Патент на изобретение №2374261
|
||||||||||||||||||||||||||
(54) СПОСОБ ПОЛУЧЕНИЯ АЛЛОБЕТУЛИНА
(57) Реферат:
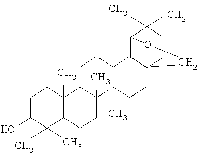
Изобретение относится к улучшенному способу получения аллобетулина (19
Изобретение относится к лесохимической промышленности и касается получения из наружного слоя коры березы (бересты) аллобетулина. Аллобетулин – пентациклический тритерпеноид С30Н50O2 олеананового ряда представляет интерес для химико-фармацевтической и медицинской промышленности как биологически активное соединение, обладающее выраженной противовирусной активностью.
Аллобетулин (19 Известен способ изомеризации бетулинола в аллобетулин кипячением бетулина в 88%-ной муравьиной кислоте с последующим омылением образующегося формиата аллобетулина гидроокисью калия [Chem. Ber., 1922, В55, S.2322]. Аналогичным образом по такой же двухстадийной схеме, через ацильное производное идет образование аллобетулина при нагревании бетулинола в уксусной кислоте, содержащей каталитическое количество серной кислоты [Barton D.H.R., Holness N.I. Triterpenoids. Part V. Some Relative Configuration in Rings C.D. and E. The Amirin and the Lupeol Group of Triterpenoids. / J. Chem. Soc., 1952, p.78-92]. Недостатками способов являются сложность и многостадийность процесса изомеризации и, как следствие, низкий выход аллобетулина. Известен способ изомеризации бетулинола в аллобетулин в соляной или бромистоводородной кислоте [Errington S.G., Chisalberti E.L., Jefferies P.R. The Chemistry of the Euphorbiaceae. XXIV. Lup-20(29)-ene-3 Недостатком способа является то, что при использовании галагеноводородных кислот требуется специальное кислотостойкое оборудование, а также то, что при изомеризации в соляной кислоте наряду с аллобетулинолом, с выходом до 20%, образуется побочный продукт изомеризации – 20,28-эпокси-19 Известен способ получения аллобетулина непосредственно из коры березы путем обработки сырья в растворе дихлорметана в присутствии FеСl3, нанесенного на силикагель, при комнатной температуре. Выход аллобетулина составляет 11,9% [US 6280778, опубл. 02.11.1999]. Недостатком данного метода является низкий выход аллобетулина, сложность его выделения в присутствии гетерогенного катализатора в реакционной смеси, а также использование экологически опасного хлорсодержащего растворителя. Наиболее близким по технологической сущности и достигаемому результату является способ получения аллобетулина [RU 2174126 от 27.09.2001]. Он предусматривает проведение процесса изомеризации бетулинола в присутствии ортофосфорной кислоты при нагревании в растворе кислородсодержащих органических растворителей (гомогенный катализ) или в растворе углеводородов, с нанесенной на инертный носитель ортофосфорной кислотой (гетерогенный катализ). Известный способ имеет следующие недостатки: во-первых, необходимость предварительного выделения бетулинола из коры березы, что является достаточно продолжительным и затратным процессом (дополнительная стадия); во-вторых, при использовании в процессе изомеризации бетулинола ортофосфорной кислоты, нанесенной на инертный носитель, усложняется процесс выделения получаемого аллобетулина из реакционной среды. Задачей изобретения является упрощение технологии, сокращение стадий процесса и снижение затрат на получение аллобетулина. Поставленная задача решается за счет того, что аллобетулин получают непосредственно из наружного слоя коры березы (бересты) в одну стадию путем совмещения стадии экстракции бетулинола из бересты ароматическим углеводородом и изомеризации в аллобетулин в присутствии ортофосфорной кислоты. Предлагаемый способ отличается от прототипа тем, что во-первых, аллобетулин получают непосредственно из наружного слоя коры березы, а не из бетулинола, что значительно упрощает весь процесс, сокращает число стадий и продолжительность; во-вторых, в качестве твердого носителя для ортофосфорной кислоты выступает сама береста. Благодаря данным отличительным признакам удалось значительно упростить технологию процесса получения аллобетулина, исключить реактивы, используемые в процессе выделения бетулинола из бересты, повысить экономическую эффективность процесса и увеличить выход целевого продукта. Способ осуществляют следующим образом. В колбу, снабженную обратным холодильником, помещают бересту, измельченную до частиц размером 1-3 мм, и приливают такое количество ортофосфорной кислоты, чтобы вся береста была смочена, добавляют ароматический углеводород и кипятят в течение 3-4 часов. Горячий раствор аллобетулина в ароматическом углеводороде отделяют от коры простой декантацией или фильтрованием и отгоняют под вакуумом. Выпавший порошок светло-желтого цвета перекристаллизовывают из этанола. Выпадают белые игольчатые кристаллы с температурой плавления 259-261°С. Структура полученного аллобетулина подтверждена методом ЯМР спектроскопии. Данные 1Н-ЯМР(CDCl3):3,75 (d, J=8Hz, 1Н, 28-H), 3,49 (s, 1 H, 19-Н), 3,41 (d, J=8 Hz, 1 H, 28H), 3,22 (m, 1-H, 3-H), 1,00-1,77 (комплекс СН2, СН), 0,95, 0,91, 0,83, 0,79, 0,76 (все синглеты, 21 H, СН3). Способ подтверждается конкретными примерами. Пример 1. В колбу объемом 500 мл, снабженную обратным холодильником, помещают 10 г измельченной бересты, заливают 20 мл ортофосфорной кислоты и 200 мл толуола и кипятят в течение 4 часов. Ход реакции изомеризации контролируют, отбирая пробы из реакционной колбы методом ТСХ на пластиках Silufol, в системе хлороформ-метанол-муравьиная кислота (100:2:0,5). Горячий раствор аллобетулина в толуоле отделяют от остатка коры фильтрованием, затем полностью отгоняют толуол на ротационном испарителе. Полученный аллобетулин перекристаллизовывают из этанола. Выход аллобетулина в виде белых кристаллов составил 2,1 г или 21 мас.% от массы бересты. Состав аллобетулина подтвержден элементным анализом. Найдено: С, % 82,17; 81,83; H, % 11,01; 10,75; С30Н50O2. Вычисление: С, % 81,45; H, % 11,31. Пример 2. В колбу объемом 500 мл, снабженную обратным холодильником, помещают 10 г измельченной бересты, вносят 20 мл ортофосфорной кислоты, после того как кислота впитается в бересту, заливают 150 мл п-ксилола и кипятят в течение 3 часов. Ход реакции изомеризации контролируют, отбирая пробы из реакционной колбы методом ТСХ на пластиках Silufol, в системе хлороформ-метанол-муравьиная кислота (100:2:0,5). Горячий раствор аллобетулина в п-ксилоле отделяют от остатка коры фильтрованием, затем полностью отгоняют п-ксилол на ротационном испарителе. Полученный аллобетулин перекристаллизовывают из этанола. Выход аллобетулина в виде белых кристаллов составил 2,3 г или 23 мас.% от массы бересты. Состав аллобетулина подтвержден элементным анализом. Найдено: С, % 81,09; 81,76; Н, % 11,48; 11,12; С30H50O2. Вычисленно: С, % 81,45; Н,% 11,31. Предлагаемое изобретение позволяет значительно упростить технологию получения аллобетулина, сократить продолжительность процесса, исключить стадию выделения бетулинола из бересты и повысить выход целевого продукта.
Формула изобретения
1. Способ получения аллобетулина, включающий изомеризацию бетулинола в аллобетулин в органическом растворителе в присутствии катализатора – неорганической кислоты, отличающийся тем, что выделение бетулинола из бересты и его кислотную изомеризацию в аллобетулин проводят одновременно путем кипячения бересты в ароматическом углеводороде, в присутствии ортофосфорной кислоты. 2. Способ по п.1, отличающийся тем, что в качестве ароматического углеводорода используют толуол или п-ксилол.
|
||||||||||||||||||||||||||

,28-эпоксиолеанан-3-ола) – пентациклического тритерпеноида олеананового ряда, обладающего выраженной противовирусной активностью и представляющего большой интерес для химико-фармацевтической промышленности. Аллобетулин получают непосредственно из бересты коры березы путем совмещения стадий экстракции бетулинола из бересты ароматическим углеводородом, предпочтительно п-ксилолом или толуолом и изомеризации бетулинола в аллобетулин в присутствии ортофосфорной кислоты. Способ упрощает технологию получения аллобетулина с повышением качества продукта. 1 з.п. ф-лы.