|
(21), (22) Заявка: 2008117443/28, 06.05.2008
(24) Дата начала отсчета срока действия патента:
06.05.2008
(46) Опубликовано: 27.10.2009
(56) Список документов, цитированных в отчете о поиске:
RU 2265915 C1, 10.12.2005. RU 2127471 C1, 10.03.1999. RU 2127009 C1, 27.02.1999. SU 434872 A, 24.12.1976. US 2006118900 A1, 06.04.1976.
Адрес для переписки:
109456, Москва, 1-й Вешняковский пр-д, 2, ГНУ ВИЭСХ, О.В. Голубевой
|
(72) Автор(ы):
Арбузов Юрий Дмитриевич (RU), Евдокимов Владимир Михайлович (RU), Стребков Дмитрий Семенович (RU), Шеповалова Ольга Вячеславовна (RU)
(73) Патентообладатель(и):
Российская Академия Сельскохозяйственных наук Государственное научное учреждение Всероссийский научно-исследовательский институт электрификации сельского хозяйства (ГНУ ВИЭСХ) (RU)
|
(54) СПОСОБ ИЗГОТОВЛЕНИЯ ПОЛУПРОВОДНИКОВОГО ФОТОЭЛЕКТРИЧЕСКОГО ГЕНЕРАТОРА (ВАРИАНТЫ)
(57) Реферат:
Способ изготовления полупроводникового фотоэлектрического генератора включает формирование многослойной структуры методом эпитаксиального выращивания слоев на полупроводниковой подложке, формирование металлизации, нанесение просветляющего покрытия, присоединение токоотводов. Между p+-n(n+) слоям выращивают тонкие сильнолегированные слои p+ типа толщиной менее 1 мкм с концентрацией активной примеси более 1018 см-3. Формируют шунтирующие туннельные p+-n(n+) переходы и обеспечивают последовательную коммутацию. Выполняют металлизацию на верхнем эпитаксиальном слое и формируют контакт в виде сплошного слоя металла. Заготовки разрезают на матрицы, а просветляющее покрытие наносят на торцевые поверхности, на которые поступает рабочее освещение. В другом варианте способа толщина слоев p+-n(n+) типа менее 12 мкм, при этом просветляющее покрытие наносят на верхний эпитаксиальный слой, а металлизацией на указанном эпитаксиальном слое формируют контакт в виде контактной сетки, при этом рабочее освещение поступает на указанный верхний эпитаксиальный слой. Изобретение обеспечивает повышение воспроизводимости высоких выходных характеристик при массовом производстве. 2 н.п. ф-лы, 2 табл., 1 ил.
Изобретение относится к электронной технике, а именно к технологии изготовления полупроводниковых фотоэлектрических генераторов.
Известен способ изготовления лазеров с монолитной структурой на основе трех электронно-дырочных переходов с общим количеством полупроводниковых слоев, равным 14. Путем последовательного осаждения получают монолитную структуру, состоящую из трех лазеров. Каждый предыдущий лазер соединен с последующим с помощь двух сильно легированных слоев GaAs, образующих шунтирующий туннельный переход (Van der Ziel J.P., Tsang W.T., Appl. Phys. Lett., 41, 499 (1982)).
Недостатком указанного способа является низкая технологичность и производительность, неприменимость способа для изготовления кремниевых фотоэлектрических генераторов.
Также известен способ изготовления фотоэлектрического генератора на основе GaAs каскадного типа, по которому туннельные переходы получают химическим осаждением, осуществляя легирование с помощью магния (Lewis С.R., Dietz W.Т., Ludowise M.J., J.Electron Mater., 12,507 (1983)).
Недостатком указанного способа является то, что существует предельное максимальное значение концентрации примеси при создании сильнолегированных слоев, что приводит к снижению туннельного эффекта, и то, что при формировании микроскопических включений возможно возрастание туннельных токов, однако вместе с тем образуются дислокации, пронизывающие область перехода широкозонного элемента. Эти включения так же, как и несоответствие параметров кристаллических решеток, отрицательно сказываются на характеристиках трехструктурных элементов, а для фотогенераторов с большим количеством структур выходные характеристики резко падают. Также недостатками способа является низкая технологичность, высокая себестоимость и сложность адаптации способа для изготовления фотогенераторов из кремния.
Также известен способ изготовления полупроводникового фотопреобразователя, в котором исходные полупроводниковые структуры сращивают в монолитный столбик, при этом в области сращивания образуются либо рабочий р-n переход, либо омический контакт за счет туннельного эффекта в сильнолегированных областях (пакет РФ 2127009, 199, MПK H01L 31/18).
Недостатками указанного способа является низкая степень идентичности параметров структур, низкая технологичность, большое количество солнечного кремния на один Ватт выходной мощности.
В качестве прототипа принят способ изготовления полупроводникового фотоэлектрического генератора, включающий формирование многослойной структуры методом эпитаксиального выращивания слоев на полупроводниковой подложке, формирование металлизации, нанесение просветляющего покрытия (патент РФ 2265915, 2005, МПК H01L 31/18).
Недостатком прототипа является низкая технологичность и производительность. Недостаточно высокая воспроизводимость требуемых характеристик при массовом производстве.
Задачей предлагаемого изобретения является повышение технологичности и производительности. Повышение воспроизводимости высоких выходных характеристик при массовом производстве.
Вышеуказанный результат достигается тем, что в способе изготовления полупроводникового фотоэлектрического генератора методом эпитаксиального выращивания слоев на полупроводниковой подложке формируют многослойную структуру, формируют металлизацию, наносят просветляющее покрытие, присоединяют токоотводы, между р и n (n+) слоям выращивают тонкие сильнолегированные слои р+ типа, толщиной менее 1 мкм с концентрацией активной примеси более 1018 см-3, образуют шунтирующие туннельные р+-n(n+) переходы и обеспечивают последовательную коммутацию, при этом металлизацией на верхнем эпитаксиальном слое формируют контакт в виде сплошного слоя металла, после металлизации заготовки разрезают на матрицы, а просветляющее покрытие наносят на торцевые поверхности, на которые поступает рабочее освещение.
В другом варианте способа изготовления полупроводникового фотоэлектрического генератора методом эпитаксиального выращивания слоев на полупроводниковой подложке формируют многослойную структуру, формируют металлизацию, наносят просветляющее покрытие, присоединяют токоотводы, между р+ и n(n+) слоям выращивают тонкие сильнолегированные слои р+ типа, толщиной менее 1 мкм с концентрацией активной примеси более 1018 см-3, образуют шунтирующие туннельные р+-n(n+) переходы и обеспечивают последовательную коммутацию, при этом толщина слоев р и n (n+) типа менее 12 мкм, при этом просветляющее покрытие наносят на верхний эпитаксиальный слой, металлизацией на указанном эпитаксиальном слое формируют контакт в виде контактной сетки, а рабочее освещение поступает на указанный верхний эпитаксиальный слой.
Сущность изобретения поясняется чертежом, где показана расчетная схема выбора параметров процесса изготовления полупроводникового фотоэлектрического генератора с n-р-р+-n- -р+ структурой.
На чертеже фотоэлектрический генератор состоит из N структур 5, последовательно соединенных и освещаемых светом, последовательно прошедшим через предыдущие структуры 5. Структура 5 включает базовые области 1 – слои р-типа, легированные слои n-типа 2, сильнолегированные слои р+ типа 3. Скорость поверхностной рекомбинации на тыльной поверхности базовой области 1 i-й структуры 5 Sбi – 4, а скорость поверхностной рекомбинации на лицевой стороне легированного слоя 2 i-й структуры 5 Sлс i. – 6.
Толщина р+ слоя бесконечно мала, не более 1 мкм, и р слой обеспечивает металлический переходный контакт между р и n слоями, а также устраняет (снижает) поверхностную рекомбинацию на тыльном контакте каждой структуры.
Примеры изготовления фотогенератора.
ПРИМЕР 1. На подложке из кремния n-типа марки КДБ 0,5(0.1) ионно-молекулярной эпитаксией создают многослойную эпитаксиальную n-р-р+-n -pp структуру из 2-100 структур с n-p-p+ переходами, проводя поочередно легирование бором и фосфором, при этом толщина слоев p и n 1÷100 мкм, р+ не более 1 мкм.
Металлизацию с тыльной стороны подложки и на верхнем эпитаксиальном слое осуществляют напылением в вакууме или химическим осаждением металла. Создают сплошной металлический контактный слой с обеих сторон заготовки. Разрезают заготовку, например, перпендикулярно плоскости р-n переходов на матрицы толщиной 0,2-1,5 мм. Полученные заготовки шлифуют и протравливают в растворе состава HF:HNO3=1:2 при комнатной температуре в течение 10-20 секунд для снятия шунтов, тщательно промывают, сушат.
Затем на рабочей поверхности формируют просветляющее покрытие:
например, покрывают при нагревании пленкой нитрида кремния типа SixNy осаждением из парогазовой фазы, содержащей моносилан и азот. Присоединяют токоотводы.
В результате получается фотоэлектрический генератор по п.1.
ПРИМЕР 2. На подложке из кремния n-типа марки КДБ 0,5(0.1) ионно-молекулярной эпитаксией создают многослойную эпитаксиальную n-р-р+-n -р+структуру из 2-100 структур с n-р-р+ переходами, проводя поочередно легирование бором и фосфором, при этом толщина слоев n и p менее 12 мкм, р+ не более 1 мкм.
После создания многослойной эпитаксиальной структуры на верхний эпитаксиальный слой наносят просветляющее покрытие: например, покрывают при нагревании пленкой нитрида кремния типа SixNy осаждением из парогазовой фазы, содержащей моносилан и азот.
Металлизацию осуществляют напылением в вакууме или химическим осаждением металла. Металлизацией создают сплошной металлический контактный слой с тыльной стороны подложки и на верхнем эпитаксиальном слое в виде гребенки. Присоединяют токоотводы.
В результате получается фотоэлектрический генератор по п.2.
Изготовление фотоэлектрического генератора по предлагаемому способу позволяет сократить операцию пробоя.
Применение операции пробоя сопряжено со слабой изученностью внутренних процессов при пробое, сложной управляемостью процесса, требует создания специального оборудования. Т.о. обеспечение последовательной коммутации единичных диодных структур путем выращивания тонких сильнолегированных р+ слоев и образование туннельных р+-n(n+) переходов позволяет увеличить технологичность и производительность процесса изготовления.
Изготовление фотоэлектрического генератора на основе многослойной структуры со слоями толщиной менее 12 мкм при тонких сильнолегированных р+ слоях с контактной сеткой и просветляющим покрытием на верхнем слое, на который поступает рабочее освещение, позволяет исключить операцию разрезания заготовки на матрицы, что дополнительно повышает технологичность и производительность.
Изготовление фотоэлектрического генератора согласно предлагаемому способу позволяет достичь высокой степени идентичности диодных структур и фотогенераторов, предсказуемости процесса изготовления. Дает возможность изготавливать фотоэлектрические генераторы по прецизионной компьютерной технологии, изготавливать прецизионные оптимизированные структуры и достичь высокой степени управляемости процесса изготовления, что позволяет повысить воспроизводимость требуемых характеристик при массовом производстве.
Для фотоэлектрического генератора по п.1 толщина однотипных легированных слоев одинакова, выбирается исходя из особенностей технологического оборудования и получения требуемых выходных характеристик фотогенератора.
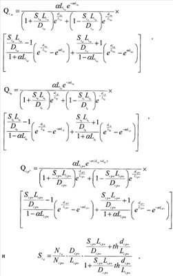
Для фотоэлектрического генератора по п.2, 3 толщины эпитаксиальных слоев различны. Система N-1 нелинейных уравнений компьютерной технологии, описывающая предлагаемый фотоэлектрический генератор для этих случаев:
,
где S( ) – спектральная плотность падающего излучения;
Fi – спектральный коэффициент собирания i-й структуры по отношению к потоку излучения, падающего на систему, с учетом поглощения света в предыдущих слоях.
,
где dk – толщина (i+1)-ой структуры
Qi – спектральный коэффициент собирания i-ой структуры
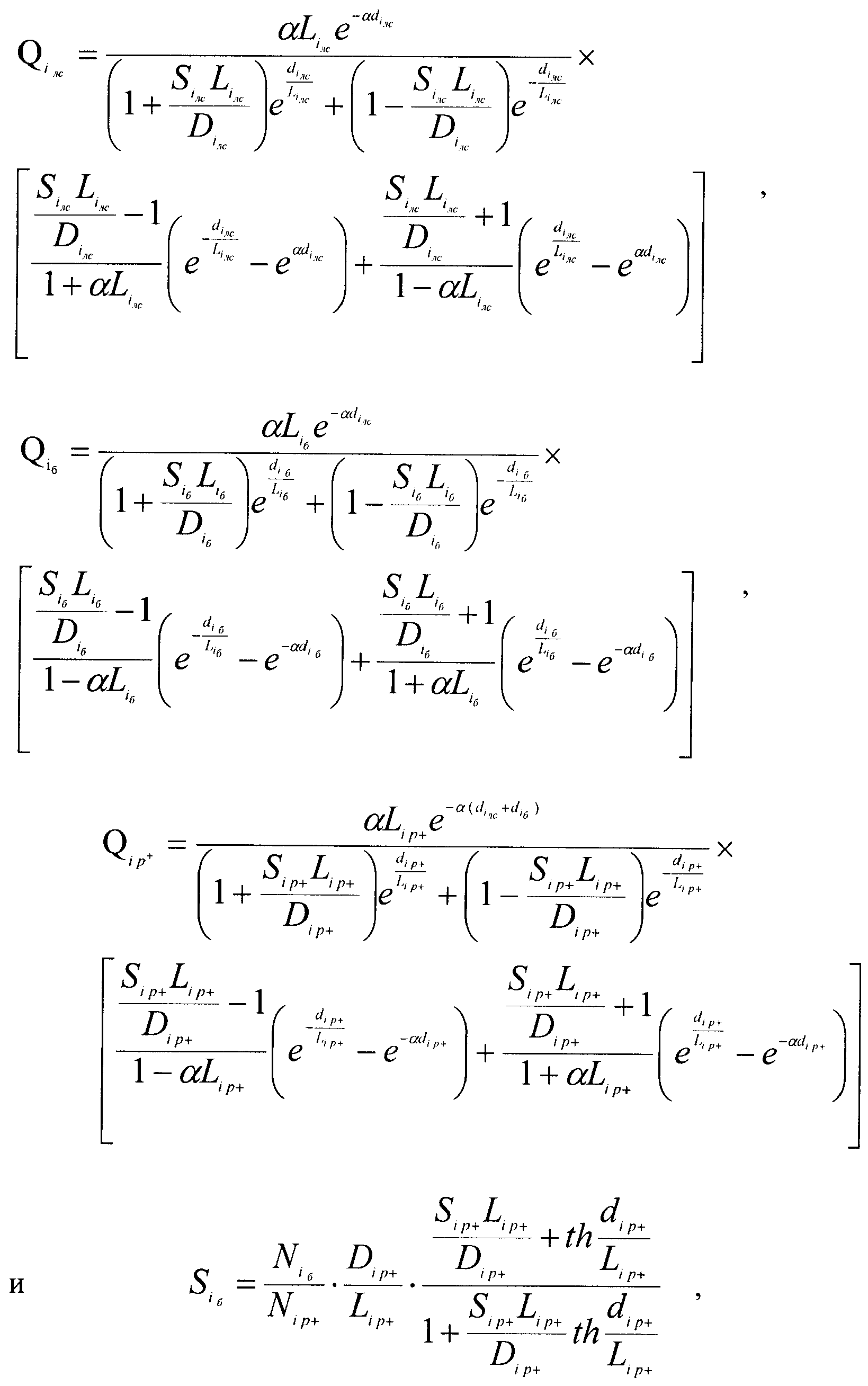
,
где – спектральный коэффициент собирания легированного слоя i-ой структуры, базовой области i-ой структуры, сильнолегированного слоя i-ой структуры соответственно.

где – коэффициент диффузии неосновных носителей заряда i-ой структуры, легированного слоя, базовой области, сильнолегированного р+ слоя, соответственно;
– диффузионная длина неосновных носителей заряда i-ой структуры, легированного слоя, базовой области, сильнолегированного р+ слоя соответственно;
– скорость поверхностной рекомбинации i-ой структуры на лицевой поверхности легированного слоя, на тыльной поверхности базового слоя, на лицевой поверхности сильнолегированного р+слоя соответственно;
– коэффициент поглощения;
– уровень легирования базы и сильнолегированного р+ слоя, i-й структуры соответственно
– толщина легированного слоя, базовой области и сильнолегированного р+ слоя i-ой структуры соответственно,
.
Уравнения описывают структуру исходя из наиболее жестких требований: мощность фотоэлектрического генератора максимальна, т.е. проинтегрированные по спектру падающего излучения спектральные фототоки структур равны. На основе этого компьютерная оптимизация процесса изготовления позволяет добиться наилучшего соответствия выходных параметров расчетным и наилучшей управляемости процесса. Однако, т.к. фотоэлектрический генератор состоит из множества последовательно соединенных структур, для достижения заявленного эффекта достаточно выполнения условия: минимальный фототек из фототоков структур не меньше минимально допустимого значения для фототока фотоэлектрического генератора.
Пример расчета фотоэлектрического генератора.
Фотоэлектрический генератор, чертеж, состоит из двух структур (N=2). Полупроводниковый материал – кремний. Расчет проводится по толщине из условий: легированные слои структур одинаковые, т.е. имеют одинаковые значения электрофизических параметров и одинаковые значения толщины, толщина р+ слоя бесконечно мала и р+ слой обеспечивает металлический переходный контакт между р и n слоями, а также устраняет (снижает) поверхностную рекомбинацию на тыльном контакте верхней структуры.
В качестве спектра падающего излучения брался спектр абсолютно черного тела с температурой 6000К (заатмосферное солнце). Интегрирование по длинам волн производилось в интервале 0,4-1,1 мкм. (Для меньших длин волн нет значений коэффициента поглощения в кремнии.) Т.е. считалось, что коэффициент собирания для длин волн падающего излучения <0,4 мкм равен нулю.
Исходные параметры полупроводниковых слоев приведены в таблице 1.
Таблица 1. Исходные параметры полупроводниковых слоев |
| Номер структуры/слой |
Дифф. длина неосновных носителей L [мкм] |
Скорость поверхностной рекомбинации S [см/с] |
Коэффициент диффузии неосновных носителей D [см2/с] |
Толщина слоя d [мкм] |
Уровень легирования [1/см3] |
| 1/база |
300 |
106 |
25 |
500 |
1016 |
| 1/легир |
1 |
106 |
1 |
1,0 |
1019 |
| 2/база |
300 |
0-106 |
25 |
? |
1016 |
| 2/легир |
1 |
106 |
1 |
1,0 |
1019 |
Результаты вычислений следующие:
; d2 = 2.99873 мкм.
Фототек нижней структуры j1 = 17.044058 мА/см2, фототек верхней структуры J2 = 17.044057 мА/см2.
Фототек нижней структуры при работе отдельно j = 34.3744 мА/см2.
Обратные токи структур: j01 = 2.85087е-009 мА/см2; j02 = 6.71579e-011 мА/см2.
Коэффициенты полезного действия:
Однопереходной структуры: КПД1 = 12.1372%, фотоэлектрического генератора: КПД1+2 = 12.7371%.
Напряжения холостого хода:
Однопереходной структуры: Uxx=580.323912 мВ.
На отдельных структурах в фотоэлектрическом генераторе: Uxx1 = 562.786126; Uxx2 = 656.494414 мВ.
Фотоэлектрического генератора: Uxx1+2 = 1219.280540 мВ.
Изменение результатов при изменении скорости поверхностной рекомбинации представлено в таблице 2.

Таким образом, расчет по толщине показывает, что оптимальные значения параметра скорости поверхностной рекомбинации расположены ниже значения 103 см/с. Выигрыш при этом достигается за счет улучшения характеристик как верхней, так и нижней структур. Верхней – за счет увеличенного коэффициента собирания при отсутствии поверхностной рекомбинации. Нижней – за счет того, что в нее проникает более длинноволновое излучение и при этом меньше сказывается отрицательное влияние легированного слоя.
Формула изобретения
1. Способ изготовления полупроводникового фотоэлектрического генератора, включающий формирование многослойной структуры методом эпитаксиального выращивания слоев на полупроводниковой подложке, формирование металлизации, нанесения просветляющего покрытия, присоединение токоотводов, отличающийся тем, что между p+-n(n+) слоями выращивают тонкие сильнолегированные слои p+ типа, толщиной менее 1 мкм с концентрацией активной примеси более 1018 см-3, образуют шунтирующие туннельные p+-n(n+) переходы и обеспечивают последовательную коммутацию, при этом металлизацией на верхнем эпитаксиальном слое формируют контакт в виде сплошного слоя металла, после металлизации заготовки разрезают на матрицы, а просветляющее покрытие наносят на торцевые поверхности, на которые поступает рабочее освещение.
2. Способ изготовления полупроводникового фотоэлектрического генератора, включающий формирование многослойной структуры методом эпитаксиального выращивания слоев на полупроводниковой подложке, формирование металлизации, нанесения просветляющего покрытия, присоединение токоотводов, отличающийся тем, что между p и n (n+) слоями выращивают тонкие сильнолегированные слои p+ типа, толщиной менее 1 мкм с концентрацией активной примеси более 1018 см-3, образуют шунтирующие туннельные p+-n(n+) переходы и обеспечивают последовательную коммутацию, при этом толщина слоев р+ и n(n+) типа менее 12 мкм, при этом просветляющее покрытие наносят на верхний эпитаксиальный слой, металлизацией на указанном эпитаксиальном слое формируют контакт в виде контактной сетки, а рабочее освещение поступает на указанный верхний эпитаксиальный слой.
РИСУНКИ
|