|
|
(21), (22) Заявка: 2008109561/09, 12.03.2008
(24) Дата начала отсчета срока действия патента:
12.03.2008
(46) Опубликовано: 20.11.2009
(56) Список документов, цитированных в отчете о поиске:
БУГА Н.Н. и др. Радиоприемные устройства. – М.: Радио и связь, 1986, 149, рис.5.13а). RU 2208900 С1, 20.07.2003. US 5796309 А, 18.08.1998. ЕР 0682382 А2, 15.11.1995. БАСКАКОВ С.И. Радиотехнические цепи и сигналы. – М.: Высшая школа, 1988, с.289. ГОЛОВКОВ А.А. и др. Взаимосвязи между элементами матрицы сопротивлений и их использование для синтезасогласующе-фильтрующих устройств амплитудно-фазовых манипуляторов. Телекоммуникации, 2004, 8, с.с.29-32.
Адрес для переписки:
394064, г.Воронеж-64, ул. Старых Большевиков, 54а, ГОУ ВПО Воронежское ВВАИУ, научно-исследовательский отдел
|
(72) Автор(ы):
Головков Александр Афанасьевич (RU), Федюнин Игорь Игоревич (RU)
(73) Патентообладатель(и):
Государственное образовательное учреждение высшего профессионального образования “Воронежское высшее военное авиационное инженерное училище (военный институт)” Министерство обороны Российской Федерации (RU)
|
(54) СПОСОБ И УСТРОЙСТВО ДЕМОДУЛЯЦИИ АМПЛИТУДНО-МОДУЛИРОВАННЫХ РАДИОЧАСТОТНЫХ СИГНАЛОВ
(57) Реферат:
Изобретение относится к радиосвязи и может быть использовано для демодуляции (ДМ) амплитудно-манипулированных, а также амплитудно-модулированных (AM) сигналов с заданной коррекцией глубины амплитудной модуляции. Технический результат – обеспечение заданных значений модулей коэффициентов передачи ДМ в двух состояниях нелинейного элемента (НЭ), определяемых двумя крайними значениями уровней входного AM сигнала. В способе и устройстве демодуляции AM сигналов ДМ включают между источником радиочастотных (РЧ) AM сигналов и низкочастотной (НЧ) нагрузкой и выполняют его из четырехполюсника (ЧП), двухэлектродного НЭ, фильтра нижних частот (ФНЧ). С помощью ФНЧ выделяют информационный НЧ сигнал, амплитуда которого изменяется по закону изменения амплитуды AM входного сигнала. Между выходом ЧП и ФНЧ вводят высокочастотную (ВЧ) нагрузку, НЭ включают между источником сигнала и входом ЧП в поперечную цепь. ЧП выполняют из числа реактивных двухполюсников, не меньшего трех, значения параметров которых выбирают из условия обеспечения заданной глубины AM, определяемой заданным значением модуля коэффициента передачи ДМ во втором состоянии НЭ и определенным из условия физической реализуемости значением модуля коэффициента передачи ДМ в первом состоянии НЭ. 2 н.п. ф-лы, 3 ил.
Изобретение относится к радиосвязи и может быть использовано для демодуляции амплитудно-манипулированных и амплитудно-модулированных сигналов.
Все известные способы демодуляции амплитудно-модулированных сигналов (АМС) состоят из выполнения следующих операций. От источника АМС подают на нелинейный элемент, с его помощью разрушают спектр АМС на высокочастотные и низкочастотные составляющие. С помощью фильтра нижних частот (ФНЧ) выделяют низкочастотные составляющие колебания, амплитуда которых изменяется по закону изменения огибающей АМС. С помощью разделительной емкости, включенной в продольную цепь, устраняют постоянную составляющую и низкочастотную переменную составляющую подают на нагрузку.
Наиболее близким по технической сущности и достигаемому результату (прототипом) является устройство демодуляции амплитудно-модулированных сигналов, состоящий в том, что амплитудно-модулированный сигнал подают на демодулятор из параллельно или последовательно включенного полупроводникового диода к фильтру низких частот [Баскаков С.И. Радиотехнические цепи и сигналы. М.: Высшая школа, 1988, стр.286-292]. Принцип действия устройства состоит в том, что с помощью нелинейного элемента (диода) разрушается спектр амплитудно-модулированного сигнала (АМС) на высокочастотные и низкочастотные составляющие. Последние выделяются с помощью фильтра нижних частот и поступают в нагрузку. При необходимости между источником модулированных сигналов и нелинейным элементом или между нелинейным элементом и нагрузкой включают реактивный или резистивный четырехполюсник для согласования и дополнительной селекции сигнала и помехи. В результате на выходе устройства имеем низкочастотное колебание, амплитуда которого изменяется по закону изменения огибающей входного высокочастотного амплитудно-модулированного колебания. Недостаток устройства состоит в том, что при прохождении АМС через указанную цепь глубина модуляции уменьшается, причем чем уже полоса пропускания контура, т.е. чем лучше помехоустойчивость, тем глубина модуляции уменьшается на большую величину. Кроме того, неизвестны абсолютные значения амплитуд низкочастотного колебания в крайних его состояниях. Значения амплитуд определяются абсолютными значениями модулей коэффициентов передачи в двух состояниях и амплитудами входного сигнала. Абсолютные значения модулей коэффициентов передачи демодулятора в двух состояниях нелинейного элемента, определяемых двумя крайними значениями уровней входного АМС, также неизвестны.
Указанный недостаток связан с тем, что в традиционной теории радиотехнических цепей указанный выше четырехполюсник не оптимизируется по критерию обеспечения заданных значений модулей коэффициентов передачи демодулятора в двух состояниях нелинейного элемента, определяемых двумя крайними значениями уровней входного АМС. Не оптимизируется также место включения нелинейного элемента. Это связано с тем, что в традиционной теории нелинейный элемент считается безынерционным, т.е. не имеющим внутренних емкостей и индуктивностей.
Техническим результатом изобретения является обеспечение заданных значений модулей коэффициентов передачи демодулятора в двух состояниях нелинейного элемента, определяемых двумя крайними значениями уровней входного АМС. Это приводит к заданной коррекции глубины амплитудной модуляции независимо от ее значения на входе демодулятора, что повышает помехоустойчивость приемника. Возможность выбора места включения нелинейного элемента обеспечивает повышение возможности физической реализуемости и увеличения рабочей полосы частот.
1. Указанный результат достигается тем, что в способе демодуляции амплитудно-модулированных сигналов, состоящем в том, что демодулятор включают между источником радиочастотных амплитудно-модулированных сигналов и низкочастотной нагрузкой и выполняют его из четырехполюсника, двухэлектродного нелинейного элемента, фильтра нижних частот, с помощью нелинейного элемента разлагают спектр амплитудно-модулированных сигналов, с помощью фильтра нижних частот выделяют информационный низкочастотный сигнал, амплитуда которого изменяется по закону изменения амплитуды амплитудно-модулированного входного сигнала, дополнительно между выходом четырехполюсника и фильтром нижних частот вводят высокочастотную нагрузку, нелинейный элемент включают между источником сигнала и входом четырехполюсника в поперечную цепь, четырехполюсник выполняют из числа реактивных двухполюсников, не меньшего трех, значения параметров которых выбирают из условия обеспечения заданной глубины амплитудной модуляции, определяемой заданным значением модуля коэффициента передачи демодулятора во втором состоянии нелинейного элемента и определенным из условия физической реализуемости значением модуля коэффициента передачи демодулятора в первом состоянии нелинейного элемента, при этом указанные условия определяются следующими математическими выражениями:

; , , a, b, c, d – элементы классической матрицы передачи четырехполюсника; g0, b0 – заданные значения действительной и мнимой составляющих проводимости источника сигнала; gн, bн – заданные значения действительной и мнимой составляющей проводимости нагрузки; g1,2, b1,2 – заданные значения действительной и мнимой составляющих проводимости двухэлектродного управляемого элемента в двух состояниях, определяемых двумя уровнями амплитуды входного амплитудно-модулированного сигнала.
2. Указанный результат достигается тем, что в устройстве демодуляции амплитудно-модулированных сигналов, состоящем из четырехполюсника, двухэлектродного нелинейного элемента, фильтра нижних частот, последовательно включенной разделительной емкости и низкочастотной нагрузки, дополнительно между выходом четырехполюсника и фильтром нижних частот введена высокочастотная нагрузка, двухполюсный нелинейный элемент включен между источником сигнала и входом четырехполюсника в поперечную цепь (параллельно), к высокочастотной нагрузке подключен фильтр нижних частот, четырехполюсник выполнен из четырех реактивных двухполюсников с сопротивлениями х1, х2, х3, х4 в виде каскадно-соединенных между собой двух Г-образных звеньев из двух сопротивлений каждое, значения сопротивлений выбраны из условия обеспечения заданного значения модуля коэффициента передачи демодулятора во втором состоянии нелинейного элемента и условия определения значения модуля коэффициента передачи демодулятора в первом состоянии нелинейного элемента, при котором обеспечивается физическая реализуемость четырехполюсника, при этом указанные условия реализуются путем использования следующих математических выражений:

; ; ; a, b, c, d – элементы классической матрицы передачи четырехполюсника; g0, b0 – заданные значения действительной и мнимой составляющих проводимости источника сигнала; gн,bн – заданные значения действительной и мнимой составляющей проводимости нагрузки; g1,2, b1,2 – заданные значения действительной и мнимой составляющих проводимости двухэлектродного управляемого элемента в двух состояниях, определяемых двумя уровнями амплитуды входного амплитудно-модулированного сигнала.
На фиг.1 показана схема устройства модуляции амплитуды и фазы радиочастотных сигналов (прототип).
На фиг.2 показана структурная схема предлагаемого устройства по п.2.
На фиг.3 приведена схема четырехполюсника, входящая в предлагаемое устройство.
Устройство-прототип содержит источник 1 амплитудно-модулированных сигналов, четырехполюсник 2, нелинейный элемент 3, фильтр нижних частот 4 на элементах R,C, разделительную емкость 5 на элементе Ср и низкочастотную нагрузку 6 на элементах Rн, Сн.
Принцип действия устройства демодуляции амплитудно-модулированных сигналов (прототипа) состоит в следующем.
Амплитудно-модулированный сигнал от источника 1 подают на демодулятор из последовательно включенного полупроводникового диода к ФНЧ. Принцип действия устройства, реализующего этот способ, состоит в том, что с помощью нелинейного элемента 3 разрушается спектр АМС на высокочастотные и низкочастотные составляющие. Последние выделяются с помощью ФНЧ 4 и поступают в низкочастотную нагрузку 6. Между источником модулированных сигналов и нелинейным элементом включен реактивный четырехполюсник 2 для согласования и селекции сигнала и помехи. Разделительная емкость 5 устраняет постоянную составляющую. В результате на выходе устройства имеем низкочастотное колебание, амплитуда которого изменяется по закону изменения огибающей входного высокочастотного амплитудно-модулированного колебания.
Недостаток способа и устройства его реализации состоит в том, что при прохождении АМС через указанную цепь глубина модуляции уменьшается, причем чем уже полоса пропускания контура, т.е. чем лучше помехоустойчивость, тем глубина модуляции уменьшается на большую величину. Кроме того, неизвестны абсолютные значения амплитуд низкочастотного колебания в крайних его состояниях. Значения амплитуд определяются абсолютными значениями модулей коэффициентов передачи в двух состояниях и амплитудами входного сигнала. Абсолютные значения модулей коэффициентов передачи демодулятора в двух состояниях нелинейного элемента, определяемых двумя крайними значениями уровней входного АМС, также неизвестны.
Высокочастотная часть структурной схемы обобщенного предлагаемого устройства по п.2 (фиг.2) состоит из каскадно-соединенных источника сигнала 1, двухполюсного нелинейного элемента 3, включенного между источником сигнала и входом четырехполюсника в поперечную цепь, реактивного четырехполюсника 2, высокочастотной нагрузки 7. Низкочастотная часть структурной схемы содержит ФНЧ 4, разделительную емкость 5 и низкочастотную нагрузку 6. Четырехполюсник выполнен в виде двух Г-образных звеньев из четырех двухполюсников с сопротивлениями х1(8), х2(9), х3(10), х4(11), значения которых выбраны из условия обеспечения заданной коррекции глубины амплитудной модуляции принятого амплитудно-модулированного сигнала.
Принцип действия данного устройства состоит в том, что при подаче АМС от источника 1 с сопротивлением z0 (проводимостью у0) в результате специального выбора значений параметров классической матрицы передачи четырехполюсника 2 (значений сопротивлений двухполюсников) из условий обеспечения заданных значений модулей коэффициентов передачи демодулятора в двух состояниях нелинейного элемента, определяемых двумя крайними значениями уровней входного АМС, после прохождения его через высокочастотную часть достигается минимум искажений входного сигнала. В дальнейшем спектр АМС разрушается при помощи нелинейного элемента 3, ФНЧ 4 выделяет низкочастотную составляющую, постоянная составляющая устраняется с помощью разделительной емкости 5. В результате низкочастотное колебание, амплитуда которого изменяется по закону огибающей АМС, выделяется на низкочастотной нагрузке 6.
Независимо от величины глубины амплитудной модуляции входного амплитудно-модулированного сигнала появляется возможность задания максимальных и минимальных значений амплитуды выходного низкочастотного сигнала. Это приводит к возможности заданной коррекции глубины амплитудной модуляции независимо от ее значения на входе приемника.
При непрерывном изменении амплитуды амплитудно-модулированного сигнала будет реализована демодуляция входного сигнала.
Докажем возможность реализации указанных свойств.
Пусть на фиксированной частоте известны сопротивления источника сигнала Z0=r0+jx0, нагрузки Zн=rн+jxн и нелинейного элемента Z1,2=r1,2+jx1,2(у1,2=g1,2+jb1,2) в двух стояниях, определяемых двумя крайними уровнями амплитуды входного амплитудно-модулированного сигнала.
При взаимодействии амплитудно-модулированного сигнала с демодулятором модули сигнала в двух состояниях, определяемых максимальным и минимальным значениями его амплитуды, перемножаются с модулями коэффициента передачи в этих двух состояниях.
Требуется определить минимальное количество элементов и значения параметров схемы СФУ (реактивного четырехполюсника РЧ), при которых в заданных состояниях управляемого элемента обеспечивались бы заданные значения модулей
m1,2 коэффициента передачи:

Глубина амплитудной модуляции М амплитудно-модулированного сигнала определяются известными выражениями: .
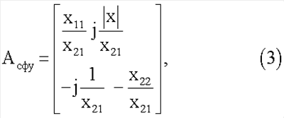
Таким образом, с учетом условия взаимности (x12=-x21) СФУ может характеризоваться матрицей сопротивления

и соответствующей классической матрицей передачи:
А

где =-x11x22-x21 2 – определитель матрицы (2).
Управляемый элемент в первом и втором состояниях характеризуется следующей матрицей передачи:

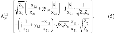
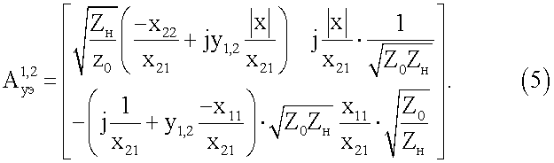
Умножим матрицы (3) и (4). С учетом Z0, Zн найдем нормированную матрицу передачи всего устройства:

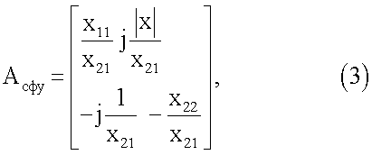
Следовательно [Фельдштейн А.Л., Явич Л.Р. Синтез четырехполюсников и восьмиполюсников на СВЧ. М.: Связь, 1971. с.39] выражение для коэффициента передачи будут иметь вид:

Поскольку управляемый нелинейный элемент включен параллельно то целесообразнее перейти к формулам и выражениям в терминах проводимостей нелинейного элемента, источника сигнала, нагрузки и элементов матрицы проводимости четырехполюсников. В этом случае получаются более простые формулы и выражения. Тогда получим выражения для коэффициентов передачи:

где у0=g0+jb0; ун=gн+jbн проводимости источника сигнала и нагрузки; b11, b21, b22 – элементы матрицы проводимостей четырехполюсника:

Подкоренное выражение в (7) можно представить в виде комплексного числа a1+jb1, где
;
;
x=g0gн-b0bн; y=g0bн+b0gн.
После денормировки коэффициента передачи (6) путем умножения на последнее выражение изменяется а=gн; b=bн.
Денормированный коэффициент передачи связан с физически реализуемой передаточной функцией следующим образом HI,II .
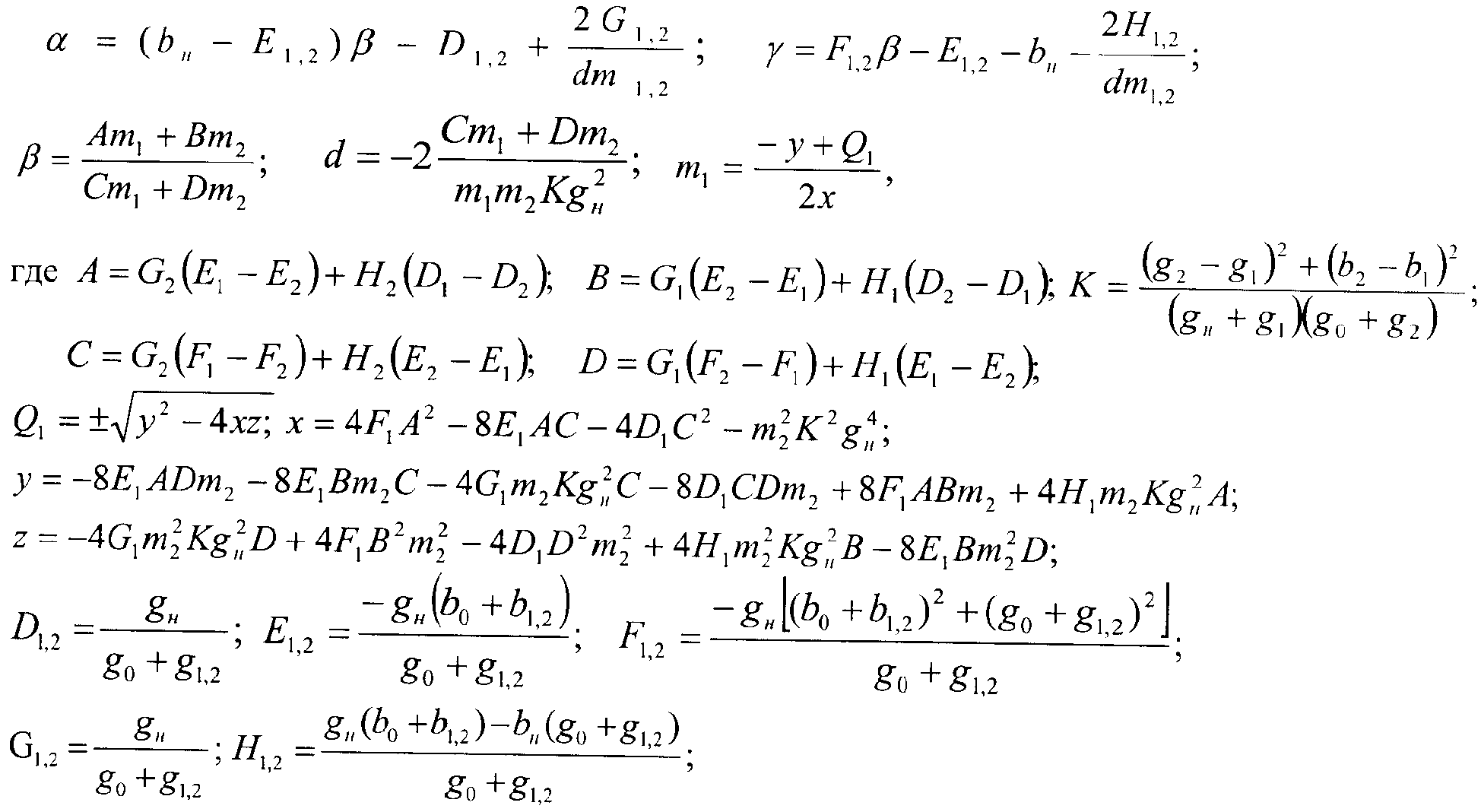
Для получения взаимосвязей, оптимальных по критерию обеспечения заданных значений модулей и фаз коэффициента передачи модулятора в двух состояниях управляемого элемента, подставим (7) в (1) и после разделения действительной и мнимой частей между собой получим систему двух уравнений:

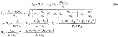
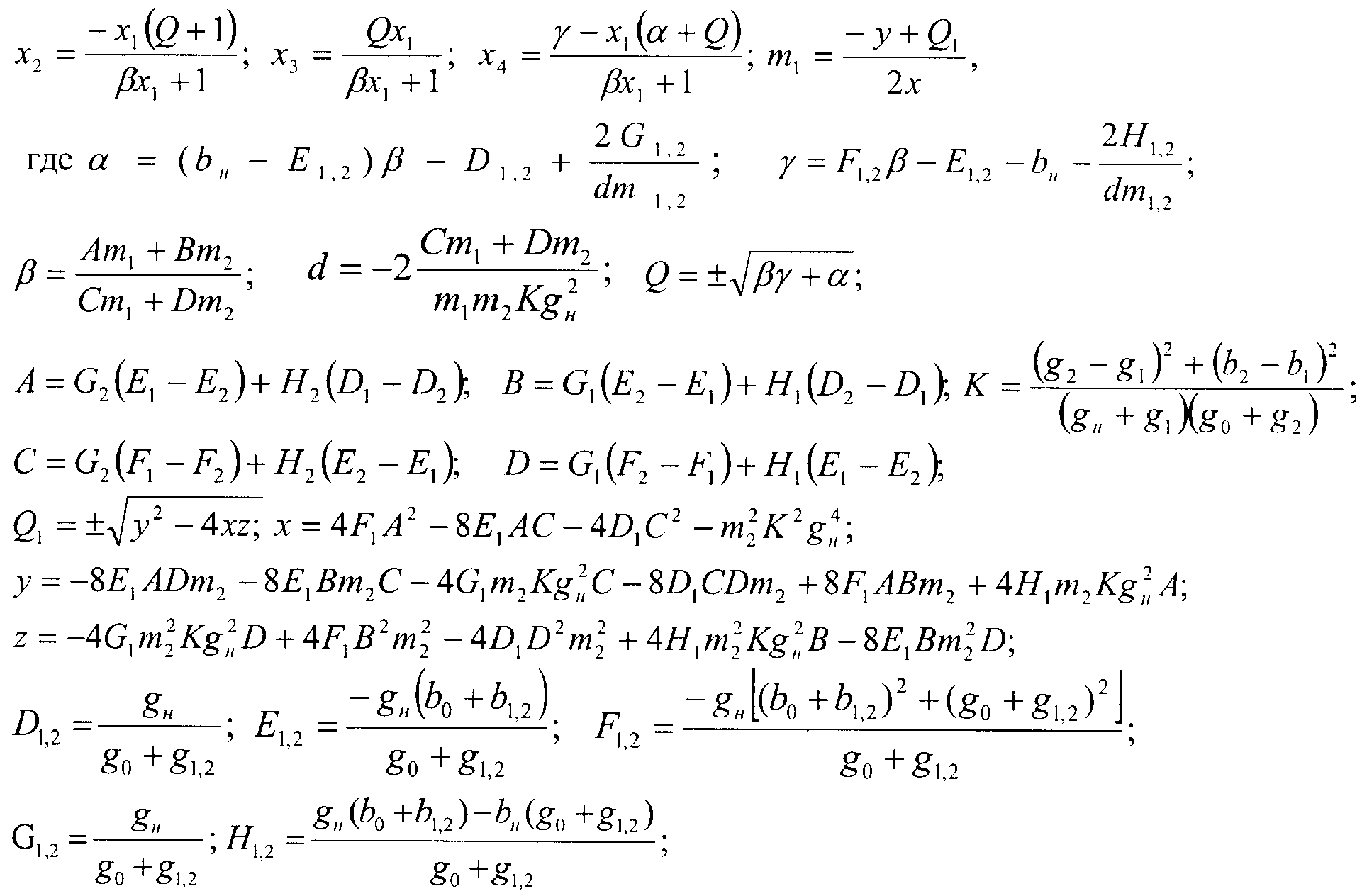
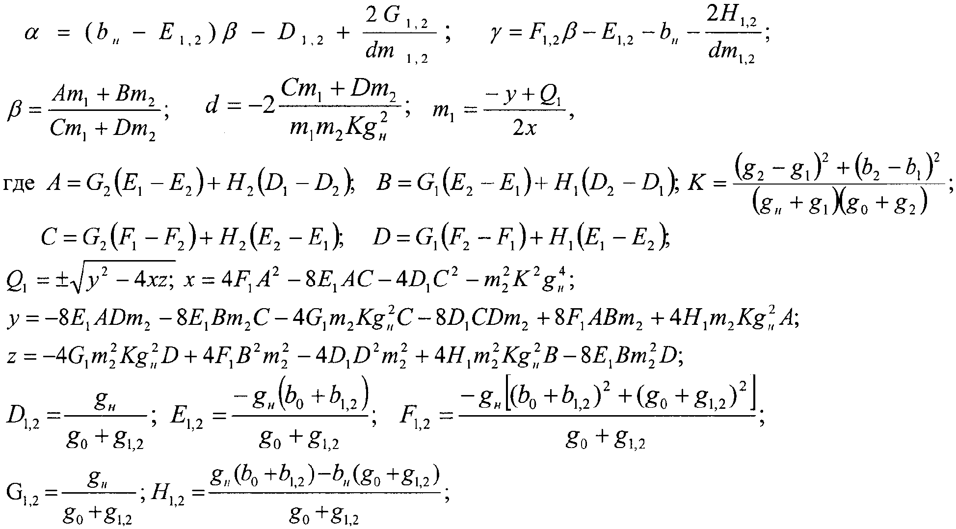
где ; ; .
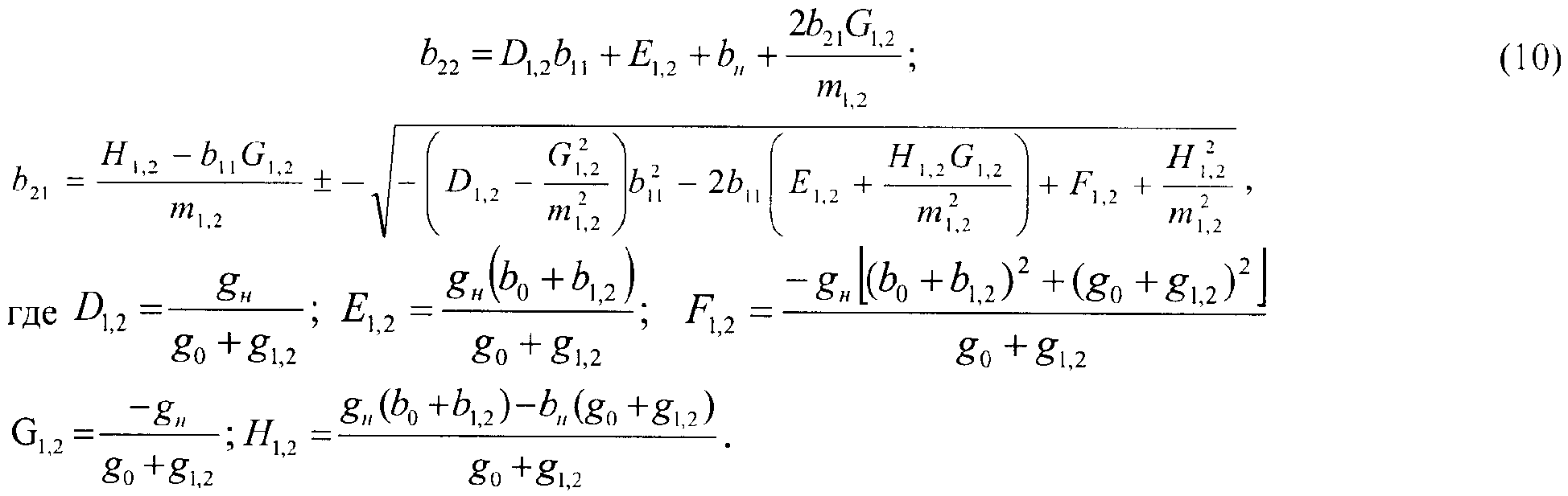
Решение системы (9) имеет вид двух взаимосвязей между элементами матрицы сопротивлений СФУ:

Взаимосвязи (10), записанные для двух состояний, должны быть попарно равны, поскольку характеризуют один и тот же четырехполюсник. Полученные из этих равенств уравнения совместно не решаются. Поэтому необходимо перейти от взаимосвязей между элементами матрицы сопротивлений к взаимосвязям между элементами классической матрицы передачи:

где ; ; ; a, b, c, d – элементы классической матрицы передачи.
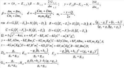
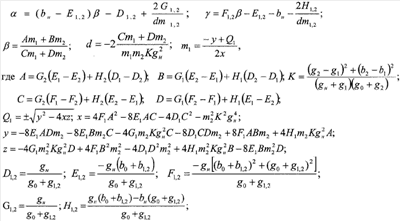
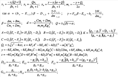
Взаимосвязи между элементами классической матрицы передачи, оптимальные по критерию обеспечения заданных значений модулей и фаз коэффициентов передачи в двух состояниях, имеют вид:

; 
где ; ; ;
; ; ; ; .
Таким образом, все четыре коэффициента , , , а оказываются строго заданными. Однако эти коэффициенты связаны между собой известным условием взаимности четырехполюсника [Фельдштейн А.Л., Явич Л.Р. Синтез четырехполюсников и восьмиполюсников на СВЧ. М.: Связь, 1971. с 14], которое в наших обозначениях имеет следующую форму:

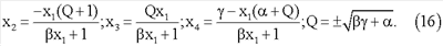
Условие (13) накладывает ограничение на одну из величин, входящих в эти коэффициенты. В данном случае в качестве такой величины удобно выбрать значение модуля коэффициента передачи модулятора в одном из состояний, например:

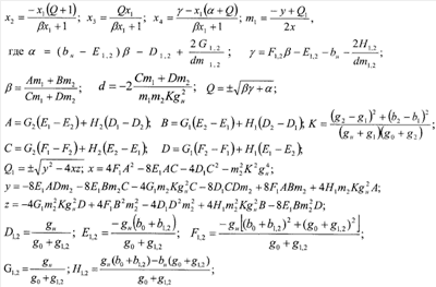
где ; ;
;

Выражение (14) обеспечивает условие (13). Поэтому для определения оптимальных значений сопротивлений двухполюсников, формирующих четырехполюсник, достаточно использовать любые три соотношения из четырех (12).
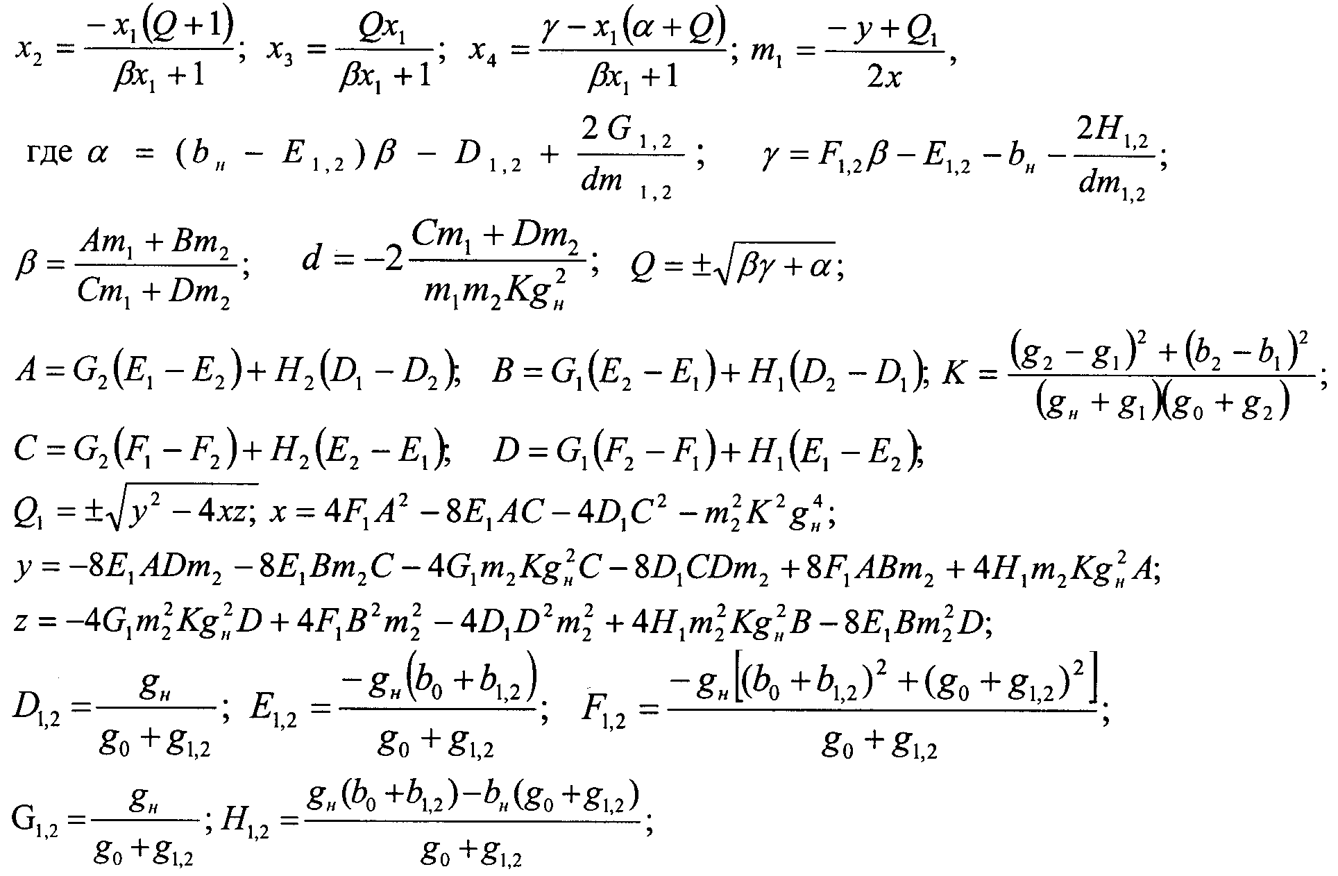
В данной работе используются коэффициенты , , . Это означает, что количество неуправляемых элементов в четырехполюснике должно быть не менее трех. Значения параметров этих элементов, оптимальных по критерию обеспечения требуемых значений m2 должны удовлетворять системе трех уравнений, формируемых на основе (12). Для этого необходимо взять пробную схему четырехполюсника, найти матрицу передачи этой схемы и представить ее в следующем виде:

Найденные таким образом элементы , , , выраженные через параметры схемы, нужно подставить в (12) и решить сформированную систему трех уравнений относительно выбранных трех параметров (например, сопротивлений двухполюсников). Значения остальных параметров могут быть выбраны произвольно или исходя из каких-либо других физических соображений. Эти параметры могут также относиться к управляемой части, то есть участвовать в формировании у1, у2 (входить в коэффициенты D, Е, F,G,H). Выражение (14) определяет значение модуля коэффициента передачи в первом состоянии управляемого элемента. Величина m2 задается исходя из требуемых значений глубины амплитудной модуляции.
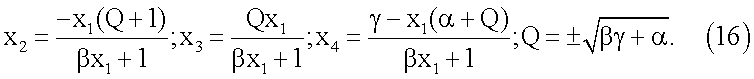
В соответствии с этим алгоритмом были определены математические выражения для отыскания оптимальных значений сопротивлений двухполюсников типовой схемы четырехполюсника в виде двух Г-образных звеньев.
Сопротивления двухполюсников схемы, изображенной на фиг.3, определяется с помощью следующих выражений:

После определения значений сопротивлений конкретная схема четырехполюсника формируется следующим образом. Если xn>0 (n=2, 3, 4 – номер двухполюсника), то это индуктивность
,
где f – заданная частота. Если xn<0, то это емкость
.
Подкоренное выражение в (16) в силу условия (13) всегда положительно.
Предлагаемые технические решения являются новыми, поскольку из общедоступных сведений неизвестно устройство демодуляции амплитудно-модулированных сигналов, обеспечивающее заданные модули коэффициентов передачи демодулятора в двух состояниях двухполюсного управляемого элемента, определяемых двумя крайними уровнями амплитудно-модулированного сигнала, состоящее из управляемого двухполюсного элемента, включенного в поперечную цепь (параллельно) между источником сигнала и входом реактивного четырехполюсника, причем четырехполюсник выполнен в виде двух Г-образных звеньев из четырех реактивных двухполюсников, высокочастотной нагрузки, фильтра нижних частот, разделительной емкости и низкочастотной нагрузки. Параметры двухполюсников определены по соответствующим математическим выражениям. При этом значение модуля коэффициента передачи в одном из состояний выбрано оптимальным по критерию обеспечения физической реализуемости. В обоих состояниях управляемого элемента значения модулей коэффициентов передачи контролируются. Таким образом, независимо от величины глубины амплитудной модуляции входного амплитудно-модулированного сигнала появляется возможность задания максимальных и минимальных значений выходного низкочастотного сигнала.
Предлагаемые технические решения имеют изобретательский уровень, поскольку из опубликованных научных данных и известных технических решений явным образом не следует, что заявленная последовательность операций (выполнение четырехполюсника реактивным в виде указанным выше способом соединенных между собой четырех двухполюсников, выбора значений их параметров из условия обеспечения заданных значений модулей коэффициентов передачи в двух состояниях на заданной частоте при изменении состояния управляемого двухполюсного элемента, включенного между выходом реактивного четырехполюсника и нагрузкой в поперечную цепь, обеспечивает одновременно демодуляцию амплитудно-модулированного сигнала с коррекцией его глубины амплитудной модуляции и физическую реализуемость.
Предлагаемые технические решения практически применимы, так как для их реализации могут быть использованы серийно выпускаемые промышленностью полупроводниковые диоды, индуктивности и емкости, сформированные в заявленную схему реактивного четырехполюсника. Значения параметров индуктивностей и емкостей, а также значение модуля коэффициента передачи в одном состоянии однозначно могут быть определены с помощью математических выражений, приведенных в формуле изобретения.
Технико-экономическая эффективность предложенного устройства заключается в одновременном обеспечении заданных значений модулей коэффициентов передачи амплитудного демодулятора в двух состояниях управляемого элемента, что приводит к заданной коррекции глубины амплитудной модуляции входного сигнала, что, в свою очередь, повышает помехоустойчивость приемника.
Формула изобретения
1. Способ демодуляции амплитудно-модулированных сигналов, состоящий в том, что демодулятор включают между источником радиочастотных амплитудно-модулированных сигналов и низкочастотной нагрузкой и выполняют его из четырехполюсника, двухэлектродного нелинейного элемента, фильтра нижних частот, с помощью нелинейного элемента разлагают спектр амплитудно-модулированных сигналов, с помощью фильтра нижних частот выделяют информационный низкочастотный сигнал, амплитуда которого изменяется по закону изменения амплитуды амплитудно-модулированного входного сигнала, отличающийся тем, что между выходом четырехполюсника и фильтром нижних частот вводят высокочастотную нагрузку, нелинейный элемент включают между источником сигнала и входом четырехполюсника в поперечную цепь, четырехполюсник выполняют из числа реактивных двухполюсников, не меньшего трех, значения параметров которых выбирают из условия обеспечения заданной глубины амплитудной модуляции, определяемой заданным значением модуля коэффициента передачи демодулятора во втором состоянии нелинейного элемента и определенным из условия физической реализуемости значением модуля коэффициента передачи демодулятора в первом состоянии нелинейного элемента, при этом указанные условия определяются следующими математическими выражениями:
 ; ; ; a, b, c, d – элементы классической матрицы передачи четырехполюсника; g0, b0 – заданные значения действительной и мнимой составляющих проводимости источника сигнала; gн, bн – заданные значения действительной и мнимой составляющей проводимости нагрузки; g1,2, b1,2 – заданные значения действительной и мнимой составляющих проводимости двухэлектродного управляемого элемента в двух состояниях, определяемых двумя уровнями амплитуды входного амплитудно-модулированного сигнала.
2. Устройство демодуляции амплитудно-модулированных сигналов, состоящее из четырехполюсника, двухэлектродного нелинейного элемента, фильтра нижних частот, последовательно включенной разделительной емкости и низкочастотной нагрузки, отличающееся тем, что между выходом четырехполюсника и фильтром нижних частот введена высокочастотная нагрузка, двухполюсный нелинейный элемент включен между источником сигнала и входом четырехполюсника в поперечную цепь (параллельно), к высокочастотной нагрузке подключен фильтр нижних частот, четырехполюсник выполнен из четырех реактивных двухполюсников с сопротивлениями x1, x2, x3, x4 в виде каскадно соединенных между собой двух Г-образных звеньев из двух сопротивлений каждое, значения сопротивлений выбраны из условия обеспечения заданного значения модуля коэффициента передачи демодулятора во втором состоянии нелинейного элемента и условия определения значения модуля коэффициента передачи демодулятора в первом состоянии нелинейного элемента, при котором обеспечивается физическая реализуемость четырехполюсника, при этом указанные условия реализуются путем использования следующих математических выражений:
 ; ; ; а, b, с, d – элементы классической матрицы передачи четырехполюсника; g0, b0 – заданные значения действительной и мнимой составляющих проводимости источника сигнала; gн, bн – заданные значения действительной и мнимой составляющей проводимости нагрузки; g1,2, b1,2 заданные значения действительной и мнимой составляющих проводимости двухэлектродного управляемого элемента в двух состояниях, определяемых двумя уровнями амплитуды входного амплитудно-модулированного сигнала.
РИСУНКИ
|
|