растворителя, что приводит к повышению механических показателей полимера. Он также стабилен при хранении, устойчив при контакте с кислородом и влагой воздуха, поэтому не требуется применения инертной атмосферы при использовании и хранении катализатора.
Вышеуказанные каталитические свойства обусловлены наличием диметиламинометильной группы в ароматическом карбеновом фрагменте, необходимом для стабилизации шестичленного рутений-карбенового цикла.
Заявленный способ полимеризации позволяет получать полимер с высокими механическими свойствами при меньших затратах за счет снижения расхода катализатора.
Получение заявленного катализатора по способу 1 из катализатора Граббса II осуществляют в толуоле при 70°С по реакции:

Выход целевого продукта «Н» составляет 83%.
Получение заявленного катализатора по второму способу из катализатора Граббса I-б осуществляют в толуоле при 70°С по реакции:

Выход составляет 79%.
Комплекс «Н» проявляет каталитические свойства при полимеризации ДЦПД при мольном соотношении мономер:катализатор от 100:1 до 100000:1, оптимальным для получения полидициклопентадиена с высокими механическими свойствами является соотношение 75000:1. Катализатор легко растворяются в мономере при 35°С. Загустение реакционной массы и экзотермическая полимеризация происходят через 20 минут при 80°С (Пример 7). Полимер не обладает запахом, соответствует, а в ряде случаев превосходит качественные показатели аналогов Телен и Метон [J.C.Mol J. Mol. Cat. А: Chemical, 2004, 273, 39-45; www.telene.com; www.metton.com].
Изобретение поясняется следующими примерами.
Пример 1
Синтез катализатора проводили в условиях, исключающих попадание влаги и воздуха в реакционную систему, использовали реакторы Шленка, подсоединенные к вакуумной системе и линии сухого аргона. Растворители – хлористый метилен, толуол, гексан, метанол – абсолютировали по стандартным методикам и хранили в инертной атмосфере. [Armarego, Wilfred, L.F.; Chai, Christina, L.L. (2003). Purification of Laboratory Chemicals (5th Edition). Elsevier.] 2-Винил-N,N-диметил-бензиламин получен по известной методике [Колесников Г.С. Синтез винильных производных ароматических и гетероциклических соединений. 1960].
В сосуд Шленка объемом 10 мл в атмосфере аргона помещают раствор 200 мг (0.241 ммоль) комплекса ГрII в 4 мл СН2Сl2 и 80 мг (0.4961 ммоль) 2-(N,N-диметиламинометил)стирола. Перемешивают при 40°С в течение 5 часов. Растворитель отгоняют в вакууме, к остатку добавляют 5 мл метанола и оставляют при -40°С на 12 часов. Осадок отфильтровывают и промывают 5 мл холодного метанола. Выход [1,3-бис-(2.4,6-триметилфенил)-2-имидазолидинилиден]дихлоро(o-N,N-диметиламинометилфенилметилен)рутений (комплекс «Н») составляет 105 мг (70%). NMR 1Н (300 МГц CD2Cl2) 1.75 (6Н, с); 2.33 (18Н, ушир. д); 4.01 (6Н, ушир. с); 6.63 (1Н, д, J 7.6 Гц); 6.94 м. (5Н); 7.11 (1Н, т, J 7.6 Гц); 7.43 (1Н, т, J 7.6 Гц); 18.58 с.(1Н).
Пример 2
В сосуд Шленка объемом 25 мл помещают 199 мг (0.2417 ммоль) ГрII, дегазируют и прибор заполняют аргоном. Добавляют раствор 80 мг (0.4961 ммоль) 2-(N,N-диметиламинометил)стирола в 3 мл хлористого метилена и 50 мг (0.5 ммоль) CuCl. Смесь нагревают в атмосфере аргона при 40°С в течение 1 часа. Растворитель отгоняют в вакууме и к остатку добавляют 4 мл этилацетата, после чего суспензию переносят на фильтр и промывают 2 мл этилацетата. Фильтрат упаривают досуха и добавляют 5 мл метанола. Осадок отфильтровывают и промывают 5 мл холодного метанола. Получают «Н» с выходом 105 мг(0.1678 ммоль) (69.44%).
Пример 3
В сосуд Шленка объемом 25 мл помещают ГрIII (100 мг, 0.138 ммоль), прибор откачивают и заполняют аргоном и добавляют раствор 2-(N,N-диметиламинометил)стирола (44.5 мг, 0.276 ммоль) в 5 мл CH2Cl2. Смесь перемешивают при 25°С в течение 4 часов. Раствор упаривают досуха и добавляют 5 мл Et2O. Выпавшие зеленые кристаллы отфильтровывают и сушат в вакууме. Получают «Н», выход 51 мг(59%).
Пример 4
В сосуд Шленка объемом 25 мл помещают 102 мг (0.12097 ммоль) ГрII, прибор откачивают, заполняют аргоном и добавляют раствор 50 мг(0.3100 ммоль) 2-(N,N-диметиламинометил) стирола в 4 мл толуола. Смесь нагревают в атмосфере аргона при 72°С в течение 1 часа. Растворитель отгоняют в вакууме и к остатку добавляют 2 мл метанола. Суспензию переносят на фильтр и промывают 2 мл метанола и 3 мл гексана. Получают «Н». Выход 63 мг (0.10068 ммоль) (83%).
Пример 5
ГрI-б 3.1 г в 80 мл толуола нагревают с аддуктом имидазола H2IMesCCl3) (2.776 г, 1.7 экв.) при 70°С в запаянной ампуле в инертной атмосфере 12 часов, затем добавляют аминостирол (1,556 г 2.5 экв.) и нагревают еще 3.5 часа. Толуол упаривают в вакууме, к остатку добавляют гексан 50 мл, выпавший осадок отфильтровывают и промывают гексаном 30 мл и метанолом 30 мл. После высушивания в вакууме получают «Н» 1.91 г (79%).
Пример 6
Каталитические свойства [1,3-бис-(2.4,6-триметилфенил)-2-имидазолидин илиден]дихлоро(о-N,N-диметиламинометилфенилметилен)рутения (комплекс «Н») Комплекс «Н» 1.6 мг (0.0023 ммоль) растворяют в 22.8 г (173 ммоль) ДЦПД 99% (1:75000) при 35°С. Смесь нагревают в химическом стакане при 80°С в течение 20 мин и 30 мин при 150°С. Получают твердый прозрачный образец без запаха. Tg (стеклования) 141°С, модуль упр. Е 1.80 ГПa; предел прочности при растяжении 45.3 МПа. Новый карбеновый комплекс рутения [1,3-бис-(2.4,6-триметилфенил)-2-имидазолидинилиден]дихлоро(о-N,N-диметиламинометилфенилметилен)рутений (комплекс «Н») может использоваться в качестве катализатора производства полидициклопентадиена по реакции метатезисной полимеризации ДЦПД.
Формула изобретения
1. Катализатор метатезисной полимеризации дициклопентадиена, представляющий собой (1,3-бис-(2,4,6-триметилфенил)-2-имидазолидинилиден)дихлоро(о-N,N-диметиламино-метилфенилметилен)рутений формулы

2. Способ получения катализатора по п.1, характеризующийся тем, что катализатор Граббса второго поколения, подвергают взаимодействию с 2-(N,N-диметиламинометил)стиролом в толуоле при нагревании в инертной атмосфере.
3. Способ получения катализатора по п.1, отличающийся тем, что катализатор Граббса первого поколения последовательно в одном реакторе подвергают взаимодействию с 1,3-бис-(2,4,6-триметилфенил)-2-трихлорометилимидазолидином, а затем с 2-(N,N-диметиламинометил)стиролом в толуоле при нагревании в инертной атмосфере.
4. Способ метатезисной полимеризации дициклопентадиена, характеризующийся тем, что полимеризацию осуществляют с использованием катализатора по п.1 при соотношении мономер:катализатор от 75000:1 до 100000:1.
|
|