|
|
(21), (22) Заявка: 2008113983/09, 09.04.2008
(24) Дата начала отсчета срока действия патента:
09.04.2008
(46) Опубликовано: 20.11.2009
(56) Список документов, цитированных в отчете о поиске:
БУГА Н.Н. и др. Радиоприемные устройства. – М.: Радио и связь, 1986, 149, рис.5.13а). RU 2208900 С1, 20.07.2003. US 5796309 А, 18.08.1998. ЕР 0682382 А2, 15.11.1995. БАСКАКОВ С.И. Радиотехнические цепи и сигналы. – М.: Высшая школа, 1988, с.289. ГОЛОВКОВ А.А. и др. Взаимосвязи между элементами матрицы сопротивлений и их использование для синтезасогласующе-фильтрующих устройств амплитудно-фазовых манипуляторов. Телекоммуникации, 2004, 8, с.с.29-32.
Адрес для переписки:
394064, г.Воронеж-64, ул. Старых Большевиков, 54а, ГОУ ВПО Воронежское ВВАИУ, научно-исследовательский отдел
|
(72) Автор(ы):
Головков Александр Афанасьевич (RU), Федюнин Игорь Игоревич (RU)
(73) Патентообладатель(и):
Государственное образовательное учреждение высшего профессионального образования “Воронежское высшее военное авиационное инженерное училище (военный институт)” Министерства обороны Российской Федерации (RU)
|
(54) СПОСОБ ДЕМОДУЛЯЦИИ АМПЛИТУДНО-МОДУЛИРОВАННЫХ РАДИОЧАСТОТНЫХ СИГНАЛОВ И УСТРОЙСТВО ЕГО РЕАЛИЗАЦИИ
(57) Реферат:
Изобретение относится к области радиосвязи и может быть использовано для демодуляции амплитудно-манипулированных и амплитудно-модулированных (AM) сигналов. Технический результат – обеспечение заданной глубины AM принятого AM сигнала, что повышает помехоустойчивость. В способе и устройстве демодуляции AM сигнал подают на демодулятор (ДМ) из каскадно-соединенных четырехполюсника (ЧП), двухполюсного нелинейного элемента (НЭ), фильтра нижних частот (ФНЧ), последовательно включенной разделительной емкости и низкочастотной (НЧ) нагрузки. С помощью НЭ разлагают спектр AM сигналов на НЧ и высокочастотные (ВЧ) составляющие. С помощью ФНЧ выделяют информационный НЧ сигнал, амплитуда которого изменяется по закону изменения амплитуды AM входного сигнала. Разделительная емкость устраняет постоянную составляющую, при этом между ЧП и ФНЧ включают ВЧ нагрузку. Двухполюсный НЭ включают между источником радиочастотных AM сигналов и ЧП в поперечную цепь. ЧП выполняют из числа реактивных двухполюсников, не меньшего двух. Значения параметров ЧП выбирают из условия обеспечения требуемого значения глубины амплитудной модуляции AM сигнала на ВЧ нагрузке. 2 н.п. ф-лы, 3 ил.
Изобретение относится к радиосвязи и может быть использовано для демодуляции амплитудно-манипулированных и амплитудно-модулированных сигналов.
Все известные способы демодуляции амплитудно-модулированных сигналов (АМС) состоят из выполнения следующих операций. От источника АМС подают на нелинейный элемент, с его помощью разрушают спектр АМС на высокочастотные и низкочастотные составляющие. С помощью фильтра нижних частот (ФНЧ) выделяют низкочастотные составляющие колебания, амплитуда которых изменяется по закону изменения огибающей АМС. С помощью разделительной емкости, включенной в продольную цепь, устраняют постоянную составляющую и низкочастотную переменную составляющую подают на нагрузку.
Наиболее близким по технической сущности и достигаемому результату (прототипом) является способ демодуляции амплитудно-модулированных сигналов, состоящий в том, что амплитудно-модулированный сигнал подают на демодулятор из параллельно или последовательно включенного полупроводникового диода к фильтру низких частот [Баскаков С.И. Радиотехнические цепи и сигналы. М.: Высшая школа, 1988, стр.286-292]. Принцип действия устройства, реализующего этот способ, состоит в том, что с помощью нелинейного элемента (диода) разрушается спектр амплитудно-модулированного сигнала (АМС) на высокочастотные и низкочастотные составляющие. Последние выделяются с помощью фильтра нижних частот и поступают в нагрузку. При необходимости между источником модулированных сигналов и нелинейным элементом или между нелинейным элементом и нагрузкой включают реактивный или резистивный четырехполюсник для согласования и дополнительной селекции сигнала и помехи. В результате на выходе устройства имеем низкочастотное колебание, амплитуда которого изменяется по закону изменения огибающей входного высокочастотного амплитудно-модулированного колебания. Недостаток способа и устройства его реализации состоит в том, что при прохождении АМС через указанную цепь глубина модуляции уменьшается, причем чем уже полоса пропускания контура, т.е. чем лучше помехоустойчивость, тем глубина модуляции уменьшается на большую величину.
Указанный недостаток связан с тем, что в традиционной теории радиотехнических цепей указанный выше четырехполюсник не оптимизируется по критерию обеспечения заданной глубины амплитудной модуляции принятого АМС. Не оптимизируется также место включения нелинейного элемента. Это связано с тем, что в традиционной теории нелинейный элемент считается безынерционным, т.е. не имеющим внутренних емкостей и индуктивностей.
Техническим результатом изобретения является обеспечение заданной глубины амплитудной модуляции принятого амплитудно-модулированного сигнала, что повышает помехоустойчивость. Возможность выбора места включения нелинейного элемента обеспечивает повышение возможности физической реализуемости и увеличения рабочей полосы частот.
1. Указанный результат достигается тем, что в способе демодуляции амплитудно-модулированных сигналов, состоящем в том, что демодулятор включают между источником радиочастотных амплитудно-модулированных сигналов и низкочастотной нагрузкой и выполняют его из каскадно-соединенных четырехполюсника, двухполюсного нелинейного элемента, фильтра нижних частот и разделительной емкости, с помощью нелинейного элемента разлагают спектр амплитудно-модулированных сигналов на низкочастотные и высокочастотные составляющие, с помощью фильтра нижних частот выделяют информационный низкочастотный сигнал, амплитуда которого изменяется по закону изменения амплитуды амплитудно-модулированного входного сигнала, разделительная емкость устраняет постоянную составляющую, дополнительно между четырехполюсником и фильтром нижних частот включают высокочастотную нагрузку, двухполюсный нелинейный элемент включают между источником радиочастотных амплитудно-модулированных сигналов и четырехполюсником в поперечную цепь, четырехполюсник выполняют из числа реактивных двухполюсников, не меньшего двух, значения параметров четырехполюсника выбирают из условия обеспечения требуемого значения глубины амплитудной модуляции амплитудно-модулированного сигнала на высокочастотной нагрузке с помощью следующих математических выражений:

m, mвх, m21 – заданные отношения модулей коэффициента передачи высокочастотной части демодулятора, входного сигнала и сигнала на высокочастотной нагрузке в двух состояниях входного сигнала, характеризуемых двумя крайними значениями амплитуды амплитудно-модулированного сигнала; M21 – глубина модуляции амплитудно-модулированного сигнала на высокочастотной нагрузке; y1,2=g1,2+jb1,2 – заданные значения проводимостей управляемого двухполюсного элемента в двух состояниях (1 и 2), определяемых двумя крайними значениями амплитуды амплитудно-модулированного сигнала; zн=rн+jxн, zo=ro+jxo – заданные комплексные сопротивления нагрузки и источника сигнала; х11, х21, х22 – значения элементов матрицы сопротивлений четырехполюсника, оптимальные по критерию обеспечения заданной глубины модуляции амплитудно-модулированного сигнала на высокочастотной нагрузке.
2. Указанный результат достигается тем, что в устройстве демодуляции амплитудно-модулированных сигналов, состоящем из четырехполюсника, двухполюсного нелинейного элемента, фильтра нижних частот, последовательно включенной разделительной емкости и низкочастотной нагрузки, дополнительно между четырехполюсником и фильтром нижних частот включена высокочастотная нагрузка, нелинейный элемент включен между источником амплитудно-модулированных сигналов и четырехполюсником в поперечную цепь, четырехполюсник выполнен в виде Т-образного соединения трех реактивных двухполюсников, значения сопротивлений x1, x2, x3 двухполюсников выбраны из условия обеспечения требуемого значения глубины амплитудной модуляции амплитудно-модулированного сигнала на высокочастотной нагрузке путем использования следующих математических выражений:

m, mвх, m21 – отношения модулей коэффициента передачи высокочастотной части демодулятора, входного сигнала и сигнала на высокочастотной нагрузке в двух состояниях входного сигнала, характеризуемых двумя крайними значениями амплитуды амплитудно-модулированного сигнала; М21 – глубина амплитудной модуляции амплитудно-модулированного сигнала на высокочастотной нагрузке; y1,2=g1,2+jb1,2 – заданные значения проводимостей управляемого двухполюсного элемента в двух состояниях (1 и 2), определяемых двумя крайними уровнями входного амплитудно-модулированного сигнала; zн=rн+jxн, z0=r0+jx0 – заданные комплексные сопротивления нагрузки и источника сигнала.
На фиг.1 показана схема устройства демодуляции амплитуды радиочастотных сигналов (прототип).
На фиг.2 показана структурная схема предлагаемого устройства по п.2.
На фиг.3 приведена схема четырехполюсника по п.3, входящая в предлагаемое устройство.
Устройство-прототип содержит источник 1 амплитудно-модулированных сигналов, четырехполюсник 2, нелинейный элемент 3, фильтр нижних частот 4 на элементах R, C, разделительная емкость 5 на элементе Ср и низкочастотную нагрузку 6 на элементах Rн, Cн.
Принцип действия устройства демодуляции амплитудно-модулированных сигналов (прототипа) состоит в следующем.
Амплитудно-модулированный сигнал от источника 1 подают на демодулятор из последовательно включенного полупроводникового диода к ФНЧ. Принцип действия устройства, реализующего этот способ, состоит в том, что с помощью нелинейного элемента 3 разрушается спектр АМС на высокочастотные и низкочастотные составляющие. Последние выделяются с помощью ФНЧ 4 и поступают в низкочастотную нагрузку 6. Между источником модулированных сигналов и нелинейным элементом включен реактивный четырехполюсник 2 для согласования и селекции сигнала и помехи. Разделительная емкость 5 устраняет постоянную составляющую. В результате на выходе устройства имеем низкочастотное колебание, амплитуда которого изменяется по закону изменения огибающей входного высокочастотного амплитудно-модулированного колебания.
Недостаток способа и устройства его реализации состоит в том, что при прохождении АМС через указанную цепь глубина модуляции уменьшается, причем чем уже полоса пропускания контура, т.е. чем лучше помехоустойчивость, тем глубина модуляции уменьшается на большую величину.
Высокочастотная часть структурной схемы обобщенного предлагаемого устройства по п.2 (фиг.2) состоит из каскадно-соединенных источника сигнала 1, резистивного четырехполюсника 2, двухполюсного нелинейного элемента 3, включенного между источником АМС и четырехполюсником в поперечную цепь (параллельно), и высокочастотной нагрузки 7. Низкочастотная часть структурной схемы содержит ФНЧ 4, разделительную емкость 5 и низкочастотную нагрузку 6.
Принцип действия данного устройства состоит в том, что при подаче АМС от источника 1 с сопротивлением z0 в результате включения высокочастотной нагрузки между четырехполюсником и фильтром нижних частот, включения нелинейного элемента, включенного между источником АМС и четырехполюсником, в поперечную цепь (параллельно), специального выбора значений параметров классической матрицы передачи четырехполюсника 2 из условий обеспечения заданной глубины амплитудной модуляции АМС после прохождения его через высокочастотную часть достигается минимум искажений входного сигнала. В дальнейшем спектр АМС разрушается при помощи нелинейного элемента 3, ФНЧ 4 выделяет низкочастотную составляющую, постоянная составляющая устраняется с помощью разделительной емкости 5. В результате низкочастотное колебание, амплитуда которого изменяется по закону огибающей АМС, выделяется на низкочастотной нагрузке 6. При непрерывном изменении амплитуды амплитудно-модулированного сигнала будет реализована демодуляция входного сигнала. Четырехполюсник выполнен в виде Т-образного соединения трех двухполюсников. Значения сопротивлений x1(8), x2(9), x3(10) двухполюсников выбраны из условия обеспечения заданного отношения модулей коэффициентов передачи высокочастотной части демодуляторов в двух состояниях нелинейного элемента, соответствующих двум крайним значениям амплитуды входного АМС. Это приводит к формированию заданного значения глубины амплитудной модуляции АМС на высокочастотной нагрузке независимо от ее значения на входе демодулятора.
Докажем возможность реализации указанных свойств.
Пусть на вход демодулятора воздействует амплитудно-модулированное колебание , где Uн, н – амплитуда и частота несущего высокочастотного колебания; ma – глубина амплитудной модуляции; о – начальная фаза; – частота первичного информационного низкочастотного сигнала. Входной модулированный высокочастотный сигнал Sвx и преобразованный с помощью демодулятора высокочастотный сигнал (до фильтра нижних частот) Sвых связаны между собой следующим образом: Sвых=S21Sвх, где под входным и выходным сигналом подразумевается входное и выходное напряжения; S21 – коэффициент передачи.
Рассмотрим амплитудно-модулированные колебания в двух состояниях, характеризуемых крайними значениями диапазона изменения амплитуды.
Запишем указанные физические величины в двух состояниях в комплексной форме ; ; . Таким образом на выходе высокочастотной части демодулятора модули коэффициента передачи и входного сигнала перемножаются, а их фазы складываются. Выходные напряжения в двух состояниях связаны между собой следующим образом:

где ; – отношения модулей коэффициента передачи высокочастотной части демодулятора и входного сигнала в двух состояниях входного сигнала; ; – разности фаз коэффициента передачи высокочастотной части демодулятора и входного сигнала в двух состояниях входного сигнала. Фаза входного АМС постоянна, поэтому разность фаз вх=0. Для уменьшения искажений необходимо положить 21=0.
Введем обозначения: m21=mmвх. Отношения модулей коэффициента передачи высокочастотной части демодулятора m и входного сигнала mвх, а также отношения модулей коэффициента передачи высокочастотной части демодулятора и сигнала m21 на высокочастотной нагрузке связаны с глубиной амплитудной модуляции следующим образом:

где M21, Mвх, М – соответствующие значения глубины амплитудной модуляции.
В двух крайних состояниях входного сигнала нелинейный элемент принимает два значения комплексной проводимости y1,2=g1,2+jb1,2. Пусть, кроме того, комплексные сопротивления высокочастотной нагрузки zн=rн+jxн, источника сигнала z0=r0+jxo0 на несущей частоте известны. Известны также проводимости двухполюсного нелинейного элемента y1,2=g1,2+jb1,2 в указанных двух состояниях, то есть известны его классические матрицы передачи.
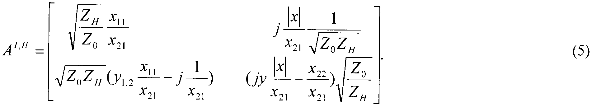
С учетом условия взаимности (x12=-x21) СФУ может характеризоваться матрицей сопротивления

и соответствующей классической матрицей передачи:

где – определитель матрицы (2).
Нелинейный элемент в первом и втором состояниях характеризуется следующей матрицей передачи:

Умножим матрицы (4) и (3). С учетом Z0, Zн найдем нормированную матрицу передачи всего устройства:

Используя известные взаимосвязи между элементами матриц передачи и рассеяния [Фельдштейн А.Л., Явич Л.Р. Синтез четырехполюсников и восьмиполюсников на СВЧ. М.: Связь, 1971, с 39], получим выражения для коэффициентов передачи:

Для получения исходных для синтеза СФУ взаимосвязей между элементами матрицы сопротивлений (2), оптимальных по критерию обеспечения требуемого закона изменения амплитуды проходного сигнала, подставим (6) в (1). Получим систему двух уравнений в виде соответствующих равенств действительных и мнимых составляющих левой и правой частей (1), которые запишем в следующем виде:

Условия физической реализуемости, вытекающие из требования обеспечения положительности подкоренного выражения в (8), сводятся к ограничениям:

где – действительная часть проводимости источника сигнала.
Полученные две взаимосвязи (8) означают, что количество неуправляемых элементов должно быть не менее двух. Значения параметров этих элементов, оптимальных по критерию обеспечения требуемых значений m21, должны удовлетворять системе двух уравнений, формируемых на основе (8). Для этого необходимо взять пробную схему СФУ, найти матрицу сопротивлений этой схемы и представить ее в виде (2). Найденные таким образом элементы х11, x22, х21, выраженные через параметры схемы, нужно подставить в (8) и решить сформированную систему двух уравнений относительно выбранных двух параметров. Значения остальных параметров могут быть выбраны произвольно или исходя из каких-либо других физических соображений. Эти параметры могут также относиться к управляемой части, то есть участвовать в формировании Z1, Z2 (входить в коэффициенты D, Е, F).
В соответствии с описанным алгоритмом была синтезирована схема в виде Т-образного соединения трех двухполюсников. Здесь же приведена матрица сопротивлений этой схемы:

где .
Полученными результатами удобно пользоваться при анализе демодуляционных характеристик амплитудного демодулятора. При синтезе четырехполюсника необходимо положить mвх=1.
После определения значений сопротивлений конкретная схема четырехполюсника формируется следующим образом. Если xn>0 (n=1, 2, 3 – номер двухполюсника), то это
индуктивность , где f – заданная частота.
Если xn<0, то это емкость . Подкоренное выражение в (8) всегда положительно. Значение сопротивления x3 выбирается произвольно или исходя из каких-либо физических соображений, например из условия получения таких значений сопротивлений x1, x2, определяемых по формулам (10), которые бы реализовывали значения индуктивностей и емкостей, близких к номинальным значениям, выпускаемым промышленностью.
Предлагаемые технические решения имеют изобретательский уровень, поскольку из опубликованных научных данных и известных технических решений явным образом не следует, что заявленная последовательность операций (формирование реактивного четырехполюсника соединенными между собой двухполюсниками в виде Т-образного звена с выбором значений параметров реактивных элементов двухполюсников из условия обеспечения демодуляции входного АМС со скорректированной глубиной амплитудной модуляции при использовании нелинейного элемента, включенного между источником сигнала и реактивным четырехполюсником в поперечную цепь (параллельно), причем к введенной высокочастотной нагрузке подключены фильтр нижних частот, разделительная емкость и низкочастотная нагрузка) приводит к заданному увеличению глубины модуляции принятого АМС.
Предлагаемые технические решения практически применимы, так как для их реализации могут быть использованы серийно выпускаемые промышленностью полупроводниковые диоды, индуктивности и емкости, сформированные в заявленную схему реактивного четырехполюсника в виде Т-образного звена. Значения параметров индуктивностей и емкостей однозначно могут быть определены с помощью математических выражений, приведенных в формуле изобретения.
Технико-экономическая эффективность предложенных устройств заключается в обеспечении заданной глубины амплитудной модуляции амплитудно-модулированного сигнала на высокочастотной нагрузке независимо от ее значения на входе демодулятора, что повышает помехоустойчивость и физическую реализуемость.
Формула изобретения
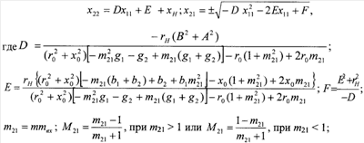
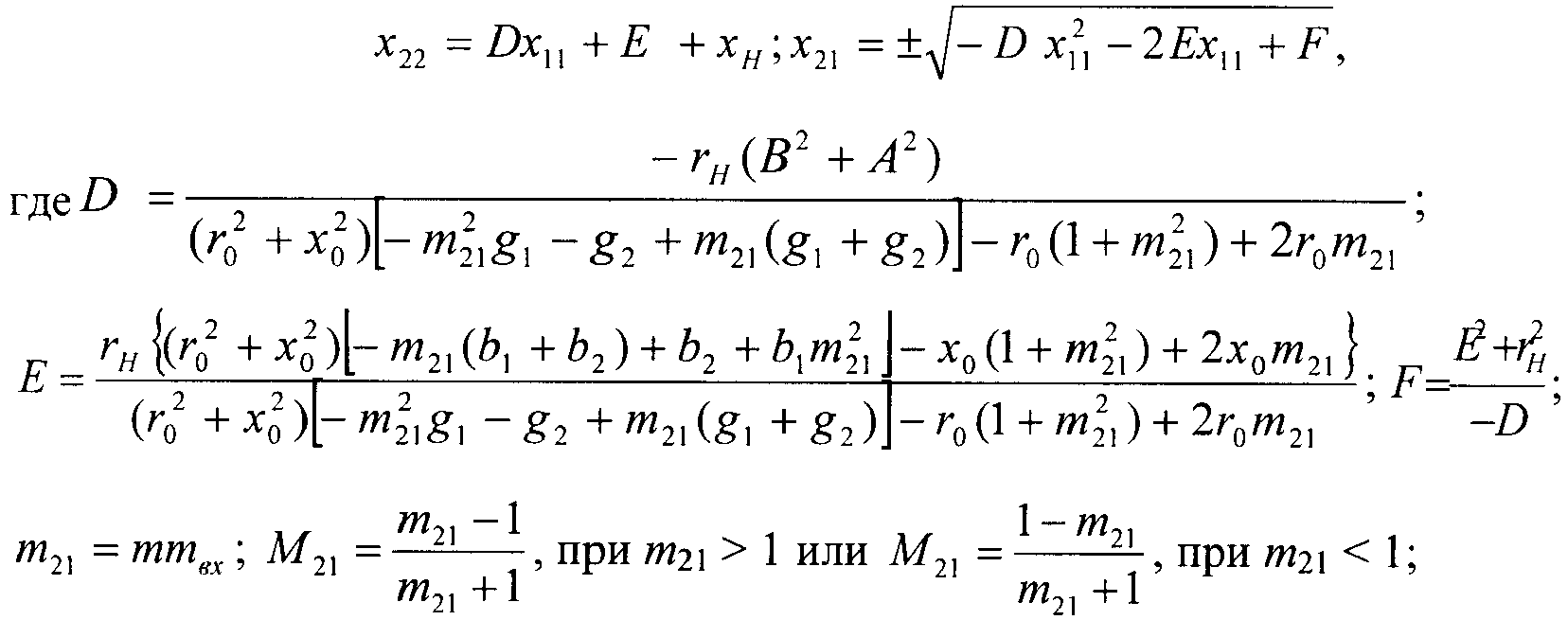
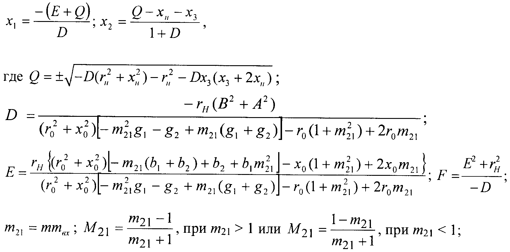
1. Способ демодуляции амплитудно-модулированных сигналов, состоящий в том, что демодулятор включают между источником радиочастотных амплитудно-модулированных сигналов и низкочастотной нагрузкой и выполняют его из каскадно соединенных четырехполюсника, двухполюсного нелинейного элемента, фильтра нижних частот и разделительной емкости, с помощью нелинейного элемента разлагают спектр амплитудно-модулированных сигналов на низкочастотные и высокочастотные составляющие, с помощью фильтра нижних частот выделяют информационный низкочастотный сигнал, амплитуда которого изменяется по закону изменения амплитуды амплитудно-модулированного входного сигнала, разделительная емкость устраняет постоянную составляющую, отличающийся тем, что между четырехполюсником и фильтром нижних частот включают высокочастотную нагрузку, двухполюсный нелинейный элемент включают между источником радиочастотных амплитудно-модулированных сигналов и четырехполюсником в поперечную цепь, четырехполюсник выполняют из числа реактивных двухполюсников, не меньшего двух, значения параметров четырехполюсника выбирают из условия обеспечения требуемого значения глубины амплитудной модуляции амплитудно-модулированного сигнала на высокочастотной нагрузке с помощью следующих математических выражений:
; , где ;
;
; m21=mmвх; , при m21>1 или , при m21<1; m, mвx, m21 – заданные отношения модулей коэффициента передачи высокочастотной части демодулятора, входного сигнала и сигнала на высокочастотной нагрузке в двух состояниях входного сигнала, характеризуемых двумя крайними значениями амплитуды амплитудно-модулированного сигнала; M21 – глубина модуляции амплитудно-модулированного сигнала на высокочастотной нагрузке; y1,2=g1,2+jb1,2 – заданные значения проводимостей управляемого двухполюсного элемента в двух состояниях (1 и 2), определяемых двумя крайними значениями амплитуды амплитудно-модулированного сигнала; zн=rн+jxн, zo=ro+jxo – заданные комплексные сопротивления нагрузки и источника сигнала; x11, x21, x22 – значения элементов матрицы сопротивлений четырехполюсника, оптимальные по критерию обеспечения заданной глубины модуляции амплитудно-модулированного сигнала на высокочастотной нагрузке.
2. Устройство демодуляции амплитудно-модулированных сигналов, состоящее из четырехполюсника, двухполюсного нелинейного элемента, фильтра нижних частот, последовательно включенной разделительной емкости и низкочастотной нагрузки, отличающееся тем, что между четырехполюсником и фильтром нижних частот включена высокочастотная нагрузка, нелинейный элемент включен между источником амплитудно-модулированных сигналов и четырехполюсником в поперечную цепь, четырехполюсник выполнен в виде Т-образного соединения трех реактивных двухполюсников, значения сопротивлений x1, x2, x3 двухполюсников выбраны из условия обеспечения требуемого значения глубины амплитудной модуляции амплитудно-модулированного сигнала на высокочастотной нагрузке путем использования следующих математических выражений:
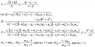
; , где ;
;
;
; m21=mmвх;
, при m21>1 или , при m21<1; m, mвх, m21 – отношения модулей коэффициента передачи высокочастотной части демодулятора, входного сигнала и сигнала на высокочастотной нагрузке в двух состояниях входного сигнала, характеризуемых двумя крайними значениями амплитуды амплитудно-модулированного сигнала; М21 – глубина амплитудной модуляции амплитудно-модулированного сигнала на высокочастотной нагрузке; y1,2=g1,2+jb1,2 – заданные значения проводимостей управляемого двухполюсного элемента в двух состояниях (1 и 2), определяемых двумя крайними уровнями входного амплитудно-модулированного сигнала; zн=rн+jxн, z0=r0+jx0 – заданные комплексные сопротивления нагрузки и источника сигнала.
РИСУНКИ
|
|