|
|
(21), (22) Заявка: 2006120441/04, 30.10.2004
(24) Дата начала отсчета срока действия патента:
30.10.2004
(30) Конвенционный приоритет:
14.11.2003 DE 10353278,1 07.02.2004 DE 102004006075,4
(43) Дата публикации заявки: 10.01.2008
(46) Опубликовано: 27.11.2009
(56) Список документов, цитированных в отчете о поиске:
WO 03/024222 A1, 27.03.2003. WO 03/015519 A1, 27.02.2003. WO 03/015518 A1, 27.02.2003.
(85) Дата перевода заявки PCT на национальную фазу:
14.06.2006
(86) Заявка PCT:
EP 2004/012328 20041030
(87) Публикация PCT:
WO 2005/048711 20050602
Адрес для переписки:
105064, Москва, а/я 88, пат.пов. В.П.Квашнину, рег. 4
|
(72) Автор(ы):
ФУНКЕ Кристиан (DE), ФИШЕР Райнер (DE), ФИШЕР Рюдигер (DE), ХУНГЕНБЕРГ Хайке (DE), АНДЕРШ Вольфрам (DE), ТИЛЕРТ Вольфганг (DE), КРАУС Антон (DE)
(73) Патентообладатель(и):
БАЙЕР КРОПСАЙЕНС АГ (DE)
|
(54) КОМБИНАЦИЯ ДЕЙСТВУЮЩИХ ВЕЩЕСТВ С ИНСЕКТИЦИДНЫМИ СВОЙСТВАМИ
(57) Реферат:
Описывается инсектицидное средство, содержащее синергетически активную комбинацию действующих веществ, которая состоит из соединений формулы (I), являющихся агонистами и антагонистами никотинэргического ацетилхолинового рецептора, и действующего вещества из группы амидов антраниловой кислоты формулы (II-1). Инсектицидное средство проявляет высокую инсектицидную активность, которая превышает результат простого суммирования эффективности индивидуальных действующих веществ. 3 з.п. ф-лы, 5 табл.
, .
Настоящее изобретение относится к новым комбинациям действующих веществ, которые состоят, с одной стороны, из известных соединений, воздействующих как инсектициды на никотинэргический ацетилхолиновый рецептор в качестве агонистов и антагонистов, а, с другой стороны, из других известных инсектицидных действующих веществ, и которые очень хорошо пригодны для развернутой борьбы с вредителями, такими как насекомые.
Известно, что некоторые агонисты и антагонисты никотинэргического ацетилхолинового рецептора обладают инсектицидными свойствами. Подобные вещества характеризуются высокой эффективностью, однако при использовании в низких дозировках или по спектру своего действия они во многих случаях недостаточно эффективны.
Под агонистами или антагонистами никотинэргических ацетилхолиновых рецепторов подразумеваются соединения, известные из следующих публикаций: европейских заявок на патент ЕР 0464830, 0428941, 0425978, 0386565, 0383091, 0375907, 0364844, 0315826, 0259738, 0254859, 0235725, 0212600, 0192060, 0163855, 0154178, 0136636, 0136686, 0303570, 0302833, 0306696, 0189972, 0455000, 0135956, 0471372, 0302389, 0428941, 0376279, 0493369, 0580553, 0649845, 0685477, 0483055, 0580553; немецких выложенных заявок на патент DE 3639877, 3712307; японских заявок на патент JP 3-220176, 2-207083, 63-307857, 63-287764, 3-246283, 4-9371, 3-279359, 3-255072, 5-178833, 7-173157, 8-291171; патентов США US 5034524; 4948798; 4918086; 5039686; 5034404; 5532365; международных заявок WO 91/17659, WO 91/4965; заявки Франции FR 2611114; заявки Бразилии 8803621.
Приведенные в указанных публикациях общие формулы и типы заместителей, а также описанные в них отдельные соединения используются в настоящем описании в качестве ссылок.
Часть подобных соединений имеет общее определение «нитрометилены, нитроимины и родственные им соединения».
Кроме того, известно, что многочисленные гетероциклы, оловоорганические соединения, бензоилкарбамиды и пиретроиды обладают акарицидными свойствами (смотри международные заявки WO 93/22297, WO 93/10083, немецкую заявку на патент DE-A 2641343, европейские заявки на патент ЕР-А 347488, ЕР-А 210487, патент США US 3364177 и европейскую заявку на патент ЕР-А 234045). Однако эти вещества также не всегда обладают удовлетворительной эффективностью.
Было обнаружено, что смеси, состоящие из соединений, которые являются агонистами и антагонистами никотинэргического ацетилхолинового рецептора и имеют формулу (I)
,
в которой
R означает водород, при необходимости замещенный ацил, алкил, арил, аралкил, гетероциклил, гетероарил или гетероарилалкил,
А означает монофункциональную группу, выбранную из ряда, включающего водород, ацил, алкил, арил, или означает соединенную с остатком Z бифункциональную группу,
Е означает оттягивающий электроны остаток,
Х означает остаток -СН= или =N-, причем остаток -СН= вместо атома водорода может быть соединен с остатком Z’,
Z означает монофункциональную группу, выбранную из ряда, включающего алкил, -OR, -SR, N(R)2, причем остатки R такие, как указано выше, и являются одинаковыми или разными, или означает соединенную с остатком А или Х бифункциональную группу,
и по меньшей мере одного действующего вещества из группы амидов антраниловой кислоты формулы (II), обладают синергетической активностью и пригодны для борьбы с вредными животными.
Соединения формулы (I) в зависимости от типа заместителей могут также существовать в виде геометрических и/или оптических изомеров или обладающих разным составом смесей изомеров, которые при необходимости могут быть разделены обычными методами. Объектами настоящего изобретения являются как чистые изомеры, так и смеси изомеров, их получение и применение, а также содержащие их средства. Однако в нижеследующем описании как чистые соединения, так и в некоторых случаях смеси с разным содержанием изомерных соединений для простоты всегда называют соединениями формулы (I).
Предпочтительными являются комбинации действующих веществ, которые содержат соединения формулы (I) со следующими, приведенными ниже остатками.
R означает водород, а также при необходимости замещенный остаток, выбранный из ряда, включающего ацил, алкил, арил, аралкил, гетероциклилалкил, гетероарил, гетероарилалкил.
Ацилом является формил, алкилкарбонил, арилкарбонил, алкилсульфонил, арилсульфонил, алкилфосфорил, арилфосфорил, которые, в свою очередь, могут быть замещены, причем арил и алкил предпочтительно такие, как указано ниже.
Алкилом является алкил с 1-10 атомами углерода, прежде всего алкил с 1-4 атомами углерода, в частности метил, этил, изопропил, втор-бутил, трет-бутил, который, в свою очередь, может быть замещен.
Арилом является фенил, нафтил, прежде всего фенил.
Аралкилом является фенилметил, фенилэтил.
Гетероциклилалкилом является остаток .
Гетероарилом является гетероарил, содержащий до десяти кольцевых атомов и азот, кислород, серу, прежде всего азот в качестве гетероатомов. Гетероарилом является, в частности, тиенил, фурил, тиазолил, имидазолил, пиридил, бензтиазолил, пиридазинил.
Гетероарилалкилом является гетероарилметил, гетероарилэтил, содержащий до шести кольцевых атомов, и азот, кислород, серу, прежде всего азот в качестве гетероатомов, прежде всего при необходимости такой замещенный гетероарил, как указано ниже.
Примерами предпочтительных заместителей являются следующие:
алкил предпочтительно с 1-4 атомами углерода, прежде всего с одним или двумя атомами углерода, такой как метил, этил, н-пропил, изопропил, н-бутил, изобутил и трет-бутил; алкокси предпочтительно с 1-4 атомами углерода, прежде всего с одним или двумя атомами углерода, такой как метокси, этокси, н-пропилокси, изопропилокси, н-бутилокси, изобутилокси и трет-бутилокси; алкилтио предпочтительно с 1-4 атомами углерода, прежде всего с одним или двумя атомами углерода, такой как метилтио, этилтио, н-пропилтио, изопропилтио, н-бутилтио, изобутилтио и трет-бутилтио; галогеналкил предпочтительно с 1-4 атомами углерода, прежде всего с одним или двумя атомами углерода и предпочтительно с 1-5 атомами галогена, прежде всего с 1-3 атомами галогена, причем атомы галогена могут быть одинаковыми или разными и предпочтительно означают фтор, хлор или бром, прежде всего фтор, такой как трифторметил; гидрокси; галоген, предпочтительно фтор, хлор, бром и йод, прежде всего фтор, хлор и бром; циано; нитро; амино; моноалкиламино и диалкиламино предпочтительно с 1-4 атомами углерода, прежде всего с одним или двумя атомами углерода в каждой алкильной группе, такой как метиламино, метилэтиламино, н-пропиламино, изопропиламино и метил-н-бутиламино; карбоксил; карбалкокси предпочтительно с 2-4 атомами углерода, прежде всего с двумя или тремя атомами углерода, такой как карбометокси и карбоэтокси; сульфо (-SO3H); алкилсульфонил предпочтительно с 1-4 атомами углерода, прежде всего с одним или двумя атомами углерода, такой как метилсульфонил и этилсульфонил; арилсульфонил предпочтительно с шестью или десятью арильными атомами углерода, такой как фенилсульфонил, а также гетероариламино и гетероарилалкиламино, такой как хлорпиридиламино и хлорпиридилметиламино.
А означает водород или при необходимости замещенный остаток, выбранный из ряда, включающего ацил, алкил, арил, которые предпочтительно такие, как указано выше для R. Кроме того, А означает бифункциональную группу. Речь в данном случае идет о при необходимости замещенном алкилене с 1-4 атомами углерода, прежде всего с одним или двумя атомами углерода, причем заместители такие, как указано выше (и причем алкиленовые группы могут быть прерваны гетероатомами, выбранными из ряда, включающего азот, кислород, серу).
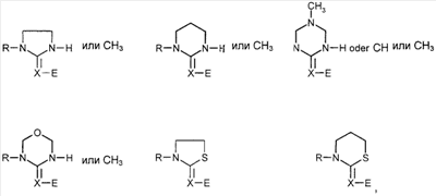
А и Z совместно с атомами, к которым они присоединены, могут образовывать насыщенное или ненасыщенное гетероциклическое кольцо. Гетероциклическое кольцо может содержать один или два других одинаковых или разных гетероатома и/или гетерогруппы.
Гетероатомы предпочтительно означают кислород, серу или азот, а гетерогруппы предпочтительно означают N-алкил, причем алкил в N-алкильной группе предпочтительно содержит 1-4 атома углерода, прежде всего один или два атома углерода. Алкилом может быть метил, этил, н-пропил, изопропил, н-бутил, изобутил и трет-бутил. Гетероциклическое кольцо содержит 5-7, предпочтительно пять или шесть кольцевых членов.
Примерами соединений формулы (I), в которых А и Z совместно с атомами, к которым они присоединены, образуют кольцо, являются следующие вещества:

в которых
R, Е и Х такие, как указано выше и ниже.
Е означает оттягивающий электроны остаток, которым прежде всего может быть NO2, CN, галогеналкилкарбонил, такой как галогеналкилкарбонил с 1-4 атомами углерода в алкиле, например COCF3, алкилсульфонил (например, SO2-СН3), галогеналкилсульфонил (например, SO2CF3), особенно предпочтительно NO2 или CN.
Х означает -СН= или -N=.
Z означает при необходимости замещенный остаток, выбранный из ряда, включающего алкил, -OR, -SR, -NRR, причем R и заместители предпочтительно такие, как указано выше.
Z кроме указанного выше кольца может образовывать совместно с атомом, к которому он присоединен, и остатком в месте нахождения Х насыщенное или ненасыщенное гетероциклическое кольцо. Это гетероциклическое кольцо может содержать один или два других одинаковых или разных гетероатома и/или гетерогруппы. Гетероатомы предпочтительно означают кислород, серу или азот, а гетерогруппы предпочтительно означают N-алкил, причем алкил или N-алкильная группа предпочтительно содержит 1-4 атома углерода, предпочтительно один или два атома углерода. Алкилом может быть метил, этил, н-пропил, изопропил, н-бутил, изобутил и трет-бутил. Гетероциклическое кольцо содержит 5-7, предпочтительно пять или шесть кольцевых членов. Примерами гетероциклического кольца являются пирролидин, пиперидин, пиперазин, гексаметиленимин, морфолин и N-метилпиперазин.
Особенно предпочтительные комбинации действующих веществ содержат агонист/антагонист никотинэргических ацетилхолиновых рецепторов формулы (I), в которой
R означает  или ,
причем
n означает 0, 1 или 2, предпочтительно 1,
Subst. означает один из указанных выше заместителей, особенно галоген, прежде всего хлор, и
A, Z, Х и Е такие, как указано выше.
R означает прежде всего , или .
Соединениями формулы (I) являются, в частности, следующие вещества:
 
 
 
 
 
 
 
 
 
 
 
  
 
 
 
 
 

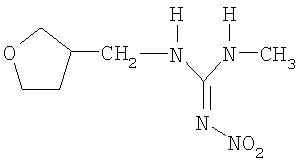
Еще более предпочтительными являются комбинации действующих веществ, которые содержат агонист/антагонист никотинэргических ацетилхолиновых рецепторов, обладающий следующими формулами:
 
 
 
 
 
 ,
прежде всего обладающий следующими формулами:
 
 
 
 .
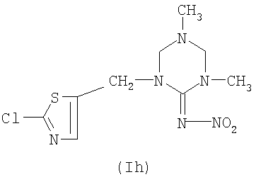
Еще более предпочтительными являются комбинации действующих веществ, содержащие соединения формул (Ia), (Ik).
Кроме того, еще более предпочтительными являются комбинации действующих веществ, содержащие соединения формул (Ie), (Ig), (Ih), (Ii), (Il), (Im).
Под диамидами антраниловой кислоты формулы (II) также подразумеваются известные соединения, которые известны из международных заявок WO 01/70671, WO 03/015518, WO 03/015519, WO 03/016284, WO 03/016282, WO 03/016283, WO 03/024222, WO 03/062226 или включены в их описание.
Приведенные в указанных публикациях общие формулы и типы заместителей, а также описанные в них отдельные соединения используются в настоящем описании в качестве ссылок.
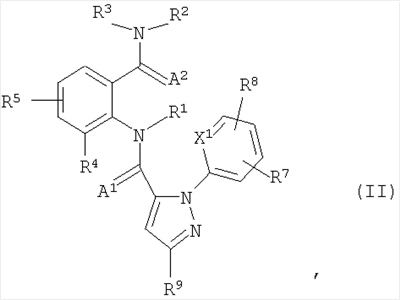
Диамиды антраниловой кислоты обладают общей формулой (II)

в которой
А1 и А2 означают независимо друг от друга кислород или серу,
X1 означает азот или CR10,
R1 означает водород или соответственно при необходимости однократно или многократно замещенный алкил с 1-6 атомами углерода, алкенил с 2-6 атомами углерода, алкинил с 2-6 атомами углерода или циклоалкил с 3-6 атомами углерода, причем заместители независимо друг от друга могут быть выбраны из группы, включающей R6, галоген, циано, нитро, гидрокси, алкокси с 1-4 атомами углерода, алкилтио с 1-4 атомами углерода, алкилсульфинил с 1-4 атомами углерода, алкилсульфонил с 1-4 атомами углерода, алкоксикарбонил с 2-4 атомами углерода, алкиламино 1-4 атомами углерода, диалкиламино с 2-8 атомами углерода, циклоалкиламино с 3-6 атомами углерода, алкилциклоалкиламино с 1-4 атомами углерода в алкиле и 3-6 атомами углерода в циклоалкиле и R11,
R2 означает водород, алкил с 1-6 атомами углерода, алкенил с 2-6 атомами углерода, алкинил с 2-6 атомами углерода, циклоалкил с 3-6 атомами углерода, алкокси с 1-4 атомами углерода, алкиламино с 1-4 атомами углерода, диалкиламино с 2-8 атомами углерода, циклоалкиламино с 3-6 атомами углерода, алкоксикарбонил с 2-6 атомами углерода или алкилкарбонил с 2-6 атомами углерода,
R3 означает водород, R11 или соответственно при необходимости однократно или многократно замещенный алкил с 1-6 атомами углерода, алкенил с 2-6 атомами углерода, алкинил с 2-6 атомами углерода, циклоалкил с 3-6 атомами углерода, причем заместители независимо друг от друга могут быть выбраны из группы, включающей
R6, галоген, циано, нитро, гидрокси, алкокси с 1-4 атомами углерода, галоалкокси с 1-4 атомами углерода, алкилтио с 1-4 атомами углерода, алкилсульфинил с 1-4 атомами углерода, алкилсульфонил с 1-4 атомами углерода, алкоксикарбонил с 2-6 атомами углерода, алкилкарбонил с 2-6 атомами углерода, триалкилсилил с 3-6 атомами углерода, R11, фенил, фенокси и пятичленное или шестичленное гетероароматическое кольцо, причем любое фенильное, фенокси и пятичленное или шестичленное гетероароматическое кольцо при необходимости может быть замещено и причем заместители независимо друг от друга могут быть выбраны из группы, включающей 1-3 остатка W и один или несколько остатков R12, или
R2 и R3 могут быть соединены друг с другом с образованием кольца М,
R4 означает водород, алкил с 1-6 атомами углерода, алкенил с 2-6 атомами углерода, алкинил с 2-6 атомами углерода, циклоалкил с 3-6 атомами углерода, галоалкил с 1-6 атомами углерода, галоалкенил с 2-6 атомами углерода, галоалкинил с 2-6 атомами углерода, галоциклоалкил с 3-6 атомами углерода, галоген, циано, нитро, гидрокси, алкокси с 1-4 атомами углерода, галоалкокси с 1-4 атомами углерода, алкилтио с 1-4 атомами углерода, алкилсульфинил с 1-4 атомами углерода, алкилсульфонил с 1-4 атомами углерода, галоалкилтио с 1-4 атомами углерода, галоалкилсульфинил с 1-4 атомами углерода, галоалкилсульфонил с 1-4 атомами углерода, алкиламино 1-4 атомами углерода, диалкиламино с 2-8 атомами углерода, циклоалкиламино с 3-6 атомами углерода, триалкилсилил с 3-6 атомами углерода или при необходимости однократно или многократно замещенный фенил, бензил или фенокси, причем заместители независимо друг от друга могут быть выбраны из группы, включающей алкил с 1-4 атомами углерода, алкенил с 2-4 атомами углерода, алкинил с 2-4 атомами углерода, циклоалкил с 3-6 атомами углерода, галоалкил с 1-4 атомами углерода, галоалкенил с 2-4 атомами углерода, галоалкинил с 2-4 атомами углерода, галоциклоалкил с 3-6 атомами углерода, галоген, циано, нитро, алкокси с 1-4 атомами углерода, галоалкокси с 1-4 атомами углерода, алкилтио с 1-4 атомами углерода, алкилсульфинил с 1-4 атомами углерода, алкилсульфонил с 1-4 атомами углерода, алкиламино с 1-4 атомами углерода, диалкиламино с 2-8 атомами углерода, циклоалкиламино с 3-6 атомами углерода, алкилциклоалкиламино с 3-6 атомами углерода в алкиле, алкилкарбонил с 2-4 атомами углерода, алкоксикарбонил с 2-6 атомами углерода, алкиламинокарбонил с 2-6 атомами углерода, диалкиламинокарбонил с 3-8 атомами углерода и триалкилсилил с 3-6 атомами углерода,
R5 и R8 означают соответственно независимо друг от друга водород, галоген или соответственно при необходимости замещенный алкил с 1-4 атомами углерода, галоалкил с 1-4 атомами углерода, R12, G, J, -OJ, -OG, -S(O)p-J, -S(O)p-G, -S(O)р-фенил, причем заместители независимо друг от друга могут быть выбраны из группы, включающей 1-3 остатка W, R12, алкил с 1-10 атомами углерода, алкенил с 2-6 атомами углерода, алкинил с 2-6 атомами углерода, алкокси с 1-4 атомами углерода и алкилтио с 1-4 атомами углерода, причем любой заместитель может быть замещен одним или несколькими заместителями, выбранными независимо друг от друга из группы, включающей G, J, R6, галоген, циано, нитро, амино, гидрокси, алкокси с 1-4 атомами углерода, галоалкокси с 1-4 атомами углерода, алкилтио с 1-4 атомами углерода, алкилсульфинил с 1-4 атомами углерода, алкилсульфонил с 1-4 атомами углерода, галоалкилтио с 1-4 атомами углерода, галоалкилсульфинил с 1-4 атомами углерода, галоалкилсульфонил с 1-4 атомами углерода, алкиламино с 1-4 атомами углерода, диалкиламино с 2-8 атомами углерода, триалкилсилил с 3-6 атомами углерода, фенил и фенокси, причем любое фенильное или феноксильное кольцо при необходимости может быть замещено и причем заместители независимо друг от друга могут быть выбраны из группы, включающей 1-3 остатка W и один или несколько остатков R12,
G означает соответственно независимо друг от друга пятичленное или шестичленное, неароматическое карбоциклическое или гетероциклическое кольцо, которое при необходимости содержит один или два кольцевых члена, выбранных из группы, включающей С(=O), SO и S(=O)2, и при необходимости может быть замещено 1-4 заместителями, выбранными независимо друг от друга из группы, включающей алкил с 1-2 атомами углерода, галоген, циано, нитро и алкокси с 1-2 атомами углерода, или означает независимо друг от друга алкенил с 2-6 атомами углерода, алкинил с 2-6 атомами углерода, циклоалкил с 3-7 атомами углерода, цианоциклоалкил с 3-7 атомами углерода, алкилциклоалкил с 1-4 атомами углерода в алкиле и 3-6 атомами углерода в циклоалкиле, циклоалкилалкил с 3-6 атомами углерода в циклоалкиле и 1-4 атомами углерода в алкиле, причем любой циклоалкил, алкилциклоалкил и циклоалкилалкил при необходимости может быть замещен одним или несколькими атомами галогена,
J означает соответственно независимо друг от друга при необходимости замещенное пятичленное или шестичленное гетероароматическое кольцо, причем заместители независимо друг от друга могут быть выбраны из группы, включающей 1-3 остатка W и один или несколько остатков R12,
R6 означает независимо друг от друга -C(=Е1)R19, -LC(=E1)R19, -C(=E1)LR19, -LC(=E1)LR19, -OP(=Q)(OR19)2, -SO2LR18 или -LSO2LR19, причем каждый остаток Е1 означает независимо друг от друга кислород, серу, N-R15, N-OR15, N-N(R15)2, N-S=O, N-CN или N-NO2,
R7 означает водород, алкил с 1-4 атомами углерода, галоалкил с 1-4 атомами углерода, галоген, алкокси с 1-4 атомами углерода, галоалкокси с 1-4 атомами углерода, алкилтио с 1-4 атомами углерода, алкилсульфинил с 1-4 атомами углерода, алкилсульфонил с 1-4 атомами углерода, галоалкилтио с 1-4 атомами углерода, галоалкилсульфинил с 1-4 атомами углерода, галоалкилсульфонил с 1-4 атомами углерода,
R9 означает галогеналкил с 1-4 атомами углерода, галогеналкокси с 1-4 атомами углерода, галогеналкилсульфинил с 1-4 атомами углерода или галоген,
R10 означает водород, алкил с 1-4 атомами углерода, галоалкил с 1-4 атомами углерода, галоген, циано или галоалкокси с 1-4 атомами углерода,
R11 означает соответственно независимо друг от друга соответственно при необходимости однократно-трехкратно замещенный алкилтио с 1-6 атомами углерода, алкилсульфенил с 1-6 атомами углерода, галоалкилтио с 1-6 атомами углерода, галоалкилсульфенил с 1-6 атомами углерода, фенилтио или фенилсульфенил, причем заместители независимо друг от друга могут быть выбраны из группы, включающей остатки W, -S(O)nN(R16)2, -C(=O)R13, -L(C=O)R14, -S(C=O)LR14, -C(=O)LR13, -S(O)nNR13C(=O)R13, -S(O)nNR13C(=O)LR14 и -S(O)nNR13S(O)2LR14,
L означает соответственно независимо друг от друга кислород, NR18 или серу,
R12 означает соответственно независимо друг от друга -B(OR17)2, амино, SH, тиоцианато, триалкилсилилокси с 3-8 атомами углерода, алкилдисульфиды с 1-4 атомами углерода, -SF5, -C(=E1)R19, -LC(=E1)R19, -C(=E1)LR19, -LC(=E1)LR19, -OP(=Q)(OR19)2, -SO2LR19 или -LSO2LR19,
Q означает кислород или серу,
R13 означает соответственно независимо друг от друга водород или соответственно при необходимости однократно или многократно замещенный алкил с 1-6 атомами углерода, алкенил с 2-6 атомами углерода, алкинил с 2-6 атомами углерода или циклоалкил с 3-6 атомами углерода, причем заместители независимо друг от друга могут быть выбраны из группы, включающей R6, галоген, циано, нитро, гидрокси, алкокси с 1-4 атомами углерода, алкилсульфинил с 1-4 атомами углерода, алкилсульфонил с 1-4 атомами углерода, алкиламино с 1-4 атомами углерода, диалкиламино с 2-8 атомами углерода, циклоалкиламино с 3-6 атомами углерода и алкилциклоалкиламино с 1-4 атомами углерода в алкиле и 3-6 атомами углерода в циклоалкиле,
R14 означает соответственно независимо друг от друга соответственно при необходимости однократно или многократно замещенный алкил с 1-20 атомами углерода, алкенил с 2-20 атомами углерода, алкинил с 2-20 атомами углерода или циклоалкил с 3-6 атомами углерода, причем заместители независимо друг от друга могут быть выбраны из группы, включающей R6, галоген, циано, нитро, гидрокси, алкокси с 1-4 атомами углерода, алкилсульфинил с 1-4 атомами углерода, алкилсульфонил с 1-4 атомами углерода, алкиламино с 1-4 атомами углерода, диалкиламино с 2-8 атомами углерода, циклоалкиламино с 3-6 атомами углерода, алкилциклоалкиламино с 1-4 атомами углерода в алкиле и 3-6 атомами углерода в циклоалкиле и при необходимости замещенный фенил, причем заместители независимо друг от друга могут быть выбраны из группы, включающей 1-3 остатка W и один или несколько остатков R12,
R15 означает соответственно независимо друг от друга водород или соответственно при необходимости однократно или многократно замещенный галоалкил с 1-6 атомами углерода или алкил с 1-6 атомами углерода, причем заместители независимо друг от друга могут быть выбраны из группы, включающей циано, нитро, гидрокси, алкокси с 1-4 атомами углерода, галоалкокси с 1-4 атомами углерода, алкилтио с 1-4 атомами углерода, алкилсульфинил с 1-4 атомами углерода, алкилсульфонил с 1-4 атомами углерода, галоалкилтио с 1-4 атомами углерода, галоалкилсульфинил с 1-4 атомами углерода, галоалкилсульфонил с 1-4 атомами углерода, алкиламино с 1-4 атомами углерода, диалкиламино с 2-8 атомами углерода, алкоксикарбонил с 2-6 атомами углерода, алкилкарбонил с 2-6 атомами углерода, триалкилсилил с 3-6 атомами углерода и при необходимости замещенный фенил, причем заместители независимо друг от друга могут быть выбраны из группы, включающей 1-3 остатка W и один или несколько остатков R12, или N(R15)2 означает цикл, образующий кольцо М,
R16 означает алкил с 1-12 атомами углерода или галоалкил с 1-12 атомами углерода, или N(R16)2 означает цикл, образующий кольцо М,
R17 означает соответственно независимо друг от друга водород или алкил с 1-4 атомами углерода, или B(OR17)2 означает кольцо, оба атома кислорода которого цепочкой соединены с 2-3 атомами углерода, при необходимости замещенными одним или двумя заместителями, которые независимо друг от друга выбраны из группы, включающей метил и алкоксикарбонил с 2-6 атомами углерода,
R18 означает соответственно независимо друг от друга водород, алкил с 1-6 атомами углерода или галоалкил с 1-6 атомами углерода, или N(R13)(R18) означает цикл, образующий кольцо М,
R19 означает соответственно независимо друг от друга водород или соответственно при необходимости однократно или многократно замещенный алкил с 1-6 атомами углерода, причем заместители независимо друг от друга могут быть выбраны из группы, включающей циано, нитро, гидрокси, алкокси с 1-4 атомами углерода, галоалкокси с 1-4 атомами углерода, алкилтио с 1-4 атомами углерода, алкилсульфинил с 1-4 атомами углерода, алкилсульфонил с 1-4 атомами углерода, галоалкилтио с 1-4 атомами углерода, галоалкилсульфинил с 1-4 атомами углерода, галоалкилсульфонил с 1-4 атомами углерода, алкиламино с 1-4 атомами углерода, диалкиламино с 2-8 атомами углерода, СО2Н, алкоксикарбонил с 2-6 атомами углерода, алкилкарбонил с 2-6 атомами углерода, триалкилсилил с 3-6 атомами углерода и при необходимости замещенный фенил, причем заместители независимо друг от друга могут быть выбраны из группы, включающей 1-3 остатка W, галоалкил с 1-6 атомами углерода, циклоалкил с 3-6 атомами углерода и фенил или пиридил, соответственно при необходимости однократно-трехкратно замещенный остатком W,
М означает соответственно при необходимости однократно-четырехкратно замещенное кольцо, которое кроме атома азота, с которым соединена пара заместителей R13 и R18, (R15)2 или (R16)2, содержит от двух до шести атомов углерода и при необходимости дополнительно другой атом азота, серу или кислород, причем заместители независимо друг от друга могут быть выбраны из группы, включающей алкил с 1-2 атомами углерода, галоген, циано, нитро и алкокси с 1-2 атомами углерода,
W означает соответственно независимо друг от друга алкил с 1-4 атомами углерода, алкенил с 2-4 атомами углерода, алкинил с 2-4 атомами углерода, циклоалкил с 3-6 атомами углерода, галоалкил с 1-4 атомами углерода, галоалкенил с 2-4 атомами углерода, галоалкинил с 2-4 атомами углерода, галоциклоалкил с 3-6 атомами углерода, галоген, циано, нитро, алкокси с 1-4 атомами углерода, галоалкокси с 1-4 атомами углерода, алкилтио с 1-4 атомами углерода, алкилсульфинил с 1-4 атомами углерода, алкилсульфонил с 1-4 атомами углерода, алкиламино с 1-4 атомами углерода, диалкиламино с 2-8 атомами углерода, циклоалкиламино с 3-6 атомами углерода, алкилциклоалкиламино с 1-4 атомами углерода в алкиле и 3-6 атомами углерода в циклоалкиле, алкилкарбонил с 2-4 атомами углерода, алкоксикарбонил с 2-6 атомами углерода, CO2H, алкиламинокарбонил с 2-6 атомами углерода, диалкиламинокарбонил с 3-8 атомами углерода или триалкилсилил с 3-6 атомами углерода,
n означает соответственно независимо друг от друга 0 или 1,
р означает соответственно независимо друг от друга 0, 1 или 2.
В случае, если (a) R5 означает водород, алкил с 1-6 атомами углерода, галоалкил с 1-6 атомами углерода, галоалкенил с 2-6 атомами углерода, галоалкинил с 2-6 атомами углерода, галоалкокси с 1-4 атомами углерода, галоалкилтио с 1-4 атомами углерода или галоген и (b) R8 означает водород, алкил с 1-6 атомами углерода, галоалкил с 1-6 атомами углерода, галоалкенил с 2-6 атомами углерода, галоалкинил с 2-6 атомами углерода, галоалкокси с 1-4 атомами углерода, галоалкилтио с 1-4 атомами углерода, галоген, алкилкарбонил с 2-4 атомами углерода, алкоксикарбонил с 2-6 атомами углерода, алкиламинокарбонил с 2-6 атомами углерода или диалкиламинокарбонил с 3-8 атомами углерода, то (с) имеется по меньшей мере один заместитель, выбранный из группы, включающей R6, R11 и R12, а если R12 отсутствует, то (d) по меньшей мере один остаток R6 или R11 отличается от алкилкарбонила с 2-4 атомами углерода, алкоксикарбонила с 2-6 атомами углерода, алкиламинокарбонила с 2-6 атомами углерода и диалкиламинокарбонила с 3-8 атомами углерода.
Соединения общей формулы (II) включают N-оксиды и соли.
В зависимости от типа заместителей соединения формулы (II) также могут находиться в виде геометрических и/или оптических изомеров или смесей изомеров различного состава, которые при необходимости могут быть разделены обычными методами. Объектами настоящего изобретения являются как чистые изомеры, так и смеси изомеров, их получение и применение, а также содержащие их средства. Однако в нижеследующем описании как чистые соединения, так в некоторых случаях смеси с разным содержанием изомерных соединений для простоты всегда называют соединениями формулы (II).
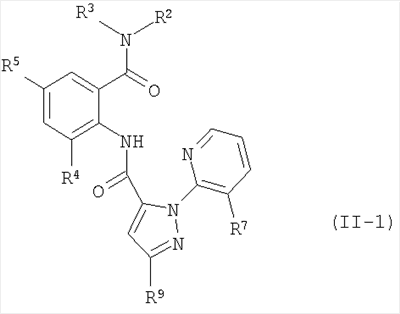
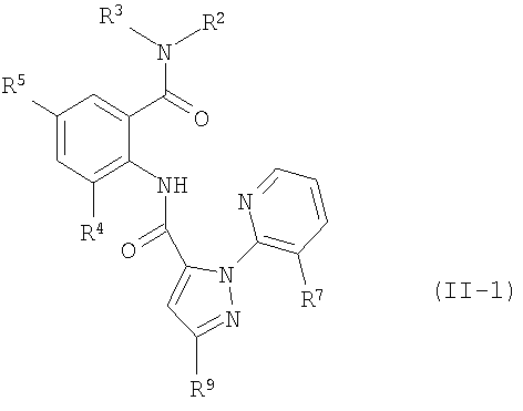
Предпочтительными являются комбинации действующих веществ, содержащие соединения формулы (II-1)

в которой
R2 означает водород или алкил с 1-6 атомами углерода,
R3 означает алкил с 1-6 атомами углерода, при необходимости замещенный остатком R6,
R4 означает алкил с 1-4 атомами углерода, галогеналкил с 1-2 атомами углерода, галогеналкокси с 1-2 атомами углерода или галоген,
R5 означает водород, алкил с 1-4 атомами углерода, галогеналкил с 1-2 атомами углерода, галогеналкокси с 1-2 атомами углерода или галоген,
R6 означает -C(=E2)R19, -LC(=E2)R19, -C(=E2)LR19 или -LC(=E2)LR19, причем каждый остаток Е2 независимо друг от друга означает кислород, серу, N-R15, N-OR15, N-N(R15)2, а каждый остаток L независимо друг от друга означает кислород или NR18,
R7 означает галоалкил с 1-4 атомами углерода или галоген,
R9 означает галогеналкил с 1-2 атомами углерода, галогеналкокси с 1-2 атомами углерода, S(O)p-галогеналкил с 1-2 атомами углерода или галоген,
R15 означает соответственно независимо друг от друга водород или соответственно при необходимости замещенный галоалкил с 1-6 атомами углерода или алкил с 1-6 атомами углерода, причем заместители независимо друг от друга могут быть выбраны из группы, включающей циано, алкокси с 1-4 атомами углерода, галоалкокси с 1-4 атомами углерода, алкилтио с 1-4 атомами углерода, алкилсульфинил с 1-4 атомами углерода, алкилсульфонил с 1-4 атомами углерода, галоалкилтио с 1-4 атомами углерода, галоалкилсульфинил с 1-4 атомами углерода и галоалкилсульфонил с 1-4 атомами углерода,
R18 означает соответственно водород или алкил с 1-4 атомами углерода,
R19 означает соответственно независимо друг от друга водород или алкил с 1-6 атомами углерода,
р означает независимо друг от друга 0, 1, 2.
В указанном предпочтительном варианте галоген означает фтор, хлор, бром и йод, прежде всего фтор, хлор и бром.
Особенно предпочтительными являются комбинации действующих веществ, содержащие соединения формулы (11-1), в которой
R2 означает водород или метил,
R3 означает алкил с 1-4 атомами углерода (прежде всего метил, этил, н-пропил, изопропил, н-бутил, изобутил, втор-бутил, трет-бутил),
R4 означает метил, трифторметил, трифторметокси, фтор, хлор, бром или йод,
R5 означает водород, фтор, хлор, бром, йод, трифторметил или трифторметокси,
R7 означает хлор или бром,
R9 означает трифторметил, хлор, бром, дифторметокси или трифторметокси.
Еще более предпочтительными являются комбинации действующих веществ, которые содержат следующие соединения формулы (II-1):

| Пример |
R2 |
R3 |
R4 |
R5 |
R7 |
R9 |
Температура плавления (°С) |
| II-1-1 |
Н |
Me1) |
Me |
Cl |
Cl |
CF3 |
185-186 |
| II-1-2 |
Н |
Me |
Me |
Cl |
Cl |
OCH2CF3 |
207-208 |
| II-1-3 |
Н |
Me |
Me |
Cl |
Cl |
Cl |
225-226 |
| II-1-4 |
Н |
Me |
Me |
Cl |
Cl |
Br |
162-164 |
| II-1-5 |
Н |
Me |
Cl |
Cl |
Cl |
CF3 |
155-157 |
| II-1-6 |
Н |
Me |
Cl |
Cl |
Cl |
OCH2CF3 |
192-195 |
| II-1-7 |
Н |
Me |
Cl |
Cl |
Cl |
Cl |
205-206 |
| II-1-8 |
Н |
Me |
Cl |
Cl |
Cl |
Br |
245-246 |
| II-1-9 |
Н |
i-Pr2) |
Me |
Cl |
Cl |
CF3 |
195-196 |
| II-1-10 |
Н |
i-Pr |
Me |
Cl |
Cl |
OCH2CF3 |
217-218 |
| II-1-11 |
Н |
i-Pr |
Me |
Cl |
Cl |
Cl |
173-175 |
| II-1-12 |
Н |
i-Pr |
Me |
Cl |
Cl |
Br |
159-161 |
| II-1-13 |
Н |
i-Pr |
Cl |
Cl |
Cl |
CF3 |
200-201 |
| II-1-14 |
Н |
i-Pr |
Cl |
Cl |
Cl |
OCH2CF3 |
232-235 |
| II-1-15 |
Н |
i-Pr |
Cl |
Cl |
Cl |
Cl |
197-199 |
| II-1-16 |
Н |
i-Pr |
Cl |
Cl |
Cl |
Br |
188-190 |
| II-1-17 |
Н |
Et3) |
Me |
Cl |
Cl |
CF3 |
163-164 |
| II-1-18 |
Н |
Et |
Me |
Cl |
Cl |
OCH2CF3 |
205-207 |
| II-1-19 |
Н |
Et |
Me |
Cl |
Cl |
Cl |
199-200 |
| II-1-20 |
Н |
Et |
Me |
Cl |
Cl |
Br |
194-195 |
| II-1-21 |
Н |
Et |
Cl |
Cl |
Cl |
CF3 |
201-202 |
| II-1-22 |
Н |
Et |
Cl |
Cl |
Cl |
Cl |
206-208 |
| II-1-23 |
Н |
Et |
Cl |
Cl |
Cl |
Br |
214-215 |
| II-1-24 |
Н |
t-Bu4) |
Me |
Cl |
Cl |
CF3 |
223-225 |
| II-1-25 |
Н |
t-Bu |
Me |
Cl |
Cl |
Cl |
163-165 |
| II-1-26 |
Н |
t-Bu |
Me |
Cl |
Cl |
Br |
159-161 |
| II-1-27 |
Н |
t-Bu |
Cl |
Cl |
Cl |
CF3 |
170-172 |
| II-1-28 |
Н |
t-Bu |
Cl |
Cl |
Cl |
Cl |
172-173 |
| II-1-29 |
Н |
t-Bu |
Cl |
Cl |
Cl |
Br |
179-180 |
| II-1-30 |
Н |
Me |
Me |
Br |
Cl |
CF3 |
222-223 |
| Пример |
R1 |
R3 |
R4 |
R5 |
R7 |
R8 |
Температура плавления (°С) |
| II-1-31 |
Н |
Et |
Me |
Br |
Cl |
CF3 |
192-193 |
| II-1-32 |
Н |
i-Pr |
Me |
Br |
Cl |
CF3 |
197-198 |
| II-1-33 |
Н |
t-Bu |
Me |
Br |
Cl |
CF3 |
247-248 |
| II-1-34 |
Н |
Me |
Me |
Br |
Cl |
Cl |
140-141 |
| II-1-35 |
Н |
Et |
Me |
Br |
Cl |
Cl |
192-194 |
| II-1-36 |
Н |
i-Pr |
Me |
Br |
Cl |
Cl |
152-153 |
| II-1-37 |
Н |
t-Bu |
Me |
Br |
Cl |
Cl |
224-225 |
| II-1-38 |
Н |
Me |
Me |
Br |
Cl |
Br |
147-149 |
| II-1-39 |
Н |
Et |
Me |
Br |
Cl |
Br |
194-196 |
| II-1-40 |
Н |
i-Pr |
Me |
Br |
Cl |
Br |
185-187 |
| II-1-41 |
Н |
t-Bu |
Me |
Br |
Cl |
Br |
215-221 |
| II-1-42 |
Н |
Me |
Me |
I |
Cl |
CF3 |
199-200 |
| II-1-43 |
Н |
Et |
Me |
I |
Cl |
CF3 |
199-200 |
| II-1-44 |
Н |
i-Pr |
Me |
I |
Cl |
CF3 |
188-189 |
| II-1-45 |
Н |
t-Bu |
Me |
I |
Cl |
CF3 |
242-243 |
| II-1-46 |
Н |
Me |
Me |
I |
Cl |
Cl |
233-234 |
| II-1-47 |
Н |
Et |
Me |
I |
Cl |
Cl |
196-197 |
| II-1-48 |
Н |
i-Pr |
Me |
I |
Cl |
Cl |
189-190 |
| II-1-49 |
Н |
t-Bu |
Me |
I |
Cl |
Cl |
228-229 |
| II-1-50 |
Н |
Me |
Me |
I |
Cl |
Br |
229-230 |
| II-1-51 |
Н |
i-Pr |
Me |
I |
Cl |
Br |
191-192 |
| II-1-52 |
Н |
Me |
Br |
Br |
Cl |
CF3 |
162-163 |
| II-1-53 |
Н |
Et |
Br |
Br |
Cl |
CF3 |
188-189 |
| II-1-54 |
Н |
i-Pr |
Br |
Br |
Cl |
CF3 |
192-193 |
| II-1-55 |
Н |
t-Bu |
Br |
Br |
Cl |
CF3 |
246-247 |
| II-1-56 |
Н |
Me |
Br |
Br |
Cl |
Cl |
188-190 |
| II-1-57 |
Н |
Et |
Br |
Br |
Cl |
Cl |
192-194 |
| II-1-58 |
Н |
i-Pr |
Br |
Br |
Cl |
Cl |
197-199 |
| II-1-59 |
Н |
t-Bu |
Br |
Br |
Cl |
Cl |
210-212 |
| II-1-60 |
Н |
Me |
Br |
Br |
Cl |
Br |
166-168 |
| II-1-61 |
Н |
Et |
Br |
Br |
Cl |
Br |
196-197 |
| Пример |
R2 |
R3 |
R4 |
R5 |
R7 |
R9 |
Температура плавления (°С) |
| II-1-62 |
H |
i-Pr |
Br |
Br |
Cl |
Br |
162-163 |
| II-1-63 |
H |
t-Bu |
Br |
Br |
Cl |
Br |
194-196 |
| II-1-64 |
H |
t-Bu |
Cl |
Br |
Cl |
CF3 |
143-145 |
| II-1-65 |
Me |
Me |
Br |
Br |
Cl |
Cl |
153-155 |
| II-1-66 |
Me |
Me |
Me |
Br |
Cl |
CF3 |
207-208 |
| II-1-67 |
Me |
Me |
Cl |
Cl |
Cl |
Cl |
231-232 |
| II-1-68 |
Me |
Me |
Br |
Br |
Cl |
Br |
189-190 |
| II-1-69 |
Me |
Me |
Cl |
Cl |
Cl |
Br |
216-218 |
| II-1-70 |
Me |
Me |
Cl |
Cl |
Cl |
CF3 |
225-227 |
| II-1-71 |
Me |
Me |
Br |
Br |
Cl |
CF3 |
228-229 |
| II-1-72 |
H |
i-Pr |
Me |
H |
Cl |
CF3 |
237-239 |
| 1) Me означает метил |
| 2) i-Pr означает изопропил |
| 3) Et означает этил |
| 4) t-Bu означает трет-бутил |
Предпочтительными прежде всего являются комбинации действующих веществ, которые содержат соединения со следующими формулами:
  
  
  
  
  
  
  
  
  
  
  
  
  
  
  
  
  
 .
Особо следует отметить, в частности, следующие комбинации действующих веществ (двухкомпонентные смеси), которые содержат соединение формулы (I) и соединение формулы (11-1):
| Номер |
Комбинация действующих веществ |
Номер |
Комбинация действующих веществ |
| 1а) |
(Ia) и (II-1-1) |
27е) |
(Ii) и (II-1-38) |
| 1b) |
(Ie) и (II-1-1) |
27f) |
(Ik) и (II-1-38) |
| 1с) |
(Ig) и (II-1-1) |
27g) |
(Il) и (II-1-38) |
| 1d) |
(Ih) и (II-1-1) |
27h) |
(Im) и (II-1-38) |
| 1е) |
(Ii) и (II-1-1) |
28a) |
(Ia) и (II-1-39) |
| 1f) |
(Ik) и (II-1-1) |
28b) |
(Ie) и (II-1-39) |
| Номер |
Комбинация действующих веществ |
Номер |
Комбинация действующих веществ |
| 1g) |
(Il) и (II-1-1) |
28с) |
(Ig) и (II-1-39) |
| 1h) |
(Im) и (II-1-1) |
28d) |
(Ih) и (II-1-39) |
| 2а) |
(Ia) и (II-1-2) |
28e) |
(Ii) и (II-1-39) |
| 2b) |
(Ie) и (II-1-2) |
28f) |
(Ik) и (II-1-39) |
| 2с) |
(Ig) и (II-1-2) |
28g) |
(Il) и (II-1-39) |
| 2d) |
(Ih) и (II-1-2) |
28h) |
(Im) и (II-1-39) |
| 2е) |
(Ii) и (II-1-2) |
29a) |
(Ia) и (II-1-40) |
| 2f) |
(Ik) и (II-1-2) |
29b) |
(Ie) и (II-1-40) |
| 2g) |
(Il) и (II-1-2) |
29c) |
(Ig) и (II-1-40) |
| 2h) |
(Im) и (II-1-2) |
29d) |
(Ih) и (II-1-40) |
| 3а) |
(Ia) и (II-1-3) |
29e) |
(Ii) и (II-1-40) |
| 3b) |
(Ie) и (II-1-3) |
29f) |
(Ik) и (II-1-40) |
| 3с) |
(Ig) и (II-1-3) |
29g) |
(Il) и (II-1-40) |
| 3d) |
(Ih) и (II-1-3) |
29h) |
(Im) и (II-1-40) |
| 3е) |
(Ii) и (II-1-3) |
30a) |
(Ia) и (II-1-42) |
| 3f) |
(Ik) и (II-1-3) |
30b) |
(Ie) и (II-1-42) |
| 3g) |
(Il) и (II-1-3) |
30c) |
(Ig) и (II-1-42) |
| 3h) |
(Im) и (II-1-3) |
30d) |
(Ih) и (II-1-42) |
| 4а) |
(Ia) и (II-1-4) |
30e) |
(Ii) и (II-1-42) |
| 4b) |
(Ie) и (II-1-4) |
30f) |
(Ik) и (II-1-42) |
| 4с) |
(Ig) и (II-1-4) |
30g) |
(Il) и (II-1-42) |
| 4d) |
(Ih) и (II-1-4) |
30h) |
(Im) и (II-1-42) |
| 4е) |
(Ii) и (II-1-4) |
31a) |
(Ia) и (II-1-43) |
| 4f) |
(Ik) и (II-1-4) |
31b) |
(Ie) и (II-1-43) |
| 4g) |
(Il) и (II-1-4) |
31с) |
(Ig) и (II-1-43) |
| 4h) |
(Im) и (II-1-4) |
31d) |
(Ih) и (II-1-43) |
| 5а) |
(Ia) и (II-1-5) |
31e) |
(Ii) и (II-1-43) |
| 5b) |
(Ie) и (II-1-5) |
31f) |
(Ik) и (II-1-43) |
| 5с) |
(Ig) и (II-1-5) |
31g) |
(Il) и (II-1-43) |
| 5d) |
(Ih) и (II-1-5) |
31h) |
(Im) и (II-1-43) |
| 5е) |
(Ii) и (II-1-5) |
32a) |
(Ia) и (II-1-44) |
| Номер |
Комбинация действующих веществ |
Номер |
Комбинация действующих веществ |
| 5f) |
(Ik) и (II-1-5) |
32b) |
(Ie) и (II-1-44) |
| 5g) |
(Il) и (II-1-5) |
32с) |
(Ig) и (II-1-44) |
| 5h) |
(Im) и (II-1-5) |
32d) |
(Ih) и (II-1-44) |
| 6а) |
(Ia) и (II-1-6) |
32е) |
(Ii) и (II-1-44) |
| 6b) |
(Ie) и (II-1-6) |
32f) |
(Ik) и (II-1-44) |
| 6с) |
(Ig) и (II-1-6) |
32g) |
(Il) и (II-1-44) |
| 6d) |
(Ih) и (II-1-6) |
32h) |
(Im) и (II-1-44) |
| 6е) |
(Ii) и (II-1-6) |
33а) |
(Ia) и (II-1-50) |
| 6f) |
(Ik) и (II-1-6) |
33b) |
(Ie) и (II-1-50) |
| 6g) |
(Il) и (II-1-6) |
33с) |
(Ig) и (II-1-50) |
| 6h) |
(Im) и (II-1-6) |
33d) |
(Ih) и (II-1-50) |
| 7а) |
(Ia) и (II-1-7) |
33е) |
(Ii) и (II-1-50) |
| 7b) |
(Ie) и (II-1-7) |
33f) |
(Ik) и (II-1-50) |
| 7с) |
(Ig) и (II-1-7) |
33g) |
(Il) и (II-1-50) |
| 7d) |
(Ih) и (II-1-7) |
33h) |
(Im) и (II-1-50) |
| 7е) |
(Ii) и (II-1-7) |
34a) |
(Ia) и (II-1-51) |
| 7f) |
(Ik) и (II-1-7) |
34b) |
(Ie) и (II-1-51) |
| 7g) |
(Il) и (II-1-7) |
34c) |
(Ig) и (II-1-51) |
| 7h) |
(Im) и (II-1-7) |
34d) |
(Ih) и (II-1-51) |
| 8а) |
(Ia) и (II-1-8) |
34e) |
(Ii) и (II-1-51) |
| 8b) |
(Ie) и (II-1-8) |
34f) |
(Ik) и (II-1-51) |
| 8с) |
(Ig) и (II-1-8) |
34g) |
(Il) и (II-1-51) |
| 8d) |
(Ih) и (II-1-8) |
34h) |
(Im) и (II-1-51) |
| 8е) |
(Ii) и (II-1-8) |
35a) |
(Ia) и (II-1-52) |
| 8f) |
(Ik) и (II-1-8) |
35b) |
(Ie) и (II-1-52) |
| 8g) |
(Il) и (II-1-8) |
35c) |
(Ig) и (II-1-52) |
| 8h) |
(Im) и (II-1-8) |
35d) |
(Ih) и (II-1-52) |
| 9а) |
(Ia) и (II-1-9) |
35e) |
(Ii) и (II-1-52) |
| 9b) |
(Ie) и (II-1-9) |
35f) |
(Ik) и (II-1-52) |
| 9с) |
(Ig) и (II-1-9) |
35g) |
(Il) и (II-1-52) |
| 9d) |
(Ih) и (II-1-9) |
35h) |
(Im) и (II-1-52) |
| Номер |
Комбинация действующих веществ |
Номер |
Комбинация действующих веществ |
| 9е) |
(Ii) и (II-1-9) |
36а) |
(Ia) и (II-1-53) |
| 9f) |
(Ik) и (II-1-9) |
36b) |
(Ie) и (II-1-53) |
| 9g) |
(Il) и (II-1-9) |
36с) |
(Ig) и (II-1-53) |
| 9h) |
(Im) и (II-1-9) |
36d) |
(Ih) и (II-1-53) |
| 10а) |
(Ia) и (II-1-II) |
36е) |
(Ii) и (II-1-53) |
| 10b) |
(Ie) и (II-1-II) |
36f) |
(Ik) и (II-1-53) |
| 10с) |
(Ig) и (II-1-II) |
36g) |
(Il) и (II-1-53) |
| 10d) |
(Ih) и (II-1-II) |
36h) |
(Im) и (II-1-53) |
| 10е) |
(Ii) и (II-1-II) |
37а) |
(Ia) и (II-1-54) |
| 10f) |
(Ik) и (II-1-II) |
37b) |
(Ie) и (II-1-54) |
| 10g) |
(Il) и (II-1-II) |
37с) |
(Ig) и (II-1-54) |
| 10h) |
(Im) и (II-1-II) |
37d) |
(Ih) и (II-1-54) |
| 11а) |
(Ia) и (II-1-12) |
37е) |
(Ii) и (II-1-54) |
| 11b) |
(Ie) и (II-1-12) |
37f) |
(Ik) и (II-1-54) |
| 11с) |
(Ig) и (II-1-12) |
37g) |
(Il) и (II-1-54) |
| 11d) |
(Ih) и (II-1-12) |
37h) |
(Im) и (II-1-54) |
| 11е) |
(Ii) и (II-1-12) |
38а) |
(Ia) и (II-1-55) |
| 11f) |
(Ik) и (II-1-12) |
38b) |
(Ie) и (II-1-55) |
| 11g) |
(Il) и (II-1-12) |
38с) |
(Ig) и (II-1-55) |
| 11h) |
(Im) и (II-1-12) |
38d) |
(Ih) и (II-1-55) |
| 12а) |
(Ia) и (II-1-13) |
38е) |
(Ii) и (II-1-55) |
| 12b) |
(Ie) и (II-1-13) |
38f) |
(Ik) и (II-1-55) |
| 12с) |
(Ig) и (II-1-13) |
38g) |
(Il) и (II-1-55) |
| 12d) |
(Ih) и (II-1-13) |
38h) |
(Im) и (II-1-55) |
| 12е) |
(Ii) и (II-1-13) |
39а) |
(Ia) и (II-1-56) |
| 12f) |
(Ik) и (II-1-13) |
39b) |
(Ie) и (II-1-56) |
| 12g) |
(Il) и (II-1-13) |
39с) |
(Ig) и (II-1-56) |
| 12h) |
(Im) и (II-1-13) |
39d) |
(Ih) и (II-1-56) |
| 13а) |
(Ia) и (II-1-15) |
39е) |
(Ii) и (II-1-56) |
| 13b) |
(Ie) и (II-1-15) |
39f) |
(Ik) и (II-1-56) |
| 13с) |
(Ig) и (II-1-15) |
39g) |
(Il) и (II-1-56) |
| Номер |
Комбинация действующих веществ |
Номер |
Комбинация действующих веществ |
| 13d) |
(Ih) и (II-1-15) |
39h) |
(Im) и (II-1-56) |
| 13е) |
(Ii) и (II-1-15) |
40a) |
(Ia) и (II-1-57) |
| 13f) |
(Ik) и (II-1-15) |
40b) |
(Ie) и (II-1-57) |
| 13g) |
(Il) и (II-1-15) |
40c) |
(Ig) и (II-1-57) |
| 13h) |
(Im) и (II-1-15) |
40d) |
(Ih) и (II-1-57) |
| 14а) |
(Ia) и (II-1-16) |
40e) |
(Ii) и (II-1-57) |
| 14b) |
(Ie) и (II-1-16) |
40f) |
(Ik) и (II-1-57) |
| 14с) |
(Ig) и (II-1-16) |
40g) |
(Il) и (II-1-57) |
| 14d) |
(Ih) и (II-1-16) |
40h) |
(Im) и (II-1-57) |
| 14е) |
(Ii) и (II-1-16) |
41a) |
(Ia) и (II-1-58) |
| 14f) |
(Ik) и (II-1-16) |
41b) |
(Ie) и (II-1-58) |
| 14g) |
(Il) и (II-1-16) |
41с) |
(Ig) и (II-1-58) |
| 14h) |
(Im) и (II-1-16) |
41d) |
(Ih) и (II-1-58) |
| 15а) |
(Ia) и (II-1-19) |
41e) |
(Ii) и (II-1-58) |
| 15b) |
(Ie) и (II-1-19) |
41f) |
(Ik) и (II-1-58) |
| 15с) |
(Ig) и (II-1-19) |
41g) |
(Il) и (II-1-58) |
| 15d) |
(Ih) и (II-1-19) |
41h) |
(Im) и (II-1-58) |
| 15е) |
(Ii) и (II-1-19) |
42a) |
(Ia) и (II-1-60) |
| 15f) |
(Ik) и (II-1-19) |
42b) |
(Ie) и (II-1-60) |
| 15g) |
(Il) и (II-1-19) |
42c) |
(Ig) и (II-1-60) |
| 15h) |
(Im) и (II-1-19) |
42d) |
(Ih) и (II-1-60) |
| 16а) |
(Ia) и (II-1-21) |
42e) |
(Ii) и (II-1-60) |
| 16b) |
(Ie) и (II-1-21) |
42f) |
(Ik) и (II-1-60) |
| 16с) |
(Ig) и (II-1-21) |
42g) |
(Il) и (II-1-60) |
| 16d) |
(Ih) и (II-1-21) |
42h) |
(Im) и (II-1-60) |
| 16е) |
(Ii) и (II-1-21) |
43a) |
(Ia) и (II-1-61) |
| 16f) |
(Ik) и (II-1-21) |
43b) |
(Ie) и (II-1-61) |
| 16g) |
(Il) и (II-1-21) |
43c) |
(Ig) и (II-1-61) |
| 16h) |
(Im) и (II-1-21) |
43d) |
(Ih) и (II-1-61) |
| 17а) |
(Ia) и (II-1-22) |
43e) |
(Ii) и (II-1-61) |
| 17b) |
(Ie) и (II-1-22) |
43f) |
(Ik) и (II-1-61) |
| Номер |
Комбинация действующих веществ |
Номер |
Комбинация действующих веществ |
| 17с) |
(Ig) и (II-1-22) |
43g) |
(Il) и (II-1-61) |
| 17d) |
(Ih) и (II-1-22) |
43h) |
(Im) и (II-1-61) |
| 17е) |
(Ii) и (II-1-22) |
44a) |
(Ia) и (II-1-62) |
| 17f) |
(Ik) и (II-1-22) |
44b) |
(Ie) и (II-1-62) |
| 17g) |
(Il) и (II-1-22) |
44c) |
(Ig) и (II-1-62) |
| 17h) |
(Im) и (II-1-22) |
44d) |
(Ih) и (II-1-62) |
| 18а) |
(Ia) и (II-1-23) |
44e) |
(Ii) и (II-1-62) |
| 18b) |
(Ie) и (II-1-23) |
44f) |
(Ik) и (II-1-62) |
| 18с) |
(Ig) и (II-1-23) |
44g) |
(Il) и (II-1-62) |
| 18d) |
(Ih) и (II-1-23) |
44h) |
(Im) и (II-1-62) |
| 18е) |
(Ii) и (II-1-23) |
45a) |
(Ia) и (II-1-64) |
| 18f) |
(Ik) и (II-1-23) |
45b) |
(Ie) и (II-1-64) |
| 18g) |
(Il) и (II-1-23) |
45c) |
(Ig) и (II-1-64) |
| 18h) |
(Im) и (II-1-23) |
45d) |
(Ih) и (II-1-64) |
| 19а) |
(Ia) и (II-1-24) |
45e) |
(Ii) и (II-1-64) |
| 19b) |
(Ie) и (II-1-24) |
45f) |
(Ik) и (II-1-64) |
| 19c) |
(Ig) и (II-1-24) |
45g) |
(Il) и (II-1-64) |
| 19d) |
(Ih) и (II-1-24) |
45h) |
(Im) и (II-1-64) |
| 19е) |
(Ii) и (II-1-24) |
46a) |
(Ia) и (II-1-65) |
| 19f) |
(Ik) и (II-1-24) |
46b) |
(Ie) и (II-1-65) |
| 19g) |
(Il) и (II-1-24) |
46c) |
(Ig) и (II-1-65) |
| 19h) |
(Im) и (II-1-24) |
46d) |
(Ih) и (II-1-65) |
| 20а) |
(Ia) и (II-1-26) |
46e) |
(Ii) и (II-1-65) |
| 20b) |
(Ie) и (II-1-26) |
46f) |
(Ik) и (II-1-65) |
| 20с) |
(Ig) и (II-1-26) |
46g) |
(Il) и (II-1-65) |
| 20d) |
(Ih) и (II-1-26) |
46h) |
(Im) и (II-1-65) |
| 20е) |
(Ii) и (II-1-26) |
47a) |
(Ia) и (II-1-66) |
| 20f) |
(Ik) и (II-1-26) |
47b) |
(Ie) и (II-1-66) |
| 20g) |
(Il) и (II-1-26) |
47c) |
(Ig) и (II-1-66) |
| 20h) |
(Im) и (II-1-26) |
47d) |
(Ih) и (II-1-66) |
| 21а) |
(Ia) и (II-1-27) |
47e) |
(Ii) и (II-1-66) |
| Номер |
Комбинация действующих веществ |
Номер |
Комбинация действующих веществ |
| 21b) |
(Ie) и (II-1-27) |
47f) |
(Ik) и (II-1-66) |
| 21с) |
(Ig) и (II-1-27) |
47g) |
(Il) и (II-1-66) |
| 21d) |
(Ih) и (II-1-27) |
47h) |
(Im) и (II-1-66) |
| 21е) |
(Ii) и (II-1-27) |
48a) |
(Ia) и (II-1-67) |
| 21f) |
(Ik) и (II-1-27) |
48b) |
(Ie) и (II-1-67) |
| 21g) |
(Il) и (II-1-27) |
48c) |
(Ig) и (II-1-67) |
| 21h) |
(Im) и (II-1-27) |
48d) |
(Ih) и (II-1-67) |
| 22а) |
(Ia) и (II-1-29) |
48e) |
(Ii) и (II-1-67) |
| 22b) |
(Ie) и (II-1-29) |
48f) |
(Ik) и (II-1-67) |
| 22с) |
(Ig) и (II-1-29) |
48g) |
(Il) и (II-1-67) |
| 22d) |
(Ih) и (II-1-29) |
48h) |
(Im) и (II-1-67) |
| 22е) |
(Ii) и (II-1-29) |
49a) |
(Ia) и (II-1-68) |
| 22f) |
(Ik) и (II-1-29) |
49b) |
(Ie) и (II-1-68) |
| 22g) |
(Il) и (II-1-29) |
49c) |
(Ig) и (II-1-68) |
| 22h) |
(Im) и (II-1-29) |
49d) |
(Ih) и (II-1-68) |
| 23а) |
(Ia) и (II-1-30) |
49e) |
(Ii) и (II-1-68) |
| 23b) |
(Ie) и (II-1-30) |
49f) |
(Ik) и (II-1-68) |
| 23с) |
(Ig) и (II-1-30) |
49g) |
(Il) и (II-1-68) |
| 23d) |
(Ih) и (II-1-30) |
49h) |
(Im) и (II-1-68) |
| 23е) |
(Ii) и (II-1-30) |
50a) |
(Ia) и (II-1-69) |
| 23f) |
(Ik) и (II-1-30) |
50b) |
(Ie) и (II-1-69) |
| 23g) |
(Il) и (II-1-30) |
50c) |
(Ig) и (II-1-69) |
| 23h) |
(Im) и (II-1-30) |
50d) |
(Ih) и (II-1-69) |
| 24а) |
(Ia) и (II-1-31) |
50e) |
(Ii) и (II-1-69) |
| 24b) |
(Ie) и (II-1-31) |
50f) |
(Ik) и (II-1-69) |
| 24с) |
(Ig) и (II-1-31) |
50g) |
(Il) и (II-1-69) |
| 24d) |
(Ih) и (II-1-31) |
50h) |
(Im) и (II-1-69) |
| 24е) |
(Ii) и (II-1-31) |
51a) |
(Ia) и (II-1-70) |
| 24f) |
(Ik) и (II-1-31) |
51b) |
(Ie) и (II-1-70) |
| 24g) |
(Il) и (II-1-31) |
51с) |
(Ig) и (II-1-70) |
| 24h) |
(Im) и (II-1-31) |
51d) |
(Ih) и (II-1-70) |
| Номер |
Комбинация действующих веществ |
Номер |
Комбинация действующих веществ |
| 25а) |
(Ia) и (II-1-32) |
51е) |
(Ii) и (II-1-70) |
| 25b) |
(Ie) и (II-1-32) |
51f) |
(Ik) и (II-1-70) |
| 25с) |
(Ig) и (II-1-32) |
51g) |
(Il) и (II-1-70) |
| 25d) |
(Ih) и (II-1-32) |
51h) |
(Im) и (II-1-70) |
| 25е) |
(Ii) и (II-1-32) |
52a) |
(Ia) и (II-1-71) |
| 25f) |
(Ik) и (II-1-32) |
52b) |
(Ie) и (II-1-71) |
| 25g) |
(Il) и (II-1-32) |
52c) |
(Ig) и (II-1-71) |
| 25h) |
(Im) и (II-1-32) |
52d) |
(Ih) и (II-1-71) |
| 26а) |
(Ia) и (II-1-33) |
52e) |
(Ii) и (II-1-71) |
| 26b) |
(Ie) и (II-1-33) |
52f) |
(Ik) и (II-1-71) |
| 26с) |
(Ig) и (II-1-33) |
52g) |
(Il) и (II-1-71) |
| 26d) |
(Ih) и (II-1-33) |
52h) |
(Im) и (II-1-71) |
| 26е) |
(Ii) и (II-1-33) |
53a) |
(Ia) и (II-1-72) |
| 26f) |
(Ik) и (II-1-33) |
53b) |
(Ie) и (II-1-72) |
| 26g) |
(Il) и (II-1-33) |
53c) |
(Ig) и (II-1-72) |
| 26h) |
(Im) и (II-1-33) |
53d) |
(Ih) и (II-1-72) |
| 27а) |
(Ia) и (II-1-38) |
53e) |
(Ii) и (II-1-72) |
| 27b) |
(Ie) и (II-1-38) |
53f) |
(Ik) и (II-1-72) |
| 27с) |
(Ig) и (II-1-38) |
53g) |
(Il) и (II-1-72) |
| 27d) |
(Ih) и (II-1-38) |
53h) |
(Im) и (II-1-72) |
Указанные выше заместители, используемые в общем случае или в случае предпочтительных вариантов, можно также произвольным образом комбинировать между собой. Они могут входить в структуру как конечных продуктов, так и используемых для их получения исходных веществ или соответствующих промежуточных соединений.
Согласно изобретению предпочтительными являются комбинации действующих веществ, которые состоят из соединений формул (I) и (II), содержащих сочетания заместителей, указанных выше в качестве предпочтительных.
Согласно изобретению особенно предпочтительными являются комбинации действующих веществ, которые состоят из соединений формул (I) и (II), содержащих сочетания заместителей, указанных выше в качестве особенно предпочтительных.
Согласно изобретению еще более предпочтительными являются комбинации действующих веществ, которые состоят из соединений формул (I) и (II), содержащих сочетания заместителей, указанных выше в качестве еще более предпочтительных.
Насыщенные или ненасыщенные углеводородные остатки, такие как алкил или алкенил, в том числе и в сочетании с гетероатомами, например, в составе алкокси, могут быть, насколько это возможно, соответственно неразветвленными или разветвленными.
При необходимости замещенные остатки могут быть замещены однократно или многократно, причем при многократном замещении соответствующие заместители могут быть одинаковыми или разными.
Кроме того, комбинации действующих веществ могут содержать также другие ингредиенты, обладающие фунгицидным, акарицидным или инсектицидным действием.
В случае, если действующие вещества присутствуют в предлагаемых в изобретении комбинациях действующих веществ в определенных массовых соотношениях, то они проявляют особенно заметный синергетический эффект. Однако массовое соотношение действующих веществ в соответствующих комбинациях можно варьировать в относительно широких пределах. Предлагаемые в изобретении комбинации в общем случае содержат смеси действующих веществ формул (I) и (II) в следующих предпочтительных и особенно предпочтительных соотношениях.
Предпочтительное соотношение компонентов смеси составляет от 250:1 до 1:50.
Особенно предпочтительное соотношение компонентов смеси составляет от 25:1 до 1:10.
Указанные соотношения компонентов являются массовыми соотношениями. Речь при этом идет о массовом отношении действующего вещества формулы (I) к другому ингредиенту смеси, имеющему формулу (II).
Соотношения компонентов смеси, необходимые для проявления синергетического эффекта, необязательно являются предпочтительными массовыми соотношениями, необходимыми для достижения 100%-ной эффективности.
Предлагаемые в изобретении комбинации действующих веществ пригодны для борьбы с вредителями, предпочтительно артроподами и нематодами, прежде всего насекомыми и паукообразными, встречающимися в сельском хозяйстве, в сфере ветеринарии, в лесопосадках, в сфере хранения запасов и материалов, а также в сфере гигиены. Они эффективны по отношению к обычным чувствительным и резистентным видам вредителей на любых или отдельных стадиях их развития. К указанным вредителям относятся следующие виды:
из отряда равноногих, например, Oniscus asellus, Armadillidium vulgare, Porcellio scaber,
из отряда двупарноногих, например, Blaniulus guttulatus,
из отряда губоногих, например, Geophilus carpophagus, Scutigera spp.,
из отряда симфилий, например, Scutigerella immaculata,
из отряда щетинохвосток, например, Lepisma saccharina,
из отряда коллембол, например, Onychiurus armatus,
из отряда прыгающих прямокрылых, например, Acheta domesticus, Gryllotalpa spp., Locusta migratoria migratorioides, Melanoplus spp., Schistocerca gregaria,
из отряда тараканов, например, Blatta orientalis, Periplaneta americana, Leucophaea maderae, Blattella germanica,
из отряда кожистокрылых, например, Forficula auricularia,
из отряда термитов, например, Reticulitermes spp.,
из отряда вшей, например, Pediculus humanus corporis, Haematopinus spp., Linognathus spp., Trichodectes spp., Damalinia spp.,
из отряда бахромчатокрылых, например, Hercinothrips femoralis, Thrips tabaci, Thrips palmi, Frankliniella accidentalis,
из отряда клопов, например, Eurygaster spp., Dysdercus intermedius, Piesma quadrata, Cimex lectularius, Rhodnius prolixus, Triatoma spp.,
из отряда равнокрылых, например, Aleurodes brassicae, Bemisia tabaci, Trialeurodes vaporariorum, Aphis gossypii, Brevicoryne brassicae, Cryptomyzus ribis, Aphis fabae, Aphis pomi, Eriosoma lanigerum, Hyalopterus arundinis, Phylloxera vastatrix, Pemphigus spp., Macrosiphum avenae, Myzus spp., Phorodon humuli, Rhopalosiphum padi, Empoasca spp., Euscelis bilobatus, Nephotettix cincticeps, Lecanium corni, Saissetia oleae, Laodelphax striatellus, Nilaparvata lugens, Aonidiella aurantii, Aspidiotus hederae, Pseudococcus spp., Psylla spp.,
из отряда чешуекрылых, например, Pectinophora gossypiella, Bupalus piniarius, Cheimatobia brumata, Lithocolletis blancardella, Hyponomeuta padella, Plutella xylostella, Malacosoma neustria, Euproctis chrysorrhoea, Lymantria spp., Bucculatrix thurberiella, Phyllocnistis citrella, Agrotis spp., Euxoa spp., Feltia spp., Earias insulana, Heliothis spp., Mamestra brassicae, Panolis flammea, Spodoptera spp., Trichoplusia ni, Carpocapsa pomonella, Pieris spp., Chilo spp., Pyrausta nubilalis, Ephestia kuehniella, Galleria mellonella, Tineola bisselliella, Tinea pellionella, Hofmannophila pseudospretella, Cacoecia podana, Capua reticulana, Choristoneura fumiferana, Clysia ambiguella, Homona magnanima, Tortrix viridana, Cnaphalocerus spp., Oulema oryzae,
из отряда жесткокрылых, например, Anobium punctatum, Rhizopertha dominica, Bruchidius obtectus, Acanthoscelides obtectus, Hylotrupes bajulus, Agelastica aini, Leptinotarsa decemlineata, Phaedon cochleariae, Diabrotica spp., Psylliodes chrysocephala, Epilachna varivestis, Atomaria spp., Oryzaephilus surinamensis, Anthonomus spp., Sitophilus spp., Otiorrhynchus sulcatus, Cosmopolites sordidus, Ceuthorrhynchus assimilis, Hypera postica, Dermestes spp., Trogoderma spp., Anthrenus spp., Attagenus spp., Lyctus spp., Meligethes aeneus, Ptinus spp., Niptus hololeucus, Gibbium psylloides, Tribolium spp., Tenebrio molitor, Agriotes spp., Conoderus spp., Melolontha melolontha, Amphimallon solstitialis, Costelytra zealandica, Lissorhoptrus oryzophilus,
из отряда перепончатокрылых, например, Diprion spp., Hoplocampa spp., Lasius spp., Monomorium pharaonis, Vespa spp.,
из отряда двукрылых, например, Aedes spp., Anopheles spp., Culex spp., Drosophila melanogaster, Musca spp., Fannia spp., Calliphora erythrocephala, Lucilia spp., Chrysomyia spp., Cuterebra spp., Gastrophilus spp., Hyppobosca spp., Stomoxys spp., Oestrus spp., Hypoderma spp., Tabanus spp., Tannia spp., Bibio hortulanus, Oscinella frit, Phorbia spp., Pegomyia hyoscyami, Ceratitis capitata, Dacus oleae, Tipula paludosa, Hylemyia spp., Liriomyza spp.,
из отряда блох, например, Xenopsylla cheopis, Ceratophyllus spp.,
из класса паукообразных, например, Scorpio maurus, Latrodectus mactans, Acarus siro, Argas spp., Ornithodoros spp., Dermanyssus gallinae, Eriophyes ribis, Phyllocoptruta oleivora, Boophilus spp., Rhipicephalus spp., Amblyomma spp., Hyalomma spp., Ixodes spp., Psoroptes spp., Chorioptes spp., Sarcoptes spp., Tarsonemus spp., Bryobia praetiosa, Panonychus spp., Tetranychus spp., Hemitarsonemus spp., Brevipalpus spp.
К паразитирующим на растениях нематодам относятся, например, Pratylenchus spp., Radopholus similis, Ditylenchus dipsaci, Tyienchulus semipenetrans, Heterodera spp., Globodera spp., Meloidogyne spp., Aphelenchoides spp., Longidorus spp., Xiphinema spp., Trichodorus spp., Bursaphelenchus spp.
Комбинации действующих веществ могут быть преобразованы в обычные препараты, такие как растворы, эмульсии, смачивающиеся порошки, суспензии, дусты, распыляемые средства, пасты, растворимые порошки, гранулы, суспензионно-эмульсионные концентраты, природные и синтетические материалы, пропитанные действующими веществами, а также снабженные полимерными оболочками микрокапсулы.
Указанные препараты изготавливают известными методами, например путем смешивания действующих веществ с нейтральными наполнителями, то есть жидкими растворителями и/или твердыми носителями, при необходимости с добавлением поверхностно-активных веществ, то есть эмульгаторов, диспергаторов и/или пенообразующих средств.
В случае использования воды как нейтрального наполнителя в качестве вспомогательных растворителей могут использоваться также, например, органические растворители. В качестве жидких растворителей пригодны в основном ароматические соединения, такие как ксилол и толуол, или алкилнафталины, хлорированные ароматические соединения и хлорированные алифатические углеводороды, такие как хлорбензолы, хлорэтилены или метиленхлорид, алифатические углеводороды, такие как циклогексан или парафины, например, нефтяные фракции, минеральные и растительные масла, спирты, такие как бутанол или гликоль, а также их простые и сложные эфиры, кетоны, такие как ацетон, метилэтилкетон, метилизобутилкетон или циклогексанон, сильно полярные растворители, такие как диметилформамид и диметилсульфоксид, а также вода.
В качестве твердых носителей могут использоваться, например, соли аммония, измельченные природные горные породы, такие как каолин, глинозем, тальк, мел, кварц, аттапульгит, монтмориллонит или диатомовая земля, измельченные синтетические горные породы, такие как высокодисперсная кремниевая кислота, оксид алюминия и силикаты; в качестве твердых носителей для изготовления гранулятов пригодны, например, размолотые и фракционированные природные горные породы, такие как кальцит, мрамор, пемза, сепиолит, доломит, а также синтетические гранулированные материалы из неорганических и органических порошков, грануляты из органических материалов, таких как древесные опилки, скорлупа кокосовых орехов, кукурузные початки и табачные стебли; в качестве эмульгирующих и/или пенообразующих средств пригодны, например, неионогенные и анионные эмульгаторы, такие как сложные эфиры полиэтиленоксида и жирных кислот, простые эфиры полиэтиленоксида и алифатических спиртов, например алкиларилполигликоли, алкилсульфонаты, алкилсульфаты, арилсульфонаты, а также продукты гидролиза белков; пригодными диспергаторами могут быть, например, лигнинсульфитные щелока и метилцеллюлоза.
В препаратах могут использоваться средства, повышающие адгезию, например карбоксиметилцеллюлоза, природные и синтетические полимеры в порошкообразном состоянии или в виде гранул и латексов, такие как гуммиарабик, поливиниловый спирт, поливинилацетат, а также природные (кефалины и лецитины) и синтетические фосфолипиды. Другими добавками могут являться, например, минеральные и растительные масла.
Могут использоваться красящие вещества, такие как неорганические пигменты, например оксид железа, оксид титана и берлинская лазурь, органические красители, например ализариновые красители, азокрасители и металлофталоцианиновые красители, а также микроэлементы, такие как соли железа, марганца, бора, меди, кобальта, молибдена и цинка.
Содержание действующих веществ в препаратах в общем случае составляет от 0,1 до 95% масс., предпочтительно от 0,5 до 90% масс.
Предлагаемые в изобретении комбинации действующих веществ могут находиться в виде стандартных препаратов, а также в виде приготовленных из подобных препаратов рабочих форм, представляющих собой смеси с другими действующими веществами, такими как инсектициды, аттрактанты, стерилизующие средства, бактерициды, акарициды, нематоциды, фунгициды, регулирующие рост вещества или гербициды. К инсектицидам относятся, например, сложные эфиры фосфорной кислоты, карбаматы, сложные эфиры карбоновых кислот, хлорированные углеводороды, фенилмочевина, вещества, полученные с помощью микроорганизмов, и тому подобное.
Возможно также смешивание препаратов с другими известными действующими веществами, такими как гербициды, или с удобрениями и регуляторами роста.
Кроме того, при использовании предлагаемых в изобретении комбинаций действующих веществ в качестве инсектицидов они могут находиться в виде соответствующих стандартных препаратов, а также в виде приготовленных из подобных препаратов рабочих форм, представляющих собой смеси с синергистами. Синергистами являются соединения, благодаря которым повышается эффективность действующих веществ, хотя сам добавленный синергист необязательно должен обладать активностью.
Содержание действующих веществ в приготовленных из стандартных препаратов рабочих формах можно варьировать в широких пределах. Концентрация действующих веществ в рабочих формах может составлять от 0,0000001 до 95% масс., предпочтительно от 0,0001 до 1% масс.
Применение рабочих форм осуществляют обычным методом, выбранным в соответствии с видом рабочей формы.
При применении комбинаций действующих веществ для борьбы с вредителями в сфере гигиены и хранения запасов они отличаются сильным остаточным воздействием на древесину и глину, а также высокой стабильностью при нанесении на обладающие щелочным характером известковые покрытия.
Предлагаемые в изобретении комбинации действующих веществ обладают эффективностью не только по отношению к вредным животным в сфере защиты растений, гигиены и хранения запасов, но и в сфере ветеринарии по отношению к паразитам (эктопаразитам), таким как пастбищные иксодовые клещи, аргасовые клещи, чесоточные клещи, краснотелки, мухи (жалящие и лижущие), паразитирующие личинки мух, вши, власоеды, пухоеды и блохи. К этим паразитам относятся следующие виды:
из отряда вшей, например, Haematopinus spp., Linognathus spp., Pediculus spp., Phtirus spp., Solenopotes spp.,
из отряда пухоедов и подотрядов зерновок Amblycerina, а также Ischnocerina, например, Trimenopon spp., Menopon spp., Trinoton spp., Bovicola spp., Werneckiella spp., Lepikentron spp., Damalina spp., Trichodectes spp., Felicola spp.,
из отряда двукрылых и подотрядов гнусовых Nematocerina, а также настоящих саранчовых, например, Aedes spp., Anopheles spp., Culex spp., Simulium spp., Eusimulium spp., Phlebotomus spp., Lutzomyia spp., Culicoides spp., Chrysops spp., Hybomitra spp., Atylotus spp., Tabanus spp., Haematopota spp., Philipomyia spp., Braula spp., Musca spp., Hydrotaea spp., Stomoxys spp., Haematobia spp., Morellia spp., Fannia spp., Glossina spp., Calliphora spp., Lucilia spp., Chrysomyia spp., Wohlfahrtia spp., Sarcophaga spp., Oestrus spp., Hypoderma spp., Gasterophilus spp., Hippobosca spp., Lipoptena spp., Melophagus spp.,
из отряда блох, например, Pulex spp., Ctenocephalides spp., Xenopsylla spp., Ceratophyllus spp.,
из отряда разнокрылых, например, Cimex spp., Triatoma spp., Rhodnius spp., Panstrongylus spp.,
из отряда тараканов, например Blatta orientalis, Periplaneta americana, Blattela germanica, Supella spp.,
из подкласса клещей и отрядов метастигматических и мезостигматических клещей, например, Argas spp., Ornithodorus spp., Otobius spp., Ixodes spp., Amblyomma spp., Boophilus spp., Dermacentor spp., Haemophysalis spp., Hyalomma spp., Rhipicephalus spp., Dermanyssus spp., Raillietia spp., Pneumonyssus spp., Sternostoma spp., Varroa spp.,
из отряда сосущих акариформных клещей (Prostigmata) и настоящих саранчовых (Astigmata), например, Acarapis spp., Cheyletiella spp., Ornithocheyletia spp., Myobia spp., Psorergates spp., Demodex spp., Trombicula spp., Listrophorus spp., Acarus spp., Tyrophagus spp., Caloglyphus spp., Hypodectes spp., Pterolichus spp., Psoroptes spp., Chorioptes spp., Otodectes spp., Sarcoptes spp., Notoedres spp., Knemidocoptes spp., Cytodites spp., Laminosioptes spp.
Предлагаемые в изобретении комбинации действующих веществ пригодны также для борьбы с артроподами, поражающими сельскохозяйственных пользовательных животных, например, коров, овец, коз, лошадей, свиней, ослов, верблюдов, буйволов, кроликов, кур, индеек, уток, гусей, пчел, прочих домашних животных, например, собак, кошек, комнатных птиц, аквариумных рыб, а также так называемых подопытных животных, например, хомяков, морских свинок, крыс и мышей. Борьба с подобными антроподами позволяет оптимизировать статистику смертельных случаев и снижения продуктивности (по мясу, молоку, шерсти, коже, яйцам, меду и так далее), а следовательно, использование предлагаемых в изобретении комбинаций действующих веществ способствует более экономичному и простому содержанию животных.
Предлагаемые в изобретении комбинации действующих веществ используют в ветеринарии известными методами путем энтерального применения, например, в виде таблеток, капсул, питья, лекарственных доз, гранул, паст, пилюль, с помощью кормушек, суппозиториев, путем парентерального применения, например, посредством инъекций (внутримышечных, подкожных, внутривенных, внутрибрюшинных и так далее), в виде имплантатов, путем чрезносового применения, путем кожного применения в виде, например, окунания или ванн, обрызгивания, поливания (сплошного или небольшими порциями), мытья, опудривания, а также с помощью содержащих действующее вещество формованных изделий, таких как ошейники, ушные и хвостовые бирки, повязки на конечностях, хомуты, маркирующие приспособления и тому подобное.
При применении для сельскохозяйственных животных и птиц, домашних и других животных комбинации действующих веществ можно использовать в виде препаратов (например, дустов, эмульсий, текучих средств), содержащих от 1 до 80% масс. действующих веществ, непосредственно или после разбавления, кратность которого составляет от 100 до 10000, или в виде предназначенных для купания химических ванн.
Кроме того, было обнаружено, что предлагаемые в изобретении комбинации действующих веществ обладают сильным инсектицидным действием на насекомых, разрушающих технические материалы.
Примерами предпочтительных насекомых, не ограничивающими объема изобретения, являются следующие виды:
жуки, такие как Hylotrupes bajulus, Chlorophorus pilosis, Anobium punctatum, Xestobium rufovillosum, Ptilinus pecticornis, Dendrobium pertinex, Ernobius mollis, Priobium carpini, Lyctus brunneus, Lyctus africanus, Lyctus planicollis, Lyctus linearis, Lyctus pubescens, Trogoxylon aequale, Minthes rugicollis, Xyleborus spec., Tryptodendron spec., Apate monachus, Bostrychus capucins, Heterobostrychus brunneus, Sinoxylon spec., Dinoderus minutus,
перепончатокрылые насекомые, такие как Sirex juvencus, Urocerus gigas, Urocerus gigas taignus, Urocerus augur,
термиты, такие как Kalotermes flavicollis, Cryptotermes brevis, Heterotermes indicola, Reticulitermes flavipes, Reticulitermes santonensis, Reticulitermes lucifugus, Mastotermes darwiniensis, Zootermopsis nevadensis, Coptotermes formosanus,
щетинохвостки, такие как Lepisma saccharina.
Под техническими материалами, подверженными разрушению насекомыми, подразумеваются неживые материалы, предпочтительно такие как полимеры, клеящие вещества, клеи, бумага и картон, кожа, древесина, продукты переработки древесины и лакокрасочные материалы.
Еще более предпочтительно под материалами, защищаемыми от поражения насекомыми, подразумевается древесина и продукты ее переработки.
Под древесиной и продуктами ее переработки, которые могут быть защищены предлагаемым в изобретении средством, соответственно содержащей подобные средства смесью, подразумевают, например, следующие:
строительный лесоматериал, деревянные балки, железнодорожные шпалы, детали мостов, причальные мостики, деревянные кузова автомобилей, ящики, поддоны, контейнеры, телеграфные столбы, обшивка из древесины, деревянные окна и двери, клееная фанера, натяжные плиты, столярные изделия или изделия из древесины, которые в общем случае используют при домостроении или в плотницких работах.
Комбинации действующих веществ могут использоваться как таковые, в виде концентратов или в общем случае в виде общеупотребительных препаратов, таких как дусты, грануляты, растворы, суспензии, эмульсии или пасты.
Указанные препараты могут быть приготовлены известными методами, например, путем смешивания действующих веществ по меньшей мере с одним растворителем, соответственно разбавителем, эмульгатором, диспергатором и/или связующим или стабилизирующим материалом, водным репеллентом, при необходимости используемыми сиккативами и УФ-стабилизаторами и при необходимости используемыми красителями и пигментами, а также другими технологическими вспомогательными веществами.
Содержание предлагаемого в изобретении действующего вещества в инсектицидных средствах или концентратах, используемых для защиты древесины и древесных материалов, составляет от 0,0001 до 95% масс., прежде всего от 0,001 до 60% масс..
Количество используемых средств, соответственно концентратов, зависит от вида и наличия насекомых, а также от среды их обитания. Оптимальное количество используемых средств можно определить благодаря осуществлению серий соответствующих испытаний. Однако в общем случае оно составляет от 0,0001 до 20% масс., предпочтительно 0,001 до 10% масс. действующего вещества в пересчете на подлежащий защите материал.
В качестве растворителя и/или разбавителя используют органико-химический растворитель или смесь таких растворителей, труднолетучий масляный или маслоподобный органико-химический растворитель или смесь таких растворителей и/или полярный органико-химический растворитель или смесь таких растворителей, и/или воду, и при необходимости эмульгатор и/или смачивающий агент.
В качестве органико-химического растворителя предпочтительно используют масляный или маслоподобный растворитель с коэффициентом испарения более 35 и температурой воспламенения свыше 30°С, предпочтительно свыше 45°С. В качестве подобного труднолетучего, нерастворимого в воде масляного или маслоподобного растворителя используют соответствующие минеральные масла, их ароматические фракции или содержащие минеральные масла смеси растворителей, предпочтительно уайт-спирит, керосин и/или алкилбензол.
Предпочтительно используют минеральные масла с интервалом кипения от 170 до 220°С, уайт-спирит с интервалом кипения от 170 до 220°С, веретенное масло с интервалом кипения от 250 до 350°С, керосин, соответственно ароматические соединения, с интервалом кипения от 160 до 280°С, скипидар и подобные растворители.
В одном из предпочтительных вариантов осуществления изобретения используют жидкие алифатические углеводороды с интервалом кипения от 180 до 210°С или высококипящие смеси ароматических и алифатических углеводородов с интервалом кипения от 180 до 220°С, веретенное масло и/или монохлорнафталин, предпочтительно -монохлорнафталин.
Часть труднолетучих органических масляных или маслоподобных растворителей с коэффициентом испарения более 35 и температурой воспламенения свыше 30°С, предпочтительно свыше 45°С, может быть заменена легколетучим или обладающим средней летучестью органико-химическим растворителем при условии, что образующаяся в результате подобной замены смесь растворителей также обладает коэффициентом испарения более 35 и температурой воспламенения свыше 30°С, предпочтительно свыше 45°С, а смесь действующих веществ обладает способностью к растворению или эмульгированию в подобной смеси растворителей.
Согласно одному из предпочтительных вариантов осуществления изобретения заменяют часть органико-химического растворителя или смеси таких растворителей или алифатического полярного органико-химического растворителя или смеси таких растворителей. Для замены предпочтительно используют алифатические органико-химические растворители, содержащие гидроксильные группы и/или группы сложных и/или простых эфиров, например простые гликолевые эфиры, сложные эфиры и подобные им вещества.
В качестве органико-химических связующих в соответствии с настоящим изобретением используют известные водоразбавляемые и/или растворимые или диспергируемые, соответственно эмульгируемые в используемых органико-химических растворителях синтетические смолы и/или связывающие высыхающие масла, прежде всего связующие, которые состоят из полиакрилата, винилового полимера, например, поливинилацетата, сложного полиэфира, полимера, полученного поликонденсацией или полиприсоединением, полиуретана, алкидной смолы, соответственно модифицированной алкидной смолы, фенольной смолы, углеводородной смолы, такой как инден-кумароновая смола, полисилоксан, или которые содержат указанные полимеры; высыхающие растительные и/или высыхающие масла и/или физически высыхающие связующие на основе природной и/или синтетической смолы.
Применяемую в качестве связующего синтетическую смолу можно использовать в виде эмульсии, дисперсии или раствора. В качестве связующих могут использоваться также битумы или битуминозные вещества в количестве до 10% масс. Дополнительно могут использоваться известные красители, пигменты, водоотталкивающие средства, средства для изменения запаха, ингибиторы коррозии, соответственно средства защиты от коррозии и подобные продукты.
Согласно изобретению средство или концентрат в качестве органико-химического связующего предпочтительно содержит по меньшей мере одну алкидную смолу, соответственно модифицированную алкидную смолу и/или одно высыхающее растительное масло. Согласно изобретению предпочтительно используют алкидные смолы, содержащие свыше 45% масс., предпочтительно от 50 до 68% масс. масла.
Указанное связующее может быть полностью или частично заменено стабилизирующим средством (смесью стабилизирующих средств) или пластификатором (смесью пластификаторов). Подобные добавки предназначены для предотвращения улетучивания действующих веществ, а также их кристаллизации, соответственно осаждения. Предпочтительно заменяют от 0,01 до 30% связующего (в пересчете на 100% используемого связующего).
Пластификаторы относятся к химическим классам сложных эфиров фталевой кислоты, таких как дибутилфталат, диоктилфталат или бензилбутилфталат, сложных эфиров фосфорной кислоты, таких как трибутилфосфат, сложных эфиров адипиновой кислоты, таких как ди(2-этилгексил)адипат, стеаратов, таких как бутилстеарат или амилстеарат, олеатов, таких как бутилолеат, простых эфиров глицерина или высокомолекулярных простых гликолевых эфиров, сложных эфиров глицерина, а также сложных эфиров п-толуолсульфокислоты.
Химической основой стабилизирующих средств являются простые поливинилалкиловые эфиры, такие как, например, поливинилметиловый эфир, или кетоны, такие как бензофенон и этиленбензофенон.
В качестве растворителя, соответственно разбавителя, прежде всего пригодна также вода, при необходимости используемая в смеси с одним или несколькими указанными выше органико-химическими растворителями, соответственно разбавителями, эмульгаторами и диспергаторами.
Особенно эффективная защита древесины может быть обеспечена благодаря использованию промышленной технологии пропитки, например, в вакууме и двойном вакууме, или методом печати.
Вместе с тем предлагаемые в изобретении комбинации действующих веществ могут использоваться для защиты от обрастания объектов, контактирующих с морской или солоноватой водой, прежде всего таких объектов, как корпуса судов, просеивающие решетки, сети, сооружения, причалы и сигнальные устройства.
Обрастание судов прикрепляющимися олигохетами (малощетинковыми червями), такими как известковые серпулиды, а также моллюсками и видами группы Ledamorpha (утиных моллюсков), такими как различные виды Lepas и Scalpellum, или видами группы Balanomorpha (морской оспы), такими как Balanus или Pollicipes, повышает сопротивление судов трению, а следовательно, приводит к существенному увеличению эксплуатационных расходов, обусловленному возрастанием потребления энергии и, кроме того, необходимостью частого пребывания судов в сухих доках.
Наряду с обрастанием водорослями, например, видов Ectocarpus sp. и Ceramium sp., особое значение имеет, в частности, обрастание группами прикрепляющихся энтомостриков под общим названием Cirripedia (широкопалые речные раки).
Неожиданно было обнаружено, что предлагаемые в изобретении комбинации действующих веществ обладают превосходным противообрастающим эффектом.
Благодаря применению предлагаемых в изобретении комбинаций действующих веществ можно отказаться от использования тяжелых металлов, входящих в состав, например, сульфидов бис-(триалкилолова), лаурата три-н-бутилолова, хлорида три-н-бутилолова, оксида меди(I), хлорида триэтилолова, три-н-бутил(2-фенил-4-хлорфенокси)олова, оксида трибутилолова, дисульфида молибдена, оксида сурьмы, полимерного бутилтитаната, хлорида фенил(бис-пиридин)висмута, фторида три-н-бутилолова, этилен-бис-тиокарбамата марганца, диметилдитиокарбамата цинка, этилен-бис-тиокарбамата цинка, цинковых и медных солей 2-пиридинтиол-1-оксида, бис-диметилдитиокарбамоилцинкэтилен-бис-тиокарбамата, оксида цинка, этилен-бис-дитиокарбамата меди(I), тиоцианата меди, нафтената меди и галогенидов трибутилолова, или существенно уменьшить концентрацию этих соединений.
Готовые к употреблению противообрастающие краски при необходимости могут дополнительно содержать другие действующие вещества, предпочтительно альгициды, фунгициды, гербициды, моллюскоциды, соответственно другие противообрастающие действующие вещества.
В качестве дополнительных компонентов предлагаемых в изобретении противообрастающих средств предпочтительно пригодны:
альгициды, такие как 2-трет-бутиламино-4-циклопропиламино-6-метилтио-1,3,5-триазин, дихлорофен, диурон, эндотал, фентинацетат, изопротурон, метабензтиазурон, оксифлуорфен, квинокламин и тербутрин;
фунгициды, такие как циклогексиламид-S,S-диоксид бензо[b]тиофенкарбоновой кислоты, дихлофлуанид, флуорфолпет, 3-йод-2-пропинилбутилкарбамат, толилфлуанид, и азолы, такие как азаконазол, ципроконазол, эпоксиконазол, гексаконазол, метконазол, пропиконазол и тебуконазол;
моллюскоциды, такие как фентинацетат, метальдегид, метиокарб, никлозамид, тиодикарб и триметакарб;
или общеупотребительные противообрастающие действующие вещества, такие как 4,5-дихлор-2-октил-4-изотиазолин-3-он, дийодметилпаратрисульфон, 2-(N,N-диметилтиокарбамоилтио)-5-нитротиацил, калиевые, медные, натриевые и цинковые соли 2-пиридинтиол-1-оксида, пиридинтрифенилборан, тетрабутилдиоловооксан, 2,3,5,6-тетрахлор-4-(метилсульфонил)пиридин, 2,4,5,6-тетрахлоризофталонитрил, тетраметилтиурамдисульфид и 2,4,6-трихлорфенилмалеинимид.
Концентрация используемых противообрастающих средств в предлагаемых в изобретении комбинациях действующих веществ составляет от 0,001 до 50% масс., прежде всего от 0,01 до 20% масс.
Кроме того, предлагаемые в изобретении противообрастающие средства содержат обычные компоненты, например, приведенные в Ungerer, Chem. Ind. 1985, 37, 730-732 и Williams, Antifouling Marine Coatings, Noyes, Park Ridge, 1973.
Наряду с альгицидными, фунгицидными, моллюскоцидными и предлагаемыми в изобретении инсектицидными действующими веществами противообрастающие краски содержат прежде всего связующие.
Примерами пригодных связующих являются поливинилхлорид в системе растворителей, хлорированный каучук в системе растворителей, полиакрилаты в системе растворителей, прежде всего в водной системе, сополимеры винилхлорида с винилацетатом в виде водных дисперсий или в системах органических растворителей, каучуки на основе бутадиена, стирола и акрилонитрила, высыхающие масла, такие как льняное масло, этерифицированная канифоль или модифицированные высокоплавкие полимеры в сочетании с дегтем или битумами, нефтяной битум, а также эпоксидные соединения, небольшие количества хлоркаучука, хлорированного полипропилена и виниловых полимеров.
Противообрастающие лакокрасочные материалы при необходимости содержат также неорганические пигменты, органические пигменты или красители, которые предпочтительно нерастворимы в морской воде. Кроме того, они могут содержать материалы, обеспечивающие возможность регулируемого высвобождения действующих веществ, такие как канифоль. Наряду с этим противообрастающие лакокрасочные материалы могут содержать пластификаторы, модификаторы реологических свойств, а также другие общеупотребительные ингредиенты. Кроме того, предлагаемые в изобретении соединения или указанные выше смеси можно вводить в состав самополирующихся противообрастающих систем.
Комбинации действующих веществ пригодны также для борьбы с вредными животными, прежде всего насекомыми, паукообразными и клещами, встречающимися в закрытых помещениях, например квартирах, производственных цехах, офисах, салонах автомобилей и других замкнутых пространствах. Для борьбы с указанными вредными животными комбинации действующих веществ можно вводить в состав бытовых инсектицидных продуктов. Они эффективны по отношению к чувствительным и резистентным видам, включая любые стадии их развития. К указанным вредным животным относятся представители:
отряда скорпионов, например, Buthus occitanus,
отряда клещей, например, Argas persicus, Argas reflexus, Bryobia ssp., Dermanyssus gallinae, Glyciphagus domesticus, Ornithodorus moubat, Rhipicephalus sanguineus, Trombicula alfreddugesi, Neutrombicula autumnalis, Dermatophagoides pteronissimus, Dermatophagoides forinae,
отряда пауков, например, Aviculariidae, Araneidae,
отряда пестряков, например, Pseudoscorpiones chelifer, Pseudoscorpiones cheiridium, Opiliones phalangium,
отряда равноногих, например, Oniscus asellus, Porcellio scaber,
отряда двупарноногих, например, Blaniulus guttulatus, Polydesmus spp.,
отряда губоногих, например, Geophilus spp.,
отряда щетинохвосток Zygentoma, например, Ctenolepisma spp., Lepisma saccharina, Lepismodes inquilinus,
отряда тараканов, например, Blatta orientalies, Blattella germanica, Blattella asahinai, Leucophaea maderae, Panchlora spp., Parcoblatta spp., Periplaneta australasiae, Periplaneta americana, Periplaneta brunnea, Periplaneta fuliginosa, Supella longipalpa,
отряда прыгающих прямокрылых, например, Acheta domesticus,
отряда кожистокрылых, например, Forficula auricularia,
отряда термитов, например, Kalotermes spp., Reticulitermes spp.,
отряда сеноедов, например, Lepinatus spp., Liposcelis spp.,
отряда жесткокрылых, например, Anthrenus spp., Attagenus spp., Dermestes spp., Latheticus oryzae, Necrobia spp., Ptinus spp., Rhizopertha dominica, Sitophilus granarius, Sitophilus oryzae, Sitophilus zeamais, Stegobium paniceum,
отряда двукрылых, например, Aedes aegypti, Aedes albopictus, Aedes taeniorhynchus, Anopheles spp., Calliphora erythrocephala, Chrysozona pluvialis, Culex quinquefasciatus, Culex pipiens, Culex tarsalis, Drosophila spp., Fannia canicularis, Musca domestica, Phlebotomus spp., Sarcophaga carnaria, Simulium spp., Stomoxys calcitrans, Tipula paludosa,
отряда чешуекрылых, например, Achroia grisella, Galleria mellonella, Plodia interpunctella, Tinea cloacella, Tinea pellionella, Tineola bisselliella,
отряда блох, например, Ctenocephalides canis, Ctenocephalides felis, Pulex irritans, Tunga penetrans, Xenopsylla cheopis,
отряда перепончатокрылых, например, Camponotus herculeanus, Lasius fuliginosus, Lasius niger, Lasius umbratus, Monomorium pharaonis, Paravespula spp., Tetramorium caespitum,
отряда вшей, например, Pediculus humanus capitis, Pediculus humanus corporis, Phthirus pubis,
отряда клопов, например, Cimex hemipterus, Cimex lectularius, Rhodinus prolixus, Triatoma infestans.
Комбинации действующих веществ применяют в виде аэрозолей, в виде концентрированных растворов без давления для малорасходного применения, осуществляемого, например, путем распыления насосами, пульверизаторами, туманообразующими автоматами и распылителями, в виде пен, гелей, в виде продуктов испарения, осуществляемого посредством испарительных пластин из целлюлозы или пластмассы, гидроиспарителей, гелевых, диафрагменных и пропеллерных испарителей, а также пассивных, соответственно не потребляющих энергию систем испарения, в виде защищающих от моли бумажных полосок, пакетиков и гелей, в виде гранулятов или пылевидных препаратов, в виде предназначенных для разбрасывания отравленных приманок или приманочных полос.
Согласно изобретению обработке можно подвергать все растения и их части. При этом под растениями подразумеваются любые их виды и популяции, такие как желательные и нежелательные дикие или культурные растения (включая встречающиеся в природных условиях культурные растения). Культурными растениями могут являться растения, которые могут быть выращены обычными методами селекции и оптимизации, методами биотехнологии и генной инженерии или сочетаниями указанных методов, включая трансгенные растения и те сорта растений, которые защищены или не защищены сортовыми свидетельствами. Под частями растений подразумеваются любые их надпочвенные и подземные части и органы, такие как побеги, листья, цветки и корни, причем типичными примерами частей растений являются листья, хвоя, стебли, стволы, цветки, околоцветники, плоды и семена, а также корни, клубни и ризомы. К частям растений относятся также собранный урожай и предназначенный для размножения вегетативный и генеративный материал, например, черенки, клубни, ризомы, отводки и семена.
Согласно изобретению обработку растений и их частей действующими веществами осуществляют непосредственно или путем воздействия на окружающую их местность, среду обитания или закрытое хранилище, используя обычные методы обработки, например, путем окунания, опрыскивания, испарения, тонкого распыления, разбрасывания, намазывания, а обработку предназначенного для размножения материала, в особенности семян, осуществляют также путем однослойного или многослойного обертывания.
Как указано выше, обработке согласно изобретению могут подвергаться все растения и их части. Согласно одному из предпочтительных вариантов осуществления изобретения обработке подвергают растения дикого происхождения или растения тех видов и сортов, которые получены общеупотребительными методами разведения, такими как скрещивание или слияние протопласта, а также части подобных растений. Согласно другому предпочтительному варианту обработке подвергают трансгенные растения и те сорта растений, которые созданы методами генной инженерии, используемыми при необходимости в сочетании с обычными методами (генетически модифицированные организмы), а также части таких растений. Смысл понятий «части», соответственно «части растений» или «органы растений», пояснен выше.
Согласно изобретению особенно предпочтительно обработке подвергают растения соответствующих стандартных или находящихся в употреблении сортов.
В зависимости от видов, соответственно сортов растений, их местообитания и условий произрастания (почвы, климата, вегетационного периода, питания) в результате осуществляемой согласно изобретению обработки могут возникать сверхаддитивные (синергетические) эффекты. Возможны, например, следующие, выходящие за пределы ожидаемого эффекты: пониженные дозировки, расширение спектра действия и/или усиление эффективности предлагаемых в изобретении действующих веществ и средств, улучшенный рост растений, повышенная толерантность по отношению к высоким или низким температурам, засухам или высокому влагосодержанию, соответственно засоленности почвы, повышенная интенсивность цветения, более легкая уборка урожая, ускоренное созревание, более высокая фактическая урожайность, более высокое качество и/или более высокая пищевая ценность собранного урожая, более высокая пригодность урожая для хранения и/или переработки.
К предпочтительно обрабатываемым согласно изобретению трансгенным (созданным с использованием генной инженерии) видам, соответственно сортам растений относятся любые растения, которые благодаря генно-инженерному модифицированию содержат генетический материал, придающий этим растениям особенно предпочтительные ценные свойства (генетические признаки). Подобными генетическими признаками являются, например, улучшенный рост растений, повышенная толерантность по отношению к высоким или низким температурам, засухам или высокому влагосодержанию, соответственно засоленности почвы, повышенная интенсивность цветения, более легкая уборка урожая, ускоренное созревание, более высокая фактическая урожайность, более высокое качество и/или более высокая пищевая ценность собранного урожая, более высокая пригодность урожая для хранения и/или переработки. Другими заслуживающими особого упоминания примерами подобных генетических признаков являются повышенная защищенность растений от вредных животных и микроорганизмов, таких как насекомые, клещи, болезнетворные грибки, бактерии и/или вирусы, а также их повышенная толерантность по отношению к определенным гербицидным действующим веществам. Примерами трансгенных растений являются такие важные культурные растения, как зерновые культуры (пшеница, рис), кукуруза, соя, картофель, хлопчатник, табак, рапс, а также плодовые культуры (яблони, груши, цитрусовые, виноград), причем особо следует упомянуть кукурузу, сою, картофель, хлопчатник, табак и рапс. Одним из наиболее важных особых генетических признаков является повышенная защищенность растений от воздействия насекомых, паукообразных, нематод и гусениц, достигаемая благодаря образующимся в растениях (в дальнейшем называемых «Bt растениями») токсинам, прежде всего продуцируемым в них благодаря генетическому материалу, образующемуся из Bacillus Thuringiensis (например, генам CryIA(a), CryIA(b), CryIA(c), CryIIA, CryIIIA, CryIIIB2, Cry9c, Cry2Ab, Cry3Bb и CryIF, а также комбинациям этих генов). Кроме того, в качестве подобных генетических признаков особого упоминания заслуживает повышенная защищенность растений от воздействия грибков, бактерий и вирусов благодаря приобретенной системной устойчивости (SAR = Systemische Akquirierte Resistenz), системину, фитоалексину, элициторам, а также генам резистентности и соответствующим экспримированным белкам и токсинам. Наряду с этим одним из заслуживающих особого упоминания генетических признаков является повышенная толерантность растений по отношению к определенным гербицидным действующим веществам, например, имидазолинонам, сульфонилкарбамидам, глифозату или фосфинотрицину (например, благодаря отцовскому гену). Кроме того, в трансгенных растениях могут присутствовать сочетания генов, обеспечивающих соответствующие желательные генетические признаки. Примерами «Bt растений» могут служить сорта кукурузы, хлопчатника, сои и картофеля, реализуемые на рынке сбыта под торговыми наименованиями YIELD GARD® (например, кукуруза, хлопок, соя), KnockOut® (например, кукуруза), StarLink® (например, кукуруза), Bollgard® (хлопок), Nucotn® (хлопок) и NewLeaf® (картофель). Примерами растений, толерантных по отношению к гербицидам, могут служить сорта кукурузы, хлопка и сои, реализуемые под торговыми наименованиями Roundup Ready® (например, кукуруза, хлопок и соя, толерантные по отношению к глифозату), Liberty Link® (например, pane, толерантный по отношению к фосфинотрицину), IMI® (толерантность по отношению к имидазолинону) и STS® (например, кукуруза, толерантная по отношению к сульфонилкарбамиду). Устойчивыми к гербицидам растениями (которые обычно культивируют толерантными по отношению к гербицидам) являются также сорта, реализуемые под торговым наименованием Clearfield® (например, кукуруза). Приведенная выше информация, очевидно, относится также к тем сортам растений, которые подлежат созданию и реализации на рынке сбыта и будут обладать указанными выше или усовершенствованными особыми генетическими признаками.
Согласно изобретению рассмотренные выше растения особенно предпочтительно можно подвергать обработке предлагаемыми в изобретении смесями действующих веществ. Указанные выше предпочтительные варианты смесей действующих веществ относятся и к обработке подобных растений. Особо следует отметить их обработку смесями, выделенными в предыдущем тексте заявки в качестве особых.
Приведенные ниже примеры демонстрируют высокую инсектицидную и акарицидную активность предлагаемых в изобретении комбинаций действующих веществ. В то время как активность индивидуальных действующих веществ недостаточно высока, их комбинирование обеспечивает эффективность, которая превышает результат простого суммирования эффективности индивидуальных действующих веществ.
Синергитический эффект инсектицидов и акарицидов всегда обнаруживается в том случае, если эффективность комбинации действующих веществ превышает сумму эффективностей отдельных применяемых действующих веществ.
Ожидаемую эффективность той или иной комбинации двух действующих веществ по S.R.Colby, Weeds 15 (1967), 20-22 можно рассчитать следующим образом.
Если
Х означает степень замаривания, выраженную в процентах относительно испытания без обработки, при использовании действующего вещества А в дозировке [г/га] или концентрации [частей на млн] (),
Y означает степень замаривания, выраженную в процентах относительно испытания без обработки, при использовании действующего вещества В в дозировке [г/га] или концентрации [частей на млн] и
Е означает степень замаривания, выраженную в процентах относительно испытания без обработки, при использовании действующих веществ А и В в дозировках и [г/га] или концентрациях и [частей на млн], то .
Если фактическая степень инсектицидного замаривания превышает соответствующее расчетное значение, это означает, что замаривание, достигнутое с использованием комбинации действующих веществ, является сверхаддитивным, то есть наблюдается синергетический эффект.В подобном случае фактически определяемая степень замаривания должна превышать ожидаемую степень замаривания (Е), вычисленную с помощью приведенного выше уравнения.
По истечении желаемого промежутка времени определяют замаривание в процентах. При этом 100% означает, что произошло замаривание всех животных, тогда как 0% свидетельствует о полном отсутствии замаривания.
Примеры применения
Пример А. Тест с совкой хлопковой Heliothis armigera
| Растворитель: |
7 масс.ч. диметилформамида. |
| Эмульгатор: |
2 масс.ч. алкиларилполигликоля. |
Для приготовления удобного в использовании рабочего раствора 1 масс.ч. действующего вещества смешивают с указанными количествами растворителя и эмульгатора, и полученный концентрат разбавляют до желаемой концентрации содержащей эмульгатор водой.
Листья капусты (Brassica oleracea) обрабатывают путем окунания в рабочий раствор действующего вещества желаемой концентрации, и пока листья остаются влажными, насаждают гусеницы совки хлопковой (Heliothis armigera).
По истечении желаемого промежутка времени определяют замаривание гусениц в процентах. При этом 100% означает, что произошло замаривание всех гусениц, тогда как 0% свидетельствует о полном отсутствии замаривания. Определенные показатели замаривания используют для расчета степени замаривания по формуле Colby (смотри страницу 80).
При данном испытании синергетически усиленная активность по сравнению с индивидуально используемыми действующими веществами была обнаружена для следующих комбинаций действующих веществ согласно настоящей заявке.
Пример В. Тест с тлей персиковой зеленой Myzus persicae
| Растворитель: |
7 масс.ч. диметилформамида. |
| Эмульгатор: |
2 масс.ч. алкиларилполигликоля. |
Для приготовления удобного в использовании рабочего раствора 1 масс.ч. действующего вещества смешивают с указанными количествами растворителя и эмульгатора, и полученный концентрат разбавляют до желаемой концентрации содержащей эмульгатор водой.
Листья капусты (Brassica oleracea}, которая была сильно поражена тлей персиковой зеленой (Myzus persicae), обрабатывают путем окунания в рабочий раствор действующего вещества желаемой концентрации.
По истечении желаемого промежутка времени определяют замаривание тли в процентах. При этом 100% означает, что произошло замаривание всей тли, тогда как 0% свидетельствует о полном отсутствии замаривания. Определенные показатели замаривания используют для расчета степени замаривания по формуле Colby (смотри страницу 80).
При данном испытании синергетически усиленная активность по сравнению с индивидуально используемыми действующими веществами была обнаружена для следующей комбинаций действующих веществ согласно настоящей заявке.
Пример С. Тест с листоедом хреновым Phaedon cochleariae
| Растворитель: |
7 масс.ч. диметилформамида. |
| Эмульгатор: |
2 масс.ч. алкиларилполигликоля. |
Для приготовления удобного в использовании рабочего раствора 1 масс.ч. действующего вещества смешивают с указанными количествами растворителя и эмульгатора, и полученный концентрат разбавляют до желаемой концентрации содержащей эмульгатор водой.
Листья капусты (Brassica oleracea) обрабатывают путем окунания в рабочий раствор действующего вещества желаемой концентрации, и пока листья остаются влажными, насаждают личинки листоеда хренового (Phaedon cochleariae).
По истечении желаемого промежутка времени определяют замаривание личинок в процентах. При этом 100% означает, что произошло замаривание всех личинок, тогда как 0% свидетельствует о полном отсутствии замаривания. Определенные показатели замаривания используют для расчета степени замаривания по формуле Colby (смотри страницу 80).
При данном испытании синергитически усиленная активность по сравнению с индивидуально используемыми действующими веществами была обнаружена для следующей комбинации действующих веществ согласно настоящей заявке.
Пример D. Тест с молью капустной Plutella xylostella (штамм нормальной чувствительности)
| Растворитель: |
7 масс.ч. диметилформамида. |
| Эмульгатор: |
2 масс.ч. алкиларилполигликоля. |
Для приготовления удобного в использовании рабочего раствора 1 масс.ч. действующего вещества смешивают с указанными количествами растворителя и эмульгатора, и полученный концентрат разбавляют до желаемой концентрации содержащей эмульгатор водой.
Листья капусты (Brassica oleracea) обрабатывают путем окунания в рабочий раствор действующего вещества желаемой концентрации, и пока листья остаются влажными, насаждают гусеницы моли капустной (Plutella xylostella, штамм нормальной чувствительности).
По истечении желаемого промежутка времени определяют замаривание гусениц в процентах. При этом 100% означает, что произошло замаривание всех гусениц, тогда как 0% свидетельствует о полном отсутствии замаривания. Определенные показатели замаривания используют для расчета степени замаривания по формуле Colby (смотри страницу 80).
При данном испытании синергетически усиленная активность по сравнению с индивидуально используемыми действующими веществами была обнаружена для следующих комбинаций действующих веществ согласно настоящей заявке.
Пример Е. Тест с щетинохвосткой Heerwurm (Spodoptera frugiperda)
| Растворитель: |
7 масс.ч. диметилформамида. |
| Эмульгатор: |
2 масс.ч. алкиларилполигликоля. |
Для приготовления удобного в использовании рабочего раствора 1 масс.ч. действующего вещества смешивают с указанными количествами растворителя и эмульгатора, и полученный концентрат разбавляют до желаемой концентрации содержащей эмульгатор водой.
Листья капусты (Brassica oleracea} обрабатывают путем окунания в рабочий раствор биологически активного вещества желаемой концентрации, и пока листья остаются влажными, насаждают гусеницы щетинохвостки Heerwurms (Spodoptera frugiperda).
По истечении желаемого промежутка времени определяют замаривание гусениц в процентах. При этом 100% означает, что произошло замаривание всех гусениц, тогда как 0% свидетельствует о полном отсутствии замаривания. Определенные показатели замаривания используют для расчета степени замаривания по формуле Colby (смотри страницу 80).
При данном испытании синергетически усиленная активность по сравнению с индивидуально используемыми действующими веществами была обнаружена для следующих комбинаций действующих веществ согласно настоящей заявке.
Формула изобретения
1. Инсектицидное средство, содержащее синергетически активную комбинацию действующих веществ, которая состоит из соединений формулы
 в которой R означает
или -, замещенные галогеном; n означает 1; А означает водород; или А и Z совместно с атомами, к которым они присоединены, могут образовывать насыщенное 5-членное гетероциклическое кольцо, содержащее два одинаковых или разных гетероатома из группы серы и азота; Е означает оттягивающий электроны остаток, которым может быть NO2 или CN; Х означает остаток =N; Z означает -N(R)2, причем остатки R являются одинаковыми или разными и означают водород или С1-С4-алкил, являющиеся агонистами и антагонистами никотинэргического ацетилхолинового рецептора, и действующего вещества из группы амидов антраниловой кислоты формулы (II-1)
 в которой R2 означает водород или метил, R3 означает алкил с 1-4 атомами углерода, R4 означает метил, трифторметил, трифторметокси, фтор, хлор, бром или йод, R5 означает водород, фтор, хлор, бром, йод, трифторметил или трифторметокси, R7 означает хлор или бром, R9 означает трифторметил, хлор, бром, дифторметокси или трифторэтокси.
2. Инсектицидное средство по п.1, содержащее одно из следующих соединений формулы (I):
 

 
 

3. Инсектицидное средство по п.1 или 2, содержащее агонисты, соответственно антагонисты никотинэргических ацетилхолиновых рецепторов формулы (I) и амид антраниловой кислоты формулы (II) в соотношении от 625:1 до 1:10.
4. Инсектицидное средство по п.3, содержащее агонисты, соответственно антагонисты никотинэргических ацетилхолиновых рецепторов формулы (II) и амид антраниловой кислоты формулы (II) в соотношении от 25:1 до 1:10.
TK4A – Поправки к публикациям сведений об изобретениях в бюллетенях “Изобретения (заявки и патенты)” и “Изобретения. Полезные модели”
Напечатано: (57) 1. … означают водород или C1-C4-алкил, являющиеся агонистами …
Следует читать: (57) 1. … означают водород или C1-C4-алкил, являющихся агонистами …
Номер и год публикации бюллетеня: 33-2009
Код раздела: FG4A
Извещение опубликовано: 10.08.2010 БИ: 22/2010
TZ4A – Поправки к описаниям изобретений
Часть описания, где обнаружена ошибка: Текст опис., страница 5, строка 40-44
Напечатано: 
Следует читать: 
Номер и год публикации бюллетеня: 33-2009
Извещение опубликовано: 10.08.2010 БИ: 22/2010
TZ4A – Поправки к описаниям изобретений
Часть описания, где обнаружена ошибка: страница 8, строка 20-24
Напечатано: 
Следует читать: 
Номер и год публикации бюллетеня: 33-2009
Извещение опубликовано: 10.08.2010 БИ: 22/2010
|
|