Патент на изобретение №2374242
|
|||||||||||||||||||||||||||||||||||||||||||||||||||||||||||||||||||||||||||||||||||||||||||||||||||||||||||||||||||||||||||||||||||||||||
(54) ПРОИЗВОДНЫЕ ТИАЗОЛА В КАЧЕСТВЕ АНТАГОНИСТОВ А2В
(57) Реферат:
Настоящее изобретение относится к соединениям формулы I, в свободной форме или в форме фармацевтически приемлемой соли. В формуле I
Ar представляет собой фенил, замещенный цианогруппой, R1 представляет собой фенил, необязательно замещенный одним или несколькими заместителями, выбранными из галогена, циано, C1-C8-алкокси, карбокси, или R1 представляет собой фуранилкарбонил или фенилкарбонил, или R представляет собой 6-членную N-гетероциклическую группу с одним или двумя атомами азота в кольце, необязательно замещенную C1-C4-алкилом или C1-C4-алкокси, R2 представляет собой водород, и Y представляет собой пиримидинильную или пиридазинильную группу, необязательно замещенную по крайней мере одним C1-C8-алкилом или ди(C1-C8-алкил)аминогруппой. Изобретение также относится к фармацевтической композиции, обладающей активностью антагониста рецептора A2b, включающей соединение изобретения в качестве активного агента, к применению соединений изобретения для изготовления лекарственного средства, обладающего активностью антагониста рецептора A2b, и к применению соединений изобретения для изготовления лекарственного средства для лечения воспалительного или обструктивного заболевания дыхательных путей. 4 н. и 2 з.п. ф-лы.
Настоящее изобретение относится к органическим соединениям, к их получению и к их применению в качестве лекарственных средств. В одном варианте осуществления настоящее изобретение относится к соединениям формулы
в свободной форме или в форме соли, где Ar представляет собой фенил, замещенный одним или несколькими заместителями, выбранными из галогена, циано и C1-C8-галогеналкила, или нафтил, R1 представляет собой водород, фенил, необязательно замещенный одним или несколькими заместителями, выбранными из галогена, циано, гидрокси, C1-C8-алкила, C1-C8-галогеналкила, C1-C8-алкокси, C1-C8-алкокси-C1-C8-алкила, карбокси, C1-C8-алкоксикарбонила и ацилокси, или R1 представляет собой 5- или 6-членную моновалентную гетероциклическую группу, R2 представляет собой водород, C1-C8-алкил, ацил или -CON(R3)R4, R3 и R4 каждый независимо представляет собой водород или C1-C8-алкил, или вместе с атомом азота, к которому они присоединены, обозначают 5- или 6- членную гетероциклическую группу, и Y представляет собой пиримидинильную или пиридазинильную группу, необязательно замещенную по крайней мере одним C1-C8-алкилом, C1-C8-алкокси, C1-C8-алкилтио, C1-C8-алкиламино, ди(C1-C8-алкил)амино или ациламиногруппой. Используемые в этом описании термины имеют следующие значения: “C1-C8-алкил” как здесь используется обозначает линейный или разветвленный C1-C8-алкил, который может представлять собой, например, метил, этил, н-пропил, изопропил, н-бутил, изобутил, втор-бутил, трет-бутил, линейный или разветвленный пентил, линейный или разветвленный гексил, линейный или разветвленный гептил или линейный или разветвленный октил. Предпочтительно, C1-C8-алкил представляет собой С1-С4-алкил. “C1-C8-алкокси” как здесь используется обозначает линейный или разветвленный C1-C8-алкокси, который может представлять собой, например, метокси, этокси, н-пропокои, изопропокси, н-бутокси, изобутокси, втор-бутокси, трет-бутокси, линейный или разветвленный пентокси, линейный или разветвленный гексилокси, линейный или разветвленный гептилокси или линейный или разветвленный октилокси. Предпочтительно, C1-C8-алкокси представляет собой C1-C4-алкокси. “C1-C8-алкилтио” как здесь используется обозначает линейный или разветвленный C1-C8-алкилтио, который может представлять собой, например, метилтио, этилтио, н-пропилтио, изопропилтио, н-бутилтио, изобутилтио, втор-бутилтио, трет-бутилтио, линейный или разветвленный пентилтио, линейный или разветвленный гексилтио, линейный или разветвленный гептилтио или линейный или разветвленный октилтио. Предпочтительно, C1-C8-алкилтио представляет собой C1-C4-алкилтио. “Ди(C1-C8-алкил)амино” как здесь используется обозначает аминогруппу, замещенную двумя C1-C8-алкильными группами как указано выше, которые могут быть одинаковыми или различными. Предпочтительно, ди(C1-C8-алкил)амино представляет собой ди(C1-C4-алкил)амино. “C1-C8-галогеналкил” как здесь используется обозначает C1-C8-алкил как указано выше, замещенный одним или несколькими атомами галогена, предпочтительно одним, двумя или тремя атомами галогена, предпочтительно атомами фтора или хлора. Предпочтительно C1-C8-галогеналкил представляет собой C1-C4-алкил, замещенный одним, двумя или тремя атомами фтора или хлора. “C1-C8-алкокси-C1-C8-алкил” как здесь используется обозначает C1-C8-алкил как указано выше, замещенный C1-C8-алкокси как указано выше. “C1-C8-алкилкарбонил”, “C1-C8-галогеналкилкарбонил” и “C1-C8-алкоксикарбонил” как здесь используется обозначают C1-C8-алкил, C1-C8-галогеналкил или C1-C8-алкокси соответственно как указано выше, присоединенные через атом углерода к карбонильной группе. “Ацил” как здесь используется обозначает алкилкарбонил, например C1-C8-алкилкарбонил, где C1-C8-алкил может представлять собой одну из C1-C8-алкильных групп как указано выше, необязательно замещенную одним или несколькими атомами галогена; циклоалкилкарбонил, например С3-C8-циклоалкилкарбонил, где С3-C8-циклоалкил может представлять собой, например, циклопропил, циклобутил, циклопентил, циклогексил, циклогептил или циклооктил; 5- или 6-членный гетероциклилкарбонил с одним или несколькими, предпочтительно одним или двумя гетероатомами, выбранными из азота, кислорода и серы в кольце, такой как фурилкарбонил или пиридилкарбонил; арилкарбонил, например С6-С10-арилкарбонил, такой как бензоил; или аралкилкарбонил, например С6-С10-арил-С1-С4-алкилкарбонил, такой как бензилкарбонил или фенилэтилкарбонил. “Ацилокси” как здесь используется обозначает алкилкарбонилокси, например C1-C8-алкилкарбонилокси, где C1-C8-алкил может представлять собой одну из C1-C8-алкильных групп указанных выше, необязательно замещенную одним или несколькими атомами галогена; циклоалкилкарбонилокси, например С3-C8-циклоалкилкарбонилокси, где С3-C8-циклоалкил может представлять собой, например, циклопропил, циклобутил, циклопентил, циклогексил, циклогептил или циклооктил; 5- или 6-членный гетероциклилкарбонилокси с одним или двумя гетероатомами, выбранными из азота, кислорода и серы в кольце, такой как фурилкарбонилокси или пиридилкарбонилокси; арилкарбонилокси, например С6-С10-арилкарбонилокси, такой как бензоилокси; или аралкилкарбонилокси, например С6-С10-арил-С1-С4-алкилкарбонилокси, такой как бензилкарбонилокси или фенилэтилкарбонилокси. Предпочтительно ацилокси представляет собой С1-C4-алкилкарбонилокси. “Ациламино” как здесь используется обозначает аминогруппу, замещенную ацилом как указано выше. Предпочтительно он представляет собой С1-С4-алкилкарбониламино. “Галоген” как здесь используется может представлять собой фтор, хлор, бром или йод; предпочтительно он представляет собой фтор или хлор. Ar может представлять собой, например, фенил, замещенный одним или несколькими заместителями, например одним, двумя или тремя заместителями, выбранными из галогена, циано и C1-C8-галогеналкила, или нафтил. Ar представляет собой предпочтительно фенил, замещенный галогеном или циано, предпочтительно в мета- или пара-положении указанного тиазольного кольца. R1 может представлять собой, например, водород, фенил, необязательно замещенный галогеном, циано, гидрокси, C1-C8-алкилом, C1-C8-галогеналкилом, C1-C8-алкокси, C1-C8-алкокси-C1-C8-алкилом, карбокси, C1-C8-алкоксикарбонилом или C1-C8-алкилкарбонилокси, или моновалентную 5- или 6-членную гетероциклическую группу с одним, двумя или тремя гетероатомами в кольце, выбранными из азота, кислорода и серы, такую как пирролил, имидазолил, триазолил, пиридил, оксопиридил, пиперидил, пиридазинил, пиримидинил, пиразинил, пиразолил, пиразолинил, пиперазинил, морфолинил, фурил, пиранил, тиенил или тиазолил, необязательно замещенный одним или несколькими заместителями, выбранными из C1-C8-алкила, гидрокси или C1-C8-алкокси. Предпочтительно R1 представляет собой фенил, необязательно замещенный циано, карбокси или С1-С4-алкокси, или моновалентную 6-членную N-гетероциклическую группу, особенно пиридил, С1-С4-алкилпиридил, С1-C4-алкоксипиридил или пиразинил. R2 может представлять собой, например, водород, C1-C8-алкил, формил, С1-C8-алкилкарбонил, С1-C8-галогеналкилкарбонил, С3-C8-циклоалкилкарбонил, фенилкарбонил, в котором фенильная часть необязательно замещена галогеном, циано, гидрокси, C1-C8-алкилом или C1-C8-алкокси, гетероциклилкарбонил, в котором гетероциклильная группа является 5- или 6-членной и имеет один или несколько, предпочтительно один или два гетероатома в кольце, выбранных из азота, кислорода и серы, или группу -CON(R3)R4. Предпочтительно R2 представляет собой водород, С1-С4-алкилкарбонил, 5-членный гетероциклилкарбонил, особенно фурилкарбонил, или фенилкарбонил, в котором фенильная часть необязательно замещена C1-C8-алкокси, особенно C1-С4-алкоксифенилкарбонилом. Если они присутствуют, R3 и R4 каждый независимо могут представлять собой, например, водород или С1-С4-алкил, или вместе с атомом азота, к которому они присоединены, могут обозначать 5-членную гетероциклильную группу, такую как пирролил или пирролидинил, или 6-членную гетероциклильную группу, такую как пиридил, пиперидил, пиперазинил или морфолинил. Предпочтительно R3 и R4, если они присутствуют, каждый представляет собой C1-C8-алкил, особенно метил, или вместе с атомом азота, к которому они присоединены, обозначают 6-членную гетероциклильную группу, особенно пиридил. Y может представлять собой, например, пиримидинильную группу формулы
где R5, R6 и R7 каждый независимо представляет собой водород, C1-C8-алкил, C1-C8-алкокси, C1-C8-алкилтио, C1-C8-алкиламино, ди(С1-С8-алкил)амино или ациламино, или Y может представлять собой группу формулы
где R8, R9 и R10 каждый независимо представляет собой водород, C1-C8-алкил, C1-C8-алкокси, C1-C8-алкилтио, C1-C8-алкиламино, ди(С1-С8-алкил)амино или ациламино. Предпочтительно Y представляет собой группу формулы
где R5 и R6 каждый представляет собой водород и R7 представляет собой водород, С1-С4-алкил, С1-С4-алкилтио, или Y представляет собой группу формулы
где R9 и R10 каждый представляет собой водород и R8 представляет собой водород или ди(С1-С4-алкил)амино. Предпочтительными соединениями формулы I в свободной форме или в форме соли являются соединения, в которых Ar представляет собой фенил, замещенный галогеном или циано, R1 представляет собой водород, фенил, необязательно замещенный циано, галогеном, карбокси или С1-С4-алкокси, или R1 представляет собой моновалентную 6-членную N-гетероциклическую группу, R2 представляет собой водород, С1-С4-алкилкарбонил, 5-членный гетероциклилкарбонил или фенилкарбонил, в котором фенильная часть необязательно замещена C1-C8-алкокси, и Y представляет собой пиримидинил или пиридазинил, необязательно замещенный С1-С4-алкилом, С1-С4-алкокси, С1-С4-алкилтио, С1-С4-алкиламино, ди(С1-С4-алкил)амино или С1-С4-алкилкарбониламино. Другими предпочтительными соединениями формулы I в свободной форме или в форме соли являются соединения, в которых Ar представляет собой фенил, замещенный циано в мета-положении к указанному тиазольному кольцу, R1 представляет собой водород, фенил, замещенный циано, фтором, карбокси или С1-С4-алкокси, или R1 представляет собой 6-членный N-гетероциклил с одним или двумя атомами азота в кольце, необязательно замещенный С1-С4-алкилом или С1-С4-алкокси, R2 представляет собой водород, С1-С4-алкилкарбонил, фурилкарбонил или С1-С4-алкоксифенилкарбонил, и Y представляет собой группу формулы IV или V как указано выше. Особенно предпочтительными конкретными соединениями формулы I являются соединения, описанные далее в примерах. Многие из соединений, представленные формулой I, способны образовывать кислотные аддитивные соли, в частности фармацевтически приемлемые кислотные аддитивные соли. Фармацевтически приемлемые кислотные аддитивные соли соединения формулы I включают соли с неорганическими кислотами, например, галогенводородными кислотами, такими как фтористоводородная кислота, хлористоводородная кислота, бромистоводородная кислота или йодистоводородная кислота, азотная кислота, серная кислота, фосфорная кислота; и органическими кислотами, например алифатическими монокарбоновыми кислотами, такими как муравьиная кислота, уксусная кислота, трифторуксусная кислота, пропионовая кислота и масляная кислота, алифатическими гидроксикислотами, такими как молочная кислота, лимонная кислота, винная кислота или яблочная кислота, дикарбоновыми кислотами, такими как малеиновая кислота или янтарная кислота, ароматическими карбоновыми кислотами, такими как бензойная кислота, п-хлорбензойная кислота, дифенилуксусная кислота или трифенилуксусная кислота, ароматическими гидроксикислотами, такими как о-гидроксибензойная кислота, п-гидроксибензойная кислота, 1-гидроксинафтален-2-карбоновая кислота или 3-гидроксинафтален-2-карбоновая кислота, и сульфоновыми кислотами, такими как метансульфоновая кислота или бензолсульфоновая кислота. Эти соли могут быть получены из соединений формулы I известными способами получения солей. Соединения формулы I, которые содержат кислотные, например карбоксильные группы, также способны образовывать соли с основаниями, в частности фармацевтически приемлемыми основаниями, такими как основания, хорошо известные из уровня техники; такие подходящие соли включают соли металла, в частности соли щелочного металла или соли щелочноземельного металла, такие как соли натрия» калия, магния или кальция, или соли с аммиаком или фармацевтически приемлемыми органическими аминами или гетероциклическими основаниями, такими как этаноламины, бензиламины или пиридин. Такие соли могут быть получены из соединений формулы I известными способами получения солей. Настоящее изобретение относится к другому варианту осуществления изобретения, а именно к способу получения соединения формулы I в свободной форме или в форме соли, который включает: (i) (А) для получения соединений формулы I, где R1 представляет собой необязательно замещенный фенил или 5- или 6-членную гетероциклическую группу, реакцию соединения формулы
в форме соли, например гидрогалогенида, где Ar и Y являются такими, как указано выше, и Х представляет собой галоген, предпочтительно бром, с соединением формулы
где R1 представляет собой фенил, необязательно замещенный одним или несколькими заместителями, выбранными из галогена, циано, гидрокси, C1-C8-алкила, C1-C8-галогеналкила, C1-C8-алкокси, С1-С8-алкокси-С1-С8-алкила и ацилокси, или R1 представляет собой 5- или 6-членную моновалентную гетероциклическую группу, и R2 представляет собой Н или C1-C8-алкил или (Б) для получения соединений формулы I, где R2 представляет собой ацил или -CON(R3)R4, реакцию соединения формулы Ar
где Ar, R1 и Y являются такими, как указано выше, соответственно с ацилирующим производным карбоновой кислоты, например ангидридом или ацилхлоридом, или с соединением формулы Cl-CON(R3)R4), где R3 и R4 являются такими, как указано выше, и (ii) превращение полученного соединения формулы I в свободную форму или в форму соли. Процесс по варианту (А) может осуществляться в органическом растворителе, например в спирте, таком как этанол. Подходящими температурами реакции являются повышенные температуры, например от 50°С до температуры кипения растворителя. Процесс по варианту (Б) может осуществляться с использованием известных процедур для реакции аминов с ацилирующими агентами. Соединения формулы VI могут быть получены реакцией соединения формулы
где Ar и Y являются такими, как указано выше, с галогеном Х2, предпочтительно бромом. Это галогенирование может осуществляться с использованием известных способов для альфа-галогенирования кетонов. Обычно, соединение формулы VI не выделяют, а напрямую вводят в реакцию с соединением формулы VII с получением соединения формулы I. Соединения формулы VII являются тиомочевинами, которые являются либо известными, либо могут быть получены по известным методикам. Например, они могут быть получены реакцией соединения формулы
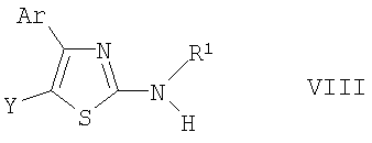
где R1 и R2 являются такими, как указано выше, с бензоилизотиоцианатом, и гидролизом полученного продукта, например водным раствором NaOH, для замещения бензоильной группы на галоген. Реакция с бензоилизотиоцианатом может быть проведена в органическом растворителе, например спирте, таком как этанол. Подходящими температурами реакции являются температуры от комнатной до температуры кипения растворителя, обычно 35-45°С. Гидролиз может осуществляться при повышенной температуре, например от 70°С до температуры кипения, обычно при температуре кипения. Пиримидин, пиридазин и алкилзамещенный пиримидин и пиридазин являются известными соединениями, которые являются коммерчески доступными или могут быть получены известными способами. Соединения формулы VIII могут быть получены способом по варианту (А) как описано выше. Соединения формулы IX могут быть получены реакцией соединения формулы
с производным пиримидина или пиридазина с щелочным металлом формулы MCH2Y, где М представляет собой щелочной металл, предпочтительно литий или натрий, и Y является таким, как указано выше, причем СН2М группа предпочтительно присоединена в 4-положении пиримидинильной или пиридазинильной группы, например известным способом, описанным далее в примерах. Соединения формулы Х и XI являются известными или могут быть получены известными методами. Например, соединения формулы XI могут быть получены способами, описанными далее в примерах. Соединения формулы I и их фармацевтически приемлемые соли являются полезными в качестве лекарственных средств. В частности, они вызывают ингибирование активации аденозинового рецептора A2b, то есть они выступают в качестве антагонистов рецептора A2b. Кроме того, обычно они селективно ингибируют ингибирующие свойства могут быть продемонстрированы в следующих тестах: Анализ репортерного гена с аденозиновым рецептором A2b а) Культурирование клеточной линии A2b яичников китайских хомячков (СНО) Клетки СНО, трансфецированные репортерной плазмидой, экспрессирующей люциферазу (pCRE-LUCI), и плазмидой, несущей структуральный ген аденозинового рецептора A2b человека (pA2bRCV), обычным образом культурировали в Dulbecco Modified Eagle Medium (DMEM) – с 10 об.% бычьей сыворотки (FCS), 2 мМ L-глутамина, 0,4 мг/мл L-пролина, 1 нМ селенита натрия, 0,5 мг/мл гидромицина В и 1 мг/мл генетицина – при 37°С, 5% СО2 и относительной влажности 100%. Клетки оставляли расти до слияния в течение 4-5 дней. Через полученные клетки пропускали трипсин/EDTA и расщепляли в соотношении 1 к 5. б) Получение клеток для анализа До анализа клетки СНО-A2b высаживали в 96-ячеечные просматриваемые планшеты для культур (Packard) с плотностью 50,000 клеток на ячейку в 50 мкл DMEM, и планшеты инкубировали при 37°С, 5% СО2 и относительной влажности 100%. в) Получение соединений для сравнения и тестируемых соединений Получали 10 мМ растворы соединения для сравнения, ксантинамин Cogener (ХАС), и тестируемого соединения в диметилсульфоксиде (ДМСО). Полученные растворы затем разбавляли ДМСО до концентрации 100 мкМ, затем разбавляли до концентрации 10 мкМ, и наконец до концентрации 250 нМ или 2,5 мкМ аналитическим буфером (DMEM культуральная среда, не содержащая фенола красного, с 10 мкМ ролипрама и 10 единицами/мл аденозиндеаминазы (ADA). Полученные растворы (40 мкл) добавляли к клеткам в соответствующих ячейках, причем итоговая концентрация в ячейке составляла 100 нМ или 1 мкМ, и планшеты инкубировали при 37°С, 5% СО2 и относительной влажности 100%. г) Анализ репортерного гена люциферазы Получали 5′-N-этилкарбоксамидоаденозин (NECA), агонист аденозина A2b, в виде 10 нМ раствора в ДМСО и затем разбавляли до 100 мкМ аналитическим буфером. Этот раствор порциями разбавляли аналитическим буфером с получением серий NECA из 10 концентраций от 100 до 0,01 мкМ. Порции полученных растворов NECA по 10 мкл добавляли к смесям клеток СНО-A2b и растворов соединения для сравнения или тестируемого соединения, полученных как описано выше (предварительно инкубированных в течение 30 минут), итоговые концентрации находились в диапазоне от 10 до 0,0005 мкМ на ячейку. Клетки инкубировали при 37°С, 5% СО2 и относительной влажности 100% в течение 3 часов для индуцирования высвобождения цАМФ, который затем связывается с цАМФ-связывающим белком (СВР) и полученный комплекс взаимодействует с репортерной плазмидой для экспрессии люциферазы. 100 мкл Steady-Glo, люциферазусодержащего аналитического субстрата от Promega, добавляли ко всем ячейкам для лизиса клеток и генерирования люминесценции пропорционально количеству полученной люциферазы. Планшеты оставляли как минимум на 5 минут до определения с помощью люминесцентной программы микропланшетного сцинтилляционного счетчика Topcount NXT (ex Packard). Строили кривые зависимости концентрация – отклик по данным по люминесценции, используя программное обеспечение Activitybase, и рассчитывали значения KB для тестируемых антагонистов исходя из сдвига кривых для конкретной концентрации (KB=[антагонист]/(соотношение концентрации -1). Соединения из приведенных ниже примеров имеют значения kb в анализе репортерного гена ниже 100 нМ. Например, соединения примеров 4, 6, 9, 12 и 16 имеют значения Кв 38, 29, 6, 2 и 50 нМ соответственно. В отношении ингибирования активации аденозинового рецептора A2b, соединения формулы I в свободной форме или в форме фармацевтически приемлемой соли, указанные ниже, альтернативно относимые к агентам по изобретению, полезны для лечения состояний, которые опосредованы активацией аденозинового рецептора A2b, в частности воспалительных или аллергических состояний. Лечение в соответствии с изобретением может быть симптоматическим или профилактическим. Соответственно, агенты по изобретению полезны для лечения воспалительных или обструктивных заболеваний дыхательных путей, приводящих, например, к снижению повреждения тканей, бронхиальной гиперреактивности, трансформации или прогрессированию заболевания. Воспалительные или обструктивные заболевания дыхательных путей, к которым применимо настоящее изобретение, включают астму любого типа или происхождения, включая и обычную (неаллергическую) астму и приобретенную (аллергическую) астму, мягкую астму, умеренную астму, тяжелую астму, бронхиальную астму, астму, вызванную физическими нагрузками, профессиональную астму и астму, вызванную бактериальной инфекцией. При лечении астмы также должно быть принято во внимание всеобъемлющее лечение пациентов, например в возрасте младше 4 или 5 лет, проявляющих симптомы свистящего дыхания и которым был поставлен диагноз или ставят диагноз “свистящих младенцев”, общепризнанной категории пациентов пристального внимания медиков и сейчас часто признаваемых астматиками на начальной стадии или ранней фазе. (Для удобства это конкретное астматическое состояние упоминается как “синдром свистящих младенцев”). Профилактическая эффективность лечения астмы доказывается снижением частоты или серьезности симптоматических приступов, например острого астматического или бронхоконстрикторного приступа, улучшением функции легких или улучшением гиперреактивности дыхательных путей. Она также может быть доказана снижением необходимости другой симптоматической терапии, то есть терапии, предназначенной для ограничения или устранения симптоматического приступа при его возникновении, например противовоспалительными средствами (например кортикостероид) или бронхорасширяющими средствами. Профилактическая активность в отношении астмы может, в частности, проявляться у пациентов, страдающих “утренним погружением”. “Утреннее погружение” является известным астматическим синдромом, обычным для значительного числа астматиков и характеризующимся астматическим приступом, например, между 4 и 6 часами утра, то есть в то время, которое обычно существенно отдалено от любой предшествующей используемой симптоматической астматической терапии. Другие воспалительные или обструктивные заболевания и состояния дыхательных путей, при которых может использоваться настоящее изобретение, включают острое повреждение легких (ALI), респираторный дистрессовый синдром у взрослых (ARDS), хроническое обструктивное пульмонарное, дыхательное или легочное заболевание (COPD, COAD или COLD), включая хронический бронхит или одышку, связанную с ними, эмфизему, а также обострение гиперреактивности дыхательных путей вследствие другой легочной терапии, в частности другой ингаляционной лекарственной терапии. Настоящее изобретение также применимо для лечения бронхита любого типа или происхождения, включая, например, острый, арахиновый, катаральный, фибринозный, хронический или атрофический бронхит. Другие воспалительные или обструктивные заболевания дыхательных путей, при которых применимо настоящее изобретение, включают пневмокониоз (воспалительное, обычно профессиональное заболевание легких, часто сопровождаемое обструкцией дыхательных путей, хроническое или острое, и являющееся следствием повторяющегося вдыхания пыли) любого типа или происхождения, включая, например, алюминоз, антракоз, асбестоз, халькоз, птилоз, сидероз, силикоз, табакоз и биссиноз. Что касается их противовоспалительной активности, в частности в отношении ингибирования активации эозинофилов, агенты настоящего изобретения также полезны для лечения заболеваний, связанных с эозинофилами, например эозинофилии, в частности заболеваний дыхательных путей, связанных с эозинофилами (например включающие патологическую эозинофильную инфильтрацию легочных тканей), включая гиперэозинофилию, поскольку она повреждает дыхательные пути и/или легкие, а также, например, заболеваний дыхательных путей, связанных с эозинофилами, побочный или сопутствующий синдрому Леффлера, эозинофильной пневмонии, паразитической (в частности метазоан) инвазии (включая тропическую эозинофилию), бронхолегочный аспергиллез, нодозный [узелковый] периартериит (включая гранулематозный аллергический ангиит), эозинофильной гранулемы и заболеваний, связанных с эозинофилами, поражающих дыхательные пути вследствие реакции на лекарственные средства. Агенты по изобретению также являются полезными для лечения воспалительных или аллергических состояний кожи, например псориаза, контактного дерматита, атонического дерматита, круговой алопеции, экссудативной многоформной эритемы, дерматитной герпетиформы, склеродермии, витилиго, гиперчувствительного ангиита, крапивницы, буллезного пемфигоида, красной волчанки, пузырчатки, истинной акантолитической пузырчатки и других воспалительных или аллергических состояний кожи. Агенты по изобретению также могут использоваться для лечения других заболеваний или состояний, в частности заболеваний или состояний, включающих воспалительный компонент, например, для лечения заболеваний и состояний глаз, таких как коньюктивит, кератоконьюктивит и весенний коньюктивит, заболеваний носа, включая аллергический ринит, и воспалительных заболеваний, в которых присутствуют аутоиммунные реакции или имеется аутоиммунный компонент или этиология, включая аутоиммунные гематологические заболевания (например гемолитическая анемия, апластическая анемия, истинная эритроцитарная анемия и идиопатическая тромбоцитопения), системную красную волчанку, полихондрит, склеродому, грануламатоз Вегенера, дерматомиозит, хронический активный гепатит, астенический бульбарный паралич, синдром Стивена-Джонсона, идиопатический литник, аутоиммунное воспалительное заболевание кишечника (например язвенный колит и болезнь Крона), эндокринную офтальмопатию, болезнь Грава, саркоидоз, альвеолит, хронический гиперчувствительный пневмонит, рассеянный склероз, первичный желчный цирроз, диабеты, ювенильные диабеты (сахарный диабеты типа I), ювеит (предшествующий и последующий), кератоконьюктивит и весенний кератоконьюктивит, промежуточный фиброз легких, псориатический артрит и гломерулонефрит (с и без нефротического синдрома, например включая идиопатический нефротический синдром или минальную изменяющуюся нефропатию). Другие заболевания или состояния, опосредованные аденозиновым рецептором A2b, которые могут излечиваться агентами настоящего изобретения, включают диарейные заболевания, травмы ишемии/реперфузии или ретинопатию, такую как диабетическая ретинопатия или гипербарическая кислород-индуцированная ретинопатия. Эффективность агента по изобретению в ингибировании воспалительных состояний, например при воспалительных заболеваниях дыхательных путей, может быть продемонстрирована на животных моделях, например на модели мыши или крысы, воспаления дыхательных путей или других воспалительных состояний, например как описано в статье Szarka и др., J. Immunol. Methods, 1997, 202, сс.49-57; Renzi и др., Am. Rev. Respir. Dis., 1993, 148, сс.932-939; Tsuyuki и др., J. Clin. Invest., 1995, 96, сс.2924-2931; Cernadas и др.. Am. J.Respir. Cell Mol. Biol., 1999, 20, сс.1-8 и Fozard и др., European Journal of Pharmacological, 2002, 438, сс.183-188. Агенты по изобретению также полезны в качестве сопутствующих терапевтических агентов для применения в комбинации с другими лекарственными веществами, такими как противовоспалительные, бронхорасширяющие, антигистаминные лекарственные вещества или лекарственные вещества против кашля, в частности для лечения обструктивных или воспалительных заболеваний дыхательных путей, таких как указанные выше заболевания, например в качестве усилителей терапевтической активности таких лекарственных средств или в качестве средств для снижения необходимой дозировки или потенциальных побочных эффектов таких лекарственных средств. Агент по изобретению может быть смешан с другим лекарственным веществом в фиксированной фармацевтической композиции или он может вводиться отдельно, перед, одновременно или после другого лекарственного вещества. Соответственно, настоящее изобретение включает комбинацию агента по изобретению, описанного выше, с противовоспалительным, бронхорасширяющим, антигистаминным лекарственным веществом или лекарственным веществом против кашля, где указанный агент по изобретению и указанное лекарственное вещество находятся в одной или различных фармацевтических композициях. Подходящие противовоспалительные лекарственные средства включают стероиды, в частности глюкокортикостероиды, такие как будесонид, бекламетазондипропионат, флутиказонпропионат, циклесонид или мометазонфуорат, или стероиды, описанные в WO 02/88167, WO 02/12266, WO 02/100879, WO 02/00679 (особенно соединения примеров 3, 11, 14, 17, 19, 26, 34, 37, 39, 51, 60, 67, 72, 73, 90, 99 и 101), WO 03/35668, WO 03/48181, WO 03/62259, WO 03/64445, WO 03/72592, WO 04/39827 и WO 04/66920; нестероидные агонисты глюкокортикоидного рецептора, такие как соединения, описанные в DE 10261874, WO 00/00531, WO 02/10143, WO 03/82280, WO 03/82787, WO 03/86294, WO 03/104195, WO 03/101932, WO 04/05229, WO 04/18429, WO 04/19935 и WO 04/26248; антагонисты LTD4, такие как монтелукаст и зафирлукаст; ингибиторы PDE4, такие как циломиласт (Ariflo® GlaxoSmithKline), рофлумиласт (Byk Gulden), V-11294A (Napp), BAY19-8004 (Bayer), SCH-351591 (Schering-Plough), арофиллин (Almirall Prodesfarma), PD189659 / PD168787 (Parke-Davis), AWD-12-281 (Asta Medica), CDC-801 (Celgene), SelCID (TM), CC-10004 (Celgene), VM554/UM565 (Vemalis), T-440 (Tanabe), KW-4490 (Kyowa Hakko Kogyo) и соединения, описанные в WO 92/19594, WO 93/19749, WO 93/19750, WO 93/19751, WO 98/18796, WO 99/16766, WO 01/13953, WO 03/104204, WO 03/104205, WO 03/39544, WO 04/000814, WO 04/000839, WO 04/005258, WO 04/018450, WO 04/018451, WO 04/018457, WO 04/018465, WO 04/018431, WO 04/018449, WO 04/018450, WO 04/018451, WO 04/018457. WO 04/018465, WO 04/019944, WO 04/019945, WO 04/045607 и WO 04/037805; и агонисты аденозинового рецептора A2A, такие как соединения, описанные в WO 98/28319, WO 99/67265 и WO 01/094368. Подходящие бронхорасширяющие лекарственные средства включают а) антихолинергические или антимускариновые агенты, в частности ипратропийбромид, окситропийбромид, соли тиопропия и CHF 4226 (Chiesi) и гликопирролат, а также соединения, описанные в ЕР 424021, US 3714357, US 5171744, WO 01/04118, WO 02/00652, WO 02/51841, WO 02/53564, WO 03/00840, WO 03/33495, WO 03/53966, WO 03/87094, WO 04/018422 и WO 04/05285; и б) агонисты бета-2 адренорецептора, такие как альбутерол (сальбутамол), метапротеренол, тербуталин, сальметерол, фенотерол, прокатерол и особенно формотерол, кармотерол и их фармацевтически приемлемые соли, и соединения (в свободной форме или в форме соли или сольвата) формулы I WO 0075114, который приведен здесь в качестве ссылки, предпочтительно соединения из примеров, особенно соединение формулы и его фармацевтически приемлемые соли, а также соединения (в свободной форме или в форме соли или сольвата) формулы I WO 04/16601, а также соединения ЕР 1440966, JP 05025045, WO 93/18007, WO 99/64035, US 2002/0055651, WO 01/42193, WO 01/83462, WO 02/66422, WO 02/ 70490, WO 02/76933, WO 03/24439, WO 03/42160, WO 03/42164, WO 03/72539, WO 03/91204, WO 03/99764, WO 04/16578, WO 04/22547, WO 04/32921, WO 04/33412, WO 04/37768, WO 04/37773, WO 04/37807, WO 04/39762, WO 04/39766, WO 04/45618 WO 04/46083 и WO 04/80964. Подходящие бронхорасширяющие лекарственные средства двойного действия включают двойные агонисты бета-2 адренорецептора / антагонисты мускаринового рецептора, такие как соединения, описанные в US 2004/0167167, WO 04/74246 и WO 04/74812. Подходящие антигистаминные лекарственные вещества включают цетиризина гидрохлорид, ацетаминофен, клемастина фумарат, прометазин, лоратидин, деслоратидин, дифенгидрамин и фексофенадина гидрохлорид, активастин, астемизол, азеластин, эбастин, эпинастин, мизоластин и тефенадин, а также соединения, описанные в JP 2004107299, WO 03/099807 и WO 04/026841. Другими полезными агентами для комбинаций по изобретению с противовоспалительными лекарственными средствами являются комбинации с антагонистами хемокиновых рецепторов, например CCR-1, CCR-2, CCR-3, CCR-4, CCR-5, CCR-6, CCR-7, CCR-8, CCR-9 и CCR10, CXCR1, CXCR2, CXCR3, CXCR4, CXCR5, в частности антагонисты CCR-5, такие как антагонисты Шеринга-Плуга SC-351125, SCH-55700 и SCH-D, антагонисты Такеда, такие как N-[[4-[[[6,7-дигидро-2-(4-метилфенил)-5Н-бензоциклогептен-8-ил]карбонил]амино]фенил]метил]тетрагидро-N,N-диметил-2Н-пиран-4-аминийхлорид (ТАК-770), и антагонисты CCR-5, описанные в US 6166037 (в частности пункты формулы изобретения 18 и 19), WO 00/66558 (в частности пункт 8), WO 00/66559 (в частности пункт 9), WO 04/018425 и WO 04/026873. В соответствии с вышеизложенным настоящее изобретение также относится к способу лечения состояния, опосредованного активацией аденозинового рецептора A2b, например воспалительного или аллергического состояния, в частности воспалительного или обструктивного заболевания дыхательных путей, который включает введение субъекту, в частности человеку, нуждающемуся в этом, эффективного количества соединения формулы I в свободной форме или в форме фармацевтически приемлемой соли. В другом варианте осуществления изобретение относится к соединению формулы I, в свободной форме или в форме фармацевтически приемлемой соли, для применения для изготовления лекарственного средства для лечения состояния, опосредованного активацией аденозинового рецептора A2b, в частности воспалительного или обструктивного заболевания дыхательных путей. Агенты по изобретению могут вводиться любым подходящим способом, например перорально, например в форме таблетки или капсулы, например при лечении воспалительного или обструктивного заболевания дыхательных путей; парентерально, например внутривенно; ингаляцией, например при лечении воспалительного или обструктивного заболевания дыхательных путей; интраназально, например при лечении аллергического ринита; местно на кожу, например при лечении атопического дерматита; или ректально, например при лечении воспалительного заболевания кишечника. В другом варианте осуществления, изобретение также относится к фармацевтической композиции, включающей соединение формулы I в свободной форме или в форме фармацевтически приемлемой соли, необязательно вместе с фармацевтически приемлемым разбавителем или носителем. Композиция может содержать дополнительный терапевтический агент, такой как описанное выше противовоспалительное, бронхорасширяющее, антигистаминное лекарственное вещество или лекарственное вещество против кашля. Такие композиции могут быть получены с помощью обычных разбавителей или эксципиентов и способами, известными в области галеновых форм. Так, пероральные дозированные формы могут включать таблетки и капсулы. Составы для местного применения могут иметь форму кремов, мазей, гелей или систем трансдермального введения, например пластырей. Композиции для ингаляций могут включать аэрозоль или другие распыляющие составы или составы сухого порошка. Дозировки агентов по изобретению, применяемые при осуществлении настоящего изобретения, конечно сильно зависят, например, от конкретного излечиваемого состояния, желаемого эффекта и способа введения. Обычно подходящие дневные дозировки для перорального введения составляют от 0,1 до 10 мг/кг. Настоящее изобретение далее иллюстрируется примерами. Примеры 1-12 Соединения формулы I, имеющие формулу
показаны в следующей таблице, способ их получения описан далее. В таблице также показаны данные масс-спектрометрии. Соединения в примерах находятся в свободной форме.
Примеры 13-16 Соединения формулы I, имеющие формулу
показаны в следующей таблице, способ их получения описан далее. В таблице также показаны данные масс-спектрометрии. Соединения в примерах находятся в свободной форме, за исключением соединения примера 1 6, которое присутствует в форме соли с трифторуксусной кислотой.
Получение 3-циано-N-метокси-N-метилбензамида 3-Цианобензойную кислоту (7,00 г, 47,6 ммоль) растворяли в ТГФ (50 мл) в атмосфере азота и добавляли N,N’-карбонилбисимидазол (7,95 г, 49,0 ммоль). Смесь перемешивали при кипении с обратным холодильником в течение 25 мин, затем охлаждали и добавляли диметилгидроксиламина гидрохлорид (4,78 г, 49,0 ммоль). Смесь нагревали при кипении с обратным холодильником в течение 5 часов и затем выдерживали при комнатной температуре в течение 18 ч. Реакционную смесь добавляли в воду (200 мл). Водную смесь экстрагировали дважды диэтиловым эфиром, и объединенные эфирные фазы промывали насыщенным водным карбонатом натрия. Органический слой высушивали (MgSO4) и концентрировали с получением бесцветного подвижного масла. MS: (APCI) МН+ при 191 Получение соединений формулы IX 3-(Пиридазин-4-илацетил)бензонитрил Раствор диизопропиламина (4,08 мл, 29,0 ммоль) в сухом ТГФ (35 мл) охлаждали до -70°С и по каплям добавляли 1,6 М BuLi в гексане (18,1 мл, 29,0 ммоль). Охлаждающую баню затем удаляли и смесь нагревали до 0°С. Раствор повторно охлаждали до -70°С и по каплям добавляли 4-метилпиридазин (2,5 г, 26,6 ммоль), и раствор перемешивали при -70°С в течение 1,75 ч. К полученному коричневому раствору по каплям добавляли 3-циано-N-метокси-N-метилбензамид (5,06 г, 26,6 ммоль) в сухом тетрагидрофуране (10 мл). Раствор перемешивали при -70°С в течение 1 ч, затем нагревали до -30°С. Через 1 ч смесь нагревали до комнатной температуры. К реакции добавляли насыщенный водный хлорид аммония (20 мл) и растворитель удаляли упариванием с получением желтого твердого вещества, которое промывали водным раствором бикарбоната натрия, водой и затем этилацетатом. Продукт получали в виде желтого твердого вещества, tпл 142-144°С. MS (MH+) 224. 3-(Пиримидин-4-илацетил)бензонитрил Раствор диизопропиламина (4,1 мл, 29,3 ммоль) в сухом ТГФ (40 мл) охлаждали до -60°С и по каплям добавляли 1,6 М BuLi в гексане (16,6 мл, 26,6 ммоль). Смесь затем нагревали до 20°С. Раствор повторно охлаждали до -60°С, по каплям добавляли 4-метилпиримидин (2,5 г, 26,6 ммоль) и раствор перемешивали при -60°С в течение 1 ч. К полученному раствору по каплям добавляли 3-циано-N-метокси-N-метилбензамид (5,05 г, 26,6 ммоль) в сухом тетрагидрофуране (10 мл). Полученный раствор перемешивали при -60°С в течение 1 ч, затем нагревали до комнатной температуры. Через 18 ч к реакционной смеси добавляли воду и растворитель удаляли упариванием с получением твердого вещества. К массе добавляли воду и полученное твердое вещество отфильтровывали и промывали водой. Продукт получали в виде твердого вещества, MS (APCI, MH+) 224. Следующие соединения получали аналогичным способом: 3-[(6-метилпиримидин-4-ил)ацетил]бензонитрил, MS (MH+) 238,1 3-[(6-диметиламинопиридазин-4-ил)ацетил]бензонитрил, MS (MH+) 267,3 Получение соединений формулы VIII 3-(2-Амино-5-пиримидин-4-илтиазол-4-ил)бензонитрил 3-(Пиримидин-4-илацетил)бензонитрил (1,00 г, 4,48 ммоль) растворяли в сухом диоксане (20 мл) и по каплям добавляли бром (0,23 мл, 4,48 ммоль). Смесь перемешивали в течение 30 минут и затем растворитель упаривали в вакууме при 30°С с получением смолистого вещества. Этот остаток растворяли в абсолютном этаноле (11,5 мл). К 7 мл этого раствора добавляли тиомочевину (0,188 г, 2,17 ммоль) и смесь мягко нагревали при кипении с обратным холодильником в течение 6 часов. После охлаждения реакционной смеси твердое вещество отфильтровывали и промывали этанолом. Твердое вещество затем суспендировали в воде и по каплям добавляли водный аммиак. Полученное твердое вещество отфильтровывали, промывали водой и высушивали. MS (MH+) 280,1 Следующие соединения получали аналогичным способом: 3-[2-амино-5-(6-метилпиримидин-4-ил)тиазол-4-ил]бензонитрил, MS (MH+) 294,4 3-(2-амино-5-пиридазин-4-илтиазол-4-ил)бензонитрил, MS (MH+) 280,3 Получение конкретных примеров N-[4-(3-Цианофенил)-5-пиримидин-4-илтиазол-2-ил]-3-метоксибензамид (пример 11) 3-(2-Амино-5-пиримидин-4-илтиазол-4-ил)бензонитрил (90 мг, 0,32 ммоль) суспендировали в пиридине (0,75 мл) и добавляли 3-метоксибензоилхлорид (165 мг, 0,96 ммоль). Образовывался осадок. Реакционную смесь перемешивали при комнатной температуре в течение 18 часов. К реакционной смеси добавляли избыток воды и полученное твердое вещество собирали, промывали водой и высушивали. Высушенное твердое вещество растирали с горячим этанолом с получением продукта в виде бледного порошка, tпл 255-256°C, MS (APCI МН+) 414. Соединения примеров 10 и 13 получали аналогично. 3-[2-(Пиразин-2-иламино)-5-пиримидин-4-илтиазол-4-ил]бензонитрил (пример 12) 3-(Пиримидин-4-илацетил)бензонитрил (1,00 г, 4,48 ммоль) растворяли в сухом диоксане (11 мл) и по каплям добавляли бром (0,23 мл, 4,48 ммоль). Смесь перемешивали в течение 30 минут и затем растворитель упаривали в вакууме при 30°С с получением твердого вещества. Этот остаток растворяли в абсолютном этаноле (10,5 мл). К 1,5 мл этого раствора затем добавляли пиразин-2-илтиомочевину (108 мг, 0,70 ммоль) и смесь нагревали при 70°С в течение 16 часов. Сырую реакционную смесь разбавляли водой и полученное твердое вещество собирали и промывали этанолом. Это твердое вещество суспендировали в воде и добавляли водный раствор аммиака до рН 9. Через 10 мин полученное твердое вещество собирали фильтрацией и промывали смесями этанол/этилацетат. Твердое вещество высушивали в вакууме при 70°С с получением порошка. tпл>280°С MS (APCI) МН+ и МН– 358 и 356 соответственно. Соединения примеров 1-9 получали аналогично. 4-[4-(3-Цианофенил)-5-пиридазин-4-илтиазол-2-иламино]бензойная кислота (пример 15) 3-(Пиридазин-4-илацетил)бензонитрил (1,55 г, 6,94 ммоль) растворяли в сухом диоксане (20 мл) при 10-15°С и по каплям добавляли бром (0,35 мл, 6,9 ммоль). Смесь перемешивали в течение 45 минут и полученное твердое вещество растворяли в метаноле и полученный раствор упаривали до получения смолистого вещества в вакууме при комнатной температуре. Этот остаток растворяли в сухом диметилформамиде (12 мл). К 4 мл этого раствора затем добавляли 4-карбоксифенилтиомочевину (0,496 г, 2,5 ммоль) и смесь нагревали при 70°С в течение 20 часов. Реакционную смесь охлаждали и растворитель удаляли в вакууме. Остаток растирали с этилацетатом и затем добавляли раствор аммиака. Полученное твердое вещество отфильтровывали, промывали водой и высушивали с получением твердого вещества, tпл>275°С. MS (MH+) 400,4. Соединения примеров 14 и 16 получали аналогично.
Формула изобретения
1. Соединение формулы 2. Соединение по п.1, в котором Y представляет собой группу формулы 3. Соединение по п.1, в котором 4. Фармацевтическая композиция, обладающая активностью антагониста рецептора A2b, включающая соединение по любому одному из пп.1-3 в качестве активного агента, необязательно вместе с фармацевтически приемлемым разбавителем или носителем. 5. Применение соединения по любому одному из пп.1-3 для изготовления лекарственного средства, обладающего активностью антагониста рецептора A2b. 6. Применение соединения по любому одному из пп.1-3 для изготовления лекарственного средства для лечения воспалительного или обструктивного заболевания дыхательных путей.
|
|||||||||||||||||||||||||||||||||||||||||||||||||||||||||||||||||||||||||||||||||||||||||||||||||||||||||||||||||||||||||||||||||||||||||

11



























