|
|
(21), (22) Заявка: 2008102408/12, 25.01.2008
(24) Дата начала отсчета срока действия патента:
25.01.2008
(43) Дата публикации заявки: 27.07.2009
(46) Опубликовано: 27.11.2009
(56) Список документов, цитированных в отчете о поиске:
RU 2038001 C1, 27.06.1995. RU 2189732 C2, 27.09.2002. RU 2115887 C1, 20.07.1998. RU 2105465 C1, 27.02.1998. ВОРОНЦОВ А.И. и др. Технология защиты леса, Экология. – М.: 1991, с.234-238. ЗАГРЕЕВ В.В. и др. Справочник, Общесоюзные нормативы для таксации лесов. – М.: «КОЛОС», 1992, с.182-185.
Адрес для переписки:
105064, Москва, Гороховский пер., 4, ГУ “Научный центр Проблем аэрокосмического мониторинга”-ЦПАМ “АЭРОКОСМОС”
|
(72) Автор(ы):
Бондур Валерий Григорьевич (RU), Рыбакова Наталья Игоревна (RU), Давыдов Вячеслав Федорович (RU), Галкин Юрий Степанович (RU)
(73) Патентообладатель(и):
Государственное учреждение “Научный центр проблем аэрокосмического мониторинга”-ЦПАМ “АЭРОКОСМОС” (RU), Государственное образовательное учреждение высшего профессионального образования Московский государственный университет леса (ГОУ ВПО МГУЛ) (RU)
|
(54) СПОСОБ ОПРЕДЕЛЕНИЯ КАТЕГОРИЙ СОСТОЯНИЯ ЛЕСНЫХ МАССИВОВ
(57) Реферат:
Способ определения категорий состояния лесных массивов путем их дистанционного зондирования спектрометром и измерения коэффициентов спектральной яркости в спектральных полосах зеленого (G) и красного (R) участков видимого диапазона, расчета индексов жизненности g=G/G+R и красного поражения r=R/G+R, вычисления функции состояния и ее тарировки по измерениям эталонных участков. Синхронно с измерениями коэффициентов спектральной яркости получают изображения участков леса в тех же спектральных полосах. Программным методом вычисляют площадь рельефа древесного полога (Sp) изображения в зеленой полосе видимого спектра. Определяют полноту древостоя (П) через отношение площади рельефа (Sp) к геометрической площади (S) обрабатываемого участка. По величине произведения П×g и калибровочной функции судят о категории состояния лесных массивов. G, R – средние значения спектральной яркости лесного массива в зеленой и красной полосах видимого спектра. Способ позволит повысить точность категорирования лесов путем количественного расчета произведения цветности крон деревьев и полноты древостоя, вычисляемого по изображениям, синхронно получаемым в зеленом участке видимого спектра. 5 ил., 2 табл.
Изобретение относится к лесному хозяйству и может найти применение при дистанционном мониторинге лесных массивов на обширных площадях.
Факторами, вызывающими лесопатологические явления, могут быть как вспышки массового размножения насекомых-вредителей, так и загрязнения воздушной среды вредными выбросами промышленных предприятий. Диагностические признаки повреждения деревьев под воздействием антропогенных факторов совпадают с их физиологической реакцией на климатические аномалии, дефицит минерального питания и другие стрессовые условия. Визуальными признаками поражения деревьев являются некроз хвои или листьев, уменьшение их линейных размеров, изменение окраски, ажурность крон, усыхание ветвей, уменьшение степени охвоенности побегов, суховершинность [см., например, «Шкала оценки категорий состояния насаждений». Справочник. Общесоюзные нормативы для таксации лесов. «Колос», М., 1992 г., стр.182-185, табл. 60, 61, 62]. Известна оценка состояния по проценту потери хвои, ее некротического повреждения, изменения окраски [см. Воронцов А.И., Мозолевская Е.Г., Соколова Э.С. «Технология защиты леса». Учебник. Экология. М., 1991 г., стр.61, табл. 4 – аналог]. В известном способе оценки по потере хвои выделяют пять категорий состояния: 0 – 0 10%, I – 11 25%, II – 25 60%, III – более 60%, IV – отмирающие. Сильное варьирование охвоенности кроны деревьев даже в пределах одной категории состояния, а также невозможность точного учета некротического повреждения хвои, листвы верхней части кроны по наблюдениям с поверхности земли делают данный диагностический способ оценки недостаточно точным. Кроме того, натурные наблюдения каждого дерева участка – трудоемкая процедура.
Более точным интегральным критерием состояния лесных массивов является способ оценки [см., например, Воронцов А.И., Мозолевская Е.Г., Соколова Э С. «Технология защиты леса». Учебник. Экология, М., 1991 г., § 26 п.3.1, стр.235-237 – аналог]. В способе-аналоге категорию состояния (КС) рассчитывают как произведение двух параметров: КС=П·Х, где
П – показатель полноты, учитывающий морфологию (структуру) древостоя;
Х – средневзвешенная охвоенность (облиственность) древостоя.
Для каждого типа насаждений определенного возраста выделяют нормальную (П=0,7), среднюю (П=0,5 0,6) и низкую (П=0,3 0,4) полноту или сомкнутость крон, которым присваивается оценка в баллах 1, 0,8 и 0,55. Пересчетом деревьев и измерениями по ступеням толщины вычисляется сумма поперечных сечений их стволов ( ), которая приравнивается к 10 баллам. Охвоенность
(fi) как мера жизни каждого дерева – здорового, ослабленного, сильно ослабленного, усыхающего, оценивается соответствующими баллами: f1=1, f2=0,8, f3=0,6, f=40,2, f5,6=0. Доля деревьев каждой категории состояния по ступеням толщины Q1 Q6 от подсчитывается как часть от 10. Тогда средневзвешенная охвоенность определяется суммой произведений следующего вида: X=f1Q1+f2Q2+f3Q3+f4Q4. Диапазон изменения категории состояния способа-аналога в различных зонах техногенного угнетения занимает интервал от 9,6 балла (контрольная площадка) до 3,6 в зонах сильного угнетения.
Способу-аналогу присущи следующие недостатки:
– субъективность способа на основе зрительных наблюдений при расчете интегрального критерия, ошибки при распространении оценок пробных площадок на весь массив;
– большая трудоемкость метода, связанная с необходимостью индивидуального пересчета деревьев;
– неоперативность получения результатов.
Ближайшим аналогом к заявляемому техническому решению является «Способ оценки состояния лесов». Патент RU 2038001, A01G 23/00, 1995 г. В способе ближайшего аналога осуществляют зондирование лесов с орбиты искусственного спутника Земли спектрометром, поле зрения которого совмещено с полем зрения цветной телекамеры, измеряют коэффициенты спектральной яркости зондируемой площадки в синем (В), зеленом (G) и красном (R) участках видимого спектра, осуществляют оцифровку измерений, рассчитывают коэффициенты жизненности и поражения , вычисляют функцию взаимной регрессии коэффициентов g, r по большему массиву измерений, тарируют ее по измерениям площадок с известными категориями состояния, получают оценку состояния лесного массива в баллах по численным значениям параметров g, r участка, попадающего в щель спектрометра.
Недостатками аналога следует считать:
– узкий участок наблюдения, попадающий в щель спектрометра, что дает существенные ошибки при распространении полученных оценок на весь массив, попадающий в поле зрения телекамеры;
– невысокая точность результирующей оценки, поскольку учитываются только индекс цветности древесного полога и не учитывается параметр полноты древостоя.
Задача, решаемая заявляемым способом, состоит в повышении точности категорирования лесов путем количественного расчета произведения цветности крон деревьев и полноты древостоя, вычисляемого по изображениям, синхронно получаемым в зеленом участке видимого спектра.
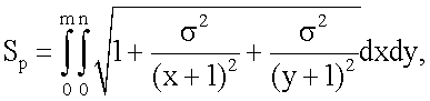
Технический результат достигается тем, что в способе определения категорий состояния лесных массивов путем их дистанционного зондирования спектрометром и измерения коэффициентов спектральной яркости (КСЯ) в спектральных полосах зеленого (G) и красного (R) участков видимого диапазона, расчета индексов жизненности (g) и красного поражения (r), вычисления функции состояния и ее тарировки по измерениям эталонных участков дополнительно синхронно с измерениями КСЯ получают изображения участков леса в тех же спектральных полосах, программным методом вычисляют площадь рельефа древесного полога (Sp) изображения в зеленой полосе видимого спектра, определяют полноту древостоя (П) через отношение площади рельефа(Sр) к геометрической площади (S) обрабатываемого участка и по величине произведения П×g и калибровочной функции судят о категории состояния.
Изобретение поясняется чертежами, где:
фиг.1 – функции спектральной яркости древесных пологов в зависимости от цветности хвои, листьев;
фиг.2 – огибающая рельефа древесного полога в сечении плоскостью x;
фиг.3 – функция полноты древостоев (П) от соотношения площади рельефа Sp и геометрической площади участка S;
фиг.4 – калибровочная функция категорий состояния;
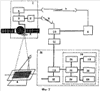
фиг.5 – функциональная схема устройства, реализующая способ.
Техническая сущность способа состоит в следующем.
Отражательные свойства растительных сообществ в видимом диапазоне характеризуются коэффициентом спектральной яркости (КСЯ). Цветность растительности связана с наличием и концентрацией хлорофилла, каратиноидов, а также с содержанием влаги. У зеленых деревьев в результате селективного поглощения падающего светового потока формируется область с максимумом отражения в зеленой полосе спектра ( 550 нм). Атмосферные поллютанты повреждают, в первую очередь, фотосинтезирующие органы растений, через которые, в основном, происходит их поглощение. В стрессовых ситуациях происходит разрушение хлорофилла в клетках растений и они приобретают желтоватую окраску. Зависимость коэффициента спектральной яркости растительности в различных стадиях поражения (вегетации) листвы, хвои иллюстрируется графиками фиг.1, где: 1 – зелено-фиолетовые, 2 – темно-зеленые, 3 – светло-зеленые, 4 – зелено-желтые, 5 – желтые.
Другим самым распространенным фитоценометрическим параметром насаждений является проективное покрытие. Проективное покрытие – это горизонтальная проекция надземных органов всех растений биоценоза на поверхность почвы. Проективное покрытие связано с таким таксационным показателем, как относительная полнота. Относительную полноту оценивают путем визуального восприятия по сомкнутости полога, плотности стояния деревьев с учетом их высот и диаметров [см., например, «Общесоюзные нормативы для таксации лесов». Справочник. Колос. М., 1989 г., стр.116]. Вершины крон деревьев освещены лучше и отражают падающий световой поток почти зеркально. Поэтому кроны деревьев на изображении представляются колоколообразной формой. В промежутках между деревьями падающий световой поток отражается диффузно, поэтому их яркость на изображении существенно ниже. В целом древесный полог на изображении представляется изрезанной функцией рельефа, как это иллюстрируется фиг.2. Плотность стояния, сомкнутость – определяют степень изрезанности рельефа древесного полога. Таким образом, качественными визуальными признаками категорий состояния лесных массивов являются цветность (кроны, хвои, листьев) и степень сомкнутости (изрезанности) рельефа древесного полога. Дистанционный метод зондирования позволяет реализовать количественное измерение перечисленных качественных признаков.
Наиболее чувствительными к изменению цветности являются так называемые хроматические коэффициенты: индекс зелености и красного поражения , где G, R – средние значения спектральной яркости лесного массива в зеленой и красной полосах видимого спектра, как это иллюстрируется графиками фиг.1. При этом, если абсолютные значения коэффициентов спектральной яркости в полосах G, R изменяются на несколько процентов, то их отношения могут изменяться в несколько раз. Рассмотренные хроматические коэффициенты охватывают все стадии дигрессии растительных сообществ, количественное их изменение при деградации лесов происходит монотонно.
Скрытая информация о полноте лесного массива содержится в его изображении в площади рельефа древесного полога. Следовательно, если одновременно с измерениями коэффициента спектральной яркости древесного полога получать изображение, то программными методами обработки сигнала изображений можно вычислить площадь рельефа древесного полога. Существуют технические средства (типа гиперспектрометра «Астрогон-1»), позволяющие вместе с измерением коэффициента спектральной яркости в узких спектральных диапазонах (от 1 до 10 нм) получать двумерное пространственное изображение растительного покрова в виде зависимости амплитуды сигнала А(x, y) от пространственных координат [см., например, Малый космический аппарат «Вулкан – Астрогон» с гиперспектрометром высокого разрешения. Инженерная записка. РАКА, НИИ ЭМ, НТЦ «Реагент», М., 2002 г., стр. 7-11, структурная схема камеры Астрогон – 1].
На фиг.3 представлена зависимость полноты древостоя (П) от соотношения площади рельефа древесного полога (Sp) к геометрической площади анализируемого лесного участка (S). Площадь рельефа (Sp) двумерной функции сигнала изображения А(x, y) вычисляют программным методом из соотношения [см., например, Патент RU 2294622, 2007 г. «Способ определения полноты древостоя». Патент RU 2255357, 2005 г. «Способ определения площади рельефа»]:

где m, n – число строк, столбцов анализируемой матрицы |m×n| изображения;
x, y – текущие координаты функции сигнала А(x, y);
– среднеквадратическое отклонение сигнала


Результат программного расчета иллюстрируется таблицей 1.
| Таблица 1 |
| Отношение Sp/S0 |
1,1 |
1,25 |
1,4 |
1,56 |
1,72 |
1,9 |
2,1 |
2,3 |
| Полнота, П |
1 |
0,9 |
0,8 |
0,7 |
0,6 |
0,5 |
0,4 |
0,3 |
Геометрическая площадь матрицы изображения So равна произведению числа строк на число столбцов и на площадь одного пикселя. Площадь (разрешение) пикселя определяется типом используемых средств зондирования и зависит от угла поля зрения и высоты полета носителя. После получения количественных значений параметров (g) и (П) вычисляют их произведение для анализируемого участка лесного массива. Оценку категорий состояния проводят по калибровочной функции, представленной на графике фиг.4. Калибровку функции проводят по измерениям эталонных участков.
Пример реализации способа
Заявляемый способ может быть реализован на базе устройства фиг.5. Функциональная схема устройства фиг.5 содержит орбитальный комплекс наблюдения 1 типа Международной космической станции (МКС) с установленной на ее борту поворотной платформой 2 (±15° от надира) и гиперспектрометром 3 (типа Астрогон-1). Съемка запланированных участков 4 лесных массивов, включение гиперспектрометра 3 и выставка поворотной платформы 2 осуществляет бортовой комплекс управления 5 (БКУ) по командам, передаваемым из центра управления полетом 6 (ЦУП) по радиолинии управления 7. Измерительную информацию зондирования лесных массивов записывают на бортовой видеомагнитофон 8 (типа «Нива») и в сеансах видимости МКС с наземных пунктов сбрасывают по автономным каналам передачи данных 9 на наземные пункты приема информации 10 (ППИ), где осуществляется запись массивов информации на видеомагнитофон 11 (типа «Арктур»). Информацию с ППИ перегоняют по наземным каналам связи в центр тематической обработки 12, где осуществляют выделение кадров по служебным признакам. Скомпонованные массивы изображений лесных участков, по запросам потребителей передают в Региональные центры учета лесных ресурсов, где создают их долговременный архив 13 на базе запоминающих устройств (типа FT-120). Программную обработку изображений лесных участков и расчет категорий состояния осуществляют на ПЭВМ 14 в стандартном наборе элементов: процессора 15, оперативного запоминающего устройства (ОЗУ) 16, винчестера 17, дисплея 18, принтера 19, клавиатуры 20. Программу расчета площади рельефа записывают на винчестер 17. Расчетную величину категорий состояния лесных массивов помещают в базу данных и выводят на сайт 21 сети «Интернет».
Результаты натурных измерений оцениваемых параметров представлены сводной таблицей 2.
Результаты натурных измерений оцениваемых параметров представлены сводной таблицей 2.
| Таблица 2 |
| Характеристика объекта |
g |
r |
Sp/S0 |
П |
П×g |
| Участок II категории |
0,53 |
0,25 |
1,56 |
0,7 |
0,371 |
| Участок III категории |
0,45 |
0,3 |
1,9 |
0,6 |
0,27 |
| Участок IV категории |
0,4 |
0,4 |
2,3 |
0,55 |
0,22 |
Математическим институтом им. Стеклова для получения многопараметрических регрессионных зависимостей рекомендованы степенные функции. Будем искать искомую регрессионную зависимость категории состояния лесного массива (k) от измеряемых параметров g (индекс зелености), r (индекс увядания), П – полота древостоя в виде:
k=а·(g·П)x·ry, где а – коэффициент пропорциональности.
По данным таблицы 2 запишем систему уравнений:

Прологарифмируем систему уравнений из трех неизвестных a, x, y:

Система из трех уравнений с тремя неизвестными имеет однозначное решение. Решение системы проведено по методу Сарриуса-Крамера. Запишем матрицы определителя системы и матрицы алгебраических дополнений неизвестных.

  
После вычисления матриц получены следующие значения неизвестных:
a=1,3; x=-1; y=1/2.
Калибровочная функция примет вид: k=1,3·(П·g)-1·r1/2.
График калибровочной функции иллюстрируется фиг.4. Степень угнетения участка определяют по паре значений [П×g] и r. Пусть, например, в результате измерений получены значения: g=0,49; r=0,29, П=0,6. По графику фиг.4 однозначно устанавливают интервал попадания [П×g]=0,295, r=0,29. Это участок второй категории состояния.
Эффективность способа характеризуется возможностью замены глазомерно-визуальных качественных оценок на инструментально-количественные результаты дистанционного зондирования. При этом обеспечивается отслеживание динамики наблюдаемых процессов, а также повышение оперативности, точности, достоверности, документальности получаемых результатов.
Формула изобретения
Способ определения категорий состояния лесных массивов путем их дистанционного зондирования спектрометром и измерения коэффициентов спектральной яркости в спектральных полосах зеленого (G) и красного (R) участках видимого диапазона, расчете индексов жизненности g=G/G+R и красного поражения r=R/G+R, вычисления функции состояния и ее тарировки по измерениям эталонных участков, отличающийся тем, что синхронно с измерениями коэффициентов спектральной яркости получают изображения участков леса в тех же спектральных полосах, программным методом вычисляют площадь рельефа древесного полога (Sp) изображения в зеленой полосе видимого спектра, определяют полноту древостоя (П) через отношение площади рельефа (Sp) к геометрической площади (S) обрабатываемого участка и по величине произведения П·g и калибровочной функции судят о категории состояния лесных массивов, где G, R – средние значения спектральной яркости лесного массива в зеленой и красной полосах видимого спектра.
РИСУНКИ
|
|