|
(21), (22) Заявка: 2006127174/03, 27.07.2006
(24) Дата начала отсчета срока действия патента:
27.07.2006
(43) Дата публикации заявки: 10.02.2008
(46) Опубликовано: 20.11.2009
(56) Список документов, цитированных в отчете о поиске:
Защита панельных зданий от воздействия перепада температуры при аварийном отключении отопления. Стругацкий Ю.М. и др. – Промышленное и гражданское строительство, 5, 2001 г., Изд-во “ПГС”. – М.: с.42-45. RU 2260201 С2, 10.09.2005. RU 2232352 C2, 10.07.2004. RU 1613879 A1, 15.12.1990. RU 2037870 C1, 19.06.1995.
Адрес для переписки:
115162, Москва, ул. Люсиновская, 62, ООО “Технологический ин-т энергетических обследований, диагностики и неразрушающего контроля “ВЕМО”
|
(72) Автор(ы):
Авраменко Владимир Григорьевич (RU), Лебедев Олег Вадимович (RU), Киржанов Дмитрий Викторович (RU), Будадин Олег Николаевич (RU), Ким-Серебряков Дмитрий Владимирович (RU)
(73) Патентообладатель(и):
Общество с ограниченной ответственностью “Технологический институт энергетических обследований, диагностики и неразрушающего контроля “ВЕМО” (RU)
|
(54) СПОСОБ ОПРЕДЕЛЕНИЯ ЗАВИСИМОСТИ ТЕМПЕРАТУРЫ ВОЗДУХА ВНУТРИ ЗАМКНУТОГО ОБЪЕКТА С ОГРАЖДАЮЩИМИ КОНСТРУКЦИЯМИ ОТ ВРЕМЕНИ ПРИ ОТКЛЮЧЕНИИ СИСТЕМЫ ПОДДЕРЖАНИЯ ЗАДАННОЙ ТЕМПЕРАТУРЫ ВОЗДУХА ВНУТРИ ОБЪЕКТА
(57) Реферат:
Изобретение относится к области промышленного и гражданского строительства. Технический результат: точное определение времени, в течение которого конкретный замкнутый объект может оставаться с отключенной системой поддержания заданной температуры воздуха внутри замкнутого объекта, не подвергаясь разрушению. Способ определения зависимости температуры воздуха внутри замкнутого объекта с ограждающими конструкциями от времени при отключении системы поддержания заданной температуры воздуха внутри объекта, при котором устанавливают датчик температуры воздуха внутри замкнутого объекта и регистрируют им температуру воздуха в процессе остывания. Вблизи всех наружных поверхностей ограждающих конструкций объекта устанавливают датчики температуры, а внутри объекта устанавливают тепловую пушку, которой нагревают воздух внутри объекта до повышения его температуры более чем на 10°С, одновременно с нагревом регистрируют температуру воздуха всеми установленными датчиками, затем тепловую пушку отключают и регистрируют всеми установленными датчиками температуру воздуха до ее понижения более чем на 5°С, после чего, используя систему уравнений теплового баланса, рассчитывают температуру воздуха внутри объекта в зависимости от времени и теплофизических параметров объекта, после произведенных расчетов выбирают те значения теплофизических параметров объекта, при которых рассчитанная температура воздуха внутри объекта наиболее близка к измеренной температуре воздуха внутри объекта, затем на основании выбранных параметров строят зависимость температуры воздуха внутри замкнутого объекта от времени при отключенной системе поддержания заданной температуры воздуха внутри объекта, используя систему уравнений теплового баланса и произвольно задавая температуру воздуха внутри объекта в момент отключения системы поддержания заданной температуры воздуха внутри объекта и температуры воздуха вблизи всех наружных поверхностей объекта. 2 табл., 5 ил.
Предложенный способ относится к области промышленного и гражданского строительства.
В стране возникают многочисленные чрезвычайные ситуации (ЧС), связанные с отключением отопления в зданиях или технических сооружениях и приводящие как к серьезным социальным проблемам, так и к серьезным техническим последствиям.
Когда смонтированное здание по каким-либо причинам «зимует» без отопления или отопление отключено в зимний период на длительный срок в связи с ремонтом коммуникаций, имеют место повреждения здания. В панельных зданиях повреждения концентрируются в районах платформенных стыков в нижних этажах, возникают трещины в плитах перекрытий по границе их заделки в стены либо происходит разрушение платформенных стыков. По длине здания резко изменяются жесткость дисков перекрытий и расположение наиболее нагруженных поперечных стен.
В рассматриваемой проблеме отрицательная температура сама по себе представляет косвенную опасность. Все основные неприятности связаны не с ней, а с отрицательным перепадом температуры. Понижение температуры конструктивной системы приводит к появлению в перекрытиях растягивающих напряжений, которые весьма опасны. Для количественной оценки описанной опасности и для разработки мер по защите зданий используют теорию и нормативные рекомендации, разработанные на ее основе.
Однако существующая теория и нормативные рекомендации не адекватны условиям реальной эксплуатации зданий, не учитывают температуру окружающей среды зданий и теплофизические характеристики предметов, находящихся внутри здания.
Аналогами предложенного способа могут быть способы, описанные в литературе [1-3].
Согласно известным способам проводят исследования:
– расчетно-теоретические – для уточнения напряженно-деформированного состояния дисков перекрытий панельных зданий (и, соответственно, платформенных стыков) при различных нагрузках;
– экспериментальные – для оценки прочности платформенных стыков в условиях двухосного нагружения и, в частности, при растяжении дисков перекрытий и для определения жесткостных параметров, необходимых в усовершенствованных расчетных моделях.
Без проведения указанных исследований обоснованные рекомендации по конструктивной защите зданий от повреждений или разрушений в случае аварийного отключения отопления представляются невозможными. Можно лишь говорить о профилактических мерах, снижающих скорость охлаждения несущих конструкций.
Прототипом предложенного технического решения может служить способ, описанный в статье “Защита панельных зданий от воздействия перепада температуры при аварийном отключении отопления” Стругацкого Ю.М. и Шапиро Г.И., опубликованной в журнале “Промышленное и гражданское строительство”, 2001, 5.
Согласно известному способу проводились экспериментальные исследования и после них было установлено, что для современных зданий снижение температуры:
– с 24-20°С до 12°С происходит примерно за 12 часов после отключения отопления;
– с 20°С до отрицательных температур происходит примерно за сутки после отключения отопления.
Для зданий с массивными кирпичными стенами (сопротивление теплопередаче R=1 м2 °С/Вт) и для современных зданий (R>3.15 м2 °С/Вт) указанное время примерно одинаково.
Однако при проведении исследований не были учтены:
– ни структура перекрытий,
– ни конструкция здания,
– ни заполнение здания (пустое ли это здание или там есть теплоемкие предметы),
– ни реальные теплофизические характеристики материалов наружных ограждающих конструкций здания,
– ни изменение температуры воздуха снаружи здания в процессе его остывания.
От всех этих факторов зависит скорость снижения температуры воздуха внутри здания, а следовательно, и интервал времени, в течение которого здание может находиться без отопления, например, при отключении системы теплоснабжения вследствие ее аварии, не подвергаясь разрушению.
Таким образом, видно, что ни один из существующих способов не дает точной информации о том, как зависит температура воздуха внутри замкнутого объекта от времени при отключении системы поддержания заданной температуры воздуха внутри замкнутого объекта.
Предложенное техническое решение направлено на точное определение времени, в течение которого конкретный замкнутый объект может оставаться с отключенной системой поддержания заданной температуры воздуха внутри замкнутого объекта, не подвергаясь разрушению.
Технический результат получен путем определения и построения зависимости температуры воздуха внутри замкнутого объекта с ограждающими конструкциями от времени при отключении системы поддержания заданной температуры воздуха внутри замкнутого объекта.
Признаки прототипа, являющиеся общими с заявленным способом, заключаются в том, что внутри замкнутого объекта с ограждающими конструкциями устанавливают датчик температуры воздуха и регистрируют им температуру воздуха в процессе остывания.
Новым в предложенном техническом решении является то, что вблизи всех наружных поверхностей ограждающих конструкций объекта устанавливают датчики температуры воздуха, а внутри объекта устанавливают тепловую пушку. Тепловой пушкой нагревают воздух внутри объекта до повышения его температуры более чем на 10°С, одновременно с нагревом регистрируют температуру воздуха всеми установленными датчиками. Затем тепловую пушку отключают и регистрируют всеми установленными датчиками температуру воздуха до ее понижения более чем на 5°С. После этого используют систему уравнений теплового баланса:

где Cв – теплоемкость воздуха внутри объекта,
Сn – теплоемкости предметов, находящихся внутри объекта,
Tв(t) – температура воздуха внутри объекта в момент времени t,
Tn(t) – температура поверхностей предметов, находящихся внутри объекта в момент времени t,
t – момент времени,
Pв – мощность тепловой пушки,
(t) – коэффициент, равный 1 до момента отключения тепловой пушки и равный 0 после момента отключения тепловой пушки,
Kn – коэффициент теплоотдачи поверхностей предметов, находящихся внутри объекта,
Q(t) – тепловой поток через внутренние поверхности ограждающих конструкций объекта в момент времени t, рассчитываемый, исходя из измеренных температур воздуха вблизи всех наружных поверхностей объекта,
с начальными условиями: 
где tнач – время включения тепловой пушки,
– измеренная температура воздуха внутри объекта в момент включения тепловой пушки,
для расчета температуры воздуха внутри объекта в зависимости от времени и теплофизических параметров объекта. После произведенных расчетов выбирают те значения теплофизических параметров объекта, при которых рассчитанная температура воздуха внутри объекта наиболее близка к измеренной температуре воздуха внутри объекта. Затем на основании выбранных параметров строят зависимость температуры воздуха внутри замкнутого объекта от времени при отключенной системе поддержания заданной температуры воздуха внутри объекта, используя систему уравнений теплового баланса и произвольно задавая температуру воздуха внутри объекта в момент отключения системы поддержания заданной температуры воздуха внутри объекта и температуры воздуха вблизи всех наружных поверхностей объекта.
Суть способа поясняется чертежами, где на:
фиг.1 – замкнутый объект с ограждающими конструкциями,
фиг.2 – фрагмент ограждающих конструкций,
фиг.3 (1-7) – схема реализации способа;
фиг.4 – график зависимости температур внутреннего и наружного воздуха от времени;
фиг.5 – график зависимости температуры воздуха внутри замкнутого объекта с ограждающими конструкциями от времени при отключении системы поддержания заданной температуры воздуха внутри объекта.
Для реализации способа ограждающие конструкции 1 замкнутого объекта 2 мысленно разбивают на области с одинаковой внутренней структурой (фиг.2). Площади этих областей обозначают через Ai. На фиг.2 в ограждающей конструкции 1 выделяют кирпичную кладку с площадью A1 и оконную часть с площадью A2. Каждая выделенная i-я область имеет многослойную структуру, число слоев которой обозначают через Mi. Слои последовательно нумеруют с помощью индекса j, который принимает значения от 1 до Mi. При этом слою, ближайшему к внутренней поверхности i-ой области, присваивают номер 1, а к наружной поверхности – номер Mi. Каждый слой j области i характеризуется:
– толщиной ,
– теплоемкостью , где – удельная теплоемкость, – плотность j-го слоя, i-го участка,
– коэффициентом теплопроводности .
Кроме того, поверхности i-ой области характеризуются коэффициентами теплоотдачи и внутренней и наружной поверхностей, соответственно.
Все эти теплофизические параметры очень часто не соответствуют проектным, поэтому этот момент должен учитываться при расчетах.
В замкнутом объекте 2 ближе к его центру устанавливают датчик 3 температуры воздуха внутри объекта 2 и тепловую пушку 4. Вблизи всех наружных поверхностей ограждающих конструкций 1 устанавливают датчики 5 температуры воздуха. Ограждающие конструкции 1 могут граничить с внешней средой Тн, внутренними пространствами таких же объектов (Т1 в, Т2 в, Т3 в), жилыми помещениями (температура Тв в которых изменяется незначительно, даже при отключении систем теплоснабжения), а также с фундаментом. Для области ограждающих конструкций 1, граничащей с фундаментом, датчик 5 температуры воздуха вблизи наружных поверхностей установить невозможно.
После установки всех датчиков включают датчик 3 и измеряют им температуру воздуха внутри объекта 2. Затем включают тепловую пушку 4, датчики 5 и начинают одновременно нагревать воздух внутри объекта 2 и измерять температуру воздуха датчиками 3 и 5 до тех пор, пока показания на датчике 3 не увеличатся более чем на 10°С. После этого тепловую пушку 4 отключают, а датчиками 3 и 5 продолжают измерять температуру, пока показания датчика 3 не уменьшатся более чем на 5°С. Все данные поступают в ЭВМ. Для проведения дальнейших расчетов необходимо определить реальные значения теплофизических параметров объекта 2. Для этого, мысленно разбив ограждающие конструкции 1 на области с однородной структурой и произведя замеры температур, приступают к расчету температуры воздуха внутри объекта в зависимости от времени и теплофизических параметров объекта, используя для этого систему уравнений теплового баланса:

где Св – теплоемкость воздуха внутри объекта,
Cn – теплоемкости предметов, находящихся внутри объекта,
Tв(t) – температура воздуха внутри объекта в момент времени t,
Tn(t) – температура поверхностей предметов, находящихся внутри объекта в момент времени t,
t – момент времени,
Pв – мощность тепловой пушки,
(t) – коэффициент, равный 1 до момента отключения тепловой пушки и равный 0 после момента отключения тепловой пушки,
Kn – коэффициент теплоотдачи поверхностей предметов, находящихся внутри объекта,
Q(t) – тепловой поток через внутренние поверхности ограждающих конструкций объекта в момент времени t, рассчитываемый, исходя из измеренных температур воздуха вблизи всех наружных поверхностей объекта,
с начальными условиями: ,
где tнач – время включения тепловой пушки,
– измеренная температура воздуха внутри объекта в момент включения тепловой пушки.
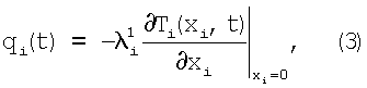
Для расчета полного теплового потока Q(t) через внутренние поверхности ограждающих конструкций 1 объекта 2 в момент времени t используется соотношение:

где i – номер области ограждающих конструкций,
Ai – площадь i-ой области ограждающих конструкций,
qi(t) – плотность теплового потока через внутреннюю поверхность i-ой области ограждающих конструкций в момент времени t.
Производится суммирование по всем областям.
Плотность теплового потока qi(t) через внутреннюю поверхность i-ой области в момент времени t определяется выражением:

где – коэффициент теплопроводности внутреннего слоя,
Ti(xi,t) – температура внутри i-ой области в точке с координатой xi, в момент времени t,
xi – координата точки внутри i-ой области ограждающих конструкций, равная расстоянию от данной точки до внутренней поверхности i-ой области.
Температура Ti(xi,t) определяется из решения уравнения нестационарной теплопроводности внутри i-ой области ограждающих конструкций:

где Ci(xi) – теплоемкость, равная теплоемкости j-го слоя i-ой области , если точка с координатой xi принадлежит j-му слою i-ой области,
t – момент времени,
i(xi) – коэффициент теплопроводности, равный коэффициенту теплопроводности j-го слоя i-ой области если точка с координатой xi принадлежит j-му слою i-ой области.
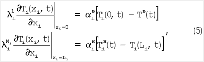
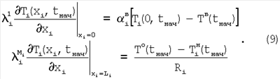
При решении уравнения (4) необходимо использовать граничные условия:

где – коэффициент теплопроводности внутреннего слоя i-ой области,
– коэффициент теплоотдачи внутренней поверхности i-ой области,
– коэффициент теплопроводности наружного слоя i-ой области,
Li – координата наружной поверхности i-ой области.
– коэффициент теплоотдачи наружной поверхности i-ой области,
– измеренное значение температуры воздуха вблизи наружной поверхности i-ой области в момент времени t.
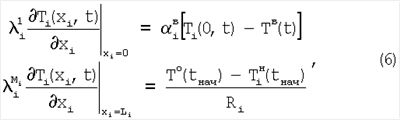
Если i-ая область граничит с фундаментом, то для нее необходимо использовать следующие граничные условия:

где Ri – эффективное значение сопротивления теплопередаче i-ой области,
To(tнач) – температура воздуха окружающей среды, с которой граничит рассматриваемый объект, в момент включения тепловой пушки tнач,
tнач – время включения тепловой пушки.
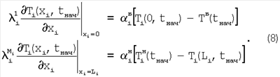
Начальное распределение температуры Ti(xi,tнач) внутри i-ой области ограждающих конструкций определяется из решения уравнения стационарной теплопроводности в i-ой области:

с граничными условиями:

Для областей, граничащих с фундаментом, граничные условия имеют следующий вид:

Из уравнений (1)-(9) следует, что температура внутреннего воздуха Tв(t) в момент времени t может быть рассчитана для произвольного набора теплофизических параметров всех областей ограждающих конструкций объекта. Набор параметров включает в себя совокупность значений , , , , , Ri, Cв, Cn и Kn.
Измеренную и рассчитанную температуру воздуха сравнивают на основании зависимости:

где N – полное число замеров температуры воздуха внутри объекта,
tn – момент n-го замера температуры воздуха внутри объекта,
Tв(tn, ) – рассчитанная температура воздуха внутри объекта в момент времени tn для значений теплофизических параметров ,
– измеренная температура воздуха внутри объекта в момент времени tn.
Выбранные значения теплофизических параметров объекта обеспечивают минимальное значение зависимости G( ).
На основании выбранных значений параметров строят график (фиг.5) зависимости температуры Tв(t) воздуха внутри замкнутого объекта от времени при отключенной системы поддержания заданной температуры воздуха внутри объекта, используя систему уравнений теплового баланса (1). Для этого произвольно задают температуру воздуха внутри объекта в момент отключения системы поддержания заданной температуры воздуха внутри объекта и температуры воздуха вблизи всех наружных поверхностей всех областей ограждающих конструкций объекта в произвольный момент времени t, а мощность тепловой пушки Pв(t) полагают равной нулю.
Пример реализации способа
В качестве объекта был выбран гараж во дворе дома 62 на улице Люсиновская, Москва. Гараж имеет следующие размеры: длина – 6.0 м, ширина – 3.6 м, высота – 2.15 м. Стены гаража сложены из силикатного кирпича. Крыша выполнена железобетонными плитами. Ворота гаража имеют размеры 2.4×1.8 м, изготовлены из досок и обиты снаружи стальным листом. Пол гаража бетонный.
Ограждающие конструкции гаража были разбиты на семь областей с однородной структурой. Расположение областей и их нумерация указаны на фиг.3 (1-7).
Указанные на фиг.3 (1-7) размеры были определены с помощью рулетки с точностью до 1 мм.
По результатам измерений были рассчитаны толщины всех областей ограждающих конструкций (кроме фундамента), а также площади поверхностей этих областей. Результаты расчетов представлены в Таблице 1.
При расчетах толщин и площадей областей использовались следующие формулы:








где Ai – площадь i-ой области,
Li – толщина i-ой области,
а значения , , , и H1, H2, H4, H3, H6 указаны на фиг.3 (1-7).
При выводе формул (11)-(18) предполагались равенства: L1=L2 и L4=L5.
Внутри гаража был установлен измеритель самопишущий ИС-201 (фирмы “ТехноАс”, Россия) с подключенным датчиком температуры воздуха (идущим в комплекте с самописцем), способный регистрировать температуру воздуха с точностью до 0.5°С в течение 5 суток с интервалом между последовательными измерениями, равным 300 сек. Все ограждающие конструкции, кроме фундамента, граничили с атмосферным воздухом, поэтому температура воздуха вблизи наружных поверхностей всех областей ограждающих конструкций (за исключением фундамента) была одинаковой. Для регистрации температуры наружного воздуха использовался такой же самописец, при этом датчик был установлен вблизи крыши гаража (на расстоянии 10 см от поверхности крыши).
Для нагрева гаража использовались три калорифера KRP-2 (фирмы “General”, Голландия); мощность каждого составляла 1.5 кВт. В момент включения калориферов температура воздуха внутри гаража была равна 2°С, а температура воздуха снаружи гаража была равна 0.5°С. Нагрев проводился в течение 36 часов. К этому моменту температура внутри гаража повысилась на 11.5°С. Затем калориферы отключались, и гараж остывал в течение 36 часов. За это время температура понизилась на 8°С.
Полная продолжительность измерений составила 72 часа, в течение которых фиксировались температуры внутреннего и наружного воздуха с помощью установленных самописцев показаний датчиков температуры воздуха. Графики зависимости температур внутреннего (кривая 1) и наружного (кривая 2) воздуха от времени представлены на фиг.4.
Так как передняя, задняя и боковые стенки имеют одинаковую структуру, то при расчетах использовались одинаковые значения коэффициентов теплопроводности, теплоемкости и коэффициентов теплоотдачи для областей 1, 4, 5 и 6. Таким образом, для расчета зависимости температуры внутреннего воздуха от времени было необходимо определить значения 18 параметров, название которых перечислены в первой колонке Таблицы 2.
Значения перечисленных параметров определялись с помощью сравнения измеренной зависимости температуры воздуха внутри гаража с зависимостью, рассчитанной на основе решения уравнения теплового баланса (1). На основании сравнения были выбраны значения теплофизических параметров, обеспечивавших минимальное значение зависимости G( ), которая определялась выражением (10). Все расчеты проводились с использованием ЭВМ. Значения теплофизических параметров, определенных в результате процедуры сравнения, приведены во второй колонке Таблицы 2. Для сравнения в третьей колонке Таблицы 2 приведены проектные значения теплофизических параметров (т.е. значения теплофизических параметров, взятые из справочника для перечисленных в первой колонке Таблицы 2 материалов).
На основе выбранных значений теплофизических параметров в качестве примера была рассчитана зависимость температуры воздуха внутри гаража от времени в течение 24 часов с момента отключения системы поддержания заданной температуры воздуха внутри гаража. При этом начальная температура воздуха внутри гаража считалась равной , а температура воздуха снаружи гаража считалась постоянной и равной .
Результаты расчета зависимости температуры от времени представлены на фиг.5.
Реализация предложенного способа позволит без проблем и с максимальной точностью выполнить «Правила», изложенные в Постановлении 83 от 13 февраля 2006 г. Правительства Российской Федерации, касающиеся допустимых перепадов в подаче теплоносителей по продолжительности и периодам года.
Способ позволит точно установить интервал времени, в течение которого конкретный объект может находиться без отопления при отключении системы теплоснабжения вследствие ее аварии. В течение данного интервала времени необходимо успеть провести ремонтные работы для того, чтобы не произошло разрушения объекта.
Литература
1. Журнал “Промышленное и гражданское строительство” 1998 г. 8 Ст. “Безопасность московских жилых зданий массовых серий при чрезвычайные ситуациях” Стругацкого Ю.М. и Шапиро Г.И.
2. Инструкция по проектированию конструкций панельных жилых зданий. ВСН 32-77 / Госгражданстрой.
3. Рекомендации по расчету конструкций крупнопанельных зданий на температурно-влажностные воздействия / ЦНИИСК им.Кучеренко Госстроя СССР, М., 1983.
4. Журнал “Промышленное и гражданское строительство” 2001 г. 5 Ст. “Защита панельных зданий от воздействия перепада температуры при аварийном отключении отопления” Стругацкого Ю.М. и Шапиро Г.И.
Формула изобретения
Способ определения зависимости температуры воздуха внутри замкнутого объекта с ограждающими конструкциями от времени при отключении системы поддержания заданной температуры воздуха внутри объекта, при котором устанавливают датчик температуры воздуха внутри замкнутого объекта и регистрируют им температуру воздуха в процессе остывания, отличающийся тем, что вблизи всех наружных поверхностей ограждающих конструкций объекта устанавливают датчики температуры, а внутри объекта устанавливают тепловую пушку, которой нагревают воздух внутри объекта до повышения его температуры более чем на 10°С, одновременно с нагревом регистрируют температуру воздуха всеми установленными датчиками, затем тепловую пушку отключают и регистрируют всеми установленными датчиками температуру воздуха до ее понижения более чем на 5°С, после чего, используя систему уравнений теплового баланса
 где Св – теплоемкость воздуха внутри объекта; Сn – теплоемкости предметов, находящихся внутри объекта; Tв(t) – температура воздуха внутри объекта в момент времени t; Tn(t) – температура поверхностей предметов, находящихся внутри объекта в момент времени t; t – момент времени; Рв – мощность тепловой пушки;
(t) – коэффициент, равный 1 до момента отключения тепловой пушки и равный 0 после момента отключения тепловой пушки; Кn – коэффициент теплоотдачи поверхностей предметов, находящихся внутри объекта; Q(t) – тепловой поток через внутренние поверхности ограждающих конструкций объекта в момент времени t, рассчитываемый, исходя из измеренных температур воздуха вблизи всех наружных поверхностей объекта, с начальными условиями: , где tнач – время включения тепловой пушки;
– измеренная температура воздуха внутри объекта в момент включения тепловой пушки, рассчитывают температуру воздуха внутри объекта в зависимости от времени и теплофизических параметров объекта, после произведенных расчетов выбирают те значения теплофизических параметров объекта, при которых рассчитанная температура воздуха внутри объекта наиболее близка к измеренной температуре воздуха внутри объекта, затем на основании выбранных параметров строят зависимость температуры воздуха внутри замкнутого объекта от времени при отключенной системе поддержания заданной температуры воздуха внутри объекта, используя систему уравнений теплового баланса и произвольно задавая температуру воздуха внутри объекта в момент отключения системы поддержания заданной температуры воздуха внутри объекта и температуры воздуха вблизи всех наружных поверхностей объекта.
РИСУНКИ
|