Патент на изобретение №2373711
|
||||||||||||||||||||||||||||||||||||||||||||||||||||||||||||||||||||||||||||||||||||||||||||||||||||||||||||||||||||||||||||||||||||||||||||||||||||||||||||||||||||||||||||||||||||||||||||||||||||||||||||||||||||||||||||||||||||||||||||||||||||||||||||||||||||||||||||||||||||||||||||||||||||||||||||||||||||||||||||||||||||||||||||||||||||||||||||||||||||||||||||||||||||||||||||||||||||||||||||||||||||||||||||||||||||||||||||||||||||||||||||||||||||||||||||||||||||||||||||||||||||||||||||||||||||||||||||||||||||||||||||||||||||||||||||||||||||||||||||||||||||||||||||||||||||||||||||||||||||||||||||||||||||||||||||||||||||||||||||||||||||||||||||||||||||||||||||||||||||||||||||||||||||||||||||||||||||||||||||||||||||||||||||||||||||||||||||||||||||||||||||||||||||||||||||||||||||||||||||||||||||||||||||||||||||||||||
(54) ФУНГИЦИДНАЯ КОМПОЗИЦИЯ И СПОСОБ БОРЬБЫ С ФИТОПАТОГЕННЫМИ ГРИБАМИ
(57) Реферат:
Описывается фунгицидная композиция, содержащая в качестве действующего вещества комбинацию тебуконазола и хлороталонила в синергетически эффективных количествах, а также необходимые для получения препаративной формы наполнители, поверхностно-активные и другие вспомогательные вещества. Препарат обладает высокой эффективностью против комплекса фитопатогенных грибов, в том числе и резистентных по отношению к отдельным компонентам действующего вещества. Применение препарата способствует повышению урожайности зерновых культур. 2 н. и 2 з.п. ф-лы, 10 табл.
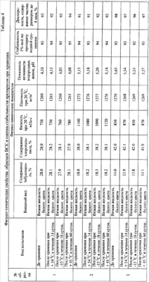
Изобретение относится к фунгицидной композиции, содержащей в качестве активного действующего вещества смесь тебуконазола и хлороталонила, поверхностно-активные вещества и добавки. Тебуконазол (I) – общепринятое наименование для химического соединения (RS)-1-n-хлорфенил-4,4-диметил-3-(1Н-1,2,4-триазол-1-илметил) пентан-3-ола, являющегося системным действующим веществом ряда фунгицидных препаратов, в том числе препарата фирмы Байер «Фоликур» (см. патент ФРГ Хлороталонил (II) – общепринятое название для 2,4,5,6-тетрахлоризофталонитрила, являющегося действующим веществом фунгицидных препаратов контактного действия, в том числе препарата фирмы Сингента «Браво» (см. патент США
Совместное действие тебуконазола и других ингибиторов биосинтеза эргостерола с хлороталонилом в системе защиты от болезней таких растений, как арахис или пшеница, известно из ряда публикаций в специализированных журналах, например. Plant Disease v.75, Патент США В международной заявке WO 2007/009775 A2 описаны комбинации тебуконазола с рядом фунгицидов как системного, так и контактного действия. Среди прочих упомянута комбинация тебуконазола и хлороталонила, которая может содержать один или несколько обычных адъювантов, используемых для образования препаративной формы. В описании приведены обобщенные стандартные составы для жидких и твердых препаративных форм, не относящиеся к конкретным комбинациям активных действующих веществ. Какие-либо характеристики препаратов, содержащих в качестве действующего вещества смесь тебуконазола и хлороталонила, сведения об их биологической активности, наличие синергизма, влияние на урожай и т.д. отсутствуют (прототип). Объектом настоящего изобретения является фунгицидная композиция, способная подавлять или уничтожать фитопатогенные грибы на растениях, семенах, в почве или других материалах и содержащая в качестве действующего вещества комбинацию тебуконазола и хлороталонила в синергетически эффективном количестве компонентов. Как показали опыты, синергетический эффект проявляется при соотношении тебуконазола (I) и хлороталонила (II) I:II, равном от 1:7 до 2:1. За счет совмещения действующих веществ системного и контактного действия в синергетически эффективных количествах получен препарат, обладающий не только превентивным (профилактическим), но и выраженным куративным (лечебным) действием против комплекса патогенов зерновых культур, а также большой эффективностью, так как необходимый уровень подавления патогенов достигается при применении более низких норм расхода входящих в состав препарата активных ингредиентов. Следствием является снижение экологической нагрузки на окружающую среду, а также снижение риска возникновения резистентности у патогенных микроорганизмов. Повышению эффективности препарата способствует также такая рецептура препаративной формы, которая обеспечивает хорошую удерживаемость препарата в очаге поражение, а для системного ингредиента – высокую проницаемость внутрь растения. Фунгицидная композиция в соответствии с настоящим изобретением может быть приготовлена в виде таких препаративных форм, как водно-суспензионный концентрат (ВСК), смачивающийся порошок (СП) и водно-диспергируемые гранулы (ВДГ). Водно-суспензионные концентраты получают путем размалывания водной суспензии смеси действующих веществ с водой и вспомогательными веществами (смачиватели, дис-пергаторы, антивспениватели и др.) на бисерных мельницах до достижения размера твердых частиц менее 4 мкм. После размалывания к суспензии добавляют загуститель и стабилизаторы вязкости. Смачивающиеся порошки представляют собой равномерно диспергирующиеся в воде препараты, которые наряду с действующими веществами содержат наполнитель, как правило инертное вещество, одно или несколько поверхностно-активных веществ, таких, например, как соли алкиларилсульфонатов, диарилсульфосукцината, лигносульфонатов, поликарбоксилата, полиалкиларилсульфоната. Воднодиспергируемые гранулы можно получать из шихты, состоящей из смеси действующих веществ с инертными наполнителями, поверхностно – активными и другими вспомогательными веществами с использованием разнообразных известных способов грануляции. Препараты в соответствии с настоящим изобретением сохраняют первоначальные физико-химические свойства и биологическую активность под воздействием высоких или низких температур при хранении в течение длительного времени. В составе композиции могут быть использованы также соли или металлические комплексы тебуконазола, однако применение тебуконазола как такового является предпочтительным. Другим объектом изобретения является способ борьбы с фитопатогенными грибами на растениях, заключающийся в том, что растения, среду их обитания или очаги поражения обрабатывают эффективным количеством фунгицидной композиции, содержащей в качестве действующего вещества синергетически активную комбинацию тебуконазола и хлороталонила. Далее следуют примеры получения различных препаративных форм, их характеристики и биологические примеры по оценке фунгицидной и технической эффективности композиции на основе тебуконазола и хлороталонила. Приведенные примеры иллюстрируют, но не ограничивают настоящее изобретение. ПРИМЕР 1 Получение образца В реактор загружают 32.36 г воды, 5 г глицерина, 1 г минерального масла, 1 г полидиметилсилоксана и 0.5 г алкиларилсульфоната натрия, при перемешивании добавляют 4 г разогретого до температуры 45-60°С этопропоксилированного полиарифенола. Перемешивают 10-15 минут, после чего добавляют 14 г тебуконазола и 42 г хлороталонила. Тщательно перемешивают до образования однородной суспензии и размалывают на бисерной мельнице. В полученный продукт добавляют 0.10 г гетеполисахарида и 0.04 г биоцида, после чего определяют физико-химические показатели препарата. Подобным образом получают образцы ПРИМЕР 2 Получение образца В смеситель при перемешивании загружают 15 г тебуконазола, 75 г хлороталонила, 3 г алкиларилсульфоната натрия, 2 г полиалкиларилсульфоната натрия, 0.5 г полидиметилсилоксана, 3 г SiO2 и 1.5 г бентонита. Полученную смесь тщательно перемешивают, после чего размалывают на мельнице, после чего определяют физико-химические показатели образца. Подобным образом получают образцы ПРИМЕР 3 Получение образца В смеситель загружают 10 г тебуконазола, 60 г хлороталонила, 3 г алкиларилсульфоната натрия, 2 г полиалкиларилсульфоната натрия, 1 г поликарбоксилата натрия, 0.5 г полидиметлсилоксана и 5 г лактозы. Смесь тщательно перемешивают и получают гранулы любыми известными способами грануляции, после чего определяют физико-химические показатели образца. Подобным образом получают образцы
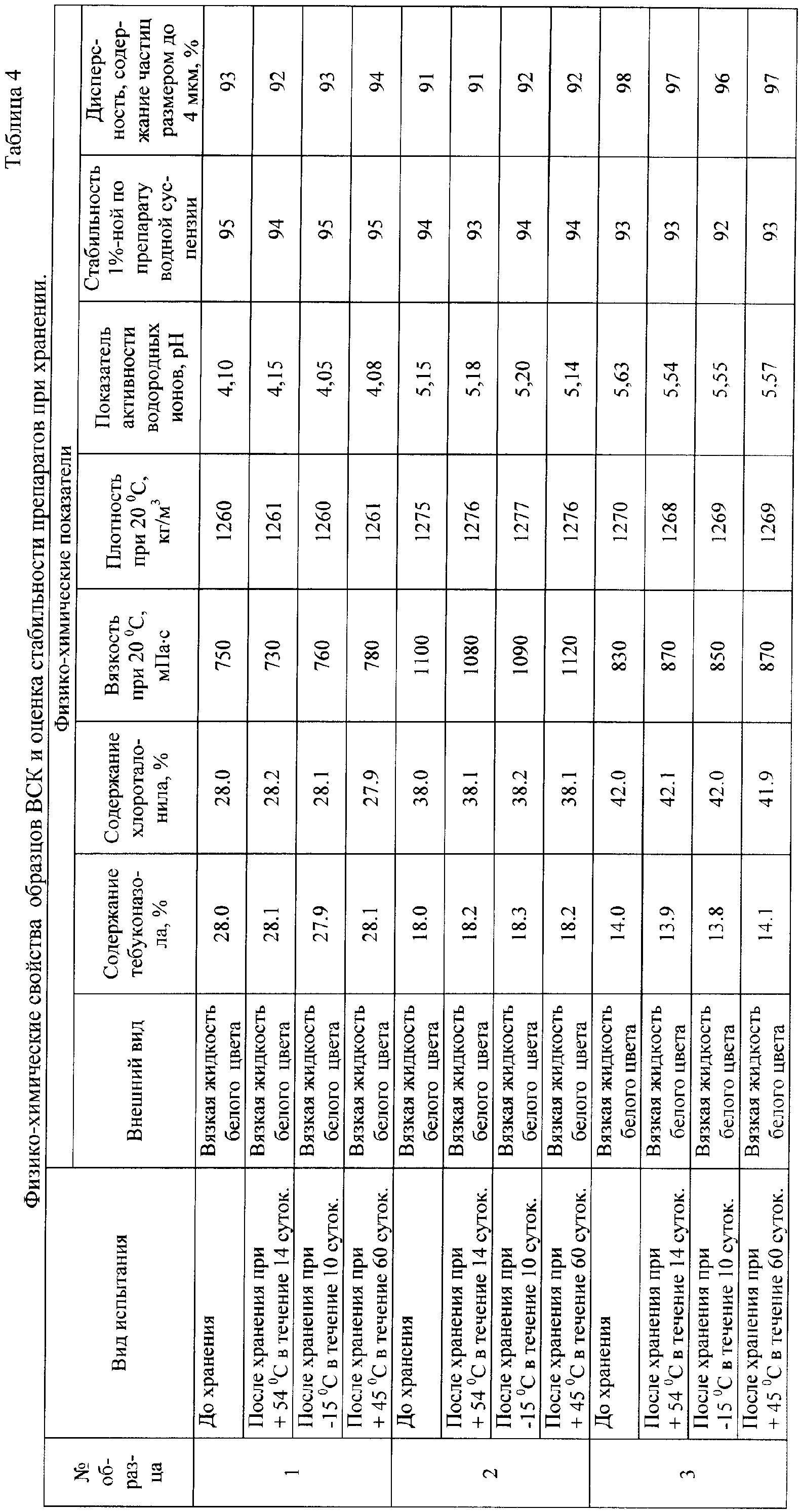
ПРИМЕР 4 Оценка стабильности различных видов препаративных форм при хранении. Для оценки возможности хранения препаратов в течение двух лет при температуре от минус 10 до плюс 35°С были проведены следующие тесты: 1. Тест на ускоренное хранение: препараты выдерживали в термостате при плюс 54°С в течение двух недель (методика CIPAC МТ 46); 2. Тест на морозостойкость: препараты выдерживали в термостате при температуре минус 15°С в течение 10 суток (ГОСТ 9.707-81 и Surfactants and Specialites for Plant Protection, Rhodia); 3. Тест на тепловое старение: препараты выдерживали в термостате при температуре плюс 45°С 60 суток (ГОСТ 9.707-81 и Surfactants and Specialites for Plant Protection, Rhodia) Повторность тестов – трехкратная. Вязкость препаратов как до, так и после хранения определяли на вискозиметре Брукфильда, стабильность определяли по ГОСТ 16484-79 и методике CIPAC МТ 161, дисперсность определяли на лазерном анализаторе частиц Fritsch Analysette 22. Результаты представлены в таблицах 4, 5, 6. Как видно из таблиц, все составы препаративных форм являются стабильными и могут храниться в течение двух лет при температуре от минус 10 до плюс 35°С. Оценка биологической активности композиций Лабораторные опыты В лабораторных опытах использовались чистые культуры патогенов (Alternaria tenius, Bipolaris sorokiniana), вызывающих «черный зародыш» зерновки; токсикогенных патогенов (продуценты микотоксинов), поражающих колос и зерновку (Fusarium moniliforme, Fusarium graminearum). Для определения спектра действия и эффективности действия ЭД90 тебуконазола, хлороталонила и смесей тебуконазола и хлороталонила на поверхности застывшей питательной среды с введенным в нее препаратом, производили точечный посев фитопатогенных грибов. После выдерживания в термостате в течение трех суток учитывали линейный рост (диаметр) колоний грибов или бактерий. По этому показателю сравнивали рост колоний в контроле (без введения препарата) и на среде с введенным в нее препаратом. Торможение роста колоний рассчитывали по формуле Эббота (James B.Sinclair, Onkar Dev Dhingra, Basic Plant Pathology Methods, 2nd Edition, CRC-Press, 1995, 448 pages):
где Т, % – торможение (подавление) роста по сравнению с контролем; Дк – диаметр колоний в контроле; Д0 – диаметр колоний в опыте. По полученным данным ЭД90 определяли графически по графику зависимости «доза – эффект» (James B.Sinclair, Onkar Dev Dhingra, Basic Plant Pathology Methods, 2nd Edition, CRC-Press, 1995, 448 pages). Результаты представлены в таблице 7.
Оценку токсического действия смесей тебуконазола и хлороталонила проводили по формуле П.В.Попова (см. Химия в сельском хозяйстве 1976 г.,
где Т – аддитивная токсичность, выраженная в тех же единицах, что и показатели токсичности компонентов смеси; А и В – доли пестицидов в смеси; а, в – показатели токсичности компонентов смеси. Характер действия пестицидов в смеси выражают с помощью коэффициента совместного действия (КСД), являющегося частным от деления расчетного значения ЭД90, или величины Т, на соответствующее значение, полученное экспериментально. При КСД, равном единице, компоненты в смеси не проявляют ни синергизма, ни антагонизма. Значения КСД больше единицы показывают наличие синергизма в смеси. Чем больше величина КСД, тем токсичнее смесь по сравнению со смесью, проявляющей аддитивное действие. Результаты оценки токсического действия смесей тебуконазола (I) и хлороталонила (II) представлены в таблице 8, из которой видно, что при соотношении (I):(II) от 1:7 до 2:1 имеет место выраженное синергетическое действие, различное для разных патогенов.
Полевые испытания Испытания проводили на озимой пшенице сорта Партизанка для борьбы с комплексом заболеваний: мучнистая роса (Blumeria graminis (DC) Speer.), бурая листовая ржавчина (Puccinia recondite Rob. Et Desm.) и септориозные пятнистости листьев и колоса (Septoria tritici Rob. Et Desm., Septoria nodorum Berc.). В период вегетации проведено одно опрыскивание в фазу колошения испытуемыми препаратами: Фоликуром, КЭ; Браво, СК. Опрыскивание проводили ранцевым опрыскивателем. Норма расхода рабочей жидкости – 300 л/га. Повторность опыта четырехкратная, площадь каждой делянки 10 м. Развитие болезни оценивали по формуле:
где R – развитие болезни, %; а – количество растений с одинаковым баллом поражения (b); N – общее число растений в варианте; К – высший балл шкалы учета. Степень поражения растений оценивали по площади поверхности, охваченной заболеванием. Для определения степени развития септориоза использовали шкалу Джеймса (Jаmеs W.C. 1971. An illustrated series of assessment keys for plant diseases, their preparation and usage. Can. Plant Dis. Surv. 5: 39-49). Оценку интенсивности поражения мучнистой росой проводили с использованием шкалы Гешеле (Гешеле Э.Э. Основы фитопатологической оценки в селекции растений. – М.: Колос, 1978). Степень поражения бурой листовой ржавчиной определяли с помощью шкалы Петерсона (R.F.Peterson, A.B.Campbell and A.E.Hannah. 1948. A diagrammic scale for estimating rust intensity on leaves and stems of cereals. Can. J. Res., Sect. С 26: 496-500) Результаты испытаний представлены в таблице 9. После созревания проводили сплошную ручную уборку каждой делянки и оценивали урожайность.
Формула изобретения
1. Фунгицидная композиция, содержащая в качестве активного действующего вещества смесь (RS)-1-n-хлорфенил-4,4-диметил-3-(1Н-1,2,4-триазол-1-илметил)пентан-3-ола (тебуконазола) (I) и 2,4,5,6-тетрахлоризофталонитрила (хлороталонила) (II), а также фунгицидно-приемлемый жидкий или твердый носитель, поверхностно-активные и другие вспомогательные вещества, отличающаяся тем, что тебуконазол (I) и хлороталонил (II) содержатся в синергетически эффективных количествах при соотношении I:II, равном от 1:7 до 2:1. 2. Фунгицидная композиция по п.1 в форме водно-суспензионного концентрата (ВСК), отличающаяся тем, что в качестве жидкого носителя она содержит воду и одно или несколько соединений, выбранных из группы, включающей пропиленгликоль, глицерин, полиэтиленгликоль-200, минеральное или растительное масло, в качестве поверхностно-активных веществ (ПАВ) – одно или несколько соединений, выбранных из группы, включающей этоксилированный алкил(арил)фенол, этоксилированный алкил(арил)фенол сульфат (фосфат), алкиларилсульфонат натрия, этопропоксилированный спирт, этоксилированнй спирт, алкилбензолсульфонат кальция, этопропоксилированный полиарилфенол, а также полидиметилсилоксан в качестве антивспенивателя, двуокись кремния и/или гетерополисахарид и/или натрийкарбоксиметилцеллюлозу в качестве загустителя и биоцид при следующем соотношении компонентов, мас.%:
3. Фунгицидная композиция по п.1 в форме смачивающегося порошка (СП) или водно-диспергируемых гранул (ВДГ), отличающаяся тем, что в качестве твердого носителя (наполнителя) она содержит одно или несколько веществ, выбранных из группы, включающей двуокись кремния, каолин, бентонит и лактозу, в качестве поверхностно-активных веществ (ПАВ) – как минимум два вещества, выбранных из группы, включающей алкиларилсульфонат натрия, диарилсульфосукцинат натрия, лигносульфонат, поликарбоксилат натрия, полиалкиларилсульфонат натрия, этоксилированный алкилфенол, и полидиметилсилоксан в качестве антивспенивателя при следующем соотношении компонентов, мас.%:
4. Способ борьбы с фитопатогенными грибами на растениях, заключающийся в том, что растения, среду их обитания или очаги поражения обрабатывают эффективным количеством синергетической фунгицидной композиции по п.1.
|
||||||||||||||||||||||||||||||||||||||||||||||||||||||||||||||||||||||||||||||||||||||||||||||||||||||||||||||||||||||||||||||||||||||||||||||||||||||||||||||||||||||||||||||||||||||||||||||||||||||||||||||||||||||||||||||||||||||||||||||||||||||||||||||||||||||||||||||||||||||||||||||||||||||||||||||||||||||||||||||||||||||||||||||||||||||||||||||||||||||||||||||||||||||||||||||||||||||||||||||||||||||||||||||||||||||||||||||||||||||||||||||||||||||||||||||||||||||||||||||||||||||||||||||||||||||||||||||||||||||||||||||||||||||||||||||||||||||||||||||||||||||||||||||||||||||||||||||||||||||||||||||||||||||||||||||||||||||||||||||||||||||||||||||||||||||||||||||||||||||||||||||||||||||||||||||||||||||||||||||||||||||||||||||||||||||||||||||||||||||||||||||||||||||||||||||||||||||||||||||||||||||||||||||||||||||||||

3018866, патент США 










