|
|
(21), (22) Заявка: 2006108268/02, 17.03.2006
(24) Дата начала отсчета срока действия патента:
17.03.2006
(43) Дата публикации заявки: 27.09.2007
(46) Опубликовано: 27.10.2009
(56) Список документов, цитированных в отчете о поиске:
СТАРОВ Р.В. и др. Производство стали в конвертерах. – К.: Техника, 1987, с.167. SU 1363859 A1, 20.12.1998. SU 1694656 A1, 30.11.1991. SU 1675342 A1, 07.09.1991. SU 1135767 A, 23.01.1985.
Адрес для переписки:
87500, Украина, Донецкая обл., г. Мариуполь, ул. Апатова, 115, Приазовский Государственный технический университет, патентно-лицензионный отдел
|
(72) Автор(ы):
Лухтура Федор Иванович (UA), Сущенко Андрей Викторович (UA), Чаудри Тарик Махмуд (RU), Гнедаш Александр Васильевич (UA)
(73) Патентообладатель(и):
Лухтура Федор Иванович (UA), Сущенко Андрей Викторович (UA), Чаудри Тарик Махмуд (RU), Гнедаш Александр Васильевич (UA)
|
(54) ФУРМА ДЛЯ ПРОДУВКИ РАСПЛАВА В КИСЛОРОДНОМ КОНВЕРТЕРЕ
(57) Реферат:
Изобретение относится к черной металлургии, в частности к кислородно-конвертерному производству стали. Фурма содержит концентрично расположенные трубы, образующие тракты для подвода окислителя, подвода отвода охладителя и многосопловую головку с коническими соплами Лаваля. Сопла имеют конфузор, минимальное сечение и диффузор с прямолинейными образующими. Между конфузором и диффузором в соплах Лаваля выполнены цилиндрические каналы, длина которых определяется из приведенного соотношения. Кроме того. диффузоры сопл имеют дополнительные цилиндрические выходные участки, длина которых определяется из приведенного соотношения. Использование изобретения позволяет повысить эффективность продувки конвертерной ванны. 2 з.п. ф-лы, 8 ил.
Изобретение относится к металлургии, преимущественно к кислородно-конвертерному производству стали.
Известна кислородная фурма для продувки расплава в конвертере сверху [1, стр.164], состоящая из концентрически расположенных труб, образующих тракты для подвода окислителя (кислорода), подвода и отвода охладителя (воды) и головки с одним коническим соплом Лаваля, имеющим конфузор, минимальное сечение и диффузор с прямолинейными образующими.
При этом обеспечивается эффективное охлаждение головки фурмы и, как следствие, высокая ее стойкость.
Однако при использовании известной фурмы не обеспечивается необходимая степень рассредоточения дутья по поверхности конвертерной ванны: величина относительной площади (где Fpз, Fв – площади поперечных сечений суммарной реакционной зоны и конвертерной ванны соответственно) существенно меньше оптимальной. Имеет место неэффективная «жесткая» продувка ванны и неудовлетворительное шлакообразование, что приводит к заметалливанию оборудования, ухудшению качества выплавляемой стали, теплового баланса и технико-экономических показателей плавок. Для того чтобы уменьшить до необходимого значения относительную глубину внедрения струи дутья в ванну (где Hрз, Hв – глубина реакционной зоны и ванны металла соответственно) необходимо поддерживать чрезмерно высокие значения высоты фурмы над ванной Нф, что приводит к усилению износа футеровки конвертера.
Известна фурма для продувки расплава в конвертере сверху [2, стр.74}, состоящая из концентрически расположенных труб, образующих тракты для подвода окислителя (кислорода), подвода и отвода охладителя (воды) и головки с одним соплом, имеющим многоходовую спиралевидную пластинчатую вставку для закрутки и разделения потока кислорода.
При этом обеспечивается истечение из одного сопла нескольких (3÷6) кислородных струй под небольшим углом к вертикальной оси фурмы и несколько увеличивается и степень рассредоточения дутья по поверхности ванны.
Однако вследствие неизбежного взаимодействия и частичного слияния кислородных струй, истекающих из известной фурмы, величина не достигает оптимальных значений и режим продувки остается близким к «жесткому». Кроме того, спиралевидная вставка не имеет достаточно эффективного водяного охлаждения, быстро оплавляется и выходит из строя. При этом выходит из строя и сама фурма.
Известна фурма для продувки расплава в конвертере сверху [3, стр.12-13] – прототип, состоящая из концентрически расположенных труб, образующих тракты для подвода окислителя (кислорода), подвода и отвода охладителя (воды) и многосопловой головки с коническими соплами Давала, имеющими конфузор, минимальное сечение и диффузор с прямолинейными образующими с углом раскрытия =(5÷10)°.
При этом за счет изменения (выбора оптимального значения) числа сопел в головке – nc, расположенных под определенным углом к оси фурмы (обычно находится в пределах (15÷20)° [3, стр.13]), можно получить практически любое сочетание необходимых (заданных) значений и . Это позволяет обеспечить требуемый режим продувки, т.е. степень «жесткости» дутья, которая определяется в первую очередь удельным импульсом дутьевых струй в месте встречи с металлической ванной (Па), где Ix – избыточный импульс дутьевых струй в месте встречи с ванной, Fx – площадь поверхности ванны в зоне контакта с дутьевыми струями, м2.
Однако при использовании известной фурмы для обеспечения «умягченной» продувки конвертерной ванны (в случаях «горячих» шихтовок плавок, передела чугунов с низким содержанием Мn, ухудшения качества извести, дефицита или необходимости экономии плавикового шпата, реализации малошлаковой технологии выплавки стали и т.п.) требуется, как правило, увеличение числа сопел в головке до 6÷8 и более. Это существенно ухудшает эффективность охлаждения головки фурмы и снижает ее стойкость вследствие уменьшения площади сечений для прохода охладителя между соплами и увеличения количества торцевых сварных швов (при использовании сварной конструкции головки). Кроме того, при этом усложняется изготовление, увеличивается материалоемкость и стоимость медных головок. При использовании конических сопел Лаваля с углом раскрытия диффузора =(5÷10)° имеет место ограниченный диапазон стабильной (безотрывной) работы фурмы по величине давления кислорода перед соплами и степени нерасчетности истечения струй – n. При n 1 начинается отрыв потока от стенок диффузоров сопел, что приводит к «разгару» (эрозии) выходных участков последних, снижению стойкости головок фурм и дестабилизации дутьевого режима плавки. Поэтому при использовании известной фурмы продувку ведут в режиме недорасширения струй (при n=1,3-2,0), что приводит к дополнительным потерям энергии дутья (на скачках уплотнений) и снижению эффективности продувки (неполному использованию потенциальной энергии давления дутья для увеличения кинетической энергии струй и мощности перемешивания ванны).
Целью настоящего изобретения является повышение эффективности продувки конвертерной ванны, увеличение стойкости, упрощение изготовления и снижение материалоемкости головки фурмы и, как следствие, уменьшение себестоимости выплавляемой стали (за счет уменьшения удельных затрат металлошихты, шлакообразующих материалов, кислорода, ферросплавов и раскислителей, огнеупоров), улучшение ее качества и повышение производительности агрегатов (кислородных конвертеров).
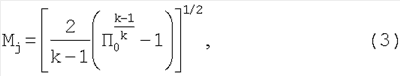
Поставленная цель достигается тем, что в фурме для продувки расплава в конвертере сверху, состоящей из концентрически расположенных труб, образующих тракты для подвода окислителя, подвода и отвода охладителя и многосопловой головки с коническими соплами Лаваля, имеющими конфузор, минимальное сечение и диффузор с прямолинейными образующими, угол раскрытия диффузоров сопел определен из соотношения.

где min=20°


kэ – эмпирический коэффициент, равный 0,85÷0,95;
k – показатель адиабаты истекающего газа (для кислорода k=1,4);
П0=Р0· /Р – располагаемый перепад давлений на соплах;
Р0 – полное давление торможения кислорода перед соплами, Па;
– коэффициент восстановления полного давления кислорода в сопле;
Р – статическое давление в окружающей среде (в полости конвертера) на уровне среза сопла, Па.
Кроме того, между конфузором и диффузором в соплах Лаваля выполнены цилиндрические каналы, длина которых определена из соотношения

где lц – длина цилиндрических каналов, м;
dmin – диаметр минимального сечения сопел Лаваля, м.
Кроме того, диффузоры сопел имеют дополнительные цилиндрические выходные участки, длина которых определена из соотношения

где lв – длина дополнительных цилиндрических выходных участков диффузоров сопел, м.
При выполнении конических сопел Лаваля головки фурмы с углом раскрытия диффузора , находящегося в диапазоне значений ( min   max), имеет место существенно отличный характер истечения дутьевых струй по сравнению с использованием фурмы-прототипа с =5÷10°. Это связано с тем, что при малых значениях (менее 15÷20°) влияние радиальной составляющей скорости истечения дутья из сопла на основные параметры струи незначительно, в т.ч. на ее импульс и диаметр первой «бочки» (или диаметр эффективного изобарического сечения dэф, соответствующий полному расширению струи), который существенным образом влияет на характеристики (свойства) струи в месте встречи ее с ванной и, как следствие, режим продувки плавки в целом. При более 20÷25° заметно увеличивается радиальная составляющая скорости истечения дутья, что приводит, с одной стороны, к дополнительному увеличению диаметра первой бочки (dэф), а с другой, – к дополнительному уменьшению продольной составляющей импульса истекающих струй iстр. В целом же удельный импульс струи в эффективном сечении (отнесенный к площади Fэф) существенно снижается. Это в свою очередь, приводит к увеличению Fх и уменьшению и, как следствие, к эффекту «умягчения» продувки сталеплавильной ванны, что адекватно увеличению числа сопел при использовании фурмы-прототипа. Таким обрезом, применение предложенного технического решения позволяет обеспечить требуемую степень «жесткости» (степень «мягкости») дутья при использовании меньшего числа сопел в наконечнике фурмы по сравнению с прототипом. Это позволяет упростить конструкцию головки фурмы, облегчить ее изготовление, снизить материалоемкость (по меди) и существенно увеличить ее стойкость за счет увеличения площади сечений для прихода охладителя между соплами.
Суть изобретения представлена на фиг.1-8 где на фиг.1, 2, 3 представлены продольные разрезы фурм по пунктам 1, 2 и 3 формулы изобретения соответственно; на фиг.4 приведена зависимость косинуса среднемассового угла наклона вектора скорости струи в выходном сечении сопла от угла раскрытия диффузора конического сопла Лаваля; на фиг.5, 6, 7 приведены зависимости относительного диаметра струи в эффективном сечении от угла раскрытия (раствора) диффузора сопла при различных числах Маха сопла и при различных степенях нерасчетности истечения струй, на фиг.8 приведены зависимости степени нерасчетности начала отрыва потока от стенок сопла от угла раскрытия диффузора сопла при различных числах Маха сопла.
На фиг.4 приведена зависимость косинуса среднемассового угла наклона вектора скорости струи в выходном сечении сопла cos [4] (определяющего продольную составляющую импульса струи) от угла раскрытия диффузора конического сопла Лаваля. На фиг.5-7 приведены зависимости относительного диаметра струи в эффективном сечении (где dэф,0 – диаметр эффективного сечения струи при угле раскрытия диффузора сопла , равном нулю. в случае n=1 величина и
dэф,0 совпадает с величиной выходного диаметра сопла dа) от угла раскрытия (раствора) диффузора сопла при различных числах Маха сопла Ма (в диапазоне, используемом в металлургической практике Ма=1,5-2,5) и при различных степенях нерасчетности n истечения струй.
Из данных фиг. 4-7 следует, что величина min составляет 15÷20°. Если < min, то имеет место слабое влияние величины на и cos и малые значения параметров dэф, dх, Fx, , т.е. слабое влияние величины на дутьевой режим конвертерной плавки в целом.
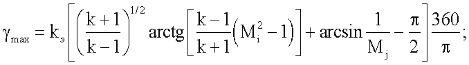
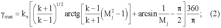
Величина mах определяется максимальным углом разворота потока дутья в сопле (при заданном давлении перед ним) и описывается зависимостью (2). При этом параметр kэ учитывает конструктивные особенности и качество изготовления проточной части сопла. Если > max, то имеет место отрыв потока от стенок диффузора в соплах, резко усиливается «разгар» последних и, как следствие, снижается стойкость фурмы и дестабилизируется режим плавки.
Кроме того, при использовании в головке фурмы конических сопел Лаваля с углом раскрытия диффузора , находящегося в заявленном диапазоне значений ( min   max), процесс продувки протекает более стабильно. Это связано с тем, что при увеличении диаметра первой «бочки», а также радиальной составляющей скорости истечения струи дутья положение корня струи является более устойчивым к внешним возмущениям (меньше амплитуда и частота автоколебаний струи). При этом также существенно расширяется диапазон значений n по безотрывной работе сопла (при понижении n вплоть до 0,6-0,7 при используемых в металлургической практике значениях чисел Маха сопел Mа=1,5-2,5) – см. фиг.8, на которой приведены зависимости степени нерасчетности начала отрыва потока от стенок сопла nотр от угла раскрытия диффузора сопла при различных Mа. Это приводит, с одной стороны, к увеличению стойкости сопел к эрозийному износу и фурм в целом, а, с другой, – к повышению эффективности продувки плавки вследствие лучшей организации кислородных струй в рабочем пространстве агрегата и снижению потерь энергии дутья, связанных с «деформацией» выходных участков сопел и возникновением отрывных течений. Это позволяет также проводить продувку плавок в оптимальной области по n – вблизи расчетного режима истечения струй (при n=0,8÷1,2), что приведет к минимизации потерь потенциальной энергии давления потока в сопле и повышению эффективности продувки сталеплавильной ванны. Увеличенный диаметр первой «бочки» позволяет дополнительно защитить выходную кромку сопла и присопловую область наконечника фурмы от попадания брызг металла и шлака, что способствует повышению стойкости выходных кромок сопел и наконечника фурмы. Кроме того, при использовании сопел с углом раскрытия диффузоров, находящимся в заявленном диапазоне ( min   max), имеет место (при прочих равных условиях) значительно меньшая длина диффузора (наиболее высокоскоростного участка) сопла, что приводит к уменьшению потерь давления дутья в спилах и, как следствие, к повышению эффективности продувки.
Выполнение в соплах Лаваля между конфузором и диффузором с углом раскрытия , определяемым из соотношения (1), цилиндрического канала с длиной, определяемой из соотношения (4), позволяет: во-первых, варьировать в широких пределах длиной сопла, а следовательно, и высотой головки фурмы (в соответствии с конструктивными особенностями последней), а во вторых, – дополнительно стабилизировать процесс истечения кислородных струй и уменьшить потери энергии потока дутья в соплах за счет создания более равномерного поперечного профиля скорости на участке сопла с цилиндрическим каналом. Кроме того, при этом существенно ослабевают требования к конфигурации диффузоров сопел и упрощается изготовление фурмы.
При этом, если lц/dmin<0,1 затрудняется изготовление сопел с требуемой точностью и практически отсутствует эффект выравнивания профиля скорости в поперечном сечении потока на цилиндрическом участке сопла. Если lц/dmin>2,5÷3, существенно увеличиваются потери давления потока дутья на участке цилиндрического канала сопла, чрезмерно увеличивается высота головки фурмы, что затрудняет ее охлаждение за счет организации течения воды.
Выполнение в соплах Лаваля дополнительных цилиндрических выходных участков, длина которых определена из соотношения (5), позволяет дополнительно увеличить устойчивость течения из сопла к отрыву (за счет эффекта «поджатия» потока к стенкам сопла) и уменьшить радиационный тепловой поток на внутреннюю поверхность выходного участка сопла от высокотемпературной реакционной зоны (за счет уменьшения углового коэффициента излучения). Это способствует увеличению стойкости выходного участка сопел и фурмы в целом к абразивной, тепловой и химической эрозии.
Если lв/dmin<0,05, то затрудняется изготовление сопел с необходимой точностью и практически не наблюдается влияния выходного цилиндрического участка на устойчивость течения из сопла к отрыву. Если lв/dmin>0,2, то имеет место заметное снижение радиальной составляющей скорости, величины диаметра dэф и уменьшение эффекта умягчения струи.
Фурма для продувки расплава в кислородном конвертере состоит из концентрически расположенных труб 1, образующих тракты подвода окислителя (кислорода) 2, подвода 3 и отвода 4 охладителя (воды) и многосопловой головки 5 с коническими соплами Лаваля 6, имеющими конфузор 7 (с длиной lк), минимальное сечение 8 и диффузор 9 (с длиной lд) с прямолинейными образующими 10, причем угол раскрытия диффузоров сопел определен из соотношении (1)-(3) – см. фиг.1.
Между конфузором 7 и диффузором 9 сопел Лаваля могут быть выполнены цилиндрические каналы 11, длина которых (lц) определена из соотношения (4) – см. фиг.2.
Диффузоры 9 сопел Лаваля могут иметь дополнительные цилиндрические выходные участки 12, длина которых (lв) определена из соотношения (5) – см. фиг.3.
Устройство работает следующим образом (см. фиг.1). Охлаждающая вода подается по подводящему тракту 3 к головке фурмы 5, циркулирует в ней, проходя межсопловое пространство, и отводится из фурмы по тракту 4. Кислород подается по тракту 2 к многосопловой головке 5. Проходя через конфузоры 7 сопел 6 он ускоряется до критической скорости вблизи минимального сечения сопел 8, а проходя далее через диффузоры 9 (с углом раскрытия , находящимся в заявленном диапазоне) – до сверхзвуковой скорости, определяемой числом Маха сопла Mа и обеспечением соответствующего давления перед соплами р0, и истекает из сопел в виде сверхзвуковых струй 13, имеющих существенно увеличенный диаметр эффективного (изобарического) сечения dэф 14. При этом процесс истечения дутьевых струй характеризуется устойчивым положением корня струи, отсутствием отрывных течений в выходном участке сопел и малыми потерями потенциальной энергии давления дутьевого потока в соплах, что обеспечивает стабилизацию и повышение эффективности продувки сталеплавильной ванны, высокую стойкость сопел к эрозийному износу и фурмы в целом. Так как при этом заданные значения основных режимных параметров продувки , и др. обеспечиваются минимальным числом сопел в головке фурмы nc, то уменьшается материалоемкость (по меди) фурмы, улучшается охлаждение головки, увеличивается стойкость и снижается ее себестоимость.
При выполнении в соплах 6 фурмы (см. фиг.2) цилиндрических каналов 11 с длиной, находящейся в заявленном диапазоне, в потоке дутья при переходе из конфузора 7 в диффузор 9 в цилиндрических каналах 11 обеспечивается более равномерное распределение звуковой скорости по сечению на входе в диффузор, что дополнительно стабилизирует режим истечения струй из сопел и уменьшает потери давления дутья в соплах.
При выполнении в соплах 6 фурмы (см. фиг.3) диффузоров 9 с дополнительными цилиндрическими выходными участками 12 с длиной, находящейся в заявленном диапазоне, дополнительно повышается устойчивость истекающего потока к отрыву и уменьшается тепловой поток на внутреннюю поверхность сопла, что приводит к стабилизации процесса продувки и повышению стойкости фурмы.
Использование фурмы для продувки расплава в кислородном конвертере указанной конструкции за счет оптимизации угла раскрытия диффузоров сопел и обеспечения истечения кислородных струй с увеличенными диаметром первой «бочки» (эффективного сечения) и радиальной составляющей скорости истечения позволит повысить эффективность продувки сталеплавильной ванны, увеличить стойкость, упростить изготовление и снизить материалоемкость головки фурмы и, как следствие, уменьшить себестоимость выплавляемой стали (за счет уменьшения удельных затрат металлошихты, шлакообразующих материалов, кислорода, ферросплавов и раскислителей, огнеупоров), улучшить ее качество и повысить производительность агрегатов (кислородных конвертеров).
ИСТОЧНИКИ ИНФОРМАЦИИ
1. Баптизманский В.И., Меджибожский М.Я., Охотский В.Б. Конвертерные процессы производства стали. Теория, технология, конструкции агрегатов. – Киев; Донецк: Вища шк., 1984. – 343 с.
2. Афанасьев С.Г. Краткий справочник конверторщика. – М.: Металлургия, 1967.
3. Старев Р.В., Нагорских В.А. Производство стали в конвертерах, – К.: Технiка, 1987. – 167 с.
4. Лухтура Ф.И. Одномерная теория сверхзвуковых нерасчетных струн газа. – Известия РАН. Механика жидкости и газа. – 1993, 1. – С.48-56.
Формула изобретения
1. Фурма для продувки расплава в кислородном конвертере, содержащая концентрически расположенные трубы, образующие тракты для подвода окислителя, подвода и отвода охладителя и многосопловую головку с коническими соплами Лаваля, имеющими конфузор, минимальное сечение и диффузор с прямолинейными образующими, отличающаяся тем, что угол раскрытия диффузоров сопел определен из соотношения Ymin   max‘, где min=20°;

 kэ – эмпирический коэффициент, равный 0,85÷0,95, k – показатель адиабаты истекающего газа, равный для кислорода 1,4, П0=P0· /P – перепад давлений на соплах, P0 – полное давление торможения кислорода перед соплами, Па;
– коэффициент восстановления полного давления кислорода в сопле; P – статическое давление в полости конвертера на уровне среза сопла, Па.
2. Фурма по п.1, отличающаяся тем, что между конфузором и диффузором в соплах Лаваля выполнены цилиндрические каналы, длина которых определена из соотношения 1ц/dmin=0,1-3,0, где 1ц – длина цилиндрических каналов, м; dmin – диаметр минимального сечения сопел Лаваля, м.
3. Фурма по любому из пп.1 и 2, отличающаяся тем, что диффузоры сопел имеют дополнительные цилиндрические выходные участки, длина которых определена из соотношения 1в/dmin=0,05-0,2, где 1в – длина дополнительных цилиндрических выходных участков диффузоров сопел, м.
РИСУНКИ
|
|