|
|
(21), (22) Заявка: 2008112821/09, 02.04.2008
(24) Дата начала отсчета срока действия патента:
02.04.2008
(46) Опубликовано: 27.10.2009
(56) Список документов, цитированных в отчете о поиске:
БУГА Н.Н. и др. Радиоприемные устройства. – М.: Радио и связь, 1986, 155. SU 1401557 A1, 07.06.1988. JP 53-098770, 29.08.1978. БАСКАКОВ С.И. Радиотехнические цепи и сигналы. – М.: Высшая школа, 1988, с.291. ГОЛОВКОВ А.А. и др. Взаимосвязи между элементами матрицы сопротивлений и их использование для синтеза согласующе-фильтрующих устройств амплитудно-фазовых манипуляторов. Телекоммуникации, 2004, 8, с.29-32.
Адрес для переписки:
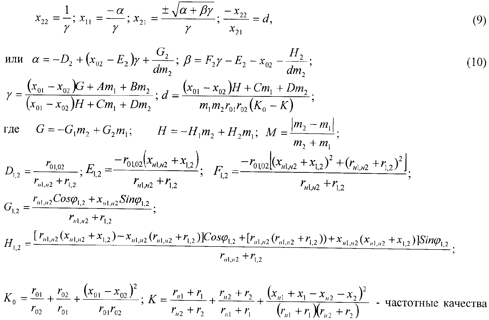
394064, г.Воронеж-64, ул. Старых Большевиков, 54а, ГОУ ВПО Воронежское ВВАИУ, научно-исследовательский отдел
|
(72) Автор(ы):
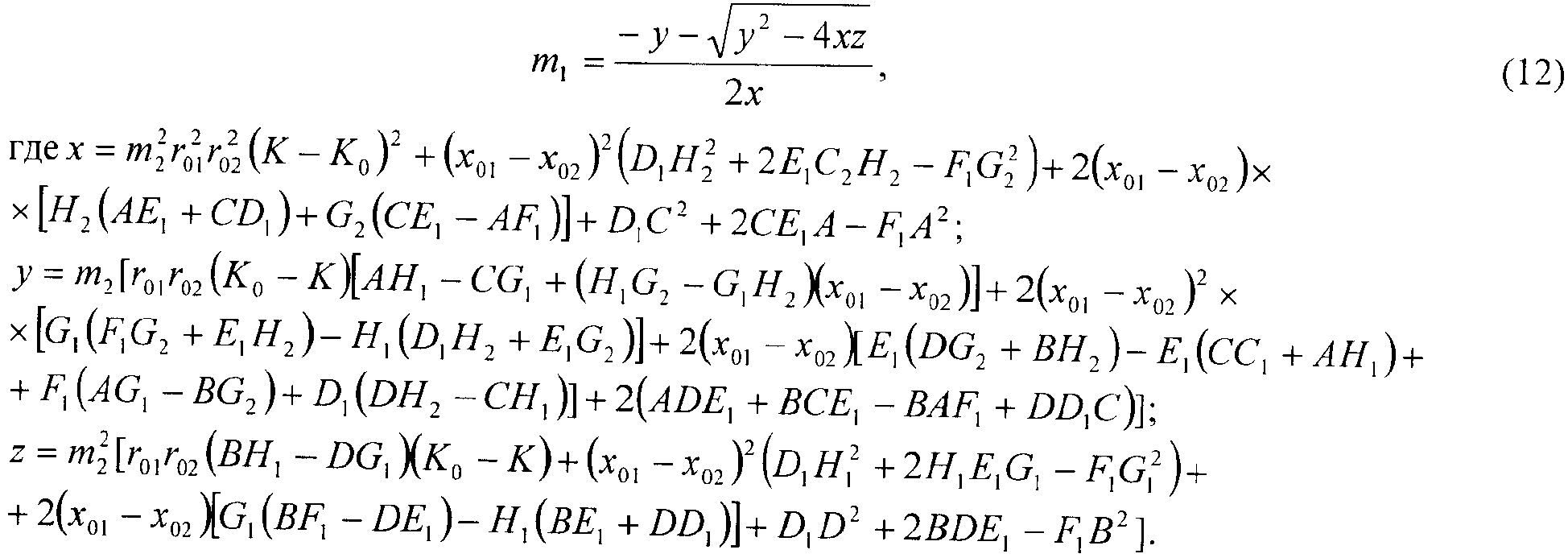
Головков Александр Афанасьевич (RU), Федюнин Игорь Игоревич (RU)
(73) Патентообладатель(и):
Государственное образовательное учреждение высшего профессионального образования “Воронежское высшее военное авиационное инженерное училище (военный институт)” Министерства обороны Российской Федераци (RU)
|
(54) СПОСОБ ДЕМОДУЛЯЦИИ ФАЗОМОДУЛИРОВАННЫХ РАДИОЧАСТОТНЫХ СИГНАЛОВ И УСТРОЙСТВО ЕГО РЕАЛИЗАЦИИ
(57) Реферат:
Изобретение относится к области радиосвязи и может быть использовано для демодуляции (ДМ) фазоманипулированных, а также фазомодулированных (ФМ) сигналов. Технический результат – обеспечение ДМ ФМ сигналов без использования генератора опорных колебаний и параллельного колебательного контура с преобразованием ФМ в АФМ сигналы с помощью высокочастотной (ВЧ) части ДМ при заданной глубине амплитудной модуляции (AM) АФМ сигналов на ВЧ нагрузке путем обеспечения требуемых значений модулей коэффициентов передачи в двух состояниях нелинейного элемента (НЭ), что повышает помехоустойчивость приемника. В способе и устройстве ДМ включают между источником радиочастотных (РЧ) ФМ сигналов и низкочастотной (НЧ) нагрузкой. ДМ выполняют из четырехполюсника (ЧП), двухполюсного НЭ, фильтра нижних частот (ФНЧ). ФМ сигнал преобразовывают в АФМ сигнал. С помощью НЭ разрушают спектр АФМ сигнала на ВЧ и НЧ составляющие. С помощью ФНЧ выделяют информационный НЧ сигнал, амплитуда которого изменяется по закону изменения фазы ФМ входного сигнала. При этом двухполюсный НЭ включают между ЧП и введенной ВЧ нагрузкой в продольную цепь. ЧП выполняют из числа реактивных двухполюсников, не меньшего трех, значения параметров которых выбраны из условия формирования левого склона амплитудно-частотной характеристики (АЧХ) путем обеспечения требуемого значения модуля m2 коэффициента передачи ВЧ части ДМ во втором состоянии НЭ, определяемого одним из крайних значений амплитуды АФМ сигнала. Для преобразования ФМ сигнала в АФМ сигнал подают ФМ сигнал на левый склон АЧХ, НЧ составляющую АФМ сигнала подают на интегрирующую цепь. 2 н.п. ф-лы, 4 ил.
Изобретение относится к радиосвязи и может быть использовано для демодуляции фазоманипулированных, а также фазомодулированных сигналов.
Известен способ демодуляции фазомодулированных сигналов (ФМС), состоящий в том, что на два нелинейных элемента одновременно подаются в противофазе высокочастотный ФМС и в фазе высокочастотное опорное колебание с частотой, равной несущей частоте ФМС. В результате происходит сравнение изменяемой во времени фазы ФМС и постоянной фазы опорного колебания, вследствие чего осуществляется преобразование ФМС в амплитудно-модулированный и фазомодулированный сигнал (АФМС). При этом амплитуда изменяется по закону изменения фазы. Этот сигнал далее испытывает такие же преобразования, как и в амплитудном демодуляторе [Баскаков С.И. Радиотехнические цепи и сигналы. М.: Высшая школа, 1988, стр.286-292]. Это означает, что на нелинейных элементах спектр АФМС разрушается на низкочастотные и высокочастотные составляющие. Далее с помощью фильтра нижних частот выделяется низкочастотная составляющая, амплитуда которой изменяется по закону изменения фазы входного ФМС. Затем с помощью разделительной емкости, включенной в продольную цепь (последовательно), устраняется постоянная составляющая, возникшая на нелинейных элементах в результате взаимодействия с АФМС. После этого низкочастотные колебания, содержащие полезную информацию, выделяются на низкочастотной нагрузке.
Недостаток такого способа и устройства его реализации состоит в том, что для выделения низкочастотного сигнала, амплитуда которого изменяется в соответствии с законом изменения фазы высокочастотного ФМС, необходимо наличие генератора опорных колебаний.
Наиболее близким по технической сущности и достигаемому результату (прототипом) является устройство демодуляции фазомодулированных сигналов, выполненное в виде частотного детектора, состоящего из каскадно-соединенных амплитудного ограничителя, преобразователя частотно-модулированного сигнала (ЧМС) в амплитудно-частотно-модулированный сигнал (АЧМС) в виде параллельного колебательного контура и обычного амплитудного демодулятора. Далее процесс выделения низкочастотной составляющей осуществляется так же, как описано выше. Особенность использования частотного детектора для демодуляции ФМС состоит в том, что если частота несущего сигнала ФМС расположена на правом склоне амплитудно-частотной характеристики (АЧХ) контура, то низкочастотную составляющую подают на дифференцирующую цепь. Если частота несущего сигнала ФМС расположена на левом склоне АЧХ контура, то низкочастотную составляющую подают на интегрирующую цепь [Баскаков С.И. Радиотехнические цепи и сигналы. М.: Высшая школа, 1988, стр.286-292]. При необходимости между источником модулированных сигналов и нелинейным элементом или между нелинейным элементом и нагрузкой включают реактивный или резистивный четырехполюсник для согласования и дополнительной селекции сигнала и помехи. В результате на выходе устройства имеем низкочастотное колебание, амплитуда которого изменяется по закону изменения огибающей входного высокочастотного фазомодулированного колебания.
Недостаток устройства состоит в том, что после преобразования ФМС в АФМС глубина амплитудной модуляции АФМС не контролируется и, как правило, бывает незначительной по величине, что ухудшает помехоустойчивость [Баскаков С.И. Радиотехнические цепи и сигналы. М.: Высшая школа, 1988, стр.286-292. Гоноровский И.С. Радиотехнические цепи и сигналы. М.: Радио и связь, 1986, стр.247-252]. Другим недостатком является дополнительное наличие колебательного контура для преобразования ФМС в АФМС. Этот недостаток связан с тем, что классическая теория радиотехнических цепей предполагает, что нелинейный элемент является чисто резистивным и безынерционным, в связи с чем никак не реагирует на изменение частоты и фазы входного сигнала, а реагирует только на изменение амплитуды. Между тем повседневный опыт показывает, что нелинейные элементы имеют внутренние емкости и индуктивности, которые оказывают существенное влияние на формирование зависимости их проводимости (сопротивления или элементов матрицы проводимостей или сопротивлений) от частоты и фазы. Особенно существенно это проявляется с повышением частоты, к чему в настоящее время в основном стремятся проектировщики новых систем и средств радиосвязи.
Техническим результатом изобретения является обеспечение демодуляции ФМС без использования генератора опорных колебаний и параллельного колебательного контура с преобразованием ФМС в АФМС с помощью высокочастотной части демодулятора при заданной глубине амплитудной модуляции АФМС на высокочастотной нагрузке путем обеспечения требуемых значений модулей коэффициентов передачи в двух состояниях нелинейного элемента, что повышает помехоустойчивость приемника.
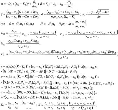
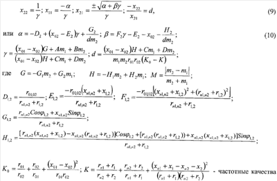
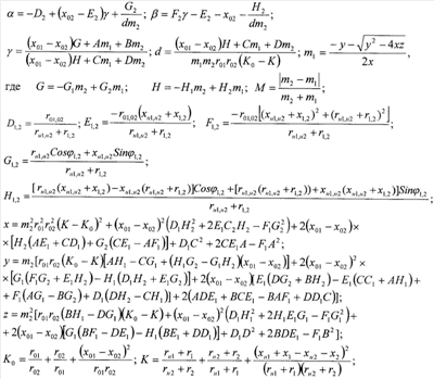
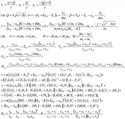
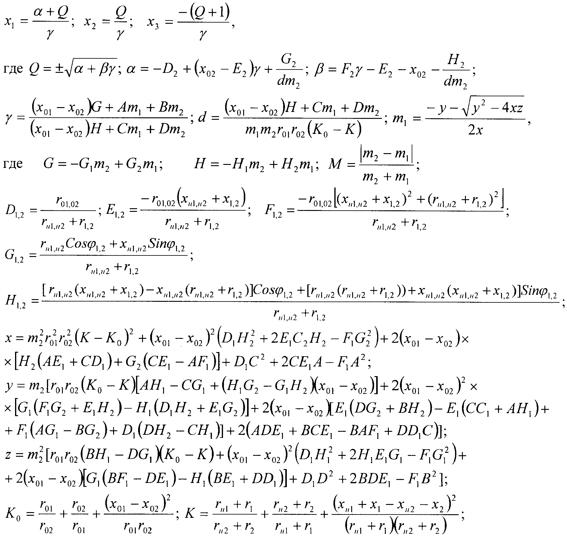
1. Указанный результат достигается тем, что в способе демодуляции фазомодулированных сигналов, состоящем в том, что демодулятор включают между источником радиочастотных фазомодулированных сигналов и низкочастотной нагрузкой и выполняют его из четырехполюсника, двухполюсного нелинейного элемента, фильтра нижних частот, фазомодулированный сигнал преобразовывают в амплитудно-фазомодулированный сигнал, с помощью нелинейного элемента разрушают спектр амплитудно-фазомодулированного сигнала на высокочастотные и низкочастотные составляющие, с помощью фильтра нижних частот выделяют информационный низкочастотный сигнал, амплитуда которого изменяется по закону изменения фазы фазомодулированного входного сигнала, дополнительно двухполюсный нелинейный элемент включают между четырехполюсником и введенной высокочастотной нагрузкой в продольную цепь, четырехполюсник выполняют из числа реактивных двухполюсников, не меньшего трех, значения параметров которых выбраны из условия формирования левого склона амплитудно-частотной характеристики путем обеспечения требуемого значения модуля m2 коэффициента передачи высокочастотной части демодулятора во втором состоянии нелинейного элемента, определяемого одним из крайних значений амплитуды амплитудно-фазомодулированного сигнала, преобразование фазомодулированного сигнала в амплитудно-фазомодулированный сигнал осуществляют путем подачи фазомодулированного сигнала на левый склон амплитудно-частотной характеристики, значение модуля m1 коэффициента передачи высокочастотной части демодулятора в первом состоянии нелинейного элемента выбирают из условия физической реализуемости четырехполюсника, низкочастотную составляющую амплитудно-фазомодулированного сигнала подают на интегрирующую цепь, при этом указанные условия реализуются с помощью следующих математических выражений:

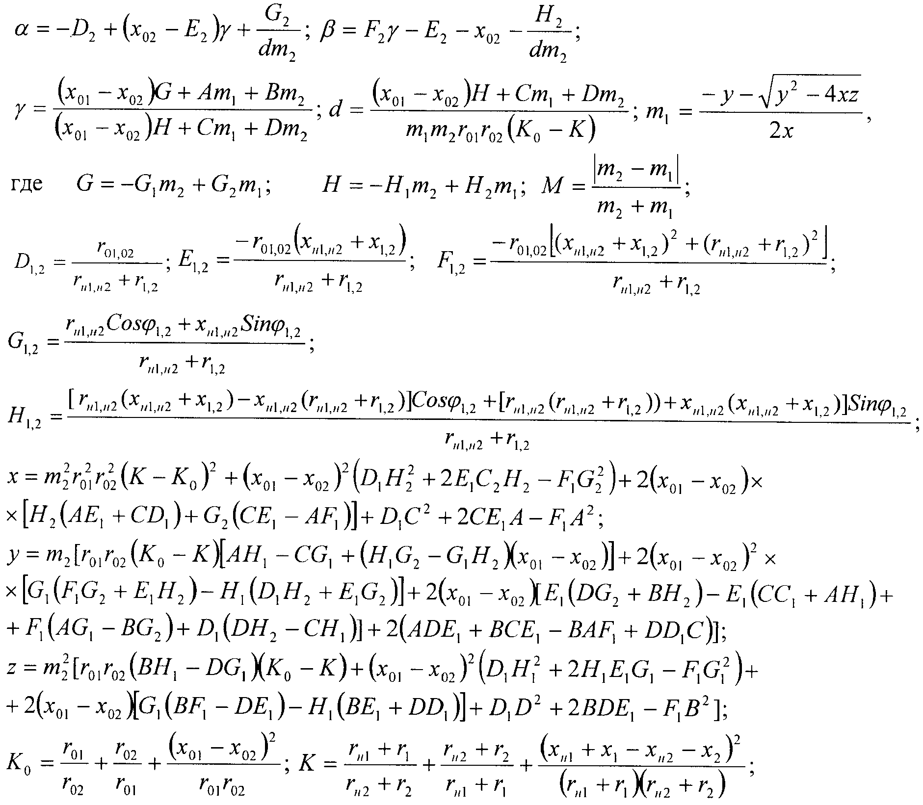
; ; ; a, b, c, d – элементы классической матрицы передачи четырехполюсника; rн1,н2, xн1,н2 – заданные действительные и мнимые составляющие сопротивления нагрузки на двух крайних частотах фазомодулированного сигнала; r01,02, x01,02 – заданные действительные и мнимые составляющие сопротивления источника сигнала на двух крайних частотах фазомодулированного сигнала; r1,2, x1,2 – заданные действительные и мнимые составляющие сопротивления нелинейного элемента на двух крайних частотах фазомодулированного сигнала; M – глубина амплитудной модуляции амплитудно-фазомодулированного сигнала; 1,2 – заданные фазы фазомодулированного сигнала на двух его крайних частотах.
2. Указанный результат достигается тем, что в устройстве демодуляции фазомодулированных сигналов, включенном между источником фазомодулированных сигналов и низкочастотной нагрузкой и состоящем из преобразователя фазомодулированных сигналов в амплитудно-фазомодулированный сигнал, четырехполюсника, двухполюсного нелинейного элемента, фильтра нижних частот, дополнительно нелинейный элемент включен между четырехполюсником и введенной высокочастотной нагрузкой в продольную цепь, четырехполюсник выполнен из Т-образного соединения трех двухполюсников с сопротивлениями
х1, х2, х3, значения которых выбраны из условия формирования левого склона АЧХ путем
обеспечения заданного значения модуля коэффициента передачи в одном из состояний нелинейного элемента, определяемого одним из крайних значений частоты амплитудно-фазомодулированного сигнала, с помощью следующих математических выражений:

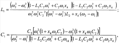
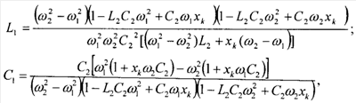
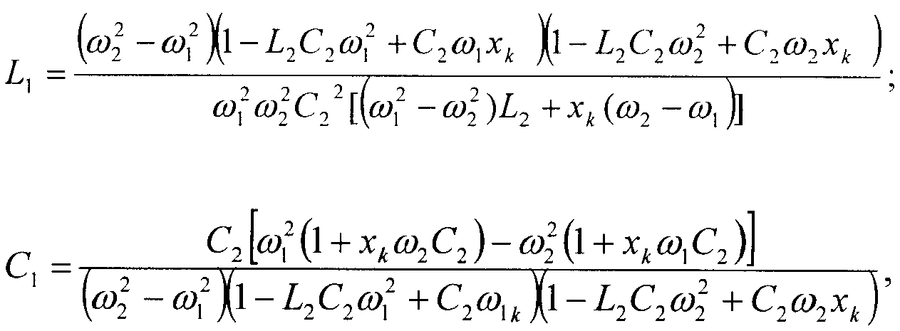
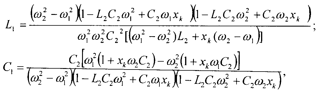
; ; ; a, b, c, d – элементы классической матрицы передачи четырехполюсника; rн1,н2, хн1,н2 – заданные действительные и мнимые составляющие сопротивления нагрузки на двух крайних частотах фазомодулированного сигнала; r01,02, x01,02 – заданные действительные и мнимые составляющие сопротивления источника сигнала на двух крайних частотах фазомодулированного сигнала; r1,2, x1,2 – заданные действительные и мнимые составляющие сопротивления нелинейного элемента на двух крайних частотах фазомодулированного сигнала; М – глубина амплитудной модуляции амплитудно-фазомодулированного сигнала; 1,2 – заданные фазы фазомодулированного сигнала на двух его крайних частотах, при этом каждый из двухполюсников сформирован из последовательно соединенных между собой параллельного L1C1 и последовательного L2C2 контуров, причем элементы параллельного контура определяются с помощью следующих математических выражений:

где 1,2=2 f1,2; f1,2 – заданные крайние частоты диапазона изменения частоты фазомодулированного сигнала; L2, C2 – значения индуктивности и емкости последовательного контура, заданные из условия обеспечения физической реализуемости значений индуктивности и емкости L1, C1, определяемых по вышеуказанным формулам; хk – это реактивное сопротивление k-го двухполюсника (k=1, 2, 3).
На фиг.1 показана схема устройства демодуляции фазомодулированных радиочастотных сигналов (прототип).
На фиг.2 показана структурная схема предлагаемого устройства по п.2.
На фиг.3 приведена схема четырехполюсника по п.3, входящая в предлагаемое устройство.
На фиг.4 приведена схема двухполюсников, входящих в схему четырехполюсника, изображенную на фиг.3.
Устройство-прототип содержит источник 1 фазомодулированных сигналов, четырехполюсник 2, нелинейный элемент 3, фильтр нижних частот 4 на элементах R, C, разделительная емкость 5 на элементе Cp и низкочастотную нагрузку 6 на элементах Rн, Cн.
Принцип действия устройства демодуляции фазомодулированных сигналов (прототипа) состоит в следующем.
Фазомодулированный сигнал от источника 1 подают на демодулятор из последовательно включенного полупроводникового диода к фильтру нижних частот. Принцип действия устройства, реализующего этот способ, состоит в том, что с помощью реактивного четырехполюсника 2, представляющего собой параллельный колебательный контур и включенного между источником ФМС и нелинейным элементом, преобразовывают ФМС в АФМС, с помощью нелинейного элемента 3 разрушается спектр АФМС на высокочастотные и низкочастотные составляющие. Последние выделяются с помощью фильтра нижних частот 4 и поступают в низкочастотную нагрузку 6. В качестве нагрузки выбирается дифференцирующая цепь, если входной ФМС подан на правый склон АЧХ контура, или в качестве нагрузки выбирается интегрирующая цепь, если входной ФМС подан на левый склон АЧХ контура. Разделительная емкость 5 устраняет постоянную составляющую. В результате на выходе устройства имеем низкочастотное колебание, амплитуда которого изменяется по закону изменения огибающей входного высокочастотного амплитудно-модулированного колебания.
Недостаток способа и устройства его реализации состоит в том, что при прохождении ФМС через указанную цепь, после преобразования ФМС в АФМС, глубина амплитудной модуляции последнего является незначительной. Это связано с большой шириной спектра ФМС, т.е. с малой добротностью контура. С другой стороны, чем уже полоса пропускания контура, тем большим искажениям подвергается принятый сигнал.
Высокочастотная часть структурной схемы обобщенного предлагаемого устройства по п.2 (фиг.2) состоит из каскадно-соединенных источника ФМС 1, реактивного четырехполюсника 2, двухполюсного нелинейного элемента 3 и высокочастотной нагрузки 7. Низкочастотная часть структурной схемы содержит фильтр нижних частот 4, разделительную емкость 5 и низкочастотную нагрузку 6.
Принцип действия данного устройства состоит в том, что при подаче ФМС от источника 1 с сопротивлением z0 в результате специального выбора значений параметров классической матрицы передачи четырехполюсника 2 из условий обеспечения заданного значения модуля коэффициента передачи высокочастотной части демодулятора в одном из состояний нелинейного элемента, определяемого одним из крайних значений частоты ФМС, и определения значения модуля коэффициента передачи высокочастотной части демодулятора в другом состоянии нелинейного элемента (на другой крайней частоте ФМС) формируется левый склон АЧХ, с помощью которого ФМС преобразуется в АФМС с заданной глубиной амплитудной модуляции АФМС. Благодаря этому достигается минимум искажений входного сигнала. Одновременно спектр АФМС разрушается при помощи нелинейного элемента 3, включенного в продольную цепь между четырехполюсником и высокочастотной нагрузкой, фильтр нижних частот 4 выделяет низкочастотную составляющую, постоянная составляющая устраняется с помощью разделительной емкости 5. Так как выбран левый склон указанной зависимости, то в качестве низкочастотной нагрузки используют интегрирующую цепь. В результате низкочастотное колебание, амплитуда которого изменяется по закону изменения фазы входного ФМС, выделяется на низкочастотной нагрузке 6. Четырехполюсник выполнен в виде Т-образного соединения трех двухполюсников с сопротивлениями x1(8), x2(9), x3(10) (фиг.3). Каждый из двухполюсников выполнен в виде последовательно соединенных между собой параллельного L1,C1 и последовательного L2, C2 контуров (фиг.4). Значения индуктивностей и емкостей выбраны из условия равенства реактивных сопротивлений каждого двухполюсника на двух частотах, соответствующих крайним значениям частот диапазона изменения частоты ФМС. Значения сопротивлений двухполюсников выбраны из условия формирования левого склона АЧХ высокочастотной части демодулятора.
Докажем возможность реализации указанных свойств.
Пусть на вход демодулятора воздействует фазомодулированное колебание UФМ(t)=Uнcos[ нt+ 0+m cos( t)], где Uн, н – амплитуда и частота несущего высокочастотного колебания; m – индекс фазовой модуляци; 0 – начальная фаза; – частота первичного информационного низкочастотного сигнала. Поскольку частота определяется производной от фазы, то одновременно с изменением фазы в фазомодулированном колебании будет происходить изменение частоты по следующему закону: . Поэтому, если ФМС подать на правый склон зависимости комплексного сопротивления нелинейного элемента, включенного в продольную цепь между четырехполюсником и высокочастотной нагрузкой, от частоты, то произойдет преобразование ФМС в АФМС. При этом амплитуда АФМС будет изменяться по закону (sin( t)). Следовательно, для того чтобы закон изменения амплитуды АФМС повторял закон изменения фазы ФМС, необходимо продифференцировать огибающую преобразованного сигнала, т.е. подать на дифференцирующую цепь. Если ФМС подать на левый склон зависимости комплексной проводимости нелинейного элемента, включенного в продольную цепь между четырехполюсником и высокочастотной нагрузкой, от частоты, то также произойдет преобразование ФМС в АФМС. При этом амплитуда АФМС будет изменяться по закону (минус sin( t)). Следовательно, для того чтобы закон изменения амплитуды АФМС повторял закон изменения фазы ФМС, необходимо проинтегрировать огибающую преобразованного сигнала, т.е. подать на интегрирующую цепь. Типичные зависимости модулей комплексного сопротивления pin-диода при различных напряжениях смещения от частоты показаны на фиг.7, которые получены на основе анализа определенных авторами аппроксимации схемы pin-диода, приведенной в работе [Уотсон Г. СВЧ-полупроводниковые приборы и их применение. М.: МИР, 1972, стр.304-334]. Из анализа этих зависимостей следует, что положение левого и правого склона можно изменять по частотной оси путем изменения постоянного напряжения смещения. Кроме того, это возможно путем параллельного подключения емкости или последовательно индуктивности к нелинейному элементу. Изменение положения склонов возможно также путем выбора типа нелинейного элемента. Выбор осуществляется таким образом, что левый или правый склоны зависимости его комплексной проводимости от частоты совпадает с частотой несущего колебания фазомодулированных сигналов.
Входной модулированный высокочастотный сигнал Sвх и преобразованный с помощью демодулятора высокочастотный сигнал (до фильтра нижних частот) Sвых связаны между собой следующим образом: Sвых=S21Sвх, где под входным и выходным сигналом подразумевается входное и выходное напряжения; S21 – коэффициент передачи.
Рассмотрим фазомодулированные колебания в двух состояниях, характеризуемых крайними значениями диапазона изменения амплитуды АФМС на нелинейном элементе.
Запишем указанные физические величины в двух состояниях в комплексной форме ; ; (модуль АФМС в двух состояниях различен); . Таким образом на выходе высокочастотной части демодулятора модули коэффициента передачи и входного сигнала перемножаются, а их фазы складываются. Выходные напряжения в двух состояниях связаны между собой следующим образом:

Поскольку модуль входного ФМС не зависит от изменения его фазы и частоты, то введем обозначение . Для уменьшения фазовых искажений целесообразно положить .
Введем обозначения: ; ; . Отношение модулей коэффициентов передачи высокочастотной части демодулятора m21 связано с глубиной амплитудной модуляции АФМС следующим образом:
,
при m1>m2 или
,
при m12; и – это модули коэффициентов передачи высокочастотной части демодулятора в первом и втором состояниях; – фазы входного ФМС в двух крайних его состояниях. Глубина амплитудной модуляции АФМС может быть определена также следующим образом: .
Если частота несущего колебания выбрана указанным выше образом или, наоборот, положение левого или правого склона выбрано указанным образом, то в этих двух крайних состояниях, соответствующих крайним значениям амплитуды АФМС, которым соответствуют крайние значения частоты АФМС, нелинейный элемент принимает два значения комплексного сопротивления z1,2=r1,2+jх1,2. Пусть, кроме того, комплексные сопротивления высокочастотной нагрузки
zн1,н2=rн1,н2+jxн1,н2 и источника сигнала z01,02=r01,02+jx01,02 на крайних значениях частоты АФМС известны.
Рассмотрим структурную схему демодулятора, представленную на фиг.2 Известна классическая матрица передачи двухполюсного нелинейного элемента:

С учетом условия взаимности (x12=-x21) четырехполюсник или согласущефильтрующее устройство (СФУ) может характеризоваться матрицей сопротивления

и соответствующей классической матрицей передачи:

где |x|=-x11x22-x21 2 – определитель матрицы (3).
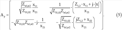
Перемножим матрицы (4) и (2). С учетом условий нормировки [Фельдштейн А.Л., Явич Л.Р. Синтез четырехполюсников и восьмиполюсников на СВЧ. М.: Связь, 1971, с.34-36] нормированную матрицу передачи высокочастотной части демодулятора (до фильтра нижних частот) запишем в следующем виде:

Используя известные соотношения между элементами классической матрицы передачи и элементами матрицы рассеяния [Фельдштейн А.Л., Явич Л.Р. Синтез четырехполюсников и восьмиполюсников на СВЧ. М.: Связь, 1971. с.39] с учетом (2), получим выражения для коэффициентов передачи:

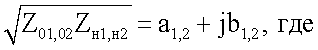
Квадратный корень из (6) можно представить в виде комплексного числа

; ;
x1,2=r01,02rн1,н2-x01,02xн1,н2;
y1,2=r01,02xн1,н2+x01rн1.
После денормировки коэффициента передачи (6) путем умножения на последнее выражение изменяется a1,2=rн1,н2; b1,2=xн1,н2.
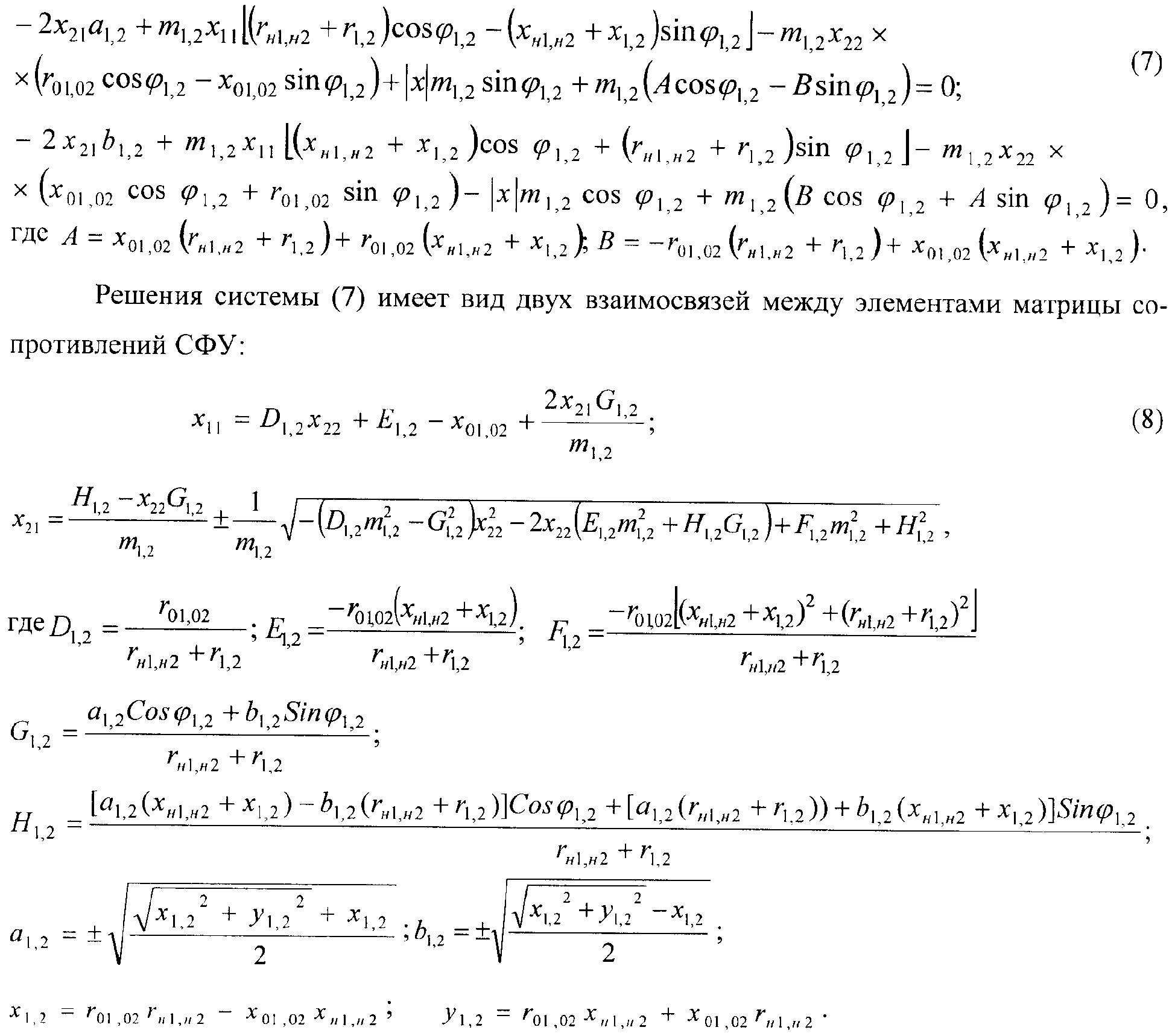
Подставим (6) в (1) и разделим между собой действительную и мнимую части в полученном комплексном уравнении:

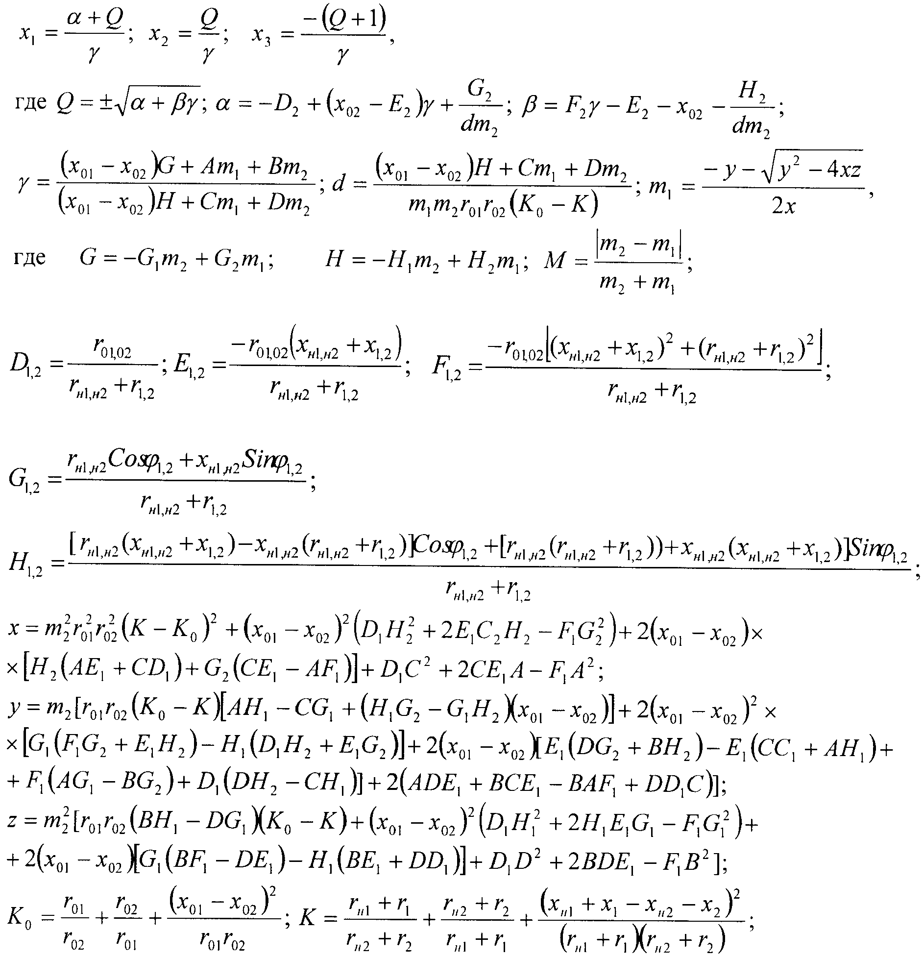
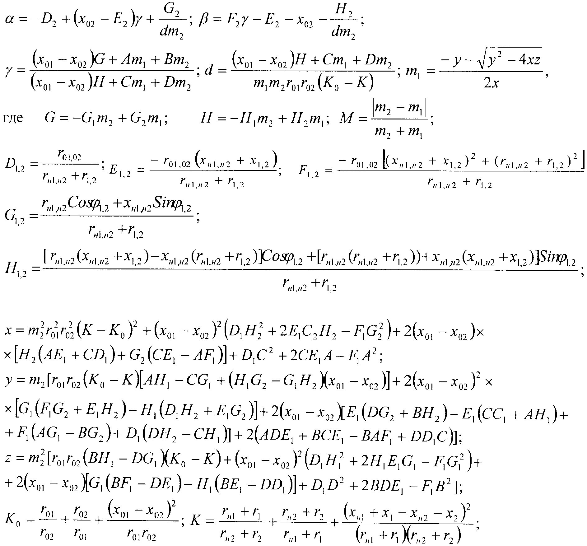
Поскольку элементы матрицы сопротивлений СФУ, записанные с помощью (8) отдельно для двух состояний нелинейного элемента, характеризуют одно и тоже СФУ, то взаимосвязи (8) для обоих состояний должны быть попарно равны. Полученная таким образом система двух уравнений не имеет решений. Поэтому необходимо от взаимосвязей между элементами матрицы сопротивлений (8) перейти к взаимосвязям между элементами классической матриц передачи. Используя соотношения между этими матрицами [Фельдштейн А.Л., Явич Л.Р. Синтез четырехполюсников и восьмиполюсников на СВЧ. М.: Связь, 1971. с.37], получим:

источника сигнала и нелинейного элемента с нагрузкой (мера различия их сопротивлений на двух частотах); ; ; ; a, b, c, d – элементы классической матрицы передачи четырехполюсника; rн1,н2, xн1,н2 – заданные действительные и мнимые составляющие сопротивления нагрузки на двух крайних частотах фазомодулированного сигнала; r01,02, x01,02 – заданные действительные и мнимые составляющие сопротивления источника сигнала на двух крайних частотах фазомодулированного сигнала; r1,2, x1,2 – заданные действительные и мнимые составляющие сопротивления нелинейного элемента на двух крайних частотах фазомодулированного сигнала; М – глубина амплитудной модуляции амплитудно-фазомодулированного сигнала; 1,2 – заданные фазы фазомодулированного сигнала на двух его крайних частотах.
Полученные взаимосвязи (10) между элементами классической матрицы передачи определяют все четыре элемента этой матрицы. Однако элементы матрицы передачи связаны между собой условием взаимности [Фельдштейн А.Л., Явич Л.Р. Синтез четырехполюсников и восьмиполюсников на СВЧ. М.: Связь, 1971, с.14], которое в наших обозначениях имеет вид:

Условие (11) по существу является условием физической реализуемости четырехполюсника, параметры которого описываются элементами матрицы передачи (10). Поэтому это условие накладывает ограничения на одну из величин, определяющих эти элементы, например:

Таким образом, для синтеза четырехполюсника необходимо выбрать любые три из четырех (10) ограничений на элементы матрицы передачи при обязательном ограничении (12) на модуль коэффициента передачи высокочастотной части демодулятора. В данной работе выбраны ограничения на элементы , , . Для определения оптимальных значений параметров реального четырехполюсника надо выбрать его типовую схему, найти классическую матрицу передачи этой схемы и представить ее в следующем виде:

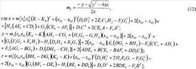
Найденные таким образом элементы , , , выраженные через параметры схемы, необходимо подставить в (10) и решить сформированную систему трех уравнений относительно выбранных трех параметров схемы. Если число параметров схемы четырехполюсника больше трех, то значения трех из них определяются указанным образом, а значения остальных могут быть выбраны произвольно или исходя из каких-либо других физических соображений. В соответствии с описанным алгоритмом была синтезирована схема четырехполюсника в виде Т-образного соединения трех двухполюсников. Элементы матрицы передачи такого соединения имеют вид [Фельдштейн А.Л., Явич Л.Р. Синтез четырехполюсников и восьмиполюсников на СВЧ. М.: Связь, 1971, с.18]:
; ; ; 
Подставим (14) в (10). Получим математические выражения для определения оптимальных значений сопротивлений реактивных двухполюсников:
; ; 
где .
Подкоренное выражение в (15) всегда положительно.
После определения значений сопротивлений конкретная схема четырехполюсника формируется следующим образом. Если хn>0 (n=1, 2, 3 – номер двухполюсника), то это индуктивность ,
где f – заданная частота.
Если хn<0, то это емкость .
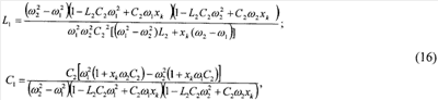
Необходимо отметить, что при решении данной задачи предполагалось, что элементы матрицы сопротивлений (3) на двух крайних частотах входного ФМС являются неизменными. Это возможно только в том случае, если параметры элементов схемы СФУ являются также постоянными на этих частотах. Для получения такого результата необходимо сформировать каждый двухполюсник СФУ из не менее трех реактивных элементов типа L, С. Значения двух параметров каждого двухполюсника находятся из условия обеспечения одного и того же значения сопротивления на двух частотах АФМС. Например, для последовательно соединенных между собой параллельного L1, С1, и последовательного L2, C2 колебательных контуров это условие выполняется при следующих его параметрах:

где 1,2=2 f1,2; f1,2 – заданные крайние частоты диапазона изменения частоты фазомодулированного сигнала; L2, C2 – значения индуктивности и емкости последовательного контура, заданные из условия обеспечения физической реализуемости значений индуктивности и емкости L1, С1, определяемых по вышеуказанным формулам. Физическая реализуемость индуктивностей и емкостей, значения которых определяются этими формулами, состоит в том, чтобы указанные значения были близки по номиналу к значениям индуктивностей и емкостей, выпускаемых промышленностью.
В формулах (16) xk – это реактивное сопротивление k-го двухполюсника (k=1, 2, 3),
входящего в СФУ, значение которого определяется по изложенному выше алгоритму (15).
При выбранных в соответствии с этим алгоритмом оптимальных значений сопротивлений двухполюсников с помощью высокочастотной части фазового демодулятора будет реализована операция преобразования ФМС в АФМС с заданным левым склоном АЧХ в заданной полосе частот даже в предположении, что нелинейный элемент является безынерционным.
Предлагаемые технические решения являются новыми, поскольку из общедоступных сведений неизвестно устройство демодуляции ФМС, обеспечивающее заданные уровни амплитуды АФМС в двух крайних состояниях, соответствующих крайним значениям частоты ФМС и состоящее из нелинейного двухполюсного элемента, включенного в продольную цепь (последовательно) между выходом реактивного четырехполюсника и высокочастотной нагрузкой, причем четырехполюсник выполнен в виде Т-образного соединения трех реактивных двухполюсников, параметры которых определены по соответствующим математическим выражениям. При этом значение модуля коэффициента передачи в первом состоянии выбрано оптимальным по критерию обеспечения физической реализуемости. В обоих состояниях нелинейного элемента значения модулей коэффициентов передачи контролируются.
Предлагаемые технические решения имеют изобретательский уровень, поскольку из опубликованных научных данных и известных технических решений явным образом не следует, что заявленная последовательность операций (выполнение четырехполюсника реактивным в виде Т-образного соединения трех двухполюсников с выбором значений их параметров из условия обеспечения заданных уровней амплитуды АФМС в двух состояниях, соответствующих крайним значениям частоты ФМС), осуществляет преобразование ФМС в АФМС без наличия источника опорного сигнала.
Предлагаемые технические решения практически применимы, так как для их реализации могут быть использованы серийно выпускаемые промышленностью полупроводниковые диоды, индуктивности и емкости, сформированные в заявленную схему реактивного четырехполюсника. Значения индуктивностей и емкостей однозначно могут быть определены с помощью математических выражений, приведенных в формуле изобретения.
Технико-экономическая эффективность предложенного устройства заключается в одновременном обеспечении заданных значений модулей коэффициентов передачи демодулятора в двух состояниях нелинейного элемента, соответствующих крайним значениям частоты ФМС, что способствует достижению требуемых значений амплитуд АФМС в указанных состояниях, т.е. повышению помехоустойчивости.
Примечание: Авторы просят экспертизу при переписке в интересах идентификации заявки указывать структурную схему заявленного устройства, характеризуемого “местом включения двухполюсного нелинейного элемента между выходом реактивного четырехполюсника и высокочастотной нагрузкой в продольную цепь (последовательно) с контролируемыми модулями коэффициентов передачи фазового демодулятора”.
Формула изобретения
1. Способ демодуляции фазомодулированных сигналов, состоящий в том, что демодулятор включают между источником радиочастотных фазомодулированных сигналов и низкочастотной нагрузкой и выполняют его из четырехполюсника, двухполюсного нелинейного элемента, фильтра нижних частот, фазомодулированный сигнал преобразовывают в амплитудно-фазомодулированный сигнал, с помощью нелинейного элемента разрушают спектр амплитудно-фазомодулированного сигнала на высокочастотные и низкочастотные составляющие, с помощью фильтра нижних частот выделяют информационный низкочастотный сигнал, амплитуда которого изменяется по закону изменения фазы фазомодулированного входного сигнала, отличающийся тем, что двухполюсный нелинейный элемент включают между четырехполюсником и введенной высокочастотной нагрузкой в продольную цепь, четырехполюсник выполняют из числа реактивных двухполюсников, не меньшего трех, значения параметров которых выбраны из условия формирования левого склона амплитудно-частотной характеристики путем обеспечения требуемого значения модуля m2 коэффициента передачи высокочастотной части демодулятора во втором состоянии нелинейного элемента, определяемого одним из крайних значений амплитуды амплитудно-фазомодулированного сигнала, преобразование фазомодулированного сигнала в амплитудно-фазомодулированный сигнал осуществляют путем подачи фазомодулированного сигнала на левый склон амплитудно-частотной характеристики, значение модуля m, коэффициента передачи высокочастотной части демодулятора в первом состоянии нелинейного элемента выбирают из условия физической реализуемости четырехполюсника, низкочастотную составляющую амплитудно-фазомодулированного сигнала подают на интегрирующую цепь, при этом указанные условия реализуются с помощью следующих математических выражений:
 ; ; ; a, b, c, d – элементы классической матрицы передачи четырехполюсника; rн1,н2, xн1,н2 – заданные действительные и мнимые составляющие сопротивления нагрузки на двух крайних частотах фазомодулированного сигнала; r01,02, x01,02 – заданные действительные и мнимые составляющие сопротивления источника сигнала на двух крайних частотах фазомодулированного сигнала; r1,2, x1,2 – заданные действительные и мнимые составляющие сопротивления нелинейного элемента на двух крайних частотах фазомодулированного сигнала; M – глубина амплитудной модуляции амплитудно-фазомодулированного сигнала; 1,2 – заданные фазы фазомодулированного сигнала на двух его крайних частотах.
2. Устройство демодуляции фазомодулированных сигналов, включенное между источником фазомодулированных сигналов и низкочастотной нагрузкой и состоящее из преобразователя фазомодулированных сигналов в амплитудно-фазомодулированный сигнал, четырехполюсника, двухполюсного нелинейного элемента, фильтра нижних частот, отличающееся тем, что нелинейный элемент включен между четырехполюсником и введенной высокочастотной нагрузкой в продольную цепь, четырехполюсник выполнен из Т-образного соединения трех двухполюсников с сопротивлениями x1, x2, x3, значения которых выбраны из условия формирования левого склона АЧХ путем обеспечения заданного значения модуля коэффициента передачи в одном из состояний нелинейного элемента, определяемого одним из крайних значений частоты амплитудно-фазомодулированного сигнала, с помощью следующих математических выражений:
 ; ; ; a, b, c, d – элементы классической элементы классической матрицы передачи четырехполюсника; rн1,н2, xн1,н2 – заданные действительные и мнимые составляющие сопротивления нагрузки на двух крайних частотах фазомодулированного сигнала; r01,02, x01,02 – заданные действительные и мнимые составляющие сопротивления источника сигнала на двух крайних частотах фазомодулированного сигнала; r1,2, x1,2 – заданные действительные и мнимые составляющие сопротивления нелинейного элемента на двух крайних частотах фазомодулированного сигнала; M – глубина амплитудной модуляции амплитудно-фазомодулированного сигнала; 1,2 – заданные фазы фазомодулированного сигнала на двух его крайних частотах, при этом каждый из двухполюсников сформирован из последовательно соединенных между собой параллельного L1C1 и последовательного L2C2 контуров, причем элементы параллельного контура определяются с помощью следующих математических выражений:
 где 1,2=2 f1,2; f1,2 – заданные крайние частоты диапазона изменения частоты фазомодулированного сигнала; L2, C2 – значения индуктивности и емкости последовательного контура, заданные из условия обеспечения физической реализуемости значений индуктивности и емкости L1, C1, определяемых по вышеуказанным формулам; xk – это реактивное сопротивление k-го двухполюсника (k=1, 2, 3, 4).
РИСУНКИ
|
|