|
(21), (22) Заявка: 2006133806/06, 21.09.2006
(24) Дата начала отсчета срока действия патента:
21.09.2006
(43) Дата публикации заявки: 27.03.2008
(46) Опубликовано: 27.10.2009
(56) Список документов, цитированных в отчете о поиске:
RU 2232344 С2, 10.07.2004. SU 1422764, 15.06.1994. RU 49253 U1, 10.11.2005. EP 0607611 A1, 27.07.1994.
Адрес для переписки:
450055, г.Уфа, пр. Октября, 144/3, ГУП “ИПТЭР” РБ, патентный отдел, В.Г. Карамышеву
|
(72) Автор(ы):
Султанов Риф Габдуллович (RU), Гумеров Асгат Галимьянович (RU)
(73) Патентообладатель(и):
Государственное унитарное предприятие “Институт проблем транспорта энергоресурсов” ГУП “ИПТЭР” (RU)
|
(54) СПОСОБ ОПРЕДЕЛЕНИЯ МЕСТА НЕГЕРМЕТИЧНОСТИ УЧАСТКА ТРУБОПРОВОДНОЙ СИСТЕМЫ
(57) Реферат:
Изобретение относится к трубопроводному транспорту. Технический результат – упрощение и повышение точности способа определения негерметичности участка трубопроводной системы путем ликвидации неустранимой погрешности математической модели и исходных данных, погрешности метода интерполяционного построения и вычислительной погрешности. В способе определения места негерметичности участка трубопроводной системы производят определение отсутствия закупорки в контролируемом участке путем установления отсутствия равенства давлений на концах трубопровода и наличия расхода в нем через некоторое заданное время контроля, а также измерение расхода и давления при подаче жидкости или газа только с одной стороны. 1 ил.
Изобретение относится к области транспортировки жидких и газообразных сред и может быть использовано для определения мест негерметичности участка трубопроводной сети, отсеченной задвижками.
Техническим результатом изобретения является удешевление, повышение точности определения места утечки.
Известен способ обнаружения повреждений по акустическим колебаниям, предусматривающий обход и объезд трубопровода [1]. Этот способ неэффективен.
Известен способ определения места утечки [2], заключающийся в применении приборных методов при облете на маловысотном летательном аппарате. Способ этот из-за высокой дороговизны используется на магистральных трубопроводах и не может быть использован при обнаружении места утечки на коммунальных инженерных сетях и промысловых трубопроводах.
Известны способы определения мест утечек, основанные на различного рода эффектах с использованием электромагнитных, акустических и вибрационных полей.
Эти способы также дороги и имеют низкую помехозащищенность при использовании на городских инженерных коммуникациях, промысловых трубопроводах, где высоки уровни помех от электромагнитных, акустических и вибрационных полей [3, 4].
Известен также способ определения места течи жидкости или газа на участке трубопровода и устройство для его осуществления [5], взятый за прототип, включающий измерения расходов и давлений в начале и в конце контролируемого участка при подаче жидкости или газа одновременно во взаимно встречных направлениях, а место течи определяют из соотношения

а функцию либо определяют экспериментально на гидродинамически подобных контролируемому участку моделях, либо рассчитывают по общепринятым методикам и справочным данным.
Недостатком данного способа являются:
В процессе эксплуатации трубопровода на стенках его откладываются продукты коррозии, происходит прилипание вязкого продукта к стенкам (парафин и тяжелые нефтепродукты в нефтепроводах, сопутствующие продукты транспортировки в водо- и водоотводящих, тепловых сетях), т.е. происходит локальное изменение гидравлического диаметра трубопровода, что невозможно учесть ни моделированием, ни расчетами без дополнительных объемных и тщательных обследованиях внутренней поверхности трубопровода по всей его протяженности.
В промысловых нефтепроводах, кроме того, при движении из-за уменьшения давления в процессе движения среды происходит разгазирование жидкости, в результате чего меняется по длине удельный вес и вязкость перекачиваемой среды, что также не поддается моделированию и расчету с высокой точностью, особенно если учесть, что трубопровод повторяет сложный и также трудно учитываемый рельеф местности.
В данном способе также необходимо учитывать местные сопротивления (изгибы, повороты, подъемы, переходы с одного диаметра на другой, арматуру) как слева от места течи, так и справа от нее.
Таким образом, способ-прототип имеет существенные погрешности:
1. Неустранимую погрешность математической модели и исходных данных;
2. Погрешность метода интерполяционного построения f;
3. Вычислительную погрешность.
В предлагаемом способе определения места негерметичности участка трубопроводной системы новым является то, что с целью определения реальных характеристик участка трубопроводной системы и режима течения в нем производят определение отсутствия закупорки в контролируемом участке путем установления отсутствия равенства давлений на концах трубопровода и наличия расхода в нем через некоторое заданное время контроля tk, также измерение расхода и давления при подаче жидкости или газа только с одной стороны.
Для дальнейшего уточнения реальных характеристик можно замерить расход и давление при подаче жидкости или газа только с противоположного конца участка.
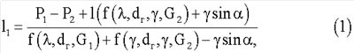
В предлагаемом способе необходимо найти точку С, в которой происходит утечка на участке трубопровода АВ, описываемом некоторой пространственной кривой, заданной в виде функции длины дуги, отсчитываемой от точки А.

Формула (1) основана на соотношении

при выполнении которого потоки жидкости с концов А и В трубопровода потекут навстречу друг другу. При этом P1 и Р2 представляют собой суммарные потери давления на трение и преодоление гидростатического давления при движении среды с концов А и В соответственно.
Рассмотрим соотношение (3), записанное в искомой точке С.

В определенный момент времени измеряем давление PA (1) и РВ (1) при одностороннем течении АВ жидкости с известной температурой ТА и ТВ и расходом G0. Таким образом, нам становятся известными величины:

При помощи регулирующих устройств настраиваем давление таким образом, чтобы выполнялось условие встречного течения потоков (3).
При этом возможна совместная настройка в точках А и В, а также настройка в одной точке при заданных параметрах в другой, но при условии что расходы рабочего агента были равны друг другу как при одностороннем, так и при двустороннем движениях.
Измеряя давление в т.А и В как в первом, так и во втором случаях, находим место негерметичности.

Закачиваем рабочий агент вначале в т.В, замеряем давление – РВ1. В неизвестной точке С происходит утечка, а так как движения жидкости на участке АС не происходит, то давления в т.С и т.А будут равны PA1. Замеряем расход в т.В и давления в т.А и т.В (PA1, РВ1). Затем производим закачку рабочего агента в т.А и т.В одновременно, но так, чтобы суммарные расходы в т.А и т.В были равны расходу в т.В в первом случае (при одностороннем движении). Замеряем давления РА2 и РВ2.
В результате получаем соотношение для определения места утечки

Подставляя найденное значение длины дуги АС в уравнение кривой, находим координаты искомой точки утечки С.
Аналогичным образом можно найти LBC и соответствующие координаты точки С1. В общем случае С1 может оказаться не равным С. Для минимизации допущенных погрешностей возможно проведение дополнительных исследований на участке СС1, или, например, принять как истинную среднюю точку.
Трубопровод, как правило, стыкуется из различных труб, что приводит к различию в структуре внутренней поверхности и соответствующего коэффициента гидравлического трения; при движении газированной жидкости объем свободного нерастворенного газа напрямую зависит от давления, поэтому в различных случаях прямого и встречного течения мы будем иметь дело с различными параметрами газожидкостных сред, что также ведет к изменению удельной потери давления на трение; в реальной практике трубопровод имеет изгибы, переходы, повороты, меняет свой угол относительно идеальной горизонтальной плоскости в соответствии с рельефом окружающей местности. Все указанные факторы, приводящие к довольно-таки существенным различиям в прямом и обратном режимах течения, будем условно классифицировать как асимметрию трубопровода, подразумевая под симметричным трубопроводом тот идеализированный случай, в котором данные факторы отсутствуют.
Идея преодоления асимметрии заключается во введении поправочного слагаемого в уравнения балансов давления. Предположим, что до момента появления утечки известны Р(1) A и Р(2) B при одностороннем течении АВ жидкости с температурой TA, TB и расходом G0. Данное предположение оправдано, поскольку, как правило, при эксплуатации трубопроводов проводится мониторинг показателей течения в соответствующих точках. Затем рассматриваемый участок АВ изолируется при помощи запорных устройств. В процессе изменения давления в точке В будем проводить измерения в противоположной точке А. Зная исходное значение Р(1) B и компенсируя изменения состава среды и систематическую погрешность путем рассмотрения измеренных параметров и соответствующих промежутков времени, можем найти потерю давления в точке утечки С при заданном режиме течения. Затем указанную процедуру с теми же параметрами повторяем в точке А и наблюдаем соответствующий «отклик» в точке В. Исходный режим течения в направлении ВА нам неизвестен, поэтому будем сопоставлять полученные результаты с результатами компенсационного режима в направлении АВ. Осредненная разница значений в соответствующих точках и дает искомую аддитивную поправку в точке В на асимметричность.
Таким образом, внедрив в уравнение баланса давления (5) поправку в точке В, мы как бы устраняем асимметричность реального трубопровода, что повышает точность метода.
Сущность изобретения поясняется чертежом.
Устройство работает следующим образом. При движении транспортируемой среды клапаны 1 и 12 открыты, а устройство управления и обработки информации 6 осуществляет мониторинг параметров перекачки. При появлении разбаланса расходов, выявляемого датчиками расхода 4 и 9, величина которого больше величины погрешностей этих датчиков на заданную величину, определяемую устройством 6, устройство 6 подает команду на закрытие клапанов 1 и 12. С целью исключения ложного определения возможности образования закупорки в трубопроводе (гидратных пробок, частичное перекрытие проходного сечения в наиболее низких местах влагой, перемещаемой потоком газа), устройство 6 производит выдержку заданного количества времени tk для выравнивания давлений измерительными датчиками 5 и 8.
Если после истечения этого времени tk величины давления не изменяются и равны друг другу при отсутствии расхода в контролируемом участке трубопровода, то судят о наличии закупорки в трубопроводе, в противном случае – о наличии негерметичности участка трубопроводной системы.
Тогда для определения гидравлических характеристик контролируемого участка трубопровода устройство управления 6 подает команду на открытие задвижки 10, прокачку среды с устройства 11 и измерение величин давления и расхода. Далее устройство управления 6 подает сигнал на открытие задвижек 3 и 10 так, чтобы суммарные расходы с устройств подачи 2 и 11 были равны расходу с устройства 11 в предыдущем случае, и производят измерение величин давлений и расходов датчиками 5, 8 и 4, 9 соответственно.
Данный метод был испытан на действующем распределительном тупиковом газопроводе и показал возможность его промышленного использования с приемлемой точностью.
1. А.с. СССР 380910, F17D 5/02, 1971.
2. RU 2002127498, G01M 3/22, G01V 3/16, F17D 5/02.
3. RU 2135887, F17D 5/06.
4. RU 2263887, F17D 5/06.
5. RU 2232344, F17.
Формула изобретения
Способ определения места негерметичности участка трубопроводной системы, заключающийся в том, что производят определение отсутствия закупорки в контролируемом участке путем установления отсутствия равенства давлений на концах трубопровода и наличия расхода в нем через некоторое заданное время контроля, а также измерение расхода и давления при подаче жидкости или газа только с одной стороны.
РИСУНКИ
|