|
(21), (22) Заявка: 2008122473/02, 25.10.2007
(24) Дата начала отсчета срока действия патента:
25.10.2007
(30) Конвенционный приоритет:
02.11.2006 DE 102006052181.1
(46) Опубликовано: 27.10.2009
(56) Список документов, цитированных в отчете о поиске:
US 5765489 A, 16.06.1998. WO 2004104233 A1, 02.12.2004. RU 2088869 C1, 27.08.1997. SU 1704536 A1, 15.12.1993. RU 2116596 C1, 27.07.1998. RU 2261285 C1, 27.09.2005.
(85) Дата перевода заявки PCT на национальную фазу:
04.06.2008
(86) Заявка PCT:
EP 2007/009249 20071025
(87) Публикация PCT:
WO 2008/052690 20080508
Адрес для переписки:
129090, Москва, ул.Б.Спасская, 25, стр.3, ООО “Юридическая фирма Городисский и Партнеры”, пат.пов. А.В.Мицу, рег. 364
|
(72) Автор(ы):
ДЕГЕЛЬ Рольф (DE), КУНЦЕ Юрген (DE)
(73) Патентообладатель(и):
СМС ДЕМАГ АГ (DE)
|
(54) СПОСОБ НЕПРЕРЫВНОГО ИЛИ ПЕРИОДИЧЕСКОГО ПОЛУЧЕНИЯ МЕТАЛЛА ИЛИ НЕСКОЛЬКИХ МЕТАЛЛОВ ИЗ ШЛАКА, СОДЕРЖАЩЕГО УКАЗАННЫЙ МЕТАЛЛ ИЛИ СОЕДИНЕНИЕ УКАЗАННОГО МЕТАЛЛА
(57) Реферат:
Изобретение относится к способу непрерывного или периодического получения металла или нескольких металлов из шлака, содержащего указанный металл или соединение указанного металла. Способ включает нагревание и плавление жидкого металлсодержащего шлака в первичной или вторичной плавильной установке, выполненной в виде электрической печи переменного тока. Из первичной или вторичной плавильной установки расплав шлака подают в электрическую печь постоянного тока. В этой печи осуществляют электролитическое осаждение извлекаемого металла. При этом в первичную или вторичную плавильную установку подают и/или вдувают восстановитель в виде силикокальция (CaSi), карбида кальция (CaC2), ферросилиция (FeSi), алюминия (Аl) и/или газообразного восстановителя. Техническим результатом является повышение эффективности очистки шлака, извлечения металлов из шлака. 11 з.п. ф-лы, 2 ил.
Изобретение относится к способу непрерывного или периодического получения металла или нескольких металлов из шлака, содержащего указанный металл или соединение указанного металла, при котором нагревают жидкий металлсодержащий шлак в первичной или вторичной плавильной установке.
При плавке медных концентратов получают медный штейн и шлак. Шлак содержит медь как в растворенном виде, так и в форме механически удерживаемых включений штейна. Существуют два основных способа очистки шлака: флотация шлака после резкого охлаждения, измельчения и дробления и пирометаллургическое восстановление жидкого шлака.
Пирометаллургическую очистку шлака или расплавление концентратов в большинстве случаев проводят в трех вариантах, а именно:
восстановлением с помощью кокса и электродов в электродуговой печи переменного тока (АС), предварительным прогревом шлака и седиментацией,
во вращающейся горизонтальной трубчатой печи вдуванием восстановителя, например в печи для очистки шлака методом Teniente,
в вертикальном конвертере с вдуванием восстановителя, например TBRC или IsaSmelt, Aussmelt или похожими способами.
Очистка шлака требует восстановления магнетита для выделения суспендированных включений и способствования их осаждения, а также сделать возможным одновременное восстановление оксида меди.
Для наиболее часто используемой очистки медного шлака в АС-электродуговых печах требуется печь сравнительно большого размера из-за требуемого времени восстановления и седиментации, которое составляет от 3 до 8 часов. Такая очистка характеризуется относительно высоким удельным потреблением энергии по причине сильного специфического влияния потерь тепла. Очистку шлака проводят в электродуговой печи как периодический или полунепрерывный процесс. Гибкость электродуговой печи в температурной регулировке делает возможным проведение правильного предварительного нагрева шлака. Образование диспергированных металлических медных включений как продукта восстановления оксида меди вместе с некоторой частью небольших включений медного штейна препятствует разделению фаз, а также снижает извлечение меди.
Способ извлечения металлов из металлсодержащих шлаков, в частности железомедных шлаков, в плавильной печи известен из US 4110107. Расплавленный шлак загружают в электродуговую печь, в которой происходит плавка. Устанавливают систему вдувания углерода для введения углерода в нижнюю часть плавильной ванны. Также вводят в ванну шлакообразующее, например СаО. После восстановления металл извлекают из печи.
Похожий способ регенерации, прежде всего никеля и никелево-медной смеси из расплава шлака, известен из US4036636. Согласно этому способу магнетит в шлаке восстанавливают углеродсодержащими соединениями. При этом механической мешалкой проводят смешение шлака, в то время пока происходит его восстановление.
Из WO 01/49890 A1 известен способ получения черновой меди напрямую из концентрата сульфата меди, в котором медь получают из мелкопомолотого и охлажденного медного штейна в реакционном сосуде при насыщении кислородом. Насыщение кислородом происходит при подаче воздуха, обогащенного кислородом, причем процентное содержание кислорода в воздухе составляет не менее 50%. Черновая медь, которую также называют конвертерной медью, является неочищенной, пористой медью. Медь в жидко-расплавленном состоянии обладает более хорошей растворяющей способностью для газов, чем в твердом состоянии. При затвердевании газы, содержащиеся в меди, выделяются в виде маленьких пузырьков (от английского слова: blister).
Документ US 4060409 описывает пирометаллургическую систему, с помощью которой материал могут поддерживать в расплавленном состоянии. Такая система имеет емкость для приема материалов, причем во внутренней части емкости размещено некоторое количество ячеек одинакового размера. В дальнейшем можно предусмотреть множество механических мешалок, чтобы иметь возможность перемешивать расплавленный материал.
Документ US 6436169 описывает способ эксплуатации медеплавильной печи, при этом добавляют железосодержащее сырье с процентным содержанием железа более 80 мас.%, которое имеет плотность между 3,0 и 8,0; при этом средний размер частицы лежит в диапазоне от 0,3 до 15 миллиметров. Железосодержащее сырье добавляют к железосодержащему медному шлаку. Затем проводят восстановление Fe3O4 до FeO.
Установка для непрерывной выплавки меди известна из EP 0487032 B1. Такая установка включает в себя плавильную печь для плавки и окисления медного концентрата для получения смеси из штейна и шлака. Кроме того, в ней предусмотрена разделительная печь для отделения штейна от шлака. В конвертере с целью получения черновой меди окисляют отделенный от шлака штейн. Выпускной желоб расплава связывает плавильную печь, разделительную печь и конвертер. Для рафинирования меди, полученной в конвертере, предусмотрены печи с анодами. Связь между конвертером и печами с анодами осуществляется посредством устройства для протекания черновой меди.
Из ЕР 0487031 В1 известен способ непрерывного плавления меди. Здесь так же предусмотрены плавильная печь, разделительная печь и конвертер, которые связаны друг с другом посредством устройства, связывающего потоки. Кроме того, предусмотрены печи с анодами, которые связаны по потоку с конвертером. Медный концентрат подводят в плавильную печь, где осуществляют плавку и окисление концентрата с получением смеси из роштейна и шлака. Вслед за этим смесь из роштейна и шлака подают в разделительную печь, в которой происходит отделение роштейна от шлака. Затем исследователи доставляли отделенный от шлака роштейн в конвертер, где его окисляют с получением черновой меди. После этого черновая медь течет в одну из печей с анодами, где получают металлическую медь.
Известные ранее способы получения металла из металлсодержащего шлака требуют дальнейшего усовершенствования с точки зрения их эффективности.
Поэтому в основе изобретения лежит задача выработать наилучший способ извлечения металлов из шлаков, в частности меди.
Решение поставленной задачи посредством изобретения характеризуется тем, что металлсодержащий шлак нагревают в первичной или вторичной плавильной установке, сконструированной в виде электрической печи переменного тока, и затем расплав из первичной или вторичной плавильной установки подают в печь, сконструированную в виде электрической печи постоянного тока, в которой происходит электролитическое осаждение получаемого металла, при этом в первичной или вторичной плавильной установке подают и/или вдувают восстановитель в виде силикокальция (CaSi), карбида кальция (CaC2), ферросилиция (FeSi), алюминия (Al) и/или газообразного восстановителя.
В качестве первичной или вторичной плавильной установки преимущественно используют электродуговую печь.
Металлом, который следует получить, в большинстве случаев является медь (Cu), которая содержится в медьсодержащем шлаке. Так же возможно, что металлом, который необходимо получить, является свинец (Pb), цинк (Zn), платина (Pt), хром (Cr) или никель (Ni).
В первичной или вторичной плавильной установке, выполненной в форме электрической печи переменного тока, может протекать предварительное восстановление или окисление шлака, или металлконцентратов, и отделение металлического штейна или металлического сплава, в частности медного штейна, при этом во второй печи, выполненной в виде электрической печи постоянного тока, протекает глубокое восстановление шлака и удаление включений.
Во второй плавильной установке, выполненной в виде электрической печи постоянного тока, во время получения металла также можно осуществлять электромагнитное перемешивание расплава. Для осуществления электромагнитного перемешивания, по меньшей мере, один электромагнит может действовать на расплав, находящийся во второй печи. Также должно быть предусмотрено, чтобы для создания электромагнитного перемешивания на расплав, находящийся во второй печи, действовал, по меньшей мере, один постоянный магнит. Минимум один магнит обычно генерирует магнитное поле между 50 и 1000 Гаусс, при этом магнитное поле захватывает, по меньшей мере, часть поперечного сечения расплава и часть электродов во второй печи.
Кроме того, в основной или дополнительной плавильной установке во время плавления можно добавить в качестве восстановителя кокс.
На поверхность расплава во второй печи углеродсодержащий материал, в частности кокс, можно добавить таким образом, чтобы сформировался слой углеродсодержащего материала с постоянной толщиной, при этом слой, работающий как анод, находится в контакте с электрическим соединением. В дальнейшем можно предусмотреть, чтобы в нижней области под расплавом во второй печи поддерживать слой из металлического штейна или расплава металла, в частности из медного штейна, с постоянной толщиной, при этом слой, работающий как катод, находится в контакте с электрическим соединением.
Изобретение также предполагает двухступенчатое восстановление шлака и извлечение металла (преимущественно меди) в двух электродуговых печах, где предусмотрены указанные специальные восстановители, которые позволяют проводить особенно хорошее восстановление. Первая печь, электродуговая печь трехфазного тока, служит для первичного восстановления шлака и отделения металлического штейна (медного штейна), за которым следует удаление включений в DC-восстановительной кольцевой печи (постоянного тока) с электромагнитным перемешиванием. Внедрение электромагнитного перемешивания, которое улучшает массопередачу на поверхность восстановления и коалесценцию включений, вместе с электролизом шлака и электрокинетическими эффектами способствует эффективной очистке шлака и высокому извлечению металла, в частности меди.
На чертежах представлено подробное описание изобретения. Краткое описание чертежей:
фиг.1 – представлено схематичное изображение первичной или вторичной плавильной установки в виде электродуговой печи трехфазного тока и в виде следующей за ней DC-восстановительной кольцевой печи постоянного тока;
фиг.2а и 2b – в разрезе фронтальная проекция и в разрезе профильная проекция DC-восстановительной кольцевой печи для глубокого восстановления шлака и удаления включений с применением коксовой постели и расплавленного медного штейна в качестве электродов.
На фиг.1 можно видеть первичную или вторичную плавильную установку 1 в виде печи переменного тока, к которой присоединена вторая печь 2 в виде печи постоянного тока. Подготовленный в печи 1 расплав медного шлака направляют через соединительное устройство 8 в виде плавильного канала (также возможно в виде прямоугольной печи) во вторую печь 2.
В первой печи 1, а именно в находящемся в этой печи расплаве шлака, предусмотрены два погружаемых электрода 9 и 10 в виде графитных электродов, которые подсоединены к источнику переменного тока.
Шлаки, в зависимости от типа основной и/или дополнительной плавильной установки 1, содержат:
– капельки металла, как, например, в процессах получения ферросплавов (например, в процессах получения FeNi, FeMn, FeCr, FeNb и TiO2),
– металлы в виде оксидов и сульфидов, где IsaSmelt, Aussmelt, Outokumpu или TBRC работают как основная плавильная установка,
– металлы и сплавы металлов, которые получают в качестве продуктов при переработке исходного оксидного материала, например из электропечи или шахтной печи.
Вторая печь 2 имеет вход 16 для шлака 15, а также выход для шлака 17. Во второй печи расположены два электрода 4 и 5, которые выполнены в виде пластин. Оба электрода 4, 5 подсоединены посредством электрического соединения в виде контактного графитового электрода 6 или 7 к источнику постоянного тока. Верхний горизонтально лежащий электрод 6 подключен к положительно заряженному полюсу источника постоянного тока 12 и служит анодом. Соответственно нижний также горизонтально расположенный электрод 5 подключен к отрицательно заряженному полюсу источника постоянного тока 12 и служит катодом. Посредством такого электролитического процесса получают медь.
Как можно видеть из фиг.2, вторая печь 2 представляет собой кольцевую плавильную печь. Находящиеся сбоку электрические катушки 13 и 14 расположены вокруг металлических сердечников, которые вместе с ними образуют электромагниты 3. С помощью этих магнитов достигают эффекта перемешивания, расплава во второй печи 2, смотри ниже.
Существенным признаком является то, что металлсодержащий шлак расплавляют в электрической печи переменного тока 1, и что затем расплав доставляют из печи 1 в печь 2, выполненную в виде электрической печи постоянного тока, в которой происходит электролитическое извлечение получаемого металла, который может находиться, например, в виде сульфида или оксида. К тому же в печь 1 подают или инжектируют восстановитель в виде силикокальция (CaSi), карбида кальция (CaC2), ферросилиция (FeSi), алюминия (Al) и/или газообразного восстановителя.
Во время восстановления имеет место, в сущности, известный процесс, который – на примере добавления кокса – выглядит следующим образом: магнетит и медьсодержащий оксид в шлаке реагируют с углеродом графитовых электродов 9, 10 и добавленным коксом согласно уравнениям:
Fe3O4+CO=3FeO+CO2
Cu2O+CO=2Cu+CO2
CO2+C=2CO
Восстановление медьсодержащего оксида лимитируется параллельно протекающим восстановлением магнетита. Условия такого совосстановления определяют с помощью равновесия суммарной реакции.
(Cu2O)шлак+3(FeO)шлак 2(Cu)металл+(Fe3O4)шлак
Содержание меди в расплавленном шлаке находится в интервале между 2 и 10%, а содержание магнетита – между 10 и 20%, в зависимости от способа плавки и от качества полученного штейна.
Первая стадия обработки шлака в АС – электродуговой печи 1 концентрируется на восстановлении магнетита до значения от 7 до 8% и содержании меди от 0,8 до 1,2%, что требует удельного расхода энергии от 50 до 70 кВт/т, в зависимости от исходного состава шлака. Вышеуказанная степень восстановления шлака позволяет сократить время восстановления приблизительно на 50%, что соответствует двукратному повышению эксплуатационной мощности печи. Шлак непрерывно или через равные промежутки времени проталкивают ко второй DC – восстановительной кольцевой печи.
Коксовая постель 4 на поверхности шлака, которая через графитовый электрод контактирует с источником постоянного тока, играет роль анода, и расплавленный штейн 5 в контакте с графитовым блоком 7 является катодом в DC – восстановительной кольцевой печи 2.
Со стороны входа в печи расположены два блока постоянных магнитов в окне корпуса печи, а точнее, на половине высоты слоя шлака. Совместное влияние неоднородного горизонтального магнитного поля с неоднородным вертикальным постоянным электрическим полем индуцирует градиент силы Лоренца, действующей на шлак.
Сила Лоренца, которая действует в каждом элементарном объеме токопроводящей жидкости, как, например, жидкий шлак, в перекрестном постоянном электрическом и переменном магнитном поле, очевидно, изменяет относительную плотность жидкости:
А= ±j×B
где А– кажущаяся относительная плотность в Н*м-3,
– относительная плотность в Н*м-3,
j – плотность тока в жидкости в А*м2,
В – магнитная индукция в Тл.
При действии вышеназванной силы, плотности потока от 200 до 2000 А/м2 и напряженности магнитного поля от 0,005 до 0,1 тесла скорость шлака от 1 до 2 порядков больше по сравнению с обычной скоростью конвекции. Сила Лоренца приводит шлак в районе магнита в интенсивное вращение, благодаря чему улучшается переход магнетита на поверхность кокса и ускоряется восстановление. При высокой температуре восстановления шлака (от 1200°С до 1300°С) реакциями, протекающими при восстановлении магнетита и совосстановлении медьсодержащего оксида, управляют через массообмен, при этом перемешивание шлака существенно увеличивает скорость восстановления.
В добавлении к этому перемешивание шлака препятствует образованию застойной жидкости, а также гомогенизирует шлак. Перемешивание шлака на первой стадии процесса для удаления включений является благоприятным, и таким образом повышают вероятность их столкновения и коалесценции.
Движение шлака повышает вероятность столкновения включений штейна и металлической меди, благодаря чему улучшается их коалесценция и отделение. Вторая часть плавильной печи с кольцевым каналом 2 не испытывает на себе интенсивного движения шлака и создает условия для спокойной седиментации включений.
Из-за ионной структуры жидкого шлака постоянный ток инициирует электролиз шлака. Катодное восстановление и анодное окисление результируются в восстановление магнетита, отделение меди и образование монооксида углерода на электродах, что соответствует реакциям:
Катод:

Анод:

Катодное разложение магнетита и отделение меди увеличивают общую скорость восстановления магнетита и извлечения меди. Выделение СО в виде анодного продукта формирует дальнейшие центры восстановления магнетита.
Дополнительная, действующая на металлические включения, сила в результате кажущегося изменения относительной плотности шлака и взаимодействия тока в металле и магнитного поля выражается как:

где FEBF – подъемная сила в Н,
j – плотность тока в А/м2,
B – индуктивность магнитного поля в Тл,
r – радиус включения в м.
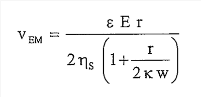
Взаимодействие электрического поля с поверхностным зарядом на поверхности включения позволяет перемещать каплю металла вдоль линий электрического поля. Скорость перемещения, известная как явление электрокапиллярного движения, описана формулой Левиха (Levich):

где VEM – скорость перемещения в м/с,
– поверхностный заряд в Кл/м2,
E – напряженность электрического поля в В/м,
S – вязкость шлака в Па*с,
k – удельная проводимость шлака в 1/(Ом*м),
w – сопротивление на границе раздела металл/шлак в Ом*м2.
Основываясь на электрической плотности заряда, падает скорость перемещения металла или включения штейна, согласно выше приведенной формуле, с ростом радиуса капель. Скорость перемещения в случае более мелких включений существенно выше, чем осаждение из-за силы тяжести.
Переработка шлака в перекрещенных электрических и магнитных полях основывается на ряде явлений, благодаря которым процесс очистки шлака становится очень интенсивным и эффективным. Электромагнитное перемешивание шлака усиливает массообмен, что ускоряет восстановление шлака и способствует коалесценции включений. Одновременный электролиз шлака действует при катодном восстановлении магнетита и оксида меди, а также при анодном образовании монооксида углерода как дополнительный восстановитель. Электрокапиллярное перемещение включений способствует их коалесценции и приводит к извлечению включений из шлака.
Пример
Шлак из плавки концентрата в плавильной установке содержит 4% Сu и 15% Fe3O4. Шлак выпускают все 3 часа и через желоб передают в 9,5 MВА-электродуговую печь трехфазного тока 1. Количество полученного шлака составляет 30 т/ч – это количество соответствует переработке 90 т в каждом цикле. Расход кокса составляет около 8 кг/т, а энергопотребление примерно 70 кВт/т, что соответствует средней потребляемой мощности, равной 6,3 МВт. Через 1 час начинается выпуск шлака на электродуговой печи через временной промежуток, равный 2 часам. Шлак с содержанием меди 1,1% и содержанием Fe3O4 7% подают через желоб 8 в DC-электродуговую печь 2 с камерой, высота которой 4 м и ширина – 1 м. Восстановительная кольцевая печь для полунепрерывной очистки шлака представлена на фиг.2. Шлак течет 2 часа непрерывно через восстановительную печь с кольцевым каналом 2. При уровне шлака, равном 1 м, среднее время пребывания составляет около 30 минут. При потерях тепла печи 1 ГДж/ч общее энергопотребление составляет около 35 кВт/т, а необходимая потребляемая мощность – 1 МВт. При ориентировочном напряжении в 100 В сила тока лежит в области 10 кА. Ориентировочный расход кокса составляет около 2 кг/т. Конечный шлак содержит 0,5% Сu и 4% магнетита. Общее энергопотребление составляет 105 кВт/т, расход кокса – 10 кг/т.
Способ, описанный в настоящем изобретении, работает согласно приведенному примеру как двухступенчатая очистка медного шлака в электродуговых печах.
Можно производить периодическую или непрерывную загрузку шлака в первую электродуговую печь 1. В этой печи 1 в расплавленный шлак вводят графитовые или углеродные электроды и через них осуществляют подачу электрического тока. На поверхность шлака подают кокс или другой восстановитель. Регулировка температуры шлака в печи для рафинирования шлака происходит через регулирование потребляемой мощности. Наконец, выпуск полученных металлов происходит в виде медного штейна и металлической меди.
Также в DC – печи с кольцевым каналом 2 может осуществляться периодический или непрерывный выпуск шлака. Постоянный ток подают между слоем кокса у поверхности шлака, работающим как анод, и жидким штейном, работающим как катод. Наложенное пространственно ограниченное магнитное поле, которое получено при помощи электромагнита или постоянного магнита, используют для приведения шлака в движение. На поверхность шлака загружают кокс для поддержания толщины слоя кокса постоянной и для сохранения хороших электрических условий контакта с графитными или углеродными электродами. Здесь также может происходить непрерывный или периодический выпуск очищенного конечного шлака. Равным образом периодически может происходить выпускание медного штейна или медного штейна совместно с металлической медью. Затем слой медного штейна (меди) в нижней части печи сохраняют в качестве жидкого катода, при этом катод находится в контакте с графитным блоком. Также электроды могут быть выполнены из другого электрически проводящего материала.
Медный шлак может представлять собой тот же шлак, который получают расплавлением медных концентратов до медного штейна или непосредственно до конвертерной меди, а также тот же шлак, который получают конвертированием медного штейна.
В качестве первой электродуговой печи можно использовать классическую АС – электродуговую печь трехфазного тока или DC – электродуговую печь.
Индукция магнитного поля, полученная при помощи постоянных магнитов или электромагнитов, лежит преимущественно в области от 50 до 1000 Гс, при этом постоянное магнитное поле покрывает одну часть поперечного сечения жидкого шлака в области электрода или электродов в контакте с коксовой постелью.
В качестве электродов обычно используют графитовые или углеродные электроды. Расположение электродов позволяет перекрещивать линии электрического тока линиями магнитного поля. Оптимальное расположение электродов ведет к тому, что линии электрического тока проходят ортогонально к линиям магнитного поля.
Как поясняется, слой жидкого металла или металлического штейна под шлаком находится в контакте с графитовым или иным электродом, который выполняет функции катода; углерод или слой кокса у поверхности шлака находится в контакте с графитовым или другим электродом, выполняющим функции анода.
Сила постоянного тока преимущественно лежит в области между 500 и 50000 А, в зависимости от размера установки по очистке шлака, количества шлака и температуры.
Хотя предложенный способ преимущественно разработан для получения меди, также его можно использовать для других металлов, таких как свинец (Pb), цинк (Zn), платина (Pt), хром (Cr) или никель (Ni).
Посредством двухстадийного восстановления шлака и извлечения меди в двух электродуговых печах достигают того, что первую электродуговую печь трехфазного тока можно использовать для предварительного восстановления шлака и отделения медного штейна, за которым следует глубокое восстановление шлака и удаление включений в DC – восстановительной кольцевой печи с электромагнитным перемешиванием. Внедрение электромагнитного перемешивания, которое улучшает массоперенос на поверхность восстановления и коалесценцию включений, вместе с электролизом шлака и электрокинетическими явлениями делают возможным эффективную очистку шлака и высокое извлечение меди. С помощью предложенного способа становится возможным, в общем, также восстановление оксидов металлов. В основной плавильной установке может также протекать оксидное расплавление концентратов.
Список использованных обозначений
1 – первичная или вторичная плавильная установка (печь переменного тока).
2 – вторая печь (печь постоянного тока).
3 – электромагнит.
4 – электрод (анод).
5 – электрод (катод).
6 – электрическое соединение (графитовый электрод).
7 – электрическое соединение (графитовый электрод).
8 – соединительное устройство.
9 – электрод.
10 – электрод.
11 – источник переменного тока.
12 – источник постоянного тока.
13 – электрическая катушка.
14 – электрическая катушка.
15 – шлак.
16 – вход для шлака.
17 – выход для шлака.
Формула изобретения
1. Способ непрерывного или периодического извлечения металла или нескольких металлов из шлака, содержащего указанный металл или соединение указанного металла, при котором нагревают и плавят жидкий металлсодержащий шлак в первичной или вторичной плавильной установке, отличающийся тем, что металлсодержащий шлак нагревают и плавят в первичной или вторичной плавильной установке (1), выполненной в виде электрической печи переменного тока, и затем расплав из первичной или вторичной плавильной установки (1) подают в печь (2), выполненную в виде электрической печи постоянного тока, в которой осуществляют электролитическое осаждение извлекаемого металла, при этом в первичную или вторичную плавильную установку (1) подают и/или вдувают восстановитель в виде силикокальция (CaSi), карбида кальция (СаС2), ферросилиция (FeSi), алюминия (Аl) и/или газообразного восстановителя.
2. Способ по п.1, отличающийся тем, что в качестве первичной или вторичной плавильной установки (1) используют электродуговую печь.
3. Способ по п.1 или 2, отличающийся тем, что извлекаемым металлом является медь, которая содержится в медьсодержащем шлаке.
4. Способ по п.1 или 2, отличающийся тем, что извлекаемым металлом является свинец (Рb), цинк (Zn), платина (Pt), хром (Сr) или никель (Ni), который содержится в шлаке.
5. Способ по п.1, отличающийся тем, что в первичной или вторичной плавильной установке (1), выполненной в виде электрической печи переменного тока, осуществляют предварительное восстановление шлака и отделение металлического штейна или металлического сплава, в частности медного штейна, причем во второй печи (2), выполненной в виде электрической печи постоянного тока, осуществляют глубокое восстановление шлака и удаление включений.
6. Способ по п.1, отличающийся тем, что во второй печи (2), выполненной в виде электрической печи постоянного тока, во время получения металла осуществляют электромагнитное перемешивание расплава.
7. Способ по п.6, отличающийся тем, что для осуществления электромагнитного перемешивания используют, по меньшей мере, один электромагнит (3), действующий на расплав, находящийся во второй печи (2).
8. Способ по п.6, отличающийся тем, что для создания электромагнитного перемешивания используют, по меньшей мере, один постоянный магнит, действующий на расплав, находящийся во второй печи (2).
9. Способ по п.7 или 8, отличающийся тем, что, по меньшей мере, одним магнитом генерируют магнитное поле с индукцией от 50 до 1000 Гс, захватывающее, по меньшей мере, часть поперечного сечения расплава и область электродов (4, 5) во второй печи (2).
10. Способ по п.1, отличающийся тем, что в первичную или вторичную плавильную установку (1) во время плавки в качестве восстановителя подают кокс.
11. Способ по п.1, отличающийся тем, что на поверхность расплава во второй печи (2) добавляют углеродсодержащий материал, в частности кокс, для формирования слоя углеродсодержащего материала с постоянной толщиной, работающего как анод (4) и находящегося в контакте с электрическим соединением.
12. Способ по п.1, отличающийся тем, что в нижней области под расплавом во второй печи (2) поддерживают постоянную толщину слоя металлического штейна, в частности медного штейна, работающего как катод (5) и находящегося в контакте с электрическим соединением (7).
РИСУНКИ
|