|
|
(21), (22) Заявка: 2008103231/28, 01.02.2008
(24) Дата начала отсчета срока действия патента:
01.02.2008
(46) Опубликовано: 20.11.2009
(56) Список документов, цитированных в отчете о поиске:
RU 2044326 C1, 20.09.1995. SU 1476406 A1, 30.04.1989. DE 19637888 A1, 19.03.1998. ВАЙДА Д. Исследования поврежденной изоляции. – М.: Энергия, 1968, с.210-218. ГЛИНКА Т. Диагностика изоляции обмоток электрических машин. Электричество, 1, 1998.
Адрес для переписки:
111250, Москва, ул. Красноказарменная, 14, ГОУ ВПО “МЭИ (ТУ)”, НИЧ, патентный отдел
|
(72) Автор(ы):
Зенова Елена Валентиновна (RU), Чернышев Валентин Александрович (RU), Чернов Валерий Александрович (RU)
(73) Патентообладатель(и):
Государственное образовательное учреждение высшего профессионального образования “Московский энергетический институт (технический университет)” (ГОУВПО “МЭИ (ТУ)”) (RU)
|
(54) СПОСОБ ОПРЕДЕЛЕНИЯ СОСТОЯНИЯ И РЕСУРСА ИЗОЛЯЦИИ
(57) Реферат:
Изобретение относится к измерительной технике и может быть использовано для оценки состояния работающих длительное время изоляционных промежутков энергетического оборудования. Согласно изобретению определяют диэлектрические потери изоляции как функции времени (частоты), при этом выбирают и предварительно разряжают изоляционный промежуток, прикладывают рабочее напряжение и через равные промежутки времени измеряют сопротивление изоляции на изоляционном промежутке, по полученным значениям сопротивления Rизм(t) находят ток поляризации iабс(t) и, умножив каждый результат измерения сопротивления на время, соответствующее моменту его получения, при котором были произведены измерения сопротивления изоляционного промежутка, получают значение коэффициента диэлектрических потерь “(t)=iабс(t)·t, построенную зависимость ” от времени для частотного диапазона 10-2-10-3 последовательно сравнивают с четырьмя предварительно выбранными эталонными кривыми, соответствующими определенному известному эксплуатационному состоянию и величине ресурса контролируемого изоляционного промежутка, затем оценивают степень близости анализируемой зависимости к каждой из реперных кривых. Благодаря этому может быть повышена достоверность оценки состояния и ресурса изоляции. 5 ил.
Изобретение относится к области измерительной техники и предназначено для оценки состояния изоляционной системы мощных энергетических устройств повышенного и высокого напряжения, таких как мощные трансформаторы передающих и распределительных сетей, высоковольтные кабели различного исполнения, электрические машины и прочее.
Известны способы оценки состояния и ресурса энергетического оборудования, основанные на определении значения выбранной физической величины (тангенса угла диэлектрических потерь tg , величины омического сопротивления Rиз [Сви П.М. Контроль изоляции оборудования высокого напряжения. М. Энергоиздат, 1988], максимума возвратного напряжения RVM, плотности абсорбционного тока Jабc., величины коэффициента абсорбции kaбc. [Глинка Т. Диагностика изоляции обмоток электрических машин. Электричество 1, 1998]). Используя коррелированность этих величин с прочностными параметрами или структурой изоляционных материалов, по эмпирическим соотношениям определяют величину прочности изоляционной конструкции в контролируемый момент времени, что в конечном итоге позволяет оценить состояние и оставшийся ресурс времени.
Недостатком таких технических решений является ограниченность единичных значений контролируемых параметров, которые не раскрывают до конца характера поведения материала при выбранном сочетании действующих факторов: температуры, напряжения, влажности и пр., что не позволяет обеспечить требуемую достоверность получаемых оценок.
Известен способ определения состояния изоляционной системы электроустановки (авт. Свид. СССР 1476406, МПК G01R 31/00), заключающийся в том, что по измеренным значениям при определенных условиях величины омического сопротивления Rиз и величины тангенса угла диэлектрических потерь tg определяют сопротивление току абсорбции, абсорбционную емкость, тангенс угла абсорбции, с помощью которых и формируется представление о состояний изоляционной системы.
Недостатком этого способа является невозможность с его помощью прогнозировать ресурс изоляционной системы электроустановки.
Наиболее близким по технической сущности к предлагаемому изобретению является способ оценки состояния изоляции и прогнозирования ее ресурса (патент РФ 2044326, кл. G01R 31/00, G01R 31/02, опубл. 1995.09.20). Способ оценки состояния изоляции и прогнозирования ее ресурса заключается в том, что определяют тангенс угла диэлектрических потерь на разных частотах, дополнительно определяют эталонное значение частоты максимума тангенса угла диэлектрических потерь и градуировочные характеристики для образцовой электроустановки при различных температурах, значение частоты максимума тангенса угла диэлектрических потерь для контролируемой электроустановки, рабочую температуру изоляции, находят разность упомянутых значений и по градуировочной характеристике устанавливают выработанный и остаточный ресурс изоляции.
Недостатком этого способа является низкий уровень достоверности получаемых оценок, так как градуировочные характеристики образцовой установки могут существенно отличаться от аналогичных характеристик контролируемой установки, которая была введена в эксплуатацию тридцать и более лет назад и изготовлена по совершенно иной технологии.
Технической задачей является повышение достоверности оценивания состояния работающих длительное время изоляционных промежутков энергетического оборудования.
Это достигается тем, что в известном способе определения состояния и ресурса изоляции, заключающемся в том, что определяют диэлектрические потери на разных частотах и по градуировочной характеристике эталонного объекта для контролируемого изоляционного промежутка определяют смещение максимума кривой диэлектрических потерь относительно его положения на эталонной зависимости, при этом выбирают и предварительно разряжают изоляционный промежуток, прикладывают рабочее напряжение и через равные промежутки времени измеряют сопротивление изоляции изоляционного промежутка, по полученным значениям сопротивления Rизм(t) находят ток поляризации iaбc(t) и, умножив его на время, при котором были произведены измерения сопротивления изоляционного промежутка, получают значение коэффициента диэлектрических потерь “(t)=iaбc(t)·t, построенную зависимость ” от частоты для частотного диапазона 10-2-10-3 последовательно сравнивают с четырьмя предварительно выбранными эталонными кривыми, соответствующими определенному известному эксплуатационному состоянию и величине ресурса контролируемого изоляционного промежутка, затем оценивается степень близости анализируемой зависимости к каждой из реперных кривых.
Сущность технического решения способа определения состояния и ресурса изоляции поясняется чертежами, где на фиг.1 показано смещение максимума реперных кривых “(t) (кривые – 2, 3, 4, 5) в зависимости от эксплуатационного состояния изоляционного промежутка, продемонстрировано сравнение экспериментальной зависимости “(t) (кривая 1) с этими реперными кривыми и показана возможность объективной оценки (диаграмма 6) состояния изоляционного промежутка, на фиг.2 приведена зависимость сопротивления участка изоляции от времени приложенного напряжения, на фиг.3 показана зависимость “(t)=iaбc(t)·t для исследуемого изоляционного промежутка, на фиг.4 продемонстрирована схема реализации способа определения состояния и ресурса изоляции, на фиг.5 показана степень близости исследуемой зависимости “(t)=iaбc(t)·t (кривая 1) к каждой из реперных кривых (кривые – 2, 3, 4, 5).
Схема для реализации способа определения состояния и ресурса изоляции содержит соединенные последовательно блок выбора рабочего напряжения, состоящий из параллельно включенных переключателя подаваемого напряжения 1, потенциометра 2 и вольтметра 3, контролирующего подаваемое через ключ 4 на изоляционный промежуток 5 рабочее напряжение, блок сравнения сопротивления изоляционного промежутка 5 с эталонным сопротивлением R0 6, блок регистрации результатов контроля 7 и блок обработки полученных результатов 8.
При изучении спектров поляризационных токов, протекающих в объеме контролируемого изоляционного промежутка 5, установлено, что наличие совокупности разнородных по своим электрическим свойствам материалов в нем приводит к появлению ярко выраженной структурной поляризации Дебаевского типа. В таком случае на зависимости “(t)=t·iaбc(t) (кривая 2) наблюдается один четко выраженный максимум. В начальной стадии старения такой изоляционной конструкции наблюдается заметное изменение параметров работающих в промежутке материалов, что приводит к изменению не только величины, но и положения релаксационного максимума. Однако это изменение не имеет четко выраженной тенденции и не может быть положено в основу оценки состояния. Напротив, при значительном старении изоляционной системы в ее твердой компоненте появляются микротрещины, микрополости, разрывы сплошности, которые ведут себя, как дополнительные элементы структурной поляризации, что проявляется в появлении дополнительного максимума на зависимости “(t) (кривая 3). И если концентрация таких вновь образованных элементов структурной поляризации становится значительной, то размеры и положение второго максимума становятся доминирующими (кривые 4, 5), свидетельствуя о том, что состояние изоляционного промежутка 5 является угрожающе опасным и требуется срочная разработка и реализация корректирующих мероприятий вплоть до вывода из работы такого энергетического оборудования.
Выявленные физические закономерности изменения “(t) за время эксплуатации энергетического оборудования позволяют определить состояние и ресурс работающей изоляционной конструкции.
Сущность этого способа заключается в том, что экспериментально измеряют спектр поляризационного тока в низком частотном диапазоне, при котором все процессы, определяющие ресурс изоляции, успевают проявиться, представляется зависимостью “(t), также имеющей максимум. Полученную характеристику “(t) (кривая 1) последовательно сравнивают с четырьмя предварительно выбранными эталонными кривыми (кривые 2, 3, 4, 5), каждая из которых получена опытным путем и соответствует определенному эксплуатационному состоянию контролируемого изоляционного промежутка 5: первая зависимость (кривая 2) соответствует состоянию нового изделия, вторая зависимость (кривая 3) характеризует начальную стадию старения изделия, третья – (кривая 4) – состаренное изделие, четвертая – (кривая 5) – изделие находится в состоянии отказа. Далее определяют и количественно оценивают степень близости полученной зависимости “(t) к каждой из эталонных характеристик, что позволяет сформировать представление о состоянии контролируемого оборудования и величине его остаточного ресурса.
Рассматриваемые реперные кривые в данном случае используются в качестве системы отсчета, представленной в виде некоторой шкалы баллов (градуировочной кривой).
Описываемый способ оценки состояния изоляционного промежутка, как последовательность технологических операций, реализуется следующим образом.
Изоляционный промежуток, подлежащий контролю, предварительно разряжается в течение 10 мин. Измеряется зависимость величины сопротивления изоляционного промежутка от времени воздействия приложенного рабочего напряжения Rиз.(t). Полученная зависимость Rиз.(t) с помощью соотношения

преобразуется в зависимость “(t)=t·iaбc.(t). Устанавливается степень близости полученной таким образом зависимости “(t) к каждой из реперных кривых для идентификации состояния изоляционного промежутка.
Схема реализации способа определения состояния и ресурса изоляции работает следующим образом.
От источника питания через переключатель 1 подается напряжение, потенциометром 2 выбирается рабочее напряжение, которое контролируется вольтметром 3. Через переключатель 4 это напряжение подается на изоляционный промежуток 5 и через равные промежутки времени измеряется сопротивление Rизм, которое сравнивается с эталонным сопротивлением R0 6. Полученные результаты фиксируются в блоке регистрации 7.
Для проведения идентификации в блоке обработки результатов 8 каждая кривая из совокупности реперных “(t)реперн. задается 12 точками, определяющими ее положение в плоскости выбранных координат. Каждой точке в соответствии с ее положением в данной плоскости координат присваивается коэффициент весомости аij. Массив коэффициентов весомости точек, принадлежащих совокупности реперных кривых, формируется в виде матрицы весовых коэффициентов Mai,j

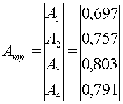
а измеренная зависимость “(t)=iaбc(t)·t для контролируемого изоляционного промежутка представляется в виде вектора X(t), который определяет положение каждой точки “(t) в плоскости тех же самых координат. В результате вектор Aj, представляющий собой произведение Aj=Маi,j·X(t), позволяет соотнести кривую X(j) с каждой кривой из семейства эталонных и тем самым идентифицировать состояние изоляционной системы контролируемого электротехнического устройства. Для экспериментальных результатов (фиг.2, фиг.3) вектор Aj имеет следующий вид

В рассматриваемом случае значение A1 отождествляется с новой изоляционной системой; A2 – системой бывшей в эксплуатации, но сохранившей свои эксплуатационные свойства; А3 – это состаренная, а А4 – система, находящаяся в критическом состоянии (фиг.5). Так как значения А3 и А4 близки по величине, то данная изоляционная система является не только состаренной, но и по своему состоянию приближается к критическому.
Повышение достоверности оценки состояния и ресурса изоляционного промежутка достигается тем, что на опыте контролируется не только смещение релаксационного максимума, но и уровень деформации всего спектра диэлектрического поглощения, в составе которого при определенном уровне старения может появиться дополнительный релаксационный максимум, величина которого при дальнейшем старении начинает играть доминирующую роль в полном спектре поглощения, представленного зависимостью “(t)=iaбc(t)·t. Именно поэтому величина деформации всего спектра диэлектрического поглощения, обусловленного протеканием поляризационных токов в объеме контролируемого промежутка, действительно является интегральной характеристикой и не зависит от того, явилось ли старение изоляции следствием ее нагрева при неизменной нагрузке или следствием систематических, в том числе и разовых, перегревов.
Использование такого способа, позволяющего по виду поляризационного спектра токов абсорбции контролировать не только зарождение новых структурных нарушений, но и их концентрацию, предоставляет возможность объективно оценивать состояние изоляционного промежутка и его остаточный ресурс, т.е. повысить достоверность оценки состояния и величины ресурса изоляции кабелей и других электроустановок.
Формула изобретения
Способ определения состояния и ресурса изоляции, заключающийся в том, что определяют диэлектрические потери на разных частотах и по градуировочной характеристике эталонного объекта для контролируемого изоляционного промежутка определяют смещение максимума кривой диэлектрических потерь относительно его положения на эталонной зависимости, отличающийся тем, что выбирают и предварительно разряжают изоляционный промежуток, прикладывают рабочее напряжение и через равные промежутки времени измеряют сопротивление изоляции на изоляционном промежутке, по полученным значениям сопротивления Rизм(t) находят ток поляризации iабс(t) и, умножив каждый результат измерения сопротивления на время, соответствующее моменту его получения, при котором были произведены измерения сопротивления изоляционного промежутка, получают значение коэффициента диэлектрических потерь “(t)=iабс(t)·t, построенную зависимость ” от времени для частотного диапазона 10-2-10-3 последовательно сравнивают с четырьмя предварительно выбранными эталонными кривыми, соответствующими определенному известному эксплуатационному состоянию и величине ресурса контролируемого изоляционного промежутка, затем оценивают степень близости анализируемой зависимости к каждой из реперных кривых.
РИСУНКИ
|
|