|
|
(21), (22) Заявка: 2006109711/09, 12.08.2004
(24) Дата начала отсчета срока действия патента:
12.08.2004
(30) Конвенционный приоритет:
28.08.2003 US 10/650,271
(43) Дата публикации заявки: 20.10.2007
(46) Опубликовано: 27.10.2009
(56) Список документов, цитированных в отчете о поиске:
RU 2192094 C1, 27.10.2002. WO 02/05442 A2, 17.01.2002. US 5901185 A, 04.05.1999. EP 0963071 A1, 08.12.1999.
(85) Дата перевода заявки PCT на национальную фазу:
28.03.2006
(86) Заявка PCT:
US 2004/026349 20040812
(87) Публикация PCT:
WO 2005/025164 20050317
Адрес для переписки:
129090, Москва, ул. Б.Спасская, 25, стр.3, ООО “Юридическая фирма Городисский и Партнеры”, пат.пов. Ю.Д.Кузнецову, рег. 595
|
(72) Автор(ы):
ЧЖАН Хайтао (US)
(73) Патентообладатель(и):
КВЭЛКОММ ИНКОРПОРЕЙТЕД (US)
|
(54) СПОСОБ И УСТРОЙСТВО ДЛЯ УДАЛЕННОГО КОДИРОВАНИЯ НАЛОЖЕНИЙ ПРИ ИСПОЛЬЗОВАНИИ КОРОТКИХ КОДОВ СИНХРОНИЗАЦИИ
(57) Реферат:
Изобретение относится к системам и способам для передачи информации и, в частности, для оценки передаточной функции канала связи с помощью коротких кодов синхронизации. Способ и устройство для оценки передаточной функции h(t) канала связи содержат шаги создания последовательности di данных, имеющей построенную часть Cdi, ассоциированную с по меньшей мере двумя кодами w0, w1, в которых корреляционная функция Acode построенной части Cdi с одним из двух кодов w0, w1 характеризуется максимальным значением при k=0 и меньшим, чем максимальное значение, при k 0; создания последовательности cj элементарных сигналов, имеющей период Tc элементарных сигналов, как последовательность данных, развернутая расширяющей последовательностью Si длиною N; создания com(t)=co(t+mNTc) при m=0, 1, , M с помощью корреляции принимаемого сигнала r(t) с расширяющей последовательностью Si, где принимаемый сигнал r(t) содержит последовательность cj элементарных сигналов, использованную для канала связи; и создания оценки передаточной функции канала связи как комбинации
com(t) и dm при m=0, 1, , M. Технический результат – эффективная оценка передаточной функции канала связи, когда принимаемый сигнал имеет потери в коротком расширяющем коде. 3 н. и 51 з.п. ф-лы, 11 ил.
Уровень техники
Область техники, к которой относится изобретение
Настоящее изобретение относится к системам и способам для передачи информации и, в частности, к системе и способу для оценки передаточной функции канала связи с помощью коротких кодов синхронизации.
Уровень техники
В системах связи, основанных на пакетах, расширяющие коды используются для целей поиска пакетов и синхронизации. Корреляционные методы используются для их идентификации и синхронизации во времени. Во многих примерах последовательность расширяющего кода может быть порядка 1000 элементов или более. Поскольку приемник должен выполнять корреляцию через все возможные задержки, этот процесс может приводить к нежелательным задержкам.
Для смягчения этой проблемы короткий расширяющий код с хорошей апериодической автокорреляцией может быть использован для целей поиска пакетов и синхронизации. Одним примером является система беспроводной локальной вычислительной сети (БЛВС) (WLAN) IEEE 802.11, которая использует код Баркера, длиною 11 элементов, в качестве расширяющей последовательности для преамбулы и для заголовка пакета. Короткая длина расширяющей последовательности позволяет приемникам быстро обнаружить наличие пакета в канале связи и синхронизоваться с ним во времени.
В случае линейного канала при разработке приемника обычно желательно оценить передаточную функцию канала связи. В контексте БЛВС обычно используется многолучевой линейный канал, а такие каналы связи требуют компенсацию для эффективного приема. Дав оценку передаточной функции канала связи, мы можем непосредственно вычислить коэффициенты компенсации через матричные вычисления, в отличие от обычных адаптивных алгоритмов. Это описывается в «Digital Communications», John G. Proakis, 4-е издание, 15 августа 2000, который включен в настоящее описание посредством ссылки. Это позволяет вычислять коэффициенты компенсации в процессоре цифровых сигналов (ПЦС) (DSP) вместо более дорогой и менее совместимой специализированной аппаратуры, осуществляющей алгоритмы адаптации.
К сожалению, поскольку используемый расширяющий код является коротким (например, порядка 11 символов), то прямая корреляция, использующая расширяющий код, будет создавать искаженную оценку. Поэтому требуется простой эффективный метод вычисления, который может быть использован для вычисления в основном неискаженных оценок передаточной функции канала связи, даже когда принимаемый сигнал имел потери в коротком расширяющем коде. Настоящее изобретение решает эту проблему.
Раскрытие изобретения
Для решения описанных выше проблем настоящее изобретение раскрывает способ и устройство для оценки передаточной функции h(t) канала связи. Способ содержит шаги создания (генерирования) последовательности di данных, имеющей связанную (далее также упоминаемую как построенную) часть Cdi, ассоциированную с по меньшей мере двумя кодами w0, w1, в которых корреляционная функция Acode(k) построенной части Cdi с одним из двух кодов w0, w1 характеризуется максимальным значением при k=0 и меньшим, чем максимальное значение, при k 0; создания последовательности cj элементарных сигналов, имеющей период Tc элементарных сигналов, как последовательность di данных, развернутая расширяющей последовательностью Si длиною N; создания com(t)=co(t+mNTc) при m=0, 1, , М с помощью корреляции принимаемого сигнала r(t) с расширяющей последовательностью Si, где принимаемый сигнал r(t) содержит последовательность cj элементарных сигналов, использованную для канала связи; и создания оценки передаточной функции канала связи как комбинацию com(t) и dm при m=0, 1, , М. Устройство содержит средство для создания последовательности di данных, имеющей построенную часть Cdi, ассоциированную с по меньшей мере двумя кодами
w0, w1, в которых корреляционная функция Acode(k) построенной части Cdi с одним из двух кодов w0, w1 характеризуется максимальным значением при k=0 и меньшим, чем максимальное значение, при k 0; средство для создания последовательности cj элементарных сигналов, имеющей период Тc элементарных сигналов, как последовательность di данных, развернутая расширяющей последовательностью Si длиною N; коррелятор для создания com(t)=co(t+mNTc) при m=0, 1, , М с помощью корреляции принимаемого сигнала r(t) с расширяющей последовательностью Si, где принимаемый сигнал r(t) содержит последовательность cj элементарных сигналов, использованную для канала связи; и блок оценки для создания оценки передаточной функции канала связи как комбинацию com(t) и dm при m=0, 1, , М.
Вышеизложенное позволяет точно оценить передаточную функцию h(t) канала связи даже с короткими кодами элементарных сигналов. В случае ограниченной во времени передаточной функции канала настоящее изобретение производит оценку, которая может быть точной в пределе высокого отношения сигнал-шум (ОСШ) (SNR).
Краткое описание чертежей
Обратимся теперь к чертежам, на которых одинаковые ссылочные позиции относятся к подобным компонентам:
Фиг.1 является блок-схемой системы приемопередатчика;
Фиг.2 является блок-схемой алгоритма, показывающей шаги обработки, которые могут быть использованы для осуществления настоящего изобретения;
Фиг.3 является блок-схемой передающей системы, использующей фильтр f для улучшения оценки передаточной функции канала связи;
Фиг.4 является диаграммой, показывающей отклик фильтра;
Фиг.5 является блок-схемой алгоритма, описывающей примерные шаги обработки, которые могут быть использованы для улучшения восстановления значения передаточной функции канала связи с помощью суперкодов, наложенных на часть последовательности данных;
Фиг.6 является блок-схемой системы приемопередатчика, использующей суперкод для передачи последовательностей;
Фиг.7 является диаграммой, представляющей выходной сигнал коррелятора 11, использующего символьный код Баркера;
Фиг.8 является диаграммой, представляющей выходной сигнал коррелятора, использующего коды Уолша в качестве входного суперкода;
Фиг.9 является диаграммой, представляющей выходной сигнал коррелятора после постобработки фильтром f, как описывается на Фиг.2 и Фиг.3;
Фиг.10 является диаграммой, представляющей более подробное изображение пика основного лепестка, показывающего оценку передаточной функции канала связи в передаточной функции существующего канала связи; и
Фиг.11 является схемой, представляющей один вариант осуществления процессора, который может быть использован для применения настоящего изобретения.
Осуществление изобретения
В последующем описании ссылки сделаны на соответствующие чертежи, которые составляют его часть и которые показывают путем иллюстрации несколько вариантов осуществления настоящего изобретения. Понятно, что могут быть использованы другие варианты осуществления и могут быть сделаны структурные изменения без отклонения от объема настоящего изобретения.
Модель системы
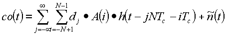
Фиг.1 является схемой системы 100 приемопередатчика. С помощью расширителя 103 сигнала произвольная символьная последовательность di 103 данных, содержащая наборы пакетов 128 данных (каждый из которых может включать заголовок 124, используемый приемником для целей идентификации, а также полезные данные 126), разворачивается последовательностью Si 104 длиною N:{Sn, 0 n N-1} и имеющая период Tc элементарных сигналов. Последовательность Si 104 известна приемнику 112 apriori. Расширенная последовательность cj 106 элементарных сигналов равняется поэтому:
 |
(1) |
Эта расширенная последовательность cj 106 элементарных сигналов передается через линейный канал 108 передачи, имеющий объединенную передаточную функцию h(t) канала. Передаваемый сигнал принимается приемником 112. Принимаемый колебательный сигнал r(t) 114 равняется:
 |
(2) |
где n(t) 121 является компонентой аддитивного шума.
Эта формулировка не накладывает на h(t) 108 в явном виде требования причинности. Если требуется явно ввести причинность, то это может быть выполнено введением требования h(t)=0, t<0. Для упрощения, все последовательности данных или кодовые последовательности в последующем обсуждении принимаются вещественными, тогда как передаточная функция h(t) 108 канала и дополнительная шумовая компонента n(t) 121 могут быть представлены в комплексном виде в своих полосах частот. Если необходимо, комплексные последовательности могут быть легко учтены, но они не являются существенными для целей синхронизации.
Приемник 112 принимает передаваемый сигнал и коррелирует принимаемый сигнал r(t) 114 с известной расширяющей последовательностью Si 104 для идентификации данных, которые предназначены для того, чтобы быть принятыми приемником 112. Сразу после приема принимаемого сигнала r(t) 114 может быть рассмотрен заголовок для определения адреса данных и определения, необходима ли дальнейшая обработка.
Такие системы также используют принимаемый сигнал для оценки входного отклика канала 108 связи. Эта информация используется для улучшения последующего обнаружения и получения сигналов от передатчика 110. При условиях, когда расширяющая последовательность Si 104 является относительно короткой, пакет 128 данных должен быть обнаружен быстро и имеется меньше данных, доступных для оценки отклика канала 108 связи.
Общепринятое обнаружение и синхронизация
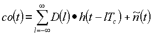
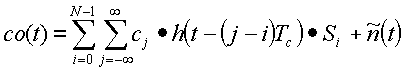
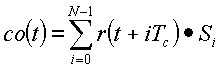
Для целей обнаружения и синхронизации поиск расширяющего кода обычно выполняется с помощью корреляции принимаемого сигнала r(t) 114 с расширяющей последовательностью. Это выполняется коррелятором 116. Хотя такая корреляция обычно производится после выполнения выборки во временном домене, для упрощения описания мы не выполняем дискретизацию во временном домене. Выходной сигнал co(t) 118 коррелятора 116 описывается следующими выражениями:
где D(l) является корреляционной функцией между последовательностью элементарных сигналов и расширяющей последовательностью, и мы будет ссылаться на нее как на корреляционную функцию элементарных сигналов.
Для простоты обозначения мы введем (отрицательную) групповую задержку (lTc) при вычислении выходного сигнала 118 коррелятора. Выходной сигнал коррелятора 116 дается сверткой корреляционной функции D(l) с дискретизированной передаточной функцией h(t-lTc) канала связи плюс шумовой компонентой . При дальнейшем исследовании:
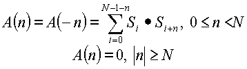
где A(n) является двусторонней апериодической автокорреляцией расширяющей последовательности, определенной как:
 |
(12) |
A(n) является показателем кодовой последовательности, которая известна коррелятору 116 apriori.
Для целей обнаружения и синхронизации расширяющая последовательность Si 104 разрабатывается так, чтобы иметь минимальные значения A(k) при k 0. Однако для небольших (например, порядка 10) значений N (коротких расширяющих кодов) даже небольшая величина бокового лепестка не является пренебрежимой при сравнении с синфазной автокорреляцией.
Последовательности Баркера, если они существуют, дают лучшую апериодическую автокорреляцию. Для последовательности Баркера из 11 элементарных сигналов Si=1,-1,1,1,-1,1,1,1,-1,-1,-1, автокорреляционная функция становится A(i)=1,1,0,-1,0,-1,0,-1,0,-1,0,-1 для 0 i<11. Заметим, что даже для кодов Баркера, поскольку расширяющая последовательность Si 104 ограничена длиной, автокорреляционная функция A(i) включает в себя значительные боковые лепестки.
Выходной сигнал 118 коррелятора 116 может быть записан как:
где далее определяется как свертка апериодической автокорреляционной функции A(i) расширяющей последовательности и дискретизированная передаточная функция h(t-iTc) канала:
 |
(18) |
Это является оценкой объединенной передаточной функции канала связи 108 на выходе кодового коррелятора 116.
Описанные выше уравнения могут быть короче записаны с помощью сверточного представления. Определяется свертка двух бесконечных последовательностей Ai и Bi как
 |
(19) |
Определяя оператор , который преобразовывает любую последовательность О к функции интервала времени с помощью дельта-функции Дирака:
 |
(20) |
мы может также определить свертку функции с последовательностью с помощью прямой свертки двух функций:
 |
(21) |
Учитывая приведенные выше и принимая нижеследующие определения:
вышеупомянутые уравнения (1), (2), (3), (6), (12), (18), (16), (17) могут быть записаны как:
Определение оценки передаточной функции канала связи
Для упрощения обозначения в оставшемся обсуждении мы примем, что символы данных являются двоичными. Результаты, однако, могут быть применимы к не двоичным данным.
Поскольку коррелятор 116 имеет доступ к одной и той же кодовой последовательности Si 104, которая используется для создания расширяющей последовательности cj 106 элементарных сигналов до передачи, то коррелятор 116 может коррелировать принимаемый сигнал r(t) 114 с кодовой последовательностью Si 104. Однако наложение может происходить с короткими кодовыми последовательностями Si 104, поскольку временные задержки могут побуждать коррелятор 116 коррелировать различные части смежных кодовых последовательностей. Обычно эти эффекты наложения уменьшаются объединением или суммированием через множество (например, М) кодовых периодов, как описывается ниже.
Как описывается в уравнениях (13)-(17), на основе выходного сигнала 118 коррелятора 116 мы может формировать оценку передаточной функции канала через один кодовый период Tc:
где d0 является значением данных при t=0.
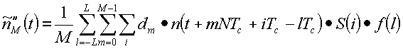
Это является грубым приближением к , искаженным наложенными копиями , расположенными с интервалами на множестве NTc от желаемой копии. Эти наложения и дополнительные шумовые элементы могут быть уменьшены через дальнейшее суммирование через М кодовых периодов:
Из вышеприведенного следует, что из выходного сигнала 122 блока 120 оценки с помощью удаления модуляции данных через корреляцию с последовательностью данных мы получаем оценку передаточной функции канала плюс элементы, определенные автокорреляционной функцией последовательности данных, которые исчезают при суммировании с бесконечными пределами.
Если DM(l) определяется как:
 |
(27) |
то
 |
(28) |
где является оценкой передаточной функции h(t) канала связи. Когда последовательность di 102 данных является произвольной, белой и независимой от аддитивного шума n(t) 121 и при M :
 |
(29а) |
Поэтому в пределе бесконечного суммирования (поскольку М стремится к бесконечности) мы получаем оценку, которая равняется истинной передаточной функции h(t) канала, свернутого с апериодической автокорреляционной функцией расширяющей последовательности Si 104.
Из приведенного выше следует, что мы не можем получить истинную передаточную функцию h(t) канала при помощи простой интеграции. Лучшее, что мы имеем, это искажение автокорреляционной функции расширяющей последовательности Si 104. В случаях когда расширяющая последовательность Si 104 является длинной, то автокорреляционная функция аппроксимирует дельта функцию и боковые лепестки исчезают. Однако когда расширяющая последовательность Si 104 является короткой, то боковые лепестки автокорреляционной функции не являются незначительными и будут вызывать значительное искажения при оценке передаточной функции h(t) канала связи.
Улучшенные канальные оценки для коротких расширяющих последовательностей
Как показывается ниже, настоящее изобретение улучшает оценку передаточной функции канала связи с помощью фильтрации первой оцененной передаточной функции канала связи для создания оцененной передаточной функции h(t) канала связи с фильтром f, выбранным по меньшей мере в части в соответствии с расширяющей последовательностью Si. В частности, когда временной диапазон канала 108 связи ограничен, то может быть использована обратная свертка нулевого воздействия для улучшения оценки.
Фиг.2 является блок-схемой алгоритма, иллюстрирующей шаги обработки, которые могут быть использованы для осуществления настоящего изобретения.
Фиг.3 является схемой системы 300 приемопередатчика, использующей фильтр f, описанный выше, для фильтрации первой оцененной передаточной функции канала связи, чтобы создать улучшенную оценку, доступную для коротких расширяющих последовательностей Si 104.
На Фиг.2 и Фиг.3 блоки 202-208 описывают шаги, которые используются для создания com(t) 118. Развернутая последовательность cj 106 элементарных сигналов создается из символьной последовательности di 102 данных и расширяющей последовательности Si 104 длиною N, как показано в блоке 202. Последовательность cj 106 элементарных сигналов передается через канал 108 связи, как показано в блоке 204, и принимается, как показано в блоке 206. Канал связи включает в себя передатчик 110 и приемник 112. Принимаемый сигнал r(t) 114 затем коррелируется с расширяющей последовательностью Si 104 с помощью коррелятора 116, чтобы создать com(t), как показано в блоке 208.
В блоке 210 оцененная передаточная функция канала связи создается с помощью блока оценки 120 как комбинация com(t) и dm при m=0, 1, , M. Это может быть выполнено, например, с помощью отношения, описанного в упомянутом ранее уравнении (24).
В результате, в блоке 212, первая оцененная передаточная функция канала связи фильтруется фильтром f, выбранным по меньшей мере в части, соответствующим расширяющей последовательности Si 104. В одном варианте осуществления фильтр представляет собой фильтр f 302 с конечной импульсной характеристикой (КИХ-фильтр) (FIR), рассчитанный следующими ограничениями:
 |
(29) |
 |
(30) |
где является сверткой автокорреляционной функции расширяющей последовательности Si 104 и фильтра, а Af является автокорреляционной функцией расширяющей последовательности Si 104 после фильтрации.
Фиг.4 является диаграммой, показывающей отклик фильтра f 302, описанного в уравнениях (29) и (30).
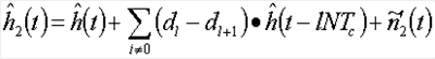
Когда оценка передаточной функции канала связи фильтруется с этим фильтром, то мы получаем:
С помощью этого метода эффекты боковых лепестков (наложения вариантов автокорреляционной функции расширяющей последовательности Si 104) устраняются между L и -L. Боковые лепестки не полностью удаляются (хотя фильтрующие компоненты больше чем L и меньше чем -L), но результат, близкий к исходному (n=0), вызывает первичный интерес, а эффект боковых лепестков может быть значительно уменьшен в этой области.
Если временной диапазон (продолжительность передаточной функции) канала связи является меньше чем LTc, то есть
 |
(32) |
(существует время t2, большее чем t1, определяющее временной интервал t2-t1 меньше чем LTc, и для любого времени вне интервала t2-t1 h(t) приблизительно равно нулю).
Затем фильтрованная оценка hf (или в раннем обозначении hf(t)) составляет точную копию h(h(t)) плюс некоторые ее варианты с непересекающимся расположением. Поэтому в этом случае h можно отделить от hf.
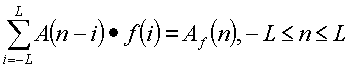
Такой фильтр с длиною 2L+1 может быть разработан для простого критерия нулевого воздействия:
 |
(33) |
где f(i) является такой передаточной функцией фильтра f 302, что Af(n) является сверткой A(n) и f(i), Af(n)=1 при n=0 и Af(n)=0 при 0<|n| L и , где N является длиною расширяющей последовательности Si 104. L может быть выбрано так, что произведение LTc (период
Tc элементарных сигналов известен) приблизительно равняется временному диапазону (например, приблизительной продолжительности передаточной функции) канала 108.
Заметим, что значение A(n-i) четко определено. Это отличительная способность расширяющей последовательности Si 104, которая известна apriori.
Как обычно, матричной структурой линейных уравнений является Теплиц. С помощью расчетного требования расширяющей последовательности Si матрица должна быть хорошо обработана. Фильтровые коэффициенты могут быть вычислены в режиме оффлайн, давая расширяющую последовательность и требуемую длину L окна.
Хотя вышеупомянутое описано со ссылкой на нерекрусивные фильтры, могут быть также использованы другие фильтры, такие как рекрусивные фильтры. Рекрусивный фильтр, например, может обеспечить фильтрацию боковых лепестков, но результатом может не быть ослабленная обработанная матрица, следовательно, решение может быть более сложным для определения. Фактически может быть определен любой фильтр длиною 2L+1.
Суперкопированные последовательности передачи
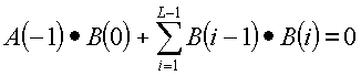
Показано, что давая и фильтрацию возможно восстановить истинную передаточную функцию канала во время, ограниченное каналом. Однако в предшествующем обсуждении получается через объединение, которое может быть больше, особенно, если 2L N, с тех пор, как мы полагаемся на автокорреляционную функцию данных, чтобы подавить наложенные копии .
В одном варианте осуществления настоящего изобретения суперкоды, такие как суперкоды Уолша, используются для существенного уменьшения числа требуемых объединений. Этот метод, в основном, используется в системах, имеющих достаточное отношение сигнал-шум (ОСШ) (SNR).
Рассмотрим пару кодов Уолша длиною 2, w0={+1,+1} и w1={+1,-1}. Эти коды могут быть использованы для формирования последовательности данных:
+,+,+,-,-,-
Любая длина 2-х символьного сегмента из этой последовательности может быть описана как w0 или -w0, за исключением отдельной w1 в центре. Если эта последовательность сейчас коррелируется с w1, то результирующая корреляция будет характеризоваться отдельным пиком в центре и нулями в других местах (за исключением вблизи границы). Отрицательные два кода могут быть взяты (например, w0={+1,+1} и w0={+1,-1}) и/или их назначения могут быть заменены (например, w1={+1,+1} и w0={+1,-1}) с одним и тем же результатом. Таким образом, получаются три дополнительных примера и их примеры корреляции написаны ниже:
-,-,-,-,+,+,+,+ |
-,+ |
-,+,-,+,+,-,+,- |
+,+ |
+,-,+,-,-,+,-,+ |
-,- |
С тех пор, как последующие результаты эквивалентны всем описанным выше примерам, когда дополнительный шум не коррелируется на отобранных точках, мы ограничиваем наше обсуждение первой последовательностью данных (например, +,+,+,+,-,-,- ). В этом случае
Если условие может быть выполнено, то может быть восстановлено без наложения интерференции, и с помощью обратной свертки (вышеупомянутый метод фильтрации) h может быть также восстановлен.
Из вышесказанного она может быть определена так, чтобы небольшой суперкод, введенный в часть последовательности данных, мог обеспечить наложение свободной оценки передаточной функции канала связи, когда отклик канала ограничен во времени. Только источник искажения для этой оценки происходит из дополнительного шума, который может быть подавлен с помощью расширяющего выигранного времени фактора 2 (учитывая суперкод). Когда шум является низким, такое приближение предпочтительнее, чем долгое объединение.
Для умеренных значений L такие кодовые последовательности могут быть легко введены в длинный заголовок для пакетных данных, возможных с множеством копий без отрицательного воздействия на свойства спектра передачи. Дополнительно, когда отношение сигнал-шум (ОСШ) (SNR) является низким, то обыкновенное объединение, как отмеченное в первой части этой части, может еще устраиваться на таком заголовке для получения большего выигрыша от обработки, вопреки дополнительному шуму.
Фиг.5 является блок-схемой алгоритма, описывающей примерные шаги обработки, которые могут быть использованы для улучшения восстановления значения передаточной функции канала связи с помощью суперкода, введенного в часть последовательности данных.
Фиг.6 является схемой системы 600 приемопередатчика, использующей суперкодированные последовательности передачи для создания улучшенной оценки передаточной функции канала связи, пригодной для коротких расширяющих последовательностей Si 104.
В блоке 502 создается последовательность di 102 данных. Последовательность di 102 данных включает в себя один или более пакетов 128 данных, причем каждый пакет данных имеет заголовок 124, включающий построенную часть Cdi 602. Заголовок 124 может быть, например, в виде псевдослучайного кода.
Построенная часть Cdi 602 ассоциируется с по меньшей мере двумя кодами w0 и w1. Коды w0 и w1 выбираются так, чтобы автокорреляционная функция Acode(k) построенной части Cdi 602 и по меньшей мере один из кодов w0 и w1 характеризуются максимальным значением при k=0 и другим значением, меньшим чем максимальное значение при k 0.
В идеальном случае автокорреляционная функция Acode(k) построенной части Cdi 602 является импульсом, и Acode(k) равняется единице при k=0 и равняется всем другим значениям для остальных k. Однако, поскольку такие корреляционные характеристики обычно не осуществимы, то коды w0 и w1 могут быть выбраны для аппроксимации к идеальным. Например, коды w0 и w1 могут быть выбраны так, что автокорреляционная функция Acode(k) построенной части Cdi 602 и по меньшей мере один из кодов w0 и w1 являются такими, что Acode(k)=1 при k=0 и Acode(k)=0 при всех остальных k 0. Или коды w0 и w1 могут быть выбраны так, чтобы автокорреляционная функция Acode(k) построенной части Cdi 602 и по меньшей мере один из кодов w0 и w1 являются такими, что Acode(k)=0 при 0<|k| J, где J выбирается для минимизации корреляции построенной части Cdi с одним из кодов w0 и w1 для всех остальных k 0.
В одном варианте осуществления построенная часть Cdi 602 содержит пару кодов Уолша длиною два элемента в первой последовательности, описанной выше. Рассматриваются другие варианты осуществления, в которых коды имеют другую длину (отличную от двух) или имеют другие коды, отличные от кода Уолша.
В блоке 504 создается последовательность cj элементарных сигналов. Последовательность cj 106 элементарных сигналов создается применением расширяющей последовательности Si 104 длиною N и периода Tc элементарных сигналов к последовательности di 102 данных.
Эта расширенная последовательность cj 106 элементарных сигналов передается через линейный канал 108 передачи, имеющий комбинированную передаточную функцию h(t) канала. Переданный сигнал принимается приемником 112.
В блоке 506 приемник 112 принимает переданный сигнал и коррелирует принимаемый сигнал r(t) 114 с известной расширяющей последовательностью Si 104 для идентификации данных, которые предназначаются для того, чтобы быть принятыми приемником 112. Это заканчивается созданием com(t)=co(t+mNTc) при m=0, 1, , M с помощью аналогичных методов для тех, которые описывались здесь выше.
В блоке 508 создается оцененная передаточная функция как комбинация корреляционной функции com(t) и последовательности dm данных при m=0, 1, , M.
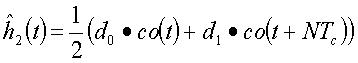
В одном варианте осуществления коды w0 и w1 являются двухсимвольными длинными кодами Уолша, и вычисляется как при М=2. В этом случае равняется .
Следовательно, поскольку данные закреплены с символами, такими как суперкод Уолша, улучшенная оценка передаточной функции канала связи может быть получена с помощью взятия двух последовательных значений корреляционной функции принимаемых данных и расширяющей последовательности, а также с помощью умножения каждого результата на последовательность данных. В примере с кодами Уолша w0={-1,-1} и w1={-1,+1}, применимые к последовательности +,+,+,-,-,- , и w1, применимые к приемнику, результатом является то, что одно из значений co(t) умножается на единицу, а другое умножается на минус единицу. Следовательно, выходной сигнал не будет производить, в основном, отклик, хотя происходит передача между двумя кодами Уолша, во время которого будет производиться чистая, свободная от наложения копия передаточной функции канала связи.
Описан суперкод длиною 2 для улучшения подавления наложения. Когда ОСШ является низким и требуется большой период объединения, это будет приемлемо для обобщения кода с большой длиной. Контринтуитивно это не возможно. Этот результат будет показан ниже представлением определения таких кодов и показом того, что нет таких кодов с длиною более 2, существующих для двоичных последовательностей данных.
Бесконечная последовательность А формирует импульсивную корреляционную пару с бесконечной последовательностью В, длиною L, если А удовлетворяет следующим уравнениям:
Доказательством от противного может быть показано, что для двоичных последовательностей такой пары не существует при L>2. Предположим, что такие последовательности существуют, то видно, что L должно быть четным. Учтем два таких случая (L=4k и L=4K+2).
Для первого случая, L=4k, рассмотрим первое ограничение:
 |
(39а) |
 |
(39b) |
Пока существуют 4k слагаемые в уравнении, получая значения от {+1,-1}, половина из них или 2k элементов должны быть положительными, а другая половина отрицательная. Произведение всех слагаемых должно равняться, поэтому, 1.
Подобные аргументы могут быть использованы для показа, что:
 |
(41) |
Но это подразумевает, что
противоречия которых предполагают, что взаимная корреляция равняется нулю везде за исключением начала координат. Следовательно, доказательством от противного мы показали, что двоичных последовательностей такой пары не существует при L>2.
Подобные аргументы могут быть применены для второго случая, L=4k+2, за исключением того, что произведение всех слагаемых в каждом уравнении должно быть -1, с тех пор, как сейчас мы должны иметь 2k+1 отрицательных элементов. Это представляется как:
 |
(43) |
Когда k>0, то
Суммируя два уравнения, мы имеем:
 |
(45) |
Однако этот результат является невозможным, пока существует нечетное число элементов слева. Доказательством от противного, поэтому, покажем, что возможно удовлетворить ограничениям, когда L>2 для двоичных последовательностей.
Эффекты шума
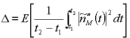
Далее показывается, что искажения из-за составления этой расширяющей последовательности могут быть удалены из оценки передаточной функции канала связи. Теперь обратимся к оставшимся искажениям, которые вызываются аддитивным шумом n(t) 121. Предположим, что источник шума является белым и стационарным и фильтруется фильтром приемника для согласования полосы частот, измерение искажения может быть определено как:
Где
 |
(49) |
Математическое ожидание уравнения (46) может быть взято через n(t), чья автокорреляционная функция может быть определена входным каскадом фильтра приемника, и предполагается, что она известна.
Когда шум n(t) является белым, то мы имеем:
Примеры
Фиг.7-Фиг.10 являются диаграммами, иллюстрирующими улучшения выполнения, достигаемого применением настоящего изобретения. Эти примеры и их статус иллюстрируют использование кода Баркера длиною 11, как расширяющей последовательности Si 104. Фиг.7-Фиг.10 являются приведенными величинами как функция синхронности элементарных сигналов. Не производилось регулировок для групп задержек, введенных с помощью корреляции, фильтрации и кадрирования, поэтому временные координаты должны быть рассмотрены в относительном значении. Фиг.7-Фиг.10 также не включают в себя эффекты дополнительного шума.
Фиг.7 является диаграммной, представляющей выходной сигнал коррелятора 116 с помощью кода Баркера длиною 11 и обычных методов оценки передаточной функции канала связи. Выходной сигнал коррелятора 116 показывает максимум 702 основного лепестка и множество ложных максимумом 704. Ложные максимумы 704 (которые равняются 11 элементарным сигналам или NTc секунд, отличным от кода Баркера длиною 11) появляются из-за повторной передачи короткой последовательности Si 104 и «накладываются» друг на друга. Если длина периодической расширяющей последовательности Si 104 больше, то будут меньше ложные максимумы 704, и максимумы 704 не перекрывают максимум 702 основного лепестка, так же, как показано на Фиг.7.
Фиг.8 является диаграммой, представляющей выходной сигнал коррелятора 116 с помощью кодов Уолша вместе с методом суперкода, описанного на Фиг.5. Для создания этого графика входные данные сжимаются с двумя длинными символьными кодами Уолша w0 и w1, и выходной сигнал обрабатывается суммированием двух последовательных выходных сигналов коррелятора 116, как показано в уравнении (36). Для 11 элементарных сигналов с обеих сторон от максимума 702 основного лепестка существует нулевая корреляция, а многие из ложных максимумов 704 коррелятора, которые видны на Фиг.7, не являются длиннее. Заметим, однако, что пока шесть бит последовательности данных сжаты как +,+,+,-,-,- , то появляются (33 элементарных сигнала из максимума 702 основного лепестка) некоторые наложенные типы максимума 704 основного лепестка (помеченные как 802). Однако пока эти наложенные типы 802 находятся далеко от максимума 704 основного лепестка, то может быть получена точная оценка передаточной функции канала связи. Заметим, что подобный результат может также быть получен без сжатия входной последовательности с суперкодом, но это будет требовать объединения на большом количестве символов (например, М в уравнении (26) будет большим). Заметим также, что максимум 702 основного лепестка, тем не менее, включает в себя незначительные максимумы, поэтому блок оценки 120 производит , который является наименьшим типов из h. Эти нежелательные компоненты 804, вызываемые автокорреляционной функцией расширяющей последовательности 104, не могут быть удалены сжатием последовательности данных. Вместо этого, эти нежелательные компоненты могут быть удалены фильтрацией, как это описывается ниже со ссылкой на Фиг.9.
Фиг.9 является диаграммой, представляющей выходной сигнал коррелятора 116, показанного на Фиг.8, после постобработки фильтром f, как описывается на Фиг.2 и Фиг.3. Заметим, что боковые лепестки 802, показанные на Фиг.8, отодвигаются от максимума 702 основного лепестка, и некоторые нежелательные компоненты 804 максимума 702 основного лепестка фильтруются. Также заметим, что индексирование данных (элементарных сигналов, показанных на оси времени) на Фиг.9 изменено по отношению к индексированию данных на Фиг.8. Как описывается выше, эти различия являются искажениями программного обеспечения, используемого для отображения Фиг.7-Фиг.11, и не ассоциируются с применением изобретения.
Фиг.10 является диаграммой, представляющей более подробное изображение максимума 702 основного лепестка, показывающего оценку передаточной функции канала связи (отображаемой с помощью звездочек), и действительной передаточной функции канала связи. Заметим, что оцененная передаточная функция канала связи свидетельствует, что действительная оценка является очень точной.
Аппаратные средства
Фиг.11 является схемой, иллюстрирующей примерную процессорную систему 1102, которая может быть использована при осуществлении выбранных элементов настоящего изобретения (включая в себя, например, передатчик 110, приемник 112, коррелятор 116, блок оценки 120 или фильтр 302).
Процессорная система 1102 содержит процессор 1104 и память 1106, такую как оперативно запоминающее устройство (ОЗУ) (RAM). В основном, процессорная система 1102 работает под управлением операционной системы 1108, которая хранится в памяти 1106. Под управлением операционной системы 1108 процессорная система принимает входные данные, и управляет, и обеспечивает выходные данные. Обычно, команды для выполнения таких операций также включаются в программу 1110 приложения, которая также хранится в памяти 1106. Процессорная система 1102 может быть включена в микропроцессор, настольный компьютер или любое подобное устройство обработки.
Команды, выполняемые операционной системой 1108, и программа 1110 приложения могут быть материально включены в компьютерно-читаемый носитель, например, устройство 1124 хранения данных, которое может включать один или более неподвижных или переносных устройств хранения данных, такие как zip накопитель, дискета, жесткий диск, CD, кассета и так далее. Далее операционная система 1108 и программа 1110 приложения содержат команды, которые затем считываются и выполняются компьютером 1102, побуждая компьютер 1102 выполнять шаги, необходимые для осуществления и/или использования настоящего изобретения. Программа 1110 приложения и/или команды работы могут также быть материально включены в память 1106 и/или устройства передачи данных, посредством чего создается продукт программного приложения или статья изготовления согласно изобретению. Термины «статья изготовления», «устройство хранения программ» и «компьютерно-программный продукт», использованные здесь, предназначаются для выполнения компьютерной программы, доступной из любого компьютерно-читаемого устройства или носителя.
Специалист определит различные изменения, которые могут быть сделаны с этой конфигурацией без отклонения от объема настоящего изобретения. Например, специалист определит, что любая комбинация описанных выше компонентов или любое число различных компонентов, внешнего оборудования или других устройств может быть использовано с настоящим изобретением. Например, специализированная микросхема (СМ) (ASIC) или программируемая вентильная матрица (ПВМ) (FPGA) может быть использована для осуществления функций выбора, включающих в себя коррелятор 116, а функции фильтрации могут быть осуществлены универсальным процессором, как описывается выше.
Заключение
Это завершает описание предпочтительных вариантов осуществления настоящего изобретения. Вышеизложенное описание предпочтительных вариантов осуществления настоящего изобретения представлено для целей иллюстрации и описания. Оно не введено, чтобы быть исчерпывающим или ограничивать изобретение, которое четко раскрыто. Множество модификаций и изменений возможно в свете описанной выше идеи. Оно предназначено, чтобы объем изобретения был ограничен скорее не этим подробным описанием, а прилагаемой формулой изобретения. Описанные выше спецификации, примеры и данные обеспечивают полноту описания продукта и использование сочетания изобретения. Пока множество вариантов осуществления изобретения может быть сделано без отклонения от сущности и объема изобретения, изобретение присуще формуле изобретения, приложенной далее.
Формула изобретения
1. Способ оценки передаточной функции h(t) канала связи, содержащий шаги: генерирование последовательности di данных, имеющей связанную часть Cdi, ассоциированную с, по меньшей мере, двумя кодами w0, w1, причем корреляционная функция Acode(k) связанной части Cdi с одним из двух кодов w0, w1 характеризуется максимальным значением при k=0 и меньшим, чем максимальное значение, при k 0; генерирование последовательности сj элементарных сигналов, имеющей период Тc элементарных сигналов, в виде последовательности di данных, развернутой расширяющей последовательностью Si длиною N; генерирование сигнала com(t)=co(t+mNTc) при m=0, 1, , M с помощью корреляции принимаемого сигнала r(t) с расширяющей последовательностью Si, где принимаемый сигнал r(t) содержит последовательность сj элементарных сигналов, использованную для упомянутого канала связи; и генерирование оценки передаточной функции канала связи, как комбинации com(t) и dm при m=0, 1, , М. 2. Способ по п.1, в котором шаг генерирования оценки передаточной функции канала связи, как комбинации com(t) и dm при m=0, 1, , М, содержит шаг вычисления , как  3. Способ по п.2, в котором, по меньшей мере, два кода w0, w1 являются каждым вторым символом в длине и где M=2. 4. Способ по п.1, в котором последовательность di данных включает в себя заголовок, имеющий псевдослучайный код, включающий в себя связанную часть последовательности di данных. 5. Способ по п.1, в котором Acode(k)=1 при k=0 и Acode(k)=0 для всех k 0. 6. Способ по п.1, в котором Acode(k)=0 при 0<|k| J, где J выбирается для минимизации корреляции связанной части Cdi с одним из кодов w0, w1 для всех k 0. 7. Способ по п.6, в котором 2J является длиною связанной части Cdi. 8. Способ по п.1 в котором Acode(k)=1 при k=0 и Acode(k)=0 для всех k 0. 9. Способ по п.1, в котором каждый из двух кодов w0, w1 содержит два символа. 10. Способ по п.1, в котором каждый из двух кодов w0, w1 состоит из двух символов. 11. Способ по п.1, в котором коды w0, w1 содержат коды Уолша. 12. Способ по п.1, дополнительно содержащий шаг фильтрации оцененной передаточной функции канала связи фильтром f, выбранном, по меньшей мере, в части, согласно расширяющей последовательности Si. 13. Способ по п.12, в котором фильтр f дополнительно выбирается, по меньшей мере, в части, соответствующим автокорреляционной функции А(n) расширяющей последовательности Si. 14. Способ по п.13, в котором фильтр f дополнительно выбирается, по меньшей мере, в части, соответствующим длительности передаточной функции h(t) канала связи. 15. Способ по п.13, в котором фильтр f дополнительно выбирается, по меньшей мере, в части, соответствующим критерию нулевого воздействия -L n L, где f(i) является такой передаточной функцией фильтра f, что Af(n) является сверткой A(n) и f(i); Af(n)=1 при n=0 и Af(n)=0 при 0<|n| L; и
0 n N, где N является длиною расширяющей последовательности Si. 16. Способ по п.15, в котором параметр L выбирается так, чтобы длительность передаточной функции h(t) канала связи была меньше, чем LTc. 17. Способ по п.15, в котором параметр L выбирается так, чтобы длительность передаточной функции h(t) канала связи приблизительно равнялась LTc. 18. Способ по п.12, в котором N меньше чем 20. 19. Устройство для оценки передаточной функции h(t) канала связи, содержащее: средство для генерирования последовательности di данных, имеющей связанную часть Cdi, ассоциированную с, по меньшей мере, двумя кодами w0, w1, причем корреляционная функция Acode(k) связанной части Cdi с одним из двух кодов w0, w1 характеризуется максимальным значением при k=0 и меньшим, чем максимальное значение, при k 0; средство для генерирования последовательности cj элементарных сигналов, имеющей период Тc элементарных сигналов, в виде последовательности di данных, развернутой расширяющей последовательностью Si длиною N; средство для генерирования сигнала com(t)=co(t+mNTc) при m=0, 1, , M с помощью корреляции принимаемого сигнала r(t) с расширяющей последовательностью Si, где принимаемый сигнал r(t) содержит последовательность cj элементарных сигналов, использованную для упомянутого канала связи; и средство для генерирования оценки передаточной функции канала связи, как комбинацию com(t) и dm при m=0, 1, , М. 20. Устройство по п.19, в котором средство для генерирования оценки передаточной функции канала связи, как комбинации com(t) и dm при m=0, 1, , M, содержит шаг вычисления , как  21. Устройство по п.20, в котором, по меньшей мере, два кода w0, w1 являются каждым вторым символом в длине и где M=2. 22. Устройство по п.19, в котором последовательность di данных включает в себя заголовок, имеющий псевдослучайный код, включающий в себя связанную часть последовательности di данных. 23. Устройство по п.19, в котором Acode(k)=1 при k=0 и Acode(k)=0 для всех k 0. 24. Устройство по п.19, в котором Acode(k)=0 при 0<|k| J, где J выбирается для минимизации корреляции связанной части Cdi с одним из кодов w0, w1 для всех k 0. 25. Устройство по п.24, в котором 2J является длиною связанной части Cdi. 26. Устройство по п.19 в котором Acode(k)=1 при k=0 и Acode(k)=0 для всех k 0. 27. Устройство по п.19, в котором каждый из двух кодов w0, w1 содержит два символа. 28. Устройство по п.19, в котором каждый из двух кодов w0, w1 состоит из двух символов. 29. Устройство по п.19, в котором коды w0, w1 содержат коды Уолша. 30. Устройство по п.19, дополнительно содержащее шаг фильтрации оцененной передаточной функции канала связи фильтром f, выбранном по меньшей мере в части, соответствующим расширяющей последовательности Si. 31. Устройство по п.30, в котором фильтр f дополнительно выбирается, по меньшей мере, в части, соответствующим автокорреляционной функции А(n) расширяющей последовательности Si. 32. Устройство по п.31, в котором фильтр f дополнительно выбирается, по меньшей мере, в части, соответствующим длительности передаточной функции h(t) канала связи. 33. Устройство по п.31, в котором фильтр f дополнительно выбирается, по меньшей мере, в части, соответствующим критерию нулевого воздействия -L n L, где f(i) является такой передаточной функцией фильтра f, что Af(n) является сверткой А(n) и f(i); Af(n)=1 при n=0 и Af(n)=0 при 0<|n| L; и
0 n N, где N является длиною расширяющей последовательности Si. 34. Устройство по п.33, в котором параметр L выбирается так, чтобы длительность передаточной функции h(t) канала связи была меньше, чем LTс. 35. Устройство по п.33, в котором параметр L выбирается так, чтобы длительность передаточной функции h(t) канала связи приблизительно равнялась LTc. 36. Устройство по п.30, в котором N меньше чем 20. 37. Устройство для оценки передаточной функции h(t) канала связи, содержащее: средство для генерирования последовательности di данных, имеющей связанную часть Cdi, ассоциированную с, по меньшей мере, двумя кодами w0, w1, причем корреляционная функция Acode(k) связанной части Cdi с одним из двух кодов w0, w1 характеризуется максимальным значением при k=0 и меньшим, чем максимальное значение, при k 0; средство для генерирования последовательности cj элементарных сигналов, имеющей период Тc элементарных сигналов, в виде последовательности di данных, развернутой расширяющей последовательностью Si длиною N; коррелятор для генерирования сигнала com(t)=co(t+mNTc) при m=0, 1, , М с помощью корреляции принимаемого сигнала r(t) с расширяющей последовательностью Si, где принимаемый сигнал r(t) содержит последовательность cj элементарных сигналов, использованную для упомянутого канала связи; и блок оценки для генерирования оценки передаточной функции канала связи, как комбинации com(t) и dm при m=0, 1, , М. 38. Устройство по п.37, в котором блок оценки содержит средство для вычисления , как  39. Устройство по п.38, в котором, по меньшей мере, два кода w0, w1 имеют два символа в длину и где M=2. 40. Устройство по п.37, в котором последовательность di данных включает в себя заголовок, имеющий псевдослучайный код, включающий в себя связанную часть последовательности di данных. 41. Устройство по п.37, в котором Acode(k)=1 при k=0 и Acode(k)=0 для всех k 0. 42. Устройство по п.37, в котором Acode(k)=0 при 0<|k| J, где J выбирается для минимизации корреляции связанной части Cdi с одним из кодов w0, w1 для всех k 0. 43. Устройство по п.42, в котором 2J является длиною связанной части Cdi. 44. Устройство по п.37 в котором Acode(k)=1 при k=0 и Acode(k)=0 для всех k 0. 45. Устройство по п.37, в котором каждый из двух кодов w0, w1 содержит два символа. 46. Устройство по п.37, в котором каждый из двух кодов w0, w1 состоит из двух символов. 47. Устройство по п.37, в котором коды w0, w1 содержат коды Уолша. 48. Устройство по п.37, дополнительно содержащее шаг фильтрации оцененной передаточной функции канала связи фильтром f, выбранном, по меньшей мере, в части, соответствующим расширяющей последовательности Si. 49. Устройство по п.48, в котором фильтр f дополнительно выбирается, по меньшей мере, в части, соответствующим автокорреляционной функции А(n) расширяющей последовательности Si. 50. Устройство по п.49, в котором фильтр f дополнительно выбирается, по меньшей мере, в части, соответствующим длительности передаточной функции h(t) канала связи. 51. Устройство по п.49, в котором фильтр f дополнительно выбирается, по меньшей мере, в части, соответствующим критерию нулевого воздействия -L n L, где f(i) является такой передаточной функцией фильтра f, что Af(n) является сверткой А(n) и f(i); Af(n)=1 при n=0 и Af(n)=0 при 0<|n| L; и
0 n N, где N является длиною расширяющей последовательности Si. 52. Устройство по п.51, в котором параметр L выбирается так, чтобы длительность передаточной функции h(t) канала связи была меньше, чем LTc. 53. Устройство по п.51, в котором параметр L выбирается так, чтобы длительность передаточной функции h(t) канала связи приблизительно равнялась LTc. 54. Устройство по п.48, в котором N меньше 20.
РИСУНКИ
|
|