|
|
(21), (22) Заявка: 2008113982/09, 09.04.2008
(24) Дата начала отсчета срока действия патента:
09.04.2008
(46) Опубликовано: 20.11.2009
(56) Список документов, цитированных в отчете о поиске:
БУГА Н.Н. и др. Радиоприемные устройства. – М.: Радио и связь, 1986, 149, рис.5.13а). RU 2208900 С1, 20.07.2003. US 5796309 А, 18.08.1998. ЕР 0682382 A2, 15.11.1995. БАСКАКОВ С.И. Радиотехнические цепи и сигналы. – М.: Высшая школа, 1988, с.289. ГОЛОВКОВ А.А. и др. Взаимосвязи между элементами матрицы сопротивлений и их использование для синтезасогласующе-фильтрующих устройств амплитудно-фазовых манипуляторов. Телекоммуникации, 2004, 8, с.с.29-32.
Адрес для переписки:
394064, г.Воронеж-64, ул. Старых Большевиков, 54а, ГОУ ВПО Воронежское ВВАИУ, научно-исследовательский отдел
|
(72) Автор(ы):
Головков Александр Афанасьевич (RU), Федюнин Игорь Игоревич (RU)
(73) Патентообладатель(и):
Государственное образовательное учреждение высшего профессионального образования “Воронежское высшее военное авиационное инженерное училище (военный институт)” Министерства обороны Российской Федерации (RU)
|
(54) СПОСОБ ДЕМОДУЛЯЦИИ АМПЛИТУДНО-МОДУЛИРОВАННЫХ РАДИОЧАСТОТНЫХ СИГНАЛОВ И УСТРОЙСТВО ЕГО РЕАЛИЗАЦИИ
(57) Реферат:
Изобретение относится к области радиосвязи и может быть использовано для демодуляции амплитудно-манипулированных и амплитудно-модулированных (AM) сигналов. Технический результат – обеспечение заданной глубины AM принятого AM сигнала, что повышает помехоустойчивость. В способе и устройстве демодуляции AM сигнал подают на демодулятор (ДМ) из каскадно-соединенных четырехполюсника (ЧП), двухполюсного нелинейного элемента (НЭ), фильтра нижних частот (ФНЧ), последовательно включенной разделительной емкости и низкочастотной (НЧ) нагрузки. НЭ включают в продольную цепь между ЧП и введенной высокочастотной (ВЧ) нагрузкой. К ВЧ нагрузке подключают ФНЧ, ЧП выполняют из числа реактивных двухполюсников, не меньшего двух, значения параметров ЧП выбирают из условия обеспечения требуемого значения глубины AM принятого AM. 2 н.п. ф-лы, 3 ил.
Изобретение относится к радиосвязи и может быть использовано для демодуляции амплитудно-манипулированных и амплитудно-модулированных сигналов.
Все известные способы и устройства демодуляции амплитудно-модулированных сигналов (АМС) состоят из выполнения следующих операций. От источника АМС подают на нелинейный элемент, с его помощью разрушают спектр АМС на высокочастотные и низкочастотные составляющие. С помощью фильтра нижних частот (ФНЧ) выделяют низкочастотные составляющие колебания, амплитуда которых изменяется по закону изменения огибающей АМС. С помощью разделительной емкости, включенной в продольную цепь, устраняют постоянную составляющую и низкочастотную переменную составляющую подают на низкочастотную нагрузку.
Наиболее близким по технической сущности и достигаемому результату (прототипом) является способ демодуляции амплитудно-модулированных сигналов, состоящий в том, что амплитудно-модулированный сигнал подают на демодулятор из параллельно или последовательно включенного полупроводникового диода к фильтру низких частот [Баскаков С.И. Радиотехнические цепи и сигналы. – М.: Высшая школа, 1988, стр.286-292]. Принцип действия устройства, реализующего этот способ, состоит в том, что с помощью нелинейного элемента (диода) разрушается спектр амплитудно-модулированного сигнала (АМС) на высокочастотные и низкочастотные составляющие. Последние выделяются с помощью фильтра нижних частот и поступают в нагрузку. При необходимости между источником модулированных сигналов и нелинейным элементом или между нелинейным элементом и нагрузкой включают реактивный или резистивный четырехполюсник для согласования и дополнительной селекции сигнала и помехи. В результате на выходе устройства имеем низкочастотное колебание, амплитуда которого изменяется по закону изменения огибающей входного высокочастотного амплитудно-модулированного колебания. Недостаток способа и устройства его реализации состоит в том, что при прохождении АМС через указанную цепь глубина модуляции уменьшается, причем чем уже полоса пропускания контура, т.е. чем лучше помехоустойчивость, тем глубина модуляции уменьшается на большую величину.
Указанный недостаток связан с тем, что в традиционной теории радиотехнических цепей указанный выше четырехполюсник не оптимизируется по критерию обеспечения заданной глубины амплитудной модуляции принятого АМС. Не оптимизируется также место включения нелинейного элемента. Это связано с тем, что в традиционной теории нелинейный элемент считается безынерционным, т.е. не имеющим внутренних емкостей и индуктивностей.
Техническим результатом изобретения является обеспечение заданной глубины амплитудной модуляции принятого амплитудно-модулированного сигнала, что повышает помехоустойчивость. Возможность выбора места включения нелинейного элемента обеспечивает повышение возможности физической реализуемости и увеличения рабочей полосы частот.
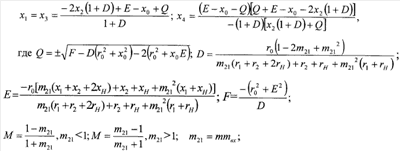
1. Указанный результат достигается тем, что в способе демодуляции амплитудно-модулированных сигналов, состоящем из подачи амплитудно-модулированного сигнала на демодулятор из каскадно-соединенных четырехполюсника, двухполюсного нелинейного элемента, фильтра нижних частот, последовательно включенной разделительной емкости и низкочастотной нагрузки, дополнительно нелинейный элемент включают в продольную цепь между четырехполюсником и введенной высокочастотной нагрузкой, к высокочастотной нагрузке подключают фильтр нижних частот, четырехполюсник выполняют из числа реактивных двухполюсников, не меньшего двух, значения параметров четырехполюсника выбирают из условия обеспечения требуемого значения глубины амплитудной модуляции принятого амплитудно-модулированного сигнала путем использования следующих математических выражений:

m, mвх, m21 – заданные отношения модулей коэффициента передачи высокочастотной части демодулятора, входного сигнала и сигнала на высокочастотной нагрузке в двух состояниях входного сигнала, характеризуемых двумя крайними значениями амплитуды амплитудно-модулированного сигнала; М – глубина модуляции амплитудно-модулированного сигнала на высокочастотной нагрузке; z1,2=r1,2+jx1,2 – заданные значения сопротивлений нелинейного двухполюсного элемента в двух состояниях (1 и 2), определяемых двумя крайними уровнями входного амплитудно-модулированного сигнала; zн=rн+jxн, z0=r0+jx0 – заданные комплексные сопротивления нагрузки и источника сигнала на заданной частоте; х11, х21, х22 – значения элементов матрицы сопротивлений четырехполюсника, оптимальные по критерию обеспечения заданной глубины модуляции амплитудно-модулированного сигнала на высокочастотной нагрузке.
2. Указанный результат достигается тем, что в устройстве демодуляции амплитудно-модулированных сигналов, подключенном к выходу источника амплитудно-модулированных сигналов и состоящем из реактивного четырехполюсника, нелинейного элемента, фильтра нижних частот, разделительной емкости и низкочастотной нагрузки, дополнительно нелинейный элемент включен между реактивным четырехполюсником и введенной высокочастотной нагрузкой в продольную цепь, фильтр нижних частот включен между высокочастотной нагрузкой и разделительной емкостью, реактивный четырехполюсник выполнен в виде перекрытого Т-образного соединения четырех реактивных двухполюсников, значения реактивных сопротивлений х1, х2, х3, х4 двухполюсников, составляющих перекрытое Т-образное соединение, выбраны из условия коррекции глубины амплитудной модуляции принятого амплитудно-модулированного сигнала с помощью следующих математических выражений:

m, mвх, m21 – заданные отношения модулей коэффициента передачи высокочастотной части демодулятора, входного сигнала и сигнала на высокочастотной нагрузке в двух состояниях входного сигнала, характеризуемых двумя крайними значениями амплитуды амплитудно-модулированного сигнала; М – глубина модуляции амплитудно-модулированного сигнала на высокочастотной нагрузке; z1,2=r1,2+jx1,2 – заданные значения сопротивлений нелинейного двухполюсного элемента в двух состояниях (1 и 2), определяемых двумя крайними уровнями входного амплитудно-модулированного сигнала; zн=rн+jxн, z0=r0+jx0 – заданные комплексные сопротивления нагрузки и источника сигнала на заданной частоте; значение сопротивлений х2 выбирается из условия обеспечения физической реализуемости сопротивлений х1=х3 и х4, значения которых определяются по вышеприведенным математическим выражениям.
На фиг.1 показана схема устройства демодуляции амплитуды радиочастотных сигналов (прототип).
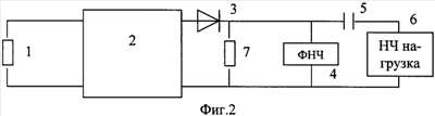
На фиг.2 показана структурная схема предлагаемого устройства по п.1.
На фиг.3 приведена схема четырехполюсника по п.2, входящая в предлагаемое устройство.
Устройство-прототип содержит источник 1 амплитудно-модулированных сигналов, четырехполюсник 2, нелинейный элемент 3, фильтр нижних частот 4 на элементах R, C, разделительная емкость 5 на элементе Ср и низкочастотную нагрузку 6 на элементах Rн, Сн.
Принцип действия устройства демодуляции амплитудно-модулированных сигналов (прототипа) состоит в следующем.
Амплитудно-модулированный сигнал от источника 1 подают на демодулятор из последовательно включенного полупроводникового диода к ФНЧ. Принцип действия устройства, реализующего этот способ, состоит в том, что с помощью нелинейного элемента 3 разрушается спектр АМС на высокочастотные и низкочастотные составляющие. Последние выделяются с помощью ФНЧ 4 и поступают в низкочастотную нагрузку 6. Между источником модулированных сигналов и нелинейным элементом включен реактивный четырехполюсник 2 для согласования и селекции сигнала и помехи. Разделительная емкость 5 устраняет постоянную составляющую. В результате на выходе устройства имеем низкочастотное колебание, амплитуда которого изменяется по закону изменения огибающей входного высокочастотного амплитудно-модулированного колебания.
Недостаток способа и устройства его реализации состоит в том, что при прохождении АМС через указанную цепь глубина модуляции уменьшается, причем чем уже полоса пропускания контура, т.е. чем лучше помехоустойчивость, тем глубина модуляции уменьшается на большую величину.
Высокочастотная часть структурной схемы обобщенного предлагаемого устройства по п.1 (фиг.2) состоит из каскадно-соединенных источника сигнала 1, реактивного четырехполюсника 2, двухполюсного нелинейного элемента 3, включенного между четырехполюсником и высокочастотной нагрузкой 7 в продольную цепь (последовательно). Низкочастотная часть структурной схемы содержит ФНЧ 4, разделительную емкость 5 и низкочастотную нагрузку 6.
Принцип действия данного устройства состоит в том, что при подаче АМС от источника 1 с сопротивлением z0 в результате включения высокочастотной нагрузки между нелинейным элементом и фильтром нижних частот, включения нелинейного элемента между выходом четырехполюсника и высокочастотной нагрузкой в продольную цепь, специального выбора значений параметров классической матрицы передачи четырехполюсника 2 из условий обеспечения заданной глубины амплитудной модуляции АМС после прохождения его через высокочастотную часть достигается не только минимум искажений входного сигнала, но и коррекция глубины модуляции в сторону ее увеличения независимо от ее значения во входном АМС. Это приводит к повышению помехоустойчивости. В дальнейшем спектр АМС разрушается при помощи нелинейного элемента 3, ФНЧ 4 выделяет низкочастотную составляющую, постоянная составляющая устраняется с помощью разделительной емкости 5. В результате низкочастотное колебание, амплитуда которого изменяется по закону огибающей АМС, выделяется на низкочастотной нагрузке 6. При непрерывном изменении амплитуды амплитудно-модулированного сигнала будет реализована демодуляция входного сигнала. Реактивный четырехполюсник выполнен в виде перекрытой Т-образной схемы из четырех двухполюсников с сопротивлениями х1(8), х2(9), х3=х1(10), х4(11). Значения сопротивлений выбраны из условия перечисленных свойств по специальным математическим выражениям.
Докажем возможность реализации указанных свойств.
Пусть на вход демодулятора воздействует амплитудно-модулированное колебание UAM(t)=Uн[1+macos( t)]cos( нt+ o), где Uн, н – амплитуда и частота несущего высокочастотного колебания; mа – глубина амплитудной модуляции; о – начальная фаза; – частота первичного информационного низкочастотного сигнала. Входной модулированный высокочастотный сигнал Sвx и преобразованный с помощью демодулятора высокочастотный сигнал (до фильтра нижних частот) Sвых связаны между собой следующим образом: Sвых=S21Sвx, где под входным и выходным сигналами подразумевается входное и выходное напряжения; S21 – коэффициент передачи.
Рассмотрим амплитудно-модулированные колебания в двух состояниях, характеризуемых крайними значениями диапазона изменения амплитуды.
Запишем указанные физические величины в двух состояниях в комплексной форме
  
Таким образом на выходе высокочастотной части демодулятора модули коэффициента передачи и входного сигнала перемножаются, а их фазы складываются. Выходные напряжения в двух состояниях связаны между собой следующим образом:

где
 
– отношения модулей коэффициента передачи высокочастотной части демодулятора и входного сигнала в двух состояниях входного сигнала;  – разности фаз коэффициента передачи высокочастотной части демодулятора и входного сигнала в двух состояниях входного сигнала. Фаза входного АМС постоянна, поэтому разность фаз вх=0. Для уменьшения искажений необходимо положить 21=0.
Введем обозначения: m21=mmвх. Отношения модулей коэффициента передачи высокочастотной части демодулятора и входного сигнала, а также отношения модулей коэффициента передачи высокочастотной части демодулятора и сигнала на высокочастотной нагрузке связаны с глубиной амплитудной модуляции следующим образом:
при m21>1 или при m21<1;
при mвх>1 или при mвх<1;
при m>1 или при m<1
В двух крайних состояниях входного сигнала нелинейный элемент принимает два значения комплексного сопротивления z1,2=r1,2+jx1,2. Пусть, кроме того, комплексные сопротивления высокочастотной нагрузки rн=rн+jxн, источника сигнала z0=r0+jx0 на несущей частоте АМС известны.
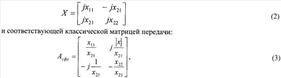
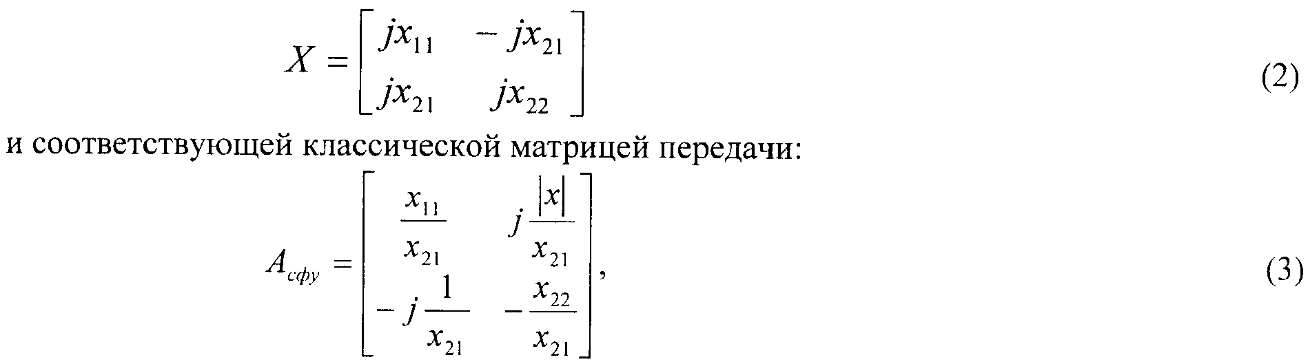
С учетом условия взаимности (x12=-x21) СФУ может характеризоваться матрицей сопротивления

где – определитель матрицы (2).
Нелинейный элемент в двух состояниях характеризуется следующей матрицей передачи:

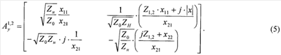
Перемножим матрицы (3) и (4) и с учетом Z0, Zн запишем нормированную матрицу передачи всего устройства:

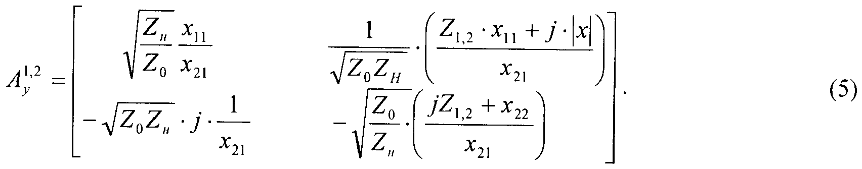
Используя известные соотношения между элементами классической матрицы передачи и элементами матрицы рассеяния [Фельдштейн А.Л., Явич Л.Р. Синтез четырехполюсников и восьмиполюсников на СВЧ. – М.: Связь, 1971. с 39] с учетом (5), получим выражения для коэффициентов передачи:

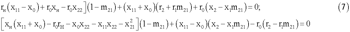
Подставим (6) в (1) и разделим между собой действительную и мнимую части в полученном комплексном уравнении:

Решение системы (7) путем использования метода последовательного исключения переменных имеет вид взаимосвязей между элементами матрицы сопротивлений:

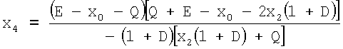
где

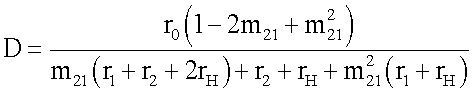
Полученные две взаимосвязи (8) означают, что количество неуправляемых элементов должно быть не менее двух. Значения параметров этих элементов, оптимальных по критерию обеспечения требуемых значений m21, 21, должны удовлетворять системе двух уравнений, формируемых на основе (8). Для этого необходимо взять пробную схему СФУ, найти матрицу сопротивлений этой схемы и представить ее в виде (2). Найденные таким образом элементы х11, x22, x21, выраженные через параметры схемы, нужно подставить в (8) и решить сформированную систему двух уравнений относительно выбранных двух параметров. Значения остальных параметров могут быть выбраны произвольно или исходя из каких-либо других физических соображений. Эти параметры могут также относиться к управляемой части, то есть участвовать в формировании Z1, Z2 (входить в коэффициенты D, Е, F).
Условия физической реализуемости заданных значений m21 вытекают из обеспечения положительности подкоренного выражения в (8).
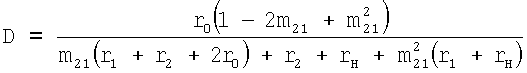
Поскольку , то это условие сводится к требованию D<0 при любом значении элемента х22, из которого вытекает ограничение на величину m:

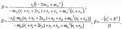
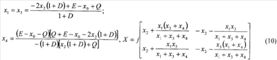
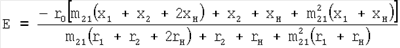
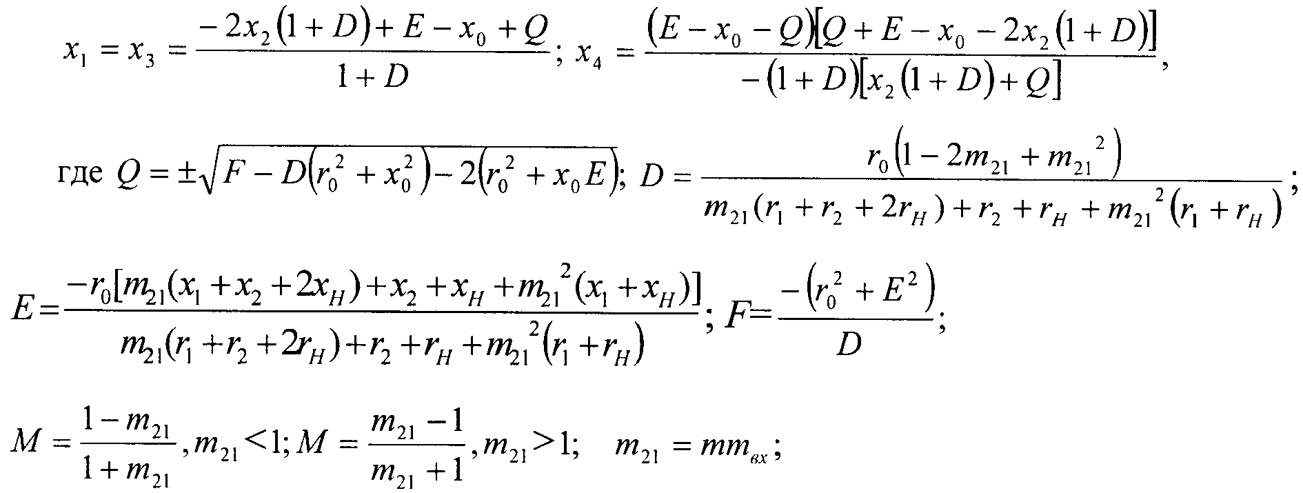
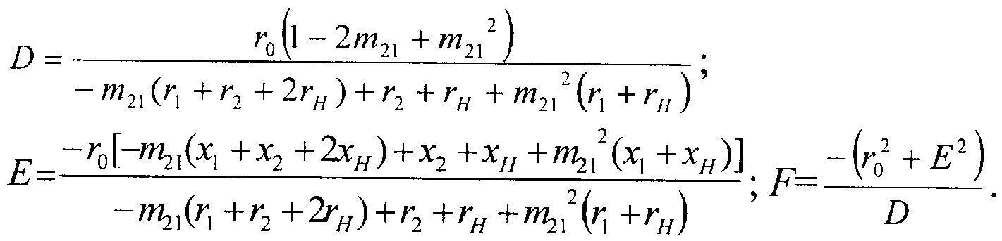
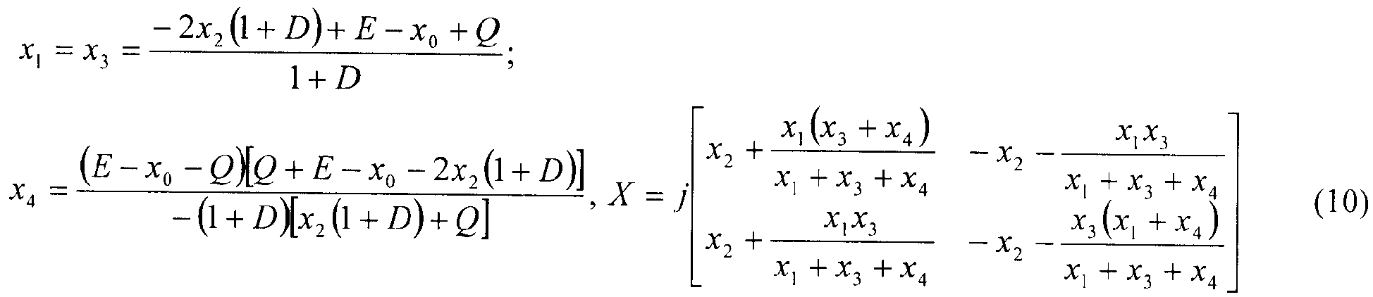
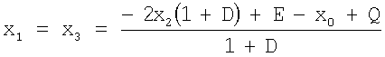
На основе использования описанного алгоритма для реактивного четырехполюсника в виде перекрытой Т-образной схемы получены математические выражения для определения значений сопротивлений двухполюсников. Здесь же приведена матрица сопротивлений такого четырехполюсника. 
где 
Полученными результатами удобно пользоваться при анализе демодуляционных характеристик амплитудного демодулятора. При синтезе четырехполюсника необходимо положить mвх=1.
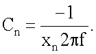
После определения значений сопротивлений конкретная схема четырехполюсника формируется следующим образом. Если хn>0 (n=1,2,3,4 – номер двухполюсника), то это индуктивность , где f – заданная частота. Если xn<0, то это емкость Подкоренное выражение в (8) в силу условия (9) всегда положительно. Значение сопротивления х2 выбирается произвольно или исходя из каких-либо физических соображений, например из условия получения таких значений сопротивлений х1, x2, х3, определяемых по формулам (10), которые бы реализовывали значения индуктивностей и емкостей, близких к номинальным значениям, выпускаемым промышленностью.
Предлагаемое техническое решение имеет изобретательский уровень, поскольку из опубликованных научных данных и известных технических решений явным образом не следует, что заявленная последовательность операций (формирование реактивного четырехполюсника соединенными между собой двухполюсниками по перекрытой Т-схеме с выбором значений параметров реактивных элементов двухполюсников из условия обеспечения демодуляции входного АМС со скорректированной глубиной амплитудной модуляции при использовании нелинейного элемента, включенного между реактивным четырехполюсником и высокочастотной нагрузкой в продольную цепь (последовательно), причем к высокочастотной нагрузке подключены фильтр нижних частот, разделительная емкость и низкочастотная нагрузка) приводит к заданному увеличению глубины модуляции принятого АМС.
Предлагаемые технические решения практически применимы, так как для их реализации могут быть использованы серийно выпускаемые промышленностью полупроводниковые диоды, индуктивности и емкости, сформированные в заявленную схему реактивного четырехполюсника в виде перекрытого Т-образного соединения двухполюсников. Значения параметров индуктивностей и емкостей однозначно могут быть определены с помощью математических выражений, приведенных в формуле изобретения.
Технико-экономическая эффективность предложенных устройств заключается в обеспечении заданной глубины амплитудной модуляции принятого амплитудно-модулированного сигнала, что повышает помехоустойчивость и физическую реализуемость.
Формула изобретения
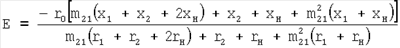
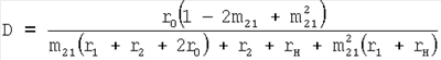
1. Способ демодуляции амплитудно-модулированных сигналов, состоящий из подачи амплитудно-модулированного сигнала на демодулятор из каскадно соединенных четырехполюсника, двухполюсного нелинейного элемента, фильтра нижних частот, последовательно включенной разделительной емкости и низкочастотной нагрузки, отличающийся тем, что нелинейный элемент включают в продольную цепь между четырехполюсником и введенной высокочастотной нагрузкой, к высокочастотной нагрузке подключают фильтр нижних частот, четырехполюсник выполняют из числа реактивных двухполюсников, не меньшего двух, значения параметров четырехполюсника выбирают из условия обеспечения требуемого значения глубины амплитудной модуляции принятого амплитудно-модулированного сигнала путем использования следующих математических выражений:
; , где x11, x21, x22 – элементы матрицы сопротивлений четырехполюсника;
;
; ;
, m21<1;
, m21>1; m21=mmвх; m, mвx, m21 – заданные отношения модулей коэффициента передачи высокочастотной части демодулятора, входного сигнала и сигнала на высокочастотной нагрузке в двух состояниях входного сигнала, характеризуемых двумя крайними значениями амплитуды амплитудно-модулированного сигнала; М – глубина модуляции амплитудно-модулированного сигнала на высокочастотной нагрузке; z1,2=r1,2+jx1,2 – заданные значения сопротивлений нелинейного двухполюсного элемента в двух состояниях (1 и 2), определяемых двумя крайними уровнями входного амплитудно-модулированного сигнала; zн=rн+jxн, z0=r0+jx0 – заданные комплексные сопротивления нагрузки и источника сигнала на заданной частоте; х11, x21, x22 – значения элементов матрицы сопротивлений четырехполюсника, оптимальные по критерию обеспечения заданной глубины модуляции амплитудно-модулированного сигнала на высокочастотной нагрузке.
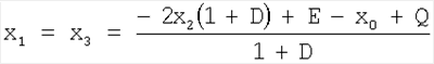
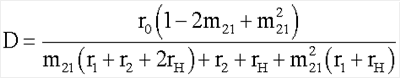
2. Устройство демодуляции амплитудно-модулированных сигналов, подключенное к выходу источника амплитудно-модулированных сигналов и состоящее из реактивного четырехполюсника, нелинейного элемента, фильтра нижних частот, разделительной емкости и низкочастотной нагрузки, отличающееся тем, что нелинейный элемент включен между реактивным четырехполюсником и введенной высокочастотной нагрузкой в продольную цепь, фильтр нижних частот включен между высокочастотной нагрузкой и разделительной емкостью, реактивный четырехполюсник выполнен в виде перекрытого Т-образного соединения четырех реактивных двухполюсников, значения реактивных сопротивлений x1, x2, x3, x4 двухполюсников, составляющих перекрытое Т-образное соединение, выбраны из условия коррекции глубины амплитудной модуляции принятого амплитудно-модулированного сигнала с помощью следующих математических выражений:
; , где ; ;
; ;
, m21<1
, m21>1; m21=mmвх; m, mвх, m21 – заданные отношения модулей коэффициента передачи высокочастотной части демодулятора, входного сигнала и сигнала на высокочастотной нагрузке в двух состояниях входного сигнала, характеризуемых двумя крайними значениями амплитуды амплитудно-модулированного сигнала; М – глубина модуляции амплитудно-модулированного сигнала на высокочастотной нагрузке; z1,2=r1,2+jx1,2 – заданные значения сопротивлений нелинейного двухполюсного элемента в двух состояниях (1 и 2), определяемых двумя крайними уровнями входного амплитудно-модулированного сигнала; zн=rн+jxн, z0=r0+jx0 – заданные комплексные сопротивления нагрузки и источника сигнала на заданной частоте; значение сопротивлений x2 выбирается из условия обеспечения физической реализуемости сопротивлений x1=х3 и x4, значения которых определяются по вышеприведенным математическим выражениям.
РИСУНКИ
|
|