|
|
(21), (22) Заявка: 2007134605/09, 17.09.2007
(24) Дата начала отсчета срока действия патента:
17.09.2007
(43) Дата публикации заявки: 27.03.2009
(46) Опубликовано: 27.10.2009
(56) Список документов, цитированных в отчете о поиске:
RU 1343474 A1, 04.10.1987. RU 2084993 C1, 20.07.1997. US 4143377 A, 06.03.1979. US 3942180 A, 02.03.1976. GB 2165097 A1, 03.04.1986.
Адрес для переписки:
344010, г.Ростов-на-Дону, пр. Соколова, 96, ФГУП “Всероссийский научно-исследовательский институт “Градиент”
|
(72) Автор(ы):
Лизуро Вячеслав Иванович (RU), Бобков Николай Иванович (RU), Колесникова Ольга Николаевна (RU)
(73) Патентообладатель(и):
Федеральное государственное унитарное предприятие “Всероссийский научно-исследовательский институт “Градиент” (RU)
|
(54) ШИРОКОПОЛОСНАЯ ВСЕНАПРАВЛЕННАЯ АНТЕННА С ИЗМЕНЯЕМОЙ ПОЛЯРИЗАЦИЕЙ
(57) Реферат:
Изобретение относится к области радиотехники, а именно к антеннам СВЧ, и может быть использовано в широкополосных системах связи. Техническим результатом является обеспечение работы антенны в широкой полосе частот на любой поляризации без изменения конструкции антенны. Антенна содержит размещенные в цилиндрическом обтекателе возбудитель ТЕМ-волны, диск и конус, образующие усеченный конический раскрыв. Обтекатель имеет полость, в которой может быть размещен сменный многослойный поляризатор. Слои поляризатора состоят из наклонных параллельных проводников с периодом изменения угла наклона 22,5 градуса в каждом последующем слое. Положение конуса относительно диска отцентрировано установленным в раскрыве кольцом из диэлектрика и введенным в конус диэлектрическим упором крышки обтекателя. По обе стороны от конического раскрыва по периметру кромок введены поглощающие экраны высотой 2 c и 3 с у диска и основания конуса соответственно. 3 з.п. ф-лы, 4 ил.
Изобретение относится к области радиотехники, а именно к антеннам СВЧ, и может быть использовано в широкополосных системах связи.
Известны всенаправленные антенны СВЧ (Р.Кюн. Микроволновые антенны. Л., Судостроение, 1967, с.257-258).
К ним относятся биконические рупоры и дискоконусные антенны. Они возбуждаются ТЕМ или H01 волнами, и, соответственно, антенна работает на вертикальной или горизонтальной поляризации. При одновременном возбуждении антенны ТЕМ и H01 волнами при соответствующем сдвиге фаз возможно получение эллиптической поляризации.
В описанных антеннах для получения возможности работы на различных поляризациях необходимо изменять конструкцию антенны. Кроме того, в дискоконусной антенне, где диск меньше диаметра основания конуса, с повышением частоты максимум диаграммы направленности отклоняется к образующей конуса, а в биконическом рупоре направлен по горизонту, что может привести к деформации диаграммы направленности при наземном использовании. При повороте антенны конусом вверх фидер затеняет раскрыв из-за того, что питание антенны осуществляется со стороны конуса.
Известны всенаправленные биконические рупорные антенны (М.С.Жук, Ю.Б.Молочков. Проектирование антенно-фидерных устройств. М., Л., Энергия, 1966, с.525-528). Они возбуждаются круглым волноводом с волной Н01 (вертикальная поляризация) или с волной H01 (горизонтальная поляризация). При использовании в качестве возбудителей круглых волноводов ограничивается рабочий диапазон частот антенны. Максимум диаграммы направленности антенны направлен также по горизонту. Кроме того, антенна нуждается в защите от воздействий окружающей среды.
Известна биконическая рупорная антенна, возбуждаемая круглым волноводом с волной ТЕ11 (Uenakada Katsuaki, Yasunaga Keiichi. An omni – directional biconical horn antenna excited by the ТЕ11 mode in a circular waveguide. «HXK гидзюцу кэнкю, NHK Techn. J.», 1972, 24, 3, с.149-159 (япон.; рез. англ.). – РЖ Радиотехника, 24Б, 1972, 11, с.6, 11Б48), принятая за прототип, как наиболее близкая по технической сущности к заявляемому объекту.
Антенна может работать на вертикальной и горизонтальной поляризации в диапазоне СВЧ. Вертикальная поляризация обеспечивается выбором расстояния между параллельными проводящими пластинами , a горизонтальная выбором расстояния , а также благодаря размещению в радиальной линии проводящих штырей. Экспериментальное значение коэффициента стоячей волны по напряжению (КСВН) в диапазоне частот не превышает 1,5, а при размещении на верхней пластине радиальной линии настроечного контура, состоящего из фторопластовой пластинки и металлического кольца, КСВН снижается до 1,2.
Антенна не обеспечивает возможности работы в широкой полосе частот из-за наличия резонансных элементов, таких как штыри, а также волноводного возбудителя, и работает в диапазоне частот с перекрытием не более 1,1 (11,5÷12,5 ГГц). Кроме того, при смене поляризации изменяют конструкцию антенны.
Задача изобретения – обеспечение работы антенны в широкой полосе частот на любой поляризации без изменения конструкции.
Решение этой задачи достигается тем, что во всенаправленной антенне, содержащей размещенные в цилиндрическом обтекателе возбудитель ТЕМ-волны, диск и конус, образующие усеченный конический раскрыв, возбудитель антенны расположен со стороны диска, диаметр которого равен (4÷5) с, где с – средняя длина волны диапазона, и превышает в 1,2÷1,25 раза диаметр основания конуса, угол при вершине которого равен 100÷110 градусов, а стенка обтекателя, изготовленного из диэлектрика с диэлектрической проницаемостью материала  1,4, имеет полость, в которой может быть размещен сменный многослойный поляризатор.
Слои поляризатора состоят из наклонных параллельных проводников с периодом изменения угла наклона 22,5 градуса в каждом последующем слое от первого со стороны возбудителя слоя, проводники которого перпендикулярны вектору Е. Слои расположены концентрически и зафиксированы на расстоянии 0,15 с друг от друга тем же диэлектрическим материалом, из которого выполнен обтекатель.
Положение конуса относительно диска отцентрировано установленным в раскрыве кольцом из диэлектрика толщиной и введенным в конус диэлектрическим упором крышки обтекателя.
По обе стороны от конического раскрыва по периметру кромок введены поглощающие экраны высотой 2 с и 3 с у диска и основания конуса соответственно.
Изобретение поясняется чертежами:
на фиг.1 показан общий вид антенны;
на фиг.2 показан общий вид пятислойного поляризатора;
на фиг.3 показаны экспериментальные диаграммы направленности в горизонтальной плоскости в диапазоне частот fн÷2,25 fн (fн – нижняя частота диапазона);
на фиг.4 показаны экспериментальные диаграммы направленности в вертикальной плоскости в диапазоне частот fн÷2,25 fн.
Широкополосная всенаправленная антенна с изменяемой поляризацией (фиг.1) содержит коаксиальный возбудитель 1, диск 2, конус 3, установленные в диэлектрическом обтекателе 4.
Коаксиальный возбудитель 1 выполнен на коаксиальном кабеле РК 50-2-29 или РК 50-2-27 с разъемом 13, СР 50-726 ФВ (ВРО 364.049 ТУ). Внешняя оболочка кабеля установлена в отверстии диска 2 и припаяна к нему по периметру отверстия, а центральный проводник припаян к вершине конуса 3 таким образом, что зазор между диском и вершиной конуса не более 0,02 с.
Диск 2 выполнен диаметром (4÷5) с из металла или металлизированного диэлектрика и закреплен на основании 11. Перед диском 2 по его периметру установлен поглощающий экран 10 цилиндрической формы, который имеет коэффициент отражения не более 10%, например, из материала В2 (Ф3) ТУ 38-105.486-79.
Конус 3 выполнен из того же листового металла, что и диск 2, и имеет угол при вершине 106 градусов, а диаметр основания конуса 3 в 1,2-1,25 раза меньше диаметра диска 2.
Обтекатель 4 установлен на основании 11 и фиксируется фланцем 12 и винтами. Внешний диаметр обтекателя равен 6,0 с. Стенка обтекателя состоит из двух слоев толщиной 0,2-0,25 с, образуя полость (фиг.1), в которую может быть вставлен многослойный поляризатор 5. Ширина полости должна быть не менее толщины поляризатора 5. Выполнение стенки обтекателя двухслойной повышает жесткость конструкции при использовании антенны без поляризатора. Диэлектрический обтекатель 4 изготовлен из вспененного диэлектрика с  1,4, например ПЭН-И-0,2 ТУ 6-05-88. Материал обтекателя и толщина слоев его стенки выбраны из условия необходимой прочности конструкции и минимальных отражений при минимальных потерях на поглощение энергии.
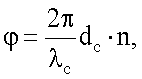
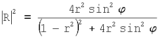
Экспериментально установлено на образцах стенок, что при коэффициенте отражения существенного искажения диаграммы направленности слабонаправленной антенны не происходит. Расчетное значение коэффициента отражения определялось по формуле [1]
, где
;  , dc – толщина слоев стенки обтекателя, образующих полость.
Верхняя часть обтекателя (крышка 8) может быть выполнена отдельно или как единое целое с радиопрозрачной стенкой. Крышка 8 может быть изготовлена с коническим упором 7, имеющим коническую и цилиндрическую части. На цилиндрической части закреплен поглощающий экран 9, аналогичный упомянутому выше экрану 10.
Диэлектрический упор 7 входит в конус 3 и вместе с кольцом 6 фиксирует концентрическое положение конуса 3 относительно диска 2. Кольцо 6 изготовлено из того же пенистого диэлектрика, что и обтекатель, и имеет толщину стенки . Диаметр кольца 6 может быть подобран экспериментально для улучшения согласования антенны [2]. Кольцо может быть вклеено в рупорном коническом раскрыве антенны эпоксидным клеем для обеспечения жесткости конструкции.
Внешняя поверхность обтекателя покрыта одним слоем ткани с  3,5 и толщиной не более 0,01 с, защищающей обтекатель от впитывания влаги в пенистую структуру, например АзТС ТУ-17-21-315-79 или типа Ф4-Д-Э01-А ТУ301-05-422-89 (стеклоткань Э01 ГОСТ 8481-57, с внешней стороны покрытая фторопластом). Фиксируется ткань на внешней поверхности обтекателя при вспенивании способом, описанным в А.с. 1053691 (СССР), без использования клеевой прослойки.
Многослойный поляризатор 5 устанавливается в полость стенки обтекателя 4 при необходимости изменения поляризации антенны.
На фиг.2 показан примененный в антенне пятислойный поляризатор на горизонтальную поляризацию. Поляризатор состоит из пяти слоев концентрически расположенных проволочных структур 15, разделенных диэлектриком 16 того же типа, что и стенка обтекателя. Структуры также могут быть выполнены на фторопластовой армированной пленке Ф4 МБСФ-2, ТУ 6-05-041-649-83. Каждая структура выполняется травлением и представляет собой параллельные металлизированные полоски шириной (0,015-0,02) с, расстояние между которыми 0,1 с, а расстояние между концентрическими слоями 0,15 с.
Первая структура со стороны возбудителя 1 имеет полоски, параллельные диску 2, вторая – повернутые на 22,5 градуса, третья – на 45 градусов, четвертая – на 67,5 градусов, и пятая структура имеет полоски, перпендикулярные диску 2. Кольцевые структуры у оснований цилиндра могут быть дополнительно зафиксированы плоскими текстолитовыми кольцами с помощью эпоксидного клея, а по образующей после обработки склеены внахлест. В качестве полосок в поляризаторах, как уже упоминалось, могут использоваться проводники из проволоки, а концентрические структуры могут быть разделены не сплошным диэлектриком, а отдельными полосками по образующим цилиндров.
Показанный на фиг.2 поляризатор служит для преобразования вертикальной поляризации в горизонтальную.
Для получения наклонной поляризации антенны используют трехслойный поляризатор, заканчивающийся структурой из проводящих полосок, наклоненных под углом 45 градусов.
В обоих случаях внешние диаметры поляризаторов должны быть равны внутреннему диаметру внешнего слоя стенки обтекателя для однозначной его фиксации в полости стенки.
Антенна работает следующим образом.
Формирование диаграммы с вертикальной поляризацией реализуется без поляризатора.
При подаче СВЧ энергии на возбудитель 1 конический рупорный раскрыв, образованный диском 2 и конусом 3, формирует в горизонтальной плоскости всенаправленную диаграмму, а в вертикальной – диаграмму направленности шириной, определяемой размером образующей усеченного конуса кольцевого раскрыва. На пути излучаемой возбудителем энергии установлено диэлектрическое кольцо 6, которое отражает часть энергии, примерно, 0,5%, а остальная энергия, проходя сквозь диэлектрическую стенку обтекателя, сформирована в виде круговой диаграммы направленности в горизонтальной плоскости и направленной диаграммы в вертикальной плоскости. Поскольку возбудитель 1 формирует ТЕМ-волну, то поляризация антенны вертикальная. Широкополосность обеспечивается коаксиальной запиткой антенны, не имеющей критической длины волны, и увеличенным углом при вершине конуса 3 до 100 и более градусов.
При формировании антенной диаграммы направленности в вертикальной плоскости, особенно при малых раскрывах, происходит искажение диаграммы направленности за счет кольцевого и конического раскрыва [3]. Эти искажения устраняет поглощающий экран 9, который уменьшает взаимное влияние диаметральных диаграмм направленности по углу места, а экран 10 поглощает отраженную энергию от стенки обтекателя и элементов конструкции.
За счет конического раскрыва максимум диаграммы направленности отклоняется, так как направлен, примерно, по нормали к образующей усеченного конического раскрыва.
При необходимости изменения поляризации антенны в полость обтекателя 4 устанавливается поляризатор 5.
Работу антенны на горизонтальной поляризации обеспечивает пятислойный поляризатор (фиг.2). Проводники первого слоя поляризатора нормальны к вектору Е, и поэтому происходит фильтрация кроссполяризационной составляющей. После прохождения второго слоя поляризатора нормальная составляющая вектора Е поворачивается на 22,5 градуса. После прохождения третьего слоя параллельных проводников нормальная составляющая вектора Е поворачивается еще на 22,5 градуса и вектор Е отклонен на 45 градусов относительно вертикальной поляризации. После прохождения энергией СВЧ четвертого слоя нормальная составляющая вектора Е к проводникам поворачивается на 67,5 градуса, и далее после прохождения вертикальных проводников пятого слоя вектор Е горизонтален, и антенна работает на горизонтальной поляризации.
При установке поляризатора с тремя слоями антенна работает на наклонной поляризации с углом наклона вектора Е 45 градусов.
На предприятии изготовлен макет антенны и разработана конструкторская документация. Экспериментально исследован макет антенны в полосе частот с перекрытием 2,25.
На фиг.3 приведены экспериментальные диаграммы направленности антенны, измеренные в горизонтальной плоскости на частотах fн, 1,5fн, 2fн, 2,25 fн – без поляризатора (пунктирная линия – вертикальная поляризация) и с пятислойным поляризатором (сплошная линия – горизонтальная поляризация). В результате измерений установлено, что максимальная неравномерность диаграммы направленности в горизонтальной плоскости на отдельных частотах не более – 3,0 дБ.
На фиг.4 приведены экспериментальные диаграммы направленности антенны в одном из сечений вертикальной плоскости на частотах fн, 1,5 fн, 2,25 fн без поляризатора (пунктирная линия – вертикальная поляризация) и с пятислойным поляризатором (сплошная линия – горизонтальная поляризация). Установлено, что максимум диаграммы направленности отклонен от горизонта, примерно, на 20-25 градусов.
Измеренный коэффициент усиления в максимуме азимутальной диаграммы направленности составил величину в пределах от 3 до 6,3 дБ при ширине диаграммы направленности в вертикальной плоскости от 30 до 57 градусов на уровне минус 3 дБ в диапазоне частот с перекрытием 2,25.
Измеренный коэффициент стоячей волны не более 2,0 на отдельных частотах диапазона с перекрытием 2,25.
Предлагаемое техническое решение обеспечивает работу антенны в полосе частот с перекрытием более чем в 2 раза по сравнению с прототипом, позволяет менять поляризацию антенны без изменения ее конструкции, а также обеспечивает защиту антенны от воздействия климатических факторов на ее параметры.
Литература
1. Г.Т.Марков, А.Ф.Чаплин. Сканирующие антенные системы СВЧ. Т.1, М., Советское радио, 1966, с.494.
2. В.А.Каплун. Обтекатели антенн СВЧ. М., Советское радио, 1974, с.62-69.
3. Я.Д.Фельд, Л.С.Бененсон. Антенно-фидерные устройства. Ч.2, т.2, М., ВВИА им. Жуковского, 1959, с.154.
Формула изобретения
1. Широкополосная всенаправленная антенна с изменяемой поляризацией, характеризующаяся тем, что она имеет размещенные в защитном обтекателе возбудитель ТЕМ-волны, диск и конус, образующие усеченный конический раскрыв, при этом возбудитель ТЕМ-волны расположен со стороны диска, диаметр которого равен (4÷5) с, где с – средняя длина волны диапазона, и превышает в 1,2÷1,25 раза диаметр основания конуса, угол при вершине конуса равен 100-110°, а стенка обтекателя, изготовленного из диэлектрика с диэлектрической проницаемостью материала  1,4, имеет полость с возможностью размещения в ней сменного многослойного поляризатора.
2. Антенна по п.1, характеризующаяся тем, что слои поляризатора выполнены из наклонных параллельных проводников с периодом изменения угла наклона 22,5° в каждом последующем слое от первого со стороны возбудителя слоя, проводники которого перпендикулярны вектору E, причем слои расположены концентрически и зафиксированы на расстоянии 0,15 с друг от друга тем же диэлектрическим материалом, из которого выполнен обтекатель.
3. Антенна по п.1, характеризующаяся тем, что положение конуса относительно диска отцентрировано установленным в раскрыве кольцом из диэлектрика толщиной и введенным в конус диэлектрическим упором крышки обтекателя.
4. Антенна по п.1, характеризующаяся тем, что по обе стороны от конического раскрыва антенны по периметру кромок введены поглощающие экраны высотой 2 с и 3 с у диска и основания конуса соответственно.
РИСУНКИ
|
|